Патент на изобретение №2350610
|
|||||||||||||||||||||||||||||||||||||||||||||||||||||||||||||||||||||||||||||||||||||||||||||||||||||||||||||||||||||||||||||||||
(54) ПРОИЗВОДНЫЕ БЕНЗО{b}{1,4}ДИОКСЕПИНА
(57) Реферат:
Объектом настоящего изобретения являются новые производные бензо{b}{1,4}диоксепина формулы (I) в которых В, X, Y, Z, R1 и R2 принимают значения, указанные в описании изобретения, а также их фармацевтически приемлемые соли. Объектами настоящего изобретения также являются фармацевтические композиции, содержащие эти соединения, для лечения и/или профилактики заболеваний, модулируемых ингибиторами АСС
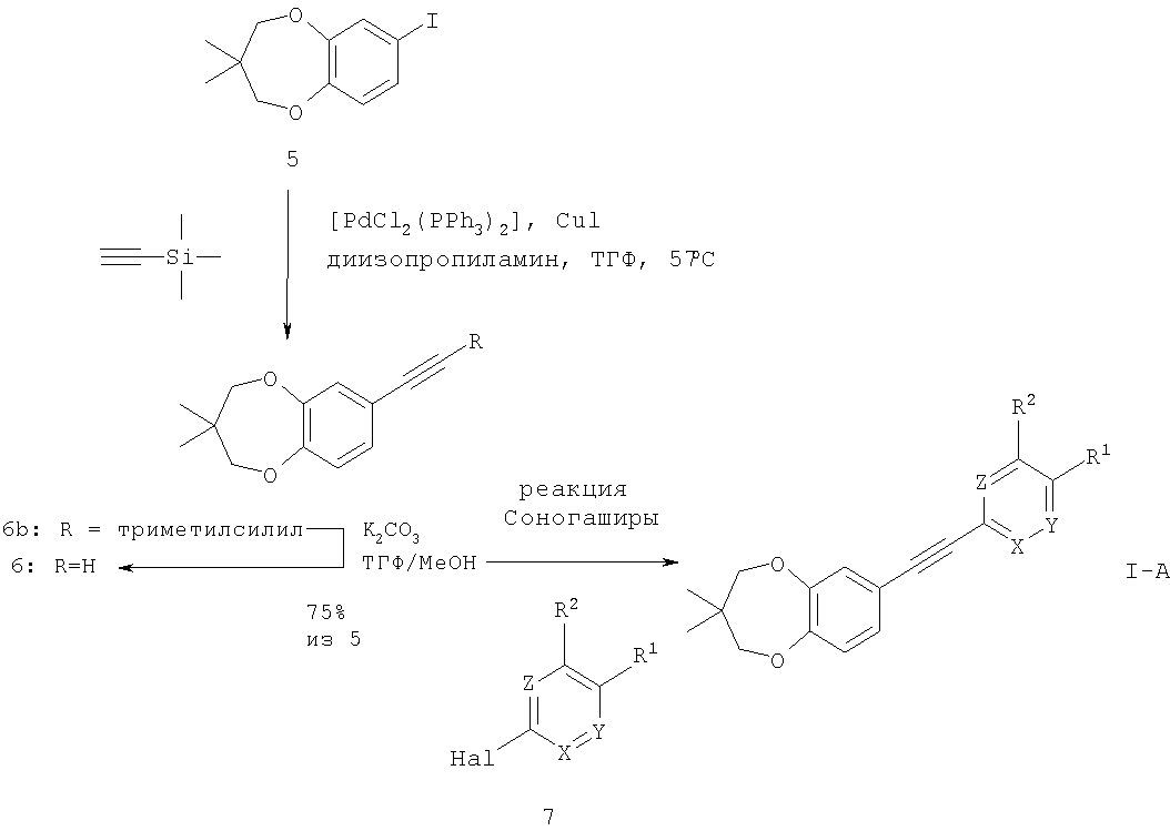
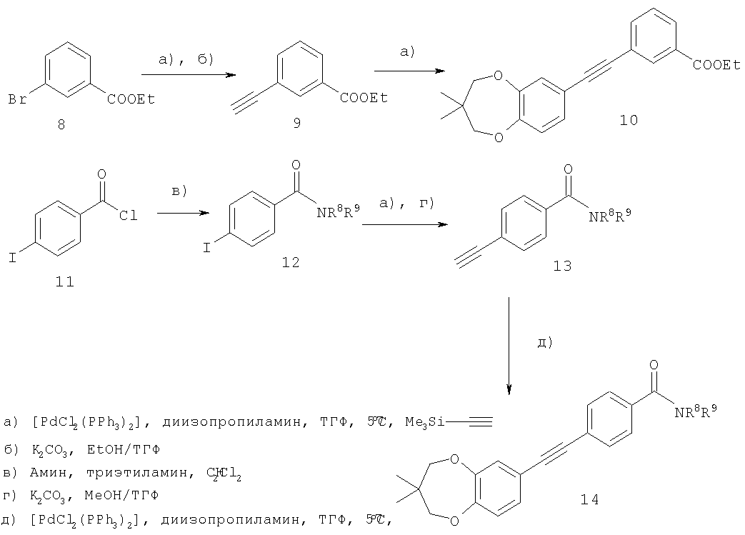
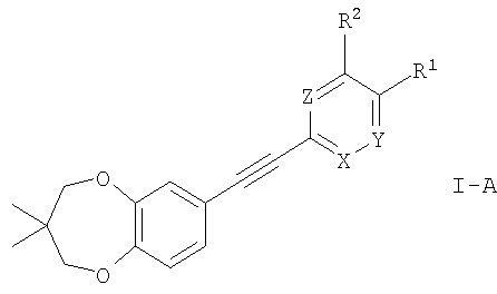
Объектом настоящего изобретения являются новые производные бензо[b][1,4]диоксепина формулы в которых В является -C R3 является водородом или (С1-С3)алкилом; X, Y и Z являются C-R4 или азотом, причем хотя бы одна из групп X, Y и Z является C-R4; R4 является водородом или (С1-С7)алкилом; R1 и R2 независимо друг от друга выбраны из группы, включающей водород, (С1-С7)алкил, (С1-С7)алкокси(С1-С7)алкил, -COOR5 или -COR5, где R5 является водородом или (С1-С7)алкилом, -OR6, где R6 является водородом, (С1-С7)алкилом, -(СН2)m-циклоалкилом, -(СН2)m-гетероциклилом, -(CH2)n-CN, или -(CH2)n-OR7, где R7 является водородом или (С1-С7)алкилом, причем m принимает значения 0, 1, 2 или 3, а n принимает значения 1, 2 или 3; -SR8, где R8 является водородом, (С1-С7)алкилом, -(СН2)m-циклоалкилом, или -(CH2)m-гетероциклилом, причем m принимает значения 0, 1, 2 или 3; -CONR9R10, где R9 и R10 являются водородом или (С1-С7)алкилом, или где NR9R10 может образовывать цикл, содержащий от 3 до 7 атомов, указанный цикл может необязательно включать один или более дополнительных атомов азота или кислорода, и пятичленный гетероароматический цикл, содержащий от 1 до 4 гетероатомов, выбранных из азота, кислорода или серы, замещенный водородом или (С1-С7)алкилом; или R1 и R2 совместно с атомами углерода, к которым они присоединены, могут образовывать цикл, содержащий от 3 до 7 атомов, указанный цикл необязательно включает один или более атомов азота или кислорода; и их фармацевтически приемлемые соли. Как было обнаружено, соединения формулы I применимы в качестве ингибиторов человеческой ацетилкоэнзим-А-карбоксилазы (АСС), а также стимулируют окисление жирных кислот в печени и мышцах, что делает их пригодными для применения в качестве лекарственных средств в связи с такими заболеваниями, как, например, диабет, ожирение и дислипидемия. Ацетилкоэнзим-А-карбоксилазы (АСС, ЕС 6.4.1.2) катализируют образование малонилкоэнзима А (малонил-КоА) и регулируют окисление и биосинтез жирных кислот (A.W.Alberts, P.R.Vagelos в Ферменты, под ред. Р.D.Boyer, Academic Press New York 1972, т.6, 37-82). В организме млекопитающих существуют две изоформы АСС. АСС1 или АСС Предполагается, что АСС Одно из возможных применений относится к нарушениям обмена веществ, при которых проблемой является низкий уровень окисления жирных кислот в печени, таким как, например, высокие уровни жирных кислот в крови, высокие уровни триглицеридов (TG) в крови, дислипидемии в форме нарушений липопротеидного профиля, дисбаланс липопротеидов очень низкой плотности (VLDL), липопротеидов низкой плотности (LDL) и липопротеидов высокой плотности (HDL), сверхсинтез связанных с VLDL триглицеридов в печени и сосудистые заболевания, связанные с вышеперечисленными метаболическими нарушениями, включая атеросклероз, повышенное давление и сердечно-сосудистые осложнения. Соответственно ингибиторы АСС Ингибиторы АСС Среди вышеупомянутых заболеваний особенный интерес вызывает применение соединений формулы (I) в качестве лекарственных средств в связи с ожирением в качестве средства повышения окисления жирных кислот в митохондриях в мышцах и печени и общего увеличения расходования энергии в периферической (мышечной) ткани в связи с дислипидемией в качестве средства снижения (восстановления равновесия) выработки человеческой печенью связанных с липопротеидами очень низкой плотности триглицеридов (VLDL-TG) и в связи с резистентностью к инсулину и диабетом типа 2 в качестве средства снижения высоких уровней триглицеридов в периферической ткани и снижения повышенных концентраций высокореакционноспособных сложных эфиров жирных кислот, таких как ацил-КоА, карнитин-КоА, диацилглицерин (DAG). Целью настоящего изобретения является, таким образом, предложить соединения, которые должны отвечать вышеупомянутым критериям. Было обнаружено, что соединения формулы (I) по настоящему изобретению демонстрируют потенциальную способность к селективному ингибированию АСС Если это не оговорено иначе, нижеследующие определения представлены для иллюстрации и определения значения и границ охвата различных терминов, используемых в контексте для описания изобретения. Термин «низший алкил» или «(С1-С7)алкил», сам по себе или в сочетании с другими группами, относится к разветвленному или неразветвленному одновалентному алкильному радикалу, содержащему от одного до семи атомов углерода, предпочтительно от одного до четырех атомов углерода. Этот термин может быть далее проиллюстрирован на примере таких радикалов, как метил, этил, н-пропил, изопропил, н-бутил, втор-бутил, трет-бутил, а также тех групп, примеры которых специально приведены в контексте. Термин «галоид» («галоген») относится к фтору, хлору, брому и иоду. Термин «алкоксигруппа» относится к группе R’-O-, в которой R’ является алкилом. Термин «низшая алкоксигруппа» или «(С1-С7)алкоксигруппа» относится к группе R’-O-, в которой R’ является низшим алкилом. Примерами низших алкоксигрупп являются, например, метоксигруппа, этоксигруппа, пропоксигруппа, изопропоксигруппа, бутоксигруппа, изобутоксигруппа и гексилоксигруппа. Предпочтительными являются те низшие алкоксигруппы, примеры которых специально приведены в контексте. Термин «циклоалкил» или «(С3-С7)циклоалкил» означает насыщенную карбоциклическую группу, содержащую от 3 до 7 атомов углерода, такую как циклопропил, циклобутил, циклопентил, циклогексил или циклогептил. Термин «гетероциклильный радикал» означает насыщенную гетероциклическую группу, состоящую из одного или более цикла, предпочтительно из одного иди двух циклов, где на каждый цикл приходится от трех до восьми атомов, и включающую один, два или три находящихся в циклах гетероатома (выбранных из азота, кислорода или S(O)0-2), каковая группа может быть необязательно моно- или полизамещенной, в частности, моно- или дизамещенной, галоидом, CF3, низшим алкилом и/или низшей алкоксигруппой. Примерами гетероциклических групп являются оксиранильная, морфолинильная, пиперазинильная, пиперидинильная, пирролидинильная, тетрагидропиранильная, тиоморфолинильная или хинуклидинильная группы. Предпочтительными являются те гетероциклильные группы, примеры которых специально приведены в контексте. Термин «пятичленный гетероароматический цикл, содержащий от одного до четырех гетероатомов, выбранных из азота, кислорода или серы, замещенный водородом или (С1-С7)алкилом», относится к ароматическому пяти- или шестичленному циклу, который может содержать 1, 2, 3 или 4 атома, выбранных из азота, кислорода и/или серы, охватывая такие радикалы, как фурил, тиенил, пирролил, имидазолил, пиразолил, оксазолил, изоксазолил, тиазолил, триазолил, оксадиазолил, тетразолил, оксатриазолил, пентазолил и их дигидропроизводные. Гетероарильная группа может быть необязательно замещена (С1-С7)алкилом. Предпочтительными являются те гетероарильные группы, примеры которых специально приведены в контексте. Термин «защитная группа» относится к группам, таким как, например, ацильная, алкоксикарбонильная, арилоксикарбонильная, силильная или иминогруппа, которые используются для того, чтобы временно блокировать реакционную способность функциональных групп. Хорошо известными защитными группами являются, например, сложноэфирные группы с низшим алкильным, Термин «фармацевтически приемлемые соли» охватывает соли соединений формулы (I) с фармацевтически приемлемыми основаниями, такие как соли щелочных металлов, например, натриевые и калиевые соли, соли щелочноземельных металлов, например, кальциевые и магниевые соли, и соли аммония или замещенных аммонийных катионов, такие как, например, соли триметиламмония. Термин «фармацевтически приемлемые соли» также относится к подобным солям. Соединения формулы (I) также могут быть сольватированы, например, гидратированы. Сольватация может быть осуществлена в ходе процесса получения или может произойти, например, вследствие гигроскопических свойств изначально безводного соединения формулы (I) (гидратация). Термин «фармацевтически приемлемые соли» также включает фармацевтически приемлемые сольваты. Термин «фармацевтически приемлемые сложные эфиры» относится к сложному эфиру соединения формулы (I), содержащего доступную карбоксигруппу, который может подвергнуться гидролизу in vivo. Более конкретно, в том случае, когда группа (группы) R1 и/или R2 являются группами вида COOR5, R5, может являться не только водородом или низшим алкилом, но может быть подходящим образом преобразована в иные фармацевтически приемлемые и легко гидролизуемые остатки. Более подробно, объектом настоящего изобретения являются соединения формулы (I) в которых В является -C R3 является водородом или (С1-С3)алкилом; X, Y и Z являются C-R4 или азотом, причем хотя бы одна из групп X, Y и Z является C-R4; R4 является водородом или (С1-С7)алкилом; R1 и R2 независимо друг от друга выбраны из группы, включающей водород, (С1-С7)алкил, (С1-С7)алкокси(С1-С7)алкил, -COOR5 или -COR5, где R5 является водородом или (С1-С7)алкилом, -OR6, где R6 является водородом, (С1-С7)алкилом, -(СН2)m-циклоалкилом, -(СН2)m-гетероциклилом, -(CH2)n-CN, или -(CH2)n-OR7, где R7 является водородом или (С1-С7)алкилом, причем m принимает значения 0, 1, 2 или 3, а n принимает значения 1, 2 или 3; -SR8, где R8 является водородом, (С1-С7)алкилом, -(СН2)m-циклоалкилом, или -(СН2)m-гетероциклилом, причем m принимает значения 0, 1, 2 или 3; -CONR9R10, где R9 и R10 являются водородом или (С1-С7)алкилом, или где NR9R10 может образовывать цикл, содержащий от 3 до 7 атомов, указанный цикл необязательно включает один или более дополнительных атомов азота или кислорода, и пятичленный гетероароматический цикл, содержащий от 1 до 4 гетероатомов, выбранных из азота, кислорода или серы, замещенный водородом или (С1-С7)алкилом; или R1 и R2 совместно с атомами углерода, к которым они присоединены, могут образовывать цикл, содержащий от 3 до 7 атомов, указанный цикл необязательно включает один или более атомов азота или кислорода; и их фармацевтически приемлемые соли. Предпочтительными соединениями формулы (I) по настоящему изобретению являются такие соединения формулы (I), в которых какая-либо из групп R1 или R2 является водородом. Предпочтительными также являются такие соединениями формулы (I), в которых R1 или R2 выбраны из группы, включающей (С1-С7)алкил, (С1-С7)алкокси(С1-С7)алкил, -COOR5, где R5 является (С1-С7)алкилом, -OR6, где R6 является водородом, (С1-С7)алкилом, -(СН2)m-циклоалкилом, -(CH2)m-гетероциклилом, -(CH2)n-CN, или -(CH2)n-OR7, где R7 является водородом или (С1-С7)алкилом, причем m принимает значения 0, 1, 2 или 3, а n принимает значения 1, 2 или 3; -SR8, где R8 является (С1-С7)алкилом, -CONR9R10, где R9 и R10 являются водородом или (С1-С7)алкилом, или где NR9R10 может образовывать цикл, содержащий от 3 до 7 атомов, указанный цикл необязательно включает один или более дополнительных атомов азота или кислорода, и пятичленный гетероароматический цикл, содержащий от 1 до 4 гетероатомов, выбранных из азота, кислорода или серы, замещенный водородом или (С1-С7)алкилом. Особенно предпочтительными являются такие соединения формулы (I), в которых R1 или R2 выбраны из группы, включающей (С1-С7)алкил, (С1-С7)алкокси(С1-С7)алкил, -COOR5, где R5 является водородом или (С1-С7)алкилом, -OR6, где R6 является водородом, (С1-С7)алкилом, -(СН2)m-циклоалкилом, -(СН2)m-гетероциклилом, -(CH2)n-CN, или -(CH2)n-OR7, где R7 является водородом или (С1-С7)алкилом, причем m принимает значения 0, 1, 2 или 3, а n принимает значения 1, 2 или 3; -SR8, где R8 является (С1-С7)алкилом. Более предпочтительными являются такие соединения формулы (I) согласно настоящему изобретению, в которых R1 или R2 являются -COOR5, где R5 является водородом или (С1-С7)алкилом. Кроме того, предпочтительными являются такие соединения формулы (I), в которых R1 или R2 выбраны из группы, включающей (С1-С7)алкокси-(С1-С7)алкил, -OR6, где R6 является водородом, (С1-С7)алкилом, -(СН2)m-циклоалкилом, -(СН2)m-гетероциклилом, -(CH2)n-CN, или -(CH2)n-OR7, где R7 является водородом или (С1-С7)алкилом, причем m принимает значения 0, 1, 2 или 3, а n принимает значения 1, 2 или 3; и -SR8, где R8 является (C1-С7)алкилом. Также предпочтительными являются такие соединения формулы (I), в которых R1 или R2 являются пятичленным гетероароматическим циклом, содержащим от 1 до 4 гетероатомов, выбранных из азота, кислорода или серы, замещенным водородом или (С1-С7)алкилом. Соединения формулы (I) согласно настоящему изобретению, в которых R1 и R2 совместно с атомами углерода, к которым они присоединены, могут образовывать цикл, содержащий от 3 до 7 атомов, указанный цикл может необязательно включать один или более атомов азота или кислорода, также являются предпочтительными. Предпочтительными также являются соединения формулы (I), отвечающие формуле в которой X, Y, Z, R1 и R2 принимают указанные в п.1 формулы изобретения значения, а также их фармацевтически приемлемые соли и/или сложные эфиры. Особенно предпочтительными являются такие соединения формулы (I-A), в которых X, Y и Z являются -CR4, где R4 является водородом. Примерами подобных соединений являются нижеследующие: этиловый эфир 4-(3,3-диметил-3,4-дигидро-2Н-бензо[b][1,4]диоксепин-7-ил-этинил)бензойной кислоты; этиловый эфир 3-(3,3-диметил-3,4-дигидро-2Н-бензо[b][1,4]диоксепин-7-ил-этинил)бензойной кислоты; 3,3-диметил-7-(4-метилсульфанилфенилэтинил)-3,4-дигидро-2Н-бензо[b][1,4]диоксепин; 7-(4-метоксифенилэтинил)-3,3-диметил-3,4-дигидро-2Н-бензо[b][1,4]диоксепин; 4-(3,3-диметил-3,4-дигидро-2Н-бензо[b][1,4]диоксепин-7-илэтинил)фенол; 7-(4-этоксифенилэтинил)-3,3-диметил-3,4-дигидро-2Н-бензо[b][1,4]диоксепин; 7-(4-этоксиметилфенилэтинил)-3,3-диметил-3,4-дигидро-2Н-бензо[b][1,4]диоксепин; 2-[4-(3,3-диметил-3,4-дигидро-2Н-бензо[b][1,4]диоксепин-7-илэтинил)фенил]-5-метил[1,3,4]оксадиазол; 7-(4-циклопропилметоксифенилэтинил)-3,3-диметил-3,4-дигидро-2Н-бензо[b][1,4]диоксепин; 3,3-диметил-7-(4-пропоксифенилэтинил)-3,4-дигидро-2Н-бензо[b][1,4]диоксепин; и 3,3-диметил-7-(4-оксиранилметоксифенилэтинил)-3,4-дигидро-2Н-бензо[b][1,4]диоксепин. Также являются предпочтительными такие соединения формулы (I-A), в которых какая-либо одна из групп X, Y или Z является азотом, а остальные являются -CR4, где R4 является водородом. Примерами подобных соединений являются нижеследующие: этиловый эфир 6-(3,3-диметил-3,4-дигидро-2Н-бензо[b][1,4]диоксепин-7-ил-этинил)никотиновой кислоты; и этиловый эфир 5-(3,3-диметил-3,4-дигидро-2Н-бензо[b][1,4]диоксепин-7-ил-этинил)пиридин-2-карбоновой кислоты. Кроме того, также являются предпочтительными соединения формулы (I), отвечающие формуле, в которой X, Y, Z, R1, R2 и R3 принимают указанные в п.1 формулы изобретения значения, а также их фармацевтически приемлемые соли и/или сложные эфиры. Особенно предпочтительными являются такие соединения формулы (I-Б), в которых X, Y и Z являются -CR4, где R4 является водородом. Примерами подобных соединений являются нижеследующие: этиловый эфир 4-(3,3-диметил-3,4-дигидро-2Н-бензо[b][1,4]диоксепин-7-ил-метокси)бензойной кислоты; и 7-(3-этоксифеноксиметил)-3,3-диметил-3,4-дигидро-2Н-бензо[b][1,4]диоксепин. Кроме того, следующие соединения являются примерами предпочтительных соединений по настоящему изобретению: этиловый эфир 4-(3,3-диметил-3,4-дигидро-2Н-бензо[b][1,4]диоксепин-7-илэтинил)бензойной кислоты; этиловый эфир 3-(3,3-диметил-3,4-дигидро-2Н-бензо[b][1,4]диоксепин-7-илэтинил)бензойной кислоты; 3,3-диметил-7-(4-метилсульфанилфенилэтинил)-3,4-дигидро-2Н-бензо[b][1,4]диоксепин; 1-[4-(3,3-диметил-3,4-дигидро-2Н-бензо[b][1,4]диоксепин-7-ил-этинил)фенил]этанон; 7-(4-метоксифенилэтинил)-3,3-диметил-3,4-дигидро-2Н-бензо[b][1,4]диоксепин; 7-(3-метоксифенилэтинил)-3,3-диметил-3,4-дигидро-2Н-бензо[b][1,4]диоксепин; 4-(3,3-диметил-3,4-дигидро-2Н-бензо[b][1,4]диоксепин-7-илэтинил)фенол; 7-(4-этоксифенилэтинил)-3,3-диметил-3,4-дигидро-2Н-бензо[b][1,4]диоксепин; 7-бензо[1,3]диоксол-5-илэтинил-3,3-диметил-3,4-дигидро-2Н-бензо[b][1,4]диоксепин; 7-(2,3-дигидробензофуран-5-илэтинил)-3,3-диметил-3,4-дигидро-2Н-бензо[b][1,4]диоксепин; [4-(3,3-диметил-3,4-дигидро-2Н-бензо[b][1,4]диоксепин-7-илэтинил)фенил]-морфолин-4-илметанон; 4-(3,3-диметил-3,4-дигидро-2Н-бензо[b][1,4]диоксепин-7-илэтинил)-N,N-диметилбензамид; этиловый эфир 6-(3,3-диметил-3,4-дигидро-2Н-бензо[b][1,4]диоксепин-7-ил-этинил)никотиновой кислоты; 7-(4-этоксиметилфенилэтинил)-3,3-диметил-3,4-дигидро-2Н-бензо[b] [1,4]диоксепин; 2-[4-(3,3-диметил-3,4-дигидро-2Н-бензо[b][1,4]диоксепин-7-илэтинил)фенил]-5-метил[1,3,4]оксадиазол; этиловый эфир 5-(3,3-диметил-3,4-дигидро-2Н-бензо[b][1,4]диоксепин-7-ил-этинил)пиридин-2-карбоновой кислоты; этиловый эфир 4-(3,3-диметил-3,4-дигидро-2Н-бензо[b][1,4]диоксепин-7-ил-метокси)бензойной кислоты; 7-(4-циклопропилметоксифенилэтинил)-3,3-диметил-3,4-дигидро-2Н-бензо[b][1,4]диоксепин; 7-[4-(2-метоксиэтоксифенилэтинил]-3,3-диметил-3,4-дигидро-2Н-бензо[b][1,4]диоксепин; [4-(3,3-диметил-3,4-дигидро-2Н-бензо[b][1,4]диоксепин-7-илэтинил)фенокси]-ацетонитрил; 3,3-диметил-7-(4-пропоксифенилэтинил)-3,4-дигидро-2Н-бензо[b][1,4]диоксепин; 3,3-диметил-7-(4-оксиранилметоксифенилэтинил)-3,4-дигидро-2Н-бензо[b][1,4]диоксепин; 7-(4-изопропилфеноксиметил)-3,3-диметил-3,4-дигидро-2Н-бензо[b][1,4]диоксепин; 3,3-диметил-7-(4-метилсульфанилфеноксиметил)-3,4-дигидро-2Н-бензо[b][1,4]диоксепин; 7-(3-этоксифеноксиметил)-3,3-диметил-3,4-дигидро-2Н-бензо[b][1,4]диоксепин; 7-(4-этилфеноксиметил)-3,3-диметил-3,4-дигидро-2Н-бензо[b][1,4]диоксепин; 7-(4-метоксифеноксиметил)-3,3-диметил-3,4-дигидро-2Н-бензо[b][1,4]диоксепин; и 5-[4-(3,3-диметил-3,4-дигидро-2Н-бензо[b][1,4]диоксепин-7-илэтинил)фенил]-2-метил-2Н-тетразол. Фармацевтически приемлемые соли соединений формулы I также составляют предпочтительный вариант осуществления настоящего изобретения. Подразумевается, что соединения общей формулы I по настоящему изобретению могут быть преобразованы в производные по функциональным группам с получением производных, которые способны к обратному преобразованию в исходное соединение in vivo. Физиологически приемлемые и метаболически лабильные производные, способные превращаться в исходные соединения общей формулы (I) in vivo, также входят в объем и сущность настоящего изобретения. В еще одном варианте осуществления настоящего изобретения его объектом является способ получения соединений формулы (I), как они определены выше, включающий а) взаимодействие соединений формулы
с арильным или гетероарильным галогенпроизводным формулы
в котором Hal является бромом или иодом, а X, Y, Z, R1 и R2 принимают указанные выше значения, с получением соединения формулы в котором X, Y, Z, R1 и R2 принимают указанные выше значения, или, альтернативно, б) взаимодействие соединения формулы
с алкином формулы
в котором X, Y, Z, R1 и R2 принимают указанные выше значения, с получением соединения формулы в котором X, Y, Z, R1 и R2 принимают указанные выше значения, или, альтернативно, в) взаимодействие соединения формулы
в котором R3 является водородом или (С1-С3)алкилом, с соединением формулы
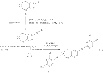
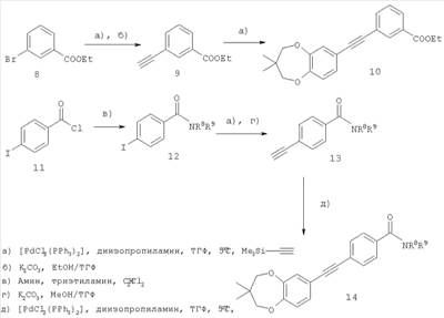
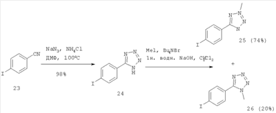
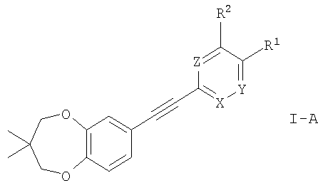
в котором X, Y, Z, R1 и R2 принимают указанные выше значения, с получением соединения формулы в котором X, Y, Z, R1, R2 и R3 принимают указанные выше значения. Как было описано выше, соединения формулы (I) по настоящему изобретению могут применяться в качестве лекарственных средств для лечения и/или профилактики заболеваний, связанных с АСС Таким образом, объектом настоящего изобретения являются фармацевтические композиции, содержащие соединение, как оно определено выше, и фармацевтически приемлемый носитель и/или адъювант. Помимо этого, объектом настоящего изобретения являются соединения, как они определены выше, для применения в качестве терапевтически активных веществ, в частности, в качестве терапевтически активных веществ для лечения и/или профилактики заболеваний, модулируемых ингибиторами АСС Еще в одном варианте осуществления настоящего изобретения его объектом является способ лечения и/или профилактики заболеваний, модулируемых ингибиторами АСС Объектом настоящего изобретения является также применение соединений, как они определены выше, для лечения и/или профилактики заболеваний, модулируемых ингибиторами АСС Кроме этого, объектом настоящего изобретения является применение соединений, как они определены выше, для изготовления лекарственных средств для лечения и/или профилактики заболеваний, модулируемых ингибиторами АСС Соединения формулы (I) могут быть получены с помощью способов, приведенных ниже, с помощью способов, приведенных в примерах, или с помощью аналогичных способов. Подходящие условия реакций для индивидуальных стадий известны специалистам в соответствующей области. Исходные вещества либо являются коммерчески доступными, либо могут быть получены с помощью способов, аналогичных приведенным ниже способам, способов, описанных в цитируемых в тексте ссылках или в примерах, или способов, известных специалистам в соответствующей области. Соединения формулы (I), в которых В является -C Синтез ключевого арильного иодпроизводного (5) представлен на схеме 1. 7-Иод-3,3-диметил-3,4-дигидро-2H-бензо[b][1,4]диоксепин (5) получают посредством иодирования 3,3-диметил-3,4-дигидро-2H-бензо[b][1,4]диоксепина (4) трифторацетатом серебра в CH2Cl2. 3,3-Диметил-3,4-дигидро-2H-бензо[b][1,4]диоксепин (4) получают согласно М.Klaus, P.Mohr, E. Weiss, заявка на европейский патент ЕР 0350846 А2 (1990). Схема 1 Большинство соединений, рассмотренных в примерах, получают исходя из усовершенствованного ацетиленового промежуточного соединения (6), получаемого исходя из иодпроизводного (5) посредством кросс-сочетания с триметилсилилацетиленом и последующего расщепления триметилсилильного остатка с помощью К2СО3 в смеси ТГФ и метанола (схема 2). В ходе следующей реакции кросс-сочетания по Соногашире соединение (6) вводят в реакцию с подходящим арильным галогенпроизводным или гетероарильным галогенпроизводным вида (7) с целью получения соединения формулы (I-A). Схема 2 Альтернативно соединения формулы (I) могут быть получены похожим способом посредством обращения порядка реакционных стадий (схема 3). Соединение формулы (9) получают аналогично способу, описанному в Т.Iijima, Y.Endo, M.Tsuji, E.Kawachi, H.Kagechika, К.Shudo, Chem.Pharm.Bull. 1999, 47, 3, 398-404. Арильные галогенпроизводные или гетероарильные галогенпроизводные (например, 8 и 11), используемые в качестве исходных веществ, являются коммерчески доступными или могут быть получены согласно указанным ниже способам. Амиды вида (12) получают по реакции хлорангидрида 4-иодбензойной кислоты (11) и соответствующих аминов в СН2Cl2 и триэтиламине. Схема 3 Бромпроизводное (16) получают исходя из 4-бромбензилбромида (15) в этаноле при кипячении с обратным холодильником (см. схему 4). Схема 4 Производное 1,3,4-оксадиазола (19) получают по реакции 4-иодбензойной кислоты (17) и ацетилгидразида (18) в хлорокиси фосфора (POCl3) при температуре 100°С (см. схему 5). Схема 5 Производное пиридина (22) получают в две стадии исходя из 5-бром-2-метилпиридина (20) путем окисления его до 5-бром-2-пиридинкарбоновой кислоты (21), как это описано в G.M.Sanders, M.van Dijk and Н.С.van der Plas, Heterocycles 1981, 15, 213-223, и хлорирования с помощью SOCl2 с последующей реакцией с EtOH (см. схему 6). Схема 6 Реакция 4-иодбензонитрила (23) с азидом натрия приводит к производному тетразола (24), которое может быть прометилировано с образованием смеси соединений 25/26. Два региоизомера могут быть легко разделены с помощью флэш-хроматографии (см. схему 7). Схема 7 Соединения формулы (I) по настоящему изобретению, в которых R1 является -OR5, где R5 является (С1-С7)алкилом, -(СН2)n-циклоалкилом, -(СН2)n-гетероциклилом, -(CH2)n-CN, или -(CH2)n-OR6, где R6 является водородом или (С1-С6)алкилом, могут быть получены путем алкилирования соответствующего производного фенола (27) (см. схему 8). Схема 8 Соединения формулы (I), в которых В является -СН2О- (производные простых бензиловых эфиров), получают путем алкилирования спирта (31) в условиях по Мицунобу (см. схему 9). Сложный эфир (30) получают исходя из этилового эфира 3,4-дигидроксибензойной кислоты, следуя методике, аналогичной синтезу соединения (4) (М.Klaus, P.Mohr, E.Weiss, заявка на европейский патент ЕР 0350846 А2). Восстановление (30) с помощью диизобутилалюминийгидрида (DIBAL-H) приводит к спирту (31). Схема 9 Подразумевается, что соединения общей формулы (I) по настоящему изобретению могут быть преобразованы в производные по функциональным группам с целью получения таких производных, которые могут быть преобразованы обратно в исходное соединение in vivo. Следующие испытания были осуществлены с целью определения активности соединений формулы (I): Получение и характеристика человеческого фермента АСС Клонирование комплементарной ДНК (кДНК) полной длины человеческого АСС Она включает терминирующий кодон и сайт рестрикционного расщепления XhoI для субклонирования. Амплифицированный фрагмент ДНК размером приблизительно 7,4 тысячи оснований клонируют в экспрессирующий вектор млекопитающих. Получаемые в результате плазмидные изоляты, pRF33A, В, С, D и Е индивидуально трансфецируют в клетки почек человеческого эмбриона 293 (НЕК293), используя стандартный способ трансфекции липидов. Клеточные экстракты трансфецированных клеток получают в буферном растворе для лизиса, содержащем 0,4 мг/мл дигитонина, а ферментативную активность определяют с помощью радиометрического анализа активности АСС, как он описан ниже. Плазмида pRF33D характеризуется наибольшей активностью, и ее вбирают для крупномасштабной трансфекции клеток НЕК293 и очистки фермента. Поскольку активности фермента АСС в неочищенных клеточных лизатах очень низки, обогащения фермента АСС Стандартный анализ фермента АСС Количество снабженного [14С]-меткой продукта реакции, малонил-КоА, измеряют с помощью метода жидкостной сцинтилляции после добавления 20 мкл Microscint 20 (Canberra Packard, # 6013621) с использованием сцинтилляционного детектора для микропланшетов TopCount NXT (Canberra Packard). Ингибирование активности АСС Предпочтительные соединения по настоящему изобретению демонстрируют величины IC50 в пределах от 5 нМ до 100 мкМ, предпочтительно, от 1 до 1000 нМ. В следующей таблице представлены измеренные величины для некоторых избранных соединений по настоящему изобретению.
Соединения формулы (I) и их фармацевтически приемлемые соли и сложные эфиры могут применяться в качестве лекарственных средств, например, в виде фармацевтических препаратов для энтерального, парэнтерального или локального введения. Они могут вводиться, например, перорально, например, в виде таблеток, таблеток с оболочкой, драже, твердых и мягких желатиновых капсул, растворов, эмульсий или суспензий, перректально, например, в виде суппозиториев, парэнтерально, например, в виде растворов для инъекций или растворов для вливаний, или локально, например, в виде мазей, кремов или масел. Изготовление фармацевтических препаратов может быть осуществлено с помощью способов, известных любому специалисту в соответствующей области, посредством переведения описанных соединения формулы (I) и их фармацевтически приемлемых солей и сложных эфиров в форму галеновых препаратов совместно с подходящими нетоксичными и инертными терапевтически совместимыми твердыми или жидкими веществами-носителями и, если это желательно, стандартными фармацевтическими адъювантами. Подходящие вещества-носители являются не только неорганическими веществами-носителями, но также и органическими веществами-носителями. Таким образом, например, лактоза, кукурузный крахмал или его производные, тальк, стеариновая кислота или ее соли могут быть использованы в качестве веществ-носителей для таблеток, таблеток с оболочкой, драже и твердых желатиновых капсул. Подходящими веществами-носителями для мягких желатиновых капсул являются, например, растительные масла, воски, жиры и полутвердые и жидкие полиолы (однако, в зависимости от природы активного ингредиента, в случае мягких желатиновых капсул какие-либо носители могут вообще не потребоваться). Подходящими веществами-носителями для изготовления растворов и сиропов являются, например, вода, полиолы, сахароза, инвертный сахар и им подобные. Подходящими веществами-носителями для растворов для инъекций являются, например, вода, спирты, полиолы, глицерин и растительные масла. Подходящими веществами-носителями для суппозиториев являются, например, природные или отвержденные масла, воски, жиры и полужидкие или жидкие полиолы. Подходящими веществами-носителями для препаратов для локального применения являются глицериды, полусинтетические и синтетические глицериды, гидрогенизированные масла, жидкие воски, жидкие парафины, жидкие жирные спирты, стерины, полиэтиленгликоли и производные целлюлозы. В качестве фармацевтических адъювантов могут рассматриваться обычные стабилизаторы, консерванты, увлажнители и эмульгаторы, средства для улучшения консистенции, ароматизаторы, соли для варьирования осмотического давления, буферные вещества, солюбилизаторы, красители и маскирующие средства, а также антиоксиданты. Дозировка соединений формулы (I) может варьироваться в широких пределах в зависимости от того заболевания, для контроля которого они применяются, возраста и индивидуального состояния пациента, а также способа введения и должна быть, безусловно, приспособлена к индивидуальным требованиям в каждом конкретном случае. Для взрослых пациентов может рассматриваться суточная дозировка в пределах от, приблизительно, 1 мг до, приблизительно, 1000 мг, в частности, от, приблизительно, 1 мг до, приблизительно, 100 мг. В зависимости от дозировки может оказаться удобным вводить суточную дозировку несколькими разделенными дозами. Для удобства фармацевтические препараты могут содержать 0,1-500 мг, предпочтительно 0,5-100 мг, соединения формулы (I). Нижеследующие примеры служат для того, чтобы проиллюстрировать настоящее изобретения в больших подробностях. Они, однако, не предназначены для того, чтобы каким-либо образом ограничивать его объем. Примеры Пример 1 Этиловый эфир 4-(3,3-диметил-3,4-дигидро-2H-бензо[b][1,4]диоксепин-7-илэтинил)бензойной кислоты а) 3,3-Диметил-3,4-дигидро-2H-бензо[b][1,4]диоксепин (4) Указанное в заглавии соединение получают согласно способу, описанному в М.Klaus, P.Mohr, E.Weiss, заявка на европейский патент ЕР 0350846 А2 (1990). б) 7-Иод-3,3-диметил-3,4-дигидро-2H-бензо[b][1,4]диоксепин (5) Приготавливают раствор 3,3-диметил-3,4-дигидро-2H-бензо[b] [1,4]-диоксепина (4) (726 мг) в CH2Cl2 (40 мл) и затем добавляют к нему трифторацетат серебра (1,13 г) и иод (1,06 г). Немедленно происходит осаждение иодида серебра. Смесь перемешивают в течение 16 часов, а затем фильтруют сквозь дикалит. Органический слой промывают насыщенным водным раствором Na2O3S2 (2×50 мл) и водой (2×50 мл). Водный слой еще раз экстрагируют СН2Cl2 (50 мл). После высушивания (MgSO4) растворитель выпаривают, что приводит к 7-иод-3,3-диметил-3,4-дигидро-2H-бензо[b][1,4]-диоксепину (5) в виде маслянистого вещества светло-коричневого цвета, масс спектр (МС) (ионизация распылением в электрическом поле (ИРЭП)): 304,1 (M·)+. в) (3,3-Диметил-3,4-дигидро-2H-бензо[b][1,4]диоксепин-7-илэтинил)-триметилсилан (6б) К смеси [PdCl2(PPh3)2] (1,73 г) и иодида меди(I) (845 мг) в атмосфере аргона добавляют обезгаженный раствор 7-иод-3,3-диметил-3,4-дигидро-2H-бензо[b][1,4]диоксепина (7) (15.0 г) в диизопропиламине (225 мл) и ТГФ (225 мл). Затем добавляют триметисилилацетилен (7,27 г) и перемешивают смесь в течение ночи при температуре 57°С. После добавления этилацетата (1 л) и фильтрования через дикалит раствор промывают 1н. водным раствором HCl (3×1 л) и соляным раствором (2×1 л). Органический слой высушивают над Na2SO4 и выпаривают растворитель, что приводит к (3,3-диметил-3,4-дигидро-2H-бензо[b][1,4]диоксепин-7-илэтинил)триметилсилану (6б) в виде маслянистого вещества коричневого цвета. г) 7-Этинил-3,3-диметил-3,4-дигидро-2H-бензо[b][1,4]диоксепин (6) Вещество, получаемое на стадии в) растворяют в ТГФ (200 мл) и МеОН (1 л) и добавляют К2СО3 (3,98 г). Смесь перемешивают в течение 1 часа при комнатной температуре (КТ), разбавляют диэтиловым эфиром (1,2 л) и экстрагируют водой (2×500 мл). После высушивания над Na2SO4 растворитель выпаривают, что приводит к 8,7 г 7-этинил-3,3-диметил-3,4-дигидро-2H-бензо[b][1,4]диоксепина (6) в виде маслянистого вещества темно-коричневого цвета, МС (ИРЭП): 202,2 (М·)+. д) Этиловый эфир 4-(3,3-диметил-3,4-дигидро-2H-бензо[b][1,4]диоксепин-7-илэтинил)бензойной кислоты К смеси 7-этинил-3,3-диметил-3,4-дигидро-2H-бензо[b][1,4]диоксепина (6) (1.0 г), этилового эфира 4-бромбензойной кислоты (1,13 г), [PdCl2(PPh3)2] (174 мг) и иодида меди(I) (94 мг) в атмосфере аргона добавляют обезгаженный раствор диизопропиламина (20 мл) и ТГФ (20 мл). Реакционную смесь перемешивают в течение ночи при температуре 57°С. После добавления этилацетата (100 мл) и фильтрования через дикалит, раствор промывают 1н. водным раствором HCl (3×50 мл) и водой (3×50 мл). Органический слой высушивают над MgSO4 и растворитель выпаривают. Неочищенный продукт подвергают очистке с помощью флэш-хроматографии (силикагель, элюент – смесь гептана и этилацетата 9:1), а затем с помощью препаративной высокоэффективной жидкостной хроматографии (ВЭЖХ). Получают 756 мг этилового эфира 4-(3,3-диметил-3,4-дигидро-2H-бензо[b][1,4]диоксепин-7-ил-этинил)бензойной кислоты в виде твердого вещества белого цвета, МС (ИРЭП): 350,2 (М·)+. Пример 2 3,3-Диметил-7-(4-метилсульфанил-фенилэтинил)-3,4-дигидро-2H-бензо[b][1,4]диоксепин Указанное в заглавии соединение получают с помощью способа, аналогичного описанному в примере 1, исходя из 7-этинил-3,3-диметил-3,4-дигидро-2H-бензо[b][1,4]диоксепина (6) (пример 1 г) и бромтиоанизола. МС (ИРЭП): 324,2 (М·)+. Пример 3 1-[4-(3,3-Диметил-3,4-дигидро-2H-бензо[b][1,4]диоксепин-7-илэтинил)-фенил]этанон Указанное в заглавии соединение получают с помощью способа, аналогичного описанному в примере 1, исходя из 7-этинил-3,3-диметил-3,4-дигидро-2H-бензо[b][1,4]диоксепина (6) (пример 1 г) и 1-(4-иод-фенил)этанона. МС (ИРЭП): 320,2 (М·)+. Пример 4 7-(4-Метокси-фенилэтинил)-3,3-диметил-3,4-дигидро-2H-бензо[b][1,4]диоксепин Указанное в заглавии соединение получают с помощью способа, аналогичного описанному в примере 1, исходя из 7-этинил-3,3-диметил-3,4-дигидро-2H-бензо[b][1,4]диоксепина (6) (пример 1 г) и 1-иод-4-метоксибензола. МС (ИРЭП): 308,2 (М·)+. Пример 5 7-(3-Метокси-фенилэтинил)-3,3-диметил-3,4-дигидро-2H-бензо[b] [1,4]диоксепин Указанное в заглавии соединение получают с помощью способа, аналогичного описанному в примере 1, исходя из 7-этинил-3,3-диметил-3,4-дигидро-2H-бензо[b][1,4]диоксепина(6) (пример 1 г) и 1-иод-3-метоксибензола. МС (ИРЭП): 308,2 (М·)+. Пример 6 4-(3,3-Диметил-3,4-дигидро-2H-бензо[b][1,4]диоксепин-7-илэтинил)фенол Указанное в заглавии соединение получают с помощью способа, аналогичного описанному в примере 1, исходя из 7-этинил-3,3-диметил-3,4-дигидро-2H-бензо[b][1,4]диоксепина (6) (пример 1 г) и 4-иодфенола в виде твердого вещества коричневого цвета. МС (ИРЭП): 293,1 (М-Н)–. Пример 7 7-(4-Этоксифенилэтинил)-3,3-диметил-3,4-дигидро-2H-бензо[b][1,4]диоксепин Указанное в заглавии соединение получают с помощью способа, аналогичного описанному в примере 1, исходя из 7-этинил-3,3-диметил-3,4-дигидро-2H-бензо[b][1,4]диоксепина (6) (пример 1 г) и 1-этокси-4-иодбензола. МС (ИРЭП): 322,2 (М·)+. Пример 8 7-Бензо[1,3]диоксол-5-илэтинил-3,3-диметил-3,4-дигидро-2H-бензо[b][1,4]диоксепин Указанное в заглавии соединение получают с помощью способа, аналогичного описанному в примере 1, исходя из 7-этинил-3,3-диметил-3,4-дигидро-2H-бензо[b][1,4]диоксепина (6) (пример 1 г) и 5-иодбензо[1,3]диоксола. МС (ИРЭП): 322,2 (М·)+. Пример 9 7-(2,3-Дигидробензофуран-5-илэтинил)-3,3-диметил-3,4-дигидро-2H-бензо[b][1,4]диоксепин Указанное в заглавии соединение получают с помощью способа, аналогичного описанному в примере 1, исходя из 7-этинил-3,3-диметил-3,4-дигидро-2H-бензо[b][1,4]диоксепина (6) (пример 1 г) и 5-иод-2,3-дигидробензофурана. МС (ИРЭП): 320,1 (M·)+. Пример 10 Этиловый эфир 6-(3,3-диметил-3,4-дигидро-2H-бензо[b][1,4]диоксепин-7-илэтинил)никотиновой кислоты Указанное в заглавии соединение получают с помощью способа, аналогичного описанному в примере 1, исходя из 7-этинил-3,3-диметил-3,4-дигидро-2H-бензо[b][1,4]диоксепина (6) (пример 1 г) и этилового эфира 6-хлорникотиновой кислоты. МС (ИРЭП): 352,4 (М+Н)+. Пример 11 7-(4-Этоксиметил-фенилэтинил)-3,3-диметил-3,4-дигидро-2H-бензо[b][1,4]диоксепин а) 1-Бром-4-этоксиметилбензол (16) Раствор 1,00 г 4-бромбензилбромида в 20 мл этанола перемешивают в течение 5 часов при кипячении с обратным холодильником. После этого выпаривают растворитель, что приводит к 766 мг 1-бром-4-этоксиметилбензола в виде маслянистого вещества желтого цвета, МС (ИРЭП): 216,1 (М+Н)+. б) 7-(4-Этоксиметилфенилэтинил)-3,3-диметил-3,4-дигидро-2H-бензо[b][1,4]диоксепин Аналогично тому, как это описано в примере 1, указанное в заглавии соединение получают исходя из 7-этинил-3,3-диметил-3,4-дигидро-2H-бензо[b][1,4]диоксепина (6) (пример 1 г) и 1-бром-4-этоксиметилбензола (16) в виде твердого вещества белого цвета. МС (ИРЭП): 336,2 (М·)+. Пример 12 2-[4-(3,3-Диметил-3,4-дигидро-2H-бензо[b][1,4]диоксепин-7-илэтинил)-фенил]-5-метил[1,3,4]оксадиазол а) 2-(4-Иодфенил’)-5-метил[1.3.4]оксадиазол (19) Смесь 4-иодбензойной кислоты (1,0 г) и ацетилгидразида (329 мг) в POCl3 (4 мл) перемешивают в течение ночи при температуре 80°С, а затем еще в течение суток при температуре 100°С. После этого добавляют этилацетат (50 мл) и промывают смесь водой (50 мл), насыщенным водным раствором Na2CO3 (50 мл) и снова Н2О (50 мл). После высушивания над Na2SO4 растворитель выпаривают и подвергают продукт очистке с помощью флэй-хроматографии (силикагель, элюент – смесь CH2Cl2, метанола и 25% водного раствора NH4OH 90:9:1). Получают 368 мг 2-(4-иодфенил)-5-метил[1,3,4]оксадиазола (19) в виде твердого вещества желтоватого цвета, МС (ИРЭП): 287,0 (М+Н)+. б) 2-[4-(3,3-Диметил-3,4-дигидро-2H-бензо [b] [1,4]диоксепин-7-илэтинил)-фенил]-5-метил[1,3,4]оксадиазол Аналогично тому, как это описано в примере 1, указанное в заглавии соединение получают исходя из 7-этинил-3,3-диметил-3,4-дигидро-2H-бензо[b][1,4]диоксепина (6) (пример 1 г) и 2-(4-иодфенил)-5-метил-[1,3,4]оксадиазола в виде твердого вещества белого цвета. МС (ИРЭП): 360,1 (М·)+. Пример 13 Этиловый эфир 5-(3,3-диметил-3,4-дигидро-2H-бензо[b][1,4]диоксепин-7-илэтинил)пиридин-2-карбоновой кислоты а) Этиловый эфир 5-бромпиридин-2-карбоновой кислоты (22) Помещают 1,17 г 5-бром-2-пиридинкарбоновой кислоты (21), полученной согласно G.M.Sanders, M.van Dijk и Н.С.van der Plas, Heterocycles 1981, 15, 213-223, в SOCl2 (6 мл) и нагревают смесь в течение 2 часов при кипячении с обратным холодильником. После выпаривания SOCl2 остаток обрабатывают при кипячении с обратным холодильником смесью толуола (3 мл) и абсолютного этанола (6 мл). После этого доводят рН до 8 посредством добавления насыщенного водного раствора Na2CO3 и экстрагируют продукт диэтиловым эфиром. Органический слой промывают порциями воды до достижения нейтрального рН, высушивают над Na2SO4 и выпаривают растворитель, что приводит к 377 мг этилового эфира 5-бромпиридин-2-карбоновой кислоты (22) в виде порошка белого цвета, МС (ИРЭП): 232,0 (М+Н)+. Альтернативно, этиловый эфир 5-бромпиридин-2-карбоновой кислоты (22) может быть получен с помощью способа, описанного в R.J.Chambers, A.Marfat, Synthetic Communications 1997, 27(3), 515-521. б) Этиловый эфир 5-(3,3-диметил-3,4-дигидро-2H-бензо[b][1,4]диоксепин-7-илэтинил)пиридин-2-карбоновой кислоты Указанное в заглавии соединение получают с помощью способа, аналогичного описанному в примере 1, исходя из 7-этинил-3,3-диметил-3,4-дигидро-2H-бензо[b][1,4]диоксепина (6) (пример 1 г) и этилового эфира 5-бромпиридин-2-карбоновой кислоты (22) в виде смолы. МС (ИРЭП): 351,1 (М·)+. Пример 14 5-[4-(3,3-Диметил-3,4-дигидро-2H-бензо[b][1,4]диоксепин-7-илэтинил)-фенил]-2-метил-2H-тетразол а) 5-(4-Иодфенил)-1Н-тетразол (24) Смесь 4-иодбензонитрила (2,0 г), азида натрия (624 мг) и хлорида аммония (514 мг) в N,N-диметилформамиде (ДМФ) перемешивают в течение 22 часов при температуре 100°С. После этого выпаривают ДМФ, суспендируют остаток в воде и обрабатывают его концентрированным водным раствором HCl. Твердое вещество собирают с помощью фильтрования, промывают 1н. водным раствором HCl и водой и высушивают под высоким вакуумом. Получают 2,32 г 5-(4-иодфенил)-1Н-тетразола (24) в виде порошка белого цвета, МС (ИРЭП): 270,9 (М-Н)–. б) 5-(4-Иодфенил)-2-метил-1Н-тетразол (25) Смесь 5-(4-иодфенил)-1Н-тетразола (24) (500 мг) и бромида аммония (1,18 г) в 1н. водном растворе NaOH (10 мл) и CH2Cl2 (10 мл) обрабатывают иодметаном и энергично перемешивают в течение 26 часов при КТ. После этого отделяют органический слой и промывают его 1н. водным раствором NaOH, водным раствором NH4Cl и соляным раствором. После высушивания над MgSO4 растворитель выпаривают и подвергают продукт очистке с помощью флэш-хроматографии (силикагель, элюент – от смеси гептана и CH2Cl2 1:1 до чистого СН2Cl2). Получают 387 мг 5-(4-иодфенил)-2-метил-2H-тетразола (25) в виде кристаллического вещества белого цвета, МС (ИРЭП): 286,0 (М·)+. Получают 105 мг 5-(4-иодфенил)-1-метил-1Н-тетразола (26) в качестве побочного продукта в виде кристаллического порошка грязно-белого цвета, МС (ИРЭП): 286,0 (М·)+. в) 5-[4-(3,3-Диметил-3,4-дигидро-2H-бензо[b][1,4]диоксепин-7-илэтинил)-фенил]-2-метил-2H-тетразол Указанное в заглавии соединение получают с помощью способа, аналогичного описанному в примере 1, исходя из 7-этинил-3,3-диметил-3,4-дигидро-2H-бензо[b][1,4]диоксепина (6) (пример 1 г) и 5-(4-иодфенил)-2-метил-2H-тетразола (25) в виде порошка белого цвета. МС (ИРЭП): 361,2 (М+Н)+. Пример 15 Этиловый эфир 3-(3,3-диметил-3,4-дигидро-2H-бензо[b][1,4]диоксепин-7-илэтинил)бензойной кислоты (10) а) Этиловый эфир 3-этинилбензойной кислоты (9) Указанное в заглавии соединение получают с помощью способа, аналогичного описанному в Т.Lijima, Y.Endo, M.Tsuji, E.Kawachi, H.Kagechika, К.Shudo, Chem. Pharm. Bull. 1999, 47, 3, 398-404). б) 7-(4-Этоксиметилфенилэтинил)-3,3-диметил-3,4-дигидро-2H-бензо[b][1,4]диоксепин К смеси этилового эфира 3-этинилбензойной кислоты (9) (50 мг), 7-иод-3,3-диметил-3,4-дигидро-2H-бензо[b][1,4]диоксепина (5) (87 мг) (пример 16), [PdCl2(PPh3)2] (10 мг) и иодида меди(I) (5,5 мг) в атмосфере азота добавляют обезгаженную смесь ТГФ (2,5 мл) и диизопропиламина (2,5 мл). После перемешивания в течение 5,5 часов при КТ добавляют гексан (15 мл) и промывают смесь 1н. водным раствором HCl (2×15 мл), водой (15 мл) и соляным раствором (15 мл). После высушивания над MgSO4 растворитель выпаривают и подвергают продукт очистке с помощью флэш-хроматографии (силикагель, элюент – гексан, содержащий 1% этилацетата). Получают 55 мг этилового эфира 3-(3,3-диметил-3,4-дигидро-2H-бензо[b][1,4]диоксепин-7-илэтинил)-бензойной кислоты (10) в виде бесцветной смолы, МС (ИРЭП): 350,2 (M·)+. Пример 16 [4-(3,3-Диметил-3,4-дигидро-2H-бензо[b][1,4]диоксепин-7-илэтинил)-фенил]морфолин-4-илметанон а) (4-Иодфенил)морфолин-4-илметанон Смесь хлорангидрида 4-иодбензойной кислоты (500 мг), морфолина (163 мг) и триэтиламина (380 мг) в CH2Cl2 (20 мл) перемешивают в течение 2 часов, а затем промывают водой (20 мл) и соляным раствором (20 мл). Органический слой высушивают над MgSO4 и выпаривают растворитель, что приводит к 482 мг (4-иодфенил)морфолин-4-илметанона в виде полутвердого вещества желтоватого цвета, МС (ИРЭП): 318,0 (М+Н)+. б) Морфолин-4-ил(4-триметилсиланилэтинилфенил)метанон К смеси (4-иодфенил)морфолин-4-илметанона (273 мг), триметилсилилацетилена (169 мг), [PdCl2(PPh3)2] (30 мг) и иодида меди(I) (15 мг) в атмосфере аргона добавляют обезгаженную смесь ТГФ (4,5 мл) и диизопропиламина (4,5 мл). После перемешивания в течение ночи при температуре 57°С и водной обработки органический слой высушивают над Na2SO4 и выпаривают растворитель. Очистка с помощью флэш-хроматографии (силикагель, элюент – смесь CH2Cl2, метанола и 25% NH4OH 97:3:0,3) приводит к 247 мг морфолин-4-ил(4-триметилсиланилэтинилфенил)метанона в виде твердого вещества светло-коричневого цвета, 1H-ЯМР (300 МГц): 0,26 (s, 3Н); 3,32-3,91 (ушир., 8Н); 7,34 (d, J=6,5, 2H); 7,51 (d, J=6,5, 2H). в) (4-Этинилфенил)морфолин-4-илметанон Вещество, получаемое на стадии б) обрабатывают в течение 1 часа при КТ раствором К2СО3 в смеси метанола (30 мл) и ТГФ (6 мл). После этого реакционную смесь выливают в диэтиловый эфир (60 мл) и промывают водой (2×60 мл). После высушивания над Na2SO4 и выпаривания растворителя получают 110 мг (4-этинилфенил)морфолин-4-илметанона, 1Н-ЯМР (300 МГц): 3,15 (s, 1Н); 3,33-3,94 (ушир., 8Н); 7,37 (d, J=6,6, 2H); 7,53 (d, J=6,6, 2H). г) [4-(3,3-Диметил-3,4-дигидро-2H-бензо[b][1,4]диоксепин-7-илэтинил)-фенил]морфолин-4-илметанон Указанное в заглавии соединение получают с помощью способа, аналогичного способу получения этилового эфира 3-(3,3-диметил-3,4-дигидро-2H-бензо[b][1,4]диоксепин-7-илэтинил)бензойной кислоты (10) исходя из (4-этинилфенил)морфолин-4-илметанона и 7-иод-3,3-диметил-3,4-дигидро-2H-бензо[b][1,4]диоксепина (5) в виде вязкого маслянистого вещества желтого цвета, МС (ИРЭП): 392,3 (М+Н)+. Пример 17 4-(3,3-Диметил-3,4-дигидро-2H-бензо[b][1,4]диоксепин-7-илэтинил)-N,N-диметилбензамид а) 4-Иод-N,N-диметилбензамид Указанное в заглавии соединение получают с помощью способа, аналогичного описанному в примере 16а, исходя из хлорангидрида 4-иодбензойной кислоты, N,N-диметиламина и триэтиламина в CH2Cl2 в виде маслянистого вещества желтого цвета, МС (ИРЭП): 276,0 (М+Н)+. б) N,N-Диметил-4-триметилсиланилэтинилбензамид К смеси 4-иод-N,N-диметилбензамида (237 мг), триметилсилилацетилена (169 мг), [PdCl2(PPh3)2] (30 мг) и иодида меди(I) (15 мг) в атмосфере аргона добавляют обезгаженную смесь ТГФ (4,5 мл) и диизопропиламина (4,5 мл). После перемешивания в течение ночи при температуре 57°С и водной обработки органический слой высушивают над Na2SO4 и выпаривают растворитель. Очистка с помощью флэш-хроматографии (силикагель, элюент – смесь CH2Cl2, метанола и 25% NH4OH 97:3:0,3) приводит к N,N-диметил-4-триметилсиланилэтинилбензамиду в виде маслянистого вещества коричневого цвета, 1H-ЯМР (300 МГц): 0,25 (s, 3Н); 2,96 (s, 3Н); 3,10 (s, 3H); 7,35 (d, J=8,5, 2H); 7,49 (d, J=8,5, 2H). в) 4-Этинил-N,N-диметилбензамид Указанное в заглавии соединение получают с помощью способа, аналогичного способу получения (4-этинилфенил)морфолин-4-илметанона, (пример 16в), исходя из N,N-диметил-4-триметилсиланилэтинилбензамида. 1Н-ЯМР (300 МГц): 3,15 (s, 1Н); 3,33-3,94 (ушир., 8Н); 7,37 (d, J=6,6, 2H); 7,53 (d, J=6,6, 2H). г) 4-(3,3-Диметил-3,4-дигидро-2H-бензо[b][1,4]диоксепин-7-илэтинил)-N,N-диметилбензамид Указанное в заглавии соединение получают с помощью способа, аналогичного способу получения этилового эфира 3-(3,3-диметил-3,4-дигидро-2H-бензо[b][1,4]диоксепин-7-илэтинил)бензойной кислоты (10), исходя из 4-этинил-N,N-диметилбензамида и 7-иод-3,3-диметил-3,4-дигидро-2H-бензо[b][1,4]диоксепина (5) в виде твердого вещества светло-коричневого цвета, МС (ИРЭП): 699,4 (100, [2М+Н]+), 350,4 (15, [М+Н]+). Пример 18 7-(4-Циклопропилметоксифенилэтинил)-3,3-диметил-3,4-дигидро-2H-бензо [b][1,4]диоксепин Общая методика алкилирования 4-(3,3-диметил-3,4-дигидро-2H-бензо[b][1,4]диоксепин-7-илэтинил)фенола (пример 6): Растворяют 4-(3,3-диметил-3,4-дигидро-2H-бензо[b][1,4]диоксепин-7-илэтинил)фенол (пример 6) (100 мг) в 2 мл ДМФ и добавляют К2СО3 (141 мг), KI (59 мг) и 1,25 эквивалента алкилбромида. Смесь перемешивают в течение 22 часов при температуре 80°С. После охлаждения до КТ добавляют воду и экстрагируют продукт тремя порциями этилацетата. Объединенные органические слои промывают дополнительным количеством воды и соляным раствором и высушивают над Na2SO4. После этого растворитель выпаривают, что приводит к продукту. 7-(4-Циклопропилметоксифенилэтинил)-3,3-диметил-3,4-дигидро-2H-бензо[b][1,4]диоксепин получают в результате алкилирования с помощью циклопропилметилбромида в виде твердого вещества коричневатого цвета, МС (ИРЭП): 349,4 (M+H)+. Пример 19 7-[4-(2-Метоксиэтокси)фенилэтинил]-3,3-диметил-3,4-дигидро-2H-бензо[b][1,4]диоксепин Указанное в заглавии соединение получают согласно общей методике, описанной в примере 18, посредством алкилирования 4-(3,3-диметил-3,4-дигидро-2H-бензо[b][1,4]диоксепин-7-илэтинил)фенола (пример 6) с помощью 2-метоксиэтилбромида в виде твердого вещества коричневатого цвета, МС (ИРЭП): 353,3 (М+Н)+. Пример 20 [4-(3,3-Диметил-3,4-дигидро-2H-бензо[b][1,4]диоксепин-7-илэтинил)-фенокси]ацетонитрил Указанное в заглавии соединение получают согласно общей методике, описанной в примере 18, посредством алкилирования 4-(3,3-диметил-3,4-дигидро-2H-бензо[b][1,4]диоксепин-7-илэтинил)фенола (пример 6) 2-бромацетонитрилом в виде твердого вещества коричневатого цвета, МС (ИРЭП): 334,3 (М+Н)+. Пример 21 3,3-Диметил-7-(4-пропоксифенилэтинил)-3,4-дигидро-2H-бензо[b][1,4]диоксепин Указанное в заглавии соединение получают согласно общей методике, описанной в примере 18, посредством алкилирования 4-(3,3-диметил-3,4-дигидро-2H-бензо[b][1,4]диоксепин-7-илэтинил)фенола (пример 6) н-пропилбромидом в виде твердого вещества коричневатого цвета, МС (ИРЭП): 337,4 (М+Н)+. Пример 22 3,3-Диметил-7-(4-оксиранилметоксифенилэтинил)-3,4-дигидро-2H-бензо[b][1,4]диоксепин Указанное в заглавии соединение получают согласно общей методике, описанной в примере 18, посредством алкилирования 4-(3,3-диметил-3,4-дигидро-2H-бензо[b][1,4]диоксепин-7-илэтинил)фенола (пример 6) эпибромгидрином в виде твердого вещества коричневатого цвета, МС (ИРЭП): 351.4 (М+Н)+. Пример 23 Этиловый эфир 4-(3,3-диметил-3,4-дигидро-2H-бензо[b][1,4]диоксепин-7-илметокси)бензойной кислоты а) Дитозиловый эфир 2,2-диметил-1,3-пропандиола (2) Указанное в заглавии соединение получают согласно способу, описанному в R.Bird, G.Griffiths, G.F.Griffiths, С.J.M.Stirling, J.Chem. Soc. Perkin Trans. 2 1982, 579 или согласно способу, описанному в M.Klaus, P.Mohr, E.Weiss, заявка на европейский патент ЕР 0350846 А2 (1990). б) Этиловый эфир 3,3-диметил-3,4-дигидро-2H-бензо[b][1,4]диоксепин-7-карбоновой кислоты (30) Растворяют этиловый эфир 3,4-дигидроксибензойной кислоты (20,0 г) растворяют в ДМФ (300 мл) и нагревают раствор до температуры 40°С. После этого добавляют К2СО3, перемешивают смесь в течение 1 часа при той же температуре, а затем добавляют дитозиловый эфир 2,2-диметил-1,3-пропандиола (49,9 г) в ДМФ (240 мл). Смесь перемешивают в течение 5 часов при температуре 140°С, а затем выливают на лед и экстрагируют продукт диэтиловым эфиром. Органический слой промывают водой, высушивают над MgSO4 и выпаривают растворитель. Перегонка (126°С, 0,5 мбар) приводит к 19,8 г этилового эфира 3,3-диметил-3,4-дигидро-2H-бензо[b][1,4]диоксепина-7-карбоновой кислоты (30) в виде бесцветной жидкости, МС (ИРЭП): 250,1 (М·)+. в) (3.3-Диметил-3,4-дигидро-2H-бензо[b][1,4]диоксепин-7-ил)метанол (31) Растворяют этиловый эфир 3,3-диметил-3,4-дигидро-2H-бензо[b][1,4]-диоксепин-7-карбоновой кислоты (30) (9,00 г) в ТГФ (150 мл) и медленно добавляют 1,5 М раствор диизобутилалюминийгидрида в толуоле (120 мл). Получаемую в результате реакционную смесь перемешивают в течение 1 часа при КТ, затем охлаждают до температуры -30°С и осторожно добавляют воду (120 мл). После того как температуре дают подняться до КТ, добавляют 20% водный раствор HCl (100 мл). Собирают слой диэтилового эфира, промывают его водой, высушивают над Na2SO4 и выпаривают растворитель. Очистка с помощью флэш-хроматографии (силикагель, элюент – смесь гексана и этилацетата 4:1) приводит к 7,25 г (3,3-диметил-3,4-дигидро-2H-бензо[b][1,4]-диоксепин-7-ил)метанола (31), МС (ИРЭП): 208,1 (М)+. г) Этиловый эфир 4-(3,3-диметил-3,4-дигидро-2H-бензо[b][1,4]диоксепин-7-илметокси)бензойной кислоты К смеси (3,3-диметил-3,4-дигидро-2H-бензо[b][1,4]диоксепин-7-ил)-метанола (31) (100 мг), PPh3 на полимерном носителе (412 мг, 3 ммоль/г на полистироле) и этилового эфира 4-гидроксибензойной кислоты в СН2Cl2 (4 мл) добавляют ди-трет-бутилазодикарбоксилат (111 мг). Смесь встряхивают в течение 1 часа, а затем отфильтровывают полимер и выпаривают растворитель. Очистка с помощью флэш-хроматографии приводит к 74 мг этилового эфира 4-(3,3-диметил-3,4-дигидро-2H-бензо[b][1,4]диоксепин-7-илметокси)бензойной кислоты в виде бесцветной жидкости, МС (ИРЭП): 357,2 (М+Н)+. Пример 24 7-(4-Изопропилфеноксиметил)-3,3-диметил-3,4-дигидро-2H-бензо[b][1,4]диоксепин Аналогично способу, описанному в примере 23, 7-(4-изопропилфенокси-метил)-3,3-диметил-3,4-дигидро-2H-бензо[b][1,4]диоксепин получают исходя из (3,3-диметил-3,4-дигидро-2H-бензо[b][1,4]диоксепин-7-ил)метанола (31) и 4-изопропилфенола. МС (ИРЭП): 344,4 (M+NH4)+. Пример 25 3,3-Диметил-7-(4-метилсульфанилфеноксиметил)-3,4-дигидро-2H-бензо[b][1,4]диоксепин В соответствии со способом, описанным в примере 23, указанное в заглавии соединение получают исходя из (3,3-диметил-3,4-дигидро-2H-бензо[b][1,4]диоксепин-7-ил)метанола (31) и 4-(метилтио)фенола. МС (ИРЭП): 331,3 (М+Н)+. Пример 26 7-(3-Этоксифеноксиметил)-3,3-диметил-3,4-дигидро-2H-бензо[b][1,4]диоксепин В соответствии со способом, описанным в примере 23, указанное в заглавии соединение получают исходя из (3,3-диметил-3,4-дигидро-2H-бензо[b][1,4]диоксепин-7-ил)метанола (31) и 3-этоксифенола. МС (ИРЭП): 346,2 (M+NH4)+. Пример 27 7-(4-Этилфеноксиметил)-3,3-диметил-3,4-дигидро-2H-бензо[b][1,4]диоксепин В соответствии со способом, описанным в примере 23, 7-(4-этилфенокси-метил)-3,3-диметил-3,4-дигидро-2H-бензо[b][1,4]диоксепин получают исходя из (3,3-диметил-3,4-дигидро-2H-бензо[b][1,4]диоксепин-7-ил)метанола (31) и 4-этилфенола. МС (ИРЭП): 346,2 (M+NH4)+. Пример 28 7-(4-Метоксифеноксиметил)-3,3-диметил-3,4-дигидро-2H-бензо[b] [1,4]диоксепин В соответствии со способом, описанным в примере 23, указанное в заглавии соединение получают исходя из (3,3-диметил-3,4-дигидро-2H-бензо[b][1,4]диоксепин-7-ил)метанола (31) и 4-метоксифенола. МС (ИРЭП): 332,3 (M+NH4)+. Пример А Таблетки в пленочной оболочке, содержащие следующие ингредиенты, могут быть изготовлены общепринятым способом:
Активный ингредиент просеивают и смешивают с микрокристаллической целлюлозой, каковую смесь гранулируют с раствором поливинилпирролидона в воде. Гранулят смешивают с крахмалгликолятом натрия и стеаратом магния и спрессовывают, в результате чего получают сердцевину массой 120 или 350 мг соответственно. На сердцевины наносят покрытие с помощью водного раствора или суспензии вышеуказанного пленочной оболочки. Пример Б Капсулы, содержащие следующие ингредиенты, могут быть изготовлены общепринятым способом:
Компоненты просеивают и смешивают и заполняют смесью капсулы размера 2. Пример В Растворы для инъекций могут иметь следующий состав:
Пример Г Мягкие желатиновые капсулы, содержащие следующие ингредиенты, могут быть изготовлены общепринятым способом:
Активный ингредиент растворяют в теплом расплаве других ингредиентов и заполняют смесью мягкие желатиновые капсулы подходящего размера. Заполненные мягкие желатиновые капсулы обрабатывают согласно стандартным способам. Пример Д Пакетики, содержащие следующие ингредиенты, могут быть изготовлены общепринятым способом:
Активный ингредиент смешивают с лактозой, микрокристаллической целлюлозой и натрий-карбоксиметилцеллюлозой и гранулируют со смесью поливинилпирролидона в воде. Гранулят смешивают со стеаратом магния и ароматизирующими добавками и заполняют смесью пакетики.
Формула изобретения
1. Соединения формулы в которых В является -С R3 является водородом или (С1-С3)алкилом; X, Y и Z являются C-R4 или азотом, причем хотя бы одна из групп X, Y и Z является C-R4; R4 является водородом или (С1-С7)алкилом; R1 и R2 независимо друг от друга выбраны из группы, включающей водород, (C1-С7)алкил, (С1-С7)алкокси(С1-С7)алкил, -COOR5 или -COR5, где R5 является водородом или (С1-С7)алкилом, -OR6, где R6 является водородом, (С1-С7)алкилом, -(СН2)m-циклоалкилом, -(СН2)m-оксиранилом или -(CH2)n-OR7, где R7 является водородом или (С1-С7)алкилом, причем m принимает значения 0, 1, 2 или 3, а n принимает значения 1, 2 или 3; -SR8, где R8 является водородом, (С1-С7)алкилом; -CONR9R10, где R9 и R10 являются водородом или (С1-С7)алкилом, или где NR9R10 может образовывать цикл, содержащий от 3 до 7 атомов, указанный цикл необязательно включает один или более дополнительных атомов азота или кислорода, и пятичленный гетероароматический цикл, содержащий атом кислорода, замещенный водородом или (С1-С7)алкилом; или R1 и R2 совместно с атомами углерода, к которым они присоединены, могут образовывать цикл, содержащий от 3 до 7 атомов, указанный цикл необязательно включает один или более атомов азота или кислорода; и их фармацевтически приемлемые соли. 2. Соединения формулы (I) по п.1, в которых одна из групп R1 или R2 является водородом. 3. Соединения формулы (I) по п.1, в которых R1 или R2 выбраны из группы, включающей (С1-С7)алкил, (С1-С7)алкокси(С1-С7)алкил, -COOR5, где R5 является (С1-С7)алкилом, -OR6, где R6 является водородом, (С1-С7)алкилом, -(СН2)m-циклоалкилом, -(СН2)m-оксиранилом или -(CH2)n-OR7, где R7 является водородом или (С1-С7)алкилом, причем m принимает значения 0, 1, 2 или 3, а n принимает значения 1, 2 или 3; -SR8, где R8 является (С1-С7)алкилом, -CONR9R10, где R9 и R10 являются водородом или (С1-С7)алкилом, или где NR9R10 может образовывать цикл, содержащий от 3 до 7 атомов, указанный цикл необязательно включает один или более дополнительных атомов азота или кислорода, и пятичленный гетероароматический цикл, содержащий атом кислорода, замещенный водородом или (С1-С7)алкилом. 4. Соединения формулы (I) по п.1, в которых R1 или R2 выбраны из группы, включающей (С1-С7)алкил, (С1-С7)алкокси(С1-С7)алкил, -COOR5, где R5 является водородом или (С1-С7)алкилом, -OR6, где R6 является водородом, (С1-С7)алкилом, -(СН2)m-циклоалкилом, -(CH2)m-оксиранилом или -(CH2)n-OR7, где R7 является водородом или (С1-С7)алкилом, причем m принимает значения 0, 1, 2 или 3, а n принимает значения 1, 2 или 3; -SR8, где R8 является (С1-С7)алкилом. 5. Соединения формулы (I) по п.1, в которых R1 или R2 являются -COOR5, где R5 является водородом или (С1-С7)алкилом. 6. Соединения формулы (I) по п.1, в которых R1 или R2 выбраны из группы, включающей (С1-С7)алкокси(С1-С7)алкил, -OR6, где R6 является водородом, (С1-С7)алкилом, -(СН2)m-циклоалкилом, -(СН2)m-оксиранилом или -(CH2)n-OR7, где R7 является водородом или (С1-С7)алкилом, причем m принимает значения 0, 1, 2 или 3, а n принимает значения 1, 2 или 3; и -SR8, где R8 является (С1-С7)алкилом. 7. Соединения формулы (I) по п.1, в которых R1 или R2 являются пятичленным гетероароматическим циклом, содержащим атом кислорода, замещенный водородом или (С1-С7)алкилом. 8. Соединения формулы (I) по п.1, в которых R1 и R2 совместно с атомами углерода, к которым они присоединены, могут образовывать цикл, содержащий от 3 до 7 атомов, указанный цикл может необязательно включать один или более атомов азота или кислорода. 9. Соединения формулы (I) по п.1, имеющие формулу в которой X, Y, Z, R1 и R2 принимают указанные в п.1 значения, и их фармацевтически приемлемые соли. 10. Соединения формулы (I-A) по п.9, в которых X, Y и Z являются -CR4, где R4 является водородом. 11. Соединения формулы (I-A) по п.9, выбранные из группы, включающей этиловый эфир 4-(3,3-диметил-3,4-дигидро-2Н-бензо[b][1,4]диоксепин-7-ил-этинил)бензойной кислоты; этиловый эфир 3-(3,3-диметил-3,4-дигидро-2Н-бензо[b][1,4]диоксепин-7-ил-этинил)бензойной кислоты; 3,3-диметил-7-(4-метилсульфанилфенилэтинил)-3,4-дигидро-2Н-бензо[b][1,4]диоксепин; 7-(4-метоксифенилэтинил)-3,3-диметил-3,4-дигидро-2Н-бензо[b][1,4]диоксепин; 4-(3,3-диметил-3,4-дигидро-2Н-бензо[b][1,4]диоксепин-7-илэтинил)фенол; 7-(4-этоксифенилэтинил)-3,3-диметил-3,4-дигидро-2Н-бензо[b][1,4]диоксепин; 7-(4-этоксиметилфенилэтинил)-3,3-диметил-3,4-дигидро-2Н-бензо[b][1,4]диоксепин; 2-[4-(3,3-диметил-3,4-дигидро-2Н-бензо[b][1,4]диоксепин-7-илэтинил)фенил]-5-метил[1,3,4]оксадиазол; 7-(4-циклопропилметоксифенилэтинил)-3,3-диметил-3,4-дигидро-2Н-бензо[b][1,4]диоксепин; 3,3-диметил-7-(4-пропоксифенилэтинил)-3,4-дигидро-2Н-бензо[b][1,4]диоксепин; и 3,3-диметил-7-(4-оксиранилметоксифенилэтинил)-3,4-дигидро-2Н-бензо[b][1,4]диоксепин. 12. Соединения формулы (I-A) по п.9, в которых какая-либо одна из групп X, Y или Z является азотом, а остальные являются -CR4, где R4 является водородом. 13. Соединения формулы (I-A) по п.9, выбранные из группы, включающей этиловый эфир 6-(3,3-диметил-3,4-дигидро-2Н-бензо[b][1,4]диоксепин-7-ил-этинил)никотиновой кислоты; и этиловый эфир 5-(3,3-диметил-3,4-дигидро-2Н-бензо[b][1,4]диоксепин-7-ил-этинил)пиридин-2-карбоновой кислоты. 14. Соединения формулы (I) по п.1, имеющие формулу в которой X, Y, Z, R1, R2 и R3 принимают указанные в п.1 значения, и их фармацевтически приемлемые соли. 15. Соединения формулы (I-Б) по п.14, в которых X, Y и Z являются -CR4, где R4 является водородом. 16. Соединения формулы (I-Б) по п.14, выбранные из группы, включающей этиловый эфир 4-(3,3-диметил-3,4-дигидро-2Н-бензо[b][1,4]диоксепин-7-ил-метокси)бензойной кислоты; и 7-(3-этоксифеноксиметил)-3,3-диметил-3,4-дигидро-2Н-бензо[b][1,4]диоксепин. 17. Фармацевтическая композиция, обладающая способностью к селективному ингибированию АСС 18. Фармацевтическая композиция по п.17 для лечения и/или профилактики заболеваний, модулируемых ингибиторами АСС 19. Соединения по п.1, обладающие ингибирующей активностью в отношении АСС 20. Соединения по п.1 для применения в качестве терапевтически активных веществ для лечения и/или профилактики заболеваний, модулируемых ингибиторами ACC
|
|||||||||||||||||||||||||||||||||||||||||||||||||||||||||||||||||||||||||||||||||||||||||||||||||||||||||||||||||||||||||||||||||


. 2 н. и 18 з.п. ф-лы, 1 табл.
C- или -CHR3-O-;
является цитозольным ферментом, и опосредованное им образование малонил-КоА является важной стадией в биосинтезе жирных кислот с длинной цепью. В то же время АСС2 или АСС



,

,
,
,










