Патент на изобретение №2350607
|
||||||||||||||||||||||||||
(54) ПРОИЗВОДНЫЕ ДИФЕНИЛМОЧЕВИНЫ И ИХ ПРИМЕНЕНИЕ В КАЧЕСТВЕ БЛОКАТОРОВ ХЛОРИДНЫХ КАНАЛОВ
(57) Реферат:
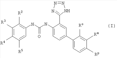
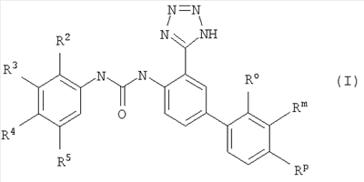
Описываются новые производные дифенилмочевины общей формулы I или их фармацевтически приемлемые соли, где Ro – водород; Rm – водород или трифторметил; Rp – водород, галогено, трифторметил, трифторметокси, С1-6алкил или С1-6алкокси, при условии, что Ro, Rm и Rp одновременно не могут означать водород; R2, R3, R4 и R5 независимо означают водород, галогено или трифторметил, при условии, что соединение не представляет собой N-(3-трифторметил-фенил)-N’-[3-(1Н-тетразол-5-ил)-4′-трифторметил-бифенил-4-ил]-мочевину, фармацевтическая композиция, их содержащая, и их применение в качестве блокаторов хлоридных каналов, которые могут найти применение в медицине. 3 н. и 9 з.п. ф-лы, 1 табл.
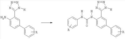
ОБЛАСТЬ ИЗОБРЕТЕНИЯ Настоящее изобретение относится к новым производным дифенилмочевины, полезным в качестве блокаторов хлоридных каналов. В других аспектах данное изобретение относится к применению этих соединений в способе терапии и к фармацевтическим композициям, содержащим соединения по данному изобретению. ПРЕДШЕСТВУЮЩИЙ УРОВЕНЬ ТЕХНИКИ Хлоридные каналы выполняют широкий ряд специфических клеточных функций и участвуют в нормальном функционировании, например, скелетных и гладкомышечных клеток. По всей видимости, хлоридные каналы можно обнаружить в любой клетке, от бактерий до млекопитающих. Их физиологические задачи варьируют от регулирования объема клетки до стабилизации мембранного потенциала, трансэпителиального или межклеточного транспорта и окисления во внутриклеточных органеллах. В заявках WO 97/45400, WO 98/47879, WO 00/20378 и WO 00/24707 (все от NeuroSearch A/S) описаны соединения, такие как замещенные фенильные производные, активные в качестве блокаторов хлоридных каналов. Тем не менее остается острая потребность в создании соединений с оптимизированным фармакологическим профилем. Кроме того, имеется острая необходимость в обнаружении эффективных соединений без неблагоприятных побочных эффектов, ассоциированных с синтезированными ранее соединениями. КРАТКОЕ ИЗЛОЖЕНИЕ СУЩНОСТИ ИЗОБРЕТЕНИЯ Задача данного изобретения заключается в том, чтобы предложить новые соединения, которые действуют в качестве блокаторов хлоридных каналов. Еще одна задача данного изобретения заключается в предложении соединений с более высокой избирательностью. Еще одной задачей является предложение соединений с большей эффективностью. Еще одна задача данного изобретения заключается в предложении соединений, которые воздействуют на специфические клеточные и тканевые хлоридные каналы. Еще одной задачей является предложение соединений, которые воздействуют на специфические группы или подтипы хлоридных каналов. Еще одна задача заключается в предложении соединения с более оптимальными фармакодинамическими свойствами, такими как кинетические характеристики, биодоступность, растворимость и эффективность. В своем первом аспекте в данном изобретении предложено соединение общей формулы I или его фармацевтически приемлемая соль, где Ro, Rm, Rp, R2, R3, R4 и R5 являются такими, как определено ниже. В своем втором аспекте в данном изобретении предложена фармацевтическая композиция, содержащая терапевтически эффективное количество соединения по изобретению или его фармацевтически приемлемой соли вместе с по меньшей мере одним фармацевтически приемлемым носителем, эксципиентом или разбавителем. В дополнительном аспекте данного изобретения предложено применение соединения по изобретению или его фармацевтически приемлемой соли в производстве фармацевтической композиции для лечения, профилактики или облегчения симптомов заболевания, расстройства или состояния у млекопитающего, включая человека, которое чувствительно к блокаде хлоридных каналов. В еще одном дополнительном аспекте данное изобретение относится к способу лечения, профилактики или облегчения симптомов заболевания, расстройства или состояния в организме животного, включая человека, которое чувствительно к блокаде хлоридных каналов, включающему стадию введения в такой организм животного, нуждающегося в этом, терапевтически эффективного количества соединения по изобретению или его фармацевтически приемлемой соли. Другие задачи данного изобретения будут понятны специалисту в данной области техники из следующего подробного описания и примеров. ПОДРОБНОЕ ОПИСАНИЕ ИЗОБРЕТЕНИЯ Производные дифенилмочевины В своем первом аспекте в данном изобретении предложено соединение общей формулы I или его фармацевтически приемлемая соль, где Ro, Rm и Rp независимо один от другого представляют собой водород, галогено, трифторметил, трифторметокси, алкил или алкокси, при условии, что не все три из Ro, Rm и Rp представляют собой водород; R2, R3, R4 и R5 независимо один от другого представляют собой водород, галогено, трифторметил, трифторметокси, алкил или алкокси, при условии, что соединение не представляет собой N-(3-трифторметил-фенил)-N’-[3-(1Н-тетразол-5-ил)-4′-трифторметил-бифенил-4-ил]-мочевину. В одном из воплощений соединения общей формулы I Ro представляет собой водород; Rm представляет собой водород и Rp представляет собой галогено, трифторметил, трифторметокси, алкил или алкокси. В конкретном воплощении Rp представляет собой галогено, такой как хлоро, фторо или бромо. В дополнительном воплощении Rp представляет собой трифторметил. В еще одном воплощении Rp представляет собой трифторметокси. В дополнительном воплощении Rp представляет собой алкил, такой как метил. В еще одном дополнительном воплощении Rp представляет собой алкокси, такой как метокси. В дополнительном воплощении соединения общей формулы I Ro представляет собой водород; Rp представляет собой водород и Rm представляет собой галогено, трифторметил, трифторметокси, алкил или алкокси. В конкретном воплощении Rm представляет собой трифторметил. В дополнительном воплощении соединения общей формулы I R3, R4 и R5 представляют собой водород и R2 представляет собой галогено, трифторметил, трифторметокси, алкил или алкокси. В конкретном воплощении R2 представляет собой галогено, такой как хлоро, фторо или бромо. В дополнительном воплощении R2 представляет собой трифторметил. В еще одном дополнительном воплощении соединения общей формулы I R2, R4 и R5 представляют собой водород и R3 представляет собой галогено, трифторметил, трифторметокси, алкил или алкокси. В конкретном воплощении R3 представляет собой трифторметил. В дополнительном воплощении R3 представляет собой галогено, такой как бромо. В дополнительном воплощении соединения общей формулы I R2, R3 и R5 представляют собой водород и R4 представляет собой галогено, трифторметил, трифторметокси, алкил или алкокси. В конкретном воплощении R4 представляет собой галогено, такой как хлоро. В еще одном дополнительном воплощении соединения общей формулы I два из R2, R3, R4 и R5 представляют собой водород, а другие два из R2, R3, R4 и R5 независимо один от другого представляют собой галогено, трифторметил, трифторметокси, алкил или алкокси. В еще одном дополнительном воплощении соединения общей формулы I R2 и R5 представляют собой водород и R3 и R4 независимо один от другого представляют собой галогено, трифторметил, трифторметокси, алкил или алкокси. В конкретном воплощении R3 представляет собой трифторметил. В дополнительном воплощении R4 представляет собой галогено, такой как хлоро или фторо. В еще одном дополнительном воплощении R3 представляет собой трифторметил и R4 представляет собой хлоро. В дополнительном воплощении R3 представляет собой трифторметил и R4 представляет собой фторо. В еще одном дополнительном воплощении соединения общей формулы I R2 и R4 представляют собой водород и R3 и R5 независимо один от другого представляют собой галогено, трифторметил, трифторметокси, алкил или алкокси. В конкретном воплощении R3 представляет собой трифторметил. В дополнительном воплощении R3 представляет собой галогено, такой как хлоро или фторо. В еще одном дополнительном воплощении R5 представляет собой трифторметил. В дополнительном воплощении R5 представляет собой галогено, такой как хлоро или фторо. В еще одном дополнительном воплощении R3 представляет собой хлоро и R5 представляет собой фторо. В дополнительном воплощении R3 представляет собой фторо и R5 представляет собой фторо. В еще одном дополнительном воплощении R3 представляет собой трифторметил и R5 представляет собой трифторметил. В конкретном воплощении соединение по изобретению представляет собой N-(4-хлор-3-трифторметил-фенил)-N’-[3-(1H-тетразол-5-ил)-4′-трифторметил-бифенил-4-ил]-мочевину; N-(3-трифторметил-фенил)-N’-[4′-хлор-3-(1H-тетразол-5-ил)-бифенил-4-ил]-мочевину; N-(4-хлор-3-трифторметил-фенил)-N’-[4′-хлор-3-(1H-тетразол-5-ил)-бифенил-4-ил]-мочевину; N-(3,5-дихлор-фенил)-N’-[4′-хлор-3-(1H-тетразол-5-ил)-бифенил-4-ил]-мочевину; N-(3,5-дифтор-фенил)-N’-[4′-хлор-3-(1H-тетразол-5-ил)-бифенил-4-ил]-мочевину; N-(3,5-дихлор-фенил)-N’-[3-(1Н-тетразол-5-ил)-4′-трифторметил-бифенил-4-ил]-мочевину; N-(3,5-дифтор-фенил)-N’-[3-(1H-тетразол-5-ил)-4′-трифторметил-бифенил-4-ил]-мочевину; N-(3-трифторметил-фенил)-N’-[4′-фтор-3-(1H-тетразол-5-ил)-бифенил-5-ил]-мочевину; N-(4-хлор-3-трифторметил-фенил)-N’-[4′-фтор-3-(1Н-тетразол-5-ил)-бифенил-4-ил]-мочевину; N-(3,5-дихлор-фенил)-N’-[4′-фтор-3-(1H-тетразол-5-ил)-бифенил-4-ил]-мочевину; N-(3,5-дифтор-фенил)-N’-[4′-фтор-2-(1Н-тетразол-5-ил)-бифенил-4-ил]-мочевину; N-(4-фтор-3-трифторметил-фенил)-N’-[3-(1Н-тетразол-5-ил)-4′-трифторметил-бифенил-4-ил]-мочевину; N-(3,5-бис-трифторметил-фенил)-N’-[3-(1H-тетразол-5-ил)-4′-трифторметил-бифенил-4-ил]-мочевину; N-(3,5-бис-трифторметил-фенил)-N’-[4′-хлор-3-(1H-тетразол-5-ил)-бифенил-4-ил]-мочевину; N-(4-фтор-3-трифторметил-фенил)-N’-[4′-хлор-3-(1H-тетразол-5-ил)-бифенил-4-ил]-мочевину; N-(3,5-бис-трифторметил-фенил)-N’-[4′-фтор-3-(1Н-тетразол-5-ил)-бифенил-4-ил]-мочевину; N-(4-фтор-3-трифторметил-фенил)-N’-[4′-фтор-3-(1H-тетразол-5-ил)-бифенил-4-ил]-мочевину; N-(2-трифторметил-фенил)-N’-[3-(1H-тетразол-5-ил)-4′-трифторметил-бифенил-4-ил]-мочевину; N-(2-трифторметил-фенил)-N’-[4′-фтор-3-(1H-тетразол-5-ил)-бифенил-4-ил]-мочевину; N-(2-бром-фенил)-N’-[3-(1H-тетразол-5-ил)-4′-трифторметил-бифенил-4-ил]-мочевину; N-(2-трифторметил-фенил)-N’-[4′-хлор-3-(1Н-тетразол-5-ил)-бифенил-4-ил]-мочевину; N-(2-бром-фенил)-N’-[4′-хлор-3-(1Н-тетразол-5-ил)-бифенил-4-ил]-мочевину; N-(2-бром-фенил)-N’-[4′-фтор-3-(1H-тетразол-5-ил)-бифенил-4-ил]-мочевину; N-(2-фтор-фенил)-N’-[3-(1H-тетразол-5-ил)-4′-трифторметил-бифенил-4-ил]-мочевину; N-(2-фтор-фенил)-N’-[4′-хлор-3-(1H-тетразол-5-ил)-бифенил-4-ил]-мочевину; N-(2-фтор-фенил)-N’-[4′-фтор-3-(1H-тетразол-5-ил)-бифенил-4-ил]-мочевину; N-(2-фтор-фенил)-N’-[4′-метил-3-(1Н-тетразол-5-ил)-бифенил-4-ил]-мочевину; N-(2-хлор-фенил)-N’-[4′-метил-3-(1H-тетразол-5-ил)-бифенил-4-ил]-мочевину; N-(2-бром-фенил)-N’-[4′-метил-3-(1H-тетразол-5-ил)-бифенил-4-ил]-мочевину; N-(2-трифторметил-фенил)-N’-[4′-метил-3-(1H-тетразол-5-ил)-бифенил-4-ил]-мочевину; N-(2-хлор-фенил)-N’-[3-(1H-тетразол-5-ил)-4′-трифторметил-бифенил-4-ил]-мочевину; N-(2-хлор-фенил)-N’-[4′-хлор-3-(1H-тетразол-5-ил)-бифенил-4-ил]-мочевину; N-(2-хлор-фенил)-N’-[4′-фтор-3-(1H-тетразол-5-ил)-бифенил-4-ил]-мочевину; N-(3,5-дихлор-фенил)-N’-[4′-метокси-3-(1Н-тетразол-5-ил)-бифенил-4-ил]-мочевину; N-(3,5-дифтор-фенил)-N’-[3-(1Н-тетразол-5-ил)-4′-трифторметокси-бифенил-4-ил]-мочевину; N-(3,5-дихлор-фенил)-N’-[3-(1Н-тетразол-5-ил)-4′-трифторметокси-бифенил-4-ил]-мочевину; N-(3,5-бис-трифторметил-фенил)-N’-[3-(1H-тетразол-5-ил)-4′-трифторметокси-бифенил-4-ил]-мочевину; N-(3,5-дифтор-фенил)-N’-[3-(1Н-тетразол-5-ил)-3′-трифторметил-бифенил-4-ил]-мочевину; N-(3,5-дихлор-фенил)-N’-[3-(1H-тетразол-5-ил)-3′-трифторметил-бифенил-4-ил]-мочевину; N-(3,5-бис-трифторметил-фенил)-N’-[3-(1Н-тетразол-5-ил)-3′-трифторметил-бифенил-4-ил]-мочевину; N-(3,5-дифтор-фенил)-N’-[4′-метокси-3-(1Н-тетразол-5-ил)-бифенил-4-ил]-мочевину; N-(3,5-бис-трифторметил-фенил)-N’-[4′-метокси-3-(1H-тетразол-5-ил)-бифенил-4-ил]-мочевину; N-(3-бром-фенил)-N’-[3-(1H-тетразол-5-ил)-4′-трифторметил-бифенил-4-ил]-мочевину; N-(4-хлор-фенил)-N’-[3-(1Н-тетразол-5-ил)-4′-трифторметил-бифенил-4-ил]-мочевину; N-(4-фтор-3-трифторметил-фенил)-N’-[3-(1Н-тетразол-5-ил)-3′-трифторметил-бифенил-4-ил]-мочевину или его фармацевтически приемлемую соль. Определение заместителей В контексте данного изобретения галогено представляет фторо, хлоро, бромо или йодо. Алкил означает прямую цепь или разветвленную цепь из атомов углерода в количестве от одного до шести, включая метил, этил, пропил, изопропил, бутил, изобутил, трет-бутил, пентил и гексил, но не ограничиваясь ими; метил, этил, пропил и изопропил являются предпочтительными группами. Алкокси представляет собой O-алкил, где алкил является таким, как определено выше. Фармацевтически приемлемые соли Химическое соединение по данному изобретению может быть предложено в любой форме, подходящей для предназначенного введения. Подходящие формы включают фармацевтически (то есть физиологически) приемлемые соли, а также пре- и пролекарственные формы химического соединения по данному изобретению. Примеры фармацевтически приемлемых солей присоединения включают, без ограничения, нетоксичные неорганические и органические соли присоединения кислот, такие как гидрохлорид, производный от соляной кислоты, гидробромид, производный от бромистоводородной кислоты, нитрат, производный от азотной кислоты, перхлорат, производный от хлорной кислоты, фосфат, производный от ортофосфорной кислоты, сульфат, производный от серной кислоты, формиат, производный от муравьиной кислоты, ацетат, производный от уксусной кислоты, аконат, производный от аконитовой кислоты, аскорбат, производный от аскорбиновой кислоты, бензолсульфонат, производный от бензолсульфоновой кислоты, бензоат, производный от бензойной кислоты, циннамат, производный от коричной кислоты, цитрат, производный от лимонной кислоты, эмбонат, производный от эмбоновой кислоты, энантат, производный от энантовой кислоты, фумарат, производный от фумаровой кислоты, глутамат, производный от глутаминовой кислоты, гликолят, производный от гликолевой кислоты, лактат, производный от молочной кислоты, малеат, производный от малеиновой кислоты, малонат, производный от малоновой кислоты, манделат, производный от миндальной кислоты, метансульфонат, производный от метансульфоновой кислоты, нафталин-2-сульфонат, производный от нафталин-2-сульфоновой кислоты, фталат, производный от фталевой кислоты, салицилат, проиводный от салициловой кислоты, сорбат, производный от сорбиновой кислоты, стеарат, производный от стеариновой кислоты, сукцинат, производный от янтарной кислоты, тартрат, производный от винной кислоты, пара-толуолсульфонат, производный от пара-толуолсульфоновой кислоты, и им подобные. Такие соли могут быть образованы способами, хорошо известными и описанными в данной области техники. Другие кислоты, такие как щавелевая кислота, которые не могут считаться фармацевтически приемлемыми, могут быть полезны в получении солей, полезных в качестве промежуточных соединений при получении химического соединения по данному изобретению и его фармацевтически приемлемой соли присоединения кислоты. Примерами фармацевтически приемлемых катионных солей химического соединения по данному изобретению являются, без ограничения, натриевая, калиевая, кальциевая, магниевая, цинковая, алюминиевая, литиевая, холиновая, лизиновая и аммониевая соли и им подобные соли химического соединения по данному изобретению, содержащего анионную группу. Такие катионные соли могут быть образованы способами, хорошо известными и описанными в данной области техники. В контексте данного изобретения “ониевые соли” N-содержащих соединений также рассматриваются как фармацевтически приемлемые соли. Предпочтительные “ониевые соли” включают алкил-ониевые соли, циклоалкил-ониевые соли и циклоалкилалкил-ониевые соли. Химическое соединение по данному изобретению может быть предложено в растворимых или нерастворимых формах вместе с фармацевтически приемлемым растворителем, таким как вода, этанол и им подобные. Растворимые формы могут также включать гидратные формы, такие как моногидрат, дигидрат, полугидрат, тригидрат, тетрагидрат и им подобные. Как правило, растворимые формы считаются эквивалентными нерастворимым формам для целей данного изобретения. Способы получения Соединения по данному изобретению могут быть получены традиционными способами химического синтеза, например теми, что описаны в практических примерах. Исходные материалы для процессов, описанных в настоящей заявке, известны или могут быть легко получены из имеющихся в продаже химических реагентов. Кроме того, одно соединение по изобретению может быть преобразовано в другое соединение по изобретению с использованием общепринятых способов. Конечные продукты реакций, описанных в данной заявке, могут быть выделены при помощи общепринятых технологических приемов, например путем экстракции, кристаллизации, дистилляции, хроматографии и так далее. Фармацевтические композиции В другом аспекте данного изобретения предложены новые фармацевтические композиции, содержащие терапевтически эффективное количество соединения по изобретению. Хотя соединение по изобретению для применения в терапии может быть введено в виде необработанного химического соединения, предпочтительно включать активный ингредиент, возможно в виде физиологически приемлемой соли, в состав фармацевтической композиции вместе с одним или более чем одним адъювантом, эксципиентом, носителем, буфером, разбавителем и/или другой обычной фармацевтической добавкой. В предпочтительном воплощении данного изобретения предложены фармацевтические композиции, содержащие соединение по изобретению или его фармацевтически приемлемую соль или производное вместе с одним или более чем одним фармацевтически приемлемым носителем и, возможно, с другими терапевтическими и/или профилактическими ингредиентами, известными и используемыми в данной области техники. Носитель(ли) должен(ны) быть “приемлемым(и)” в том смысле, что он должен быть совместим с другими ингредиентами препарата и безвредным для пациента. Фармацевтические композиции по изобретению могут быть подходящими для перорального, ректального, бронхиального, назального, пульмонального, местного (включая трансбуккальное и подъязычное), чрескожного, вагинального или парентерального (включая кожную, подкожную, внутримышечную, внутрибрюшинную, внутривенную, внутриартериальную, внутримозговую, внутриглазную инъекцию или инфузию) введения, или могут быть представлены в форме, подходящей для введения путем ингаляции или инсуффляции, включая порошки и жидкие аэрозоли, а также в виде систем с длительным высвобождением. Подходящие примеры систем с длительным высвобождением включают полупроницаемые матрицы из твердых гидрофобных полимеров, содержащих соединение по изобретению, которые могут быть представлены в определенной форме, например пленок или микрокапсул. Химические соединения по изобретению вместе с традиционным адъювантом, носителем или разбавителем, могут, таким образом, быть изготовлены в форме фармацевтических композиций и их стандартных лекарственных форм. Эти формы включают твердые формы, в частности таблетки, заполненные капсулы, порошки и драже, и жидкие формы, в частности водные и неводные растворы, суспензии, эмульсии, эликсиры и капсулы, заполненные ими, все для перорального применения, суппозитории для ректального введения и стерильные растворы для парентерального применения. Такие фармацевтические композиции и их стандартные лекарственные формы могут содержать общепринятые ингредиенты в обычных пропорциях с дополнительными активными соединениями или активными началами либо без них, и такие стандартные лекарственные формы могут содержать любое подходящее эффективное количество активного ингредиента, в соответствии с назначенным диапазоном суточной дозировки, которую используют. Химическое соединение по настоящему изобретению может быть введено в виде широкого спектра пероральных и парентеральных лекарственных форм. Специалистам в данной области техники понятно, что указанные ниже лекарственные формы могут содержать в качестве активного компонента либо химическое соединение по данному изобретению, либо фармацевтически приемлемую соль химического соединения по данному изобретению. Для приготовления фармацевтических композиций на основе химического соединения по настоящему изобретению фармацевтически приемлемые носители могут быть как твердыми, так и жидкими. Твердые препаративные формы включают порошки, таблетки, пилюли, капсулы, облатки, суппозитории и диспергируемые гранулы. Твердый носитель может представлять собой одно или более чем одно вещество, которые могут также действовать как разбавители, корригенты, солюбилизаторы, смазывающие вещества, суспендирующие агенты, связывающие вещества, консерванты, разрыхлители для таблеток или инкапсулирующие материалы. В порошках твердым носителем является тонкоизмельченное твердое вещество, которое находится в смеси с тонкоизмельченным активным компонентом. В таблетках активный компонент смешан с носителем, имеющим необходимую связывающую способность, в подходящих соотношениях и спрессован в форму желаемого вида и размера. Порошки и таблетки предпочтительно содержат от пяти или десяти до около семидесяти процентов активного соединения. Подходящими носителями являются карбонат магния, стеарат магния, тальк, сахар, лактоза, пектин, декстрин, крахмал, желатин, трагакант, метилцеллюлоза, натрия карбоксиметилцелюлоза, низкоплавкий воск, масло какао и тому подобное. Термин “изготовление препарата” подразумевает получение препарата активного соединения с инкапсулирующим материалом в качестве носителя, образуя капсулу, в которой активный компонент, с носителями или без них, окружен носителем, который таким образом находится в ассоциации с ним. Подобным образом включены облатки и лепешки. Таблетки, порошки, капсулы, пилюли, облатки и лепешки могут быть использованы как твердые формы для перорального введения. Для приготовления суппозиториев низкоплавкий воск, такой как смесь грицерида жирной кислоты или масла какао, сначала расплавляют и активный компонент гомогенно диспергируют в нем, например, путем перемешивания. Расплавленную гомогенную смесь затем вливают в формы подходящего размера, оставляют охлаждаться и таким образом затвердевать. Композиции, подходящие для вагинального введения, могут быть представлены в виде пессариев, тампонов, кремов, гелей, паст, пенок или спреев, содержащих в дополнение к активному ингредиенту такие носители, которые известны в данной области техники как приемлемые. Жидкие препараты включают растворы, суспензии и эмульсии, например водные или водно-пропиленгликолевые растворы. Например, жидкие препараты для парентеральных инъекций могут быть приготовлены в виде растворов в водном растворе полиэтиленгликоля. Химическое соединение по настоящему изобретению таким образом может быть приготовлено в виде препарата для парентерального введения (например, путем инъекции, например болюсной инъекции или непрерывной инфузии) и может быть представлено в таких формах единичной дозировки, как ампулы, предварительно наполненные шприцы-тюбики, малообъемные упаковки для капельниц, либо в многодозовых контейнерах с добавленным консервантом. Композиции могут быть представлены в таких формах, как суспензии, растворы или эмульсии в масляных или водных носителях, и могут содержать в своем составе суспендирующие, стабилизирующие и/или диспергирующие вещества. Альтернативно, активный ингредиент может быть представлен в порошковой форме, полученной путем асептического выделения стерильного твердого вещества или путем лиофилизации из раствора, для разведения перед использованием подходящим носителем, например стерильной апирогенной водой. Водные растворы, подходящие для перорального применения, могут быть приготовлены путем растворения активного компонента в воде и добавления подходящих красителей, корригентов, стабилизаторов и загустителей при необходимости. Водные суспензии, подходящие для перорального применения, могут быть приготовлены путем диспергирования тонкоизмельченного активного компонента в воде с вязким материалом, таким как природные или синтетические смолы, полимеры, метилцеллюлоза, карбоксиметилцеллюлоза натрия или другими хорошо известными суспендирующими агентами. Также включены твердые препаративные формы, предназначенные для преобразования в жидкие препаративные формы непосредственно перед применением, для перорального введения. Такие жидкие формы включают растворы, суспензии и эмульсии. В дополнение к активному компоненту такие препараты могут содержать красители, корригенты, стабилизаторы, буферы, искусственные или натуральные подсластители, диспергирующие агенты, загустители, солюбилизаторы и тому подобное. Для местного применения на кожу химическое соединение по данному изобретению может быть изготовлено в форме мазей, кремов или лосьонов либо в виде трансдермального пластыря. Мази и кремы могут, например, быть изготовлены на водной или маслянистой основе с добавлением подходящих загустителей и/или желирующих агентов. Лосьоны могут быть изготовлены на водной или маслянистой основе и, как правило, также содержат один или более чем один эмульгатор, стабилизатор, диспергирующий агент, суспендирующий агент, загуститель или краситель. Композиции, подходящие для местного введения в ротовую полость, включают лепешки, содержащие активный агент в ароматизированной основе, обычно сахарозе и аравийской камеди или трагаканте; пастилки, содержащие активный ингредиент в инертной основе, такой как желатин и глицерин или сахароза и аравийская камедь; полоскания для рта, содержащие активный ингредиент в подходящем жидком носителе. Растворы или суспензии применяют непосредственно в носовую полость традиционными способами, например, с помощью капельницы, пипетки или спрея. Композиции могут быть предложены в формах единичной дозы и многодозовых формах. Введение в дыхательные пути может быть осуществлено посредством аэрозольных препаратов, в которых активный ингредиент находится в герметичной упаковке вместе с подходящим пропеллентом, таким как хлорфторуглерод (CFC), например дихлордифторметан, трихлорфторметан или дихлортетрафторэтан, диоксид углерода или другой подходящий газ. Аэрозоль, как правило, также может содержать поверхностно-активное вещество, такое как лецитин. Дозу лекарства можно контролировать при помощи дозирующего клапана. Альтернативно, активные ингредиенты могут быть представлены в виде сухого порошка, например порошкообразной смеси соединения в подходящей порошкообразной основе, такой как лактоза, крахмал, производные крахмала, такие как гидроксипропилметилцеллюлоза, и поливинилпирролидон (ПВП). Как правило, порошкообразная основа образует в носовой полости гель. Порошкообразная композиция может быть представлена в форме единичной дозы, например в капсулах или картриджах из, например, желатина, или в блистерных упаковках, из которых порошок может быть введен при помощи ингалятора. В композициях, предназначенных для введения в дыхательные пути, включая интраназальные композиции, соединение, как правило, должно иметь частицы малого размера, например порядка 5 микрон или меньше. Такой размер частиц может быть достигнут известными в данной области техники средствами, например микронизацией. Если необходимо, могут быть использованы композиции, изготовленные так, чтобы обеспечивать длительное высвобождение активного ингредиента. Фармацевтические препараты предпочтительно представлять в виде стандартных лекарственных форм. В таких формах препарат подразделен на единичные дозы, содержащие подходящие количества активного компонента. Стандартная лекарственная форма может представлять собой упакованный препарат, причем упаковка содержит отдельные порции препарата, такие как упакованные таблетки, капсулы и порошки во флаконах или ампулах. Также стандартная лекарственная форма может представлять собой капсулу, таблетку, облатку или лепешку саму по себе либо это может быть необходимое количество любой из них в упакованной форме. Таблетки или капсулы для перорального введения и жидкости для внутривенного введения и непрерывных инфузий являются предпочтительными композициями. Более подробную информацию о технологии производства и введения препаратов можно найти в последнем издании Remington’s Pharmaceutical Sciences (Maack Publishing Co., Easton, PA). Терапевтически эффективная доза относится к такому количеству активного ингредиента, которое улучшает симптомы или состояние. Терапевтическая эффективность и токсичность, например ED50 и LD50, могут быть определены стандартными фармакологическими процедурами на культурах клеток или экспериментальных животных. Соотношение дозы между терапевтическим и токсическим эффектом называется терапевтическим индексом и может быть выражено отношением LD50/ED50. Предпочтительны фармацевтические композиции, проявляющие высокие терапевтические индексы. Вводимая доза, разумеется, должна быть тщательно отрегулирована в зависимости от возраста, массы тела и состояния отдельного пациента, которого лечат, а также от пути введения, лекарственной формы, режима лечения и ожидаемого результата, и более точная дозировка должна быть, несомненно, определена лечащим врачом. Фактическая дозировка зависит от природы и тяжести заболевания, которое лечат, и находится в ведении врача, ее можно варьировать титрованием дозировки применительно к конкретным условиям данного изобретения с получением желаемого терапевтического эффекта. Тем не менее настоящим предусматривается, что фармацевтические композиции, содержащие от примерно 0,1 до примерно 500 мг активного ингредиента на индивидуальную дозу, предпочтительно от примерно 1 до примерно 100 мг, наиболее предпочтительно от примерно 1 до примерно 10 мг, наиболее подходят для терапевтического лечения. Активный ингредиент может быть введен в виде одной или нескольких доз в сутки. Удовлетворительный результат в определенных случаях может быть получен даже при такой низкой дозировке, как 0,1 мкг/кг i.v. (внутривенно) и 1 мкг/кг р.о. (перорально). Верхним пределом диапазона дозировки в настоящее время считается примерно 10 мг/кг i.v. и 100 мг/кг р.о. Предпочтительными являются диапазоны от 0,1 мкг/кг до примерно 10 мг/кг в сутки i.v. и от примерно 1 мкг/кг до примерно 100 мг/кг в сутки р.о. Офтальмологические препараты Фармацевтическая композиция может быть приготовлена в стандартной лекарственной форме, подходящей для местного применения на глаза. Терапевтически эффективное количество находится обычно от 0,0001 до 5% (мас./об.), предпочтительно от 0,001 до 1,0% (мас./об.), в жидких препаратах. Для офтальмологического применения предпочтительно растворы изготавливают с использованием физиологического солевого раствора в качестве основного носителя. Показатель рН таких офтальмологических растворов следует предпочтительно поддерживать в пределах от 4,5 до 8,0, более предпочтительно от 6,5 до 7,2, с соответствующей буферной системой. Препараты могут также содержать обычные фармацевтически приемлемые консерванты, стабилизаторы и поверхностно-активные вещества. Консерванты могут быть выбраны из гидрофобных или неионных консервантов, анионных консервантов и катионных консервантов. Предпочтительные консерванты, которые могут быть использованы в фармацевтических композициях по настоящему изобретению, включают бензалкония хлорид, хлорбутанол, тимеросал, фенилртуть ацетат и фенилртуть нитрат, но не ограничены ими. Предпочтительным поверхностно-активным веществом является, например, полисорбат 80 (Polysorbate 80). Также разнообразные предпочтительные носители могут быть использованы в офтальмологических препаратах по настоящему изобретению. Такие носители включают поливиниловый спирт, повидон, гидроксипропилметилцеллюлозу, полоксамеры, карбоксиметилцеллюлозу, гидроксиэтилцеллюлозу и очищенную воду, но не ограничены ими. Регуляторы тоничности, такие как неионные регуляторы тоничности, могут быть добавлены при необходимости или если подходят. Они включают, но не ограничены ими, соли, в частности хлорид натрия, хлорид калия, маннит и глицерин, полиэтиленгликоли (PEG), полипропиленгликоли (PPG) или любой другой подходящий офтальмологически приемлемый регулятор тоничности. Разнообразные буферы и средства для регулирования рН могут быть использованы так, чтобы получаемый в результате препарат оставался офтальмологически приемлемым. Соответственно, буферы включают ацетатные буферы, цитратные буферы, фосфатные буферы и боратные буферы. Если это необходимо, для регулирования рН могут быть использованы кислоты или основания. Офтальмологически приемлемые антиоксиданты для применения в настоящем изобретении включают метабисульфит натрия, тиосульфат натрия, ацетилцистеин, бутилированный гидроксианизол и бутилированный гидрокситолуол, но не ограничены ими. Другие компоненты-эксципиенты, которые могут быть включены в состав офтальмологических препаратов, представляют собой хелатирующие агенты. Предпочтительный хелатирующий агент представляет собой эденат динатрия, хотя другие хелатирующие агенты могут также быть использованы вместо него или в сочетании с ним. Фактическая доза активных соединений по данному изобретению зависит от конкретного соединения и от состояния пациента, которого лечат; выбор подходящей дозы находится в компетенции лечащего врача. Офтальмологические препараты по настоящему изобретению подходящим образом упаковывают в формы, подходящие для дозированного применения, такие как контейнеры, снабженные капельницей, чтобы облегчить введение в глаз. Контейнеры, подходящие для капельного введения, как правило, изготавливают из подходящего инертного нетоксичного пластикового материала и обычно содержат от примерно 0,5 до примерно 15 мл раствора. В случае лечения заболеваний, расстройств или состояний, связанных с офтальмологическим ангиогенезом, таких как возрастная дегенерация желтого пятна (AMD), фармацевтическая композиция по данному изобретению может быть также введена в форме для системного введения (например, перорально), в виде глазной мази или в виде инъекции в глаз (окологлазная и внутриглазная инъекция). Биологическая активность Соединения по настоящему изобретению полезны в качестве блокаторов хлоридных каналов, таких как объем-регулируемых анионных каналов (volume regulated anion channels, VRAC) или хлоридные каналы остеокластов. Для измерения активности соединений могут быть использованы различные способы анализа блокирования хлоридных каналов, известные в данной области техники. Способы лечения Соединения, которые активны как блокаторы хлоридных каналов, прежде всего могут быть полезны в лечении ряда заболеваний, расстройств и состояний, включая метаболические костные заболевания, или заболеваний, расстройств или состояний, чувствительных к ингибированию ангиогенеза. Таким образом, в дополнительном аспекте соединения по изобретению рассматриваются как полезные для лечения, профилактики или облегчения симптомов заболевания, расстройства или состояния, чувствительного к блокаде хлоридных каналов. В конкретном воплощении заболевание, расстройство или состояние представляет собой метаболическое костное заболевание, такое как костное заболевание, связанное с остеокластами. В дополнительном воплощении данное заболевание, расстройство или состояние представляет собой костное заболевание, связанное с остеокластами, такое как остеопороз, постклимактерический остеопороз, вторичный остеопороз, остеолитические костные метастазы рака груди, остеолитическое злокачественное прорастание и заболевание костей, такое как болезнь Педжета. Заболевания, расстройства или состояния, которые чувствительны к ингибированию ангиогенеза, включают – заболевания, расстройства или состояния, в которые вовлечена пролиферация опухолевых клеток, такие как рак, рак простаты, рак легких, рак груди, рак мочевого пузыря, рак почек, рак толстой кишки, рак желудка, рак поджелудочной железы, рак яичников, меланома, гепатома, саркома и лимфома; – заболевания, расстройства или состояния, связанные с глазным ангиогенезом, такие как экссудативная дегенерация желтого пятна, возрастная дегенерация желтого пятна (AMD), ретинопатия, диабетическая ретинопатия, пролиферативная диабетическая ретинопатия, диабетический отек желтого пятна (DME), ишемическая ретинопатия (например, окклюзия вен или артерий сетчатки), ретинопатия недоношенных, неоваскулярная глаукома и реваскуляризация роговицы, и – ревматоидный артрит и псориаз, но не ограничены ими. В конкретном воплощении заболевание, расстройство или состояние, которое подлежит лечению, представляет собой предраковое болезненное состояние. В дополнительном воплощении лечение представляет собой антиметастатическое лечение. В еще одном дополнительном воплощении заболевание, расстройство или состояние, которое следует предотвращать, представляет собой метастатический рак. В контексте изобретения “возрастная дегенерация желтого пятна (AMD)” включает сухую AMD (неэкссудативную AMD) и влажную AMD (экссудативную AMD). В конкретном воплощении изобретение относится к лечению, профилактике и облегчению симптомов влажной AMD. В дополнительном воплощении заболевание, расстройство или состояние представляет собой серповидно-клеточную анемию. Кроме того, блокаторы хлоридных каналов скорее всего будут полезны в лечении заболевания, расстройства или состояния, которые чувствительны к снижению внутриглазного давления, таких как повышенное глазное давление, открытоугольная глаукома, хроническая открытоугольная глаукома, закрытоугольная глаукома, цилиарная инъекция, вызванная закрытоугольной глаукомой. Настоящим предусматривается, что подходящими диапазонами дозировок являются от 0,1 до 1000 миллиграммов в сутки, 10-500 миллиграммов в сутки и в особенности 30-100 миллиграммов в сутки, обычно в зависимости от конкретного способа введения, формы для введения, показания, для которого предназначено введение, пациента и массы тела пациента, а также от выбора и опыта лечащего врача или ветеринара. Если препарат вводят в комбинации с соединениями, известными в данной области для лечения этих заболеваний, режимы дозировок могут быть снижены. Комбинированная терапия Применение соединений по данному изобретению можно сочетать с применением других соединений, полезных для лечения, профилактики или облегчения симптомов заболевания, расстройства или состояния, которые чувствительны к блокаде хлоридных каналов. Например, соединения могут быть использованы в комбинации с одним или более чем одним дополнительным лекарственным средством для лечения, профилактики или облегчения симптомов заболевания, чувствительного к ингибированию ангиогенеза, таким как соединения, полезные для антиметастатического лечения. Такие дополнительные лекарственные средства включают цитотоксические соединения, антимитотические соединения и антиметаболиты. Примерами цитотоксических соединений (в том числе цитотоксических алкилирующих агентов) являются кармустин (BCNU), фотемустин, темозоломид (темодал), ифосфамид и циклофосфамид. Примерами антимитотических соединений являются паклитаксел (таксол) и доцетаксел. Примером антиметаболитов является метотрексат. Кроме того, фармацевтическая композиция для применения по данному изобретению может быть использована или введена в комбинации с другими средствами лечения или терапии. Примерами других средств лечения или терапии являются радиотерапия и хирургия. Кроме того, применение соединений по изобретению можно сочетать с применением других соединений, контролирующих костный метаболизм, для лечения болезней костного метаболизма. Такие известные соединения, контролирующие костный метаболизм, включают бисфосфонаты, такие как этидронат, памидронат или клодронат, возможно объединенные с кальцием; эстроген-рецепторные активные соединения, такие как эстроген, а именно эстрадиол и этилэстрадиол, кальцитонин, 1,25-дигидроксивитамин D и его метаболиты, фторид, гормон роста, гормон паращитовидной железы, трийодтирозин, ферменты, разлагающие коллаген, такие как ингибиторы протеазы, или терапевтические агенты для лечения рака. Кроме того, применение соединений по данному изобретению можно сочетать с применением одного или более чем одного дополнительного лекарственного средства, полезного для лечения, профилактики или облегчения симптомов заболевания, расстройства или состояния, которое чувствительно к снижению внутриглазного давления. Такие дополнительные лекарственные средства включают бета-блокаторы, парасимпатомиметические миотические средства, симпатомиметики и ингибиторы карбоангидразы. Кроме того, применение соединений по данному изобретению можно сочетать с другими средствами лечения или терапии. Лечение заболеваний и расстройств может представлять собой лечение хронических заболеваний или долговременное лечение, а также лечение внезапных кризисов в течении заболевания и расстройства. ПРИМЕРЫ Далее изобретение иллюстрируется со ссылкой на следующие примеры, которые не ограничивают объема данного изобретения. Пример 1 4-Амино-4′-трифторметил-бифенил-3-карбонитрил К диметоксиэтану (100 мл) и воде (50 мл) добавляли 2-амино-5-бром-бензонитрил (8,1 г), 4-трифторметил-фенил-бороновую кислоту (8,6 г) и карбонат калия (18,7 г), азот барботировали через смесь в течение 10 минут. В атмосфере азота добавляли хлорид бис(трифенилфосфин)палладия(II) (0,3 г), реакционную смесь нагревали с обратным холодильником в течение ночи, затем охлаждали до комнатной температуры и добавляли воду (150 мл). Смесь экстрагировали этилацетатом, органическую фазу промывали водой (50 мл) и рассолом (50 мл), затем сушили сульфатом магния и упаривали с получением масла. Продукт очищали при помощи колоночной хроматографии. Выход 8,36 г белого порошка. Подобным образом были получены 4-амино-4′-хлор-бифенил-3-карбонитрил, 4-амино-4′-фтор-бифенил-3-карбонитрил, 4-амино-4′-метил-бифенил-3-карбонитрил, 4-амино-4′-трифторметокси-бифенил-3-карбонитрил, 4-амино-3′-трифторметил-бифенил-3-карбонитрил. Пример 2 3-(1Н-Тетразол-5-ил)-4′-трифторметил-бифенил-4-иламин 4-Амино-4′-трифторметил-бифенил-3-карбонитрил (8,3 г) растворяли в толуоле (100 мл), к раствору добавляли азид натрия (3,1 г) и хлорид триэтиламмония (6,6 г). Реакционную смесь нагревали при 60-62°С в течение ночи, затем охлаждали до комнатной температуры и добавляли воду (40 мл), затем соляную кислоту (4 М, 13 мл) до достижения рН=1. Продукт осаждали и выделяли путем фильтрования, осадок промывали холодной водой и сушили под фильтром отсасыванием воздуха через соединение. Выход 10,2 г белого порошка. Подобным образом были получены 4′-хлор-3-(1Н-тетразол-5-ил)-бифенил-4-иламин, 4′-фтор-3-(1H-тетразол-5-ил)-бифенил-4-иламин, 4′-метил-3-(1H-тетразол-5-ил)-бифенил-4-иламин, 3-(1H-тетразол-5-ил)-4′-трифторметокси-бифенил-4-иламин, 3-(1H-тетразол-5-ил)-3′-трифторметил-бифенил-4-иламин. Пример 3 N-(4-Хлор-3-трифторметил-фенил)-N’-[3-(1Н-тетразол-5-ил)-4′-трифторметил-бифенил-4-ил]-мочевина 3-(1H-Тетразол-5-ил)-4′-трифторметил-бифенил-4-иламин (0,5 г) и 4-хлор-3-трифторметил-фенилизоцианат (0,4 г) в толуоле (15 мл) перемешивали при комнатной температуре в течение двух суток. Реакционную смесь упаривали с получением масла, это масло растворяли в ацетоне и фильтровали через Целит, к этому фильтрату добавляли воду, продукт осаждали и выделяли путем фильтрования. Выход 0,6 г. Т.пл. 226-228°С. Подобным образом были получены N-(3-трифторметил-фенил)-N’-[4′-хлор-3-(1Н-тетразол-5-ил)-бифенил-4-ил]-мочевина, т.пл. 253-254°С, N-(4-хлор-3-трифторметил-фенил)-N’-[4′-хлор-3-(1Н-тетразол-5-ил)-бифенил-4-ил]-мочевина, т.пл. 242-243°С, N-(3,5-дихлор-фенил)-N’-[4′-хлор-3-(1H-тетразол-5-ил)-бифенил-4-ил]-мочевина, т.пл. 231-234°С, N-(3,5-дифтор-фенил)-N’-[4′-хлор-3-(1Н-тетразол-5-ил)-бифенил-4-ил]-мочевина, т.пл. 250-251°С, N-(3,5-дихлор-фенил)-N’-[3-(1H-тетразол-5-ил)-4′-трифторметил-бифенил-4-ил]-мочевина, т.пл. 226-230°С, N-(3,5-дифтор-фенил)-N’-[3-(1H-тетразол-5-ил)-4′-трифторметил-бифенил-4-ил]-мочевина, т.пл. 245-247°С, N-(3-трифторметил-фенил)-N’-[4′-фтор-3-(1Н-тетразол-5-ил)-бифенил-5-ил]-мочевина, т.пл. 256-258°С, N-(4-хлор-3-трифторметил-фенил)-N’-[4′-фтор-3-(1H-тетразол-5-ил)-бифенил-4-ил]-мочевина, т.пл. 247-249°С, N-(3,5-дихлор-фенил)-N’-(4′-фтор-3-(1Н-тетразол-5-ил)-бифенил-4-ил]-мочевина, т.пл. 241-243°С, N-(3,5-дифтор-фенил)-N’-[4′-фтор-2-(1Н-тетразол-5-ил)-бифенил-4-ил]-мочевина, т.пл. 255-256°С, N-(4-фтор-3-трифторметил-фенил)-N’-[3-(1Н-тетразол-5-ил)-4′-трифторметил-бифенил-4-ил]-мочевина, т.пл. 247-249°С (субл.), N-(3,5-бис-трифторметил-фенил)-N’-[3-(1Н-тетразол-5-ил)-4′-трифторметил-бифенил-4-ил]-мочевина, т.пл. 246-248°С, N-(3,5-бис-трифторметил-фенил)-N’-[4′-хлор-3-(1H-тетразол-5-ил)-бифенил-4-ил]-мочевина, т.пл. 230-233°С, N-(4-фтор-3-трифторметил-фенил)-N’-[4′-хлор-3-(1H-тетразол-5-ил)-бифенил-4-ил]-мочевина, т.пл. 243-245°С, N-(3,5-бис-трифторметил-фенил)-N’-[4′-фтор-3-(1H-тетразол-5-ил)-бифенил-4-ил]-мочевина, т.пл. 251-253°С, N-(4-фтор-3-трифторметил-фенил)-N’-[4′-фтор-3-(1H-тетразол-5-ил)-бифенил-4-ил]-мочевина, т.пл. 253-254°С, N-(2-трифторметил-фенил)-N’-[3-(1H-тетразол-5-ил)-4′-трифторметил-бифенил-4-ил]-мочевина, т.пл. 240-243°С, N-(2-трифторметил-фенил)-N’-[4′-фтор-3-(1Н-тетразол-5-ил)-бифенил-4-ил]-мочевина, т.пл. 256-258°С, N-(2-бром-фенил)-N’-[3-(11H-тетразол-5-ил)-4′-трифторметил-бифенил-4-ил]-мочевина, т.пл. 242-243°С, N-(2-трифторметил-фенил)-N’-[4′-хлор-3-(1H-тетразол-5-ил)-бифенил-4-ил]-мочевина, т.пл. 290-292°С, N-(2-бром-фенил)-N’-[4′-хлор-3-(1Н-тетразол-5-ил)-бифенил-4-ил]-мочевина, т.пл. 255-256°С, N-(2-бром-фенил)-N’-[4′-фтор-3-(1Н-тетразол-5-ил)-бифенил-4-ил]-мочевина, т.пл. 256-258°С, N-(2-фтор-фенил)-N’-[3-(11H-тетразол-5-ил)-4′-трифторметил-бифенил-4-ил]-мочевина, т.пл. 251-252°С, N-(2-фтор-фенил)-N’-[4′-хлор-3-(1Н-тетразол-5-ил)-бифенил-4-ил]-мочевина, т.пл. 257-259°С, N-(2-фтор-фенил)-N’-[4′-фтор-3-(1H-тетразол-5-ил)-бифенил-4-ил]-мочевина, т.пл. 263-264°С, N-(2-фтор-фенил)-N’-[4′-метил-3-(1Н-тетразол-5-ил)-бифенил-4-ил]-мочевина, т.пл. 260-262°С, N-(2-хлор-фенил)-N’-[4′-метил-3-(1H-тетразол-5-ил)-бифенил-4-ил]-мочевина, т.пл. 261-263°С, N-(2-бром-фенил)-N’-[4′-метил-3-(1Н-тетразол-5-ил)-бифенил-4-ил]-мочевина, т.пл. 255-257°С, N-(2-трифторметил-фенил)-N’-[4′-метил-3-(1H-тетразол-5-ил)-бифенил-4-ил]-мочевина, т.пл. 259-261°С, N-(2-хлор-фенил)-N’-[3-(1Н-тетразол-5-ил)-4′-трифторметил-бифенил-4-ил]-мочевина, т.пл. 254-255°С (субл.), N-(2-хлор-фенил)-N’-[4′-хлор-3-(1H-тетразол-5-ил)-бифенил-4-ил]-мочевина, т.пл. 255-257°С (субл.), N-(2-хлор-фенил)-N’-[4′-фтор-3-(1H-тетразол-5-ил)-бифенил-4-ил]-мочевина, т.пл. 255-257°С (субл.), N-(3,5-дихлор-фенил)-N’-[4′-метокси-3-(1H-тетразол-5-ил)-бифенил-4-ил]-мочевина, т.пл. 200-201°С, N-(3,5-дифтор-фенил)-N’-[3-(1H-тетразол-5-ил)-4′-трифторметокси-бифенил-4-ил]-мочевина, т.пл. 238-241°С, N-(3,5-дихлор-фенил)-N’-[3-(1H-тетразол-5-ил)-4′-трифторметокси-бифенил-4-ил]-мочевина, т.пл. 224-225°С, N-(3,5-бис-трифторметил-фенил)-N’-[3-(1H-тетразол-5-ил)-4′-трифторметокси-бифенил-4-ил]-мочевина, т.пл. 238-240°С (субл.), N-(3,5-дифтор-фенил)-N’-[3-(1Н-тетразол-5-ил)-3′-трифторметил-бифенил-4-ил]-мочевина, т.пл. 255-257°С, N-(3,5-дихлор-фенил)-N’-[3-(1Н-тетразол-5-ил)-3′-трифторметил-бифенил-4-ил]-мочевина, т.пл. 236-239°С (субл.), N-(3,5-бис-трифторметил-фенил)-N’-[3-(1Н-тетразол-5-ил)-3′-трифторметил-бифенил-4-ил]-мочевина, т.пл. 250-252°С, N-(3,5-дифтор-фенил)-N’-[4′-метокси-3-(1H-тетразол-5-ил)-бифенил-4-ил]-мочевина, т.пл. 129-133°С, N-(3,5-бис-трифторметил-фенил)-N’-[4′-метокси-3-(1H-тетразол-5-ил)-бифенил-4-ил]-мочевина, т.пл. 219-221°С, N-(3-бром-фенил)-N’-[3-(1Н-тетразол-5-ил)-4′-трифторметил-бифенил-4-ил]-мочевина, т.пл. 203-210°С (субл.), N-(4-хлор-фенил)-N’-[3-(1Н-тетразол-5-ил)-4′-трифторметил-бифенил-4-ил]-мочевина, т.пл. 232-234°С, N-(4-фтор-3-трифторметил-фенил)-N’-[3-(1H-тетразол-5-ил)-3′-трифторметил-бифенил-4-ил]-мочевина, т.пл. 254-255°С. ДАННЫЕ ПО БИОЛОГИЧЕСКОЙ АКТИВНОСТИ Соединения по изобретению были протестированы в отношении объем-регулируемых анионных каналов (Volume Regulated Anioin Channel, VRAC) с помощью метода “открытия-закрытия” (пэтч-кламп) на целых клетках с использованием эмбриональных клеток почки человека (НЕК293), как описано в Helix et al., 2003. Кратко, VRAC активировали путем набухания клетки в гипотоническом (тоничность 75%) внеклеточном солевом растворе и измеряли анионный ток, вызываемый линейными изменениями напряжения в зависимости от времени. Когда ток стабилизировался, к внеклеточному раствору добавляли тестируемые соединения и после зависимой от времени блокады рассчитывали значения константы КD. Полученные значения КD представлены в таблице.
Формула изобретения
1. Химическое соединение, представленное общей формулой (I) или его фармацевтически приемлемая соль, где Ro представляет собой водород; Rm представляет собой водород или трифторметил; Rp представляет собой водород, галогено, трифторметил, трифторметокси, C1-6алкил или С1-6алкокси; при условии, что не все три из Ro, Rm и Rp представляют собой водород; R2, R3, R4 и R5 независимо один от другого представляют собой водород, галогено или трифторметил; при условии, что соединение не представляет собой N-(3-трифторметил-фенил)-N’-[3-(1Н-тетразол-5-ил)-4′-трифторметил-бифенил-4-ил]-мочевину. 2. Соединение по п.1, где Ro представляет собой водород; Rm представляет собой водород; и Rp представляет собой галогено, трифторметил, трифторметокси, C1-6алкил или С1-6алкокси. 3. Соединение по п.1, где Ro представляет собой водород; Rp представляет собой водород; и Rm представляет собой галогено и трифторметил. 4. Соединение по любому из пп.1-3, где R3, R4 и R5 представляют собой водород; и R2 представляет собой галогено или трифторметил. 5. Соединение по любому из пп.1-3, где R2, R4 и R5 представляют собой водород; и R3 представляет собой галогено или трифторметил. 6. Соединение по любому из пп.1-3, где R2, R3 и R5 представляют собой водород; и R4 представляет собой галогено или трифторметил. 7. Соединение по любому из пп.1-3, где R2 и R5 представляют собой водород; и R3 и R4 независимо один от другого представляют собой галогено или трифторметил. 8. Соединение по любому из пп.1-3, где R2 и R4 представляют собой водород; и R3 и R5 независимо один от другого представляют собой галогено или трифторметил. 9. Соединение по п.1, представляющее собой: N-(4-хлор-3-трифторметил-фенил)-N’-[3-(1Н-тетразол-5-ил)-4′-трифторметил-бифенил-4-ил]-мочевину; N-(4-хлор-3-трифторметил-фенил)-N’-[4′-хлор-3-(1Н-тетразол-5-ил)-бифенил-4-ил]-мочевину; N-(3,5-дихлор-фенил)-N’-[4′-хлор-3-(1Н-тетразол-5-ил)-бифенил-4-ил]-мочевину; N-(3,5-дифтор-фенил)-N’-[4′-хлор-3-(1Н-тетразол-5-ил)-бифенил-4-ил]-мочевину; N-(3,5-дихлор-фенил)-N’-[3-(1Н-тетразол-5-ил)-4′-трифторметил-бифенил-4-ил]-мочевину; N-(3,5-дифтор-фенил)-N’-[3-(1Н-тетразол-5-ил)-4′-трифторметил-бифенил-4-ил]-мочевину; N-(3-трифторметил-фенил)-N’-[4′-фтор-3-(1Н-тетразол-5-ил)-бифенил-5-ил]-мочевину; N-(4-хлор-3-трифторметил-фенил)-N’-[4′-фтор-3-(1Н-тетразол-5-ил)-бифенил-4-ил]-мочевину; N-(3,5-дихлор-фенил)-N’-[4′-фтор-3-(1Н-тетразол-5-ил)-бифенил-4-ил]-мочевину; N-(3,5-дифтор-фенил)-N’-[4′-фтор-2-(1Н-тетразол-5-ил)-бифенил-4-ил]-мочевину; N-(4-фтор-3-трифторметил-фенил)-N’-[3-(1Н-тетразол-5-ил)-4′-трифторметил-бифенил-4-ил]-мочевину; N-(3,5-бис-трифторметил-фенил)-N’-[3-(1Н-тетразол-5-ил)-4′-трифторметил-бифенил-4-ил]-мочевину; N-(3,5-бис-трифторметил-фенил)-N’-[4′-хлор-3-(1Н-тетразол-5-ил)-бифенил-4-ил]-мочевину; N-(4-фтор-3-трифторметил-фенил)-N’-[4′-хлор-3-(1Н-тетразол-5-ил)-бифенил-4-ил]-мочевину; N-(3,5-бис-трифторметил-фенил)-N’-[4′-фтор-3-(1Н-тетразол-5-ил)-бифенил-4-ил]-мочевину; N-(4-фтор-3-трифторметил-фенил)-N’-[4′-фтор-3-(1Н-тетразол-5-ил)-бифенил-4-ил]-мочевину; N-(2-трифторметил-фенил)-N’-[3-(1Н-тетразол-5-ил)-4′-трифторметил-бифенил-4-ил]-мочевину; N-(2-трифторметил-фенил)-N’-[4′-фтор-3-(1Н-тетразол-5-ил)-бифенил-4-ил]-мочевину; N-(2-бром-фенил)-N’-[3-(1Н-тетразол-5-ил)-4′-трифторметил-бифенил-4-ил]-мочевину; N-(2-трифторметил-фенил)-N’-[4′-хлор-3-(1Н-тетразол-5-ил)-бифенил-4-ил]-мочевину; N-(2-бром-фенил)-N’-[4′-хлор-3-(1Н-тетразол-5-ил)-бифенил-4-ил]-мочевину; N-(2-бром-фенил)-N’-[4′-фтор-3-(1Н-тетразол-5-ил)-бифенил-4-ил]-мочевину; N-(2-фтор-фенил)-N-[3-(1Н-тетразол-5-ил)-4′-трифторметил-бифенил-4-ил]-мочевину; N-(2-фтор-фенил)-N’-[4′-хлор-3-(1Н-тетразол-5-ил)-бифенил-4-ил]-мочевину; N-(2-фтор-фенил)-N’-[4′-фтор-3-(1Н-тетразол-5-ил)-бифенил-4-ил]-мочевину; N-(2-фтор-фенил)-N’-[4′-метил-3-(1Н-тетразол-5-ил)-бифенил-4-ил]-мочевину; N-(2-хлор-фенил)-N’-[4′-метил-3-(1Н-тетразол-5-ил)-бифенил-4-ил]-мочевину; N-(2-бром-фенил)-N’-[4′-метил-3-(1Н-тетразол-5-ил)-бифенил-4-ил]-мочевину; N-(2-трифторметил-фенил)-N’-[4′-метил-3-(1Н-тетразол-5-ил)-бифенил-4-ил]-мочевину; N-(2-хлор-фенил)-N’-[3-(1Н-тетразол-5-ил)-4′-трифторметил-бифенил-4-ил]-мочевину; N-(2-хлор-фенил)-N’-[4′-хлор-3-(1Н-тетразол-5-ил)-бифенил-4-ил]-мочевину; N-(2-хлор-фенил)-N’-[4′-фтор-3-(1Н-тетразол-5-ил)-бифенил-4-ил]-мочевину; N-(3,5-дихлор-фенил)-N’-[4′-метокси-3-(1Н-тетразол-5-ил)-бифенил-4-ил]-мочевину; N-(3,5-дифтор-фенил)-N’-[3-(1Н-тетразол-5-ил)-4′-трифторметокси-бифенил-4-ил]-мочевину; N-(3,5-дихлор-фенил)-N’-[3-(1Н-тетразол-5-ил)-4′-трифторметокси-бифенил-4-ил]-мочевину; N-(3,5-бис-трифторметил-фенил)-N’-[3-(1Н-тетразол-5-ил)-4′-трифторметокси-бифенил-4-ил]-мочевину; N-(3,5-дифтор-фенил)-N’-[3-(1H-тетразол-5-ил)-3′-трифторметил-бифенил-4-ил]-мочевину; N-(3,5-дихлор-фенил)-N’-[3-(1Н-тетразол-5-ил)-3′-трифторметил-бифенил-4-ил]-мочевину; N-(3,5-бис-трифторметил-фенил)-N’-[3-(1Н-тетразол-5-ил)-3′-трифторметил-бифенил-4-ил]-мочевину; N-(3,5-дифтор-фенил)-N’-[4′-метокси-3-(1Н-тетразол-5-ил)-бифенил-4-ил]-мочевину; N-(3,5-бис-трифторметил-фенил)-N’-[4′-метокси-3-(1Н-тетразол-5-ил)-бифенил-4-ил]-мочевину; N-(3-бром-фенил)-N’-[3-(1Н-тетразол-5-ил)-4′-трифторметил-бифенил-4-ил]-мочевину; N-(4-хлор-фенил)-N’-[3-(1Н-тетразол-5-ил)-4′-трифторметил-бифенил-4-ил]-мочевину; N-(4-хлор-фенил)-N’-[3-(1Н-тетразол-5-ил)-4′-трифторметил-бифенил-4-ил]-мочевину; N-(4-фтор-3-трифторметил-фенил)-N’-[3-(1Н-тетразол-5-ил)-3′-трифторметил-бифенил-4-ил]-мочевину; или их фармацевтически приемлемую соль. 10. Фармацевтическая композиция, обладающая активностью в качестве блокатора хлоридных каналов и содержащая терапевтически эффективное количество соединения по любому из пп.1-9 или его фармацевтически приемлемой соли вместе с по меньшей мере одним фармацевтически приемлемым носителем, эксципиентом или разбавителем. 11. Применение соединения по любому из пп.1-9 или его фармацевтически приемлемой соли для производства фармацевтической композиции для лечения, профилактики или облегчения симптомов заболевания, расстройства или состояния у млекопитающего, включая человека, которое чувствительно к блокаде хлоридных каналов. 12. Применение по п.11, где заболевание, расстройство или состояние, которое чувствительно к блокаде хлоридных каналов, представляет собой метаболическое костное заболевание, костное заболевание, связанное с остеокластами, или заболевание, расстройство или состояние, которое чувствительно к ингибированию ангиогенеза.
TK4A – Поправки к публикациям сведений об изобретениях в бюллетенях “Изобретения (заявки и патенты)” и “Изобретения. Полезные модели”
Напечатано: (57) 9. …N-(4-хлор-3-трифторметил-фенил-N
Следует читать: (57) 9. …N-(4-хлор-3-трифторметил-фенил-N
Номер и год публикации бюллетеня: 9-2009
Код раздела: FG4A
Извещение опубликовано: 27.05.2009 БИ: 15/2009
|
||||||||||||||||||||||||||







-[3- …