|
|
(21), (22) Заявка: 2004128393/04, 21.02.2003
(24) Дата начала отсчета срока действия патента:
21.02.2003
(30) Конвенционный приоритет:
22.02.2002 US 60/359,011 31.07.2002 US 60/399,886
(43) Дата публикации заявки: 10.05.2005
(46) Опубликовано: 27.03.2009
(56) Список документов, цитированных в отчете о поиске:
US 5466810, А, 14.11.1995. ЕР 801066, А, 15.10.1997.
(85) Дата перевода заявки PCT на национальную фазу:
22.09.2004
(86) Заявка PCT:
US 03/05396 (21.02.2003)
(87) Публикация PCT:
WO 03/072561 (04.09.2003)
Адрес для переписки:
105064, Москва, а/я 88, пат.пов. Д.А.Сапельникову
|
(72) Автор(ы):
ЖАНГ Ченгжи (US), БЕРК Майкл (US), ЧЕН Жи (US), ДЮМА Жак (US), ФЭН Донгпинг (US), ФЭН Янмей (US), ХАТУМ-МОКДАД Холиа (US), ДЖОНС Бенжамин Д. (US), ЛАДУСЕР Гаэтан (US), ЛИ Венди (US), ФИЛЛИПС Бартон (US)
(73) Патентообладатель(и):
Байер Хелскер ЛЛСи (US)
|
(54) ПРОИЗВОДНЫЕ БЕНЗОФУРАНА И БЕНЗОТИОФЕНА, ПРИМЕНЯЕМЫЕ ПРИ ЛЕЧЕНИИ ГИПЕРПРОЛИФЕРАТИВНЫХ ЗАБОЛЕВАНИЙ
(57) Реферат:
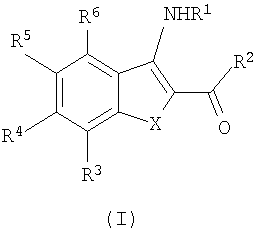
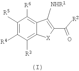
Настоящее изобретение относится к новым производным бензофурана и бензотиофена общей формулы I,

в которой Х выбран из О и S;
R1 выбран из Н, (С1-С6)алкила, С(O)(С1-С6)алкила и бензоила;
R2 выбран из фенила, необязательно замещенного 1 или 2 заместителями, каждый из которых независимо выбран из CN, NO2, (С1-С6)алкила, (С1-С6)алкокси, галогена, галоген(С1-С6)алкила, пиридила или бензо[1,3]диоксолила, необязательно замещенных (С1-С6)алкилом. Соединения могут быть использованы для лечения или предотвращения заболеваний, связанных с пролиферацией опухолевых клеток. Описаны также фармацевтическая композиция на основе соединений I и способ лечения. 4 н. и 22 з.п. ф-лы, 7 табл.
Текст описания приведен в факсимильном виде.                                                                                                                                                             
Формула изобретения
1. Соединение формулы I

где X выбран из О и S;
R1 выбран из Н, (С1-С6)алкила, С(O)(С1-С6)алкила и бензоила;
R2 выбран из
фенила, необязательно замещенного 1 или 2 заместителями, каждый из которых независимо выбран из CN, NO2, (С1-С6)алкила, (С1-С6)алкокси, галогена, галоген(С1-С6)алкила,
пиридила или бензо[1,3]диоксолила, необязательно замещенных (С1-С6)алкилом,
R3 означает Н;
R4 выбран из пиперонила,
Y,
где Y означает морфолинил, пирролил, оксазолил, тиазолил, пиразолил, имидазолил, пиридинил, пирролидинил, имидазолидинил или тиофенил, необязательно замещенные 1, 2 или 3 заместителями, каждый из которых независимо выбран из
=O, галоген, NRBRB,
(С1-С6)алкокси,
С(O)RD, где RD выбран из RА,
(С1-С6)алкила,
фенила, необязательно замещенного 1, 2 или 3 заместителями, каждый из которых независимо выбран из
CN, NO2, галогена, галоген(С1-С6)алкила, галоген(С1-С6)алкокси, NRBRB, S(O)0-2RB, S(O)2NRBRB,
(С1-С6)алкокси, указанный алкокси необязательно содержит 1 или 2 заместителя, выбранные из ОН, NRBRB и (С1-С3)алкокси,
NRCRC, где RC выбран из RВ, C(O)RВ и S(O)2RB,
С(O)RD, где RD выбран из RA,
NRBRE, где RE выбран из C(O)RA, C(O)RB, S(O)2RB, S(O)2NRBRB, (С1-С6)алкила, и указанный алкил необязательно замещен CN, ОН, C(O)RА, NRВRВ;
RA в каждом случае независимо означает Н, (С1-С6)алкил и NRВRB;
RВ в каждом случае независимо означает Н или (С1-С6)алкил, и указанный алкил необязательно замещен ОН, галогеном, и где RB и RB вместе с атомом N, к которому они присоединены, могут образовать морфолинильный цикл или пиперазинильный цикл, который у имеющегося атома N необязательно содержит в качестве заместителя (С1-С6)алкил, и указанный алкил необязательно содержит в качестве заместителей ОН, =O, NH2, (С1-С6)алкокси, NH(С1-С3)алкил или N[(C1-С3)алкил]2;
R5 и R6 каждый означает Н;
или его фармацевтически приемлемая соль или сложный эфир.
2. Соединение по п.1, в котором Х означает О.
3. Соединение по п.1, в котором Х означает S.
4. Соединение по п.2, в котором R2 выбран из фенила, пиридила или бензо[1,3]диоксолила, каждый из которых необязательно содержит заместители.
5. Соединение по п.2, в котором R4 выбран из Y и фенила, каждый из которых необязательно содержит заместители.
6. Соединение по п.2, в котором R2 выбран из фенила, пиридила или бензо[1,3]диоксолила, каждый из которых необязательно содержит заместители, и R4 выбран из Y и фенила, каждый из которых необязательно содержит заместители.
7. Соединение по п.5, в котором R4 выбран из фенила и Y, где Y выбран из пирролила, оксазолила, тиазолила, пиразолила, имидазолила, пирролидинила, имидазолидинила, тиофенила и пиридинила, и каждый циклический фрагмент необязательно содержит заместители.
8. Соединение по п.6, в котором R2 и R4 каждый независимо необязательно замещены 1 или 2 заместителями, и R3, R5 и R6 означают Н.
9. Соединение по п.8, в котором R1 выбран из Н и (С1-С6)алкила.
10. Соединение по п.3, в котором R2 выбран из фенила, пиридила или бензо[1,3]диоксолила, каждый из которых необязательно содержит заместители.
11. Соединение по п.3, в котором R4 выбран из Y и фенила, каждый из которых необязательно содержит заместители.
12. Соединение по п.3, в котором R2 выбран из фенила, пиридила или бензо[1,3]диоксолила, каждый из которых необязательно содержит заместители, и R4 выбран из Y и фенила, каждый из которых необязательно содержит заместители.
13. Соединение по п.11, в котором R4 выбран из фенила и Y, где Y выбран из пирролила, оксазолила, тиазолила, пиразолила, имидазолила, пирролидинила, имидазолидинила, тиофенила и пиридинила, и каждый циклический фрагмент необязательно содержит заместители.
14. Соединение по п.12, в котором R2 и R4 каждый независимо необязательно замещены 1 или 2 заместителями, и R3, R5 и R6 означают Н.
15. Соединение по п.14, в котором R1 выбран из Н и (С1-С6)алкила.
16. Соединение, выбранное из группы, включающей (3-амино-6-фенилбензофуран-2-ил)-(2,4-дихлорфенил)-метанон, (3-амино-6-пиридин-3-илбензофуран-2-ил)-(2,4-дихлорфенил)-метанон, [3-амино-6-(3-нитрофенил)-бензофуран-2-ил]-(2,4-дихлорфенил)-метанон, [3-амино-6-(3-аминофенил)-бензофуран-2-ил]-(2,4-дихлорфенил)-метанон, 3-[3-амино-2-(2,4-дихлорбензоил)-бензофуран-6-ил]-бензонитрил, N-{3-[3-амино-2-(2,4-дихлорбензоил)-бензофуран-6-ил]-фенил}-метансульфонамид, N-{3-[3-амино-2-(2,4-дихлорбензоил)-бензофуран-6-ил]-фенил}-ацетамид, [3-амино-6-(2-метилпиридин-3-ил)-бензофуран-2-ил]-(2,4-дихлорфенил)-метанон, 5-[3-амино-2-(2,4-дихлорбензоил)-бензофуран-6-ил]-никотинамид, 3-[3-амино-2-(2,4-дихлорбензоил)-бензофуран-6-ил]-бензолсульфонамид, (3-амино-5-фтор-6-пиридин-3-илбензофуран-2-ил)-(2,4-дихлорфенил)-метанон, {3-амино-6-[3-((S)-2,3-дигидроксипропиламино)-фенил]-бензофуран-2-ил}-(2,4-дихлорфенил)-метанон, 3-[3-амино-2-(2,4-дихлорбензоил)-бензофуран-6-ил]-N-метилбензамид, [3-амино-6-(1-метил-1Н-имидазол-4-ил)-бензофуран-2-ил]-(2,4-дихлорфенил)-метанон, 3-[3-амино-2-(2-хлор-4-фтор-бензоил)-бензофуран-6-ил]-бензамид, 2-{3-[3-амино-2-(2,4-дихлорбензоил)-бензофуран-6-ил]-фенил}-ацетамид, [3-амино-6-(2-метилтиазол-4-ил)-бензофуран-2-ил]-(2,4-дихлорфенил)-метанон, N-{3-[3-амино-2-(2,4-дихлорбензоил)-бензофуран-6-ил]-бензил}-метансульфонамид, N-{3-[3-амино-2-(2,4-дихлорбензоил)-бензофуран-6-ил]-бензил}-ацетамид, [3-амино-6-(2-метилоксазол-4-ил)-бензофуран-2-ил]-(2-метоксифенил)-метанон, [3-амино-6-(3-фтор-5-нитрофенил)-бензофуран-2-ил]-(2,4-дихлорфенил)-метанон, [3-амино-6-(3-метансульфонилфенил)-бензофуран-2-ил]-(2,4-дихлорфенил)-метанон, [3-амино-6-(2-фтор-пиридин-3-ил)-бензофуран-2-ил]-(2,4-дихлорфенил)-метанон, и [3-амино-6-(2-метиламинопиридин-3-ил)-бензофуран-2-ил]-(2,4-дихлорфенил)-метанон.
17. Фармацевтическая композиция, ингибирующая пролиферацию опухолевых клеток, включающая соединение формулы I по п.1.
18. Композиция по п.17, в которой Х означает О.
19. Композиция по п.17, в которой Х означает S.
20. Композиция по п.18, где R2 выбран из фенила, пиридила или бензо[1,3]диоксолила, каждый из которых необязательно содержит заместители, и R4 выбран из Y и фенила, каждый из которых необязательно содержит заместители.
21. Композиция по п.19, где R2 выбран из фенила, пиридила или бензо[1,3]диоксолила, каждый из которых необязательно содержит заместители, и R4 выбран из Y и фенила, каждый из которых необязательно содержит заместители.
22. Способ лечения или предотвращения заболеваний, связанных с пролиферацией опухолевых клеток, включающий введение нуждающемуся в нем пациенту эффективного количества соединения формулы I по п.1.
23. Способ по п.22, в котором Х означает О.
24. Способ по п.22, в котором Х означает S.
25. Способ по п.23, где R2 выбран из фенила, пиридила или бензо[1,3]диоксолила, каждый из которых необязательно содержит заместители, и R4 выбран из Y и фенила, каждый из которых необязательно содержит заместители.
26. Способ по п.24, где R2 выбран из фенила, пиридила или бензо[1,3]диоксолила, каждый из которых необязательно содержит заместители, и R4 выбран из Y и фенила, каждый из которых необязательно содержит заместители.
|
|