|
|
(21), (22) Заявка: 2007105823/04, 12.08.2005
(24) Дата начала отсчета срока действия патента:
12.08.2005
(30) Конвенционный приоритет:
16.08.2004 US 60/601,928
(43) Дата публикации заявки: 27.09.2008
(46) Опубликовано: 27.03.2009
(56) Список документов, цитированных в отчете о поиске:
US 6734191 B2, 11.05.2004. RU 1738088 A3, 30.05.1992.
(85) Дата перевода заявки PCT на национальную фазу:
16.03.2007
(86) Заявка PCT:
US 2005/028811 (12.08.2005)
(87) Публикация PCT:
WO 2006/023400 (02.03.2006)
Адрес для переписки:
191036, Санкт-Петербург, а/я 24, “НЕВИНПАТ”, пат.пов. А.В.Поликарпову
|
(72) Автор(ы):
ГУДМУНДССОН Кристьян (US), СЕБАХАР Пол Ричард (US), РИЧАРДСОН Лия Д Аврора (US)
(73) Патентообладатель(и):
СмитКлайн Бичем Корпорейшн (US)
|
(54) ПРОИЗВОДНЫЕ ТЕТРАГИДРОХИНОЛИНА, ДЕМОНСТРИРУЮЩИЕ ЗАЩИТНОЕ ОТ ВИЧ-ИНФЕКЦИИ ДЕЙСТВИЕ
(57) Реферат:
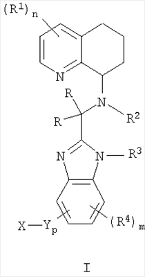
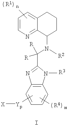
Изобретение относится к соединениям общей формулы

где t равен 0, 1 или 2; каждый R независимо представляет собой Н, алкил, алкенил, алкинил, галогеналкил, циклоалкил, -RaAy, -RaOR5; n равен О; R2 выбран из группы, состоящей из Н, возможно замещенного алкила, циклоалкила, алкенила, алкинила, -RaAy, -RaOR5, причем R2 не является амином или алкиламином, или не замещен амином или алкиламином; R3 представляет собой Н, возможно замещенный алкил, галогеналкил, циклоалкил, алкенил, алкинил, -RaAy, -RaOR5, где, когда p равен 0, R3 не является амином или алкиламином, или не замещен амином или алкиламином; каждый R4 независимо представляет собой галоген, галогеналкил, алкил, алкенил, алкинил, циклоалкил, циклоалкенил, -Ay, -NHAy, -Het, -NHHet, -NR6R7, -RaNR6R7, -RaC(O)R10, -C(O)R10, -СО2R10, -RaCO2R10, -C(O)NR6R7, -C(O)Ay, -C(O)Het; m равен 0, 1 или 2; каждый R5 независимо представляет собой Н, алкил, алкенил, алкинил, циклоалкил, -RaAy или -Ау; p равен 0 или 1; Y представляет собой -NR10-, -C(O)NR10-, -NR10C(O)-, -C(O)-, -С(O)O-, -NR10C(O)N(R10)2-; Х представляет собой -N(R10)2, -RaN(R10)2, -AyN(R10)2, -RaAyN(R10)2, -AyRaN(R10)2, -RaAyRaN(R10)2, -Het, -RaHet, -HetN(R10)2, -RaHetN(R10)2, -HetRaN(R10)2, -RaHetRaN(R10)2, -HetRaAy или HetRaHet, где, когда p равен 0, тогда X не является -N(R10)2; каждый Ra независимо представляет собой возможно замещенный алкилен, циклоалкилен, алкенилен, циклоалкенилен или алкинилен; каждый R10 независимо представляет собой Н, алкил, циклоалкил, алкенил, алкинил, циклоалкенил, -Raциклоалкил, -RaOH, -RaOR5, -RaNR6R7 или -RaHet; каждый из R6 и R7 независимо выбран из Н, алкила, алкенила, алкинила, циклоалкила, циклоалкенила, группы -Raциклоалкил, -RaOH, -RaOR5, -Het, -RaHet; каждый Ay независимо представляет собой возможно замещенную арильную группу; и каждый Het независимо представляет собой возможно замещенную 4-, 5-или 6-членную гетероциклильную или гетероарильную группу, где гетероатомы выбраны из N и О; к фармацевтической композиции для лечения и профилактики ВИЧ-инфекции, к применению соединений формулы I, в изготовлении лекарственного средства, а также к способам получения соединения формулы I. 14 н. и 41 з.п. ф-лы, 2 табл.
Область изобретения
Согласно настоящему изобретению предложены новые соединения, которые демонстрируют защитное от ВИЧ-инфекции действие на клетки-мишени посредством специфического связывания с хемокиновым рецептором и которые воздействуют на связывание природного лиганда или хемокина с рецептором клетки-мишени, таким как CXCR4 и/или CCR5.
Предшествующий уровень техники
ВИЧ проникает в клетки хозяина посредством CD4-рецептора и по меньшей мере одного корецептора, экспрессируемого на поверхности клеточной мембраны. М-тропные штаммы ВИЧ в качестве корецептора используют хемокиновый рецептор CCR5, в то время как Т-тропные штаммы ВИЧ главным образом используют CXCR4. Использование корецептора ВИЧ в большой степени зависит от гипервариабельных областей У3-петли, локализованной на белке gp 120 вирусной оболочки. Связывание gp 120 с CD4 и соответствующим корецептором приводит к конформационному изменению и демаскировке второго белка вирусной оболочки, называемого gp 41. Белок gp 41 затем взаимодействует с мембраной клетки-хозяина, результатом чего является слияние вирусной оболочки с клеткой. Последующий перенос генетической информации вируса в клетку-хозяина делает возможным продолжение вирусной репликации. Таким образом, заражение клеток хозяина вирусом ВИЧ обычно ассоциировано со способностью вируса проникать в клетку через образование тройного комплекса CCR5 или CXCR4, CD4 и др120.
Фармакологический агент, который ингибирует взаимодействие др120 либо с CCR5/CD4, либо с CXCR4/CD4, был бы полезным терапевтическим средством в лечении заболевания, расстройства или состояния, характеризующегося заражением М-тропными или Т-тропными штаммами, соответственно, либо сам по себе, либо в комбинированной терапии.
Доказательство того, что введение селективного СХСР4-антагониста может приводить к эффективной терапии, вытекает из исследований in vitro, в которых продемонстрировано, что добавление к клеткам лигандов, селективных к CXCR4, а также СХСР4-нейтрализующих антител, может блокировать слияние вируса ВИЧ с клетками хозяина. В дополнение к этому, в исследованиях на людях селективного СХСР4-антагониста AMD-3100 продемонстрировано, что такие соединения могут значительно снижать вирусную нагрузку Т-тропными штаммами ВИЧ у тех пациентов, которые либо имеют двойную тропность, либо у которых присутствует только Т-тропная форма вируса.
Недавно было высказано предположение, что, в дополнение к роли кофактора для проникновения ВИЧ, непосредственное взаимодействие белка gp 120 вируса ВИЧ с CXCR4 может являться возможной причиной апоптоза CD8+ Т-клеток и СПИД-опосредованной деменции за счет индукции апоптоза нейронных клеток.
Кроме того, сигнал, создаваемый SDF-1 (фактором стромальных клеток 1 типа) при связывании с CXCR4, может играть важную роль в пролиферации опухолевых клеток и регуляции ангиогенеза, ассоциированного с опухолевым ростом; известные ангиогенные факторы роста VEG-F (фактор роста сосудистого эндотелия) и bFGF (основной фактор роста фибробластов) активируют уровни CXCR4 в эндотелиальных клетках, а SDF-1 может индуцировать реваскуляризацию in vivo. К тому же, лейкемические клетки, экспрессирующие CXCR4, мигрируют и прилипают к лимфатическим узлам и стромальным клеткам костного мозга, экспрессирующим SDF-1.
Связывание SDF-1 с CXCR4 также вовлечено в патогенез атеросклероза, отторжения почечного аллотрансплантата, астмы и аллергического воспаления дыхательных путей, болезни Альцгеймера и артрита.
Настоящее изобретение относится к соединениям, которые могут действовать как агенты, модулирующие активность хемокиновых рецепторов. Такие хемокиновые рецепторы включают, но без ограничения ими, CCR1, CCR2, CCR3, CCR4, CCR5, CCR6, CCR7, CCR8, CXCR1, CXCR2, CXCR3, CXCR4 и CXCR5.
Согласно настоящему изобретению предложены новые соединения, которые демонстрируют защитное от ВИЧ-инфекции действие на клетки-мишени посредством специфического связывания с хемокиновым рецептором и которые воздействуют на связывание природного лиганда или хемокина с рецептором клетки-мишени, таким как CXCR4 ч/или CCR5.
Описание изобретения
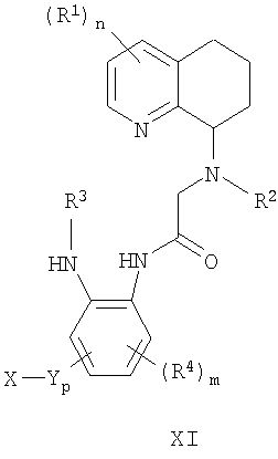
Настоящее изобретение охватывает соединения формулы (I):

в том числе его соли, сольваты и физиологически функциональные производные, где:
t равен 0, 1 или 2;
каждый R независимо представляет собой Н, алкил, алкенил, алкинил, галогеналкил, циклоалкил, -RaAy, -RaOR5 или -RaS(O)qR5;
каждый R1 независимо представляет собой галоген, галогеналкил, алкил, алкенил, алкинил, циклоалкил. циклоалкенил, -Ay, -NHAy, -Het, -NHHet, -OR10, -OAy, -OHet, -RaOR10, -NR6R7, -RaNR6R7, -RaC(O)R10, -C(O)R10, -CO2R10, -RaCO2R10, -C(O)NR6R7, -C(O)Ay, -C(O)Het, -S(O)2NR6R7, -S(O)qR10, -S(O)qAy, циано, нитро или азидо;
n равен 0, 1 или 2, и, как показано, R1 может замещать изображенный тетрагидрохинолин по любому положению;
R2 выбран из группы, состоящей из Н, возможно замещенного алкила, галогеналкила, циклоалкила, алкенила, алкинила, -RaAy, -RaOR5, -RaS(O)qR5; где R2 не является амином или алкиламином, либо радикалом, замещенным амином или алкиламином;
R3 представляет собой Н, возможно замещенный алкил, галогеналкил, циклоалкил, алкенил, алкинил, -RaAy, -RaOR5 или -RaS(O)qR5, где, когда p равен 0, R3 не является амином или алкиламином, либо радикалом, замещенным амином или алкиламином;
каждый R4 независимо представляет собой галоген, галогеналкил, алкил, алкенил, алкинил, циклоалкил, циклоалкенил, -Ay, -NHAy, -Het, -NHHet, -OR10, -OAy, -OHet, -RaOR10, -NR6R7, -RaNR6R7, -RaC(O)R10, -C(O)R10, -CO2R10, RaCO2R10, -C(O)NR6R7, -C(O)Ay, -C(O)Het, -S(O)2NR6R7, -S(O)qR10, -S(O)qAy, циано, нитро или азидо;
m равен 0, 1 или 2;
каждый R5 независимо представляет собой Н, алкил, алкенил, алкинил, циклоалкил, -RaAy или -Ay;
p равен 0 или 1;
Y представляет собой -NR10-, -O-, -S-, -C(O)NR10-, -NR10C(O)-, -C(O)-, -С(O)O-, -NR10C(O)N(R10)2-, -S(O)q-, -S(O)qNR10– или -NR10S(O)q-;
X представляет собой -N(R10)2, -RaN(R10)2, -AyN(R10)2, -RaAyN(R10)2, -AyRaN(R10)2, -RaAyRaN(R10)2, -Het, -RaHet, -HetN(R10)2, -RaHetN(R10)2, -HetRaN(R10)2, -RaHetRaN(R10)2, -HetRaAy или HetRaHet, где, когда p равен 0, тогда X не является -N(R10)2;
каждый Ra независимо представляет собой возможно замещенный алкилен, циклоалкилен, алкенилен, циклоалкенилен или алкинилен;
каждый R10 независимо представляет собой Н, алкил, циклоалкил, алкенил, алкинил, циклоалкенил, -Raциклоалкил, -RaOH, -RaOR5, -RaNR6R7 или -RaHet;
каждый из R6 и R7 независимо выбран из Н, алкила, алкенила, алкинила, циклоалкила, циклоалкенила, -Raциклоалкила, -RaOH, -RaOR5, -RaNR8R9, -Ay, -Het, -RaAy, -RaHet или -S(O)qR5;
каждый из R8 и R9 независимо выбран из Н или алкила;
каждый q независимо равен 0, 1 или 2;
каждый Ay независимо представляет собой возможно замещенную арильную группу; и
каждый Het независимо представляет собой возможно замещенную 4-, 5-или 6-членную гетероциклильную или гетероарильную группу.
Соединения по настоящему изобретению также включают фармацевтически приемлемые соли или сложные эфиры этих соединений.
В одном воплощении t равен 0.
В одном воплощении t равен 1 или 2. В другом воплощении t равен 1.
В одном воплощении R представляет собой Н или алкил.
В одном воплощении R представляет собой Н. В одном воплощении R представляет собой алкил, циклоалкил, RaAy, RaOR5. В одном воплощении R представляет собой алкил или RaOR5.
В одном воплощении n равен 0.
В одном воплощении n равен 1, и R1 представляет собой галоген, галогеналкил, алкил, OR10, NR6R7, CO2R10, CONR6R7 или циано.
В одном воплощении R2 представляет собой Н, возможно замещенный алкил, галогеналкил или циклоалкил. Предпочтительно R2 представляет собой возможно замещенный алкил, галогеналкил или циклоалкил. В одном воплощении R2 представляет собой алкил, возможно замещенный циклоалкилом. В одном воплощении R3 представляет собой Н, возможно замещенный алкил, галогеналкил, циклоалкил, алкенил или алкинил. В одном воплощении R2 представляет собой разветвленный алкил. В одном воплощении R2 представляет собой алкил, замещенный циклоалкилом, гидроксилом или оксо.
В одном воплощении R3 представляет собой RaOR5 или RaAy. Предпочтительно R3 представляет собой Н, алкил, галогеналкил или циклоалкил. В одном воплощении R3 представляет собой RaOR5 или RaAy. Более предпочтительно R3 представляет собой Н или возможно замещенный алкил. Более предпочтительно R3 представляет собой Н. В одном воплощении R3 представляет собой RaOR5 или алкил. В одном воплощении R3 представляет собой возможно замещенный алкил, где, когда p равен 0, R2 не замещен амином или алкиламином. В одном воплощении R3 представляет собой возможно замещенный алкил, галогеналкил или циклоалкил, и где, когда p равен 0, R3 не замещен амином или алкиламином. В одном воплощении R3 представляет собой разветвленный алкил. В одном воплощении R3 представляет собой алкил, замещенный циклоалкилом, гидроксилом или оксо.
В одном воплощении m равен 0.
В одном воплощении m равен 1 или 2. Предпочтительно m равен 1.
Когда m не равен 0, R4 предпочтительно представляет собой одно или более чем одно из следующего: галоген, галогеналкил, алкил, OR10, NR6R7, CO2R10, CONR6R7 или циано.
В одном воплощении Ra представляет собой алкилен или циклоалкилен, возможно замещенный по меньшей мере одним алкилом, гидроксилом или оксо.
В одном воплощении p равен 0, и Х представляет собой -RaN(R10)2, -AyRaN(R10)2, -RaAyRaN(R10)2, -Het, -RaHet, -HetN(R10)2, -RaHetN(R10)2 или HetRaN(R10)2. Предпочтительно Х представляет собой -RaN(R10)2, -Het, -RaHet, -HetN(R10)2, -RaHetN(R10)2 или -HetRaN(R10)2. Более предпочтительно Х представляет собой -Het, -RaHet или -HetN(R10)2. Наиболее предпочтительно X представляет собой -Het. В одном воплощении Х представляет собой -Het, возможно замещенный алкилом, группой (С=O)алкил, алкокси или гидроксилом. В одном воплощении Х представляет собой -Het или -RaHet, и -Het возможно замещен по меньшей мере одним алкилом.
В одном воплощении p равен 1; Y представляет собой N(R10)2, -O-, -S-, -CONR10-, -NR10CO- или -S(O)qNR10-, и X представляет собой -RaN(R10)2, -AyRaN(R10)2, -RaAyRaN(R10)2, -Het, -RaHet, -HetN(R10)2, -RaHetN(R10)2 или HetRaN(R10)2. Более предпочтительно p равен 1; Y представляет собой -N(R10)-, -CONR10– или -NR10CO-, и X представляет собой -Het, -RaHet или -HetN(R10)2. Наиболее предпочтительно Y представляет собой -N(R10)-, и Х представляет собой Het.
В одном воплощении -Het возможно замещен по меньшей мере одним алкилом, группой -(С=O)алкил, алкокси, гидроксилом, галогеном, циклоалкилом, циклоалкокси, циано, амидом, амино или алкиламино. В одном воплощении -Het замещен разветвленным алкилом.
Предпочтительно Het представляет собой пиперидин, пиперазин, азетидин, пирролидин, имидазол, пиридин и тому подобное. Het может быть возможно замещен по углероду или азоту.
В одном воплощении каждый R представляет собой Н; R2 представляет собой алкил, галогеналкил или циклоалкил; R3 представляет собой алкил, галогеналкил или циклоалкил, n равен 0; m равен 0, p равен 0; Х представляет собой -RaN(R10)2, -AyRaN(R10)2, -RaAyRaN(R10)2, -Het, -RaHet, -HetN(R10)2, -RaHetN(R10)2 или -HetRaN(R10)2; Ra представляет собой возможно замещенный алкилен, циклоалкилен, алкенилен, циклоалкенилен или алкинилен; и R10 представляет собой Н или алкил.
В одном воплощении p равен 1; Y представляет собой С(O), -N(R10)-, -O-, -S-, -C(O)NR10-, -NR10CO- или -S(O)qNR10-; X представляет собой -RaN(R10)2, -AyRaN(R10)2, -RaAyRaN(R10)2, -Het, -RaHet, -HetN(R10)2, -RaHetN(R10)2 или -HetRaN(R10)2; и -Het возможно замещен по меньшей мере одним алкилом, группой -(С=O)алкил, алкокси, гидроксилом.
В одном воплощении p равен 1; Y представляет собой -С(O) или -C(O)NR10; X представляет собой -RaHet или -Het; и -Het возможно замещен по меньшей мере одним алкилом.
Предпочтительно заместитель -(Y)p-X расположен на изображенном бензимидазольном кольце, как в формуле (I-А):

где все переменные такие, как они определены в отношении формулы (I);
или его фармацевтически приемлемую соль или сложный эфир.
Согласно настоящему изобретению предложено соединение формулы (I-А), где p равен 0, Х представляет собой Het, а все остальные переменные такие, как они определены в отношении формулы (I). Наиболее предпочтительно Het представляет собой пиперазин, замещенный алкилом.
Согласно настоящему изобретению предложено соединение формулы (I-А), где каждый R представляет собой Н; R2 представляет собой алкил или циклоалкил; R3 представляет собой алкил или циклоалкил; n равен 0; m равен 0; p равен 0; Х представляет собой -RaN(R10)2, -AyRaN(R10)2, -RaAyRaN(R10)2, -Het, -RaHet, -HetN(R10)2, -RaHetN(R10)2 или -HetRaN(R10)2; Ra представляет собой алкилен, циклоалкилен, алкенилен, циклоалкенилен или алкинилен; и R10 представляет собой Н или алкил, либо его фармацевтически приемлемые соль или сложный эфир.
Предпочтительные соединения по настоящему изобретению включают:
N-[2-(1Н-имидазол-4-ил)этил]-1-метил-2-{[метил(5,6,7,8-тетрагидро-8-хинолинил)амино]метил}-1Н-бензимидазол-7-карбоксамид;
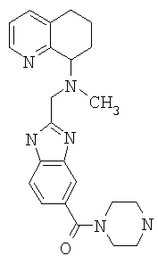
N-метил-N-{[1-метил-7-(1-пиперазинилкарбонил)-1Н-бензимидазол-2-ил]метил}-5,6,7,8-тетрагидро-8-хинолинамин;
N-[2-(1Н-имидазол-4-ил)этил]-1-метил-2-{[метил(5,6,7,8-тетрагидро-8-хинолинил)амино]метил}-1Н-бензимидазол-4-карбоксамид;
N-метил-М-{[1-метил-4-(1-пиперазинилкарбонил)-1Н-бензимидазол-2-ил]метил}-5,6,7,8-тетрагидро-8-хинолинамин;
N-(4-аминобутил)-2-{[метил(5,6,7,8-тетрагидро-8-хинолинил)амино]метил}-1H-бензимидазол-4-карбоксамид;
2-{[этил(5,6,7,8-тетрагидро-8-хинолинил)амино]метил}-N-[2-(1Н-имидазол-4-ил)этил]-1Н-бензимидазол-5-карбоксамид;
N-(3-аминопропмл)-2-{[этил(5,6,718-тетрагидро-8-хинолинил)амино]-метил}-1Н-бензимидазол-5-карбоксамид;
N-(2-аминоэтил)-2-{[этил(5,6,7,8-тетрагидро-8-хинолинил)амино]метил}-1Н-бензимидазол-5-карбоксамид;
N-(3-аминопропил)-2-{[этил(5,6,7,8-тетрагидро-8-хинолинил)амино]метил}-1H-бензимидазол-4-карбоксамид;
N-(4-аминобутил)-2-{[этил(5,6,7,8-тетрагидро-8-хинолинил)амино]метил}-1Н-бензимидазол-4-карбоксамид;
N-{[5-(аминометил)-1Н-бензимидазол-2-ил]метил}-N-метил-5,6,7,8-тетрагидро-8-хинолинамин;
N-[(2-{[метил(5,6,7,8-тетрагидро-8-хинолинил)амино]метил}-1Н-бензимидазол-5-ил)метил]-1,3-пропандиамин;
N-метил-N-[(5-{[(4-пиперидинилметил)амино]метил}-1Н-бензимидазол-2-ил)метил]-5,6,7,8-тетрагидро-8-хинолинамин;
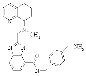
N-{[4-(аминометил)фенил]метил}-2-{[метил(5,6,7,8-тетрагидро-8-хинолинил)амино]метил}-1Н-бензимидазол-5-карбоксамид;
N-метил-N-{[4-(1-пиперазинилкарбонил)-1Н-бензимидазол-2-ил]метил}-5,6,7,8-тетрагидро-8-хинолинамин;
N-метил-N-({4-[(4-метил-1-пиперазинил)карбонил1-1Н-бензимидазол-2-ил}метил)-5,6,7,8-тетрагидро-8-хинолинамин;
N-[2-(1Н-имидазол-4-ил)этил]-2-{[метил(5,6,7,8-тетрагидро-8-хинолинил)-амино]метил}-1Н-бензимидазол-4-карбоксамид;
N-[2-(1-метил-1H-имидазол-4-ил)этил]-2-{[метил(5,6,7,8-тетрагидро-8-хинолинил)амино]метил}-1Н-бензимидазол-4-карбоксамид;
2-{[метил(5,6,7,8-тетрагидро-8-хинолинил)амино]метил}-1H-бензимидазол-4-карбоксамид,
N-(2-аминоэтил)-2-{[метил(5,6,7,8-тетрагидро-8-хинолинил)амино]метил}-1H-бензимидазол-4-карбоксамид;
2-{[метил(5,6,7,8-тетрагидро-8-хинолинил)амино]метил}-N-[2-(1-пиперидинил)пропил]-1H-бензимидазол-4-карбоксамид;
2-{[метил(5,6,7,8-тетрагидро-8-хинолинил)амино]метил}-N-[3-(1-пирролидинил)пропил]-1H-бензимидазол-4-карбоксамид;
N-[3-(диметиламино)пропил]-2-{[метил(5,6,7,8-тетрагидро-8-хинолинил)амино]метил}-1H-бензимидазол-4-карбоксамид;
N-({4-[(4-амино-1-пиперидинил)карбонил]-1H-бензимидазол-2-ил}метил)-N-метил-5,6,7,8-тетрагидро-8-хинолинамин;
N-({4-[(3-амино-1-пирролидинил)карбонил]-1Н-бензимидазол-2-ил}метил)-N-метил-5,6,7,8-тетрагидро-8-хинолинамин;
N-{[4-({[2-(1H-имидазол-4-ил)этил]амино}метил)-1Н-бензимидазол-2-ил]метил}-1H-метил-5,6,7,8-тетрагидро-8-хинолинамин;
N-метил-N-{[4-(1-пиперазинилметил)-1H-бензимидазол-2-ил]метил}-5,6,7,8-тетрагидро-8-хинолинамин;
N-метил-N-{[4-(1-пиперазинчл)-1H-бензимидазол-2-ил]метил}-5.6,7,8-тетрагидро-8-хинолинамин;
N-метил-N-{[4-(4-метил-1-пиперазинил)-1Н-бензимидазол-2-ил]метил}-5,6,7,8-тетрагидро-8-хинолинамин; и
N-метил-N-({4-[4-(2-метилпропил)-1-пиперазинил]-1Н-бензимидазол-2-ил}метил)-5,6,7,8-тетрагидро-8-хинолинамин; и их фармацевтически приемлемые соли и сложные эфиры.
Особенно предпочтительные соединения по настоящему изобретению включают:
N-[2-(1H-имидазол-4-ил)этил]-1-метил-2-{[метил(5,6,7,8-тетрагидро-8-хинолинил)амино]метил}-1H-бензимидазол-7-карбоксамид;
N-метил-N-{[1-метил-7-(1-пиперазинилкарбонил)-1Н-бензимидазол-2-ил]метил}-5,6,7,8-тетрагидро-8-хинолинамин;
N-[2-(1Н-имидазол-4-ил)этил]-1-метил-2-{[метил(5,6.7,8-тетрагидро-8-хинолинил)амино]метил}-1Н-бензимидазол-4-карбоксамид,
N-метил-N-{[4-(1-пиперазинилкарбонил)-1Н-бензимидазол-2-ил]метил}-5,6,7,8-тетрагидро-8-хинолинамин.
N-[2-(1Н-имидазол-4-ил)этил]-2-{[метил(5,6,7,8-тетрагидро-8-хинолинил)-амино]метил}-1H-бензимидазол-4-карбоксамид;
N-[2-(1-метил-1H-имидазол-4-ил)этил]-2-{[метил(5,6,7.8-тетрагидро-8-хинолинил)амино]метил}-1Н-бензимидазол-4-карбоксамид;
N-(2-аминоэтил)-2-{[метил(5,6,7,8-тетрагидро-8-хинолинил)амино]метил}-1H-бензимидазол-4-карбоксамид;
2-{[метил(5,6,7,8-тетрагидро-8-хинолинил)амино]метил}-N-[2-(1-пиперидинил)пропил]-1Н-бензимидазол-4-карбоксамид;
2-{[метил(5,6,7,8-тетрагидро-8-хинолинил)амино]метил}-N-[3-(1-пирролидинил)пропил]-1Н-бензимидазол-4-карбоксамид;
N-[3-(диметиламино)пропил]-2-{[метил(5,6,7,8-тетрагидро-8-хинолинил)амино]метил}-1H-бензимидазол-4-карбоксамид;
N-({4-[(4-амино-1-пиперидинил)карбонил]-1Н-бензимидазол-2-ил}метил)-N-метил-5,6,7,8-тетрагидро-8-хинолинамин;
N-({4-[(3-амино-1-пирролидинил)карбонил]-1Н-бензимидазол-2-ил}метил)-N-метил-5,6,7,8-тетрагидро-8-хинолинамин;
N-{[4-({[2-(1Н-имидазол-4-ил)этил]амино}метил)-1Н-бензимидазол-2-ил]метил}-N-метил-5,6,7,8-тетрагидро-8-хинолинамин;
N-метил-N-{[4-(1-пиперазинилметил)-1Н-бензимидазол-2-ил]метил}-5,6,7,8-тетрагидро-8-хинолинамин;
N-метил-N-{[4-(1-пиперазинил)-1Н-бензимидазол-2-ил]метил}-5,6,7,8-тетрагидро-8-хинолинамин;
N-метил-N-{[4-(4-метил-1-пиперазинил)-1Н-бензимидазол-2-ил]метил}-5,6,7,8-тетрагидро-8-хинолинамин; и
N-метил-N-({4-[4-(2-метилпропил)-1-пиперазинил]-1H-бензимидазол-2-ил}метил)-5,6,7,8-тетрагидро-8-хинолинамин; и их фармацевтически приемлемые соли и сложные эфиры
Кроме того, более особо предпочтительные соединения по настоящему изобретению включают:
N-[2-(1H-имидазол-4-ил)этил]-1-метил-2-{[метил(5,6,7,8-тетрагидро-8-хинолинил)амино]метил}-1Н-бензимидазол-7-карбоксамид;
N-[2-(1Н-имидазол-4-ил)этил]-2-{[метил(5,6,7,8-тетрагидро-8-хинолинил)амино]метил}-1Н-бензимидазол-4-карбоксамид;
N-[2-(1-метил-1Н-имидазол-4-ил)этил]-2-{[метил(5,6,7,8-тетрагидро-8-хинолинил)амино]метил}-1Н-бензимидазол-4-карбоксамид;
N-(2-аминоэтил)-2-{[метил(5,6,7,8-тетрагидро-8-хинолинил)амино]метил}-1H-бензимидазол-4-карбоксамид;
N-({4-[(3-амино-1-пирролидинил)карбонил]-1H-бензимидазол-2-ил}метил)-N-метил-5,6,7,8-тетрагидро-8-хинолинамин;
N-метил-N-{[4-(1-пиперазинилметил)-1H-бензимидазол-2-ил]метил}-5,6,7,8-тетрагидро-8-хинолинамин;
N-метил-N-{[4-(1-пиперазинил)-1H-бензимидазол-2-ил]метил}-5,6,7,8-тетрагидро-8-хинолинамин; и
N-метил-N-{[4-(4-метил-1-пиперазинил)-1H-бензимидазол-2-ил]метил}-5,6,7,8-тетрагидро-8-хинолинамин; и их фармацевтически приемлемые соли или эфиры.
Один аспект настоящего изобретения включает соединения, выбранные из группы, состоящей из:
N-[2-(1Н-имидазол-4-ил)этил}-1-метил-2-{[метил(5,6,7,8-тетрагидро-8-хинолинил)амино]метил}-1H-бензимидазол-7-карбоксамида;
N-[2-(1Н-имидазол-4-ил)этил]-1-метил-2-{[метил(5,6,7,8-тетрагидро-8-хинолинил)амино]метил}-1H-бензимидазол-4-карбоксамида:
N-[2-(1H-имидазол-4-ил)этил]-1-метил-2-{[метил(5,6,7,8-тетрагидро-8-хинолинил)амино]метил}-1H-бензимидазол-4-карбоксамида;
N-[2-(1-метил-1Н-имидазол-4-ил)этил]-2-{[метил(5,6,7,8-тетрагидро-8-хинолинил)амино]метил}-1Н-бензимидазол-4-карбоксамида;
N-(2-аминоэтил)-2-{[метил(5,6,7,8-тетрагидро-8-хинолинил)амино]метил}-1 Н-бензимидазол-4-карбоксамида;
2-{[метил(5,6,7,8-тетрагидро-8-хинолинил)амино]метил}-N-[2-(1-пиперидинил)пропил]-1Н-бензимидазол-4-карбоксамида;
2-{[метил(5,6,7,8-тетрагидро-8-хинолинил)амино]метил}-N-[3-(1-пирролидинил)пропил]-1Н-бензимидазол-4-карбоксамида;
N-[3-(диметиламино)пропил]-2-{[метил(5,6,7,8-тетрагидро-8-хинолинил)-амино]метил}-1Н-бензимидазол-4-карбоксамида;
N-({4-[(4-амино-1-пиперидинил)карбонил]-1Н-бензимидазол-2-ил}метил)-N-метил-5,6,7,8-тетрагидро-8-хинолинамина,
N-({4-[(3-амино-1-пирролидинил)карбонил]-1H-бензимидазол-2-ил}метил)-N-метил-5,6,7,8-тетрагидро-8-хинолинамина;
N-{[4-({[2-(1Н-имидазол-4-ил)этил]амино}метил)-1Н-бензимидазол-2-ил]метил}-М-метил-5,6,7,8-тетрагидро-8-хинолинамина;
N-метил-N-{[4-(1-пиперазинилметил)-1Н-бензимидазол-2-ил]метил}-5,6,7,8-тетрагидро-8-хинолинамина;
N-метил-N-({4-[4-(2-метилпропил)-1-пиперазинил]-1H-бензимидазол-2-ил}метил)-5,6,7,8-тетрогидро-8-хинолинамина;
2-{[метил(5,6,7,8-тетрагидрохинолин-8-ил)амино]метил}-1Н-бензимидазол-5-карбоксамида;
N-метил-N-[2-(метиламино)этил]-2-{[метил(5,6,7-8-тетрагидро-8-хинолинил)-амино]метил}-1Н-бензимидазол-5-карбоксамида;
N-[2-(диметиламино)этил]-2-{[метил(5,6,7,8-тетрагидро-8-хинолинил)амино]метил}-1H-бензимидазол-5-карбоксамида;
N-[2-(метиламино)этил]-2-{[метил(5,6,7,8-тетрагидро-8-хинолинил)амино]метил}-1H-бензимидазол-5-карбоксамида;
N-[2-(диметиламино)этил]-N-метил-2-{[метил(5,6,7,8-тетрагидро-8-хинолинил)амино]метил}-1H-бензимидазол-5-карбоксамида;
N-[2-(1H-имидазол-4-ил)этил]-N-метил-2-{[метил(5,6,7,8-тетрагидро-8-хинолинил)амино]метил}-1H-бензимидазол-4-карбоксамида;
N-метил-N-({4-[(2-метил-1-пиперазинил)карбонил]-1Н-бензимидазол-2-мл}метил)-5,6,7,8-тетрагидро-8-хинолинамина;
N-({4-[(1S,4S)-2,5-диазабицикло[2.2.1]гепт-2-илкарбонил]-1Н-бензимидазол-2-ил}метил)-N-метил-5,6,7,8-тетрагидро-8-хинолинамина;
N-{[4-(гексагидро-1Н-1,4-диазепин-1-илкарбонил)-1Н-бензимидазол-2-ил]метил}-N-метил-5,6,7,8-тетрагидро-8-хинолинамина;
N-({4-[3-(диметиламино)пропил]-1H-бензимидазол-2-ил}метил)-М-метил-5,6,7,8-тетрагидро-8-хинолинамина;
N-метил-N-({4-[3-(1-пирролидинил)пропил]-1Н-бензимидазол-2-ил}метил)-5,6,7,8-тетрагидро-8-хинолинамина;
N-метил-N-({4-[3-(1-пиперидинил)пропил]-1Н-бензимидазол-2-ил}метил)-5,6,7,8-тетрагидро-8-хинолинамина;
N-{[4-(3-аминопропил)-1Н-бензимидазол-2-ил]метил}-N-метил-5,6,7,8-тетрагидро-8-хинолинамина;
2-{[метил(5,6,7,8-тетрагидро-8-хинолинил)амино]метил}-N-[3-(4-морфолинил)пропил]-1Н-бензимидазол-4-карбоксамида;
N-(1Н-бензимидазол-2-илметил)-2-{[метил(5,6,7,8-тетрагидро-8-хинолинил)амино]метил}-1Н-бензимидазол-4-карбоксамида;
2-{[метил(5,6,7,8-тетрагидро-8-хинолинил)амино]метил}-М-3-пирролидинил-1Н-бензимидазол-4-карбоксамида;
N-[3-(1Н-имидазол-1-ил)пропил]-2-{[метил(5,6,7,8-тетрагидро-8-хинолинил)амино]метил}-1Н-бензимидазол-4-карбоксамида,
N-((4-[(4-амино-1-пиперидинил)карбонил]-1Н-бензимидазол-2-ил}метил)-N-метил-5,6,7,8-тетрагидро-8-хинолинамина;
N-({4-[(3-амино-1-пирролидинил)карбонил]-1Н-бензимидазол-2-ил}метил)-N-метил-5,6,7,8-тетрагидро-8-хинолинамина;
N-метил-N-({4-[(4-метилгексагидро-1Н-1,4-диазепин-1-ил)карбонил]-1Н-бензимидазол-2-ил}метил)-5,6,7,8-тетрагидро-8-хинолинамина;
[2-(диметиламино)этил](2-{[метил(5,6,7,8-тетрагидро-8-хинолинил)амино]-метил}-1Н-бензимидазол-4-ил)амина;
метил[2-(метиламино)этил](2-{[метил(5,6,7,8-тетрагидро-8-хинолинил)-амино)метил}-1Н-бензимидазол-4-ил)амина;
[2-(диметиламино)этил]метил(2-{[метил(5,6,7,8-тетрагидро-8-хинолинил)-амино]метил}-1Н-бензимидазол-4-ил)амина;
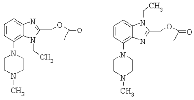
N-метил-N-({4-[4-(1-метилэтил)-1-пиперазинил]-1Н-бензимидазол-2-ил}метил)-5,6,7,8-тетрагидро-8-хинолинамина;
N-(1-метилэтил)-N-{[4-(4-метил-1-пиперазинил)-1Н-бензимидазол-2-ил]метил}-5,6,7,8-тетрагидро-8-хинолинамина;
N-(1-метилэтил)-N-({4-[4-(1-метилэтил)-1-пиперазинил]-1Н-бензимидазол-2-ил}метил)-5,6,7,8-тетрагидро-8-хинолинамина,
N-{1-метил-1-[4-(4-метил-1-пиперазинил)-1Н-бензимидазол-2-ил]этил}-5,6,7,8-тетрагидро-8-хинолинамина:
N-метил-N-{1-метил-1-[4-(4-метил-1-пиперазинил)-1H-бензимидазол-2-ил]этил}-5,6,7,8-тетрагидро-8-хинолинамина;
N-({4-[4-(аминоацетил)-1-пиперазинил]-1Н-бензимидазол-2-ил}метил)-N-метил-5,6,7,8-тетрагидро-8-хинолинамина;
(8R)-N-метил-N-{[4-(4-метил-1-пиперазинил)-1Н-бензимидазол-2-ил]метил}-5,6,7,8-тетрагидро-8-хинолинамина:
(8S)-N-метил-N-{[4-(4-метил-1-пиперазинил)-1Н-бензимидазол-2-ил]метил}-5,6,7,8-тетрагидро-8-хинолинамина;
(8R)-N-этил-N-{[4-(4-метил-1-пиперазинил)-1H-бензимидазол-2-ил]метил}-5,6,7,8-тетрагидро-8-хинолинамина;
(8S)-N-этил-N-{[4-(4-метил-1-пиперазинил)-1Н-бензимидазол-2-ил]метил}-5,6,7,8-тетрагидро-8-хинолинамина;
(8R)-N-{[4-(4-метил-1-пиперазинил)-1H-бензимидазол-2-ил]метил}-N-пропил-5,6,7,8-тетрагидро-8-хинолинамина;
(8S)-N-{[4-(4-метил-1-пиперазинил)-1Н-бензимидазол-2-ил]метил}-N-пропил-5,6,7,8-тетрагидро-8-хинолинамина;
(8S)-N-(1-метилэтил)-N-{[4-(4-метил-1-пиперазинил)-1H-бензимидазол-2-ил]метил}-5,6,7,8-тетрагидро-8-хинолинамина;
(8R)-N-(циклопропилметил)-N-{[4-(4-метил-1-пиперазинил)-1H-бензимидазол-2-ил]метил}-5,6,7,8-тетрагидро-8-хинолинамина;
(8S)-N-(циклопропилметил)-N-{[4-(4-метил-1-пиперазинил)-1Н-бензимидазол-2-ил]метил}-5,6,7,8-тетрагидро-8-хинолинамина;
(8S)-N-({4-[(8аR)-гексагидропирроло[1,2-а]пиразин-2(1Н)-ил]-1Н-бензимидазол-2-ил}метил)-N-метил-5,6,7,8-тетрагидро-8-хинолинамина:
(8S)-N-этил-N-({4-[(8аR)-гексагидропирроло[1,2-а]пиразин-2(1Н)-ил]-1H-бензимидазол-2-ил}метил)-5,6,7,8-тетрагидро-8-хинолинамина;
(8S)-N-({4-[(8аR)-гексагидропирроло[1,2-а]пиразин-2(1H)-ил]-1Н-бензимидазол-2-ил}метил)-N-пропил-5,6,7,8-тетрагидро-8-хинолинамина;
(8S)-N-метил-N-({4-[(1R,5R)-7-метил-3,7-диазабицикло[3.3.1]нон-3-ил]-1Н-бензимидазол-2-ил}метил)-5,6,7,8-тетрагидро-8-хинолинамина;
N-циклопропил-N-{[4-(4-метил-1-пиперазинил)-1Н-бензимидазол-2-ил]метил}-5,6,7,8-тетрагидро-8-хинолинамина;
(8S)-N-{(1S)-1-[4-(метилокси)фенил]этил}-N-{[4-(4-метил-1-пиперазинил)-1Н-бензимидазол-2-ил]метил}-5,6,7,8-тетрагидро-8-хинолинамина;
(8S)-N-{[4-(4-метил-1-пиперазинил)-1Н-бензимидазол-2-ил]метил}-N-{2-[(фенилметил)окси]этил}-5,6,7,8-тетрагидро-8-хинолинамина;
2-{{[4-(4-метил-1-пиперазинил)-1Н-бензимидазол-2-ил]метил}[(8S)-5,6,7,8-тетрагидро-8-хинолинил]амино}этанола;
3-{{[4-(4-метил-1-пмперазинил)-1H-бензимидазол-2-ил]метил}[(8S)-5,6,7,8-тетрогидро-8-хинолинил]амино}-1-пропанола;
(8S)-N-{[4-(4-метил-1-пиперазинил)-1Н-бензимидазол-2-ил]метил}-N-(фенилметил)-5,6,7,8-тетрагидро-8-хинолинамина;
N-метил-N-{[1-метил-7-(4-метил-1-пиперазинил)-1Н-бензимидазол-2-ил]метил}-5,6,7,8-тетрагидро-8-хинолинамина;
N-этил-N-{[1-метил-7-(4-метил-1-пиперазчнил)-1Н-бензимидазол-2-ил]метил}-5,6,7,8-тетрагидро-8-хинолинамина;
N-{[1-метил-7-(4-метил-1-пиперазинил)-1H-бензимидазол-2-ил]метил}-N-пропил-5,6,7,8-тетрагидро-8-хинолинамина,
N-(циклопропилметил)-N-{[1-метил-7-(4-метил-1-пиперазинил)-1H-бензимидазол-2-ил]метил}-5,6,7,8-тетрагидро-8-хинолинамина,
(8S)-N-метил-N-{[1-метил-7-(1-пиперазинил)-1Н-бензимидазол-2-ил]метил}-5,6,7,8-тетрагидро-8-хинолинамина;
(8S)-N-метил-N-{[1-метил-7-(4-метил-1-пиперазинил)-1Н-бензимидазол-2-ил]метил}-5,6,7,8-тетрагидро-8-хинолинамина;
(8S)-N-{[1-этил-7-(4-метил-1-пиперазинил)-1Н-бензимидазол-2-ил]метил}-N-метил-5,6,7,8-тетрагидро-8-хинолинамина;
(8S)-N-{[1-этил-7-(4-метил-1-пиперазинил)-1Н-бензимидазол-2-ил]метил}-N-(фенилметил)-5,6,7,8-тетрагидро-8-хинолинамина;
(8S)-N-этил-N-{[1-этил-7-(4-метил-1-пиперазинил)-1Н-бензимидазол-2-ил]метил}-5,6,7,8-тетрагидро-8-хинолинамина;
N-{[5-хлор-4-(4-метил-1-пиперазинил)-1H-бензимидазол-2-ил]метил}-N-метил-5,6,7,8-тетрагидро-8-хинолинамина;
N-{[4-хлор-7-(4-метил-1-пиперазинил)-1Н-бензимидазол-2-ил]метил}-N-метил-5,6,7,8-тетрагидро-8-хинолинамина;
N-метил-N-{(1Р)-1-[4-(4-метил-1-пиперазинил)-1Н-бензимидазол-2-ил]этил}-5,6,7,8-тетрагидро-8-хинолинамина;
N-метил-N-{(1R)-1-[4-(4-метил-1-пиперазинил)-1H-бензимидазол-2-ил]-2-[(фенилметил)окси]этил}-5,6,7,8-тетрагидро-8-хинолинамина;
N-метил-N-{(1S)-1-[4-(4-метил-1-пиперазинил)-1H-бензимидазол-2-ил]-2-[(фенилметил)окси]этил}-5,6,7,8-тетрагидро-8-хинолинамина;
N-метил-N-{[4-(1-пиперазинилкарбонил)-1Н-бензимидазол-2-ил]метил}-5,6,7,8-тетрагидро-8-хинолинамина;
(8R)-N-метил-N-{[1-метил-7-(4-метил-1-пиперазинил)-1Н-бензимидазол-2-ил]метил}-5,6,7,8-тетрагидро-8-хинолинамина;
N-[2-(1Н-имидазол-4-ил)этил]-2-{[метил(5,6,7,8-тетрогидро-8-хинолинил)амино]метил}-1Н-бензимидазол-4-карбоксамида;
2-{{[1-метил-7-(1-пиперазинил)-1Н-бензимидазол-2-ил]метил}[(8S)-5,6,7,8-тетрагидро-8-хинолинил]амино}этанола;
3-{{[1-метил-7-(1-пиперазинил)-1Н-бензимидазол-2-ил]метил}[(8S)-5,6,7,8-тетрагидро-8-хинолинил]амино}-1-пропанола;
2-{{[1-метил-7-(4-метил-1-пиперазинил)-1H-бензимидазол-2-ил]метил}[(8S)-5,6,7,8-тетрагидро-8-хинолинил]амино}этанола;
3-{{[1-метил-7-(4-метил-1-пиперазинил)-1H-бензимидазол-2-ил]метил}[(8S)-5,6,7,8-тетрагидро-8-хинолинил]амино}-1-пропанола;
N-метил-N-{[4-(4-метил-1-пиперазинил)-1Н-бензимидазол-2-ил]метил}-6,7-дигидро-5Н-циклопента[b]пиридин-7-амина;
N-{[4-(4-метил-1-пиперазинил)-1Н-бензимидазол-2-ил]метил}-6,7,8,9-тетрагидро-5Н-циклогепта[b]пиридин-9-амина;
N-метил-N-{[4-(4-метил-1-пиперазинил)-1Н-бензимидазол-2-ил]метил}-6,7,8,9-тетрагидро-5H-циклогепта[b]пиридин-9-амина; и их фармацевтически приемлемых солей или сложных эфиров.
Один аспект настоящего изобретения включает соединения, выбранные из группы, состоящей из:
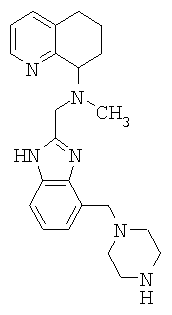
N-метил-N-{[4-(1-пиперазинил)-1H-бензимидазол-2-ил]метил}-5,6,7,8-тетрагидро-8-хинолинамина;
N-метил-N-{[4-(4-метил-1-пиперазинил)-1Н-бензимидазол-2-ил]метил}-5,6,7,8-тетрагидро-8-хинолинамина;
N-метил-N-({4-[4-(2-метилпропил)-1-пиперазинил]-1Н-бензимидазол-2-ил}метил)-5,6,7,8-тетрагидро-8-хинолинамина;
N-метил-N-({4-[4-(1-метилэтил)-1-пиперазинил]-1Н-бензимидазол-2-ил}метил)-5,6,7,8-тетрагидро-8-хинолинамина;
N-(1-метилэтил)-N-{[4-(4-метил-1-пиперазинил)-1Н-бензимидазол-2-ил]метил}-5,6,7,8-тетрагидро-8-хинолинамина;
(8R)-N-метил-N-{[4-(4-метил-1-пиперазинил)-1Н-бензимидазол-2-ил]метил}-5,6,7,8-тетрагидро-8-хинолинамина;
(8S)-N-метил-N-{[4-(4-метил-1-пиперазинил)-1Н-бензимидазол-2-ил]метил}-5,6,7,8-тетрагидро-8-хинолинамина;
(8S)-N-этил-N-{[4-(4-метил-1-пиперазинил)-1H-бензимидазол-2-ил]метил}-5,6,7,8-тетрагидро-8-хинолинамина,
(8S)-N-{[4-(4-метил-1-пиперазинил)-1Н-бензимидазол-2-ил]метил}-N-пропил-5,6,7,8-тетрагидро-8-хинолинамина;
(8S)-N-(1-метилэтил)-N-{[4-(4-метил-1-пиперазинил)-1Н-бензимидазол-2-ил]метил}-5,6,7,8-тетрагидро-8-хинолинамина;
(8S)-N-(циклопропилметил)-N-{[4-(4-метил-1-пиперазинил)-1Н-бензимидазол-2-ил]метил}-5,6,7,8-тетрагидро-8-хинолинамина;
(8S)-N-({4-[(8аR)-гексагидропирроло[1,2-а]пиразин-2(1Н)-ил]-1Н-бензимидазол-2-ил)метил)-N-метил-5,6,7,8-тетрагидро-8-хинолинамина;
(8S)-N-этил-N-({4-[(8аR)-гексагидропирроло[1,2-а]пиразин-2(1Н)-ил]-1Н-бензимидазол-2-ил}метил)-5,6,7,8-тетрагидро-8-хинолинамина;
(8S)-N-({4-[(8аR)-гексагидропирроло[1,2-а]пиразин-2(1Н)-ил]-1Н-бензимидазол-2-мл}метил)-N-пропил-5,6,7,8-тетрагидро-8-хинолинамина;
2-{{[4-(4-метил-1-пиперазинил)-1Н-бензимидазол-2-ил]метил}[(8S)-5,6,7,8-тетрогидро-8-хинолинил]амино}этанола;
3-{{[4-(4-метил-1-пиперазинил)-1Н-бензимидазол-2-ил]метил}[(8S)-5,6,7,8-тетрагидро-8-хинолинил]амино}-1-пропанола;
(8S)-N-{[4-(4-метил-1-пиперазинил)-1H-бензимидазол-2-ил]метил}-N-(фенилметил)-5,6,7,8-тетрогидро-8-хинолинамина;
N-метил-N-{[1-метил-7-(4-метил-1-пиперазинил)-1Н-бензимидазол-2-ил]метил}-5,6,7,8-тетрагидро-8-хинолинамина;
N-этил-N-{[1-метил-7-(4-метил-1-пиперазинил)-1Н-бензимидазол-2-ил]метил}-5,6,7,8-тетрагидро-8-хинолинамина;
N-{[1-метил-7-(4-метил-1-пиперазинил)-1H-бензимидазол-2-ил]метил}-N-пропил-5,6,7,8-тетрагидро-8-хинолинамина;
N-(циклопропилметил)-N-{[1-метил-7-(4-метил-1-пиперазинил)-1H-бензимидазол-2-ил]метил}-5,6,7,8-тетрагидро-8-хинолинамина;
(8S)-N-метил-N-{[1-метил-7-(1-пиперазинил)-1H-бензимидазол-2-ил]метил}-5,6,7,8-тетрагидро-8-хинолинамина;
(8S)-N-метил-N-{[1-метил-7-(4-метил-1-пиперазинил)-1H-бензимидазол-2-ил]метил}-5,6,7,8-тетрагидро-8-хинолинамина;
(8S)-N-{[1-этил-7-(4-метил-1-пиперазинил)-1H-бензимидазол-2-ил]метил}-М-метил-5,6,7,8-тетрагидро-8-хинолинамина;
(8S)-N-{[1-этил-7-(4-метил-1-пиперазинил)-1H-бензимидазол-2-ил]метил}-N-(фенилметил)-5,6,7,8-тетрагидро-8-хинолинамина;
(8S)-N-этил-N-{[1-этил-7-(4-метил-1-пиперазинил)-1H-бензимидазол-2-ил]метил}-5,6,7,8-тетрагидро-8-хинолинамина;
(8S)-N-этил-N-{[1-метил-7-(4-метил-1-пиперазинил)-1Н-бензимидазол-2-ил]метил}-5,6,7,8-тетрагидро-8-хинолинамина;
(8R)-N-метил-N-{[1-метил-7-(4-метил-1-пиперазинил)-1H-бензимидазол-2-ил]метил}-5,6,7,8-тетрагидро-8-хинолинамина;
(8S)-N-{[1-метил-7-(4-метил-1-пиперазинил)-1H-бензимидазол-2-ил]метил}-N-пропил-5,6,7,8-тетрагидро-8-хинолинамина;
(8S)-N-{[1-метил-7-(4-метил-1-пиперазинил)-1Н-бензимидазол-2-ил]метил}-N-(фенилметил)-5,6,7,8-тетрагидро-8-хинолинамина;
2-{{[1-метил-7-(4-метил-1-пиперазинил)-1Н-бензимидазол-2-ил]метил}[(8S)-5,6,7,8-тетрагидро-8-хинолинил]амино}этанола;
3-{{[1-метил-7-(4-метил-1-пиперазинил)-1Н-бензимидазол-2-ил]метил}[(8S)-5,6,7,8-тетрагидро-8-хинолинил]амино}-1-пропанола;
N-метил-N-{[4-(4-метил-1-пиперазинил)-1H-бензимидазол-2-ил]метил}-6,7-дигидро-5Н-циклопента[b]пиридин-7-амина;
N-метил-N-{[4-(4-метил-1-пиперазинил)-1H-бензимидазол-2-ил]метил}-6,7,8,9-тетрагидро-5Н-циклогепта[b]пиридин-9-амина; и их фармацевтически приемлемых солей или сложных эфиров.
Один аспект настоящего изобретения включает соединения, выбранные из группы, состоящей из:
N-метил-N-{[1-метил-7-(4-метил-1-пиперазинил)-1Н-бензимидазол-2-ил]метил}-5,6,7,8-тетрагидро-8-хинолинамина;
N-этил-N-{[1-метил-7-(4-метил-1-пиперазинил)-1H-бензимидазол-2-ил]метил}-5,6,7,8-тетрагидро-8-хинолинамина;
N-{[1-метил-7-(4-метил-1-пиперазинил)-1Н-бензимидазол-2-ил]метил}-N-пропил-5,6,7,8-тетрагидро-8-хинолинамина;
N-(циклопропилметил)-N-{[1-метил-7-(4-метил-1-пиперазинил)-1Н-бензимидазол-2-ил]метил}-5,6,7,8-тетрагидро-8-хинолинамина;
(8S)-N-метил-N-{[1-метил-7-(1-пиперазинил)-1Н-бензимидазол-2-ил]метил}-5,6,7,8-тетрагидро-8-хинолинамина;
(8S)-N-метил-N-{[1-метил-7-(4-метил-1-пиперазинил)-1Н-бензимидазол-2-ил]метил}-5,6,7,8-тетрагидро-8-хинолинамина;
(8S)-N-{[1-этил-7-(4-метил-1-пиперазинил)-1Н-бензимидазол-2-ил]метил}-N-метил-5,6,7,8-тетрагидро-8-хинолинамина;
(8S)-N-{[1-этил-7-(4-метил-1-пиперазинил)-1Н-бензимидазол-2-ил]метил}-N-(фенилметил)-5,6,7,8-тетрагидро-8-хинолинамина;
(8S)-N-этил-N-{[1-этил-7-(4-метил-1-пиперазинил)-1Н-бензимидазол-2-ил]метил}-5,6,7,8-тетрагидро-8-хинолинамина;
(8S)-N-этил-N-{[1-метил-7-(4-метил-1-пиперазинил)-1Н-бензимидазол-2-ил]метил}-5,6,7,8-тетрагидро-8-хинолинамина;
(8R)-N-метил-N-{[1-метил-7-(4-метил-1-пиперазинил)-1Н-бензимидазол-2-ил]метил}-5,6,7,8-тетрагидро-8-хинолинамина;
(8S)-N-{[1-метил-7-(4-метил-1-пиперазинил)-1H-бензимидазол-2-ил]метил}-N-пропил-5,6,7,8-тетрагидро-8-хинолинамина;
(8S)-N-{[1-метил-7-(4-метил-1-пиперазинил)-1H-бензимидазол-2-ил]метил}-N-(фенилметил)-5,6,7,8-тетрагидро-8-хинолинамина;
2-{{[1-метил-7-(4-метил-1-пиперазинил)-1Н-бензимидазол-2-ил]метил}[(8S)-5,6,7,8-тетрагидро-8-хинолинил]амино}этанола:
3-{{[1-метил-7-(4-метил-1-пиперазинил)-1Н-бензимидазол-2-ил]метил}[(8S)-5,6,7,8-тетрагидро-8-хинолинил]амино}-1-пропанола;
и их фармацевтически приемлемых солей или сложных эфиров.
Один аспект настоящего изобретения включает по существу такие соединения, как описанные ранее, со ссылкой на любой из примеров.
Один аспект настоящего изобретения включает фармацевтическую композицию, содержащую одно или более чем одно соединение по настоящему изобретению и фармацевтически приемлемый носитель.
Один аспект настоящего изобретения включает одно или более чем одно соединение по настоящему изобретению для применения в качестве активного терапевтического средства.
Один аспект настоящего изобретения включает одно или более чем одно соединение по настоящему изобретению для применения в лечении или профилактике заболеваний и состояний, вызванных несоответствующей активностью CXCR4.
Один аспект настоящего изобретения включает одно или более чем одно соединение по настоящему изобретению для применения в лечении или профилактике заболеваний и состояний, вызванных несоответствующей активностью CCR5.
Один аспект настоящего изобретения включает одно или более чем одно соединение по настоящему изобретению для применения в лечении или профилактике ВИЧ-инфекции, заболеваний, ассоциированных с гемопоэзом, в регулировании побочных эффектов химиотерапии, в усилении благоприятного исхода при пересадке костного мозга, в улучшении заживления ран и лечения ожогов, в борьбе с бактериальными инфекциями при лейкемии, в лечении или профилактике воспаления, воспалительных или аллергических заболеваний, астмы, аллергического ринита, гиперчувствительных легочных заболеваний, гиперчувствительного пневмонита, эозинофильного пневмонита, гиперчувствительной реакции замедленного типа, интерстициального легочного заболевания (ILD), идиопатического пневмофиброза, системной красной волчанки, анкилозирующего спондилита, системного склероза, синдрома Шегрена, полимиозита или дерматомиозита, системных анафилактических или гиперчувствительных реакций, лекарственных аллергий, аллергий, вызванных укусами насекомых, аутоиммунных заболеваний, ревматоидного артрита, псориатического артрита, системной красной волчанки, тяжелой формы миастении, юношеского диабета, гломерулонефрита, аутоиммунного тиреоидита, отторжения трансплантатов, отторжения аллотрансплантатов, реакции «трансплантат против хозяина», воспалительных заболеваний кишечника, болезни Крона, неспецифического язвенного колита, спондилоартропатий, склеродермии, псориаза, псориаза, опосредованного Т-клетками, воспалительных дерматозов, дерматита, экземы, атонического дерматита, аллергического контактного дерматита, крапивницы, васкулита, некротизирующего, кожного, гиперчувствительного васкулита, эозинофильного миозита, эозинофильного фасцита и злокачественных новообразований головного мозга, молочной железы, предстательной железы, легкого или гемопоэтических тканей. Такое состояние или заболевание предпочтительно представляет собой ВИЧ-инфекцию, ревматоидный артрит, воспаление или рак.
Один аспект настоящего изобретения включает применение одного или более соединений по настоящему изобретению в производстве лекарства для применения в лечении или профилактике состояния или заболевания, модулированного хемокиновым рецептором. Предпочтительно хемокиновым рецептором является CXCR4 или CCR5.
Один аспект настоящего изобретения включает применение одного или более соединений по настоящему изобретению в производстве лекарства для применения в лечении или профилактике ВИЧ-инфекции, заболеваний, ассоциированных с гемопоэзом, в регулировании побочных эффектов химиотерапии, в усилении благоприятного исхода при пересадке костного мозга, в улучшении заживления ран и лечения ожогов, в борьбе с бактериальными инфекциями при лейкемии, в лечении или профилактике воспаления, воспалительных или аллергических заболеваний, астмы, аллергического ринита, гиперчувствительных легочных заболеваний, гиперчувствительного пневмонита, эозинофильного пневмонита, гиперчувствительной реакции замедленного типа, интерстициального легочного заболевания (ILD), идиопатического пневмофиброза, системной красной волчанки, анкилозирующего спондилита, системного склероза, синдрома Шегрена, полимиозита или дерматомиозита, системных анафилактических или гиперчувствительных реакций, лекарственных аллергий, вызванных укусами насекомых аллергий, аутоиммунных заболеваний, ревматоидного артрита. псориатического артрита, тяжелой формы миастении, юношеского диабета, гломерулонефрита, аутоиммунного тиреоидита, отторжения трансплантатов, отторжения аллотрансплантатов, реакции «трансплантат против хозяина», воспалительных заболеваний кишечника, болезни Крона, неспецифического язвенного колита; спондилоартропатий, склеродермии; псориаза, опосредованного Т-клетками псориаза, воспалительных дерматозов, дерматита, экземы, атонического дерматита, аллергического контактного дерматита, крапивницы, васкулита, некротизирующего, кожного, гиперчувствительного васкулита, эозинофильного миозита, эозинофильного фасцита и злокачественных новообразований головного мозга, молочной железы, предстательной железы, легкого или гемопоэтических тканей. Предпочтительно применение относится к лекарству, где состояние или расстройство представляет собой ВИЧ-инфекцию, ревматоидный артрит, воспаление или рак.
Один аспект настоящего изобретения охватывает способ лечения или профилактики состояния или заболевания, модулируемого хемокиновым рецептором, включающий введение одного или более соединений по настоящему изобретению. Предпочтительно хемокиновым рецептором является CXCR4 или CCR5.
Один аспект настоящего изобретения включает способ лечения или профилактики ВИЧ-инфекции, заболеваний, ассоциированных с гемопоэзом, регулирования побочных эффектов химиотерапии, усиления благоприятного исхода при пересадке костного мозга, улучшения заживления ран и лечения ожогов, борьбы с бактериальными инфекциями при лейкемии, лечения или профилактики воспаления, воспалительных или аллергических заболеваний, астмы, аллергического ринита, гиперчувствительных легочных заболеваний, гиперчувствительного пневмонита, эозинофильного пневмонита, гиперчувствительной реакции замедленного типа, интерстициального легочного заболевания (ILD), идиопатического пневмофиброза, системной красной волчанки, анкилозирующего спондилита, системного склероза, синдрома Шегрена, полимиозита или дерматомиозита, системных анафилактических или гиперчувствительных реакций, лекарственных аллергий, вызванных укусами насекомых аллергий, аутоиммунных заболеваний, ревматоидного артрита, псориатического артрита, тяжелой формы миастении, юношеского диабета, гломерулонефрита, аутоиммунного тиреоидита, отторжения трансплантатов, отторжения аллотрансплантатов, реакции «трансплантат против хозяина», воспалительных заболеваний кишечника, болезни Крона, неспецифического язвенного колита; спондилоартропатий, склеродермии; псориаза, опосредованного Т-клетками псориаза, воспалительных дерматозов, дерматита, экземы, атонического дерматита, аллергического контактного дерматита, крапивницы, васкулита, некротизирующего, кожного, гиперчувствительного васкулита, эозинофильного миозита, эозинофильного фасцита и злокачественных новообразований головного мозга, молочной железы, предстательной железы, легкого или гемопоэтических тканей, включающий введение одного или более соединений по настоящему изобретению.
Один аспект настоящего изобретения охватывает способ лечения или профилактики ВИЧ-инфекции, ревматоидного артрита, воспаления или рака, включающий введение одного или более соединений по настоящему изобретению.
Подробное описание изобретения
Термины использованы в рамках их общепринятых значений. Следующие далее определения предназначены для пояснения, но не ограничения определяемых терминов.
При использовании в данном описании изобретения, термин «алкил» относится к прямому или разветвленному углеводороду, предпочтительно имеющему от одного до двенадцати атомов углерода. Примеры «алкилам, при использовании в данном описании изобретения, включают метил, этил, пропил, изопропил, изобутил, н-бутил, трет-бутил, изопентил, н-пентил, но ими не ограничены. В одном аспекте алкил возможно может быть замещен по меньшей мере одним циклоалкилом, гидроксилом или оксо.
При использовании во всем описании изобретения, предпочтительное количество атомов, например атомов углерода, будет представлено, например фразой “Сx-Сyалкил”, которая относится к алкильной группе, как она определена в данном описании изобретения, содержащей указанное количество атомов углерода. Аналогичная терминология будет также применена к другим предпочтительным терминам и интервалам.
При использовании в данном описании изобретения, термин «алкенил» относится к прямому или разветвленному алифатическому углеводороду, содержащему одну или более чем одну углерод-углеродную двойную связь. Примеры включают винил, аллил и тому подобное, но ими не ограничены.
При использовании в данном описании изобретения, термин «алкинил» относится к прямому или разветвленному алифатическому углеводороду, содержащему одну или более чем одну углерод-углеродную тройную связь. Примеры включают этинил и тому подобное, но ими не ограничены.
При использовании в данном описании изобретения, термин «алкилен» относится к возможно замещенному прямому или разветвленному двухвалентному углеводородному радикалу, предпочтительно имеющему от одного до десяти атомов углерода. Примеры «алкилена», при использовании в данном описании изобретения, включают метилен, этилен, н-пропилен, н-бутилен и тому подобное, но ими не ограничены. Предпочтительные группы заместителей включают алкил, гидроксил или оксо.
При использовании в данном описании изобретения, термин «алкенилен» относится к прямому или разветвленному двухвалентному углеводородному радикалу, предпочтительно имеющему от одного до десяти атомов углерода, содержащему одну или более чем одну углерод-углеродную двойную связь. Примеры включают винилен, аллилен или 2-пропенилен и тому подобное, но ими не ограничены.
При использовании в данном описании изобретения, термин «алкинилен» относится к прямому или разветвленному двухвалентному углеводородному радикалу, предпочтительно имеющему от одного до десяти атомов углерода, содержащему одну или более чем одну углерод-углеродную тройную связь. Примеры включают этинилен и тому подобное, но ими не ограничены.
При использовании в данном описании изобретения, термин «циклоалкил» относится к возможно замещенному неароматическому циклическому углеводородному кольцу. Типичные «циклоалкильные» группы включают циклопропил, циклобутил, циклопентил, циклогексил и циклогептил, но ими не ограничены. При использовании в данном описании изобретения, термин «циклоалкил» включает возможно замещенную конденсированную полициклическую углеводородную насыщенную кольцевую и ароматическую кольцевую систему, а именно полициклические углеводороды, содержащие менее максимального количества некумулятивных двойных связей, например когда насыщенное углеводородное кольцо (такое как циклопентильное кольцо) конденсировано с ароматическим кольцом (в данном описании изобретения «арилом», таким как бензольное кольцо) с образованием, например такой группы, как индан. Предпочтительные группы заместителей включают алкил, алкенил, алкинил, алкокси, гидроксил, галоген, галогеналкил, циклоалкил, циклоалкокси, циано, амид, амино и алкиламино.
При использовании в данном описании изобретения, термин «циклоалкенил» относится к возможно замещенному неароматическому циклическому углеводородному кольцу, содержащему одну или более чем одну углерод-углеродную двойную связь, которое возможно содержит алкиленовый линкер, посредством которого данный циклоалкенил может быть присоединен. Типичные «циклоалкенильные» группы включают циклопропенил, циклобутенил, циклопентенил, циклогексенил и циклогептенил, но ими не ограничены. Предпочтительные группы заместителей включают алкил, алкенил, алкинил, алкокси, гидроксил, галоген, галогеналкил, циклоалкил, циклоалкокси, циано, амид, амино и алкиламино.
При использовании в данном описании изобретения, термин «циклоалкилен» относится к двухвалентному возможно замещенному неароматическому циклическому углеводородному кольцу. Типичные «циклоалкиленовые» группы включают циклопропилен, циклобутилен, циклопентилен, циклогексилен и циклогептилен, но ими не ограничены. Предпочтительные группы заместителей включают алкил, гидроксил или оксо.
При использовании в данном описании, термин «циклоалкенилен» относится к двухвалентному возможно замещенному неароматическому циклическому углеводородному кольцу, содержащему одну или более чем одну углерод-углеродную двойную связь. Типичные «циклоалкениленовые» группы включают циклопропенилен, циклобутенилен, циклопентенилен, циклогексенилен и циклогептенилен, но ими не ограничены.
При использовании в данном описании, термин «гетероцикл» или «гетероциклил» относится к возможно замещенной моно- или полициклической кольцевой системе с одной или более степенями ненасыщенности, содержащей также один или более чем один гетероатом. Предпочтительные гетероатомы включают N, О и/или S, включая N-оксиды, оксиды серы и диоксиды. В более предпочтительном случае гетероатом представляет собой N.
Предпочтительно, чтобы гетероциклильное кольцо было трех-двенадцатичленным и было либо полностью насыщенным, либо имело одну или более степеней ненасыщенности. Такие кольца возможно могут быть конденсированы с одним или более чем одним другим «гетероциклическим(и)» кольцом(ами) или циклоалкильным(и) кольцом(ами). Примеры «гетероциклических» групп включают тетрагидрофуран, пиран, 1,4-диоксан, 1,3-диоксан, пиперидин, пиперазин, пирролидин, морфолин, тетрагидротиопиран и тетрагидротиофен, но ими не ограничены. Предпочтительные группы заместителей включают алкил, группы -(С=O)алкил, -SO2алкил, алкенил, алкинил, алкокси, гидроксил, галоген, галогеналкил, циклоалкил. циклоалкокси, циано, амид, амино и алкиламино. Заместитель на гетероцикле может быть присоединен через атом углерода или гетероатом.
При использовании в данном описании изобретения, термин «арил» относится к возможно замещенному бензольному кольцу или к возможно замещенной конденсированной бензольной кольцевой системе, например антраценовой, фенантреновой или нафталиновой кольцевой системам. Примеры «арильных» групп включают фенил, 2-нафтил и 1-нафтил, но ими не ограничены. Предпочтительные группы заместителей включают алкил, алкенил, алкинил, алкокси, гидроксил, галоген, галогеналкил, циклоалкил, циклоалкокси, циано, амид, амино и алкиламино.
При использовании в данном описании изобретения, термин «гетероарил» относится к возможно замещенному моноциклическому пяти-семичленному ароматическому кольцу или к возможно замещенной конденсированной бициклической ароматической кольцевой системе, содержащей два таких ароматических кольца. Эти гетероарильные кольца содержат один или более чем один атом азота, серы и/или кислорода, причем N-оксиды, оксиды серы и диоксиды представляют собой допустимые замещения гетероатомов. Предпочтительно гетероатом представляет собой N.
Примеры «гетероарильных» групп, использованные в данном описании изобретения, включают фуран, тиофен, пиррол, имидазол, пиразол, триазол, тетразол, тиазол, оксазол, изоксазол, оксадиазол, тиадиазол, изотиазол, пиридин, пиридазин, пиразин, пиримидин, хинолин, изохинолин, бензофуран, бензотиофен, индол, индазол, бензимидазолил, имидазопиридинил, пиразолопиридинил и пиразолопиримидинил, но не должны быть ограничены ими. Предпочтительные группы заместителей включают алкил, алкенил, алкинил, алкокси, гидроксил, галоген, галогеналкил, циклоалкил, циклоалкокси, циано, амид, аминоиалкиламино.
При использовании в данном описании изобретения, термин «галоген» относится к фтору, хлору, брому или иоду.
При использовании в данном описании изобретения, термин «галогеналкил» относится к алкильной группе, как она определена здесь, замещенной по меньшей мере одним галогеном. Примеры «галогеналкильных» групп с разветвленной или прямой цепью, полезных в настоящем изобретении, включают, без ограничения ими, метил, этил, пропил, изопропил, н-бутил и трет-бутил, независимо замещенные одним или более галогенами, например фторо, хлоро, бромо и подо. Следует понимать, что термин «галогеналкил» включает такие заместители, как перфторалкильные группы и тому подобное.
При использовании в данном описании изобретения, термин «алкокси» относится к группе -OR’, где R’ представляет собой алкил, как он определен.
При использовании в данном описании изобретения, термин «циклоалкокси» относится к группе -OR’, где R’ представляет собой циклоалкил, как он определен.
При использовании в данном описании изобретения, термин «алкоксикарбонил» относится к таким группам, как:
,
где R’ представляет собой алкильную группу, как она определена в данном описании изобретения.
При использовании в данном описании изобретения, термин «арилоксикарбонил» относится к таким группам, как:
,
где Ay представляет собой арильную группу, как она определена в данном описании изобретения.
При использовании в данном описании изобретения, термин “нитрон” относится к группе -NO2.
При использовании в данном описании изобретения, термин “цианом” относится к группе -CN.
При использовании в данном описании изобретения, термин “азидо” относится к группе -N3.
При использовании в данном описании изобретения, термин “аминов” относится к группе -NR’R”, где R’ и R” независимо представляют собой Н, алкил, алкенил, алкинил, циклоалкил, гетероциклил, арил или гетероарил. Аналогично, термин «алкиламино» включает в себя алкиленовый линкер, посредством которого присоединена аминогруппа. Примеры «алкиламино», при использовании в данном описании изобретения, включают такие группы, как -(CH2)x(NH2), где x предпочтительно равен 1-6.
При использовании в данном описании изобретения, термин «амид» относится к группе -C(O)NR’R”, где R’ и R” независимо представляют собой Н, алкил, алкенил, алкинил, циклоалкил, гетероциклил, арил или гетероарил. Примеры «амида», при использовании в данном описании изобретения, включают такие группы, как -C(O)NH2, -C(O)NH(CH3), -C(O)N(CH3)2 и тому подобное.
При использовании по всему настоящему описанию, фраза «возможно замещенный» или ее варианты означают возможное замещение, в том числе множественные степени замещения, одной или более замещающими группами. Данную фразу не следует интерпретировать как являющуюся неопределенной или дублирующей по отношению к варианту замещения, конкретно описанному или изображенному в данном описании изобретения. Скорее специалистам обычной квалификации в данной области техники будет очевидно, что эта фраза включена для того, чтобы предусмотреть очевидные модификации, которые входят в объем прилагаемой формулы изобретения.
Соединения формул (I) могут кристаллизоваться в виде более чем одной формы, свойство известное как полиморфизм, и такие полиморфные формы («полиморфы») входят в объем формулы (I). Как правило, полиморфизм может иметь место как ответ на изменения в температуре, давлении или обоих этих параметрах. Полиморфизм также может быть результатом изменений в кристаллизационном процессе. Полиморфы можно отличить по различным физическим характеристикам, известным в данной области техники, таким как дифрактограммы рентгеновских лучей, растворимость и точка плавления.
Некоторые из описанных в данном описании изобретения соединений содержат один или более чем один хиральный центр, либо иным образом могут быть способны к существованию в виде многочисленных стереоизомеров. Объем настоящего изобретения охватывает смеси стереоизомеров, а также чистые энантиомеры или энантиомерно, и/или диастереомерно обогащенные смеси. Кроме того, в объем изобретения включены отдельные изомеры соединений, представленных формулой (I), а также любые полностью или частично равновесные их смеси. Настоящее изобретение также охватывает отдельные изомеры соединений, представленных приведенными выше формулами, в виде смесей со своими изомерами, в которых один или более чем один хиральный центр инвертирован.
Обычно, но не безусловно, соли по настоящему изобретению являются фармацевтически приемлемыми солями. Соли, подпадающие под термин «фармацевтически приемлемые соли», относятся к нетоксичным солям соединений по этому изобретению. Соли соединений по настоящему изобретению могут включать соли присоединения кислоты. Типичные соли включают ацетат, бензолсульфонат, бензоат, бикарбонат, бисульфат, битартратборат, кальция эдетат, камзилат, карбонат, клавуланат, цитрат, дигидрохлорид, эдизилат, эстолата, эзилат, фумарат, глусептат, глюконат, глутамат, гликолиларсанилат, гексилрезорцинат, гидрабамин, гидробромид, гидрохлорид, гидроксинафтоат, иодид, изетионат, лактат, лактобионат, лаурат, малат, малеат, манделат, мезилат, метилсульфат, калия гидромалеат, мукат, напзилат, нитрат, N-метилглюкамин, оксалат, памоат (эмбонат), пальмитат, пантотенат, фосфат/дифосфат, полигалактуронат, калиевые, салицилат, натриевые, стеарат, субацетат, сукцинат, сульфат, таннат, тартрат, теоклат, тозилат, триэтиодид, триметиламмониевые соли и валерат. Другие соли, не являющиеся фармацевтически приемлемыми, могут быть полезны в получении соединений по этому изобретению и их следует считать составляющими дополнительный аспект изобретения.
При использовании в данном описании изобретения, термин «сольват» относится к комплексу с вариабельной стехиометрией, образованному растворенным веществом (в этом изобретении соединение формулы) или его соль либо его физиологически функциональное производное) и растворителем. Такие растворители, для целей изобретения, не должны влиять на биологическую активность растворенного вещества. Неограничивающие примеры подходящих растворителей включают воду, метанол, этанол и уксусную кислоту, но ими не ограничены. Используемый растворитель предпочтительно является фармацевтически приемлемым растворителем. Неограничивающие примеры подходящих фармацевтически приемлемых растворителей включают воду, этанол и уксусную кислоту. Наиболее предпочтительно используемым растворителем является вода.
При использовании в данном описании изобретения термин «физиологически функциональное производное» относится к любому фармацевтически приемлемому производному соединения по настоящему изобретению, которое при введении млекопитающему способно давать (напрямую или опосредованно) соединение по настоящему изобретению или его активный метаболит. Такие производные, например эфиры и амиды, очевидны специалистам в данной области без чрезмерного экспериментирования. Можно упомянуть руководство Burger’s Medicinal Chemistry And Drug Discovery, 5th Edition, Vol.1: Principles and Practice, которое введено в данное описание изобретения посредством ссылки в части, описывающей физиологически функциональные производные.
При использовании в данном описании изобретения, термин «эффективное количество» означает количество лекарственного средства или фармацевтического агента, которое будет вызывать тот биологический или терапевтический ответ ткани, системы, животного или человека, к которому стремится, например, исследователь или лечащий врач. Термин «терапевтически эффективное количество» означает любое количество, которое, при сравнении с соответствующим субъектом, не получавшим такого количества, приводит к улучшенному лечению, заживлению, предупреждению или уменьшению интенсивности заболевания, расстройства или побочного эффекта либо к снижению скорости прогрессирования заболевания или расстройства. В объем этого термина также включены количества, эффективные для усиления нормальной физиологической функции.
Предполагается, что термин «модуляторы», при использовании в данном описании изобретения, охватывает антагониста, агониста, обратного агониста, частичного агониста или частичного антагониста, ингибиторы и активаторы. В одном предпочтительном воплощении настоящего изобретения соединения демонстрируют защитное действие против ВИЧ-инфекции посредством ингибирования связывания ВИЧ с хемокиновым рецептором клетки-мишени, таким как CXCR4 и/или CCR5. Согласно данному изобретению предложен способ, включающий приведение клетки-мишени в контакт с таким количеством соединения, которое эффективно для ингибирования связывания данного вируса с хемокиновым рецептором.
В дополнение к той роли, которую хемокиновые рецепторы играют в ВИЧ-инфекции, этот класс рецепторов также вовлечен в широкий ряд заболеваний. Так, СХСР4-модуляторы также могут играть терапевтическую роль в лечении заболеваний, ассоциированных с гемопоэзом, включая, без ограничения ими, регулирование побочных эффектов при химиотерапии, усиление благоприятного исхода при пересадке костного мозга, улучшение заживления ран и лечения ожогов, а также борьбу с бактериальными инфекциями при лейкемии. К тому же, соединения также могут играть терапевтическую роль в заболеваниях, ассоциированных с воспалением, включая воспалительные или аллергические заболевания, такие как астма, аллергический ринит, гиперчувствительные легочные заболевания, гиперчувствительный пневмонит, эозинофильный пневмонит, гиперчувствительные реакции замедленного типа, интерстициальное легочное заболевание (ILD) (например, идиопатический пневмофиброз или ILD, ассоциированное с ревматоидным артритом, системная красная волчанка, анкилозирующий спондилит, системный склероз, синдром Шегрена, полимиозит или дерматомиозит); системные анафилактические или гиперчувствительные реакции, лекарственные аллергии, аллергии, вызванные укусами насекомых, аутоиммунные заболевания, такие как ревматоидный артрит, псориатический артрит, системная красная волчанка, тяжелая форма миастении, юношеский диабет; гломерулонефрит, аутоиммунный тиреоидит, отторжение трансплантатов, в том числе отторжение аллотрансплантатов или реакцию «трансплантат против хозяина»; воспалительные заболевания кишечника, такие как болезнь Крона и неспецифический язвенный колит; спондилоартропатии; склеродермию; псориаз (в том числе опосредованный Т-клетками псориаз) и воспалительные дерматозы, такие как дерматит, экзема, атонический дерматит, аллергический контактный дерматит, крапивница, васкулит (например, некротизирующий, кожный и гиперчувствительный васкулит); эозинофильный миозит, эозинофильный фасцит; и злокачественные новообразования.
Для применения в терапии терапевтически эффективные количества соединения формулы (I), а также его солей, сольватов и физиологически функциональных производных, могут быть введены в виде необработанного химического агента. К тому же, активный ингредиент может быть представлен в виде фармацевтической композиции.
Соответственно, согласно изобретению также предложены фармацевтические композиции, содержащие эффективные количества соединений формулы (I) и их солей, сольватов и физиологически функциональных производных и один или более чем один фармацевтически приемлемый носитель, разбавитель или эксципиент. Соединения формулы (I) и их соли, сольваты и физиологически функциональные производные являются такими, как они описаны в данном описании изобретения. Носитель(и), разбавитель(и) или эксципиент(ы) должны быть приемлемыми в смысле совместимости с другими ингредиентами композиции и безопасными для реципиента фармацевтической композиции.
Согласно другому аспекту изобретения также предложен способ приготовления фармацевтической композиции, включающий смешивание соединения формулы (I) или его солей, сольватов и физиологически функциональных производных с одним или более фармацевтически приемлемыми носителями, разбавителями или эксципиентами.
Терапевтически эффективное количество соединения по настоящему изобретению будет зависеть от ряда факторов. Например все – вид, возраст и масса реципиента, точное состояние, требующее лечения, и его тяжесть, свойства препарата и путь введения – является факторами, которые следует учитывать. В конечном счете, терапевтически эффективное количество остается на усмотрении ведущего врача или ветеринара. Безотносительно к чему-либо, эффективное количество соединения формулы (I) для лечения людей, страдающих от слабости, в общем случае должно находиться в интервале от 0,1 до 100 мг/кг массы тела реципиента (млекопитающего) в сутки. В более типичном случае эффективное количество должно находиться в интервале от 1 до 10 мг/кг массы тела в сутки. Таким образом, для взрослого млекопитающего массой 70 кг один пример фактического количества в сутки в типичном случае будет составлять от 7 до 700 мг. Это количество можно вводить в однократной дозе за сутки или в виде некоторого количества (например, двух, трех, четырех, пяти или более) субдоз в сутки, так чтобы суммарная суточная доза оставалась такой же. Эффективное количество его соли, сольвата или физиологически функционального производного может быть определено пропорционально эффективному количеству соединения формулы (I) per se. Аналогичные дозировки должны быть пригодны для лечения других состояний, ссылки на которые приведены в данном описании изобретения.
Фармацевтические композиции могут быть представлены в стандартных лекарственных формах, содержащих предварительно определенное количество активного ингредиента на стандартную дозу. Такая единица может содержать, в виде неограничивающего примера, от 0,5 мг до 1 г соединения формулы (I), в зависимости от состояния, которое лечат, пути введения и возраста, массы и состояния пациента. Предпочтительными препаратами со стандартной дозировкой являются препараты, содержащие суточную дозу активного ингредиента или субдозу, как изложено выше в данном описании изобретения, или ее подходящую часть. Такие фармацевтические препараты могут быть приготовлены любым из способов, хорошо известных в фармацевтической области.
Фармацевтические композиции могут быть адаптированы для введения любым подходящим путем, например пероральным (включая трансбуккальный или сублингвальный), ректальным, назальным, местным (включая трансбуккальный, сублингвальный или трансдермальный), вагинальным или парентеральным (включая подкожный, внутримышечный, внутривенный или интрадермальный) путем. Такие композиции могут быть приготовлены любым способом, известным в области фармацевтики, например посредством объединения активного ингредиента с носителем(ями) или эксципиентом(ами). Что касается некоторых состояний и расстройств, для которых, как предполагается, соединения по настоящему изобретению будут полезны, то в качестве примера, а не для ограничения изобретения, некоторые пути введения будут более предпочтительными, чем другие.
Фармацевтические композиции, адаптированные для перорального введения, могут быть представлены в виде дискретных единиц, таких как капсулы или таблетки; в виде порошков или гранул; растворов или суспензий, каждый из которых содержит водные или неводные жидкости; в виде пищевых пенок или взбитых масс; или в виде жидких эмульсий масло-в-воде, либо жидких эмульсий вода-в-масле. Например, для перорального введения в форме таблетки или капсулы активный лекарственный компонент можно объединять с пероральным нетоксичным фармацевтически приемлемым инертным носителем, таким как этанол, глицерин, вода и подобное. В общем случае порошки готовят посредством измельчения соединения до подходящего мелкого размера и смешивания с подходящим фармацевтическим носителем, таким как пищевой углевод, например крахмал или маннит. Также могут присутствовать корригенты, консерванты, диспергирующие агенты и окрашивающие агенты.
Капсулы получают путем приготовления порошковой, жидкой или суспензионной смеси и заполнения ими капсул из желатина или из некоторых других подходящих для оболочек веществ. Перед заполнением к данной смеси могут быть добавлены скользящие и смазывающие вещества, такие как коллоидный диоксид кремния, тальк, стеарат магния, стеарат кальция или твердый полиэтиленгликоль. Кроме того, для улучшения доступности лекарственного средства при проглатывании капсулы может быть добавлен разрыхляющий или солюбилизирующий агент, такой как агар-агар, карбонат кальция или карбонат натрия. Также, при желании или необходимости, в смесь также могут быть введены подходящие связующие, смазывающие, разрыхляющие и окрашивающие агенты. Примеры подходящих связующих включают крахмал, желатин, природные сахара, такие как глюкоза или бета-лактоза, зерновые подсластители, природные и синтетические камеди, такие как аравийская, трагакантовая или альгинат натрия, карбоксиметилцеллюлозу, полиэтиленгликоль, вески и тому подобное. Полезные в этих лекарственных формах смазывающие вещества включают, например, олеат натрия, стеарат натрия, стеарат магния, бензоат натрия, ацетат натрия, хлорид натрия и тому подобное. Разрыхлители включают крахмал, метилцеллюлозу, агар, бентонит, ксантановую камедь и тому подобное, но ими не ограничены.
Таблетки изготавливают, например, путем приготовления порошковой смеси, гранулирования или комкования, добавления смазывающего вещества и разрыхлителя и прессования в таблетки. Порошковую смесь можно приготовить путем смешивания подходящим образом измельченного соединения с разбавителем или основой, как описано выше. Возможные ингредиенты включают связующие, такие как карбоксиметилцеллюлоза, альгинаты, желатины или поливинилпирролидон, замедлители растворения, такие как парафин, ускорители всасывания, такие как четвертичная соль, и/или абсорбирующие агенты, такие как бентонит, каолин или дикальция фосфат. Порошковую смесь можно подвергать влажному гранулированию со связующим веществом, таким как сироп, крахмальный клей, гуммиарабик или растворы целлюлозных или полимерных веществ, и продавливанию через сито. В качестве альтернативы гранулированию порошковая смесь может быть пропущена через таблеточную машину, с получением в результате неполностью формованных комков, разламываемых на гранулы. Эти гранулы могут быть смазаны для предотвращения прилипания к формующим таблетки пресс-формам путем добавления стеариновой кислоты, стеаратной соли, талька или минерального масла. Смесь с добавленными смазывающими веществами затем прессуют в таблетки. Соединения по настоящему изобретению также могут быть объединены с сыпучим инертным носителем и спрессованы в таблетки непосредственно, без прохождения стадий гранулирования или комкования. Можно обеспечить прозрачное или непрозрачное защитное покрытие, состоящее из герметичного покрытия из шеллака, покрытия из сахара или полимерного вещества и полированного покрытия из воска. Чтобы отличить разные стандартные дозировки, в эти покрытия могут быть добавлены красители.
Пероральные жидкости, такие как растворы, сиропы и эликсиры, могут быть приготовлены в стандартной лекарственной форме так, чтобы заданное количество содержало предварительно определенное количество соединения. Сиропы могут быть приготовлены, например, путем растворения соединения в подходящим образом ароматизированном водном растворе, в то время как эликсиры готовят посредством использования нетоксичного спиртового наполнителя. В общем случае суспензии могут быть изготовлены путем диспергирования соединения в нетоксичном наполнителе. Также могут быть добавлены солюбилизаторы и эмульгаторы, такие как этоксилированные изостеариловые спирты и простые эфиры полиоксиэтиленсорбита. консерванты; корригирующие добавки, такие как мятное масло, или природные подсластители, сахарин или другие искусственные подсластители и тому подобное.
При необходимости стандартные лекарственные препараты для перорального введения могут быть микроинкапсулированы. Кроме того, препарат может быть приготовлен для пролонгированного или непрерывного высвобождения, например путем нанесения покрытия или внедрения зернистого вещества в полимеры, воск или тому подобное.
Соединения формулы (I) и их соли, сольваты и физиологически функциональные производные также можно вводить в форме липосомных систем доставки, таких как малые однослойные везикулы, большие однословные везикулы и многослойные везикулы. Липосомы могут быть образованы из ряда фосфолипидов, таких как холестерин, стеариламин или фосфатидилхолины.
Соединения формулы (I) и их соли, сольваты и физиологически функциональные производные также могут быть доставлены путем использования моноклональных антител в качестве индивидуальных носителей, к которым присоединены молекулы соединений.
Соединения также могут быть присоединены к растворимым полимерам в качестве нацеливаемых носителей лекарственных средств. Такие полимеры могут включать поливинилпирролидон (PVP), сополимер пирана, полигидроксипропилметакриламид-фенол, полигидроксиэтил-аспартамидфенол или полиэтиленоксидполилизин, замещенный пальмитоиловыми остатками. Кроме того, соединения могут быть присоединены к ряду биоразлагаемых полимеров, полезных для достижения регулируемого высвобождения лекарственного средства; например к полимолочной кислоте, полиэпсилон-капролактону, полигидроксимасляной кислоте, полиортоэфирам, полиацеталям, полидигидропиранам, полицианоакрилатам и перекрестие сшитым или амфипатическим блок-сополимерам гидрогелей.
Фармацевтические композиции, адаптированные для трансдермального введения, могут быть представлены в виде дискретных пластырей, предназначенных для сохранения тесного контакта с эпидермисом реципиента в течение продолжительного периода времени. Например, активный ингредиент может доставляться из пластыря посредством электрофореза, как в общем виде описано в статье Pharmaceutical Research, 3(6), 318 (1986), включенной в данное описание изобретения посредством ссылки, как имеющей отношение к таким системам доставки.
Фармацевтические композиции, адаптированные для местного введения. могут быть изготовлены в виде мазей, кремов, суспензий, лосьонов, порошков, растворов, паст, гелей, спреев, аэрозолей или масел.
Для лечения глазных или других внешних тканей, например рта и кожи, композиции можно наносить в виде мази или крема для местного применения. В случае приготовления в виде мази, активный ингредиент может быть использован либо с парафиновой, либо со смешиваемой с водой мазевой основой. Альтернативно, активный ингредиент может быть приготовлен в виде крема с основой для крема “масло-в-воде” или “вода-в-масле”.
Фармацевтические композиции, адаптированные для местного введения в глаз, включают глазные капли, где активный ингредиент растворен или суспендирован в подходящем носителе, особенности d водном растворителе.
Фармацевтические композиции, адаптированные для местного введения в рот, включают лепешки, пастилки и жидкости для обработки рта.
Фармацевтические композиции, адаптированные для назального введения, где носитель представляет собой твердое вещество, содержат крупный порошок с размером частиц, например, в интервале от 20 до 500 микрон. Порошок вводят путем вдыхания через нос, то есть путем быстрого вдыхания через носовой канал этого порошка из контейнера, удерживаемого близко к носу. Подходящие композиции, где носитель представляет собой жидкость, для введения в виде назального спрея или в виде назальных капель, содержат водные или масляные растворы активного ингредиента.
Фармацевтические композиции, адаптированные для введения путем ингаляции, содержат дусты или аэрозоли с мелкими частицами, которые могут быть образованы с помощью различных типов дозирующих, находящихся под давлением распылителей, небулайзеров или инсуффляторов.
Фармацевтические композиции, адаптированные для ректального введения, могут быть представлены в виде суппозиториев или клизм.
Фармацевтические композиции, адаптированные для вагинального введения, могут быть представлены в виде пессариев, тампонов, кремов, гелей, паст, пенок или спреевых композиций.
Фармацевтические композиции, адаптированные для парентерального введения, включают водные и неводные стерильные инъекционные растворы, которые могут содержать антиоксиданты, буферы, бактериостатические средства и растворенные вещества, делающие композицию изотоничной крови предполагаемого реципиента; и водные и неводные стерильные суспензии, которые могут содержать суспендирующие агенты и загущающие агенты. Данные композиции могут быть представлены в однодозовых или многодозовых контейнерах, например герметично закрытых ампулах и флаконах, и могут храниться в высушенном вымораживанием (лиофилизованном) состоянии, требующем только добавления стерильного жидкого носителя, например воды для инъекций, непосредственно перед использованием. Приготовленные для немедленного приема инъекционные растворы и суспензии могут быть получены из стерильных порошков, гранул и таблеток.
В дополнение к ингредиентам, конкретно упомянутым выше, композиции могут включать в себя другие традиционные в данной области агенты, имеющие отношение к типу рассматриваемой композиции. Например, композиции, подходящие для перорального введения, могут включать в себя корригенты или красящие агенты.
Соединения по настоящему изобретению и их соли, сольваты и их физиологически функциональные производные могут быть использованы сами по себе или в комбинации с другими терапевтическими агентами. Соединение(я) формулы (I) и другой(ие) фармацевтически активный(е) агент(ы) могут быть введены вместе или по отдельности, и введение по отдельности может осуществляться одновременно или последовательно в любом порядке. Количества соединения(й) формулы (I) и другого(их) фармацевтически активного(ых) агента(ов) и относительные временные интервалы введения будут выбраны с целью достижения желаемого комбинированного терапевтического эффекта. Введение соединения формулы (I), его солей, сольватов или физиологически функциональных производных в комбинации с другими терапевтическими агентами может осуществляться совместно путем введения в: (1) единой фармацевтической композиции, включающей оба соединения; или (2) отдельных фармацевтических композициях, каждая из которых включает в себя одно из соединений. Альтернативно, данная комбинация может быть введена по отдельности последовательно друг за другом, причем один терапевтический агент вводят первым, а другой вторым, или наоборот. Такое последовательное введение может осуществляться близко во времени или отдаленно во времени.
Соединения по настоящему изобретению можно применять в лечении ряда расстройств и состояний и, как таковые, соединения по настоящему изобретению можно применять в комбинации с рядом других подходящих терапевтических агентов, полезных в лечении или профилактике таких расстройств или состояний. Данные соединения можно применять в комбинации с любой другой фармацевтической композицией, когда такая комбинированная терапия может быть полезной для модулирования активности хемокиновых рецепторов и тем самым для предотвращения и лечения воспалительных и/или иммунорегуляторных заболеваний.
Настоящее изобретение может быть использовано в комбинации с одним или более чем одним агентом, полезным в предупреждении или лечении ВИЧ. Примеры таких агентов включают:
нуклеотидные ингибиторы обратной транскриптазы, такие как зидовудин, диданозин, ламивудин, залцитабин, абакавир, ставидин, адефовир, адефовира дипивоксил, фозивудин, тодоксил и подобные агенты;
ненуклеотидные ингибиторы обратной транскриптазы (в том числе агент, имеющий антиоксидантную активность, такой как иммунокал, олтипраз и так далее), такие как невирапин, делавирдин, эфавиренз, ловирид, иммунокал, олтипраз и подобные агенты;
ингибиторы протеаз, такие как саквинавир, ритонавир, индинавир, нелфинавир, апренавир, палинавир, ласинавир и подобные агенты;
ингибиторы проникновения, такие как Т-20, Т-1249, PRO-542, PRO-140, TNX-355, BMS-806, 5-Helix и подобные агенты;
ингибиторы интегразы. такие как L-870180 и подобные агенты;
ингибиторы отпочковывания, такие как РА-344 и РА-457 и подобные агенты; и
другие ингибиторы CXCR4 и/или CCR5, такие как Sch-C, Sch-D, TAK779, соединение из патента UK 427857, ТАК449, а также раскрытые в WO 02/74769, PCT/US03/39644, PCT/US03/39975, PCT/US03/39619. PCT/US03/39618, PCT/US03/39740 и PCT/US03/39732 и подобные агенты.
Комбинации соединений по данному изобретению с агентами против ВИЧ не ограничиваются таковыми, упомянутыми выше, а включают в принципе любую комбинацию с любой фармацевтической композицией, полезной для лечения ВИЧ. Как уже отмечалось, в таких комбинациях соединения по настоящему изобретению и другие агенты против ВИЧ можно вводить по отдельности или совместно. К тому же, один агент может быть введен до, одновременно или после введения другого(их) агента(ов).
Соединения по данному изобретению могут быть изготовлены рядом способов, включая хорошо известные стандартные способы синтеза. Иллюстративные общие способы синтеза представлены ниже, и также в рабочих примерах получены конкретные соединения по изобретению.
Во всех описанных ниже примерах использованы защитные группы для чувствительных или реакционноспособных групп, где это необходимо, в соответствии с общими принципами химического синтеза. Манипуляции с защитными группами выполняют в соответствии со стандартными методами органического синтеза (Т.W.Green and P. G. M. Wuts (1991) Protecting Groups in Organic Synthesis, John Wiley & Sons; включено посредством ссылки как имеющее отношение к защитным группам). Эти группы удаляют на удобной стадии синтеза соединения, используя методы, очевидные специалистам в данной области техники. Выбор способов, а также реакционных условий и порядка их осуществления будут согласовываться с получением соединений формулы (I).
Специалисты в данной области смогут понять, имеется ли стереоцентр в соединениях формулы (I). Соответственно, объем настоящего изобретения включает все возможные стереоизомеры и охватывает не только рацемические соединения, но также и все отдельные энантиомеры. Если желательно соединение в виде единичного энантиомера. его можно получить посредством стереоспецифического синтеза, путем разделения конечного продукта или любого удобного промежуточного соединения, либо методами хиральной хроматографии, которые известны в данной области техники. Разделение конечного продукта, промежуточного соединения или исходного вещества может быть осуществлено любым подходящим методом, известным в данной области техники. Смотри, например Stereochemistry of Organic Compounds (E.L.Eliel, S.H.Wilen, and L.N.Mander, Wiley-Interscience, 1994); включенную посредством ссылки в отношении стереохимии.
ЭКСПЕРИМЕНТАЛЬНЫЙ РАЗДЕЛ
Сокращения
При использовании в данном описании изобретения, символы и условные обозначения, используемые в этих способах, схемах и примерах, согласуются с используемыми в современной научной литературе, например в Journal of the American Chemical Society или в Journal of Biological Chemistry. Конкретно, в примерах и в описании могут быть использованы следующие сокращения:
| г (граммы); |
мг (миллиграммы); |
| л (литры); |
мл (миллилитры); |
| мкл (микролитры); |
ф/кв. дюйм (фунт на квадратный дюйм); |
| М (молярный); |
мМ (миллимолярный); |
| Гц (герц); |
МГц (мегагерц); |
| моль (моли); |
ммоль (миллимоли); |
| КТ (комнатная температура); |
ч (часы); |
| мин (минуты); |
ТСХ (тонкослойная хроматография); |
| т. пл. (точка плавления); |
ОФ (обращенная фаза); |
| Тr (время удерживания); |
TFA (трифторуксусная кислота); |
| TEA (триэтиламин); |
THF (тетрагидрофуран); |
| TFAA (трифторуксусный ангидрид); |
CD3OD (дейтерированный метанол); |
| CDCl3 (дейтерированный хлороформ); |
DMSO (диметилсульфоксид); |
| SiO2 (диоксид кремния); |
атм (атмосфера); |
| EtOAc (этилацетат); |
CHCl3 (хлороформ); |
| HCl (соляная кислота); |
Ас (ацетил); |
| DMF (N,N-диметилформамид); |
Me (метил); |
| Cs2CO3 (карбонат цезия); |
EtOH (этанол); |
| Et (этил); |
tBu (трет-бутил); |
| МеОН (метанол); |
п-TsOH (пара-толуолсульфоновая кислота); |
MP-TsOH (эквивалент пара-TsOH, связанный с полистирольной смолой от Argonaut Technologies).
EDC: 1-(3-диметиламинопропил)-3-этилкарбодиимида гидрохлорид.
НОВТ: 1-гидроксибензотриазол.
HBTU: О-бензотриазол-1-ил-N,N,N’,N’-тетраметилурония гексафторфосфат.
BOPCI: бис(2-оксо-3-оксазолидинил)фосфинхлорид.
МР-карбонат: макропористый триэтиламмония метилполистиролкарбонат.
Если не указано иное, все температуры выражены в °С (градусах Цельсия). Все реакции проводили при комнатной температуре, если не упомянуто иное.
1Н-ЯМР-спектры регистрировали на приборе Varian VXR-300, Varian Unity-300, Varian Unity-400 или General Electric QE-300. Химические сдвиги выражали в миллионных долях (м.д., единицы ). Константы связи выражены в герцах (Гц). Картины расщепления описаны видимыми мультиплетностями и обозначены как s (синглет), d (дублет), t (триплет), q (квартет), m (мультиплет) или br (уширенный).
Масс-спектры получали на масс-спектрометрах Micromass Platform или ZMD от Micromass Ltd., Altricham, UK, используя либо химическую ионизацию при атмосферном давлении (APCI), либо ионизацию электрораспылением (ESI).
Аналитическую тонкослойную хроматографию использовали для оценки чистоты промежуточного(ых) соединения(ий), которое(ые) не могло(и) быть выделено(ы) или которые были слишком нестабильны для полного определения его характеристик, а также для слежения за развитием реакции(й).
Абсолютную конфигурацию соединений можно установить посредством спектроскопии вибрационного кругового дихроизма (VCD) ab initio. Экспериментальные VCD-спектры получали в CDCl3, используя Bomem Chiral RTM VCD-спектрометр, работающий в интервале 2000-800 см-1. Для расчета модельных VCD-спектров использовали набор вычислительных программ Gaussian 98. Стереохимические определения выполняли путем сравнения данного экспериментального спектра с VCD-спектром, рассчитанным для модельной структуры с (R)- или (S)-конфигурацией. Посредством ссылки в отношении такой спектроскопии включены: J.R.Chesseman, M.J.Frisch, F.J.Devlin and P.J.Stephens, Chem. Phys. Lett. 252 (1996) 211; P.J.Stephens and F.J.Devlin, Chirality 12 (2000) 172; и Gaussian 98, Revision A. 11.4, M.J.Frisch et al., Gaussian, Inc., Pittsburgh PA, 2002.
Соединения формулы (I), где все переменные такие, как они определены в данном описании изобретения, и конкретно, где R представляет собой H и t равен 1, могут быть получены в соответствии со Схемой 1. Соединения формулы (I), где t равен 0 или 2, могут быть получены аналогичным образом, как будет очевидно специалисту в данной области техники.
Схема 1

Более конкретно, соединения формулы (I) могут быть получены путем взаимодействия соединения формулы (II) с соединением (IV) или, альтернативно, путем взаимодействия соединения формулы (III) с соединением формулы (V) в восстановительных условиях. Восстановительное аминирование может быть осуществлено посредством обработки соединения формулы (II) или (III) соединением формулы (IV) или (V), соответственно, в инертном растворителе в присутствии восстанавливающего агента. Реакционная смесь может быть нагрета до 50-150°С, или реакция может быть проведена при температуре окружающей среды. Подходящие растворители включают дихлорметан, дихлорэтан, тетрагидрофуран, ацетонитрил, толуол и тому подобное. Восстанавливающий агент в типичном случае представляет собой боргидрид натрия, цианоборгидрид натрия, триацетоксиборгидрид натрия и тому подобное. Возможно, что реакция может быть проведена в присутствии кислоты, такой как уксусная кислота и тому подобное.
Соединения формулы (II) могут быть получены, как описано в литературе (J. Org. Chem., 2002, 67, 2197-2205; который включен в данное описание изобретения посредством ссылки в отношении такого синтеза). Соединения формулы (III) могут быть получены посредством восстановительного аминирования соединения формулы (II) с использованием способов, хорошо известных специалистам в области органического синтеза. Соединения формулы (IV) и (V) могут быть получены способами, аналогичными описанным в литературе (Tet. Lett. 1998, 39, 7467-7470; WO 02/092575; WO 03/053344; WO 03/106430; Science of Synthesis 2002, 12, 529-612; каждая из этих работ включена посредством ссылки в отношении такого синтеза).
Схема 2

Соединение формулы (I), где t равен 1, каждый R представляет собой Н и все другие переменные такие, как они определены выше, может быть получено путем взаимодействия соединения формулы (III) с соединением формулы (VI), где LV представляет собой уходящую группу (например, галоген, мезилат, тозилат), как изображено на Схеме 2. Такую конденсацию в типичном случае осуществляют в подходящем растворителе, возможно в присутствии основания, возможно при нагревании. Подходящие растворители включают тетрагидрофуран, диоксан, ацетонитрил, нитрометан, N,N-диметилформамид и тому подобное. Подходящие основания включают триэтиламин, пиридин, диметиламинопиридин, N,N-диизопропилэтиламин, карбонат калия, карбонат натрия и тому подобное. Реакция может быть проведена при комнатной температуре или, возможно, при нагревании до 30-200°С. В реакционную смесь возможно может быть добавлен катализатор, такой как иодид калия, иодид тетрабутиламмония или тому подобное.
Соединение формулы (VI) может быть получено способом, аналогичным описанному в литературе (Bioorg. Med. Chem. Lett. 2003, 13, 3177; Bioorg. Meet. Chem. 2004, 12, 5181; все из которых включены в данное описание изобретения посредством ссылки в отношении такого синтеза).
Схема 3

Более конкретно, соединения формулы (I), где t равен 1, каждый R представляет собой Н и все другие переменные такие, как они определены выше, могут быть получены обработкой соединения формулы (XVIII) в кислых условиях, возможно при нагревании. Взаимодействие может быть осуществлено посредством обработки соединения формулы (XVIII) подходящей кислотой, возможно в присутствии инертного растворителя. Реакционная смесь может быть нагрета до 50-200°С, или реакция может быть проведена при температуре окружающей среды. Подходящие кислоты включают уксусную кислоту, трифторуксусную кислоту, соляную кислоту и тому подобное. Взаимодействие может быть осуществлено с использованием кислоты в качестве растворителя. Другие подходящие растворители включают тетрагидрофуран, ацетонитрил, толуол и тому подобное.

Более конкретно, как проиллюстрировано ниже, соединения формулы (XVIII) могут быть получены путем сочетания соединения формулы (XII) с соединением формулы (XVII). Это сочетание может быть осуществлено с использованием ряда реагентов сочетания, хорошо известных специалистам в области органического синтеза (например EDC, HOBt/HBTu; BOPCI). Взаимодействие может быть осуществлено при нагревании или при температуре окружающей среды. Подходящие растворители для этой реакции включают ацетонитрил, тетрагидрофуран и тому подобное. Соединения формулы (XII) имеются в продаже или могут быть получены способами, известными из литературы. Соединения формулы (XVII) могут быть получены из тетрагидрохинолин-8-она и защищенного производного глицина посредством восстановительного аминирования с последующим снятием защиты.

Соединения формулы (I) могут быть получены, как изображено на Схеме 4, где Z представляет собой подходящую защитную группу, t равен 1, R представляет собой Н, а все другие переменные такие, как они определены в отношении соединения формулы (I). Соединения формулы (I), где t равен 0 или 2, могут быть приготовлены аналогичным способом, как будет очевидно специалисту в данной области техники.
Схема 4

Соединение формулы (I), где t равен 1, каждый R представляет собой Н и все другие переменные такие, как они определены ранее, могут быть получены путем обработки соединения формулы (XI) в кислотных условиях, возможно при нагревании. Взаимодействие может быть осуществлено посредством обработки соединения формулы (XI) подходящей кислотой, возможно в присутствии инертного растворителя, такого как тетрагидрофуран, ацетонитрил, толуол и тому подобное, но без ограничения ими. Реакционная смесь может быть нагрета до 50-200°С, или реакция может быть проведена при температуре окружающей среды. Подходящие кислоты включают уксусную кислоту, трифторуксусную кислоту, соляную кислоту и тому подобное. Взаимодействие может быть осуществлено с использованием кислоты в качестве растворителя.
Более конкретно, как это проиллюстрировано ниже, соединения формулы (XI) могут быть получены посредством сочетания соединения формулы (X) с соединением формулы (IX). Это сочетание может быть осуществлено с использованием разнообразных реагентов сочетания, хорошо известных специалистам в области органического синтеза (например, EDC, HOBt/HBTu; BOPCI). Взаимодействие может быть осуществлено при нагревании или при температуре окружающей среды. Подходящие растворители для этой реакции включают ацетонитрил, тетрагидрофуран и тому подобное. Соединения формулы (X) могут быть получены способами, известными из литературы (например из 3-хлор-2-нитроанилина). Соединения формулы (IX) могут быть получены из соединения формулы (II) и защищенного производного глицина (VIII) путем восстановительного аминирования с последующим снятием защиты. Альтернативно, соединение формулы (IX) может быть получено из соединения формулы (III) и соединения формулы (VII) с использованием способов, хорошо известных специалистам в области органического синтеза.

Соединение формулы (I), где либо один, либо оба R не являются Н, а все остальные переменные такие, как они определены для формулы (I), может быть получено в соответствии со Схемой 4 с использованием аминокислоты, отличной от глицина, как очевидно специалисту в данной области техники.

Соединение формулы I-В, где R3 представляет собой Н; t равен 1; каждый R представляет собой Н; W представляет собой алкил или другую подходящую защитную группу, а все другие переменные такие, как определены в данном описании изобретения, может быть получено в соответствии со Схемой 5.
Схема 5

В общем случае способ получения соединения формулы (I-В), где R3 представляет собой Н, и все переменные такие, как они определены в данном описании изобретения выше, включает стадии:
а) взаимодействия соединения формулы (XII) с соединением формулы (XIII) с последующим восстановлением с целью образования соединения формулы (Х-А); и
б) сочетания соединения формулы (Х-А) с соединением формулы (IX) и обработки продукта сочетания кислотой и нагреванием с образованием соединения формулы (I-В).

Более конкретно, соединения формулы (I-В) могут быть получены путем сочетания соединения формулы (Х-А) и соединения формулы (IX) с последующей обработкой кислотой. Типичные агенты сочетания включают EDC, HOBt/HBTu и BOPCI. Соединения формулы (I-B) могут быть получены путем обработки промежуточного амида в кислых условиях, возможно при нагревании. Взаимодействие также может быть осуществлено путем обработки подходящей кислотой, возможно в присутствии инертного растворителя. Подходящие кислоты включают уксусную кислоту, трифторуксусную кислоту, соляную кислоту и тому подобное. Подходящие растворители для этой реакции включают ацетонитрил, тетрагидрофуран и тому подобное. Реакционная смесь может быть нагрета до 50-200°С, или реакция может быть проведена при температуре окружающей среды. Взаимодействие может быть осуществлено с использованием кислоты в качестве растворителя. Другие подходящие растворители включают толуол и тому подобное. Соединения формулы (IX) могут быть получены, как описано ранее.

Соединение формулы (Х-А) может быть получено из соединения формулы (XII) и соединения формулы (XIII) посредством конденсации, возможно в присутствии растворителя и возможно при нагревании или в микроволновом реакторе, с последующим восстановлением. Соединения формулы (XII) и (XIII) имеются в продаже или могут быть получены в условиях, хорошо известных специалистам в области органической химии.
Схема 6

В общем случае процесс получения соединения формулы (I-В), где t равен 1, R3 представляет собой алкил, W представляет собой алкил или подходящую защитную группу, а все остальные переменные такие, как они определены выше, включает стадии:
а) получения соединения формулы (XIV) из соединения формулы (Х-А) и защищенного глицина;
б) получения соединения формулы (XV) из соединения формулы (XIV);
в) получения соединения формулы (XVI) из соединения формулы (XV); и
г) взаимодействия соединения формулы (II) с соединением формулы (XVI) с образованием соединения формулы (I-В).

Более конкретно, соединение формулы (I-В) может быть получено из соединения формулы (XVI) и соединения формулы (II) путем восстановительного аминирования. Восстановительное аминирование может быть осуществлено посредством обработки соединения формулы (II) соединением формулы (XVI) в инертном растворителе в присутствии восстанавливающего агента. Реакционная смесь может быть нагрета до 50-150°С, или реакция может быть проведена при температуре окружающей среды. Подходящие растворители включают дихлорметан, дихлорэтан, тетрагидрофуран, ацетонитрил, толуол и тому подобное. Восстанавливающий агент в типичном случае представляет собой боргидрид натрия, цианоборгидрид натрия, триацетоксиборгидрид натрия и тому подобное. Реакция возможно может быть проведена в присутствии кислоты, такой как уксусная кислота и тому подобное. Для соединений формулы (I-В), где R2 представляет собой Н, для превращения одного соединения формулы (I-В) в другое соединение формулы (I-В), где R2 представляет собой алкил, может быть использована вторая стадия восстановительного аминирования.

Более конкретно, соединение формулы (XVI) может быть получено из соединения формулы (XV) посредством снятия защиты. Для снятия Cbz-защитных групп (Cbz = карбобензилокси) подходящие способы снятия защиты включают каталитическое восстановление или обработку кислотой. Для каталитического восстановления подходящие катализаторы включают Pd/C и тому подобное в атмосфере водорода. Подходящие растворители включают спирты и тому подобное. Кислоты, подходящие для восстановлений в кислых условиях, включают трифторуксусную кислоту, соляную кислоту и тому подобное.

Более конкретно, соединение формулы (XV) может быть получено из соединения формулы (XIV). В результате обработки соединения формулы (XIV) подходящим алкилгалогенидом в растворителе, возможно при нагревании и возможно в присутствии основания, получают соединение формулы (XV) в виде одного из получаемых изомеров. Подходящие алкилгалогениды включают метилиодид, этилиодид и тому подобное. Подходящие растворители включают диметилформамид, диметилсульфоксид, N-метилпирролидинон, нитрометан, ацетонитрил и тому подобное. Подходящие основания включают карбонат калия, карбонат цезия, гидрид натрия и тому подобное. Реакционная смесь может быть возможно нагрета до температуры от 20 до 200°С, или реакция может быть проведена в микроволновом реакторе.

Более конкретно, соединение формулы (XIV) может быть получено из соединения формулы (Х-А). За обработкой соединения формулы (Х-А) Cbz-глицином и подходящим агентом сочетания (EDC, HOBt/HBTu и BOPCI) следует обработка полученного амида в кислых условиях, возможно при нагревании. Взаимодействие может быть осуществлено путем обработки подходящей кислотой, возможно в присутствии инертного растворителя. Реакционная смесь может быть нагрета до 50-200°С, или реакция может быть проведена при температуре окружающей среды. Подходящие кислоты включают уксусную кислоту, трифторуксусную кислоту, соляную кислоту и тому подобное. Взаимодействие может быть осуществлено с использованием кислоты в качестве растворителя. Другие подходящие растворители включают тетрагидрофуран, ацетонитрил, толуол и тому подобное.
Как очевидно специалисту в области органического синтеза, альтернативой в получении соединения формулы (XV) будет использование соединения формулы (XVII) в качестве исходного вещества, и после замыкания кольца получение бензимидазольного изомера, как показано ниже. За обработкой соединения формулы (Х-А) Cbz-глицином и подходящим агентом сочетания (EDC, HOBt/HBTu и BOPCI) следует обработка полученного амида в кислых условиях, возможно при нагревании. Взаимодействие может быть осуществлено путем обработки подходящей кислотой, возможно в присутствии инертного растворителя. Реакционная смесь может быть нагрета до 50-200°С, или реакция может быть проведена при температуре окружающей среды. Подходящие кислоты включают уксусную кислоту, трифторуксусную кислоту, соляную кислоту и тому подобное. Взаимодействие может быть осуществлено с использованием кислоты в качестве растворителя. Другие подходящие растворители включают тетрагидрофуран, ацетонитрил, толуол и тому подобное.

Соединение формулы (I), где t равен 1, либо один, либо оба R не являются Н, а все остальные переменные такие, как они определены для формулы (I), может быть получено в соответствии со Схемой 6 с использованием аминокислоты, отличной от глицина, как очевидно специалисту в данной области техники.

Соединение формулы (I-В), где R3 представляет собой алкил, t равен 1, все остальные переменные такие, как они определены выше, a W представляет собой алкил или подходящую защитную группу, может быть получено, как изображено на Схеме 7. Соединения формулы (I-В), где t равен 0 или 2, могут быть получены с использованием аналогичных способов, как очевидно специалисту в данной области техники.
Схема 7

В общем случае процесс получения соединения формулы (I-В), где R3 представляет собой алкил, t равен 1, W представляет собой алкил или подходящую защитную группу, а все остальные переменные такие, как определено выше, включает стадии:
а) получения соединения формулы (XVIII) из соединения формулы (Х-А) и ацетоксиуксусной кислоты или родственного производного уксусной кислоты;
б) получения соединения формулы (XIX) из соединения формулы (XVIII);
в) получения соединения формулы (XX) из соединения формулы (XIX); и
г) взаимодействия соединения формулы (III) с соединением формулы (XX) с образованием соединения формулы (I-В).

Более конкретно, соединение формулы (I-В) может быть получено из соединения формулы (XX) и соединения формулы (III) путем восстановительного аминирования. Восстановительное аминирование может быть осуществлено посредством обработки соединения формулы (III) соединением формулы (XX) в инертном растворителе в присутствии восстанавливающего агента. Реакционная смесь может быть нагрета до 50-150°С, или реакция может быть проведена при температуре окружающей среды. Подходящие растворители включают дихлорметан, дихлорэтан, тетрагидрофуран, ацетонитрил, толуол и тому подобное. Восстанавливающий агент в типичном случае представляет собой боргидрид натрия, цианоборгидрид натрия, триацетоксиборгидрид натрия и тому подобное. Реакция возможно может быть проведена в присутствии кислоты, такой как уксусная кислота и тому подобное.

Более конкретно, соединение формулы (XX) может быть получено из соединения формулы (XIX) посредством снятия защиты с последующим окислением спирта до альдегида. Для снятия ОАс-защитных групп среди способов снятия защиты подходящим является обработка водным основанием. Подходящие способы окисления спирта включают обработку MnO2 и родственными окислителями в подходящем растворителе, таком как ацетонитрил, дихлорметан, хлороформ и тому подобное.

Более конкретно, соединение формулы (XIX) может быть получено из соединения формулы (XVIII). Обработка соединения формулы (XVIII) подходящим алкилгалогенидом в растворителе, возможно при нагревании и возможно в присутствии основания, дает соединения формулы (XIX) в виде одного из получаемых изомеров. Подходящие алкилгалогениды включают метилиодид, этилиодид и тому подобное. Подходящие растворители включают диметилформамид, диметилсульфоксид, N-метилпирролидинон, нитрометан, ацетонитрил и тому подобное. Подходящие основания включают карбонат калия, карбонат цезия, гидрид натрия и тому подобное. Реакционная смесь возможно может быть нагрета до температуры от 20 до 200°С, или реакция может быть проведена в микроволновом реакторе.

Более конкретно, соединение формулы (XVIII) может быть получено из соединения формулы (Х-А). Обработка соединения формулы (Х-А) ацетоксиуксусной кислотой (или родственными производными уксусной кислоты, такими как гидроксиуксусная кислота) и подходящим агентом сочетания (HATU (гексафторфосфат O-(азабензотриазол-1-ил)-N,N,N’,N’-тетраметилурония), EDC, HOBt/HBTu и BOPCI) с последующей обработкой полученного амида в кислотных условиях, возможно при нагревании, дает соединение формулы (XVIII). Взаимодействие может быть осуществлено путем обработки подходящей кислотой, возможно в присутствии инертного растворителя. Реакционная смесь может быть нагрета до температуры от 50 до 200°С, или реакция может быть проведена при температуре окружающей среды. Подходящие кислоты включают уксусную кислоту, трифторуксусную кислоту, соляную кислоту и тому подобное. Взаимодействие может быть осуществлено с использованием кислоты в качестве растворителя. Другие подходящие растворители включают ацетонитрил, толуол и тому подобное.
Альтернативой будет использование соединения формулы (XXI) в качестве исходного вещества, и после замыкания кольца получение бензимидазольного изомера, как показано ниже. После обработки соединения формулы (XVII) производным уксусной кислоты и подходящим агентом сочетания (EDC, HOBt/HBTu и BOPCI) следует обработка полученного амида в кислых условиях, возможно при нагревании. Взаимодействие можно быть осуществлено путем обработки подходящей кислотой, возможно в присутствии инертного растворителя. Реакционная смесь может быть нагрета до температуры от 50 до 200°С, или реакция может быть проведена при температуре окружающей среды. Подходящие кислоты включают уксусную кислоту, трифторуксусную кислоту, соляную кислоту и тому подобное. Взаимодействие может быть осуществлено с использованием кислоты в качестве растворителя. Другие подходящие растворители включают тетрагидрофуран, ацетонитрил, толуол и тому подобное.

ПРИМЕРЫ
Пример 1: N-этил-5,6,7,8-тетрагидро-8-хинолинамин

К 6,7-дигидро-8(5Н)-хинолинону (1,0 г; 6,8 ммоль; J. Org. Chem., 2002, 67, 2197-2205), растворенному в дихлорэтане (75 мл), добавляли 2М раствор этиламина в тетрагидрофуране (5,1 мл; 10,2 ммоль) и уксусную кислоту (0,4 мл; 10,2 ммоль). В течение 3 ч в виде 3-х порций добавляли триацетоксиборгидрид натрия (2,1 г; 10,2 ммоль). Смесь перемешивали при комнатной температуре в течение 2 ч, добавляли насыщенный бикарбонат натрия (25 мл) и двухфазную смесь энергично перемешивали в течение 5 мин. Слои разделяли и водную часть экстрагировали метиленхлоридом, содержащим 0,1% метанола (2×50 мл). Органические слои объединяли, сушили над сульфатом натрия, фильтровали и упаривали при пониженном давлении с получением коричневого масла. Очистка хроматографией на силикагеле с метиленхлоридом и 2 н. аммиаком в метаноле позволила получить N-этил-5,6,7,8-тетрагидро-8-хинолинамин в виде прозрачного масла (0,6 г; 50%-ый выход). 1Н-ЯМР (DMSO-d6): 8.34 (d, 1H), 7.47 (d, 1H), 7.16 (dd, 1H), 3.65 (t, 1H), 2.74-2.58 (m, 4H), 2.48-1.97 (m, 1H), 1.91-1.84 (m, 1H), 1.66-1.57 (m, 2Н), 1.06 (t, 3H). MS m/z 177.1 (M+1).
Пример 2: N-метил-5,6,7,8-тетрагидро-8-хинолинамин

N-Метил-5,6,7,8-тетрагидро-8-хинолинамин получали из 6,7-дигидро-8(5H)-хинолинона и метиламина способом, аналогичным описанному выше, в виде прозрачного масла (0,55 г; 50%-ный выход). 1Н-ЯМР (DMSO-d6): 8.33 (d, 1H), 7.47 (d, 1H), 7.16 (dd, 1H), 3.52 (t, 1H), 2.71 (t, 2Н), 2.37 (s, 3H), 2.00-1.95 (m, 1H), 1.91-1.84 (m, 1H), 1.68-160 (m, 2Н). MS m/z 163 (M+1).
Пример 3: 2-{[Метил(5,6,7,8-тетрагидро-8-хинолинил)амино]метил}-1Н-бензимидазол-4-карбоновая кислота

А) Метил-2,3-диаминобензоат
Метил-2-амино-3-нитробензоат (10 г; 51 ммоль) растворяли в этаноле (500 мл) в атмосфере азота. Добавляли палладий на угле (10% мас./мас.; 2,7 г; 2,6 ммоль) в атмосфере азота. Реакционную смесь помещали в атмосферу водорода (1 атм (0,1 МПа)) и перемешивали в течение 16 ч при комнатной температуре. Реакционную смесь продували азотом, фильтровали через диатомовую землю и концентрировали, получая продукт (8,39 г; 99%) в виде твердого белого вещества. 1Н-ЯМР (DMSO-d6): 7.07 (d, J=8,1 Гц, 1Н), 6.68 (d, J=8,1 Гц, 1Н), 6.37 (t, J=8,1 Гц, 1Н), 6.18 (br s, 2H), 4.75 (br s, 2H), 3.74 (s, 3H).
Б) Метил-2-[({[(фенилметил)окси]карбонил}амино)метил]-1Н-бензимидазол-4-карбоксилат
К раствору метил-2,3-диаминобензоата (8,39 г; 50,5 ммоль) в ацетонитриле (100 мл) добавляли бис(2-оксо-3-оксазолидинил)фосфинхлорид (14,3 г; 56,1 ммоль), карбобензилоксиглицин (16,0 г; 76,5 ммоль) и N,N-диизопропилэтиламин (13,2 г; 17,7 мл, 102 ммоль). Раствор перемешивали в течение 16 ч при комнатной температуре. Реакционную смесь концентрировали, разбавляли этилацетатом (200 мл) и водой (200 мл), разделяли, сушили над сульфатом натрия, фильтровали и концентрировали. Неочищенный амид растворяли в уксусной кислоте (100 мл) и нагревали при 70°С в течение 150 мин. Реакционную смесь охлаждали, концентрировали, разбавляли этилацетатом (200 мл) и насыщенным водным бикарбонатом натрия (200 мл), разделяли, сушили над сульфатом натрия, фильтровали и концентрировали до красного масла. Неочищенное вещество очищали на диоксиде кремния (5%-ный метанол/дихлорметан), получая продукт (15,1 г; 87%) в виде жетловато-коричневого твердого вещества. 1Н-ЯМР (DMSO-d6): 12.19 (s, 1H), 7.86-7.82 (m, 2H), 7.77 (d, 1H), 7.35-7.23 (m, 6H), 5.04 (s, 2H), 4.49 (d, J=6.1 Гц, 2H), 3.92 (s, 3H).
В) Метил-2-{[метил(5,6,7,8-тетрагидро-8-хинолинил)амино]метил}-1H-бензимидазол-4-карбоксилат
Метил-2-[({[(фенилметил)окси]карбонил}амино)метил]-1Н-бензимидазол-4-карбоксилат (7,0 г; 21 ммоль) растворяли в этаноле (200 мл) в атмосфере азота. Добавляли палладий на угле (10% мас./мас., 2,2 г; 2,1 ммоль). Реакционную смесь помещали в атмосферу водорода (1 атм (0,1 МПа)) и перемешивали в течение 16 ч при комнатной температуре. Реакционную смесь продували азотом, фильтровали через диатомовую землю и концентрировали, получая амин в виде белого твердого вещества. Этот амин, 6,7-дигидро-8(5H)-хинолинон (3,0 г; 21 ммоль) и уксусную кислоту (1,9 г; 31 ммоль) растворяли в 1,2-дихлорэтане (200 мл), порциями в течение 30 мин добавляли триацетоксиборгидрид натрия (6,6 г; 31 ммоль) и реакционную смесь перемешивали в течение 2 ч при комнатной температуре. Реакционную смесь разбавляли насыщенным водным бикарбонатом натрия (100 мл), фазы разделяли, органическую фазу сушили над сульфатом натрия, фильтровали и концентрировали. Неочищенный вторичный амин, формальдегид (37%-ный водный раствор; 3,1 мл; 41 ммоль) и уксусную кислоту (1,9 г; 31 ммоль) растворяли в 1,2-дихлорэтане (200 мл), порциями в течение 30 мин добавляли триацетоксиборгидрид натрия (6,6 г; 31 ммоль) и реакционную смесь перемешивали в течение 1 ч при комнатной температуре. Реакционную смесь разбавляли насыщенным водным бикарбонатом натрия (100 мл), разделяли, сушили над сульфатом натрия, фильтровали и концентрировали. Неочищенный третичный амин очищали на диоксиде кремния (2%-ный метанол/дихлорметан), получая продукт (4,9 г; 68%) в виде желтой пены. 1Н-ЯМР (DMSO-d6): 12.85 (s, 1H), 8.61 (d, 1H), 7.85-7.78 (m, 2H), 7.56-7.54 (m, 1H), 7.27-7.23 (m, 2H), 3.98 (s, 3H), 3.98-3.94 (m, 1H), 3.87-3.86 (m, 2H), 2.88-2.66 (m, 2H), 2.33 (s, 3H), 2.08-1.95 (m, 2H), 1.91-1.85 (m, 1H), 1.73-1.64 (m, 1H).
Г) 2-{[Метил(5,6,7,8-тетрагидро-8-хинолинил)амино]метил}-1Н-бензимидазол-4-карбоновая кислота
Метил-2-{[метил(5,6,7,8-тетрагидро-8-хинолинил)амино]метил}-1H-бензимидазол-4-карбоксилат (1,5 г; 4,3 ммоль) растворяли в метаноле (5 мл) и тетрагидрофуране (5 мл) и добавляли водный гидроксид лития (206 мг в 10 мл воды; 8,6 ммоль). Реакционную смесь перемешивали в течение 72 ч при 70°С. Реакционную смесь концентрировали и очищали с использованием обращенно-фазовой хроматографии (градиент 10%-40% ацетонитрил/вода/0,1%-ная трифторуксусная кислота), получая продукт (1,2 г; 84%) в виде желтовато-коричневого твердого вещества. 1Н-ЯМР (DMSO-d6): 11.99 (s, 1H), 8.59-8.58 (m, 1H), 7.55-7.41 (m, 3H), 7.17-7.14 (m, 1H), 7.01-6.97 (m, 1H), 4.10 (br s, 1H), 3.97-3.82 (m, 3H), 2.86-2.64 (m, 2H), 2.27 (s, 3H), 2.11-2.01 (m, 1H), 1.98-1.80 (m, 2H), 1.70-1.60 (m, 1H).
Пример 4: Метил-1-метил-2-[({[(фенилметил)окси]карбонил}амино)-метил]-1H-бензимидазол-7-карбоксилат; и
метил-1-метил-2-[({[(фенилметил)окси]карбонил}амино)метил]-1Н-бензимидазол-4-карбоксилат

Суспензию метил-2-[({[(фенилметил)окси]карбонил}амино)метил]-1H-бензимидазол-4-карбоксилата (170 мг; 0,50 ммоль), карбоната цезия (244 мг; 0,75 ммоль) и подметана (170 мг; 1.2 ммоль) в N,N-диметилформамиде (10 мл) перемешивали при комнатной температуре в течение 16 ч. Реакционную смесь фильтровали через диатомовую землю, концентрировали и очищали на диоксиде кремния (градиент 30%-100% этилацетат/гексаны), получая продукты в виде твердых веществ белого цвета.
Метил-1-метил-2-[({[(фенилметил)окси]карбонил}амино)метил]-1Н-бензимидазол-7-карбоксилат (44 мг; 25%). 1Н-ЯМР (CDCl3): 7.96 (d, 1H), 7.54 (d, 1H), 7.36-7.32 (m, 6H), 5.14 (s, 2H), 4.76 (d, 2H), 4.01 (s, 3H), 3.84 (s, 3H).
Метил-1-метил-2-[({[(фенилметил)окси]карбонил}амино)метил]-1Н-бензимидазол-4-карбоксилат (94 мг; 53%). 1Н-ЯМР (CDCl3): 7.87 (d, 1H), 7.78 (d, 1H), 7.37-7.24 (m, 6H), 5.16 (s, 2H), 4.68 (s, 2H), 3.97 (s, 3H), 3.92 (s, 3H).
Пример 5: Метил-1-метил-2-{[метил(5,6,7,8-тетрагидро-8-хинолинил)-амино]метил}-1Н-бензимидазол-7-карбоксилат

Метил-1-метил-2-[({[(фенилметил)окси]карбонил}амино)метил]-1H-бензимидазол-7-карбоксилат (500 мг; 1,4 ммоль) растворяли в этаноле (200 мл) в атмосфере азота. Добавляли палладий на угле (10% мас./мас.; 150 мг; 0,14 ммоль). Реакционную смесь помещали в атмосферу водорода (1 атм (0,1 МПа)) и перемешивали в течение 16 ч при комнатной температуре. Реакционную смесь продували азотом, фильтровали через диатомовую землю и концентрировали, получая амин в виде прозрачного масла (220 мг). Этот амин (220 мг; 1,07 ммоль), 6,7-дигидро-8(5Н)-хинолинон (160 мг; 1,1 ммоль), уксусную кислоту (96 мг; 1,6 ммоль) и триацетоксиборгидрид натрия (340 мг; 1,6 ммоль) растворяли в 1,2-дихлорэтане (20 мл) и перемешивали в течение 16 ч при комнатной температуре. Реакционную смесь разбавляли дихлорметаном (100 мл) и насыщенным водным бикарбонатом натрия (100 мл), фазы разделяли, органическую фазу сушили над сульфатом натрия, фильтровали и концентрировали до красного масла. Неочищенный вторичный амин, формальдегид (37%-ный водный раствор; 0,16 мл; 2,1 ммоль), уксусную кислоту (96 мг; 1,6 ммоль) и триацетоксиборгидрид натрия (340 мг; 1,6 ммоль) растворяли в 1,2-дихлорэтане (20 мл) и перемешивали в течение 2 ч при комнатной температуре. Реакционную смесь разбавляли дихлорметаном (100 мл) и насыщенным водным бикарбонатом натрия (100 мл), фазы разделяли, органическую фазу сушили над сульфатом натрия, фильтровали и концентрировали. Неочищенный третичный амин очищали на диоксиде кремния (2% 2 M аммиака в смеси метанол/дихлорметан), получая продукт в виде красного масла (220 мг; 43%). 1Н-ЯМР (CDCl3) 8.48 (d, 1Н), 7.85 (d, 1H), 7.70 (d, 1H), 7.34 (d, 1H), 7.20 (t, 1H), 7.06-7.03 (m, 1H), 4.12 (d, J=13.5 Гц, 1H), 3.99-3.96 (m, 8H), 2.88-2.80 (m, 1H), 2.74-2.67 (m, 1H), 2.34 (s, 3H), 2.11-2.01 (m, 2H), 2.00-1.80 (m, 1H), 1.75-1.67 (m, 1H).
Пример 6: Метил-1-метил-2-{[метил(5,6,7,8-тетрагидро-8-хинолинил)-амино]метил}-1H-бензимидазол-4-карбоксилат

Метил-1-метил-2-[({[(фенилметил)окси]карбонил}амино)метил]-1Н-бензимидазол-4-карбоксилат (1,0 г; 2,8 ммоль) растворяли в этаноле (200 мл) в атмосфере азота. Добавляли палладий на угле (10% мас./мас.; 300 мг; 0,28 ммоль) и раствор продували азотом. Реакционную смесь помещали в атмосферу водорода (1 атм (0,1 МПа)) и перемешивали в течение 16 ч при комнатной температуре. Реакционную смесь продували азотом, фильтровали через диатомовую землю и концентрировали, получая амин в виде прозрачного масла (490 мг). Амин (490 мг; 2,4 ммоль), 6,7-дигидро-8(5H)-хинолинон (350 мг; 2,4 ммоль), уксусную кислоту (220 мг; 3,6 ммоль) и триацетоксиборгидрид натрия (760 мг; 3,6 ммоль) растворяли в 1,2-дихлорэтане (20 мл) и перемешивали в течение 16 ч при комнатной температуре. Реакционную смесь разбавляли дихлорметаном (100 мл) и насыщенным водным бикарбонатом натрия (100 мл), фазы разделяли, органическую фазу сушили над сульфатом натрия, фильтровали и концентрировали до масла. Неочищенный вторичный амин, формальдегид (37%-ный водный раствор; 0,36 мл; 4,8 ммоль), уксусную кислоту (220 мг; 3,6 ммоль) и триацетоксиборгидрид натрия (760 мг; 3,6 ммоль) растворяли в 1,2-дихлорэтане (20 мл) и перемешивали в течение 2 ч при комнатной температуре. Реакционную смесь разбавляли дихлорметаном (100 мл) и насыщенным водным бикарбонатом натрия (100 мл), фазы разделяли, органическую фазу сушили над сульфатом натрия, фильтровали и концентрировали. Неочищенный третичный амин очищали на диоксиде кремния (2%-ный 2 М аммиак в смеси метанол/дихлорметан), получая продукт (480 мг; 47%) в виде красного масла. 1Н-ЯМР (CDCl3) 8.46 (d, 1H), 7.88 (d, 1H), 7.48 (d, 1H), 7.33 (d, 1H), 7.26 (t, 1H), 7.04-7.01 (m, 1H), 4.18 (d, 1H), 4.05-3.95 (m, 8H), 2.88-2.80 (m, 1H), 2.72-2.66 (m, 1H), 2.35 (s, 3H), 2.13-2.01 (m, 3H), 1.77-1.66 (m, 1H).
Пример 7: N-[2-(1Н-имидазол-4-ил)этил]-1-метил-2-{[метил(5,6,7,8-тетрагидро-8-хинолинил)амино]метил}-1Н-бензимидазол-7-карбоксамид

Метил-1-метил-2-{[метил(5,6,7,8-тетрагидро-8-хинолинил)амино]метил}-1H-6ензимидазол-7-карбоксилат (220 мг; 0,6 ммоль) растворяли в метаноле (5 мл), тетрагидрофуране (5 мл) и водном гидроксиде лития (1 н.; 2 мл; 2 ммоль) и реакционную смесь перемешивали в течение 16 ч при 70°С. Добавляли дополнительную порцию водного гидроксида лития (1 н.: 2 мл; 2 ммоль), и реакционную смесь перемешивали в течение 72 ч при 70°С. Реакционную смесь охлаждали до комнатной температуры и концентрировали, и продолжали работать с неочищенной кислотой. Неочищенную кислоту (105 мг; 0.3 ммоль), бис(2-оксо-3-оксазолидинил)фосфинхлорид (109 мг; 0,43 ммоль), гистамин (48 мг; 0,43 ммоль) и N,N-диизопропилэтиламин (56 мг; 0,43 ммоль) растворяли в ацетонитриле (5 мл) и N,N-диметилформамиде (2 мл) и реакционную смесь перемешивали в течение 16 ч при комнатной температуре. Реакционную смесь концентрировали и очищали с использованием обращенно-фазовой ВЭЖХ (градиент 0%-70% ацетонитрил/вода/0,1%-ная трифторуксусная кислота), получая продукт (42,3 мг; 18%) в виде желтовато-коричневого твердого вещества. 1Н-ЯМР (DMSO-d6) 9.01 (s, 1H), 8.82-8.79 (m, 1H), 8.51 (d, 1H), 7.78-7.71 (m, 2H), 7.51 (s, 1H), 7.40-7.37 (m, 1H), 7.29-723 (m, 2H), 4.96-4.91 (m, 1H), 4.76 (d, 1H), 4.55 (d, 1H), 3.65 (s, 3H), 3.62-3.57 (m, 2H), 2.96-2.90 (m, 3H), 2.86-2.81 (m, 5H), 2.14-2.04 (m, 2H). 1.85-1.71 (m, 1H). MS m/z 444 (M+1).
Пример 8: N-метил-N-{[1-метил-7-(1-пиперазинилкарбонил)-1Н-бензимидазол-2-ил]метил}-5,6,7,8-тетрагидро-8-хинолинамин

1-Метил-2-{[метил(5,6,7,8-тетрагидро-8-хинолинил)амино]метил}-1Н-бензимидазол-7-карбоновую кислоту (105 мг; 0,3 ммоль), бис(2-оксо-3-оксазолидинил)фосфинхлорид (109 мг; 0,43 ммоль), N-бутоксикарбонилпиперазин (80 мг; 0,43 ммоль) и N,N-диизопропилэтиламин (56 мг; 0,43 ммоль) растворяли в ацетонитриле (5 мл) и N,N-диметилформамиде (2 мл) и реакционную смесь перемешивали в течение 16 ч при комнатной температуре. Реакционную смесь концентрировали и очищали с использованием обращенно-фазовой ВЭЖХ (градиент 0%-70% ацетонитрил/вода/0,1%-ная трифторуксусная кислота), получая защищенный амин. Амин растворяли в дихлорметане (2 мл) и трифторуксусной кислоте (2 мл) и перемешивали в течение 3 ч. Реакционную смесь концентрировали и сушили, получая продукт (30,0 мг; 13%) в виде липкого желтого твердого вещества. 1Н-ЯМР (DMSO-d6) 9.01 (br s, 1H), 8.51 (d, 1H), 7.78-7.69 (m, 2H), 7.40-7.27 (m, 3H), 5.01-4.90 (m, 1H), 4.81-4.71 (m, 1H), 4.59-4.52 (m, 1H), 4.00-3.84 (m, 2H), 3.62 (s, 3H), 3.54-3.40 (m, 2H), 3.29-2.97 (m, 4H), 2.88-2.82 (m, 5H), 2.53-2.49 (m, 1H), 2.16-2.06 (m, 2H), 1.82-1.69 (m, 1H). MS m/z 419 (M+1).
Пример 9: N-[2-(1H-Ммидазол-4-ил)этил]-1-метил-2-{{метил(5,6,7,8-тетрагидро-8-хинолинил)амино]метил}-1Н-бензимидазол-4-карбоксамид

Метил-1-метил-2-{[метил(5,6,7,8-тетрагидро-8-хинолинил)амино]метил}-1Н-бензимидазол-4-карбоксилат (480 мг: 1,3 ммоль) растворяли в метаноле (5 мл), тетрагидрофуране (5 мл) и водном гидроксиде лития (1 н.; 2 мл; 2 ммоль) и реакционную смесь перемешивали в течение 16 ч при 70°С. Реакционную смесь охлаждали до комнатной температуры и концентрировали, и полученную кислоту, 1-метил-2-{[метил(5,6,7,8-тетрагидро-8-хинолинил)амино]метил}-1Н-бензимидазол-4-карбоновую кислоту использовали на следующей стадии без очистки. Эту неочищенную кислоту (100 мг; 0,29 ммоль), бис(2-оксо-3-оксазолидинил)фосфинхлорид (109 мг; 0,43 ммоль), гистамин (48 мг; 0,43 ммоль) и N,N-диизопропилэтиламин (56 мг; 0,43 ммоль) растворяли в N,N-диметилформамиде (5 мл) и реакционную смесь перемешивали в течение 16 ч при комнатной температуре. Реакционную смесь концентрировали и очищали с использованием обращенно-фазовой ВЭЖХ (градиент 0%-70% ацетонитрил/вода/0,1%-ная трифторуксусная кислота), получая продукт (40,7 мг; 18%) в виде желтовато-коричневого твердого вещества. 1Н-ЯМР (DMSO-d6) 9.52-9.50 (m, 1H), 8.95 (s, 1H), 8.49 (d, 1H), 7.87-7.80 (m, 2H), 7.81 (d, 1H), 7.43-7.33 (m, 3H), 5.00-4.97 (m, 1H), 4.82 (d, 1H), 4.60 (d, 1H), 3.83 (s, 3H), 3.78-3.58 (m, 2H), 2.86-2.81 (m, 7H), 2.43-2.35 (m, 1H), 2.14-2.05 (m, 2H), 1.83-1.71 (m, 1H). MS m/z 444 (M+1).
Пример 10: N-метил-N-{[1-метил-4-(1-пиперазинилкарбонил)-1H-бензимидазол-2-ил]метил}-5,6,7,8-тетрагидро-8-хинолинамин

1-Метил-2-{[метил(5,6,7,8-тетрагидро-8-хинолинил)амино]метил}-1H-бензимидазол-4-карбоновую кислоту (100 мг; 0,29 ммоль), бис(2-оксо-3-оксазолидинил)фосфинхлорид (109 мг; 0,43 ммоль), N-бутоксикарбонилпиперазин (80 мг; 0,43 ммоль) и N,N-диизопропилэтиламин (56 мг; 0,43 ммоль) растворяли в N,N-диметилформамиде (5 мл) и реакционную смесь перемешивали в течение 16 ч при комнатной температуре. Реакционную смесь концентрировали и очищали с использованием обращенно-фазовой ВЭЖХ (градиент 0%-70% ацетонитрил/вода/0,1%-ная трифторуксусная кислота), получая защищенный амин. Этот амин растворяли в дихлорметане (2 мл) и трифторуксусной кислоте (2 мл) и перемешивали в течение 3 ч. Реакционную смесь концентрировали и очищали с использованием обращенно-фазовой ВЭЖХ (градиент 0%-70% ацетонитрил/вода/0,1%-ная трифторуксусная кислота), получая продукт (25,3 мг; 11%) в виде не совсем белого твердого вещества. 1Н-ЯМР (DMSO-d6) 8.59 (d, 1H), 8.03 (d, 1H), 7.73 (d, 1H), 7.61-7.58 (m, 1H), 7.47 (t, 1H), 7.41 (d, 1H), 4.69-4.64 (m, 1H), 4.56-4.39 (m, 2H), 3.98-3.91 (m, 4H), 3.77-3.69 (m, 1H), 3.64-3.56 (m, 2H), 3.51-3.36 (m, 2H), 3.28-3.20 (m, 2H), 3.02-2.96 (m, 2H), 2.70 (s, 3H), 2.49-2.42 (m, 1H), 2.28-2.16 (m, 2H), 1.99-1.89 (m, 1H). MS m/z 419 (M+1).
Пример 11: N-(4-Аминобутил)-2-{[метил(5,6,7,8-тетрагидро-8-хинолинил)-амино]метил}-1H-бензимидазол-4-карбоксамид

А) 2-(Хлорметил)-1H-бензимидазол-4-карбоновой кислоты гидрохлорид
2,3-Диаминобензойную кислоту (950 мг; 6,2 ммоль) и хлоруксусную кислоту (650 мг 6,9 ммоль) растворяли в соляной кислоте (5 н., 25 мл) и раствор нагревали с обратным холодильником в течение 24 ч. Реакционную смесь концентрировали до маслянистого коричневого твердого вещества и растирали с дихлорметаном, эфиром и ацетоном. Полученное твердое вещество фильтровали, растворяли в метаноле и концентрировали, получая красное твердое вещество (900 мг; 69%). 1Н-ЯМР (DMSO-d6) 13.30 (br s), 12.65 (s, 1H), 7.88 (d, 1H), 7.82 (d, 1H), 7.30 (t, 1H), 4.94 (s, 2H).
Б) N-(4-Аминобутил)-2-{[метил(5,6,7,8-тетрагидро-8-хинолинил)амино]-метил}-1H-бензимидазол-4-карбоксамид
2-(Хлорметил)-1H-бензимидазол-4-карбоновой кислоты гидрохлорид (150 мг; 0,76 ммоль), N-метил-5,6,7,8-тетрагидро-8-хинолинамина гидрохлорид (293 мг; 0,76 ммоль), N,N-диизопропилэтиламин (300 мг; 2,3 ммоль) и иодид калия (190 мг; 1,1 ммоль) растворяли в ацетонитриле (10 мл) и раствор нагревали при 60°С в течение 16 ч. Реакционную смесь концентрировали до твердого коричневого вещества и продолжали работать с неочищенной кислотой. Неочищенную кислоту (85 мг; 0,25 ммоль), бис(2-оксо-3-оксазолидинил)-фосфинхлорид (130 мг; 0,50 ммоль), трет-бутиловый эфир N-(4-аминобутил)карбаминовой кислоты (70 мг; 0,37 ммоль) и N,N-диизопропилэтиламин (65 мг; 0,50 ммоль) растворяли в ацетонитриле (5 мл) и реакционную смесь перемешивали в течение 72 ч при 60°С. Добавляли дополнительно эквивалент бис(2-оксо-3-оксазолидинил)фосфинхлорида (100 мг; 0,40 ммоль) и трет-бутиловый эфир N-(3-аминопропил)карбаминовой кислоты (50 мг; 0,30 ммоль) и реакционную смесь перемешивали в течение 16 ч при 65°С. Неочищенную реакционную смесь пропускали через MP-TSOH, смолу промывали несколько раз дихлорметаном и свободный амин высвобождали со смолы с помощью 2 М аммиака в метаноле. Метанольный раствор концентрировали и очищали с использованием обращенно-фазовой ВЭЖХ (градиент 0%-70% ацетонитрил/вода/0,1%-ная трифторуксусная кислота), концентрировали, разбавляли этилацетатом и насыщенным водным бикарбонатом натрия, фазы разделяли, органическую фазу сушили над сульфатом натрия, фильтровали и концентрировали, получая продукт (7,1 мг; 7%) в виде белого твердого вещества. 1Н-ЯМР (DMSO-d6) 8.52-8.49 (m, 1H), 7.77 (d, 1H), 7.68 (d, 1H), 7.50 (d, 1H), 7.26-7.18 (m, 2H), 4.14-4.09 (m, 1H), 4.00-3.93 (m, 2H), 3.42-3.38 (m, 2H), 2.84-2.76 (m, 1H), 2.72-2.59 (m, 2H), 2.31 (s, 3H), 2.11-2.00 (m, 3Н), 1.71-1.45 (m, 4Н), 1.24-1.15 (m, 2H). MS m/z 407 (M+1).
Пример 12: 2-{[Этил(5,6,7,8-тетрагидро-8-хинолинил)амино]метил}-N-[2-(1H-имидазол-4-ил)этил]-1Н-бензимидазол-5-карбоксамид

А) 1-(1,1-Диметилэтил)-5-метил-2-{[этил(5,6,7,8-тетрагидро-8-хинолинил)-амино]метил}-1Н-бензимидазол-1,5-дикарбоксилат
К раствору N-этил-5,6,7,8-тетрагидро-8-хинолинамина (0,725 г; 4,0 ммоль) в ацетонитриле (50 мл) добавляли N,N-диизопропилэтиламин (1,5 мл; 8,0 ммоль), 1-(1,1-диметилэтил)-6-метил-2-(хлорметил)-1Н-бензимидазол-1,5-дикарбоксилат (WO 02/092575 A1, включенная посредством ссылки в отношении синтеза) (1,62 г; 4,5 ммоль) и иодид калия (0,35 г; 2,0 ммоль). Реакционную смесь помещали на масляную баню при 65°С и перемешивали в атмосфере азота в течение 15 ч. Растворитель выпаривали при пониженном давлении, растворяли в этилацетате (50 мл) и промывали насыщенным водным бикарбонатом натрия (25 мл). Слои разделяли, водный слой экстрагировали этилацетатом (3×25 мл), органические слои объединяли, сушили над сульфатом натрия, фильтровали и упаривали при пониженном давлении, получая коричневое масло. В результате очистки хроматографией на силикагеле с метиленхлоридом и 2 н. аммиаком в метаноле получали 1-(1,1-диметилэтил)-5-метил-2-{[этил(5,6,7,8-тетрагидро-8-хинолинил)амино]метил}-1H-бензимидазол-1,5-дикарбоксилат (0,6 г; 31%-ный выход). 1Н-ЯМР (DMSO-d6): 12.65 (brs, 1Н), 11.78 (brs, 1Н), 8.50-8.43 (m, 2H), 8.00 (s, 2H), 7.65-7.61 (m, 1H), 7.50-7.47 (m, 2H), 7.19-7.16 (m, 2H), 6.79 (s, 1Н), 4.07-4.01 (m, 2H), 3.95-3.91 (d, 1Н), 3.44-3.41 (m, 2H), 2.78-2.63 (m, 4H), 2.12-2.06 (m, 1Н), 1.93-1.79 (m, 2H), 1.67-1.59 (m, 1H), 0.90 (t, 3H); MS m/z 465,2 (M+1).
Б) 2-{[Этил(5,6,7,8-тетрагидро-8-хинолинил)амино]метил}-N-[2-(1Н-имидазол-4-ил)этил]-1Н-бензимидазол-5-карбоксамид
1-(1,1-Диметилэтил)-5-метил-2-{[этил(5,6,7,8-тетрагидро-8-хинолинил)-амино]метил}-1Н-6ензимидазол-1,5-дикарбоксилат (2,5 г; 5,4 ммоль) растворяли в 30 мл смеси 1:1:1 тетрагидрофурана, метанола и воды. Добавляли свежеизмельченный с помощью ступки и пестика гидроксид лития (0,39 г; 16,1 ммоль), присоединяли обратный холодильник и систему помещали на масляную баню при 70°С. Реакционную смесь перемешивали в течение 16 ч, затем охлаждали до комнатной температуры. По каплям добавляли холодную соляную кислоту (3,2 мл) и растворитель выпаривали при пониженном давлении. Полученное масло азеотропно отгоняли с толуолом (1×15 мл) и затем с эфиром (3×50 мл) и помещали в условия глубокого вакуума на 16 часов с получением желтого твердого вещества. Неочищенную кислоту растворяли в безводном N,N-диметилформамиде (50 мл), добавляли связанный со смолой тетрафторфенол, 1,44 ммоль/г (Argonaut Technologies, 1,44 ммоль/г) (5,6 г; 8,0 ммоль), DMAP (диметиламинопиридин) (0,5 г; 4,0 ммоль) и гексафторфосфат O-(7-азабензотриазол-1-ил)-N,N,N’,N’-триметилурония (HATU) (3,0 г; 8,0 ммоль) и реакционную смесь аккуратно перемешивали в течение 15 ч. Загруженную смолу промывали диметилформамидом (DMF) (3×25 мл), метиленхлоридом (3×25 мл) и сушили под глубоким вакуумом с получением 6,5 г оранжевых гранул. К части загруженной смолы (0,625 г; 0,9 ммоль) в DMF (5 мл) добавляли гистамин (0,1 г; 0,9 ммоль) и смесь перемешивали в течение 14 ч в атмосфере азота. Смолу отфильтровывали, промывали N,N-диметилформамидом (3×10 мл) и объединенный фильтрат упаривали при пониженном давлении до получения остатка. Дальнейшая очистка обращенно-фазовой ВЭЖХ (градиент 0%-70% ацетонитрил/вода/0,1%-ная трифторуксусная кислота), нейтрализация нужных фракций и экстракция из водного слоя (насыщенного NaCl) 1%-ным метанолом в этилацетате (3×25 мл) позволили получить 2-{[этил(5,6,7,8-тетрагидро-8-хинолинил)амино]метил}-N-[2-(1H-имидазол-4-ил)этил]-1Н-бензимидазол-5-карбоксамид в виде не совсем белого твердого вещества (0,03 г; 7%-ный выход). 1Н-ЯМР (CDCl3): 12.6 (br, s), 11.8 (br, s), 8.47 (d, 2H), 8.00 (s, 1H), 7.44 (m, 2H), 7.17 (t, 1H), 6.80 (s, 1H), 4.02 (t, 1H), 3.91 (Abq, 2H), 3.46 (q, 2H), 2.81-2.63 (m, 6H), 2.11-2.08 (m, 1H), 1.92-1.78 (m, 2H), 1.69-1.66 (m, 1H), 0.90 (t, 3H); MS m/z 444,4 (M+1).
Пример 13: N-(3-Аминопропил)-2-{[этил(5,6,7,8-тетрагидро-8-хинолинил)-амино]метил}-1Н-бензимидазол-5-карбоксамид

N-(3-Аминопропил)-2-{[этил(5,6,7,8-тетрагидро-8-хинолинил)амино]-метил}-1Н-бензимидазол-5-карбоксамид получали из 1-(1,1-диметилэтил)-5-метил-2-{[этил(5,6,7,8-тетрагидро-8-хинолинил)амино]метил}-1Н-бензимидазол-1,5-дикарбоксилата и диаминопропана способом, аналогичным описанному выше, с получением белого твердого вещества (0,05 г; 14%-ный выход). 1Н-ЯМР (DMSO-d6): 8.56 (d, 1H), 8.52 (br s, 1H), 8.08 (s, 1H), 7.69 (d, 1H), 7.56 (t, 1H), 7.56 (dd, 1H), 4.08 (t, 1H), 4.05 (Abq, 2H), 3.36 (q, 2H), 2.87-2.53 (m, 6H), 2.14 (m, 1H), 1.94-1.86 (m, 2H), 1.72-1.66 (m, 3Н), 0.96 (t, 3H). MS m/z 407,2 (M+1).
Пример 14: N-(2-Аминоэтил)-2-{[этил(5,6,7,8-тетрагидро-8-хинолинил)-амино]метил}-1Н-бензимидазол-5-карбоксамид

N-(2-Аминоэтил)-2-{[этил(5,6,7,8-тетрагидро-8-хинолинил)амино]метил}-1H-бензимидазол-5-карбоксамид получали из 1-(1,1-диметилэтил)-5-метил-2-{[этил(5,6,7,8-тетрагидро-8-хинолинил)амино]метил}-1H-бензимидазол-1,5-дикарбоксилата и этилендиамина способом, аналогичным описанному выше, в виде желтого твердого вещества (0,03 г; 8%-ный выход). 1Н-ЯМР (DMSO-d6): 8.50 (d, 1H), 8.44 (br s, 1H), 8.06 (s, 1H), 7.66 (d, 1H), 7.51 (d, 1H), 7.47 (d, 1H), 7.17 (dd, 1H), 4.02 (t, 1H), 3.98 (Abq, 2H), 3.36 (q, 2H), 2.80-2.62 (m, 6H), 2.09 (m, 1H), 1.91-1.80 (m, 2H), 1.63-1.60 (m, 1H), 0.89 (t, 3H). MS m/z 393.2 (M+1).
Пример 15: N-(3-Аминопропил)-2{[этил(5,6,7,8-тетрагидро-8-хинолинил)-амино]метил}-1Н-бензимидазол-4-карбоксамид

2-(Хлорметил)-1Н-бензимидазол-4-карбоновой кислоты гидрохлорид (Bioorg. Med. Chem. 2004, 12, 5181; Bioorg. Med. Chem. Lett. 2003, 13, 3177; все из которых включены в данное описание изобретения посредством ссылки в отношении такого синтеза; 290 мг; 1,2 ммоль), N-этил-5,6,7,8-тетрагидро-8-хинолинамин (210 мг; 1,2 ммоль), N,N-диизопропилэтиламин (470 мг; 3,6 ммоль) и иодид калия (300 мг; 1,8 ммоль) растворяли в ацетонитриле (10 мл) и раствор нагревали при 60°С в течение 16 ч. Реакционную смесь концентрировали, получая 2-{[этил(5,6,7,8-тетрагидро-8-хинолинил)амино]метил}-1Н-бензимидазол-4-карбоновую кислоту в виде коричневого твердого вещества, и продолжали работать с этой неочищенной кислотой. Эту неочищенную кислоту (140 мг; 0,40 ммоль), бис(2-оксо-3-оксазолидинил)фосфинхлорид (200 мг; 0,80 ммоль), трет-бутиловый сложный эфир N-(3-аминопропил)карбаминовой кислоты (105 мг; 0,60 ммоль) и N,N-диизопропилэтиламин (103 мг; 0,80 ммоль) растворяли в ацетонитриле (5 мл) и реакционную смесь перемешивали в течение 72 ч при 60°С. Добавляли дополнительный эквивалент бис(2-оксо-3-оксазолидинил)фосфинхлорида (100 мг; 0,40 ммоль) и трет-бутилового эфира N-(3-аминопропил)карбаминовой кислоты (50 мг; 0,30 ммоль) и реакционную смесь перемешивали в течение 16 ч при 65°С. Неочищенную реакционную смесь обрабатывали трифторуксусной кислотой для снятия защиты, затем пропускали через MP-TSOH, смолу несколько раз промывали дихлорметаном и свободный амин высвобождали со смолы с помощью 2 М аммиака в метаноле. Метанольный раствор концентрировали и очищали с использованием обращенно-фазовой ВЭЖХ (градиент 0%-70% ацетонитрил/вода/0,1%-ная трифторуксусная кислота), концентрировали, разбавляли этилацетатом и насыщенным водным бикарбонатом натрия, фазы разделяли, органическую фазу сушили над сульфатом натрия, фильтровали и концентрировали, получая продукт (16,2 мг; 10%) в виде желтого твердого вещества. 1Н-ЯМР (DMSO-d6) 8.56 (br s, 1H), 7.77-7.72 (m, 2H), 7.47 (d, 1H), 7.26-7.19 (m, 2H), 4.10-3.93 (m, 3H), 3.50-3.41 (m, 2H), 2.82-2.65 (m, 6H), 2.16-2.13 (m, 1H), 1.97-1.63 (m, 5H), 0.93 (t, 3H). MS m/z 407 (M+1).
Пример 16: N-(4-Аминобутил)-2-{[этил(5,6,7,8-тетрагидро-8-хинолинил)-амино]метил}-1Н-бензимидазол-4-карбоксамид

2-{[Этил(5,6,7,8-тетрагидро-8-хинолинил)амино]метил}-1Н-бензимидазол-4-карбоновую кислоту (140 мг; 0,40 ммоль), бис(2-оксо-3-оксазолидинил)-фосфинхлорид (200 мг; 0,80 ммоль), трет-бутиловый сложный эфир N-(4-аминобутил)карбаминовой кислоты (113 мг; 0,60 ммоль) и N,N-диизопропилэтиламин (103 мг; 0,80 ммоль) растворяли в ацетонитриле (5 мл) и реакционную смесь перемешивали в течение 72 ч при 60°С. Добавляли дополнительно эквивалент бис(2-оксо-3-оксазолидинил)фосфинхлорида (100 мг; 0,40 ммоль) и трет-бутилового эфира N-(4-аминобутил)карбаминовой кислоты (55 мг; 0,30 ммоль) и реакционную смесь перемешивали в течение 16 ч при 65°С. После снятия защиты, как описано выше, неочищенную реакционную смесь пропускали через MP-TSOH, смолу несколько раз промывали дихлорметаном, и свободный амин высвобождали со смолы с помощью 2 М аммиака в метаноле. Метанольный раствор концентрировали и очищали с использованием обращенно-фазовой ВЭЖХ (градиент 0%-70% ацетонитрил/вода/0,1%-ная трифторуксусная кислота), концентрировали, разбавляли этилацетатом и насыщенным водным бикарбонатом натрия, разделяли, сушили над сульфатом натрия, фильтровали и концентрировали, получая продукт (9,7 мг; 6%) в виде твердого вещества желтого цвета. 1Н-ЯМР (DMSO-d6) 8.56 (br s, 1H), 7.75-7.50 (m, 2H), 7.49 (d, 1H), 7.25-7.19 (m, 2H), 4.13-3.99 (m, 3H), 3.42-3.40 (m, 2H), 2.78-2.65 (m), 2.12-2.09 (m, 1H), 1.96-1.85 (m, 2H), 1.68-1.52 (m, 5H), 0.93 (t, 3H). MS m/z 421 (M+1).
Пример 17: N-{[5-(Аминометил)-1Н-бензимидазол-2-ил]метил}-N-метил-5,6,7,8-тетрагидро-8-хинолинамин

А) 2-(Аминометил)-1Н-бензимидазол-5-карбонитрил
Раствор 3,4-диаминобензнитрила (5,0 г; 38 ммоль), бис(2-оксо-3-оксазолидинил)фосфинхлорида (14,3 г; 56 ммоль), карбобензилоксиглицина (7,9 г; 38 ммоль) и N,N-диизопропилэтиламина (7,3 г; 9,8 мл; 56 ммоль) в ацетонитриле (100 л) перемешивали в течение 16 ч при комнатной температуре. Добавляли дополнительно бис(2-оксо-3-оксазолидинил)фосфинхлорид (4,8 г; 19 ммоль) и карбобензилоксиглицин (4,0 г; 19 ммоль) и реакционную смесь перемешивали в течение 3 ч. Реакционную смесь разбавляли этилацетатом (200 мл) и водой (200 мл), фазы разделяли, органическую фазу сушили над сульфатом натрия и концентрировали до масла. Неочищенный амид растворяли в уксусной кислоте (200 мл) и перемешивали в течение 4 ч при комнатной температуре. Реакционную смесь концентрировали, разбавляли дихлорметаном (200 мл) и водным насыщенным бикарбонатом натрия (200 мл), фазы разделяли, органическую фазу сушили над сульфатом натрия и концентрировали до красного масла. Неочищенную реакционную смесь очищали на диоксиде кремния (2%-ный метанол/дихлорметан), получая бензимидазол (6,2 г) в виде красного твердого вещества. 1Н-ЯМР (DMSO-d6) 12.85 (d, 1H), 8.08 (s, 1H), 7.98-7.95 (m, 1H), 7.70 (d, 1H), 7.69-7.50 (m, 2H), 7.37-7.29 (m, 4H), 5.06 (s, 2H), 4.46 (d, 2H). Защищенный бензимидазол (6,2 г; 20 ммоль) растворяли в этаноле (300 мл) и раствор продували азотом. Добавляли палладий на угле (10% мас./мас.; 1,1 г; 1 ммоль), и раствор опять продували азотом. Реакционную смесь помещали в атмосферу водорода (1 атм (0,1 МПа)) и перемешивали в течение 16 ч при комнатной температуре. Реакционную смесь фильтровали через диатомовую землю, концентрировали и очищали на диоксиде кремния (2%-ный 2 М аммиак в смеси метанол/дихлорметан) с получением продукта (3,8 г; 59% за 3 стадии) в виде красной пены. 1Н-ЯМР (DMSO-d6) 7.99 (s, 1H), 7.62 (d, 1H), 7.50 (d, 1H), 3.94 (s,2H).
Б) 2-{[Метил(5,6,7,8-тетрагидро-8-хинолинил)амино]метил}-1Н-бензимидазол-5-карбонитрил
2-(Аминометил)-1H-бензимидазол-5-карбонитрил (3,6 г; 20 ммоль), 6,7-дигидро-8(5H)-хинолинон (3,0 мг; 20 ммоль), уксусную кислоту (1,8 г; 30 ммоль) и триацетоксиборгидрид натрия (6,4 г; 30 ммоль) растворяли в 1,2-дихлорэтане (150 мл) и перемешивали в течение 16 ч при комнатной температуре. Реакционную смесь разбавляли водой (200 мл), фазы разделяли, органическую фазу сушили над сульфатом натрия, фильтровали и концентрировали до красного масла. Неочищенный вторичный амин, формальдегид (37%-ный водный раствор; 4,5 мл; 60 ммоль), уксусную кислоту (1,8 г; 30 ммоль) и триацетоксиборгидрид натрия (6,4 г; 30 ммоль) растворяли в 1,2-дихлорэтане (150 мл) и перемешивали в течение 16 ч при комнатной температуре. Реакционную смесь разбавляли дихлорметаном (100 мл) и водой (200 мл), разделяли, сушили над сульфатом натрия, фильтровали и концентрировали. Неочищенный третичный амин очищали на диоксиде кремния (2% 2 М аммиака в смеси метанол/дихлорметан) с получением продукта в виде красного твердого вещества (3,8 г; 60% за две стадии). 1Н-ЯМР (DMSO-d6): 9.59 (s, 1H), 8.49 (d, 1H), 7.97 (s, 1H), 7.66 (d, 1H), 7.51-7.46 (m, 2H), 7.19-7.16 (m, 1H), 4.11 (s, 2H), 4.01-3.97 (m, 2H), 3.05-2.96 (m, 1H), 2.85-2.78 (m, 1H), 2.73-2.66 (m, 1H), 2.33 (s, 3H), 2.10-1.93 (m, 2H), 1.74-1.64 (m, 1H). MS m/z 318 (M+1).
В) N-{[5-(Аминометил)-1Н-бензимидазол-2-ил]метил}-N-метил-5,6,7,8-тетрагидро-8-хинолинамин
2-{[Метил(5,6,7,8-тетрагидро-8-хинолинил)амино]метил}-1H-бензимидазол-5-карбонитрил (880 мг; 2,8 ммоль) растворяли в метанольном растворе аммиака (7 М, 35 мл), добавляли никель Ренея (каталитический) и раствор продували азотом. Реакционную смесь помещали в атмосферу водорода (60 ф/кв. дюйм (413,7 кПа)) и перемешивали в течение 72 ч. Реакционную смесь фильтровали через диатомовую землю и концентрировали с получением продукта (420 мг; 47%) в виде коричневого масла. Небольшую часть очищали с использованием обращенно-фазовой ВЭЖХ (градиент 0%-70% ацетонитрил/вода/0,1%-ная трифторуксусная кислота) с получением продукта в виде коричневого твердого вещества в форме трифторацетатной соли. 1Н-ЯМР (DMSO-d6) 8.61 (d, 1H), 8.26 (br s, 3H), 7.90 (d, 1H), 7.78 (s, 1H), 7.71 (d, 1H), 7.56-7.53 (m, 1H), 7.40 (d, 1H), 4.47-4.72 (m, 1H), 4.60 (d, 1H), 4.44 (d, 1H), 4.18-4.14 (m, 2H), 2.88-2.78 (m, 2H), 2.65 (s, 3H), 2.36-2.27 (m, 1H), 2.09-1.92 (m,2H), 1.83-1.70 (m, 1H).
Пример 18: N-[(2-{[метил(5,6,7,8-тетрагидро-8-хинолинил)амино]метил}-1H-бензимидазол-5-ил)метил]-1,3-пропандиамин

А) трет-Бутил-(3-оксопропил)карбамат
трет-Бутил-(3-гидроксипропил)карбамат (250 мг; 1,4 ммоль) растворяли в дихлорметане (5 мл), охлаждали до 0°С, добавляли периодинан Десса-Мартина (Dess-Martin) (600 мг; 1,4 ммоль) и реакционную смесь нагревали до комнатной температуры и перемешивали в течение ночи. Реакционную смесь гасили 10%-ным водным тиосульфатом натрия (20 мл) и насыщенным водным бикарбонатом натрия (20 мл), перемешивали в течение 10 мин, разделяли, концентрировали с получением продукта (240 мг; 99%) в виде прозрачного масла. 1Н-ЯМР (DMSO-d6) 9.60 (s, 1H), 6.86 (br s, 1H), 3.21-3.16 (m, 2H), 2.51-2.47 (m, 2H), 1.34 (s, 9H).
Б) N-[(2-{[Метил(5,6,7,8-тетрагидоо-8-хинолинил)амино]метил}-1H-бензимидазол-5-ил)метил]-1,3-пропандиамин
N-{[5-(Аминометил)-1H-бензимидазол-2-ил]метил}-N-метил-5,6,7,8-тетрагидро-8-хинолинамин (100 мг; 0,30 ммоль), трет-бутил-N-(3-оксопропил)карбамат (52 мг; 0,30 ммоль) и уксусную кислоту (27 мг; 0,45 ммоль) растворяли в 1,2-дихлорэтане (10 мл). Порциями в течение 30 мин добавляли триацетоксиборгидрид натрия (95 мг; 0,45 ммоль). Реакционную смесь перемешивали в течение 16 ч при комнатной температуре. Реакционную смесь концентрировали и очищали с использованием обращенно-фазовой ВЭЖХ (градиент 0%-70% ацетонитрил/вода/0,1%-ная трифторуксусная кислота), получая защищенный амин. Карбамат растворяли в дихлорметане (5 мл) и трифторуксусной кислоте (2 мл) и перемешивали в течение 3 ч при комнатной температуре. Реакционную смесь концентрировали, растворяли в воде и лиофилизовали, получая трифторацетатную соль (2,5 мг; 1%) в виде кристаллического твердого вещества белого цвета: MS m/z 379 (М+1).
Пример 19: N-метил-N-[(5-{[4-пиперидинилметил)амино]метил}-1Н-бензимидазол-2-ил)метил]-5,6,7,8-тетрагидро-8-хинолинамин

А) трет-Бутил-4-формил-1-пиперидинкарбоксилат
трет-Бутил-4-гидроксиметил-1-пиперидинкарбоксилат (130 мг; 0,60 ммоль) растворяли в дихлорметане (5 мл), охлаждали до 0°С, добавляли периодинан Десса-Мартина (260 мг; 0,60 ммоль), реакционную смесь нагревали до комнатной температуры и перемешивали в течение ночи. Реакционную смесь гасили 10%-ным водным тиосульфатом натрия (20 мл) и насыщенным водным бикарбонатом натрия (20 мл), перемешивали в течение 10 мин, разделяли, концентрировали с получением продукта (125 мг; 98%) в виде прозрачного масла. 1Н-ЯМР (DMSO-d6) 9.56 (s, 1H), 5.74 (s, 1H), 3.79-3.76 (m, 2H), 2.89-2.84 (m, 2H), 1.82-1.77 (m, 2H), 1.37 (s, 9H), 1.37 (s, 9H), 1.34-1.27 (m, 2H).
Б) N-Метил-N-[(5-{[4-пиперидинилметил)амино]метил}-1Н-бензимидазол-2-ил)метил]-5,6,7,8-тетрагидро-8-хинолинамин
N-{[5-(Аминометил)-1Н-бензимидазол-2-ил]метил}-N-метил-5,6,7,8-тетрагидро-8-хинолинамин (100 мг; 0,30 ммоль), трет-бутил-4-формил-1-пиперидинкарбоксилат (64 мг; 0,30 ммоль) и уксусную кислоту (27 мг; 0,45 ммоль) растворяли в 1,2-дихлорэтане (10 мл). Порциями в течение 30 мин добавляли триацетоксиборгидрид натрия (95 мг; 0,45 ммоль). Реакционную смесь перемешивали в течение 16 ч при комнатной температуре. Реакционную смесь концентрировали и очищали с использованием обращенно-фазовой ВЭЖХ (градиент 0%-70% ацетонитрил/вода/0,1%-ная трифторуксусная кислота) с получением защищенного амина. Карбамат растворяли в дихлорметане (5 мл) и трифторуксусной кислоте (2 мл) и перемешивали в течение 3 ч при комнатной температуре. Реакционную смесь концентрировали, растворяли в воде и лиофилизовали, получая продукт (14,5 мг; 6%) в виде светло-коричневого твердого вещества. 1Н-ЯМР (DMSO-d6) 8.92-8.84 (m, 1H), 8.63-8.52 (m, 1H), 7.80-7.75 (m, 2H), 7.68 (d, 1H), 7.47-7.44 (m, 1H), 7.38-7.35 (m, 2H), 4.81-4.76 (m, 1H), 4.60 (d, 1H), 4.45 (d, 1H), 4.26-4.23 (m, 2H), 3.28-3.23 (m, 2H), 2.87-2.81 (m, 6H), 2.72 (s, 3H), 2.42-2.29 (m, 1H), 2.07-1.72 (m, 7H), 1.33-1.24 (m, 1H). MS m/z 419 (M+1).
Пример 20: N-{[4-(аминометил)фенил]метил}-2-{[метил(5,6,7,8-тетрагидро-8-хинолинил)амино]метил}-1H-бензимидазол-5-карбоксамид

2-{[Метил(5,6,7,8-тетрагидро-8-хинолинил)амино]метил}-1N-бензимидазол-5-карбоновую кислоту (190 мг; 0,56 ммоль), бис(2-оксо-3-оксазолидинил)фосфинхлорид (280 мг; 1,1 ммоль), трет-бутил-N-[4-(аминометил)бензил]карбамат (260 мг; 1,1 ммоль) и N,N-диизопропилэтиламин (220 мг; 1,7 ммоль) растворяли в ацетонитриле (3 мл) и N,N-диметилформамиде (2 мл) и реакционную смесь перемешивали при 35°С в течение 16 ч. Реакционную смесь концентрировали и очищали с использованием обращенно-фазовой ВЭЖХ (градиент 0%-70% ацетонитрил/вода/0,1%-ная трифторуксусная кислота), получая защищенный амин. Карбамат растворяли в дихлорметане (2 мл) и трифторуксусной кислоте (2 мл), перемешивали в течение 2 ч, концентрировали и лиофилизовали из воды с получением продукта (35 мг; 8%) в виде желтовато-коричневой трифторацетатной соли. 1Н-ЯМР (CD3OD) 8.31-8.30 (m, 2H), 7.88-7.86 (m, 2H), 7.48-7.37 (m, 6H), 4.60-4.33 (m, 1H), 4.30-4.25 (m, 2H), 4.23 (d, 1H), 4.10-4.09 (m, 2H), 3.95-3.83 (m, 2H), 3.28 (d, 1H), 3.03-3.00 (m, 1H), 2.38 (s, 3Н), 2.35-1.92 (m, 4H). MS m/z 455 (M+1).
Пример 21: N-Метил-N-{[4-(1-пиперазинилкарбонил)-1H-бензимидазол-2-ил]метил}-5,6,7,8-тетрагидро-8-хинолинамин

2-{[Метил(5,6,7,8-тетрагидро-8-хинолинил)амино]метил}-1H-бензимидазол-4-карбоновую кислоту (190 мг; 0,56 ммоль), бис(2-оксо-3-оксазолидинил)фосфинхлорид (220 мг; 0,85 ммоль), N-бутоксикарбонилпиперазин (104 мг; 0,56 ммоль) и N,N-диизопропилэтиламин (110 мг; 0,85 ммоль) растворяли в ацетонитриле (5 мл) и N,N-диметилформамиде (2 мл) и реакционную смесь перемешивали в течение 16 ч при 35°С. Реакционную смесь концентрировали и очищали с использованием обращенно-фазовой ВЭЖХ (градиент 0%-70% ацетонитрил/вода/0,1%-ная трифторуксусная кислота), получая защищенный амин (56 мг). Этот амин растворяли в дихлорметане (3 мл) и трифторуксусной кислоте (2 мл) и перемешивали в течение 3 ч. Реакционную смесь концентрировали, растворяли в воде и лиофилизовали, получая продукт (68 мг; 30%) в виде не совсем белой трифторацетатной соли. 1Н-ЯМР (DMSO-d6) 8.62 (d, 1H), 7.94 (d, 1H), 7.72 (d, 1H), 7.58-7.54 (m, 1H), 7.41-7.35 (m, 2H), 4.74-4.70 (m, 1H), 4.60 (d, 1H), 4.48 (d, 1H), 4.38 (s, 2H), 3.25 (br s, 4H), 3.13 (br s, 4H), 2.88-2.80 (m, 2H), 2.65 (s, 3H), 2.36-2.30 (m, 1 H), 2.08-1.96 (m, 2H), 1.82-1.72 (m, 1 H). MS m/z 405 (М+1).
Пример 22: N-метил-N-({4-[(4-метил-1-пиперазинил)карбонил]-1H-бензимидазол-2-ил}метил)-5,6,7,8-тетрагидро-8-хинолинамин

N-Метил-N-{[4-(1-пиперазинилкарбонил)-1H-бензимидазол-2-ил]метил}-5,6,7,8-тетрагидро-8-хинолинамина трис(трифторацетат) (28 мг; 0,04 ммоль), формальдегид (37%-ный водный раствор; 0,2 мл), уксусную кислоту (каталитическая) и триацетоксиборгидрид натрия (17 мг; 0,08 ммоль) растворяли в 1,2-дихлорэтане (5 мл) и перемешивали в течение 3 ч при комнатной температуре. Реакционную смесь концентрировали и очищали с использованием обращенно-фазовой ВЭЖХ (градиент 0%-70% ацетонитрил/вода/0,1%-ная трифторуксусная кислота), получая амин. Реакционную смесь концентрировали, растворяли в воде и лиофилизовали, получая продукт (21 мг; 67%) в виде желтой кристаллической трифторацетатной соли. 1Н-ЯМР (DMSO-d6) 10.90 (br s, 1H), 8.60 (d, 1H), 7.86 (d, 1H), 7.76 (d, 1H), 7.52-7.49 (m, 1H), 7.35-7.33 (m, 2H), 4.77-4.73 (m, 1H), 4.63 (d, 1H), 4.49 (d, 1H), 3.47-3.31 (m, 4H), 3.17-3.05 (m, 4H), 2.87-2.80 (m, 2H), 2.79 (s, 3H), 2.67 (s, 3H), 2.38-2.31 (m, 1H), 2.09-1.98 (m, 2H), 1.82-1.62 (m, 1H). MS m/z 419 (M+1).
Пример 23: N-[2-(1H-имидазол-4-ил)этил]-2-{[метил(5,6,7,8-тетрагидро-8-хинолинил)амино]метил}-1H-бензимидазол-4-карбоксамид

2-{[Метил(5,6,7,8-тетрагидро-8-хинолинил)амино]метил}-1Н-бензимидазол-4-карбоновую кислоту (190 мг; 0,56 ммоль), бис(2-оксо-3-оксазолидинил)фосфинхлорид (220 мг; 0,85 ммоль), гистамин (0,56 ммоль) и N,N-диизопропилэтиламин (110 мг; 0,85 ммоль) растворяли в ацетонитриле (5 мл) и N,N-диметилформамиде (2 мл) и реакционную смесь перемешивали в течение 16 ч при 35°С. Реакционную смесь концентрировали и очищали с использованием обращенно-фазовой ВЭЖХ (градиент 0%-70% ацетонитрил/вода/0,1%-ная трифторуксусная кислота) и лиофилизовали из воды, получая продукт (21 мг; 6%) в виде светло-коричневой трифторацетатной соли. 1Н-ЯМР (DMSO-d6) 9.20-9.18 (m, 1H), 8.99 (s, 1H), 8.53 (d, 1H), 7.82-7.75 (m, 3Н), 7.45-7.40 (m, 2H), 7.34-7.30 (m, 1H), 4.78-4.74 (m, 1H), 4.67 (d, 1H), 4.53 (d, 1H), 4.36-4.34 (m, 1H), 3.86-3.82 (m, 1H), 3.68-3.57 (m, 2H), 2.81-2.73 (m, 2H), 2.73 (s, 3Н), 2.42-2.35 (m, 1H), 2.07-1.97 (m, 2H), 1.79-1.72 (m, 1H). MS m/z 430 (M+1).
Пример 24: N-[2-(1-Метил-1Н-имидазол-4-ил)этил]-2-{[метил(5,6,7,8-тетрагидро-8-хинолинил)амино]метил}-1H-бензимидазол-4-карбоксамид

2-{[Метил(5,6,7,8-тетрагидро-8-хинолинил)амино]метил}-1Н-бензимидазол-4-карбоновую кислоту (100 мг: 0,30 ммоль), бис(2-оксо-3-оксазолидинил)фосфинхлорид (115 мг; 0,45 ммоль), [2-(1-метил-1H-имидазол-4-ил)этил]амина дигидрохлорид (59 мг; 0,30 ммоль) и N,N-диизопропилэтиламин (155 мг; 1,20 ммоль) растворяли в ацетонитриле (3 мл) и N,N-диметилформамиде (2 мл) и реакционную смесь перемешивали в течение 72 ч при комнатной температуре. Реакционную смесь концентрировали и очищали с использованием обращенно-фазовой ВЭЖХ (градиент 0%-70% ацетонитрил/вода/0,1%-ная трифторуксусная кислота) и лиофилизовали из воды, получая продукт (25 мг; 12%) в виде трифторацетатной соли желтого цвета. 1Н-ЯМР (DMSO-d6) 9.18 (t, 1H), 8.95 (s, 1H), 8.53 (d, 1H), 7.83-7.75 (m, 3Н), 7.46 (s, 1H), 7.44-7.40 (m, 1H), 7.33 (t, 1H), 4.78-4.74 (m, 1H), 4.68 (d, 1H), 4.54 (d, 1H), 2.94-2.88 (m, 2H), 2.84-2.79 (m, 2H), 2.73 (s, 3Н), 2.44-2.33 (m, 1H), 2.08-1.99 (m, 2H), 1.80-1.71 (m, 1H). MS m/z 444 (M+1).
Пример 25: 2-{[Метил(5,6,7,8-тетрагидро-8-хинолинил)амино]метил}-1Н-бензимидазол-4-карбоксамид

Метил-2-{[метил(5,6,7,8-тетрагидро-8-хинолинил)амино]метил}-1Н-бензимидазол-4-карбоксилат (Пример 6) превращали в активированный тетрафторфенольный эфир на полимерной основе, как в Примере 17. Внесенную смолу (550 мг; 0,40 ммоль) разбавляли N,N-диметилформамидом (10 мл) и через суспензию в течение 10 мин барботировали аммиак. Реакционную смесь перемешивали в течение 16 ч при комнатной температуре, фильтровали, концентрировали и очищали с использованием обращенно-фазовой ВЭЖХ (градиент 0%-70% ацетонитрил/вода/0,1%-ная трифторуксусная кислота) и лиофилизовали из воды, получая продукт (31 мг; 14%) в виде белой трифторацетатной соли. 1Н-ЯМР (DMSO-d6) 8.58-8.55 (m, 1H), 8.53-8.52 (m, 1H), 7.87-7.81 (m, 2H), 7.74-7.69 (m, 2H), 7.42-7.38 (m, 1H), 7.32 (t, 1H), 4.79-4.70 (m, 2H), 4.59 (d, 1H), 2.84-2.77 (m, 5H), 2.44-2.37 (m, 1H), 2.10-1.98 (m, 2H), 1.79-1.70 (m, 1H). MS m/z 336 (M+1).
Пример 26: N-(2-Аминоэтил)-2-{[метил(5,6,7,8-тетрагидро-8-хинолинил)-амино]метил}-1H-бензимидазол-4-карбоксамид

Метил-2-{[метил(5,6,7,8-тетрагидро-8-хинолинил)амино]метил}-1H-бензимидазол-4-карбоксилат превращали в активированный тетрафторфенольный эфир на полимерной основе, как описано в предыдущем Примере. Внесенную смолу (550 мг; 0,40 ммоль) разбавляли N,N-диметилформамидом (10 мл) и добавляли 1,2-этандиамин (48 мг; 0,8 ммоль). Реакционную смесь перемешивали в течение 16 ч при комнатной температуре, фильтровали, концентрировали и очищали с использованием обращенно-фазовой ВЭЖХ (градиент 0%-70% ацетонитрил/вода/0,1%-ная трифторуксусная кислота) и лиофилизовали из воды, получая продукт в виде трифторацетатной соли (38 мг; 13%) в виде желтого твердого вещества. 1Н-ЯМР (DMSO-d6) 9.18-9.12 (m, 1H), 8.55-8.54 (m, 1H), 7.87-7.77 (m, 4H), 7.45-7.34 (m, 2H), 4.80-4.72 (m, 1H), 4.70 (d, 1H), 4.57 (d, 1H), 3.64 (m, 2H), 3.05-2.99 (m, 2H), 2.87-2.78 (m, 1H), 2.75 (s, 3Н), 2.45-2.33 (m, 2H), 2.10-1.97 (m, 2H), 1.82-1.74 (m, 1H). MS m/z 379 (M+1).
Пример 27: 2-{[Метил(5,6,7,8-тетрагидро-8-хинолинил)амино]метил}-N-[2-(1-пиперидинил)пропил]-1H-бензимидазол-4-карбоксамид

Метил-2-{[метил(5,6,7,8-тетрагидро-8-хинолинил)амино]метил}-1H-бензимидазол-4-карбоксилат превращали в активированный тетрафторфенольный эфир на полимерной основе, как описано ранее. Внесенную смолу (400 мг; 0,30 ммоль) разбавляли N,N-диметилформамидом (6 мл) и добавляли [2-(1-пиперидинил)пропил]амин (85 мг; 0,60 ммоль). Реакционную смесь перемешивали в течение 16 ч при комнатной температуре, фильтровали, концентрировали и очищали с использованием обращенно-фазовой ВЭЖХ (градиент 0%-70% ацетонитрил/вода/0,1%-ная трифторуксусная кислота) и лиофилизовали из воды, получая продукт (13 мг; 5%) в виде маслянистого желтого твердого вещества. 1Н-ЯМР (DMSO-d6): 8.56 (d, 1H), 7.86-7.78 (m, 4H), 7.47-7.44 (m, 1H), 7.37-7.33 (m, 2H), 4.80-4.76 (m, 1H), 4.71 (d, 1H), 4.56 (d, 1H), 3.44-3.39 (m, 4H), 3.10-3.04 (m, 2H), 2.88-2.77 (m, 4H), 2.77 (s, 3Н), 2.43-2.31 (m, 1H), 2.09-1.91 (m, 4H), 1.81-1.59 (m, 6H), 1.40-1.29 (m, 1Н).
Пример 28: 2-{[Метил(5,6,7,8-тетрагидро-8-хинолинил)амино]метил}-N-[3-(1-пирролидинил)пропил]-1Н-бензимидазол-4-карбоксамид

Метил-2-{[метил(5,6,7,8-тетрагидро-8-хинолинил)амино]метил}-1H-бензимидазол-4-карбоксилат превращали в активированный тетрафторфенольный эфир на полимерной основе, как описано выше. Внесенную смолу (400 мг; 0,30 ммоль) разбавляли N,N-диметилформамидом (6 мл) и добавляли [2-(1-пирролидинил)пропил]амин (77 мг; 0,60 ммоль). Реакционную смесь перемешивали в течение 16 ч при комнатной температуре, фильтровали, концентрировали и очищали с использованием обращенно-фазовой ВЭЖХ (градиент 0%-70% ацетонитрил/вода/0,1%-ная трифторуксусная кислота) и лиофилизовали из воды, получая продукт (13 мг; 5%) в виде желтого масла. 1Н-ЯМР (DMSO-d6) 9.65-9.64 (m, 1H), 9.21-9.17 (m, 1H), 8.56 (d, 1H), 7.86-7.83 (m, 2H), 7.78 (d, 1H), 7.46-7.42 (m, 1H), 7.35 (t, 1H), 4.85-4.77 (m, 1H), 4.72 (d, 1H), 4.58 (d, 1H), 3.58-3.52 (m, 2H), 3.46-3.42 (m, 2H), 3.21-3.15 (m, 3Н), 3.01-2.93 (m, 3Н), 2.85-2.81 (m, 2H), 2.75 (s, 3Н), 2.45-2.37 (m, 1H), 2.10-1.72 (m, 7H), MS m/z 447 (M+1).
Пример 29: N-[3-(Диметиламино)пропил]-2-{[метил(5,6,7,8-тетрагидро-8-хинолинил)амино]метил}-1Н-бензимидазол-4-карбоксамид

Метил-2-{[метил(5,6,7,8-тетрагидро-8-хинолинил)амино]метил}-1H-бензимидазол-4-карбоксилат превращали в активированный тетрафторфенольный эфир на полимерной основе, как описано выше. Внесенную смолу (400 мг; 0,30 ммоль) разбавляли N,N-диметилформамидом (6 мл) и добавляли N,N-диметилпропилендиамин (0.60 ммоль). Реакционную смесь перемешивали в течение 16 ч при комнатной температуре, фильтровали, концентрировали и очищали с использованием обращенно-фазовой ВЭЖХ (градиент 0%-70% ацетонитрил/вода/0,1%-ная трифторуксусная кислота) и лиофилизовали из воды, получая продукт в виде трифторацетатной соли (13 мг; 5%) в виде желтого масла. 1Н-ЯМР (DMSO-d6) 9.51-9.43 (m, 1H), 9.22-9.17 (m, 1H), 8.55 (d, 1H), 7.88-7.83 (m, 2H), 7.77 (d, 1H), 7.47-7.41 (m, 1H), 7.35 (t, 1H), 4.84-4.74 (m, 1H), 4.71 (d, 1H), 4.58 (d, 1H), 3.44-3.39 (m, 2H), 3.12-3.07 (m, 2H), 2.86-2.76 (m, 10Н), 2.44-2.35 (m, 1H), 2.09-2.00 (m, 2H), 1.93-1.85 (m, 2H), 1.78-1.68 (m, 2H). MS m/z 421 (M+1).
Пример 30: N-({4-[(4-Амино-1-пиперидинил)карбонил]-1H-бензимидазол-2-ил}метил)-N-метил-5,6,7,8-тетрагидро-8-хинолинамин

2-{[Метил(5,6,7,8-тетрагидро-8-хинолинил)амино]метил}-1Н-бензимидазол-4-карбоновую кислоту (80 мг; 0,24 ммоль), бис(2-оксо-3-оксазолидинил)фосфинхлорид (91 мг; 0,37 ммоль), трет-бутил-4-пиперидинилкарбамат (96 мг; 0,48 ммоль) и N,N-диизопропилэтиламин (62 мг; 0,48 ммоль) растворяли в N,N-диметилформамиде (5 мл) и реакционную смесь перемешивали в течение 72 ч при комнатной температуре. Реакционную смесь концентрировали и очищали с использованием обращенно-фазовой ВЭЖХ (градиент 0%-70% ацетонитрил/вода/0,1%-ная трифторуксусная кислота), с получением защищенного амина. Карбамат растворяли в дихлорметане (5 мл) и трифторуксусной кислоте (2 мл), перемешивали в течение 2 ч, концентрировали, очищали с использованием обращенно-фазовой ВЭЖХ (градиент 0%-70% ацетонитрил/вода/0,1%-ная трифторуксусная кислота) и лиофилизовали из воды, получая продукт (32 мг; 17%) в виде твердого вещества белого цвета. 1Н-ЯМР (DMSO-d6) 8.54 (d, 1H), 7.88 (br s, 2H), 7.77 (d, 1H), 7.72 (d, 1H), 7.45-7.42 (m, 1H), 7.30 (t, 1H), 7.21 (m, 1H), 4.79-4.75 (m, 1H), 4.60 (d, 1H), 4.47 (d, 1H), 3.33-3.22 (m, 1H), 3.05-2.89 (m, 2H), 2.85-2.79 (m, 2H), 2.73 (s, 3Н), 2.42-2.32 (m, 2H), 2.07-1.71 (m, 6H), 1.52-1.37 (m, 2H). MS m/z 419 (M+1).
Пример 31: N-({4-[(3-Амино-1-пирролидинил)карбонил]-1Н-бензимидазол-2-ил}метил)-N-метил-5,6,7,8-тетрагидро-8-хинолинамин

2-{[Метил(5,6,7,8-тетрагидро-8-хинолинил)амино]метил}-1H-бензимидазол-4-карбоновую кислоту (100 мг; 0,30 ммоль), бис(2-оксо-3-оксазолидинил)фосфинхлорид (115 мг; 0,45 ммоль), трет-бутил-3-пирролидинилкарбамат (89 мг; 0,48 ммоль) и N,N-диизопропилэтиламин (89 мг; 0,48 ммоль) растворяли в N,N-диметилформамиде (4 мл) и реакционную смесь перемешивали в течение 16 ч при комнатной температуре. Реакционную смесь концентрировали и очищали с использованием обращенно-фазовой ВЭЖХ (градиент 0%-70% ацетонитрил/вода/0,1%-ная трифторуксусная кислота), получая защищенный амин. Карбамат растворяли в дихлорметане (5 мл) и трифторуксусной кислоте (2 мл), перемешивали в течение 2 ч, концентрировали, очищали с использованием обращенно-фазовой ВЭЖХ (градиент 0%-70% ацетонитрил/вода/0,1%-ная трифторуксусная кислота) и лиофилизовали из воды, получая продукт (17 мг; 18%) в виде твердого вещества белого цвета. 1Н-ЯМР (DMSO-d6) 8.55 (d, 1H), 8.10-7.93 (m, 2H), 7.77-7.73 (m, 2H), 7.46-7.39 (m, 2H), 7.31 (t, 1H), 4.77-4.73 (m, 1H), 4.65 (d, 1H), 4.52 (d, 1H), 3.89-3.76 (m, 2H), 3.67-3.56 (m, 2H), 2.84-2.73 (m, 4H), 2.44-2.30 (m, 1H), 2.20-2.13 (m, 1H), 2.07-1.90 (m, 4H), 1.79-1.66 (m, 2H). MS m/z 405 (M+1).
Пример 32: N-{[4-({[2-(1H-Имидазол-4-ил)этил]амино}метил)-1Н-бензимидазол-2-ил]метил}-N-метил-5,6,7,8-тетрагидро-8-хинолинамин

А) 2-{[Метил(5,6,7,8-тетрагидро-8-хинолинил)амино]метил}-1H-бензимидазол-4-карбальдегид
Метил-2-{[метил(5,6,7,8-тетрагидро-8-хинолинил)амино]метил}-1H-бензимидазол-4-карбоксилат (1,0 г; 2,9 ммоль) растворяли в безводном тетрагидрофуране (20 мл) и охлаждали до 0°С. По каплям добавляли алюмогидрид лития (1 М в THF; 2,9 мл) и реакционную смесь нагревали до комнатной температуры. По каплям добавляли дополнительную порцию алюмогидрида лития (1М в THF; 2,9 мл) и реакционную смесь перемешивали в течение 30 мин. Реакционную смесь гасили добавлением водного калия-натрия тартрата (5%, 50 мл) и этилацетата (50 мл). Двухфазный раствор разделяли, сушили над сульфатом натрия, фильтровали и концентрировали до желтой пены. Спирт растворяли в дихлорметане (20 мл), порциями в течение двух минут добавляли периодинан Десса-Мартина (1,3 г; 0,31 ммоль) и реакционную смесь перемешивали в течение ночи при комнатной температуре. Реакционную смесь гасили 5%-ным водным тиосульфатом натрия (50 мл) и насыщенным водным бикарбонатом натрия (50 мл), перемешивали в течение 1 ч, экстрагировали дихлорметаном (2×100 мл), концентрировали и очищали на диоксиде кремния (градиент 2%-5% 2 М аммиака в смеси метанол/дихлорметан), получая продукт (700 мг; 71%) в виде коричневой пены. 1Н-ЯМР (DMSO-d6) 13.38 (br s, 1H), 10.18 (s, 1H), 8.77-8.64 (m, 1H), 7.92-7.77 (m, 2H), 7.55-7.53 (m, 1H), 7.37-7.33 (m, 1H), 7.26-7.23 (m, 1H), 4.04-3.92 (m, 3H), 2.87-2.66 (m, 2H), 2.32 (s, 3H), 2.11-2.03 (m, 1H), 1.99-1.85 (m, 2H), 1.73-1.64 (m, 1H).
Б) N-{[4-({[2-(1Н-Имидазол-4-ил)этил]амино}метил)-1Н-бензимидазол-2-ил]метил}-N-метил-5,6,7,8-тетрагидро-8-хинолинамин
2-{[Метил(5,6,7,8-тетрагидро-8-хинолинил)амино]метил}-1Н-бензимидазол-4-карбальдегид (100 мг; 0,30 ммоль), гистамин (69 мг; 0,60 ммоль), уксусную кислоту (28 мг; 0,47 ммоль) и триацетоксиборгидрид натрия (100 мг; 0,47 ммоль) растворяли в 1,2-дихлорэтане (10 мл) и перемешивали в течение 16 ч при комнатной температуре. Реакционную смесь концентрировали и очищали с использованием обращенно-фазовой ВЭЖХ (градиент 0%-70% ацетонитрил/вода/0,1%-ная трифторуксусная кислота), получая продукт (84,5 мг; 36%) в виде не совсем белого твердого вещества. 1Н-ЯМР (DMSO-d6) 9.00 (s, 1H), 8.56 (d. 1H), 7.86 (d, 1H), 7.69 (d, 1H), 7.49-7.48 (m, 2H), 7.40-7.32 (m, 2H), 4.81-4.76 (m, 1H), 4.60 (d, 1H), 4.55 (s, 2H), 4.46 (d, 1H), 3.32 (t, 2H), 3.09 (t, 2H), 2.87-2.79 (m, 2H), 2.69 (s, 3H), 2.39-2.31 (m, 1H), 2.09-1.98 (m, 2H), 1.82-1.70 (m, 1H). MS m/z 416 (M+1).
Пример 33: N-метил-N-{[4-(1-пиперазинилметил)-1Н-бензимидазол-2-ил]метил}-5,6,7,8-тетрагидро-8-хинолинамин

2-{[Метил(5,6,7,8-тетрагидро-8-хинолинил)амино]метил}-1H-бензимидазол-4-карбальдегид (100 мг; 0,30 ммоль), N-бутоксикарбонилпиперазин (115 мг; 0,60 ммоль), уксусную кислоту (28 мг; 0,47 ммоль) и триацетоксиборгидрид натрия (100 мг; 0,47 ммоль) растворяли в 1,2-дихлорэтане (10 мл) и перемешивали в течение 16 ч при комнатной температуре. Реакционную смесь концентрировали и очищали с использованием обращенно-фазовой ВЭЖХ (градиент 0%-70% ацетонитрил/вода/0,1%-ная трифторуксусная кислота), получая защищенный амин. Карбамат растворяли в дихлорметане (2 мл) и трифторуксусной кислоте (2 мл) и перемешивали в течение 3 ч при комнатной температуре. Реакционную смесь концентрировали, растворяли в воде и лиофилизовали, получая продукт (68 мг; 30%) в виде не совсем белого твердого вещества. 1Н-ЯМР (DMSO-d6) 8.62 (d, 1H), 7.94 (d, 1H), 7.72 (d, 1H), 7.58-7.54 (m, 1H), 7.41-7.35 (m, 2H), 4.74-4.70 (m, 1H), 4.60 (d, 1H), 4.48 (d, 1H), 4.38 (s, 2H), 3.25 (brs, 4H), 3.13 (brs, 4H), 2.88-2.80 (m, 2H), 2.65 (s, 3H), 2.36-2.30 (m, 1H), 2.08-1.96 (m, 2H), 1.82-1.72 (m, 1H). MS m/z 391 (M+1).
Пример 34: N-Метил-N-{[4-(1-пиперазинил)-1Н-бензимидазол-2-ил]метил}-5,6,7,8-тетрагидро-8-хинолинамин

А) 1,1-Диметилэтил-4-(3-амино-2-нитрофенил)-1-пиперазинкарбоксилат
3-Хлор-2-нитроанилин (3,0 г; 17,4 ммоль) и Вос-пиперазин (Boc = трет-бутилоксикарбонил) (3,6 г; 19,1 ммоль) растворяли в DMF (50 мл), добавляли карбонат калия (4,8 г; 34,7 ммоль) и реакционную смесь помещали в масляную баню при 130°С в атмосфере азота. Смесь перемешивали в течение 72 ч, охлаждали до комнатной температуры и растворитель выпаривали. Остаток растворяли в этилацетате (100 мл), промывали 10%-ным бромидом лития, сушили над сульфатом натрия, фильтровали и упаривали. Очистка хроматографией на силикагеле и градиентное элюирование метанолом (0-2%) в метиленхлориде позволили получить оранжевое твердое вещество (2,25 г; 40%). 1Н-ЯМР (DMSO-d6): 7.16 (t, 1H), 6.61 (d, 1H), 6.43 (d, 1H), 5.92 (s, 2H), 3.41-3.35 (m, 4H), 2.86-2.82 (m, 4H), 1.44 (s, 9H). MS m/z 345,1 (М+23).
Б) 1,1-Диметилэтил-4-{2-[({[(фенилметил)окси]карбонил}амино)метил]-1Н-бензимидазол-4-ил}-1-пиперазинкарбоксилат
1,1-Диметилэтил-4-(3-амино-2-нитрофенил)-1-пиперазинкарбоксилат (2,2 г; 6,8 ммоль) растворяли в этаноле (75 мл) и продували азотом в течение 15 мин. Добавляли 10% Pd/C (0,25 г), систему продували Hs и перемешивали в атмосфере водорода в течение 3 ч. Реакционную смесь фильтровали через набивку целита и упаривали, получая маслянистый остаток, который азеотропно перегоняли с эфиром (2×25 мл) и помещали в условия глубокого вакуума на 14 ч. Анилин растворяли в ацетонитриле, добавляли Cbz-глицин (1,6 г; 7,5 ммоль), DIPEA (диизопропилэтиламин) (1,3 мл; 7,5 ммоль) и ВОР-CI (1,9 г; 7,5 ммоль) и реакционную смесь перемешивали в течение 14 ч. Растворитель выпаривали и полученное масло растворяли в этилацетате (50 мл), промывали насыщенным NaHCO3 (2×25 мл), сушили над сульфатом натрия, фильтровали и упаривали. Неочищенный амид циклизовали до бензимидазола путем нагревания (65°С) остатка в уксусной кислоте (100 мл) и перемешивания в течение 3 ч. Неочищенный продукт очищали колоночной хроматографией (СС) с использованием смеси 1-5% 2 н. NH3/метанол в метиленхлориде с получением 1,1-диметилэтил-4-{2-[({[(фенилметил)окси]-карбонил}амино)метил]-1H-бензимидазол-4-ил}-1-пиперазинкарбоксилата в виде коричневого твердого вещества (2,2 г; 69%). 1Н-ЯМР (DMSO-d6): 12.2 (br s, 1H), 7.91 (t, 1H), 7.41-7.34 (m, 5H), 7.04 (m, 2H), 6.55 (m, 1H), 5.10 (s, 2H), 4.45 (d, 2H), 3.55 (m, 4H), 3.50-3.36 (m, 4H), 1.44 (s, 9H). MS m/z 466,1 (M+1).
В) 1,1-Диметилэтил-4-(2-{[метил(5,6,7,8-тетрагидро-8-хинолинил)амино]-метил}-1H-бензимидазол-4-ил)-1-пиперазинкарбоксилат
1,1-Диметилэтил-4-(2-{[метил(5,6,7,8-тетрагидро-8-хинолинил)амино]-метил}-1H-бензимидазол-4-ил)-1-пиперазинкарбоксилат получали из 1,1-диметилэтил-4-{2-[({[(фенилметил)окси]карбонил}амино)метил]-1H-бензимидазол-4-ил}-1-пиперазинкарбоксилата (2,2 г; 4,7 ммоль) посредством снятия защиты и восстановительного аминирования сначала с использованием 6,7-дигидро-8(5H)-хинолинона и затем формальдегида, способом, аналогичным описанному ранее с получением желтовато-коричневого твердого вещества (0,8 г; 35%-ный выход). 1Н-ЯМР (DMSO-d6): 12.2 (br s, 1H), 8.51 (d, 1H), 7.55 (d, 1H), 7.22 (d, 1H), 7.08-7.00 (m, 2H), 6.50 (m, 1H), 4.08 (Abq, 2H), 4.00 (t, 1H), 3.54 (m, 4H), 3.54-3.38 (m, 4H), 2.85-2.68 (m, 2H), 2.27 (s, 3H), 2.16-1.94 (m, 3H), 1.76-1.64 (m, 1H), 1.45 (s, 9H). MS m/z 477,2 (M+1).
Г) N-Метил-N-{[4-(1-пиперазинил)-1Н-бензимидазол-2-ил]метил}-5,6,7,8-тетрагидро-8-хинолинамин
1,1-Диметилэтил-4-(2-{[метил(5,6,7,8-тетрагидро-8-хинолинил)амино]-метил}-1Н-бензимидазол-4-ил)-1-пиперазинкарбоксилат (0,5 г; 0,1 ммоль) растворяли в безводном метаноле (2 мл). Добавляли 4 н. соляную кислоту в диоксане (2 мл) и реакционную смесь перемешивали в течение 2,5 ч, после чего растворитель выпаривали. Полученное масло нейтрализовали насыщенным водным бикарбонатом натрия и экстрагировали 1%-ным метанолом в этилацетате (3×25 мл). Органические слои объединяли, сушили над сульфатом натрия, фильтровали и упаривали. В результате очистки обращенно-фазовой ВЭЖХ (градиент 0%-70% ацетонитрил/вода/0,1%-ная трифторуксусная кислота), нейтрализация нужных фракций и экстракция из водного слоя (насыщенного NaCl) 1%-ным метанолом в этилацетате (3×25 мл) получали N-метил-N-{[4-(1-пиперазинил)-1H-бензимидазол-2-ил]метил}-5,6,7,8-тетрагидро-8-хинолинамин в виде белого твердого вещества (0,3 г; 76%-ный выход). 1Н-ЯМР (DMSO-d6): 12.3 (br s, 1H), 8.51 (d, 1H), 7.55 (d, 1H), 7.22 (d, 1H), 7.08-7.00 (m, 2H), 6.50 (m, 1H), 4.07 (Abq, 2H), 3.95 (t, 1H), 3.55 (m, 4H), 3.14 (m, 4H), 3.14 (m, 4H), 2.88-2.68 (m, 2H), 2.27 (s, 3H), 2.16-1.94 (m, 3H), 1.76-1.64 (m, 1H), 1.45. MS m/z 377,2 (M+1).
Пример 35: N-Метил-N-{[4-(4-метил-1-пиперазинил)-1Н-бензимидазол-2-ил]метил}-5,6,7,8-тетрагидро-8-хинолинамин

N-Метил-N-{[4-(4-метил-1-пиперазинил)-1H-бензимидазол-2-ил]метил}-5,6,7,8-тетрагидро-8-хинолинамин получали способом, аналогичным описанному выше, из N-метил-N-{[4-(1-пиперазинил)-1H-бензимидазол-2-ил]метил}-5,6,7,8-тетрагидро-8-хинолинамина (0,5 г; 0,1 ммоль) и формальдегида (15 мл; 0,2 ммоль) с получением продукта в виде белого твердого вещества (0,3 г; 60%-ный выход). 1Н-ЯМР (DMSO-d6): 12.2 (br s, 1H), 8.44 (d, 1H), 7.48 (d, 1H), 7.16 (dd, 1H), 7.00-6.93 (m, 2H), 6.43 (m, 1H). 4.00 (Abq, 2H), 3.91 (t, 1H), 3.44 (m, 4H), 2.84-2.74 (m, 1H), 2.70-2.56 (m, 5H), 2.31 (s, 3Н), 2.21 (s, 3Н), 2.16-1.88 (m, 3Н), 1.68-1.56 (m, 1H). MS m/z 391,1 (M+1). HRMS (M+1): рассчитано для С23Н31N6 (391,2610), обнаружено 391,2595.
R- и S-изомеры могут быть разделены с использованием хиральной хроматографии или сверхкритической флюидной хроматографии (CFC), условия SFC: Chiralpcel OJ-H (3 см), 1500 ф/кв. дюйм (10342,5 кПа), 27°С, 2 мл/мин, 5%-ный метанол (0,5% D)PEA), 30%-ный CH2Cl2.
Пример 36: N-метил-N-({4-[4-(2-метилпропил)-1-пиперазинил]-1H-бензимидазол-2-ил}метил)-5,6,7,8-тетрагидро-8-хинолинамин

N-Метил-N-({4-[4-(2-метилпропил)-1-пиперазинил]-1H-бензимидазол-2-ил}метил)-5,6,7,8-тетрагидро-8-хинолинамин получали способом, аналогичным описанному выше, из N-метил-N-{[4-(1-пиперазинил)-1Н-бензимидазол-2-ил]метил}-5,6,7,8-тетрагидро-8-хинолинамина (0,5 г; 0,1 ммоль) и изомасляного альдегида (18 мл; 0,2 ммоль) с получением продукта в виде белого твердого вещества (0,4 г; 72%-ный выход). 1Н-ЯМР (DMSO-d6): 12.2 (br s, 1H), 8.46 (d, 1H), 7.49 (d, 1H), 7.17 (dd, 1H), 7.00-6.93 (m, 2H), 6.41 (d, 1H), 4.01 (Abq, 2H), 3.92 (t, 1H), 3.43 (m, 4H), 2.85-2.75 (m, 1H), 2.66 (m, 1H), 2.58-2.46 (m, 4H), 2.22 (s, 3Н), 2.10-2.00 (m, 3Н), 1.95-1.88 (m, 2H), 1.80 (sept, 1H), 1.70-1.57 (m, 1H), 0.86 (d, 6H). MS m/z 433,1 (М+1). HRMS (М+1): рассчитано для C26H37N6 (433,3080), обнаружено 433,3076.
Пример 37: 2-{[Метил(5,6,7,8-тетрагидрохинолинолин-8-ил)амино]метил}-1H-бензимидазол-5-карбоксамид

2-{[Метил(5,6,7,8-тетрагидро-8-хинолинил)амино]метил}-1Н-бензимидазол-5-карбоновую кислоту (190 мг; 0,56 ммоль) растворяли в N,N-диметилформамиде (2 мл). К реакционной смеси добавляли HATU (430 мг; 1,1 ммоль) и N,N-диизопропилэтиламин (220 мг; 1,7 ммоль), через суспензию в течение 10 минут барботировали аммиак и реакционную смесь перемешивали в течение 16 ч. Реакционную смесь разбавляли этилацетатом (20 мл) и водой (20 мл), разделяли и органическую фазу концентрировали. Неочищенное вещество очищали с использованием обращенно-фазовой ВЭЖХ (градиент 0%-70% ацетонитрил/вода/0,1%-ная трифторуксусная кислота), получая продукт в виде коричневого твердого вещества (6,4 мг; 2%; желтовато-коричневое твердое вещество) в виде трифторацетатной соли. MS m/z 336 (М+1).
Пример 38: 2-{[Метил(5,6,7,8-тетрагидрохинолин-8-ил)амино]метил}-1H-(пиперидин-4-илметил)-1Н-бензимидазол-5-карбоксамид

2-{[Метил(5,6,7,8-тетрагидро-8-хинолинил)амино]метил}-1Н-бензимидазол-5-карбоновую кислоту (100 мг; 0,30 ммоль), бис(2-оксо-3-оксазолидинил)фосфинхлорид (153 мг; 0,6 ммоль), 1,1-диметилэтил-4-(аминометил)-1-пиперидинкарбоксилат (130 мг; 0,60 ммоль) и N,N-диизопропилэтиламин (116 мг; 0,90 ммоль) растворяли в N,N-диметилформамиде (3 мл) и реакционную смесь перемешивали при 40°С в течение 16 ч. Реакционную смесь концентрировали, растворяли в метаноле (2 мл) и 4 н. HCl в диоксане (2 мл), перемешивали в течение 2 ч и концентрировали. Реакционную смесь очищали с использованием обращенно-фазовой ВЭЖХ (градиент 0%-70% ацетонитрил/вода/0,1%-ная трифторуксусная кислота) и фракции концентрировали, получая продукт (8,4 мг; 4%; светло-коричневое кристаллическое твердое вещество) в виде трифторацетатной соли. 1Н-ЯМР (DMSO-d6) 8.58-8.52 (m, 3H), 8.26-8.16 (m, 1H), 8.14 (s, 1H), 7.81-7.76 (m, 2H), 7.65 (d, 1H, J=8.4 Гц), 7.47-7.44 (m, 1H), 4.85-4.80 (m, 1H), 4.62 (d, 1H, J=15 Гц), 4.46 (d, 1H, J=15 Гц), 3.27-3.23 (m, 2H), 3.19-3.16 (m, 2H), 2.85-2.78 (m, 2H), 2.73 (s, 3H), 2.39-2.33 (m, 1H), 2.08-1.96 (m, 2H), 1.85-1.72 (m, 4H), 1.37-1.26 (m.2H). MS m/z 433,16 (М+1).
Пример 39: 2-{[Метил(5.6.7.8-тетрагидро-8-хинолинил)амино]метил}-N-(3-пиридинилметил)-1Н-бензимидазол-5-карбоксамид

2-{[Метил(5,6,7,8-тетрагидро-8-хинолинил)амино]метил}-N-(3-пиридинилметил)-1H-бензимидазол-5-карбоксамид получали аналогично 2-{[метил(5,6,7,8-тетрагидрохинолин-8-ил)амино]метил}-N-(пиперидин-4-илметил)-1H-бензимидазол-5-карбоксамиду из 2-{[метил(5,6,7,8-тетрагидро-8-хинолинил)амино]метил}-1Н-бензимидазол-5-карбоновой кислоты (190 мг; 0,56 ммоль), бис(2-оксо-3-оксазолидинил)фосфинхлорида (280 мг; 1,1 ммоль), 2-(метиламино)пиридина (120 мг 1,1 ммоль) и N,N-диизопропилэтиламина (220 мг; 1,7 ммоль) с получением трифторацетатной соли в виде желтого кристаллического твердого вещества (46 мг; 11%). 1Н-ЯМР (DMSO-d6) 9.26-9.23 (m, 1H), 8.76 (s, 1H), 8.68-8.66 (m, 1H), 8.59-8.58 (m, 1H), 8.21 (s, 1H), 8.19-8.17 (m, 1H), 7.86-7.83 (m, 2H), 7.76-7.70 (m, 2H), 7.51-7.48 (m, 1H), 4.84-4.80 (m, 1H), 4.65-4.59 (m, 3H), 4.48 (d, 1H, J=15 Гц), 2.87-2.62 (m, 2H), 2.73 (s, 3H), 2.40-2.33 (m, 1H), 2.10-1.97 (m, 2H), 1.82-1.72 (m, 1H). MS m/z 427.1 (M+1).
Пример 40: 2-{[Метил(5,6,7,8-тетрагидро-8-хинолинил)амино]метил}-N-(4-пиридинилметил)-1H-бензимидазол-5-карбоксамид

2-{[Метил(5,6,7,8-тетрагидро-8-хинолинил)амино]метил}-N-(4-пиридинилметил)-1Н-бензимидазол-5-карбоксамид получали аналогично 2-{[метил(5,6,7,8-тетрагидрохинолин-8-ил)амино]метил}-N-(пиперидин-4-илметил)-1Н-бензимидазол-5-карбоксамиду из 2-{[метил(5,6,7,8-тетрагидро-8-хинолинил)амино]метил}-1H-бензимидазол-5-карбоновой кислоты (190 мг: 0,56 ммоль), бис(2-оксо-3-оксазолидинил)фосфинхлорида (280 мг; 1,1 ммоль), амина (120 мг; 1,1 ммоль) и N,N-диизопропилэтиламина (220 мг; 1,7 ммоль) с получением трифторацетатной соли в виде коричневого кристаллического твердого вещества (66 мг: 19%). 1Н-ЯМР (DMSO-d6) 9.36-9.34 (m, 1H), 8.78-8.76 (m, 2Н), 8.59-8.58 (m, 1H), 8.25 (s, 1H), 7.88-7.80 (m, 4H), 7.43 (d, 1H, J=8.5 Гц), 7.51-7.48 (m, 1H), 4.85-4.81 (m, 1H), 4.70-4.69 (m, 2Н), 4.65 (d, 1H, J=15 Гц), 4.49 (d, 1H, J=15 Гц), 2.88-2.77 (m, 2Н), 2.73 (s, 3H), 2.40-2.35 (m, 1H), 2.09-1.98 (m, 2Н), 1.82-1.73 (m, 1H). MS m/z 427,15 (M+1).
Пример 41: N-(Циклогексилметил)-2-{[метил(5,6,7,8-тетрагидро-8-хинолинил)амино]метил}-1H-бензимидазол-5-карбоксамид

N-(Циклогексилметил)-2-{[метил(5,6,7,8-тетрагидро-8-хинолинил)амино]-метил}-1H-бензимидазол-5-карбоксамид получали аналогично 2-{[метил(5,6,7,8-тетрагидрохинолин-8-ил)амино]метил}-N-(пиперидин-4-илметил)-1Н-бензимидазол-5-карбоксамиду из 2-{[метил(5,6,7,8-тетрагидро-8-хинолинил)-амино]метил}-1H-бензимидазол-5-карбоновой кислоты (190 мг; 0,56 ммоль), бис(2-оксо-3-оксазолидинил)фосфинхлорида (280 мг; 1,1 ммоль), 4-(аминометил)циклогексана (130 мг; 1,1 ммоль) и N,N-диизопропилэтиламина (220 мг; 1,7 ммоль) с получением трифторацетатной соли в виде желтого твердого вещества (24,7 мг; 7%). 1Н-ЯМР (DMSO-d6) 8.59-8.58 (m, 1H), 8.48-8.45 (m, 1H), 8.16 (s, 1H), 7.85-7.99 (m, 2H), 7.67 (d, 1H, J=8.6 Гц), 7.51-7.48 (m, 1H), 4.85-4.81 (m, 1H), 4.63 (d, 1Н, J=15 Гц), 4.47 (d, 1H, J=15 Гц), 3.13-3.10 (m, 2H), 2.87-2.82 (m, 2H), 2.74 (s, 3Н), 2.39-2.34 (m, 1H), 2.07-1.99 (m, 2H), 1.79-1.53 (m, 7H), 1.19-1.11 (m, 3Н), 0.95-0.87 (m, 2H). MS m/z 432,2 (M+1).
Пример 42: N-Метил-N-{[5-({4-[2-(1-пирролидинил)этил]-1-пиперидинил}-карбонил)-1H-бензимидазол-2-ил]метил}-5,6,7,8-тетрагидро-8-хинолинамин

2-{[Метил(5,6,7,8-тетрагидро-8-хинолинил)амино]метил}-1H-бензимидазол-5-карбоновую кислоту (190 мг; 0,56 ммоль), бис(2-оксо-3-оксазолидинил)фосфинхлорид (215 мг; 0,84 ммоль), 4-[2-(1-пирролидинил)-этил]пиперидин (155 мг; 0,84 ммоль) и N,N-диизопропилэтиламин (0,15 мл; 0,84 ммоль) растворяли в ацетонитриле (5 мл), и реакционную смесь перемешивали при 40°С в течение 16 ч. Реакционную смесь концентрировали и неочищенное вещество очищали с использованием обращенно-фазовой ВЭЖХ (градиент 0%-70% ацетонитрил/вода/0,1%-ная трифторуксусная кислота). Посредством нейтрализации нужных фракций насыщенным NaHCO3, экстракции EtOAc (4×10 мл), объединения, высушивания над Na2SO4, фильтрования и упаривания получали желтое твердое вещество (17 мг: 6%). 1Н-ЯМР (DMSO-d6) 12.5 (br s, 1H), 8.45 (d, 1H), 7.48 (m 3H), 7.17 (t, 1H), 7.11 (s, 1H), 4.04 (s, 2H), 3.92 (t, 1H), 2.83-2.75 (m, 2H), 2.68-2.50 (m, 6H), 2.24 (s, 3H), 2.07-2.01 (m, 1H), 1.95-1.87 (m, 2H), 1.70-1.53 (m, 7H), 1.45-1.41 (m, 2H), 1.21 (s, 1H), 1.13-1.02 (m, 2H). MS m/z 501 (M+1).
Пример 43: 2-{[Этил(5,6,7,8-тетрагидро-8-хинолинил)амино]метил}-N-[2-(1-метил-1Н-имидазол-5-ил)этил]-1H-бензимидазол-5-карбоксамид

2-{[Этил(5,6,7,8-тетрагидро-8-хинолинил)амино]метил}-N-[2-(1-метил-1H-имидазол-5-ил)этил]-1Н-бензимидазол-5-карбоксамид получали аналогично 2-{[этил(5,6,7,8-тетрагидро-8-хинолинил)амино]метил}-N-[2-(1H-имидазол-4-ил)этил]-1H-бензимидазол-5-карбоксамиду из связанного со смолой пентафторфенилового эфира 2-{[этил(5,6,7,8-тетрагидро-8-хинолинил)амино]-метил}-1Н-бензимидазол-5-карбоновой кислоты (0,625 г; 0,9 ммоль) и [2-(1-метил-1Н-имидазол-5-ил)этил]амина дигидрохлорида (0,165 г; 0,9 ммоль) с получением желтого твердого вещества (0,035 г; 9%-ный выход). 1Н-ЯМР (DMSO-d6): 8.50 (d, 1H), 8.46 (t, 1H), 8.01 (s, 1H), 7.63 (d, 1H), 7.49 (m, 3H), 7.18 (m, 1H), 6.88 (s, 1H), 4.65 (dd, 1H), 4.06 (½ ABq, 1H), 4.04 (t, 1H), 3.93 (½ ABq, 1H), 3.56 (s, 3H), 3.44 (dd, 2H), 2.80-2.64 (m, 4H), 2.14-2.05 (m, 1H), 1.96-1.7 (m, 2H), 1.68-1.55 (m, 1H), 0.91 (t, 3H). MS m/z 458 (М+1).
Пример 44: N-(5-Аминопентил)-2-{[этил(5,6,7,8-тетрагидро-8-хинолинил)-амино]метил}-1Н-бензимидазол-5-карбоксамид

N-(5-Аминопентил)-2-{[этил(5,6,7,8-тетрагидро-8-хинолинил)амино]-метил}-1Н-бензимидазол-5-карбоксамид получали аналогично 2-{[этил(5,6,7,8-тетрагидро-8-хинолинил)амино]метил}-N-[2-(1Н-имидазол-4-ил)этил]-1H-бензимидазол-5-карбоксамиду из связанного со смолой пентафторфенилового эфира 2-{[этил(5,6,7,8-тетрагидро-8-хинолинил)амино]-метил}-1Н-бензимидазол-5-карбоновой кислоты (0,625 г; 0.9 ммоль) и диаминопентана (0,09 г; 0,9 ммоль) с получением белого твердое вещества (0,02 г; 5%-ный выход). 1Н-ЯМР (DMSO-d6): 8.56 (d, 1H), 8.48 (t, 1H), 8.08 (s, 1H), 7.69 (d, 1H), 7.56 (t, 2H), 7.24 (dd, 1H), 4.09 (t, 1H), 4.06 (q, 2H), 3.30 (d, 2H), 2.76-2.70 (m, 6H), 2.21-2.10 (m, 1H), 2.01-1.82 (m, 2H), 1.75-1.64 (m, 2H), 1.60-1.49 (m, 3Н), 1.43-1.33 (m, 2H), 0.96 (t, 3Н). MS m/z 435 (M+1).
Пример 45: N-Этил-N-{[5-(4-морфолинилкарбонил)-1Н-бензимидазол-2-ил]метил}-5,6,7,8-тетрагидро-8-хинолинамин

N-Этил-N-{[5-(4-морфолинилкарбонил)-1Н-бензимидазол-2-ил]метил}-5,6,7,8-тетрагидро-8-хинолинамин получали аналогично 2-{[этил(5,6,7,8-тетрагидро-8-хинолинил)амино]метил}-N-[2-(1H-имидазол-4-ил)этил]-1Н-бензимидазол-5-карбоксамиду из связанного со смолой пентафторфенилового эфира 2-{[этил(5,6,7,8-тетрагидро-8-хинолинил)амино]-метил}-1Н-бензимидазол-5-карбоновой кислоты (0,625 г; 0,9 ммоль) и морфолина (0,08 мл; 0,9 ммоль) с получением белого твердого вещества (0,036 г; 10%-ный выход). 1Н-ЯМР (DMSO-d6): 12.6 (br s, 1H), 8.53 (d, 1H), 7.53 (m, 2H), 7.49 (d, 1H), 7.17 (m, 2H), 4.04 (½ ABq, 1H), 4.02 (t, 1H), 3.91 (½ ABq, 1H), 3.57 (s, 4H), 3.49 (s, 4H), 2.82-2.64 (m, 4H), 2.15-2.06 (m, 1H), 1.96-1.76 (m, 2H), 1.69-1.55 (m, 1H), 0.91 (t, 3H). MS m/z 420 (M+1).
Пример 46: N-{[5-({4-[2-(Диэтиламино)этил]-1-пиперазинил}карбонил)-1H-бензимидазол-2-ил]метил}-N-этил-5,6,7,8-тетрагидро-8-хинолинамин

N-{[5-({4-[2-(Диэтиламино)этил]-1-пиперазинил}карбонил)-1H-бензимидазол-2-ил]метил}-N-этил-5,6,7,8-тетрагидро-8-хинолинамин получали аналогично 2-{[этил(5,6,7,8-тетрагидро-8-хинолинил)амино]метил}-N-[2-(1H-имидазол-4-ил)этил]-1Н-бензимидазол-5-карбоксамиду из связанного со смолой пентафторфенилового эфира 2-{[этил(5,6,7,8-тетрагидро-8-хинолинил)амино]метил}-1Н-бензимидазол-5-карбоновой кислоты (0,625 г; 0,9 ммоль) и N,N-диэтил-2-(1-пиперазинил)этанамина (0,17 г; 0,9 ммоль) с получением белого твердого вещества (0,036 г: 10%-ный выход). 1Н-ЯМР (DMSO-d6): 12.6 (brs, 1H), 8.51 (d, 1H), 7.53 (m, 2H), 7.49 (d, 1H), 7.17 (dd, 1H), 7.12 (s, 1H), 4.04 (½ ABq, 1H), 4.02 (t, 1H), 3.91 (½ ABq, 1H), 3.46 (s, 4H), 3.32 (s, 4H), 2.81-2.62 (m, 4H), 2.47-2.38 (m, 8H), 2.15-2.06 (m, 1H), 1.96-1.76 (m, 2H), 1.68-1.55 (m, 1H), 0.91 (t, 9H). MS m/z 518 (M+1).
Пример 47: Метил-N-[(2-{[этил(5,6,7,8-тетрагидро-8-хинолинил)амино]-метил}-1H-бензимидазол-5-ил)карбонил]-L-гистидинат

Метил-N-[(2-{[этил(5,6,7,8-тетрагидро-8-хинолинил)амино]метил}-1H-бензимидазол-5-ил)карбонил]-L-гистидинат получали аналогично 2-{[этил(5,6,7,8-тетрагидро-8-хинолинил)амино]метил}-N-[2-(1Н-имидазол-4-ил)этил]-1Н-бензимидазол-5-карбоксамиду из связанного со смолой пентафторфенилового эфира 2-{[этил(5,6,7,8-тетрагидро-8-хинолинил)амино]-метил}-1H-бензимидазол-5-карбоновой кислоты (0,625 г; 0,9 ммоль) и метилового эфира L-гистидина (0,15 г; 0,9 ммоль) с получением белого твердого вещества (0,05 г; 10%-ный выход). 1Н-ЯМР (DMSO-d6): 12.7 (br s), 11.8 (br s, 1H), 8.77 (s, 1H), 8.51 (d, 1H), 8.02 (s, 1H), 7.63 (s, 1H), 7.56 (s, 1H), 7.47 (d, 1H), 7.18 (m, 1H), 6.89 (s, 1H), 4.65 (dd, 1H), 4.06 (½ ABq, 1H), 4.04 (t, 1H), 3.91 (½ ABq, 1H), 3.57 (s, 4H), 3.59 (s, 3H), 3.00 (s, 2H), 2.80-2.64 (m, 4H), 2.14-2.05 (m, 1H), 1.96-1.7 (m, 2H), 1.68-1.57 (m, 1H), 0.91 (t, 3H). MS m/z 502 (M+1).
Пример 48: N-Этил-N-({5-[(4-метил-1-пиперазинил)карбонил]-1Н-бензимидазол-2-ил}метил)-5,6,7,8-тетрагидро-8-хинолинамин

N-Этил-N-({5-[(4-метил-1-пиперазинил)карбонил]-1Н-бензимидазол-2-ил}метил)-5,6,7,8-тетрагидро-8-хинолинамин получали аналогично 2-{[этил(5,6,7,8-тетрагидро-8-хинолинил)амино]метил}-N-[2-(1Н-имидазол-4-ил)этил]-1H-бензимидазол-5-карбоксамиду из связанного со смолой пентафторфенилового эфира 2-{[этил(5,6,7,8-тетрагидро-8-хинолинил)амино]-метил}-1H-бензимидазол-5-карбоновой кислоты (0,150 г; 0,22 ммоль) и метилпиперазина (0,25 г; 0,25 ммоль) с получением желтой пены (0,015 г; 15%-ный выход). 1Н-ЯМР (DMSO-d6): 12.6 (br s, 1H), 8.57 (d, 1H), 7.64-7.56 (s, 1H), 7.54 (d, 2H), 7.23 (dd, 1H), 7.20-7.13 (s, 1H), 4.10 (½ ABq, 1H), 4.07 (t, 1H), 3.97 (½ ABq, 1H), 3.54 (s, 4H), 2.85-2.68 (m, 4H), 2.34 (s, 4H), 2.22 (s, 3H), 2.19-2.01 (m, 1 H), 2.02-1.80 (m, 2H), 1.75-1.64 (m, 1H), 0.97 (t, 3H). MS m/z 433 (M+1).
Пример 49: N-[2-(диметиламино)этил]-2-{[этил(5,6,7,8-тетрагидро-8-хинолинил)амино]метил}-N-метил-1H-бензимидазол-5-карбоксамид

N-[2-(Диметиламино)этил]-2-{[этил(5,6,7,8-тетрагидро-8-хинолинил)амино]-метил}-N-метил-1Н-бензимидазол-5-карбоксамид получали аналогично 2-{[этил(5,6,7,8-тетрагидро-8-хинолинил)амино]метил}-N-[2-(1Н-имидазол-4-ил)этил]-1Н-бензимидазол-5-карбоксамиду из связанного со смолой пентафторфенилового эфира 2-{[этил(5,6,7,8-тетрагидро-8-хинолинил)амино]метил}-1H-бензимидазол-5-карбоновой кислоты (0,150 г; 0,22 ммоль) и N,N,N’-триметил-1,2-этандиамина (0,25 г; 0,25 ммоль) с получением желтой пены (0,009 г; 15%-ный выход). 1Н-ЯМР (DMSO-d6): 12.6 (brs, 1H), 8.56 (d, 1H), 7.64-7.55 (s, 1H), 7.54 (d, 2H), 7.23 (dd, 1H), 7.20-7.13 (s, 1H), 4.65 (dd, 1H), 4.10 (½ ABq, 1H), 4.07 (t, 1H), 3.97 (½ ABq, 1H), 3.36 (s, 6H), 2.99 (s, 3H), 2.30-2.10 (m, 3H), 2.1-1.80 (m, 4H), 1.79-1.61 (m, 1H), 0.97 (t, 3H). MS m/z 435 (M+1).
Пример 50: N-[2-Диметиламино)этил]-2-{[этил(5,6,7,8-тетрагидро-8-хинолинил)амино]метил}-1H-бензимидазол-5-карбоксамид

N-[2-(Диметиламино)этил]-2-{[этил(5,6,7,8-тетрагидро-8-хинолинил)-амино]метил}-1Н-бензимидазол-5-карбоксамид получали аналогично 2-{[этил(5,6,7,8-тетрагидро-8-хинолинил)амино]метил}-N-[2-(1H-имидазол-4-ил)этил]-1Н-бензимидазол-5-карбоксамиду из связанного со смолой пентафторфенилового эфира 2-{[этил(5,6,7,8-тетрагидро-8-хинолинил)амино]-метил}-1H-бензимидазол-5-карбоновой кислоты (0,150 г; 0,22 ммоль) и N,N-диметил-1,2-этандиамина (0,25 г; 0,25 ммоль) с получением желтой пены (0,009 г; 15%-ный выход). 1Н-ЯМР (DMSO-d6): 12.6 (br s, 1H), 8.56 (d, 1H), 8.32 (t, 1H), 8.07 (s, 1H), 7.73-7.63 (s, 1H), 7.59 (s, 1H), 7.54 (d, 1H), 7.23 (dd, 1H), 4.65 (dd, 1H), 4.12 (½ ABq, 1H), 4.09 (t, 1H), 4.02 (½ ABq, 1H), 3.40 (dd, 2H), 3.36 (s, 6H), 2.99 (s, 3H), 2.85-2.68 (m, 4H), 2.48 (t, 2H), 2.24 (s, 3H), 2.21-2.09 (m, 1H), 2.00-1.83 (m, 2H), 1.79-1.61 (m, 1H), 0.97 (t, 3H). MS m/z 421 (M+1).
Пример 51: N-Метил-N-[2-(метиламино)этил]-2-{[метил(5,6,7,8-тетрагидро-8-хинолинил)амино]метил}-1Н-бензимидазол-5-карбоксамид

N-Метил-N-[2-метиламино)этил]-2-{[метил(5,6,7,8-тетрагидро-8-хинолинил)амино]метил}-1Н-бензимидазол-5-карбоксамид получали аналогично 2-{[этил(5,6,7,8-тетрагидро-8-хинолинил)амино]метил}-N-[2-(1Н-имидазол-4-ил)этил]-1H-бензимидазол-5-карбоксамиду из связанного со смолой пентафторфенилового эфира 2-{[метил(5,6,7,8-тетрагидро-8-хинолинил)амино]метил}-1H-бензимидазол-5-карбоновой кислоты (0,450 г; 0,37 ммоль) и N,N’-диметил-1,2-этандиамина (0,35 г; 0,4 ммоль) с получением желтой пены (0,025 г; 15%-ный выход). 1Н-ЯМР (DMSO-d6): 8.56 (s, 1H), 7.64 (m, 2H), 7.59 (m, 3Н), 4.20-4.01 (m, 4H), 3.81 (m, 1H), 3.11 (m, 2H), 2.80 (s, 3Н), 2.65 (s, 3H), 2.1 (m, 4H), 2.07-1.90 (m, 2H), 1.78-1.62 (m, 1H). MS m/z 407 (M+1).
Пример 52: N-[2-(диметиламино)этил]-2-{[метил(5,6,7,8-тетрагидро-8-хинолинил)амино]метил}-1Н-бензимидазол-5-карбоксамид

N-[2-(Диметиламино)этил]-2-{[этил(5,6,7,8-тетрагидро-8-хинолинил)-амино]метил}-1H-бензимидазол-5-карбоксамид получали аналогично 2-{[этил(5,6,7,8-тетрагидро-8-хинолинил)амино]метил}-N-[2-(1Н-имидазол-4-ил)этил]-1Н-бензимидазол-5-карбоксамиду из связанного со смолой пентафторфенилового эфира 2-{[метил(5,6,7,8-тетрагидро-8-хинолинил)амино]-метил}-1H-бензимидазол-5-карбоновой кислоты (0,450 г; 0,37 ммоль) и N,N-диметил-1,2-этандиамина (0,35 г; 0,4 ммоль) с получением желтой пены (0,015 г; 10%-ный выход). 1Н-ЯМР (DMSO-d6): 8.57 (s, 1H), 7.66 (d, 2H), 7.34-7.30 (m, 3Н), 4.16 (dd, 2H), 4.06 (t, 1H), 3.82 (m, 1H), 3.52-3.41 (m, 1H), 3.15-3.01 (m, 1H), 2.87-2.75 (m, 4H), 2.69 (s, 3Н), 2.16 (m, 4H), 2.07-1.88 (m, 2H), 1.77-1.63 (m, 1H). MS m/z 407 (M+1).
Пример 53: N-[2-(Метиламино)этил]-2-{[метил(5,6,7,8-тетрагидро-8-хинолинил)амино]метил)-1H-бензимидазол-5-карбоксамид

N-[2-(Метиламино)этил]-2-{[метил(5,6,7.8-тетрагидро-8-хинолинил)-амино]метил}-1H-бензимидазол-5-карбоксамид получали аналогично 2-{[этил(5,6,7,8-тетрагидро-8-хинолинил)амино]метил}-N-[2-(1Н-имидазол-4-ил)этил]-1Н-бензимидазол-5-карбоксамиду из связанного со смолой пентафторфенилового эфира 2-{[метил(5,6,7,8-тетрагидро-8-хинолинил)амино]-метил}-1H-бензимидазол-5-карбоновой кислоты (0,450 г; 0,37 ммоль) и 1,1-диметилэтил-(2-аминоэтил)метилкарбамата (0,35 г; 0,4 ммоль) с получением желтой пены (0,012 г; 8%-ный выход). 1Н-ЯМР (DMSO-d6): 8.55 (s, 1Н), 7.82 (d, 1Н), 7.73 (d, 1H), 7.55 (d, 1H), 7.29 (t, 1H), 7.23 (dd, 1H), 4.16 (s, 2H), 4.03 (t, 1H), 3.58 (dd, 2H), 2.91-2.68 (m, 2H), 2.86 (t, 2H), 2.44 (s, 3H), 2.35 (s, 3H), 2.19-2.08 (m, 1H), 2.06-1.98 (m, 2H), 1.73-1.68 (m, 1H). MS m/z 393 (M+1).
Пример 54: N-(3-Амино-2,2-диметилпропил)-2-{[метил(5,6,7,8-тетрагидро-8-хинолинил)амино]метил}-1Н-бензимидазол-5-карбоксамид

N-(3-Амино-2,2-диметилпропил)-2-{[метил(5,6,7,8-тетрагидро-8-хинолинил)амино]метил}-1H-бензимидазол-5-карбоксамид получали аналогично 2-{[этил(5,6,7,8-тетрагидро-8-хинолинил)амино]метил}-N-[2-(1Н-имидазол-4-ил)этил]-1H-бензимидазол-5-карбоксамиду из связанного со смолой пентафторфенилового эфира 2-{[метил(5,6,7,8-тетрагидро-8-хинолинил)амино]метил}-1Н-бензимидазол-5-карбоновой кислоты (0,450 г; 0,37 ммоль) и 2,2-диметил-1,3-пропандиамина (0,40 г; 0,4 ммоль) с получением желтой пены (0,022 г; 13%-ный выход). 1Н-ЯМР (DMSO-d6): 8.53 (d, 1H), 7.84 (d, 1H), 7.75 (d, 1H), 7.55 (d, 1H), 7.32 (t, 1H), 7.23 (dd, 1H), 4.17 (s, 2H), 4.03 (t, 1H), 3.37-3.35 (m, 2H), 2.93-2.73 (m, 2H), 2.35 (s, 3H), 2.13-1.93 (m, 4H), 1.76-1.65 (m, 2H). MS m/z 421 (M+1).
Пример 55: N-[2-Диметиламино)этил]-N-метил-2-{[метил(5,6,7,8-тетрагидро-8-хинолинил)амино]метил}-1Н-бензимидазол-5-карбоксамид

N-[2-(Диметиламино)этил]-N-метил-2-{[метил(5,6,7,8-тетрагидро-8-хинолинил)амино]метил}-1Н-бензимидазол-5-карбоксамид получали аналогично 2-{[этил(5,6,7,8-тетрагидро-8-хинолинил)амино]метил}-N-[2-(1H-имидазол-4-ил)этил]-1Н-бензимидазол-5-карбоксамиду из связанного со смолой пентафторфенилового эфира 2-{[метил(5,6,7,8-тетрагидро-8-хинолинил)амино]метил}-1H-бензимидазол-5-карбоновой кислоты (0,450 г; 0,37 ммоль) и N,N,N’-триметил-1,2-этандиамина (0,35 г; 0,4 ммоль) с получением желтой пены (0,012 г; 8%-ный выход). 1Н-ЯМР (DMSO-d6): 8.54 (d, 1H), 7.82 (d, 1H), 7.58 (t, 1H), 7.56 (d, 1H), 7.24 (dd, 1H), 7.20 (t, 1H), 7.12 (s, 1H), 4.10 (s, 2H), 3.97 (t, 1H), 3.67 (s, 1H), 3.07 (s, 2H), 2.92-2.66 (m, 4H), 2.29 (s, 9H), 2.13-1.91 (m, 4H), 1.82 (s, 3H), 1.75-1.62 (m, 1 H). MS m/z 421 (M+1).
Пример 56: Фенилметил-4-[(2-{[метил(5,6,7,8-тетрагидро-8-хинолинил)-амино]метил}-1Н-бензимидазол-5-ил)карбонил]-1-пиперазинкарбоксилат
(Промежуточное соединение)

Фенилметил-4-[(2-{[метил(5,6,7,8-тетрагидро-8-хинолинил)амино]метил}-1Н-бензимидазол-5-ил)карбонил]-1-пиперазинкарбоксилат получали из 2-{[метил(5,6,7,8-тетрагидро-8-хинолинил)амино]метил}-1Н-бензимидазол-5-карбоновой кислоты (190 мг; 0,56 ммоль), бис(2-оксо-3-оксазолидинил)-фосфинхлорида (280 мг; 1,1 ммоль), амина (150 мг; 1,1 ммоль) и N,N-диизопропилэтиламина (220 мг; 1,7 ммоль) с получением трифторацетатной соли в виде желтого твердого вещества (20 мг; 5%). 1Н-ЯМР (DMSO-d6) 8.59-8.58 (m, 1H), 7.87-7.85 (m, 1H), 7.70-7.68 (m, 2H), 7.52-7.49 (m, 1H), 7.34-7.27 (m, 6H), 5.07 (s, 2H), 4.78-4.74 (m, 1H), 4.59 (d, 1H, J=15.2 Гц), 4.43 (d, 1H, J=15.2 Гц), 3.58-3.34 (br m, 8H), 2.86-2.78 (m, 2H), 2.68 (s, 3Н), 2.38-2.32 (m, 1H), 2.09-1.95 (m, 2H), 1.81-1.71 (m, 1H). MS m/z 539,24 (M+1).
Пример 57: N-Метил-N-{[5-(1-пиперазинилкарбонил)-1H-бензимидазол-2-ил]метил}-5,6,7,8-тетрагидро-8-хинолинамин

Фенилметил-4-[(2-{[метил(5,6,7,8-тетрагидро-8-хинолинил)амино]метил}-1H-бензимидазол-5-ил)карбонил]-1-пиперазинкарбоксилат (10 мг; 0,13 ммоль) и палладий (10% мас./мас. на угле) растворяли в этаноле (10 мл) и помещали в атмосферу водорода. После перемешивания в течение 4 ч реакционную смесь фильтровали через диатомовую землю и концентрировали с получением продукта (4,1 мг; 42%; белое твердое вещество) в виде трифторацетатной соли. MS m/z 405 (M+1).
Пример 58: N-метил-N-({5-[(4-метил-1-пиперазинил)карбонил]-1Н-бензимидазол-2-ил}метил)-5,6,7,8-тетрагидро-8-хинолинамин

N-Метил-N-({5-[(4-метил-1-пиперазинил)карбонил]-1Н-бензимидазол-2-ил}метил)-5,6,7,8-тетрагидро-8-хинолинамин получали из 2-{[метил(5,6,7,8-тетрагидро-8-хинолинил)амино]метил}-1Н-бензимидазол-5-карбоновой кислоты (190 мг; 0,56 ммоль), бис(2-оксо-3-оксазолидинил)фосфинхлорида (280 мг; 1,1 ммоль), 1-метилпиперазина (110 мг; 1,1 ммоль) и N,N-диизопропилэтиламина (220 мг; 1,7 ммоль) с получением трифторацетатной соли в виде белого твердого вещества (75.4 мг; 17%). 1Н-ЯМР (DMSO-d6) 10.61 (br s, 1H), 8.62-8.61 (m, 1H), 7.94-7.92 (m, 1H), 7.78 (s, 1H), 7.73 (d, 1H, J=8.4 Гц), 7.58-7.54 (m, 1H), 7.40 (d, 1H, J=8.4 Гц), 4.75-4.72 (m, 1H), 4.59 (d, 1H, J=15.2 Гц), 4.43 (d, 1H, J=15.2 Гц), 3.62-3.08 (br m, 8H), 2.86-2.84 (m, 2H), 2.80 (s, 3H), 2.61 (s, 3H), 2.33-2.30 (m, 1H), 2.06-1.95 (m, 2H), 1.81-1.70 (m, 1H). MS m/z 419.20 (M+1).
Пример 59: N-Метил-N-[(5-{[4-(фенилметил)-1-пиперазинил]карбонил}-1Н-бензимидазол-2-ил)метил]-5,6,7,8-тетрагидро-8-хинолинамин

N-Метил-N-[(5-{[4-(фенилметил)-1-пиперазинил]карбонил}-1H-бензимидазол-2-ил)метил]-5,6,7,8-тетрагидро-8-хинолинамин получали из 2-{[метил(5,6,7,8-тетрагидро-8-хинолинил)амино]метил}-1H-бензимидазол-5-карбоновой кислоты (190 мг; 0,56 ммоль), бис(2-оксо-3-оксазолидинил)-фосфинхлорида (280 мг; 1,1 ммоль), 1-бензилпиперазина (200 мг; 1,1 ммоль) и N,N-диизопропилэтиламина (220 мг; 1,7 ммоль) с получением трифторацетатной соли в виде белого твердого вещества (96 мг; 20%). 1Н-ЯМР (CD3OS) 8.76-8.74 (m, 1H), 8.30-8.28 (m, 1H), 7.97-7.94 (m, 1H), 7.87-7.82 (m, 2H), 7.62-7.59 (m, 1H), 7.53-7.47 (m, 5H), 4.58-4.54 (m, 2H), 4.50-4.44 (m, 3H), 4.39-4.32 (m, 4H), 3.94-3.91 (m, 3H), 3.30-3.26 (m, 2H), 3.06-3.00 (m, 2H), 2.39 (s, 3H), 2.39-2.31 (m, 1H), 2.23-2.17 (m, 1H), 2.10-2.01 (m, 1H), 1.97-1.87 (m, 1H). MS m/z 495,38 (M+1).
Пример 60: N-[(5-{[4-(4-Хлорфенил)-1-пиперазинил]карбонил}-1H-бензимидазол-2-ил)метил]-N-метил-5,6,7,8-тетрагидро-8-хинолинамин

N-[(5-{[4-(4-Хлорфенил)-1-пиперазинил]карбонил}-1H-бензимидазол-2-ил)метил]-N-метил-5,6,7,8-тетрагидро-8-хинолинамин получали из 2-{[метил(5,6,7,8-тетрагидро-8-хинолинил)амино]метил}-1Н-бензимидазол-5-карбоновой кислоты (190 мг; 0,56 ммоль), бис(2-оксо-3-оксазолидинил)-фосфинхлорида (280 мг; 1,1 ммоль), (4-хлорфенил)пиперазина дигидрохлорида (300 мг; 1,1 ммоль) и N,N-диизопропилэтиламина (380 мг; 2,8 ммоль) с получением трифторацетатной соли в виде не совсем белого твердого вещества (60 мг; 13%). 1Н-ЯМР (DMSO-d6) 8.75-8.74 (m, 1H), 8.27-8.25 (m, 1H), 7.87-7.79 (m, 3H), 7.58-7.56 (m, 1H), 7.22-7.18 (m, 2H), 6.97-6.93 (m, 2H), 4.58-4.54 (m, 1H), 4.52 (d, 1H, J=15.8 Гц), 4.33 (d, 1H, J=15.8 Гц), 3.98-3.55 (br m, 4H), 3.27-3.08 (br m, 4H), 3.02-2.99 (m, 2H), 2.41 (s, 3H), 2.37-2.31 (m, 1H), 2.23-2.18 (m, 1H), 2.11-2.01 (m, 1H), 1.96-1.85 (m, 1H). MS m/z 515,15 (M+1).
Пример 61: N-(5-Аминопентил)-2-{[метил(5,6,7,8-тетрагидро-8-хинолинил)амино]метил}-1Н-бензимидазол-4-карбоксамид

2-{[Метил(5,6,7,8-тетрагидро-8-хинолинил)амино]метил}-1H-бензимидазол-4-карбоновую кислоту (180 мг; 0,54 ммоль), бис(2-оксо-3-оксазолидинил)фосфинхлорид (275 мг; 1,1 ммоль), Вос-защищенный амин (164 мг; 0,81 ммоль) и N,N-диизопропилэтиламин (140 мг; 1,1 ммоль) растворяли в ацетонитриле (5 мл) и реакционную смесь перемешивали при 60°С в течение 16 ч. Реакционную смесь разбавляли этилацетатом (20 мл) и водой (20 мл), разделяли и органическую фазу концентрировали. Неочищенный карбамат растворяли в дихлорметане (5 мл) и трифторуксусной кислоте (2 мл) и перемешивали в течение 4 ч. Реакционную смесь концентрировали, разбавляли этилацетатом (20 мл) и насыщенным водным бикарбонатом натрия (20 мл), разделяли и органическую фазу концентрировали. Реакционную смесь очищали с использованием обращенно-фазовой ВЭЖХ (градиент 0%-70% ацетонитрил/вода/0,1%-ная трифторуксусная кислота), фракции концентрировали, разбавляли этилацетатом (20 мл) и насыщенным водным бикарбонатом натрия (20 мл), разделяли и органическую фазу концентрировали, получая продукт (50 мг; 23%) в виде желтовато-коричневого твердого вещества. MS m/z 336 (М+1).
Пример 62: N-Метил-N-[(4-{[4-(фенилметил)-1-пиперазинил]карбонил}-1H-бензимидазол-2-ил)метил]-5,6,7,8-тетрагидро-8-хинолинамин

N-Метил-N-[(4-{[4-(фенилметил)-1-пиперазинил]карбонил}-1Н-бензимидазол-2-ил)метил]-5,6,7,8-тетрагидро-8-хинолинамин получали аналогичным образом из 2-{[метил(5,6,7,8-тетрагидро-8-хинолинил)амино]-метил}-1H-бензимидазол-4-карбоновой кислоты (100 мг; 0,30 ммоль), бис(2-оксо-3-оксазолидинил)фосфинхлорида (115 мг; 0,45 ммоль), N-бензилпиперазина (53 мг; 0.30 ммоль) и N,N-диизопропилэтиламина (58 мг; 0,45 ммоль) с получением трифторацетатной соли в виде желтого твердого вещества (95 мг; 38%). 1Н-ЯМР (DMSO-d6) 8.58-8.56 (m, 1H), 7.85-7.83 (m, 1H), 7.78-7.75 (m, 1H), 7.50-7.45 (m, 6H), 7.36-7.34 (m, 2H), 4.76-4.72 (m, 1H), 4.60 (d, 1H, J=14.8 Гц), 4.48 (d, 1H, J=14.8 Гц), 4.42-4.37 (m, 1H), 3.84-3.80 (m, 1H), 3.49-2.98 (br m, 8H), 2.91-2.78 (m, 2H), 2.69 (s, 3H), 2.37-2.31 (m, 1H), 2.08-1.97 (m, 2H), 1.80-1.69 (m, 1H). MS m/z 495,19 (M+1).
Пример 63: N-{[4-(Аминометил)фенил]метил}-2-{[метил(5,6,7,8-тетрагидро-8-хинолинил)амино]метил}-1Н-бензимидазол-4-карбоксамид

2-{[Метил(5,6,7,8-тетрагидро-8-хинолинил)амино]метил}-1H-бензимидазол-4-карбоновую кислоту (190 мг; 0,56 ммоль), бис(2-оксо-3-оксазолидинил)фосфинхлорид (220 мг; 0,85 ммоль), 1,1-диметилэтил-{[4-(аминометил)фенил]метил}карбамат (104 мг; 0,56 ммоль) и N,N-диизопропилэтиламин (110 мг; 0,85 ммоль) растворяли в ацетонитриле (5 мл) и N,N-диметилформамиде (2 мл) и реакционную смесь перемешивали при 35°С в течение 16 ч. Реакционную смесь концентрировали и очищали с использованием обращенно-фазовой ВЭЖХ (градиент 0%-70% ацетонитрил/вода/0,1%-ная трифторуксусная кислота), получая защищенный амин. Карбамат растворяли в дихлорметане (3 мл) и трифторуксусной кислоте (2 мл) и перемешивали в течение 3 ч. Реакционную смесь концентрировали и очищали с использованием обращенно-фазовой ВЭЖХ (градиент 0%-70% ацетонитрил/вода/0,1%-ная трифторуксусная кислота) с получением продукта (56 мг; 13%; светло-коричневое твердое вещество) в виде трифторацетатной соли. 1Н-ЯМР (DMSO-d6) 8.47-8.46 (m, 1H), 8.11 (br s, 2H), 7.90-7.88 (m, 1H), 7.83-7.81 (m, 1H), 7.73-7.64 (m, 4H), 7.39-7.32 (m, 5H), 4.58-4.55 (m, 2H), 4.13-4.08 (m, 3Н), 4.00-3.95 (m, 2H), 2.82-2.75 (m, 2H), 2.72 (s, 3Н), 2.31-2.26 (m, 1H), 2.05-1.94 (m, 2H), 1.63-1.57 (m, 1H). MS m/z 455,15 (M+1).
Пример 64: N-[2-(Метилокси)этил]-2-{[метил(5,6,7,8-тетрагидро-8-хинолинил)амино]метил}-1Н-бензимидазол-4-карбоксамид

2-{[Метил(5,6,7,8-тетрагидро-8-хинолинил)амино]метил}-1Н-бензимидазол-4-карбоновую кислоту (100 мг; 0,30 ммоль), бис(2-оксо-3-оксазолидинил)фосфинхлорид (115 мг; 0,45 ммоль), (метилокси)этанамин (34 мг; 0,45 ммоль) и N,N-диизопропилэтиламин (58 мг; 0,45 ммоль) растворяли в ацетонитриле (3 мл) и N,N-диметилформамиде (2 мл) и реакционную смесь перемешивали при 35°С в течение 64 ч. Реакционную смесь концентрировали и очищали с использованием обращенно-фазовой ВЭЖХ (градиент 0%-70% ацетонитрил/вода/0,1%-ная трифторуксусная кислота) с получением продукта (9 мг; 5%; желтое твердое вещество) в виде трифторацетатной соли. 1Н-ЯМР (DMSO-d6) 9.26 (br s, 1H), 8.55-8.54 (m, 1H), 7.88-7.86 (m, 1H), 7.82-7.76 (m, 2H), 7.45-7.42 (m, 1H), 7.37-7.33 (m, 1H), 4.84-4.80 (m, 1H), 4.70 (d, 1H, J=15 Гц), 4.55 (d, 1H, J=15 Гц), 3.53-3.51 (m, 2H), 3.48-3.47 (m, 2H), 3.24 (s, 3Н), 2.90-2.80 (m, 2H), 2.79 (s, 3Н), 2.46-2.34 (m, 1H), 2.10-2.00 (m, 2H), 1.84-1.70 (m, 1H). MS m/z 394,16 (M+1).
Пример 65: N-[(4-{[4-(Аминоацетил)-1-пиперазинил]карбонил}-1H-бензимидазол-2-ил)метил]-N-метил-5,6,7,8-тетрагидро-8-хинолинамин

А) трет-Бутил-[2-оксо-2-(1-пиперазинил)этил]карбамат
N-Бензилоксипиперазин (624 мг: 2,8 ммоль), бис(2-оксо-3-оксазолидинил)фосфинхлорид (1,07 г; 4,2 ммоль), N-(трет-бутилкарбокси)-глицин (500 мг; 2,8 ммоль) и N,N-диизопропилэтиламин (540 мг; 4,2 ммоль) растворяли в ацетонитриле (20 мл) и реакционную смесь перемешивали в течение 64 ч. Реакционную смесь разбавляли этилацетатом (30 мл) и водой (50 мл), разделяли и органическую фазу сушили над сульфатом натрия, фильтровали и концентрировали, получая продукт в виде масла. 1Н-ЯМР (DMSO-d6) 7.37-7.28 (m, 5H), 6.73-6.70 (m, 1H), 5.06 (s, 2H), 3.76-3.73 (m, 2H), 3.39-3.34 (m, 8H), 1.34 (s, 9H). Защищенный амин и Pd/C (10% мас./мас., каталитический) растворяли в этаноле (300 мл) и помещали в атмосферу водорода на 16 ч. Реакционную смесь фильтровали через целит и концентрировали, получая продукт (670 мг; 98% за две стадии) в виде белого твердого вещества. 1Н-ЯМР (DMSO-d6) 6.68-6.66 (m, 1H), 3.73-3.71 (m, 2H), 3.34-3.29 (m, 4H), 2.66-2.62 (m, 4H), 1.35 (s, 9H).
Б) N-[(4-{[4-(Аминоацетил)-1-пиперазинил]карбонил}-1Н-бензимидазол-2-ил)метил]-N-метил-5,6,7,8-тетрагидро-8-хинолинамин
2-{[Метил(5,6,7,8-тетрагидро-8-хинолинил)амино]метил}-1Н-бензимидазол-4-карбоновую кислоту (150 мг 0,44 ммоль), бис(2-оксо-3-оксазолидинил)фосфинхлорид (167 мг; 0,66 ммоль), трет-бутил-[2-оксо-2-(1-пиперазинил)этил]карбамат (160 мг; 0,66 ммоль) и N,N-диизопропилэтиламин (85 мг; 0,66 ммоль) растворяли в ацетонитриле (3 мл) и N,N-диметилформамиде (2 мл) и реакционную смесь перемешивали в течение 16 ч. Реакционную смесь концентрировали и очищали с использованием обращенно-фазовой ВЭЖХ (градиент 0%-70% ацетонитрил/вода/0,1%-ная трифторуксусная кислота), получая защищенный амин. Карбамат растворяли в дихлорметане (3 мл) и трифторуксусной кислоте (2 мл), перемешивали в течение 3 ч, концентрировали и лиофилизовали из воды, получая продукт (113 мг; 32%; желтое твердое вещество) в виде трифторацетатной соли. 1Н-ЯМР (DMSO-d6) 8.55-8.54 (m, 1H), 8.05 (br s, 3H), 7.81-7.79 (m, 1H), 7.75-7.74 (m, 1H), 7.48-7.44 (m, 1H), 7.36-7.30 (m, 2H), 4.84-4.79 (m, 1H), 4.64 (d, 1H, J=15 Гц), 4.51 (d, 1H, J=15 Гц), 3.91-3.86 (m, 2H), 3.57-3.32 (m, 8H), 2.87-2.80 (m, 2H), 2.74 (s, 3H), 2.41-2.31 (m, 1H), 2.09-2.00 (m, 2H), 1.81-1.71 (m, 1H). MS m/z 462,20 (M+1).
Пример 66: 2-{4-[(2-{[Метил(5,6,7,8-тетрагидро-8-хинолинил)амино]-метил}-1H-бензимидазол-4-ил)карбонил]-1-пиперазинил}ацетамид

А) 2-(1-Пиперазинил)ацетамид
N-Бензилоксипиперазин (575 мг; 2,6 ммоль), 2-бромацетамид (360 мг; 2,6 ммоль) и N,N-диизопропилэтиламин (85 мг; 0,66 ммоль) растворяли в ацетонитриле (15 мл) и реакционную смесь перемешивали в течение 64 ч. Реакционную смесь разбавляли этилацетатом (30 мл) и водой (50 мл), разделяли и органическую фазу сушили над сульфатом натрия, фильтровали и концентрировали, получая защищенный амин в виде масла. 1Н-ЯМР (DMSO-d6) 7.35-7.28 (m, 5H), 7.19 (br s, 1H), 7.09 (br s, 1H), 5.04 (s, 2H), 3.41-3.37 (m, 4H), 2.84 (s, 2H), 2.38-2.36 (m, 4H). Защищенный амин и Pd/C (10% мас./мас., каталитический) растворяли в этаноле (200 мл) и помещали в атмосферу водорода на 16 ч. Реакционную смесь фильтровали через целит и концентрировали, получая продукт (290 мг; 78% за 2 стадии: белое твердое вещество) в виде трифторацетатной соли. 1Н-ЯМР (DMSO-d6) 7.08 (br s, 2H), 4.33-4.30 (m, 1H), 2.75 (s, 2H), 2.68-2.66 (m, 4H), 2.30-2.28 (m, 4H).
Б) 2-{4-[(2-{[Метил(5,6,7,8-тетрагидоо-8-хинолинил)амино]метил}-1H-бензимидазол-4-ил)карбонил]-1-пиперазинил}ацетамид
2-{[Метил(5,6,7,8-тетрагидро-8-хинолинил)амино]метил}-1Н-бензимидазол-4-карбоновую кислоту (100 мг; 0,30 ммоль), бис(2-оксо-3-оксазолидинил)фосфинхлорид (115 мг; 0,45 ммоль), 2-(1-пиперазинил)-ацетамид (64 мг; 0,45 ммоль) и N,N-диизопропилэтиламин (58 мг; 0,45 ммоль) растворяли в ацетонитриле (3 мл) и N,N-диметилформамиде (2 мл) и реакционную смесь перемешивали в течение 16 ч. Реакционную смесь концентрировали и очищали с использованием обращенно-фазовой ВЭЖХ (градиент 0%-70% ацетонитрил/вода/0,1%-ная трифторуксусная кислота) и лиофилизовали из воды, получая продукт (35 мг; 15%; желтое твердое вещество) в виде трифторацетатной соли. 1Н-ЯМР (DMSO-d6) 8.56-8.55 (m, 1H), 7.97 (br s, 1H), 7.82-7.80 (m, 1H), 7.76-7.74 (m, 1H), 7.69 (br s, 1H), 7.48-7.45 (m, 1H), 7.33-7.32 (m, 2H), 4.76-4.72 (m, 1H), 4.61 (d, 1H, J=14.8 Гц), 4.498 (d, 1H, J=14.8 Гц), 3.92 (s, 2H), 3.70-3.09 (br m, 8H), 2.89-2.76 (m, 2H), 2.72 (s, 3H), 2.38-2.32 (m, 1H), 2.08-1.97 (m, 2H), 1.79-1.70 (m, 1H). MS m/z 462,30 (M+1).
Пример 67: N-[2-(1-Метил-1H-имидазол-5-ил)этил]-2-{[метил(5,6,7,8-тетрагидро-8-хинолинил)амино]метил}-1H-бензимидазол-4-карбоксамид

2-{[Метил(5,6,7,8-тетрагидро-8-хинолинил)амино]метил}-1Н-бензимидазол-4-карбоновую кислоту (50 мг; 0,15 ммоль), бис(2-оксо-3-оксазолидинил)фосфинхлорид (56 мг; 0,25 ммоль), [2-(1-метил-1Н-имидазол-5-ил)этил]амина дигидрохлорид (59 мг; 0,30 ммоль) и N,N-диизопропилэтиламин (78 мг; 0,60 ммоль) растворяли в N,N-диметилформамиде (5 мл) и реакционную смесь перемешивали в течение 16 ч при комнатной температуре. Реакционную смесь концентрировали и очищали с использованием обращенно-фазовой ВЭЖХ (градиент 0%-70% ацетонитрил/вода/0,1%-ная трифторуксусная кислота) и лиофилизовали из воды, получая продукт (39 мг; 33%, твердое вещество желтого цвета) в виде трифторацетатной соли. 1Н-ЯМР (DMSO-d6) 9.26-9.24 (m, 1H), 8.99 (s, 1H), 8.54-8.53 (m, 1H), 7.83-7.76 (m, 2H), 7.49 (s, 1H), 7.44-7.41 (m, 1H), 7.35-7.31 (m, 1H), 4.79-4.75 (m, 1H), 4.68 (d, 1H, J=15 Гц), 4.54 (d, 1H, J=15 Гц), 3.79 (s, 3H), 3.67-3.62 (m, 2H), 2.96-2.91 (m, 2H), 2.84-2.80 (m, 2H), 2.72 (s, 3H), 2.42-2.34 (m, 1H), 2.09-1.98 (m, 2H), 1.80-1.71 (m, 1H). MS m/z 444,24 (М+1).
Пример 68: N-метил-N-[(4-{[4-(2-пиридинилметил)-1-пиперазинил]-карбонил}-1H-бензимидазол-2-ил)метил]-5,6,7,8-тетрагидро-8-хинолинамин

2-{[Метил(5,6,7,8-тетрагидро-8-хинолинил)амино]метил}-1Н-бензимидазол-4-карбоновую кислоту (75 мг; 0,22 ммоль), бис(2-оксо-3-оксазолидинил)фосфинхлорид (84 мг; 0,33 ммоль), 1-(2-пиридинилметил)-пиперазин (58 мг; 0,33 ммоль) и N,N-диизопропилэтиламин (43 мг; 0,33 ммоль) растворяли в N,N-диметилформамиде (5 мл) и реакционную смесь перемешивали в течение 16 ч при комнатной температуре. Реакционную смесь концентрировали и очищали с использованием обращенно-фазовой ВЭЖХ (градиент 0%-70% ацетонитрил/вода/0,1%-ная трифторуксусная кислота) и лиофилизовали из воды с получением продукта (90 мг; 49%; желтое твердое вещество) в виде трифторацетатной соли. 1Н-ЯМР (DMSO-d6) 8.67-8.66 (m, 1H), 8.56-8.55 (m, 1H), 7.95-7.90 (m, 1H), 7.82-7.80 (m, 1H), 7.77-7.73 (m, 1H), 7.53-7.45 (m, 3H), 7.34-7.32 (m, 2H), 4.77-4.72 (m, 1H), 4.62-4.58 (d, 1H, J=14.9 Гц), 4.49-4.46 (m, 3H), 3.93-3.62 (br m, 4H), 3.36-3.22 (br m, 4H), 2.88-2.75 (m, 2H), 2.71 (s, 3H), 2.38-2.29 (m, 1 H), 2.06-1.96 (m, 2H), 1.79-1.68 (m, 1 H). MS m/z 496,22 (М+1).
Пример 69: 2-{[Метил(5,6,7,8-тетрагидро-8-хинолинил)амино]метил}-N-[2-(3-пиридинил)этил]-1H-бензимидазол-4-карбоксамид

Связанный со смолой пентафторфениловый эфир 2-{[метил(5,6,7,8-тетрагидро-8-хинолинил)амино]метил}-1Н-бензимидазол-4-карбоновой кислоты (400 мг; 0,30 ммоль) разбавляли N,N-диметилформамидом (10 мл) и добавляли [2-(3-пиридинил)этил]амин (73 мг; 0,6 ммоль). Реакционную смесь перемешивали в течение 16 ч при комнатной температуре, фильтровали, концентрировали и очищали с использованием обращенно-фазовой ВЭЖХ (градиент 0%-70% ацетонитрил/вода/0,1%-ная трифторуксусная кислота) и лиофилизовали из воды, получая продукт (11 мг; 5%; твердое вещество коричневой окраски) в виде трифторацетатной соли. 1Н-ЯМР (DMSO-d6) 9.16-9.14 (m, 1H), 8.62 (s, 1H), 8.57-8.55 (m, 1H), 8.52-8.50 (m, 1H), 8.02 (d, 1H, J=8.5 Гц), 7.81-7.73 (m, 3H), 7.61-7.57 (m, 1H), 7.42-7.39 (m, 1H), 7.33-7.29 (m, 1H), 4.78-4.74 (m, 1H), 4.67 (d, 1H, J=14.7 Гц), 4.53 (d, 1H, J=14.7 Гц), 3.68-3.61 (m, 2H), 2.98-2.95 (m, 2H), 2.84-2.78 (m, 2H), 2.72 (s, 3H), 2.41-2.35 (m, 1H), 2.08-1.99 (m, 2H), 1.79-1.69 (m, 1H). MS m/z 441,08 (M+1).
Пример 70: N-[-(3,5-Диметил-1Н-пиразол-4-ил)этил]-2-{[метил(5,6,7,8-тетрагидро-8-хинолинил)амино]метил}-1H-бензимидазол-4-карбоксамид

Связанный со смолой пентафторфениловый эфир 2-{[метил(5,6,7,8-тетрагидро-8-хинолинил)амино]метил}-1Н-бензимидазол-4-карбоновой кислоты (400 мг; 0,30 ммоль) разбавляли N,N-диметилформамидом (10 мл) и добавляли [2-(3,5-диметил-1H-пиразол-4-ил)этил]метиламин (84 мг; 0,6 ммоль). Реакционную смесь перемешивали в течение 16 ч при комнатной температуре, фильтровали, концентрировали, очищали с использованием обращенно-фазовой ВЭЖХ (градиент 10%-70% ацетонитрил/вода/0,1%-ная трифторуксусная кислота) и лиофилизовали из воды, получая продукт (1,5 мг; 2%; твердое вещество желтого цвета) в виде трифторацетатной соли. MS m/z 458,09 (М+1).
Пример 71: 2-{[Метил(5,6,7,8-тетрагидро-8-хинолинил)амино]метил}-N-[2-(4-пиридинил)этил]-1Н-бензимидазол-4-карбоксамид

Связанный со смолой пентафторфениловый эфир 2-{[метил(5,6,7,8-тетрагидро-8-хинолинил)амино]метил}-1H-бензимидазол-4-карбоновой кислоты (400 мг; 0,30 ммоль) разбавляли N,N-диметилформамидом (10 мл) и добавляли [2-(4-пиридинил)этил]амин (0,50 мл). Реакционную смесь перемешивали в течение 16 ч при 50°С, фильтровали, концентрировали и очищали с использованием обращенно-фазовой ВЭЖХ (градиент 0%-70% ацетонитрил/вода/0,1%-ная трифторуксусная кислота) и лиофилизовали из воды, получая продукт (10 мг; 4%; красное твердое вещество) в виде трифторацетатной соли. 1Н-ЯМР (DMSO-d6) 9.24-9.21 (m, 1H), 8.71-8.70 (m, 2H), 8.55-8.54 (m, 1H), 7.83-7.74 (m, 5H), 7.46-7.43 (m, 1H), 7.35-7.31 (m, 1H), 4.79-4.75 (m, 1H), 4,68 (d, 1H, J=14.9 Гц), 4.53 (d, 1H, J=14.9 Гц), 3.75-3.69 (m, 2H), 3.11-3.08 (m, 2H), 2.85-2.79 (m, 2H), 2.71 (s, 3H), 2.42-2.33 (m, 1H), 2.10-1.99 (m, 2H), 1.83-1.72 (m, 1H). MS m/z 441 (М+1).
Пример 72: 2-{[Метил(5,6,7,8-тетрагидро-8-хинолинил)амино]метил}-N-[3-(2-оксо-1-пирролидинил)пропил]-1Н-бензимидазол-4-карбоксамид

Связанный со смолой пентафторфениловый эфир 2-{[метил(5,6,7,8-тетрагидро-8-хинолинил)амино]метил}-1H-бензимидазол-4-карбоновой кислоты (400 мг; 0,30 ммоль) разбавляли N,N-диметилформамидом (6 мл) и добавляли 1-(3-аминопропил)-2-пирролидинон (85 мг; 0,60 ммоль). Реакционную смесь перемешивали в течение 72 ч при комнатной температуре, фильтровали, концентрировали и очищали с использованием обращенно-фазовой ВЭЖХ (градиент 0%-70% ацетонитрил/вода/0,1%-ная трифторуксусная кислота) и лиофилизовали из воды, получая продукт (6,5 мг; 3%; желтое твердое вещество) в виде трифторацетатной соли. 1Н-ЯМР (DMSO-d6) 9.27-9.23 (m, 1H), 8.52-8.51 (m, 1H), 7.85-7.80 (m, 2H), 7.75-7.73 (m, 1H), 7.43-7.40 (m, 1H), 7.37-7.33 (m, 1H), 4.83-4.79 (m, 1H), 4.73 (d, 1H, J=14.8 Гц), 4.58 (d, 1H, J=14.8 Гц), 3.35-3.20 (m, 7H), 2.87-2.81 (m, 5H), 2.44-2.38 (m, 1H), 2.22-2.17 (m, 2H), 2.09-2.02 (m, 2H), 1.93-1.88 (m, 2H), 1.82-1.68 (m, 2H). MS m/z 461,22 (M+1).
Пример 73: N-[3-(4-метил-1-пиперазинил)пропил]-2-{[метил(5,6,7,8-тетрагидро-8-хинолинил)амино]метил}-1Н-бензимидазол-4-карбоксамид

Связанный со смолой пентафторфениловый эфир 2-{[метил(5,6,7,8-тетрагидро-8-хинолинил)амино]метил}-1Н-бензимидазол-4-карбоновой кислоты (400 мг; 0,30 ммоль) разбавляли N,N-диметилформамидом (6 мл) и добавляли [3-(4-метил-1-пиперазинил)пропил]амин (94 мг; 0,60 ммоль). Реакционную смесь перемешивали в течение 72 ч при комнатной температуре, фильтровали, концентрировали и очищали с использованием обращенно-фазовой ВЭЖХ (градиент 0%-70% ацетонитрил/вода/0,1%-ная трифторуксусная кислота) и лиофилизовали из воды, получая продукт (14,8 мг; 6%) в виде твердого вещества желтого цвета. 1Н-ЯМР (DMSO-d6) 5 9.20-9.16 (m, 1H), 8.56-8.55 (m, 1H), 7.86-7.78 (m, 3H), 7.47-7.43 (m, 1H), 7.37-7.33 (m, 1H), 4.80-4.76 (m, 1H), 4.70 (d, 1H, J=14.7 Гц), 4.56 (d, 1H, J=14.7 Гц), 3.65-3.35 (m, 6H), 3.02-2.93 (m, 3H), 2.85-2.79 (m, 5H), 2.74 (s, 3H), 2.43-2.36 (m, 1H), 2.11-1.99 (m, 2H), 1.91-1.70 (m, 3H). MS m/z 476,32 (M+1).
Пример 74: 2-{[Метил(5,6,7,8-тетрагидро-8-хинолинил)амино]метил}-N-[3-(4-морфолинил)пропил]-1Н-бензимидазол-4-карбоксамид

Связанный со смолой пентафторфениловый эфир 2-{[метил(5,6,7,8-тетрагидро-8-хинолинил)амино]метил}-1Н-бензимидазол-4-карбоновой кислоты (400 мг; 0,30 ммоль) разбавляли N,N-диметилформамидом (6 мл) и добавляли [3-(4-морфолинил)пропил]амин (86 мг; 0,60 ммоль). Реакционную смесь перемешивали в течение 72 ч при комнатной температуре, фильтровали, концентрировали и очищали с использованием обращенно-фазовой ВЭЖХ (градиент 0%-70% ацетонитрил/вода/0,1%-ная трифторуксусная кислота) и лиофилизовали из воды, получая продукт (11,7 мг; 5%; желтое твердое вещество) в виде трифторацетатной соли. 1Н-ЯМР (DMSO-d6) 9.83 (br s, 1H), 9.22-9.18 (m, 1H), 8.56-8.55 (m, 1H), 7.86-7.83 (m, 2H), 7.79-7.77 (m, 1H), 7.46-7.43 (m, 1H), 7.37-7.33 (m, 1H), 4.81-4.75 (m, 1H), 4.71 (d, 1H, J=14.8 Гц), 4.57 (d, 1H, J=14.8 Гц), 4.00-3.93 (m, 2H), 3.67-3.58 (m, 2H), 3.43-3.39 (m, 4H), 3.18-3.13 (m, 2H), 3.10-2.98 (m, 2H), 2.87-2.79 (m, 2H), 2.75 (s, 3H), 2.43-2.35 (m, 1H), 2.11-2.00 (m, 2Н), 1.97-1.87 (m, 2H), 1.83-1.70 (m, 1 H). MS m/z 463,23 (M+1).
Пример 75: N-(1H-Бензимидазол-2-илметил)-2-{[метил(5,6,7,8-тетрагидро-8-хинолинил)амино]метил}-1Н-бензимидазол-4-карбоксамид

Связанный со смолой пентафторфениловый эфир 2-{[метил(5,6,7,8-тетрагидро-8-хинолинил)амино]метил}-1H-бензимидазол-4-карбоновой кислоты (400 мг; 0,30 ммоль) разбавляли N,N-диметилформамидом (5 мл) и добавляли 2-(аминометил)бензимидазола дигидрохлорид (132 мг; 0,60 ммоль) и N,N-диизопропилэтиламин (155 мг; 1,20 ммоль). Реакционную смесь перемешивали в течение 16 ч при комнатной температуре, фильтровали, концентрировали и очищали с использованием обращенно-фазовой ВЭЖХ (градиент 0%-70% ацетонитрил/вода/0,1%-ная трифторуксусная кислота) и лиофилизовали из воды, получая продукт (6,7 мг; 3%; твердое вещество желтого цвета) в виде трифторацетатной соли. 1Н-ЯМР (DMSO-d6) 9.95-9.92 (m, 1H), 8.44-8.43 (m, 1H), 7.95 (d, 1H, J=8.4 Гц), 7.88 (d, 1H, J=8.4 Гц), 7.67-7.63 (m, 3H), 7.41-7.37 (m, 2H), 7.35-7.31 (m, 1H), 4.99-4.94 (m, 2H), 4.78-4.73 (m, 1H), 4.67 (d, 1H, J=15.6 Гц), 4.53 (d, 1H, J=15.6 Гц), 2.72 (s, 3H), 2.68-2.62 (m, 2H), 2.42 (m, 1H), 2.04-1.94 (m, 2H), 1.78-1.64 (m, 1H). MS m/z 466,27 (M+1).
Пример 76: 2-{[Метил(5,6,7,8-тетрагидро-8-хинолинил)амино]метил}-N-[2-(2-пиридинил)этил]-1H-бензимидазол-4-карбоксамид

Связанный со смолой пентафторфениловый эфир 2-{[метил(5,6,7,8-тетрагидро-8-хинолинил)амино]метил}-1Н-бензимидазоп-4-карбоновой кислоты (400 мг; 0,30 ммоль) разбавляли N,N-диметилформамидом (5 мл) и добавляли [2-(2-пиридинил)этил]амин (2 мл). Реакционную смесь перемешивали в течение 40 ч при комнатной температуре, фильтровали, концентрировали и очищали с использованием обращенно-фазовой ВЭЖХ (градиент 0%-70% ацетонитрил/вода/0,1%-ная трифторуксусная кислота) и лиофилизовали из воды, получая продукт (14 мг; 6%; твердое вещество желтого цвета) в виде трифторацетатной соли. 1Н-ЯМР (DMSO-d6) 9.22-9.19 (m, 1H), 8.64 (d, 1H, J=6.1 Гц), 8.53 (d, 1H, J=6.1 Гц), 8.04-7.99 (m, 1H), 7.81-7.74 (m, 3Н), 7.56-7.48 (m, 2H), 7.43-7.39 (m, 1H), 7.33-7.29 (m, 1H), 4.78-4.73 (m, 1H), 4.66 (d, 1H, J=14.7 Гц), 4.51 (d, 1H, J=14.7 Гц), 3.77-3.72 (m, 2H), 3.15-3.11 (m, 2H), 2.84-2.76 (m, 2H), 2.72 (s, 3Н), 2.41-2.33 (m, 1H), 2.08-1.97 (m, 2H), 1.79-1.68 (m, 1H). MS m/z 441,24 (M+1).
Пример 77: 2-{[Метил(5,6,7,8-тетрагидро-8-хинолинил)амино]метил}-N-4-пиперидинил-1Н-бензимидазол-4-карбоксамид

2-{[Метил(5,6,7,8-тетрагидро-8-хинолинил)амино]метил}-1Н-бензимидазол-4-карбоновую кислоту (80 мг; 0,24 ммоль), бис(2-оксо-3-оксазолидинил)фосфинхлорид (91 мг; 0,37 ммоль), 1,1-диметилэтил-4-амино-1-пиперидинкарбоксилат (96 мг; 0,48 ммоль) и N,N-диизопропилэтиламин (62 мг; 0,48 ммоль) растворяли в N,N-диметилформамиде (5 мл) и реакционную смесь перемешивали в течение 72 ч. Реакционную смесь фильтровали, концентрировали и очищали с использованием обращенно-фазовой ВЭЖХ (градиент 0%-70% ацетонитрил/вода/0,1%-ная трифторуксусная кислота), получая защищенный амин в виде белого твердого вещества. Карбамат растворяли в дихлорметане (5 мл) и трифторуксусной кислоте (2 мл) и перемешивали в течение 2 ч. Реакционную смесь концентрировали и лиофилизовали из воды, получая продукт (80 мг; 44%; желтое твердое вещество) в виде трифторацетатной соли. 1Н-ЯМР (DMSO-d6) 9.03-9.00 (m, 1H), 8.64-8.59 (m, 1H), 8.53-8.53 (m, 1H), 8.44-8.37 (m, 1H), 7.88-7.82 (m, 2H), 7.77-7.75 (m, 1H), 7.44-7.41 (m, 1H), 7.36-7.32 (m, 2H), 4.78-4.75 (m, 1H), 4.68 (d, 1H, J=14.7 Гц), 4.54 (d, 1H, J=14.7 Гц), 4.15-4.06 (m, 1H), 3.35-3.29 (m, 2H), 3.10-3.00 (m, 2H), 2.84-2.79 (m, 2H), 2.75 (s, 3H), 2.42-2.34 (m, 1H), 2.09-1.98 (m, 4H), 1.80-1.64 (m, 3H). MS m/z 419,11 (M+1).
Пример 78: 2-{[Метил(5,6,7,8-тетрагидро-8-хинолинил)амино]метил}-N-3-пирролидинил-1Н-бензимидазол-4-карбоксамид

2-{[Метил(5,6,7,8-тетрагидро-8-хинолинил)амино]метил}-1H-бензимидазол-4-карбоновую кислоту (80 мг; 0,24 ммоль), бис(2-оксо-3-оксазолидинил)фосфинхлорид (91 мг; 0,37 ммоль), трет-бутил-3-амино-1-пирролидинкарбоксилат (90 мг: 0,48 ммоль) и N,N-диизопропилэтиламин (62 мг; 0,48 ммоль) растворяли в N,N-диметилформамиде (5 мл) и реакционную смесь перемешивали в течение 72 ч. Реакционную смесь фильтровали, концентрировали и очищали с использованием обращенно-фазовой ВЭЖХ (градиент 0%-70% ацетонитрил/вода/0,1%-ная трифторуксусная кислота), получая защищенный амин в виде белого твердого вещества. Карбамат растворяли в дихлорметане (5 мл) и трифторуксусной кислоте (2 мл) и перемешивали в течение 2 ч. Реакционную смесь концентрировали и лиофилизовали из воды, получая продукт (54,7 мг; 31%; липкое коричневое твердое вещество) в виде трифторацетатной соли. 1Н-ЯМР (DMSO-d6) 9.12 (br s, 1H), 8.96 (br s, 1H), 8.88 (br s, 1H), 8.53 (d, 1H), 7.87-7.85 (m, 2H), 7.76 (d, 1H), 7.44-7.34 (m, 2H), 4.78-4.67 (m, 2H), 4.60-4.54 (m, 2H), 4.35 (t, 1H), 3.83 (t, 1H), 3.54-3.45 (m, 1H), 3.39-3.14 (m, 3H), 2.76-2.74 (m, 1H), 2.73 (s, 3H), 2.35-2.21 (m, 2H), 2.09-1.98 (m, 2H), 1.82-1.69 (m, 1H). MS m/z 405,07 (M+1).
Пример 79: N-[3-(1Н-Имидазол-1-ил)пропил]-2-{[метил(5,6,7,8-тетрагидро-8-хинолинил)амино]метил}-1Н-бензимидазол-4-карбоксамид

2-{[Метил(5,6,7,8-тетрагидро-8-хинолинил)амино]метил}-1H-бензимидазол-4-карбоновую кислоту (80 мг; 0,24 ммоль), бис(2-оксо-3-оксазолидинил)фосфинхлорид (91 мг; 0,37 ммоль), [3-(1H-имидазол-1-ил)пропил]амин (мг; 0,48 ммоль) и N,N-диизопропилэтиламин (62 мг; 0,48 ммоль) растворяли в N,N-диметилформамиде (5 мл) и реакционную смесь перемешивали в течение 72 ч. Реакционную смесь фильтровали, концентрировали и очищали с использованием обращенно-фазовой ВЭЖХ (градиент 0%-70% ацетонитрил/вода/0,1%-ная трифторуксусная кислота), получая продукт (38 мг; 20%; коричневое твердое вещество) в виде трифторацетатной соли. 1Н-ЯМР (DMSO-d6) 9.17-9.13 (m, 1H), 9.12 (s, 1H), 8.52-8.51 (m, 1H), 7.84-7.80 (m, 3H), 7.76-7.74 (m, 1H), 7.69-7.68 (m, 1H), 7.43-7.40 (m, 1H), 7.36-7.32 (m, 1H), 4.80-4.76 (m, 1H), 4.70 (d, 1H, J=15,0 Гц), 4.56 (d, 1Н, J=15.0 Гц), 4.27-4.23 (m, 2H), 3.39-3.33 (m, 2H), 2.84-2.78 (m, 2H), 2.73 (s, 3H), 2.43-2.35 (m, 1H), 2.11-2.01 (m, 4H), 1.79-1.71 (m, 1H). MS m/z 444,04 (M+1).
Пример 80: N-[3-(Диметиламино)-2,2-диметилпропил]-2-{[метил(5,6,7,8-тетрагидро-8-хинолинил)амино]метил}-1Н-бензимидазол-4-карбоксамид

2-{[Метил(5,6,7,8-тетрагидро-8-хинолинил)амино]метил}-1Н-бензимидазол-4-карбоновую кислоту (80 мг; 0,24 ммоль), бис(2-оксо-3-оксазолидинил)фосфинхлорид (91 мг; 0,37 ммоль), N,N,2,2-тетраметил-1,3-пропандиамин (63 мг; 0,48 ммоль) и N,N-диизопропилэтиламин (62 мг; 0,48 ммоль) растворяли в N,N-диметилформамиде (5 мл), реакционную смесь перемешивали в течение 72 ч. Реакционную смесь фильтровали, концентрировали и очищали с использованием обращенно-фазовой ВЭЖХ (градиент 0%-70% ацетонитрил/вода/0,1%-ная трифторуксусная кислота), получая продукт (43 мг; 23%, желтое твердое вещество) в виде трифторацетатной соли. 1Н-ЯМР (DMSO-d6) 9.46-9.43 (m, 1H), 9.05-9.01 (m, 1H), 8.56-8.55 (m, 1H), 7.93-7.91 (m, 1H), 7.86-7.81 (m, 2H), 7.49-7.46 (m, 1H), 7.41-7.37 (m, 1H), 4.85-4.81 (m, 1H), 4.71-4.67 (m, 1H), 4.54-4.50 (m, 1H), 3.45-3.32 (m, 2H), 3.01-3.00 (m, 2H), 2.87 (d, 6H, J=4.6 Гц), 2.84-2.81 (m, 2H), 2.76 (s, 3H), 2.43-2.36 (m, 1H), 2.09-2.02 (m, 2H), 1.81-1.71 (m, 1H), 1.05 (d, 6H, J=11.7 Гц). MS m/z 449,14 (M+1).
Пример 81: N-[2-(1Н-Индол-3-ил)этил]-2-{[метил(5,6,7,8-тетрагидро-8-хинолинил)амино]метил}-1Н-бензимидазол-4-карбоксамид

2-{[Метил(5,6,7,8-тетрагидро-8-хинолинил)амино]метил}-1Н-бензимидазол-4-карбоновую кислоту (100 мг; 0,30 ммоль), бис(2-оксо-3-оксазолидинил)фосфинхлорид (115 мг; 0,45 ммоль), [2-(1H-индол-3-ил)этил]амин (77 мг; 0,48 ммоль) и N,N-диизопропилэтиламин (78 мг; 0,60 ммоль) растворяли в N,N-диметилформамиде (5 мл) и реакционную смесь перемешивали в течение 72 ч. Реакционную смесь фильтровали, концентрировали и очищали с использованием обращенно-фазовой ВЭЖХ (градиент 0%-70% ацетонитрил/вода/0,1%-ная трифторуксусная кислота), получая продукт (20 мг; 8%; желтое твердое вещество) в виде трифторацетатной соли. 1Н-ЯМР (DMSO-d6) 10.80 (s, 1H), 9.24-9.21 (m, 1H), 8.50-8.48 (m, 1H), 7.86-7.79 (m, 2H), 7.72-7.70 (m, 1H), 7.57-7.55 (m, 1H), 7.39-7.30 (m, 3Н), 7.16 (s, 1H), 7.06-7.02 (m, 1H), 6.96-6.93 (m, 1H), 4.78-4.74 (m, 1H), 4.68 (d, 1H, J=14.9 Гц), 4.55 (d, 1H, J=14.9 Гц), 3.66-3.55 (m, 2H), 2.97-2.93 (m, 2H), 2.81-2.74 (m, 2H), 2.72 (s, 3Н), 2.40-2.32 (m, 1H), 2.05-1.94 (m, 2H), 1.80-1.66 (m, 1H). MS m/z 479,08 (M+1).
Пример 82: N-({4-[(4-Амино-1-пиперидинил)карбонил]-1H-бензимидазол-2-ил}метил)-N-метил-5,6,7,8-тетрагидро-8-хинолинамин

2-{[Метил(5,6,7,8-тетрагидро-8-хинолинил)амино]метил}-1H-бензимидазол-4-карбоновую кислоту (80 мг; 0,24 ммоль), бис(2-оксо-3-оксазолидинил)фосфинхлорид (91 мг; 0,37 ммоль), трет-бутил-4-пиперидинилкарбамат (96 мг; 0,48 ммоль) и N,N-диизопропилэтиламин (62 мг; 0,48 ммоль) растворяли в N,N-диметилформамиде (5 мл) и реакционную смесь перемешивали в течение 72 ч. Реакционную смесь фильтровали, концентрировали и очищали с использованием обращенно-фазовой ВЭЖХ (градиент 0%-70% ацетонитрил/вода/0,1%-ная трифторуксусная кислота), получая защищенный амин в виде белого твердого вещества. Карбамат растворяли в дихлорметане (5 мл) и трифторуксусной кислоте (2 мл) и перемешивали в течение 2 ч. Реакционную смесь концентрировали, очищали с использованием обращенно-фазовой ВЭЖХ (градиент 0%-70% ацетонитрил/вода/0,1%-ная трифторуксусная кислота) и лиофилизовали из воды, получая продукт (32 мг; 17%; твердое вещество белого цвета) в виде трифторацетатной соли. 1Н-ЯМР (DMSO-d6) 8.54-8.53 (m, 1Н), 7.88 (br s, 2H), 7.78-7.76 (m, 1Н), 7.72-7.70 (m, 1Н), 7.45-7.42 (m, 1Н), 7.32-7.28 (m, 1Н), 7.22-7.20 (m, 1H), 4.79-4.75 (m, 1H), 4.60 (d, 1H, J=15,0 Гц), 4.47 (d, 1H, J=15,0 Гц), 3.70-3.56 (m, 1Н), 3.31-3.20 (m, 2H), 3.10-2.89 (m, 2H), 2.85-2.79 (m, 2H), 2.74 (s, 3H), 2.40-2.29 (m, 1 H), 2.08-1.67 (m, 5H), 1.49-1.35 (m, 2H). MS m/z 419,08 (M+1).
Пример 83: N-({4-[(3-амино-1-пирролидинил)карбонил]-1H-бензимидазол-2-ил}метил)-N-метил-5,6,7,8-тетрагидро-8-хинолинамин

2-{[Метил(5,6,7,8-тетрагидро-8-хинолинил)амино]метил}-1Н-бензимидазол-4-карбоновую кислоту (100 мг; 0,30 ммоль), бис(2-оксо-3-оксазолидинил)фосфинхлорид (115 мг; 0,45 ммоль), трет-бутил-3-пирролидинилкарбамат (77 мг; 0,48 ммоль) и N,N-диизопропилэтиламин (78 мг; 0,60 ммоль) растворяли в N,N-диметилформамиде (5 мл) и реакционную смесь перемешивали в течение 72 ч. Реакционную смесь фильтровали, концентрировали и очищали с использованием обращенно-фазовой ВЭЖХ (градиент 0%-70% ацетонитрил/вода/0,1%-ная трифторуксусная кислота), получая защищенный амин в виде белого твердого вещества. Карбамат растворяли в дихлорметане (5 мл) и трифторуксусной кислоте (2 мл) и перемешивали в течение 2 ч. Реакционную смесь концентрировали, очищали с использованием обращенно-фазовой ВЭЖХ (градиент 0%-70% ацетонитрил/вода/0,1%-ная трифторуксусная кислота) и лиофилизовали из воды, получая продукт (17 мг; 3%; белое твердое вещество) в виде трифторацетатной соли. 1Н-ЯМР 8.07 (br s, 1H), 7.94 (br s, 1H), 7.77-7.73 (m, 2H), 7.44-7.38 (m, 2H), 7.33-7.29 (m, 1H), 4.78-4.74 (m, 1H), 4.67-4.63 (m, 1H), 4.54-4.50 (m, 1H), 3.91-3.70 (m, 2H), 3.67-3.54 (m, 2H), 3.47-3.37 (m, 1H), 2.85-2.78 (m, 2H), 2.73 (s, 3H), 2.43-2.33 (m, 1H), 2.23-1.88 (m, 4H), 1.78-1.66 (m, 1H). MS m/z 405,07 (M+1).
Пример 84: N-({4-[(4-Ацетил-1-пиперазинил)карбонил]-1H-бензимидазол-2-ил}метил)-N-метил-5,6,7,8-тетрагидро-8-хинолинамин

2-{[Метил(5,6,7,8-тетрагидро-8-хинолинил)амино]метил}-1H-бензимидазол-4-карбоновую кислоту (100 мг; 0,30 ммоль), бис(2-оксо-3-оксазолидинил)фосфинхлорид (151 мг; 0,60 ммоль), 1-ацетилпиперазин (76 мг; 0,48 ммоль) и N,N-диизопропилэтиламин (78 мг; 0,60 ммоль) растворяли в N,N-диметилформамиде (5 мл) и реакционную смесь перемешивали в течение 72 ч. Реакционную смесь фильтровали, концентрировали и очищали с использованием обращенно-фазовой ВЭЖХ (градиент 0%-70% ацетонитрил/вода/0,1%-ная трифторуксусная кислота), получая продукт (67 мг; 33%; белое твердое вещество) в виде трифторацетатной соли. 1Н-ЯМР (DMSO-d6) 8.53-8.51 (m, 1H), 7.77-7.71 (m, 2H), 7.44-7.41 (m, 1H), 7.33-7.26 (m, 2H), 4.89-4.84 (m, 1H), 4.66 (d, 1H, J=15.2 Гц), 4.52 (d, 1H, J=15.2 Гц), 3.72-3.19 (m, 8H), 2.89-2.79 (m, 2H), 2.77 (s, 3H), 2.40-2.30 (m, 1H), 2.09-1.89 (m, 5H), 1.80-1.71 (m, 1H). MS m/z 447,05 (M+1).
Пример 85: N-[(4-{[4-(Этилсульфонил)-1-пиперазинил]карбонил}-1H-бензимидазол-2-ил)метил]-N-метил-5,6,7,8-тетрагидро-8-хинолинамин

2-{[Метил(5,6,7,8-тетрагидро-8-хинолинил)амино]метил}-1Н-бензимидазол-4-карбоновую кислоту (100 мг; 0,30 ммоль), бис(2-оксо-3-оксазолидинил)фосфинхлорид (151 мг; 0,60 ммоль), 1-(этилсульфонил)-пиперазин (105 мг; 0,48 ммоль) и N,N-диизопропилэтиламин (78 мг; 0,60 ммоль) растворяли в N,N-диметилформамиде (5 мл) и реакционную смесь перемешивали в течение 72 ч. Реакционную смесь фильтровали, концентрировали и очищали с использованием обращенно-фазовой ВЭЖХ (градиент 0%-70% ацетонитрил/вода/0,1%-ная трифторуксусная кислота), получая продукт (101 мг; 46%; белое твердое вещество) в виде трифторацетатной соли. 1Н-ЯМР (DMSO-d6) 8.55-8.53 (m, 1H), 7.79-7.72 (m, 2H), 7.46-7.43 (m, 1H), 7.34-7.28 (m, 2H), 4.84-4.80 (m, 1H), 4.66-4.62 (m, 1H), 4.53-4.49 (m, 1H), 3.76-3.11 (m, 8H), 3.08-3.03 (m, 2H), 2.90-2.81 (m, 2H), 2.77 (s, 3Н), 2.42-2.30 (m, 1H), 2.09-1.96 (m, 2H), 1.82-1.71 (m, 1H), 1.21-1.17 (m, 3H). MS m/z 497,0 (М+1).
Пример 86: N-Метил-N-({4-[(4-метилгексагидро-1H-1,4-диазепин-1-ил)карбонил]-1H-бензимидазол-2-ил}метил)-5,6,7,8-тетрагидро-8-хинолинамин

2-{[Метил(5,6,7,8-тетрагидро-8-хинолинил)амино]метил}-1H-бензимидазол-4-карбоновую кислоту (100 мг; 0,30 ммоль), бис(2-оксо-3-оксазолидинил)фосфинхлорид (151 мг; 0,60 ммоль), N-метилгомопиперазин (67 мг; 0,48 ммоль) и N,N-диизопропилэтиламин (78 мг; 0,60 ммоль) растворяли в N,N-диметилформамиде (5 мл) и реакционную смесь перемешивали в течение 72 ч. Реакционную смесь фильтровали, концентрировали и очищали с использованием обращенно-фазовой ВЭЖХ (градиент 0%-70% ацетонитрил/вода/0,1%-ная трифторуксусная кислота), получая продукт (82 мг; 35%; твердое вещество желтого цвета) в виде трифторацетатной соли. 1Н-ЯМР (CDCl3) 11.62 (br s, 1H), 9.05-8.96 (m, 1H), 8.17-8.15 (m, 1H), 7.93-7.91 (m, 1H), 7.79 (m, 1H), 7.54-7.47 (m, 2H), 4.58-4.31 (m, 3H), 4.17-3.88 (m, 1H), 3.80-3.55 (m, 3H), 3.49-3.20 (m, 2H), 3.03-3.00 (m, 2H), 2.93 (d, 3H, J=6.6 Гц), 2.63-2.52 (m, 1H), 2.45-2.23 (m, 4H), 2.09-1.80 (m, 3H). MS m/z 433,1 (M+1).
Пример 87: N-Метил-N-[(4-{[4-(1-метилэтил)-1-пиперазинил]карбонил}-1H-бензимидазол-2-ил)метил]-5,6,7,8-тетрагидро-8-хинолинамин

2-{[Метил(5,6,7,8-тетрагидро-8-хинолинил)амино]метил}-1H-бензимидазол-4-карбоновую кислоту (100 мг; 0,30 ммоль), бис(2-оксо-3-оксазолидинил)фосфинхлорид (151 мг; 0,60 ммоль), N-изопропилпиперазин (75 мг; 0,48 ммоль) и N,N-диизопропилэтиламин (78 мг; 0,60 ммоль) растворяли в N,N-диметилформамиде (5 мл) и реакционную смесь перемешивали в течение 72 ч. Реакционную смесь фильтровали, концентрировали и очищали с использованием обращенно-фазовой ВЭЖХ (градиент 0%-70% ацетонитрил/вода/0,1%-ная трифторуксусная кислота), получая продукт (82 мг; 35%; твердое вещество желтого цвета) в виде трифторацетатной соли. 1Н-ЯМР (DMSO-d6) 9.87 (br s, 1H), 8.56-8.55 (m, 1H), 7.81-7.75 (m, 2H), 7.47-7.44 (m, 1H), 7.38-7.31 (m, 1H), 4.80-4.76 (m, 1H), 4.62 (d, 1H, J=14.8 Гц), 4.49 (d, 1H, J=14.8 Гц), 3.54-3.03 (m, 9H), 2.86-2.81 (m, 2H), 2.75 (s, 3Н), 2.39-2.33 (m, 1H), 2.10-1.97 (m, 2H), 1.83-1.67 (m, 1H), 1.25 (d, 6H, J=6.6 Гц). MS m/z 447,09 (M+1).
Пример 88: N-(1-Метил-4-пиперидинил)-2-{[метил(5,6,7,8-тетрагидро-8-хинолинил)амино]метил}-1Н-бензимидазол-4-карбоксамид

2-{[Метил(5,6,7,8-тетрагидро-8-хинолинил)амино]метил}-1Н-бензимидазол-4-карбоновую кислоту (80 мг; 0,24 ммоль), бис(2-оксо-3-оксазолидинил)фосфинхлорид (92 мг; 0,36 ммоль), 1-метил-4-пиперидинамин (55 мг; 0,48 ммоль) и N,N-диизопропилэтиламин (47 мг; 0,36 ммоль) растворяли в N,N-диметилформамиде (5 мл) и реакционную смесь перемешивали в течение 16 ч. Реакционную смесь фильтровали, концентрировали и очищали с использованием обращенно-фазовой ВЭЖХ (градиент 0%-70% ацетонитрил/вода/0,1%-ная трифторуксусная кислота), получая продукт (87 мг; 47%; желтое твердое вещество) в виде трифторацетатной соли. 1Н-ЯМР (DMSO-d6) 9.72 (br s, 1H), 9.06-9.04 (m, 1H), 8.55-8.54 (m, 1H), 7.89-7.83 (m, 1H), 7.79-7.77 (m, 1H), 7.46-7.43 (m, 1H), 7.37-7.33 (m, 1H), 4.80-4.76 (m, 1H), 4.70 (d, 1H, J=15,0 Гц), 4.55 (d, 1H, J=15,0 Гц), 4.25-4.01 (m, 2H), 3.51-3.46 (m, 2H), 3.40-3.30 (m, 1H), 3.26-3.07 (m, 2H), 2.85-2.73 (m, 8H), 2.46-2.35 (m, 1H), 2.12-2.02 (m, 3H), 1.83-1.69 (m, 2H). MS m/z 433,12 (M+1).
Пример 89: N-[(4-{[3-(Диметиламино)-1-пирролидинил]карбонил}-1H-бензимидазол-2-ил)метил]-N-метил-5,6,7,8-тетрагидро-8-хинолинамин

2-{[Метил(5,6,7,8-тетрагидро-8-хинолинил)амино]метил}-1Н-бензимидазол-4-карбоновую кислоту (90 мг; 0,24 ммоль), бис(2-оксо-3-оксазолидинил)фосфинхлорид (100 мг; 0,40 ммоль), N,N-диметил-3-пирролидинамин (62 мг; 0,54 ммоль) и N,N-диизопропилэтиламин (52 мг; 0,40 ммоль) растворяли в N,N-диметилформамиде (5 мл) и реакционную смесь перемешивали в течение 16 ч. Реакционную смесь фильтровали, концентрировали и очищали с использованием обращенно-фазовой ВЭЖХ (градиент 0%-60% ацетонитрил/вода/0,1%-ная трифторуксусная кислота), получая продукт (48 мг; 23%; красное твердое вещество) в виде трифторацетатной соли. 1Н-ЯМР (DMSO-d6) 10.31 (br s, 1H), 8.56-8.55 (m, 1H), 7.79-7.77 (m, 2H), 7.47-7.41 (m, 2H), 7.34-7.31 (m, 1H), 4.79-4.74 (m, 1H), 4.65 (d, 1H, J=14.7 Гц), 4.52 (d, 1H, J=14.7 Гц), 4.03-3.55 (m, 5H), 2.90-2.73 (m, 11H), 2.41-1.99 (m, 5H), 1.81-1.69 (m, 1H). MS m/z 433,32 (M+1).
Пример 90: N-[2-(1Н-Имидазол-4-ил)этил]-N-метил-2-{[метил(5,6,7,8-тетрагидро-8-хинолинил)амино]метил}-1H-бензимидазол-4-карбоксамид

2-{[Метил(5,6,7,8-тетрагидро-8-хинолинил)амино]метил}-1Н-бензимидазол-4-карбоновую кислоту (100 мг; 0,30 ммоль), бис(2-оксо-3-оксазолидинил)фосфинхлорид (113 мг; 0,45 ммоль), [2-(1H-имидазол-4-ил)этил]метиламин (75 мг; 0,60 ммоль, полученный в соответствии с Tett. Lett. (1967). 23, 239-242) и N,N-диизопропилэтиламин (58 мг; 0,45 ммоль) растворяли в N,N-диметилформамиде (5 мл) и реакционную смесь перемешивали в течение 16 ч. Реакционную смесь фильтровали, концентрировали и очищали с использованием обращенно-фазовой ВЭЖХ (градиент 0%-60% ацетонитрил/вода/0,1%-ная трифторуксусная кислота), получая продукт (17 мг; 7%; твердое вещество желтого цвета) в виде трифторацетатной соли. 1Н-ЯМР (DMSO-d6) 8.99 (br s, 1H), 8.75 (br s, 1H), 8.53-8.51 (m, 1H), 7.78-7.76 (m, 1H), 7.69-7.66 (m, 1H), 7.57 (brs, 1H), 7.45-7.42 (m, 1H), 7.26 (br s, 1H), 7.14 (br s, 1H), 4.60 (d, 1H, J=14.9 Гц), 4.48 (d, 1H, J=14.9 Гц), 3.81-3.73 (m, 2H), 3.64-3.55 (m, 2H), 3.12-2.76 (m, 5H), 2.72 (s, 3H), 2.39-2.29 (m, 1H), 2.06-1.96 (m, 2H), 1.77-1.68 (m, 1 H). MS m/z 444,06 (M+1).
Пример 91: N-Метил-N-({4-[(2-метил-1-пиперазинил)карбонил]-1H-бензимидазол-2-ил}метил)-5,6,7,8-тетрагидро-8-хинолинамин

2-{[Метил(5,6,7,8-тетрагидро-8-хинолинил)амино]метил}-1H-бензимидазол-4-карбоновую кислоту (50 мг; 0,15 ммоль), бис(2-оксо-3-оксазолидинил)фосфинхлорид (57 мг; 0,22 ммоль), трет-бутил-3-метил-1-пиперазинкарбоксилат (60 мг; 0,30 ммоль) и N,N-диизопропилэтиламин (28 мг; 0,22 ммоль) растворяли в N,N-диметилформамиде (5 мл) и реакционную смесь перемешивали в течение 16 ч. Реакционную смесь фильтровали, концентрировали и очищали с использованием обращенно-фазовой ВЭЖХ (градиент 0%-60% ацетонитрил/вода/0,1%-ная трифторуксусная кислота), получая защищенный амин. Карбамат растворяли в дихлорметане (5 мл) и трифторуксусной кислоте (2 мл), перемешивали в течение одного часа, концентрировали и очищали с использованием обращенно-фазовой ВЭЖХ (градиент 0%-60% ацетонитрил/вода/0,1%-ная трифторуксусная кислота), получая продукт (32 мг; 28%; желтое твердое вещество) в виде трифторацетатной соли. 1Н-ЯМР (DMSO-d6) 9.40-9.32 (m, 1H), 8.80 (br s, 1H), 8.56-8.55 (m, 1H), 7.83-7.81 (m, 1H), 7.75-7.73 (m, 1H), 7.50-7.46 (m, 1H), 7.36-7.29 (m, 2H), 4.85-4.75 (m, 1H), 4.62 (d, 1H, J=15.8 Гц), 4.51-4.45 (m, 1H), 3.30-2.95 (m, 6H), 2.87-2.80 (m, 3H), 2.74 (s, 3Н), 2.40-2.31 (m, 1H), 2.09-1.98 (m, 2H), 1.83-1.70 (m, 1H), 1.30-1.26 (m, 3H). MS m/z 419,07 (M+1).
Пример 92: N-({4-[(1S,4S)-2,5-Диазабицикло[2.2.1]гепт-2-карбонил]-1H-бензимидазол-2-ил}метил)-N-метил-5,6,7,8-тетрагидро-8-хинолинамин

2-{[Метил(5,6,7,8-тетрагидро-8-хинолинил)амино]метил}-1H-бензимидазол-4-карбоновую кислоту (100 мг; 0,30 ммоль), бис(2-оксо-3-оксазолидинил)фосфинхлорид (113 мг; 0,45 ммоль), трет-бутил-(1S,4S)-2,5-диазабицикло[2.2.1]гептан-2-карбоксилат (71 мг; 0,36 ммоль) и N,N-диизопропилэтиламин (58 мг; 0,45 ммоль) растворяли в N,N-диметилформамиде (5 мл) и реакционную смесь перемешивали в течение 16 ч. Реакционную смесь фильтровали, концентрировали и очищали с использованием обращенно-фазовой ВЭЖХ (градиент 0%-70% ацетонитрил/вода/0,1%-ная трифторуксусная кислота), получая защищенный амин. Карбамат растворяли в дихлорметане (5 мл) и трифторуксусной кислоте (2 мл), перемешивали в течение 2 ч, концентрировали и очищали с использованием обращенно-фазовой ВЭЖХ (градиент 0%-70% ацетонитрил/вода/0,1%-ная трифторуксусная кислота), получая продукт (9,2 мг; 4%; твердое вещество желтого цвета) в виде трифторацетатной соли. 1Н-ЯМР (DMSO-d6) 8.97 (br s, 1H), 8.81 (br s, 1H), 8.53-8.51 (m, 1H), 7.82-7.73 (m, 2H), 7.47-7.28 (m, 3H), 4.91-4.38 (m, 4H), 3.82-3.46 (m, 2H), 3.39-3.14 (m, 2H), 2.88-2.72 (m, 5H), 2.40-2.32 (m, 1H), 2.16-1.96 (m, 2H), 1.81-1.63 (m, 1H). MS m/z 417,10 (M+1).
Пример 93: N-{[4-(Гексагидро-1H-1,4-диазепин-1-илкарбонил)-1H-бензимидазол-2-ил]метил}-N-метил-5,6,7,8-тетрагидро-8-хинолинамин

2-{[Метил(5,6,7,8-тетрагидро-8-хинолинил)амино]метил}-1Н-бензимидазол-4-карбоновую кислоту (90 мг; 0,27 ммоль), бис(2-оксо-3-оксазолидинил)фосфинхлорид (100 мг; 0,40 ммоль), N-трет-бутокси-гомопиперазин (108 мг; 0,54 ммоль) и N,N-диизопропилэтиламин (52 мг; 0,4 ммоль) растворяли в N,N-диметилформамиде (5 мл) и реакционную смесь перемешивали в течение 16 ч. Реакционную смесь фильтровали, концентрировали и очищали с использованием обращенно-фазовой ВЭЖХ (градиент 0%-60% ацетонитрил/вода/0,1%-ная трифторуксусная кислота), получая защищенный амин. Карбамат растворяли в дихлорметане (5 мл) и трифторуксусной кислоте (2 мл), перемешивали в течение 3 ч, концентрировали и очищали с использованием обращенно-фазовой ВЭЖХ (градиент 0%-60% ацетонитрил/вода/0,1%-ная трифторуксусная кислота). получая продукт (52 мг; 25%: твердое вещество белого цвета) в виде трифторацетатной соли. 1Н-ЯМР (DMSO-d6) 8.81 (br s, 1H), 8.56-8.55 (m, 1H), 7.82-7.79 (m, 1H), 7.73-7.71 (m, 1H), 7.48-4.75 (m, 1H), 7.33-7.31 (m, 2H), 4.82-4.74 (m, 1H), 4.63-4.59 (m, 1H), 4.50-4.46 (m, 1H), 3.90-3.82 (m, 1H), 3.80-3.68 (m, 1H), 3.61-3.49 (m, 1H), 3.39-3.12 (m, 5H), 2.87-2.80 (m, 2H), 2.75 (s, 3H), 2.41-2.30 (m, 1H), 2.09-1.95 (m, 3H), 1.90-1.71 (m, 2H). MS m/z 433,12 (M+1).
Пример 94: N-({4-[3-(Диметиламино)пропил]-1H-бензимидазол-2-ил}метил)-N-метил-5,6,7,8-тетоагидро-8-хинолинамин

А) 2-{[Метил(5,6,7,8-тетрагидро-8-хинолинил)амино]метил}-1H-бензимидазол-4-карбальдегид
Раствор метил-2-{[метил(5,6,7,8-тетрагидро-8-хинолинил)амино]метил}-1H-бензимидазол-4-карбоксилата (1,0 г; 2,9 ммоль) в безводном тетрагидрофуране (20 мл) охлаждали в ледяной бане и по каплям добавляли раствор алюмогидрида лития (1,0 М в THF; 2,9 мл; 2,9 ммоль). Реакционную смесь нагревали до комнатной температуры и перемешивали в течение 30 мин. Добавляли дополнительную порцию алюмогидрида лития (2,9 мл; 2,9 ммоль) и перемешивали в течение 30 мин. Реакционную смесь гасили водной сегнетовой солью (5% мас./об.; 20 мл). Смесь экстрагировали этилацетатом (20 мл), сушили над сульфатом натрия, фильтровали и концентрировали, получая неочищенный спирт (900 мг; 98%) в виде желтой пены. Этот спирт растворяли в дихлорметане (20 мл) и порциями добавляли периодинан Десса-Мартина (1,3 г; 3,1 ммоль). Реакционную смесь перемешивали при комнатной температуре в течение одного часа, гасили водным бисульфитом натрия (5%-ный масс./об.; 50 мл) и насыщенным водным бикарбонатом натрия (50 мл) и перемешивали в течение 30 мин. Погашенную реакционную смесь экстрагировали дихлорметаном (2×100 мл), концентрировали и очищали колоночной хроматографией на диоксиде кремния (градиент 2%-5% 2 М аммиака в смеси метанол/дихлорметан), получая продукт (700 мг; 71%) в виде коричневой пены. 1Н-ЯМР (DMSO-d6) 13.40 (s, 1H), 10.18 (s, 1H), 8.73 (s, 1H), 7.91-7.89 (m, 1H), 7.83-7.79 (m, 1H), 7.54 (d, 1H, J=7.7 Гц), 7.37-7.33 (m, 1H), 7.26-7.22 (m, 1H), 4.02-3.95 (m, 3Н), 2.86-2.78 (m, 1H), 2.73-2.65 (m, 1H), 2.32 (s, 3Н), 2.10-2.04 (m, 1H), 1.99-1.85 (m, 2H), 1.73-1.64 (m, 1H).
Б) 3-(2-{[Метил(5,6,7,8-тетрагидро-8-хинолинил)амино]метил}-1Н-бензимидазол-4-ил)-1-пропанол
К раствору 2-{[метил(5,6,7,8-тетрагидро-8-хинолинил)амино]метил}-1H-бензимидазол-4-карбальдегида (700 мг; 2,2 ммоль) в толуоле (20 мл) добавляли метил(трифенилфосфоранилиден)ацетат (880 мг; 2,6 ммоль) в виде одной порции. Реакционную смесь перемешивали в течение ночи при комнатной температуре, концентрировали и очищали колоночной хроматографией на диоксиде кремния (градиент 2%-5% 2 М аммиака в смеси метанол/дихлорметан), получая сложный эфир (900 мг) в виде коричневого масла. Этот эфир растворяли в безводном THF (10 мл) и по каплям добавляли алюмогидрид лития (1,0 М в THF; 6,6 мл; 6,6 ммоль). Реакционную смесь перемешивали в течение 2 ч, гасили водой, промывали водной сегнетовой солью (5% мас./об.) и экстрагировали этилацетатом (2×50 мл). Органические экстракты объединяли, сушили над сульфатом натрия, фильтровали и концентрировали, получая смесь насыщенного спирта и аллилового спирта. Эту смесь и палладий (10% мас./мас. на угле; каталитический) растворяли в метаноле (100 мл) и смесь помещали в атмосферу водорода (50 ф/кв. дюйм (344,75 кПа)) на 48 ч. Реакционную смесь фильтровали через диатомовую землю, концентрировали и очищали с использованием обращенно-фазовой ВЭЖХ (градиент 0%-50% ацетонитрил/вода/0,1%-ная трифторуксусная кислота), получая продукт (295 мг; 37%; желтое твердое вещество) в виде трифторацетатной соли. 1Н-ЯМР (CDCl3) 9.06-9.04 (m, 1H), 8.17-8.15 (m, 1H), 7.78-7.74 (m, 1H), 7.66-7.61 (m, 1H), 7.44-7.40 (m, 1H), 7.31-7.29 (m, 1H), 4.56-4.42 (m, 2H), 4.36-4.32 (m, 1H), 3.74-3.72 (m, 2H), 3.12-3.08 (m, 2H), 2.46-2.39 (m, 1H), 2.33 (s, 3H), 2.27-2.15 (m, 2H), 2.03-1.84 (m, 5H).
В) 3-(2-{[Метил(5,6,7,8-тетрагидро-8-хинолинил)амино]метил}-1H-бензимидазол-4-ил)пропаналь
К раствору 3-(2-{[метил(5,6,7,8-тетрагидро-8-хинолинил)амино]метил}-1H-бензимидазол-4-ил)-1-пропанола (295 мг; 0,84 ммоль) в дихлорметане (100 мл) добавляли в виде одной порции IBX-полистирол (2,2 г: 2,40 ммоль; NovaBiochem; 1,4 ммоль/г). Суспензию перемешивали в течение 16 ч, фильтровали и концентрировали, получая продукт в виде прозрачного масла. Этот альдегид использовали неочищенным на последующих стадиях.
Г) N-({4-[3-(Диметиламино)пропил]-1H-бензимидазол-2-ил}метил)-N-метил-5,6,7,8-тетрагидро-8-хинолинамин
К раствору 3-(2-{[метил(5,6,7,8-тетрагидро-8-хинолинил)амино]метил}-1H-бензимидазол-4-ил)пропаналя (60 мг; 0,17 ммоль) в дихлорэтане (5 мл) добавляли уксусную кислоту (15 мкл; 0,26 ммоль), триацетоксиборгидрид натрия (66 мг; 0,26 ммоль) и диметиламин (2М в THF; 0,17 мл; 0,34 ммоль). Реакционную смесь перемешивали в течение 16 ч, очищали с использованием обращенно-фазовой ВЭЖХ (градиент 0%-50% ацетонитрил/вода/0,1%-ная трифторуксусная кислота) и лиофилизовали из воды, получая продукт (34 мг; 28%; прозрачное масло) в виде трифторацетатной соли. 1Н-ЯМР (DMSO-d6) 9.52 (br s, 1H), 8.57 (d, 1H), 7.82 (d, 1H), 7.53-7.46 (m, 2H), 7.24 (t, 1H), 7.14 (d, 1H), 4.77-4.72 (m, 1H), 4.58 (d, 1H), 4.45 (d, 1H), 3.09-3.05 (m, 2H), 2.96-2.92 (m, 2H), 2.86-2.80 (m, 2H), 2.86-2.74 (m, 7H), 2.71 (s, 3H), 2.37-2.31 (m, 1H), 2.07-1.98 (m, 3H), 1.81-1.70 (m, 1H). MS m/z 378,28 (M+1).
Пример 95: N-метил-N-({4-[3-(1-пирролидинил)пропил]-1H-бензимидазол-2-ил}метил)-5,6,7,8-тетрагидро-8-хинолинамин

К раствору 3-(2-{[метил(5,6,7,8-тетрагидро-8-хинолинил)амино]метил}-1H-бензимидазол-4-ил)пропаналя (60 мг; 0,17 ммоль) в дихлорэтане (5 мл) добавляли уксусную кислоту (15 мкл; 0,26 ммоль), триацетоксиборгидрид натрия (66 мг; 0,26 ммоль) и пирролидин (24 мг; 0,34 ммоль). Реакционную смесь перемешивали в течение 16 ч, очищали с использованием обращенно-фазовой ВЭЖХ (градиент 0%-50% ацетонитрил/вода/0,1%-ная трифторуксусная кислота) и лиофилизовали из воды, получая продукт (25 мг; 20%; прозрачное масло) в виде трифторацетатной соли. 1Н-ЯМР (CDCl3) 11.65 (br s, 1H), 9.16 (d, 1H), 8.16 (d, 1H), 7.77-7.74 (m, 1H), 7.66 (d, 1H), 7.45-7.42 (m, 1H), 7.31-7.29 (m, 1H), 4.60-4.48 (m, 2H), 4.35-4.31 (m, 1H), 3.79-3.76 (m, 2H), 3.33-3.28 (m, 2H), 3.03-2.95 (m, 5H), 2.49-2.44 (m, 1H), 2.35-2.30 (m, 2H), 2.26-1.84 (m, 8H). MS m/z 404,16 (M+1).
Пример 96: N-метил-N-({4-[3-(1-пиперидинил)пропил]-1Н-бензимидазол-2-ил}метил)-5,6,7,8-тетрагидро-8-хинолинамин

К раствору 3-(2-{[метил(5,6,7,8-тетрагидро-8-хинолинил)амино]метил}-1 Н-бензимидазол-4-ил)пропаналя (60 мг; 0,17 ммоль) в дихлорэтане (5 мл) добавляли уксусную кислоту (15 мкл; 0,26 ммоль), триацетоксиборгидрид натрия (66 мг; 0,26 ммоль) и пиперидин (29 мг; 0,34 ммоль). Реакционную смесь перемешивали в течение 16 ч, очищали с использованием обращенно-фазовой ВЭЖХ (градиент 0%-50% ацетонитрил/вода/0,1%-ная трифторуксусная кислота) и лиофилизовали из воды, получая продукт (24 мг; 19%; прозрачное масло) в виде трифторацетатной соли. 1Н-ЯМР (CDCl3) 11.19 (br s, 1H), 9.14 (d, 1H), 8.15 (d, 1H), 7.77-7.76 (m, 1H), 7.66 (d, 1H), 7.43 (t, 1H), 7.30 (d, 1H), 4.60-4.47 (m, 2H), 4.35-4.31 (m, 1H), 3.62-3.59 (m, 2H), 3.23-3.17 (m, 2H), 3.02-2.98 (m, 4H), 2.73-2.64 (m, 3H), 2.50-2.44 (m, 1H), 2.35 (s, 3H), 2.35-2.33 (m, 1H), 2.25-2.21 (m, 2H), 2.06-1.83 (m, 6H), 1.46-1.37 (m, 1H). MS m/z 418,15 (M+1).
Пример 97: N-{[4-(3-Аминопропил)-1Н-бензимидазол-2-ил]метил}-N-метил-5,6,7,8-тетрагидро-8-хинолинамин

К раствору 3-(2-{[метил(5,6,7,8-тетрагидро-8-хинолинил)амино]метил}-1 Н-бензимидазол-4-ил)пропаналя (120 мг; 0,34 ммоль) в метаноле (7 мл) добавляли ацетат аммония (260 мг; 3,40 ммоль) и цианоборгидрид натрия (110 мг; 1,7 ммоль). Реакционную смесь перемешивали в течение 16 ч при 50°С и охлаждали. По каплям добавляли 5 н. HCl и реакционную смесь перемешивали в течение 2 ч, концентрировали, очищали с использованием обращенно-фазовой ВЭЖХ (градиент 0%-50% ацетонитрил/вода/0,1%-ная трифторуксусная кислота) и лиофилизовали из воды, получая продукт (31 мг; 13%; твердое вещество желтовато-коричневой окраски) в виде трифторацетатной соли. 1Н-ЯМР (DMSO-d6) 8.62 (d, 1H), 7.98 (d, 1H), 7.84 (br s, 2H), 7.61-7.54 (m, 2H), 7.31 (t, 1H), 7.19 (d, 1H), 4.68-4.64 (m, 1H), 4.55 (d, 1H), 4.40 (d, 1H), 3.01-2.97 (m, 2H), 2.87-2.79 (m, 4H), 2.54 (s, 3H), 2.30-2.23 (m, 1H), 2.07-2.01 (m, 1H), 1.99-1.89 (m, 3H), 1.81-1.70 (m, 1H). MS m/z 350,14 (M+1).
Пример 98: N-[(4-Амино-1H-бензимидазол-2-ил)метил]-N-метил-5,6,78-тетрагидро-8-хинолинамин

А) 1,1-Диметилэтил-(2-{[метил(5,6,7,8-тетрагидро-8-хинолинил)амино]-метил}-1H-бензимидазол-4-ил)карбамат
Метил-2-{[метил(5,6,7,8-тетрагидро-8-хинолинил)амино]метил}-1H-бензимидазол-4-карбоксилат (1,3 г; 3,7 ммоль) растворяли в метаноле (5 мл), тетрагидрофуране (5 мл) и воде (5 мл). Добавляли гидроксид лития (265 мг; 11,1 ммоль). Реакционную смесь перемешивали в течение 72 ч при 70°С. Упаривали досуха, добавляли бензол (10 мл), выпаривали, добавляли Et2O (10 мл) и выпаривали. Сушили под вакуумом. Часть (50%) растворяли в трет-BuOH (20 мл), добавляли триэтиламин (0,27 мл; 1,9 ммоль) и дифенилфосфорилазид (0,53 мл; 1,9 ммоль) и смесь нагревали до кипения с обратным холодильником в атмосфере N2 в течение 24 ч. Растворитель выпаривали и остаток растворяли в EtOAc и последовательно промывали 10 мл каждого из следующего: 10%-ная лимонная кислота, вода, насыщенный NaHCO3 и насыщенный NaCl. Органический слой сушили над Na2SO4, фильтровали и упаривали. Колоночная хроматография (1-5% 2 н. NH3/MeOH в СН2Cl2) позволила получить желтое твердое вещество (0,25 г; 30%). 1Н-ЯМР (DMSO-d6) 8.46 (m, 1H), 7.48 (d, 2H), 7.16 (dd, 2H), 7.02 (m, 1H), 4.10 (br s, 1H), 4.03-3.99 (m, 2H), 3.91 (t, 1H), 2.83-2.74 (m, 1H), 2.70-2.62 (m, 1H), 2.27 (s, 3H), 2.10-2.00 (m, 1H), 1.98-1.88 (m, 2H), 1.68-1.59 (m, 1H) 1.47 (s, 9H). MS m/z 408 (M+1).
Б) N-[(4-Амино-1H-бензимидазол-2-ил)метил]-N-метил-5,6,7,8-тетрагидро-8-хинолинамин
1,1-Диметилэтил-(2-{[метил(5,6,7,8-тетрагидро-8-хинолинил)амино]-метил}-1Н-бензимидазол-4-ил)карбамат (0,25 г; 0,6 ммоль) растворяли в метаноле (2 мл) и 4 н. HCl в диоксане и перемешивали при комнатной температуре в течение 2 ч. Растворитель выпаривали, остаток растворяли в EtOAc и последовательно промывали 5 мл насыщенного NaHCO3 и насыщенного NaCl. Органический слой сушили над Na2SO4, фильтровали и упаривали. В результате колоночной хроматографии (1-5% 2 н. NH3/MeOH в СН2Cl2) получали твердое вещество желтого цвета (0,175 г; 92%).
Альтернативно, N-[(4-амино-1Н-бензимидазол-2-ил)метил]-N-метил-5,6,7,8-тетрагидро-8-хинолинамин может быть синтезирован следующим способом.
А) 2-(Хлорметил)-4-нитро-1Н-бензимидазол
(2-Амино-3-нитрофенил)амин (2 г; 13 ммоль) и хлоруксусную кислоту (1,47 г; 15,6 ммоль) растворяли в 5 н. HCl (10 мл) и перемешивали при 120°С в течение 12 ч. Реакционную смесь охлаждали до комнатной температуры и твердое вещество отфильтровывали, последовательно промывали 3×5 мл ледяной водой, ацетоном и эфиром и затем сушили под вакуумом, получая коричневое твердое вещество (2,75 г; 85%). 1Н-ЯМР (D2O) 8.33 (d, 1H), 8.09 (d, 1H), 7.62 (t, 1H), 5.07 (s, 2H). MS m/z 308 (M+1).
Б) N-Метил-N-[(4-нитро-1Н-бензимидазол-2-ил)метил]-5,6,7,8-тетрагидро-8-хинолинамин
N-Метил-5,6,7,8-тетрагидро-8-хинолинамин (1,94 г 7,7 ммоль), KI (1,93 г; 11,6 ммоль), DIPEA (3,4 мл; 19,3 ммоль) и 2-(хлорметил)-4-нитро-1Н-бензимидазол, гидрохлоридная соль (1,25 г; 7,7 ммоль) растворяли в ацетонитриле (50 мл) и перемешивали при 70°С в течение 12 ч. Растворитель выпаривали и добавляли воду. Органический слой сушили над Na2SO4, фильтровали и упаривали. Колоночная хроматография (0-2% 2 н. NH3/MeOH в CH2Cl2) позволила получить коричневое масло (1,4 г; 54%). 1Н-ЯМР (DMSO-d6) 13.7 (br s, 1H), 8.61 (d, 1H), 8.10 (d, 1H), 8.04 (d, 1H), 7.56 (d, 1H), 7.36 (t, 1H), 7.26 (dd, 1H), 4.04-3.97 (m, 3H), 2.87-2.78 (m, 1H), 2.74-2.67 (m, 1H), 2.23 (s, 3Н), 2.10-2.03 (m, 1H), 1.99-1.86 (m, 2H), 1.67-1.56 (m, 1H). MS m/z 338 (M+1).
В) N-[(4-Амино-1Н-бензимидазол-2-ил)метил]-N-метил-5,6,7,8-тетрагидро-8-хинолинамин
N-Метил-N-[(4-нитро-1Н-бензимидазол-2-ил)метил]-5,6,7,8-тетрагидро-8-хинолинамин (0,4 г; 1,1 ммоль) растворяли в EtOH (10 мл) и продували N2. Добавляли 10% палладия на угле и гетерогенную смесь продували Н2. Смесь перемешивали в атмосфере Н2 до исчезновения исходного вещества по данным ТСХ. Раствор фильтровали через целит и упаривали, получая масло (0,36 г; количественный выход). 1Н-ЯМР (DMSO-d6) 8.44 (d, 1H), 7.50 (d, 1H), 7.18 (dd, 2H), 6.79 (t, 1H), 6.65 (d, 1H), 6.27 (d, 1H), 5.15 (br s, 2H), 3.97 (s, 2H), 3.93 (t, 1H), 2.83-2.74 (m, 1H), 2.69-2.60 (m, 1H), 2.21 (s, 3H), 2.10-2.00 (m, 1H), 1.97-1.85 (m, 2H), 1.67-1.56 (m, 1H), 1.47 (s, 9H). MS m/z 308 (M+1).
Пример 99: N1-(2-{[Метил(5,6,7,8-тетрагидро-8-хинолинил)амино]метил}-1H-бензимидазол-4-ил)глицинамид

N-[(4-Амино-1H-бензимидазол-2-ил)метил]-N-метил-5,6,7,8-тетрагидро-8-хинолинамин (0,10 г; 0,32 ммоль), N-карбонилбензилоксиглицин (0,075 г; 0,39 ммоль). бис(2-оксо-3-оксазолидинил)фосфинхлорид (0,09 г; 0,35 ммоль) и N,N-диизопропилэтиламин (0,07 мл: 0,39 ммоль) растворяли в ацетонитриле (5 мл) и реакционную смесь перемешивали в течение 12 ч при комнатной температуре. Реакционную смесь концентрировали, разбавляли этилацетатом (25 мл), промывали насыщенным NaHCO3 (5 мл), сушили над Na2S04, фильтровали и концентрировали. Этот амид очищали с использованием обращенно-фазовой ВЭЖХ (градиент 0%-50% ацетонитрил/вода/0,1%-ная трифторуксусная кислота). Нужные фракции объединяли, добавляли NaCl до насыщения раствора, нейтрализовали и экстрагировали EtOAc (5×20 мл). Органические слои объединяли, сушили над Na2SO4, фильтровали и концентрировали, получая масло. Это соединение растворяли в EtOH (5 мл), продували N2, добавляли 10% палладия на угле (0,01 г), систему промывали Н2 и перемешивали в течение 2 ч в атмосфере Н2. Продукт очищали обращенно-фазовой ВЭЖХ в соответствии с приведенным выше протоколом, получая белую пену (10 мг; 25%). 1Н-ЯМР (CD3OD) 8.68 (d, 1H), 8.14 (d, 1H), 7.71 (dd, 1H), 7.65 (d, 1H), 7.56 (d, 1H), 7.42 (t, 1H), 4.56 (dd, 1H), 4.49 (½ ABq, 1H), 4.36 (½ ABq, 1H), 4.02 (s, 2H), 2.97 (m, 2H), 2.51 (s, 3H), 2.40-2.32 (m, 1H), 2.22-2.16 (m, 1H), 2.11-2.02 (m, 1H), 1.95-1.84 (m, 1H). MS m/z 405 (M+1).
Пример 100: N-(2-{[Метил(5,6,7,8-тетрагидро-8-хинолинил)амино]метил}-1Н-бензимидазол-4-ил)-3-(1-пиперидинил)пропанамид

N-[(4-Амино-1Н-бензимидазол-2-ил)метил]-N-метил-5,6,7,8-тетрагидро-8-хинолинамин (0,1 г; 0,32 ммоль), 3-(1-пиперидинил)пропановую кислоту (0,055 г; 0,35 ммоль), бис(2-оксо-3-оксазолидинил)фосфинхлорид (0,09 г; 0,35 ммоль) и N,N-диизопропилэтиламин (0,07 мл; 0,39 ммоль) растворяли в ацетонитриле (5 мл) и реакционную смесь перемешивали в течение 12 ч при комнатной температуре. Реакционную смесь концентрировали, разбавляли этилацетатом (25 мл), промывали насыщенным NaHCO3 (5 мл), сушили над Na2SO4, фильтровали и концентрировали. Амид очищали с использованием обращенно-фазовой ВЭЖХ (градиент 0%-50% ацетонитрил/вода/0,1%-ная трифторуксусная кислота). Нужные фракции объединяли, добавляли NaCl до насыщения раствора, нейтрализовали и экстрагировали EtOAc (5×20 мл). Органические слои объединяли, сушили над Na2SO4, фильтровали и концентрировали, получая пену (12 мг; 9%). 1Н-ЯМР (CD3OD) 8.47 (d, 1H), 7.57 (d, 2H), 7.33 (d, 1H), 7.23 (dd, 1H), 7.16 (t, 1H), 4.11 (t, 1H), 4.09 (½ ABq, 1H), 3.92 (½ ABq, 1H), 3.52 (t, 1H), 3.46 (t, 1H), 3.03 (m, 4H), 2.89 (t, 2H), 2.81 (t, 2H), 2.73 (t, 2H), 2.19-2.02 (m, 2H), 2.12 (s, 3H), 2.01-1.92 (m, 2H), 1.73 (m, 3H), 1.66 (m, 1H), 1.58 (m, 4H). MS m/z 447 (M+1).
Пример 101: N-{[4-(1Н-Имидазол-1-ил)-1H-бензимидазол-2-ил]метил}-N-метил-5,6,7,8-тетрагидро-8-хинолинамин

N-{[4-(1Н-Имидазол-1-ил)-1Н-бензимидазол-2-ил]метил}-N-метил-5,6,7,8-тетрагидро-8-хинолинамин получали в соответствии с протоколом Liu, J. et al. Synthesis 2003, 17, 2661-2666. N-[(4-Амино-1H-бензимидазол-2-ил)метил]-N-метил-5,6,7,8-тетрагидро-8-хинолинамин (0,2 г; 0,65 ммоль) и 40% водный глиоксаль (0,080 мл; 0,68 ммоль) растворяли в метаноле (5 мл) и реакционную смесь перемешивали в течение 14 ч при комнатной температуре. Добавляли твердый NH4Cl (0,07 г; 1,3 ммоль), 37%-ный водный формальдегид (0,1 мл; 1,3 ммоль) и метанол (8 мл) и смесь перемешивали в течение 1 часа. Добавляли Н2PO4 (0,2 мл) и нагревали до 80°С в течение 5 часов. Охлаждали до комнатной температуры и перемешивали в течение еще 12 часов. Реакционную смесь концентрировали, разбавляли этилацетатом (25 мл), промывали насыщенным NaHCO3 (5 мл), сушили над Na2SO4, фильтровали и концентрировали. Продукт очищали с использованием обращенно-фазовой ВЭЖХ (градиент 0%-50% ацетонитрил/вода/0,1%-ная трифторуксусная кислота). Нужные фракции объединяли, добавляли NaCl до насыщения раствора, нейтрализовали и экстрагировали EtOAc (5×20 мл). Органические слои объединяли, сушили над Na2SO4, фильтровали и концентрировали, получая твердое желтое вещество (0,010 г; 4%). 1Н-ЯМР (DMSO-d6) 8.63 (s, 1H), 8.45 (d, 1H), 8.00 (s, 1H), 7.48 (t, 2H), 7.37 (d, 1H), 7.22 (t, 1H), 7.17 (dd, 1H), 7.09 (s, 1H), 4.10 (dd, 2H), 3.96 (t, 1H), 2.82-2.74 (m, 1H), 2.69-2.62 (m, 1H), 2.26 (s, 3H), 2.09-2.02 (m, 1H), 1.97-1.88 (m, 2H), 1.68-1.58 (m, 1H). MS m/z 359 (M+1).
Пример 102: N-(2-{[Метил(5,6,7,8-тетрагидро-8-хинолинил)амино]метил}-1Н-бензимидазол-4-ил)-3-пиридинкарбоксамид

N-(2-{[Метил(5,6,7,8-тетрагидро-8-хинолинил)амино]метил}-1Н-бензимидазол-4-ил)-3-пиридинкарбоксамид получали аналогично 2-{[этил(5,6,7,8-тетрагидро-8-хинолинил)амино]метил}-N-[2-(1Н-имидазол-4-ил)этил]-1Н-бензимидазол-5-карбоксамиду из N-[(4-амино-1Н-бензимидазол-2-ил)метил]-N-метил-5,6,7,8-тетрагидро-8-хинолинамина (0,1 г; 0,32 ммоль), никотиновой кислоты (0,045 г; 0,35 ммоль), бис(2-оксо-3-оксазолидинил)-фосфинхлорида (0,09 г; 0,35 ммоль) и N,N-диизопропилэтиламина (0,07 мл; 0,39 ммоль) способом, аналогичным приведенному в данном описании изобретения, с получением желтого твердого вещества (0,02 г: 15%). 1Н-ЯМР (CD3OD) 9.31 (d, 1H), 8.81 (d, 1H), 8.57 (d, 1H), 8.50 (d, 1H), 7.68 (dd, 1H), 7.63 (d, 1H), 7.48 (d, 1H), 7.30 (t, 1H), 7.27 (d, 1H), 4.18 (½ ABq, 1H), 4.17 (t, 1H), 4.00 (½ ABq, 1H), 2.98-2.87 (m, 2H), 2.25-1.97 (m, 3Н), 2.18 (s, 3H), 1.86-1.73 (m, 1H). MS m/z 413 (M+1).
Пример 103: N-(2-{[Метил(5,6,7,8-тетрагидро-8-хинолинил)амино]метил}-1Н-бензимидазол-4-ил)-4-пиридинкарбоксамид

N-(2-{[Метил(5,6,7,8-тетрагидро-8-хинолинил)амино]метил}-1Н-бензимидазол-4-ил)-4-пиридинкарбоксамид получали аналогично 2-{[этил(5,6,7,8-тетрагидро-8-хинолинил)амино]метил}-N-[2-(1Н-имидазол-4-ил)этил]-1Н-бензимидазол-5-карбоксамиду из N-[(4-амино-1Н-бензимидазол-2-ил)метил]-N-метил-5,6,7,8-тетрагидро-8-хинолинамина (0,1 г; 0,32 ммоль), изоникотиновой кислоты (0,045 г; 0,35 ммоль), бис(2-оксо-3-оксазолидинил)-фосфинхлорида (0,09 г; 0,35 ммоль) и N,N-диизопропилэтиламина (0,07 мл; 0,39 ммоль) способом, аналогичным приведенному в данном описании изобретения, с получением желтого твердого вещества (0,02 г; 15%). 1Н-ЯМР (CD3OD) 8.82 (d, 2Н), 8.49 (d, 1H), 8.10 (d, 2H), 7.74 (s, 1H), 7.62 (d, 1H), 7.48 (d, 1H), 7.30 (t, 1H), 7.26 (d, 1H), 4.17 (½ ABq, 1H), 4.15 (t, 1H), 4.00 (½ ABq, 1H), 2.96-2.78 (m, 2H), 2.25-1.97 (m, 3H), 2.17 (s, 3H), 1.86-1.73 (m, 1H). MS m/z 413 (M+1).
Пример 104: 1-Метил-N-(2-{[метил(5,6,7,8-тетрагидро-8-хинолинил)-амино]метил}-1H-бензимидазол-4-ил)-L-пролинамид

1-Метил-N-(2-{[метил(5,6,7,8-тетрагидро-8-хинолинил)амино]метил}-1Н-бензимидазол-4-ил)-L-пролинамид получали аналогично 2-{[этил(5,6,7,8-тетрагидро-8-хинолинил)амино]метил}-N-[2-(1Н-имидазол-4-ил)этил]-1Н-бензимидазол-5-карбоксамиду из N-[(4-амино-1Н-бензимидазол-2-ил)метил]-N-метил-5,6,7,8-тетрагидро-8-хинолинамина (0,1 г; 0,32 ммоль), N-метил-L-пролина (0,047 г; 0,35 ммоль), бис(2-оксо-3-оксазолидинил)фосфинхлорида (0,09 г; 0,35 ммоль) и N,N-диизопропилэтиламина (0,07 мл; 0,39 ммоль) способом, аналогичным приведенному в данном описании изобретения, с получением желтовато-коричневого твердого вещества (0,02 г; 15%). 1Н-ЯМР (CD3OD) 8.54 (d, 1Н), 7.98 (d, 1H), 7.64 (d, 1H), 7.35 (d, 1H), 7.30 (dd, 1H), 7.23 (t, 1H), 4.21 (t, 1H), 4.18 (½ ABq, 1H), 4.01 (½ ABq, 1H), 3.15 (dd, 1H), 2.99-2.75 (m, 3H), 2.60-2.50 (m, 1H), 2.57 (s, 3H), 2.46-2.34 (m, 2H), 2.27-1.90 (m, 6H), 2.18 (s, 3H), 1.86-1.76 (m, 1H). MS m/z 413 (M+1).
Пример 105: 2-Метил-N-1-(2-[(метил(5,6,7,8-тетрагидро-8-хинолинил)-амино]метил}-1Н-бензимидазол-4-ил)аланинамид

А) 1-Фенилметил-{1,1-диметил-2-[(2-{[метил(5,6,7,8-тетрагидро-8-хинолинил)амино]метил}-1H-бензимидазол-4-иламино]-2-оксоэтил}карбамат
1-Фенилметил-{1,1-диметил-2-[(2-{[метил(5,6,7,8-тетрагидро-8-хинолинил)амино]метил}-1H-бензимидазол-4-ил)амино]-2-оксоэтил}карбамат получали аналогично 2-{[этил(5,6,7,8-тетрагидро-8-хинолинил)амино]метил}-N-[2-(1H-имидазол-4-ил)этил]-1H-бензимидазол-5-карбоксамиду из N-[(4-амино-1H-бензимидазол-2-ил)метил]-N-метил-5,6,7,8-тетрагидро-8-хинолинамина (0,1 г; 0,32 ммоль), 2-метил-N-{[(фенилметил)окси]карбонил}аланина (0,1 г; 0,35 ммоль), бис(2-оксо-3-оксазолидинил)фосфинхлорида (0,09 г; 0,35 ммоль) и N,N-диизопропилэтиламина (0,07 мл; 0,39 ммоль) способом, аналогичным Примеру х, с получением масла (0,02 г; 12%). 1Н-ЯМР (CD3OD) 8.54 (d, 1H), 7.80 (s, 1H), 7.63 (d, 1H), 7.40-7.15 (m, 8H), 5.11 (s, 2H), 4.17 (t, 1H), 4.15 (½ ABq, 1H), 3.98 (½ ABq, 1H), 3.15 (dd, 2H), 2.99-2.76 (m, 2H), 2.23-2.10 (m, 2H), 2.12 (s, 3H), 2.10-1.98 (m, 1H), 1.87-1.71 (m, 1H), 1.66 (s, 6H). MS m/z 527 (M+1).
Б) 2-Метил-N-1-(2-{[метил(5,6,7,8-тетрагидро-8-хинолинил)амино]метил}-1H-бензимидазол-4-ил)аланинамид
1-Фенилметил-{1,1-диметил-2-[(2-{[метил(5,6,7,8-тетрагидро-8-хинолинил)амино]метил}-1Н-бензимидазол-4-ил)амино]-2-оксоэтил}карбамат (0,015 г; 0,0285 ммоль) растворяли в EtOH (5 мл), продували N2, добавляли 10% палладий на угле (0,01 г), систему промывали Н2 и перемешивали в течение 2 ч в атмосфере Н2. Продукт очищали с использованием обращенно-фазовой ВЭЖХ (градиент 0%-50% ацетонитрил/вода/0,1%-ная трифторуксусная кислота). Нужные фракции объединяли, добавляли NaCl до насыщения раствора, нейтрализовали и экстрагировали EtOAc (5×20 мл). Органические слои объединяли, сушили над Na2SO4, фильтровали и концентрировали, получая масло (5 мг; 45%). 1Н-ЯМР (CD3OD) 8.47 (d, 1H), 7.79 (s, 1H), 7.57 (d, 1H), 7.29 (d, 1H), 7.24 (dd, 1H), 7.17 (t, 1H), 4.14 (t, 1H), 4.12 (½ ABq, 1H), 3.94 (½ ABq, 1H), 2.90-2.72 (m, 2H), 2.20-2.02 (m, 2H), 2.11 (s, 3H), 2.02-1.93 (m, 1H), 1.79-1.68 (m, 1H), 1.67 (s, 6H). MS m/z 393 (M+1).
Пример 106: [3-(Диметиламино)пропил](2-{[метил(5,6,7,8-тетрагидро-8-хинолинил)амино]метил}-1H-бензимидазол-4-ил)амин

А) Раствор 3-хлор-2-нитроанилина (300 мг; 1,7 ммоль) в N,N-диметил-1,3-пропандиамине (1,5 мл) нагревали в микроволновом реакторе при 150°С в течение 15 мин. Раствор разбавляли этилацетатом (30 мл), промывали водой (2×30 мл), сушили над сульфатом натрия, фильтровали и концентрировали до красного масла. Это неочищенное вещество очищали на диоксиде кремния (градиент 0%-10% 2 M NH2 в смеси метанол/дихлорметан), получая N-[3-(диметиламино)пропил]-2-нитро-1,3-бензолдиамин (150 мг; 37%) в виде красного масла. 1Н-ЯМР (CDCl3) 6.68 (t, 1H), 6.30 (d, 1H), 6.25 (d, 1H), 3.21-3.18 (m, 2H), 2.71-2.68 (m, 2H), 2.35 (s, 6H), 1.24-1.21 (m, 2H).
Б) Раствор N-[3-(диметиламино)пропил]-2-нитро-1,3-бензолдиамина (150 мг; 0,63 ммоль) и палладий на угле (10% мас./мас., каталитический) в этаноле (100 мл) перемешивали в атмосфере водорода в течение 3 ч. Реакционную смесь фильтровали через целит и концентрировали, получая N1-[3-(диметиламино)пропил]-1,2,3-бензолтриамин (120 мг; 92%) в виде коричневого масла. 1Н-ЯМР (CDCl3) 6.70 (t, 1H), 6.30-6.26 (m, 2H), 3.19 (t, 2H), 2.50 (t, 2H), 2.31 (s, 6H), 1.89-1.83 (m, 2H).
В) Раствор N1-[3-(диметиламино)пропил]-1,2,3-бензолтриамина (120 мг; 0,58 ммоль), N-метил-N-(5,6,7,8-тетрагидро-8-хинолинил)глицина (127 мг 0,58 ммоль), бис(2-оксо-3-оксазолидинил)фосфинхлорида (221 мг; 0,87 ммоль) и N,N-диизопропилэтиламина (112 мг; 0,87 ммоль) растворяли в ацетонитриле (10 мл), и реакционную смесь перемешивали в течение 16 ч при комнатной температуре. Реакционную смесь разбавляли этилацетатом (50 мл), промывали водой (50 мл), сушили над сульфатом натрия, фильтровали и концентрировали. Неочищенный амид растворяли в уксусной кислоте (10 мл) и нагревали при 70°С в течение 3 ч, концентрировали, очищали с использованием обращенно-фазовой ВЭЖХ (градиент 0%-50% ацетонитрил/вода/0,1%-ная трифторуксусная кислота) и повторно очищали на диоксиде кремния (градиент 2%-10% 2М NH3 в смеси метанол/дихлорметан), получая продукт (37 мг; 16%; белое твердое вещество) в виде трифторацетатной соли. 1Н-ЯМР (CDCl3) 8.56 (d, 1H), 7.43 (d, 1H), 7.16-7.13 (m, 1H), 7.06 (t, 1H), 6.84 (d, 1H), 6.35 (d, 1H), 4.07 (d, 1H), 3.99-3.95 (m, 1H), 3.90 (d, 1H), 3.34 (t, 2H), 2.89-2.82 (m, 1H), 2.77-2.62 (m, 3Н), 2.40 (s, 6H), 2.38 (s, 3H), 2.14-1.89 (m, 5H), 1.76-1.68 (m, 1H). MS m/z 393,27 (M+1).
Пример 107: [2-(Диметиламино)этил](2-{[метил(5,6,7,8-тетрагидро-8-хинолинил)амино]метил}-1H-бензимидазол-4-ил)амин

А) Раствор 3-хлор-2-нитроанилина (300 мг; 1,7 ммоль) в N,N-диметил-1,3-этандиамине (1,5 мл) нагревали в микроволновом реакторе при 150°С в течение 15 мин. Раствор разбавляли дихлорметаном и неочищенное вещество очищали на диоксиде кремния (градиент 0%-10% 2 М NH3 в смеси метанол/дихлорметан), получая N-[3-(диметиламино)этил]-2-нитро-1,3-бензолдиамин (126 мг; 33%) в виде красного твердого вещества. 1Н-ЯМР (DMSO-d6) 8.32 (t, 1H), 7.30 (br s, 2H), 7.06 (t, 1H), 6.07 (d, 1H), 5.85 (d, 1H), 3.21-3.16 (m, 2H), 2.53-2.49 (m, 2H), 2.19 (s, 3Н).
Б) Раствор N-[3-(диметиламино)этил]-2-нитро-1,3-бензолдиамина (126 мг; 0,56 ммоль) и палладий на угле (10% мас./мас.; каталитические количества) в этаноле (100 мл) перемешивали в атмосфере водорода в течение 16 ч. Реакционную смесь фильтровали через целит и концентрировали, получая красно-коричневый N1-[3-(диметиламино)этил]-1,2,3-бензолтриамин (114 мг; >99%). 1Н-ЯМР (DMSO-d6) 6.40 (t, 1H), 6.06 (d, 1H), 5.96 (d, 1H), 3.07 (t, 2H), 2.56-2.49 (m, 2H), 2.22 (s, 6H).
В) Раствор N1-[3-(диметиламино)этил]-1,2,3-бензолтриамина (114 мг; 0,59 ммоль), N-метил-N-(5,6,7,8-тетрагидро-8-хинолинил)глицина (129 мг; 0,59 ммоль), бис(2-оксо-3-оксазолидинил)фосфинхлорида (227 мг; 0,89 ммоль) и N,N-диизопропилэтиламина (115 мг; 0,89 ммоль) растворяли в ацетонитриле (10 мл) и реакционную смесь перемешивали 16 ч при комнатной температуре. Реакционную смесь концентрировали и неочищенный амид растворяли в уксусной кислоте (10 мл), нагревали при 70°С в течение 2 ч и концентрировали. Неочищенное вещество очищали на диоксиде кремния (градиент 2%-15% 2 М NH3 в смеси метанол/дихлорметан), повторно очищали с использованием обращенно-фазовой ВЭЖХ (градиент 0%-35% ацетонитрил/вода/0,1%-ная трифторуксусная кислота) и лиофилизовали из воды, получая продукт (76 мг; 18%; липкое коричневое твердое вещество) в виде трифторацетатной соли. 1Н-ЯМР (CDCl3) 9.06 (d, 1H), 8.13 (d, 1H), 7.73 (t, 1H), 7.32 (t, 1H), 7.07 (d, 1H), 6.57 (d, 1H), 4.48 (d, 1H), 4.31-4.24 (m, 2H), 3.75-3.72 (m, 2H), 3.50-3.46 (m, 2H), 3.00-2.98 (m, 1H), 2.94 (s, 6H), 2.51-2.42 (m, 1H), 2.31-2.23 (m, 4H), 2.03-1.84 (m, 3H). MS m/z 379,15 (M+1).
Пример 108: Метил-[2-(метиламино)этил1(2-{[метил(5,6,7,8-тетрагидро-8-хинолинил)амино]метил}-1Н-бензимидазол-4-ил)амин

A) Раствор N,N’-диметил-1,2-этандиамина (2,0 г; 22,7 ммоль) и ди-трет-бутил-дикарбоната (4,95 г; 22,7 ммоль) в дихлорметане (50 мл) перемешивали в течение 2 ч, фильтровали и фильтрат концентрировали, получая смесь моно- и ди-защищенных аминов. Эту смесь (1 г) и 3-хлор-2-нитроанилин (500 мг; 2,9 ммоль) нагревали в микроволновом реакторе при 150°С в течение 45 мин и очищали на диоксиде кремния (градиент 0%-100% этилацетат/гексаны), получая трет-бутил-{2-[(3-амино-2-нитрофенил)(метил)амино]этил}-метилкарбамат (360 мг; 38%) в виде красного масла. 1Н-ЯМР (CDCl3) 7.08 (t, 1H), 6.46-6.37 (m, 1H), 6.28-6.26 (m, 1H), 3.44-3.19 (m, 4H), 2.86-2.78 (m, 6H), 1.45 (s, 9H).
Б) Раствор трет-бутил-{2-[(3-амино-2-нитрофенил)(метил)амино]этил}-метилкарбамата (360 мг; 1,11 ммоль) и палладий на угле (10% мас./мас.; каталитический) в этаноле (50 мл) перемешивали в атмосфере водорода в течение 16 ч. Реакционную смесь фильтровали через целит и концентрировали, получая трет-бутил-{2-[(2,3-диаминофенил)(метил)амино]-этил}метилкарбамат (306 мг; 94%) в виде коричневого масла. 1Н-ЯМР (CDCl3) 6.67-6.64 (m, 2H), 6.54-6.52 (m, 1H), 3.41-3.20 (m, 6H), 3.07-2.96 (m, 2H), 2.87-2.78 (m, 3Н), 2.70-2.64 (m, 3H), 1.45 (s, 9H).
B) Раствор трет-бутил-{2-[(2,3-диаминофенил)(метил)амино]этил}-метилкарбамата (153 мг; 0,52 ммоль), N-метил-N-(5,6,7,8-тетрагидро-8-хинолинил)глицина (114 мг; 0,52 ммоль), бис(2-оксо-3-оксазолидинил)-фосфинхлорида (199 мг; 0,78 ммоль) и N,N-диизопропилэтиламина (101 мг; 0,78 ммоль) растворяли в ацетонитриле (5 мл) и перемешивали при комнатной температуре в течение 2 ч. Реакционную смесь концентрировали, растворяли в уксусной кислоте (50 мл) и нагревали при 70°С в течение 2 ч. Реакционную смесь концентрировали, растворяли в дихлорметане (10 мл) и трифторуксусной кислоте (5 мл), перемешивали в течение 2 ч и концентрировали. Этот неочищенный продукт очищали с использованием обращенно-фазовой ВЭЖХ (градиент 0%-40% ацетонитрил/вода/0,1%-ная трифторуксусная кислота) и лиофилизовали из воды, получая продукт (71 мг; 19%; липкое коричневое твердое вещество) в виде трифторацетатной соли. 1Н-ЯМР (CD3OD) 8.71 (d, 1Н), 8.19 (d, 1H), 7.77-7.74 (m, 1H), 7.42-7.35 (m, 2H), 7.05 (d, 1H), 4.60-4.56 (m, 1H), 4.54 (d, 1H), 4.42 (d, 1H), 3.67-3.63 (m, 2H), 3.36-3.33 (m, 2H), 3.03-2.96 (m, 2H), 2.95 (s, 3Н), 2.79 (s, 3H), 2.51 (s, 3H), 2.40-2.33 (m, 1H), 2.25-2.18 (m, 1H), 2.13-2.02 (m, 1H), 1.96-1.85 (m, 1H). MS m/z 379,22 (M+1).
Пример 109: [2-(Диметиламино)этил]метил(2-{[метил(5,6,7,8-тетрагидро-8-хинолинил)амино]метил}-1H-бензимидазол-4-ил)амин

А) Фенилметил-({4-[[2-(диметиламино)этил](метил)амино]-1Н-бензимидазол-2-ил}метил)карбамат
Раствор 3-хлор-2-нитроанилина (550 мг; 3,2 ммоль) в N,N,N-триметил-1,2-этандиамине (2 мл) нагревали в микроволновом реакторе при 150°С в течение 15 мин. Это неочищенное вещество очищали на диоксиде кремния (градиент 0%-100% этилацетат/гексаны), получая N-[2-(диметиламино)этил]-N-метил-2-нитро-1,3-бензолдиамин (380 мг; 50%) в виде красного твердого вещества. 1Н-ЯМР (CD3OD) 7.09 (t, 1H), 6.45-6.40 (m, 2H), 3.15-3.11 (m, 2H), 2.73 (s, 3H), 2.51-2.47 (m, 2H), 2.23 (s, 6H). Раствор N-[2-(диметиламино)этил]-N-метил-2-нитро-1,3-бензолдиамина (380 мг; 1,6 ммоль) и палладий на угле (10% мас./мас.; каталитический) в этаноле (100 мл) перемешивали в атмосфере водорода в течение 60 ч. Реакционную смесь фильтровали через целит и концентрировали. Неочищенный триамин, N-{[(фенилметил)окси]карбонил}-глицин (368 мг; 1,76 ммоль), бис(2-оксо-3-оксазолидинил)фосфинхлорид (611 мг; 2,4 ммоль) и N,N-диизопропилэтиламин (310 мг; 2,4 ммоль) растворяли в ацетонитриле (20 мл) и реакционную смесь перемешивали 16 ч при комнатной температуре. Реакционную смесь концентрировали и неочищенный амид растворяли в уксусной кислоте (30 мл), нагревали при 70°С в течение 2 ч и концентрировали. Неочищенное вещество очищали на диоксиде кремния (градиент 0%-10% 2 М NH3 в смеси метанол/дихлорметан), получая продукт (255 мг; 42%) в виде коричневого твердого вещества. 1Н-ЯМР (CD3OD) 7.40-7.29 (m, 7H), 7.07 (d, 1H), 5.12 (s, 2H), 4.73 (s, 2H), 3.64-3.60 (m, 2H), 3.41-3.38 (m, 2H), 2.91 (s, 9H).
Б) [2-(Диметиламино)этил]метил(2-{[метил(5,6,7,8-тетрагидро-8-хинолинил)амино]метил}-1H-бензимидазол-4-ил)амин
Раствор фенилметил-({4-[[2-(диметиламино)этил](метил)амино]-1H-бензимидазол-2-ил}метил)карбамата (255 мг; 0,67 ммоль) и палладий на угле (10% мас./мас., каталитический) в этаноле (40 мл) перемешивали в атмосфере водорода в течение 16 ч. Реакционную смесь фильтровали через целит и концентрировали, получая N-[2-(аминометил)-1H-бензимидазол-4-ил]-N,N’,N’-триметил-1,2-этандиамин (160 мг; 96%). 1Н-ЯМР (CD3OD) 7.21 (t, 1H), 7.13 (d, 1H), 6.76 (d, 1H), 4.46 (s, 2H), 3.95-3.92 (m, 2H), 3.52-3.49 (m, 2H), 3.06 (s, 6H), 2.97 (s, 3H).
В) N-[2-(Аминометил)-1H-бензимидазол-4-ил]-N,N’,N’-триметил-1,2-этандиамин (100 мг; 0,40 ммоль), 6,7-дигидро-8(5H)-хинолинон (59 мг; 0,40 ммоль), уксусную кислоту (36 мг; 0,60 ммоль) и триацетоксиборгидрид натрия (127 мг; 0,60 ммоль) растворяли в 1,2-дихлорэтане (5 мл) и перемешивали в течение 2 ч при комнатной температуре. Реакционную смесь концентрировали и неочищенный вторичный амин, формальдегид (37%-ный водный раствор; 0,09 мл; 1,2 ммоль), уксусную кислоту (36 мг; 0,60 ммоль) и триацетоксиборгидрид натрия (127 мг; 0,60 ммоль) растворяли в 1,2-дихлорэтане (5 мл) и перемешивали в течение 90 мин при комнатной температуре. Реакционную смесь концентрировали и неочищенный третичный амин очищали на диоксиде кремния (градиент 0%-7% 2 М аммиака в смеси метанол/дихлорметан), получая продукт в виде светлого желтовато-коричневого твердого вещества (25 мг; 16%). 1Н-ЯМР (CD3OD) 8.49 (d, 1H), 7.58 (d, 1H) 7.26-7.23 (m, 1H), 7.13-7.07 (m, 2H), 6.69-6.64 (m, 1H), 4.14-4.08 (m, 2H), 3.93 (d, 1H), 3.00 (s, 3H), 2.92-2.63 (m, 4H), 2.58-2.55 (m, 2H), 2.27 (s, 6H), 2.25-2.13 (m, 1H), 2.10 (s, 3H), 2.08-1.94 (m, 2H), 1.78-1.70 (m, 1H). MS m/z 393,29 (M+1).
Пример 110: N-{[4-(4-Ацетил-1-пиперазинил)-1H-бензимидазол-2-ил]метил}-N-метил-5,6,7,8-тетрагидро-8-хинолинамин

N-Метил-N-{[4-(1-пиперазинил)-1H-бензимидазол-2-ил]метил}-5,6,7,8-тетрагидро-8-хинолинамин (0,05 г; 0,1 ммоль), DIPEA (0,028 мл; 0,16 ммоль) и уксусный ангидрид (0,015 мл; 0,15 ммоль) добавляли к СН2Cl2 (3 мл) и перемешивали в течение 1 ч. Концентрировали, разбавляли этилацетатом (25 мл), промывали насыщенным NaHCO3 (5 мл), сушили над Na2SO4, фильтровали и концентрировали. Продукт очищали с использованием обращенно-фазовой ВЭЖХ (градиент 0%-50% ацетонитрил/вода/0,1%-ная трифторуксусная кислота). Нужные фракции объединяли, добавляли NaCl до насыщения раствора, нейтрализовали и экстрагировали EtOAc (5×20 мл). Органические слои объединяли, сушили над Na2SO4, фильтровали и концентрировали, получая белое твердое вещество (0,1 г; 18%-ный выход). 1Н-ЯМР (DMSO-d6): 12.2 (br s, 1H), 8.45 (d, 1H), 7.49 (d, 1H), 7.17 (dd, 1H), 7.02-6.93 (m, 2H), 6.45 (m, 1H), 4.02 (ABq, 2H), 3.93 (t, 1H), 3.59 (s, 4H), 3.45 (m, 4H), 2.83-2.75 (m, 1H), 2.66 (d, 1H), 2.23 (s, 3H), 2.01 (s, 3H), 2.08-2.00 (m, 1H), 1.93 (m, 1H), 1.68-1.56 (m, 1H). MS m/z 419 (М+1).
Пример 111: N-Метил-N-({4-[4-(1-метилэтил)-1-пиперазинил]-1H-бензимидазол-2-ил}метил)-5,6,7,8-тетрагидро-8-хинолинамин

N-Метил-N-({4-[4-(1-метилэтил)-1-пиперазинил]-1H-бензимидазол-2-ил}метил)-5,6,7,8-тетрагидро-8-хинолинамин получали способом, аналогичным описанному выше, из N-метил-N-{[4-(1-пиперазинил)-1Н-бензимидазол-2-ил]метил}-5,6,7,8-тетрагидро-8-хинолинамина (0,15 г; 0,4 ммоль) и ацетона (0,08 мл; 1,2 ммоль), получая желтовато-коричневое твердое вещество (0,05 г; 23%-ный выход). 1Н-ЯМР (DMSO-d6): 8.46 (d, 1H), 7.50 (d, 1H), 7.18 (t, 1H), 6.98 (t, 2H), 6.42 (s, 1H), 4.02 (Abq, 2H), 3.92 (t, 1H), 3.41 (s, 4H), 2.77 (m, 1H), 2.75-2.55 (m, 5H), 2.22 (s, 3Н), 2.10-1.99 (m, 1H), 1.98-1.88 (m, 2H), 1.70-1.59 (m, 1H), 1.02 (d, 6H). MS m/z 419 (M+1).
Пример 112: N-(1-Метилэтил)-N-{[4-(4-метил-1-пиперазинил)-1H-бензимидазол-2-ил]метил}-5,6,7,8-тетрагидро-8-хинолинамин

А) 6,7-Дигидро-8(5H)-хинолинон (4,0 г; 27 ммоль), бензиловый эфир глицина (5,6 г; 34 ммоль) и уксусную кислоту (2,0 мл; 34 ммоль) растворяли в дихлорэтане (50 мл). Тремя равными порциями за 1 ч добавляли триацетоксиборгидрид натрия (7,2 г; 34 ммоль) и перемешивали в течение 14 ч. Добавляли раствор насыщенного NaHCO3 (25 мл) и смесь перемешивали в течение 30 мин, слои разделяли, и водный слой экстрагировали СН2Cl2. Органические слои объединяли, сушили над Na2SO4, фильтровали и концентрировали, получая масло. Часть промежуточного соединения (2,5 г; 8,4 ммоль) растворяли в дихлорэтане (50 мл), добавляли ацетон (1 мл; 12,6 ммоль), уксусную кислоту (0,75 мл; 12,6 ммоль) и триацетоксиборгидрид натрия (2,7 г; 12,6 ммоль) и реакционную смесь перемешивали 12 ч. Реакционную смесь обрабатывали так же, как описано выше, и очищали колоночной хроматографией (градиент 1%-5% 2 М NH3 в смеси метанол/дихлорметан) с получением масла (2,0 г; 86%). MS m/z 339 (M+1).
Б) 1,1-Диметилэтил-4-(3-амино-2-нитрофенил)-1-пиперазинкарбоксилат (0,5 г; 1,55 ммоль) и палладий на угле (10% мас./мас., каталитический) в этаноле (25 мл) перемешивали в атмосфере водорода в течение 6 ч. Реакционную смесь фильтровали через целит, концентрировали и помещали в условия глубокого вакуума с получением красноватого масла.
Фенилметил-N-(1-метилэтил)-N-(5,6,7,8-тетрагидро-8-хинолинил)-глицинат (0,575 г; 1,7 ммоль) и палладий на угле (10% мас./мас., каталитический) в этаноле (50 мл) перемешивали в атмосфере водорода в течение 4 ч. Реакционную смесь фильтровали через целит, концентрировали и помещали в условия глубокого вакуума, получая желтовато-коричневое твердое вещество. Промежуточные соединения растворяли в ацетонитриле (25 мл) и объединяли с бис(2-оксо-3-оксазолидинил)фосфинхлоридом (0,435 г; 0,17 ммоль) и N,N-диизопропилэтиламином (0,3 мл; 1,7 ммоль) и перемешивали при комнатной температуре в течение 12 ч. Реакционную смесь концентрировали, растворяли в уксусной кислоте (50 мл) и нагревали при 70°С в течение 2 ч. Реакционную смесь концентрировали, растворяли в EtOAc (50 мл) и промывали насыщенным NaHCO3 (3×10 мл), сушили над Na2SO4, фильтровали, упаривали и очищали колоночной хроматографией (градиент 1%-5% 2 М NH3 в смеси метанол/дихлорметан) с получением желтой пены (0,25 г; 32%). Эту пену растворяли в СН2Cl2 (2,5 мл) и трифторуксусной кислоте (2,5 мл), перемешивали в течение 2 ч и концентрировали. К неочищенному амину добавляли дихлорэтан (5 мл), 37%-ный формальдегид (0,025 мл; 0,37 ммоль), уксусную кислоту (0,025 мл; 0,37 ммоль) и триацетоксиборгидрид натрия (0,78 г; 0,37 ммоль). Реакционную смесь перемешивали 1 ч, добавляли раствор насыщенного NaHCO3 (2,5 мл) и перемешивали в течение 15 мин. Слои разделяли и водный слой экстрагировали CH2Cl2 (3×5 мл), органические слои объединяли, сушили над Na2SO4, фильтровали, концентрировали и очищали с использованием обращенно-фазовой ВЭЖХ (градиент 0%-50% ацетонитрил/вода/0,1%-ная трифторуксусная кислота). Нужные фракции объединяли, добавляли NaCl до насыщения раствора, нейтрализовали и экстрагировали EtOAc (5×20 мл). Органические слои объединяли, сушили над Na2SO4, фильтровали и концентрировали с получением белого твердого вещества (57 мг; 55%). 1Н-ЯМР (DMSO-d6) 13.1 (br s, 1H), 8.59 (d, 1H), 7.48 (d, 1H), 7.20 (dd, 1H), 7.09 (d, 1H), 6.94 (t, 1H), 6.44 (s, 1H), 4.02 (½ ABq, 1H), 4.00 (t, 1H), 3.92 (½ ABq, 1H), 3.48 (s, 4H), 2.93 (sep, 1H), 2.80-2.61 (m, 6H), 2.37 (s, 3H), 2.08 (m, 1H), 1.84 (m, 2H), 1.60 (m, 1H), 1.05 (d, 3H), 0.91 (d, 3H). MS m/z 419 (M+1).
Пример 113: N-(1-Метилэтил)-N-({4-[4-(1-метилэтил)-1-пиперазинил]-1Н-бензимидазол-2-ил}метил)-5,6,7,8-тетрагидро-8-хинолинамин

N-(1-Метилэтил)-N-({4-[4-(1-метилэтил)-1-пиперазинил]-1H-бензимидазол-2-ил}метил)-5,6,7,8-тетрагидро-8-хинолинамин получали аналогично N-(1-метилэтил)-N-{[4-(4-метил-1-пиперазинил)-1H-бензимидазол-2-ил]метил}-5,6,7,8-тетрагидро-8-хинолинамину из 1,1-диметилэтил-4-(2-{[(1-метилэтил)(5,6,7,8-тетрагидро-8-хинолинил)амино]метил}-1H-бензимидазол-4-ил)-1-пиперазинкарбоксилата (0,125 г; 0,25 ммоль) путем снятия защиты и восстановительного аминирования ацетоном (0,025 мл; 0,37 ммоль), с получением твердого вещества белого цвета (0,035 г; 31%-ный выход). 1Н-ЯМР (CD3OD) 13.1 (br s, 1H), 8.60 (s, 1H), 7.49 (d, 1H), 7.21 (t, 1H), 7.07 (d, 1H), 6.93 (t, 1H), 6.40 (s, 1H), 4.02 (½ Abq, 1H), 4.00 (t, 1H), 3.91 (½ Abq, 1H), 3.44-3.25 (m, 4H), 2.94 (m, 1H), 2.79-2.62 (m, 7H), 2.21-2.04 (m, 1H), 1.93-1.80 (m, 2H), 1.66-1.56 (m, 1H), 1.04 (d, 9H), 0.91 (d, 3H). MS m/z 447 (M+1).
Пример 114: N-{1-Метил-1-[4-(4-метил-1-пиперазинил)-1H-бензимидазол-2-ил]этил}-5,6,7,8-тетрагидро-8-хинолинамин

А) 3-(4-Метил-1-пиперазинил)-2-нитроанилин (0,7 г; 3,0 ммоль) и палладий на угле (10% мас./мас.; 70 мг) в этаноле (50 мл) перемешивали в атмосфере водорода в течение 3 ч. Реакционную смесь фильтровали через целит, концентрировали и помещали в условия глубокого вакуума, получая красноватое масло. Это промежуточное соединение растворяли в ацетонитриле (10 мл), добавляли уксусную кислоту (0,68 мл; 4,5 ммоль), 2-метил-N-{[(фенилметил)окси]карбонил}аланин (1,9 г: 4,5 ммоль) и бис(2-оксо-3-оксазолидинил)фосфинхлорид (1,15 г; 4,5 ммоль), реакционную смесь перемешивали в течение 12 ч. Реакционную смесь концентрировали, разбавляли уксусной кислотой (10 мл) и перемешивали при 70°С в течение 2 ч. Реакционную смесь концентрировали и очищали колоночной хроматографией (градиент 1%-5% 2 М NH3 в смеси метанол/дихлорметан), что позволило получить желтую пену (0,74 г; 60%). 1Н-ЯМР (DMSO-d6) 12.0 (br s, 1H), 7. (s, 1H), 7.34 (m, 5H), 6.95 (dd, 1H), 6.91 (d, 1H), 6.4 (d, 1H), 4.94 (s, 2H), 3.45 (s, 4H), 2.58 (s, 4H), 2.21 (s, 3H), 1.62 (s, 6H). MS m/z 408 (M+1).
Б) N-{1-Метил-1-[4-(4-метил-1-пиперазинил)-1H-бензимидазол-2-ил]этил}-5,6,7,8-тетрагидро-8-хинолинамин получали способом, аналогичным изложенному в данном описании изобретения, из фенилметил-{1-метил-1-[4-(4-метил-1-пиперазинил)-1Н-бензимидазол-2-ил]этил}карбамата (0,73 г; 1,79 ммоль) путем снятия защиты с последующим восстановительным аминированием 6,7-дигидро-8(5H)-хинолиноном (263 мг; 1,79 ммоль), что позволило получить белую твердую пену (0,18 г; 24%). 1Н-ЯМР (DMSO-d6) 12.9 (br s, 1H), 8.50 (d, 1H), 7.50 (d, 1H), 7.22 (dd, 1H), 6.95 (dd, 1H), 6.91 (d, 1H), 6.40 (d, 1H), 3.79 (s, 1H), 3.49 (s, 4H), 2.58 (s, 4H), 2.75-2.60 (m, 2H), 2.22 (s, 3H), 1.76 (m, 2H), 1.67-1.60 (m, 1H), 1.59 (s, 3H), 1.56 (s, 3H), 1.51-1.42 (m, 1H). MS m/z 405 (M+1).
Пример 115: N-Метил-N-{1-Метил-1-[4-(4-метил-1-пиперазинил)-1Н-бензимидазол-2-ил]этил}-5,6,7,8-тетрагидро-8-хинолинамин

N-Метил-N-{1-метил-1-[4-(4-метил-1-пиперазинил)-1Н-бензимидазол-2-ил]этил}-5,6,7,8-тетрагидро-8-хинолинамин получали аналогично [2-(диметиламино)этил]метил(2-{[метил(5,6,7,8-тетрагидро-8-хинолинил)амино]-метил}-1Н-бензимидазол-4-ил)амину из N-{1-метил-1-[4-(4-метил-1-пиперазинил)-1H-бензимидазол-2-ил]этил}-5,6,7,8-тетрагидро-8-хинолинамина (0,17 г; 0,4 ммоль) и формальдегида (37%-ный водный раствор; 0,05 мл; 0,6 ммоль), с получением белого твердого вещества (0,45 г; 26%). 1Н-ЯМР (CD3CD) 8.58 (d, 1H), 7.46 (d, 1H), 7.21 (dd, 1H), 7.15 (d, 1H), 7.05 (t, 1H), 6.66 (d, 1H), 4.12 (t, 1H), 3.37 (s, 4H), 2.87 (s, 4H), 2.86-2.71 (m, 1H), 2.62 (m, 1H), 2.48 (s, 3H), 2.00 (m, 3H), 1.91 (m, 1H), 1.67 (s, 3H), 1.62 (s, 3H). MS m/z 419 (M+1).
Пример 116: N-({4-[4-(Аминоацетил)-1-пиперазинил]-1H-бензимидазол-2-ил}метил)-N-метил-5,6,7,8-тетрагидро-8-хинолинамин

N-Метил-N-{[4-(1-пиперазинил)-1Н-бензимидазол-2-ил]метил}-5,6,7,8-тетрагидро-8-хинолинамин (0,05 г; 0,1 ммоль), бис(2-оксо-3-оксазолидинил)-фосфинхлорид (0,037 г; 0,14 ммоль), N,N-диизопропилэтиламин (28 мл; 0,16 ммоль) и N-Вос-глицин (0,025 г; 0,14 ммоль) растворяли в ацетонитриле (3 мл) и перемешивали в течение 12 ч. Реакционную смесь концентрировали и очищали с использованием обращенно-фазовой ВЭЖХ (градиент 0%-50% ацетонитрил/вода/0,1%-ная трифторуксусная кислота). Нужные фракции объединяли, добавляли NaCl до насыщения раствора, нейтрализовали и экстрагировали EtOAc (5×20 мл). Органические слои объединяли, сушили над Na2SO4, фильтровали и концентрировали с получением масла. Это масло растворяли в 5 н. HCl в диоксане (1 мл) и метаноле (1 мл) и перемешивали в течение 1 часа. Раствор концентрировали и очищали обращенно-фазовой ВЭЖХ в соответствии с приведенным выше протоколом, что позволило получить белое твердое вещество (0,025 г; 45%-ный выход). 1Н-ЯМР (DMSO-d6): 8.44 (d, 1H), 7.49 (d, 1H), 7.17 (dd, 1H), 7.03 (s, 1H), 6.97 (t, 1H), 6.45 (s, 1H), 4.01 (ABq, 2H), 3.91 (t, 1H), 3.65 (s, 4H), 3.53 (m, 4H), 2.43 (s, 2H), 2.81-2.74 (m, 1Н), 2.66 (d, 1Н), 2.21 (s, 3Н), 2.02 (m, 1Н), 1.93 (m, 2H), 1.64 (m, 1Н). MS m/z 434 (M+1).
Пример 117: N-Метил-N-({4-[4-(2-пиридинилкарбонил)-1-пиперазинил]-1Н-бензимидазол-2-ил}метил)-5,6,7,8-тетрагидро-8-хинолинамин

N-Метил-N-({4-[4-(2-пиридинилкарбонил)-1-пиперазинил]-1Н-бензимидазол-2-ил}метил)-5,6,7,8-тетрагидро-8-хинолинамин получали N-метил-N-{[4-(1-пиперазинил)-1Н-бензимидазол-2-ил]метил}-5,6,7,8-тетрагидро-8-хинолинамина (0,05 г; 0,1 ммоль), бис(2-оксо-3-оксазолидинил)-фосфинхлорида (0,037 г; 0,14 ммоль), N,N-диизопропилэтиламина (28 мл; 0,16 ммоль) и пиколиновой кислоты (0,025 г; 0,14 ммоль). Реагенты растворяли в ацетонитриле (3 мл) и перемешивали в течение 12 ч. Реакционную смесь концентрировали и очищали с использованием обращенно-фазовой ВЭЖХ (градиент 0%-50% ацетонитрил/вода/0,1%-ная трифторуксусная кислота). Нужные фракции объединяли, добавляли NaCl до насыщения раствора, нейтрализовали и экстрагировали EtOAc (5×20 мл). Органические слои объединяли, сушили над Na2SO4, фильтровали и концентрировали с получением белого твердого вещества. Это масло растворяли в 5 н. HCl в диоксане (1 мл) и метаноле (1 мл) и перемешивали в течение 1 часа. Раствор концентрировали и очищали обращенно-фазовой ВЭЖХ в соответствии с приведенным выше протоколом с получением белого твердого вещества (0,040 г; 62%-ный выход). 1Н-ЯМР (DMSO-d6): 12.2 (br s), 8.60 (d, 1H), 8.47 (d, 1H), 7.93 (t, 1H), 7.61 (d, 1H), 7.48 (dd, 2H), 7.18 (d, 1H), 7.05 (d, 1H), 6.98 (t, 1H), 6.46 (d, 1H), 4.03 (ABq, 2H), 3.93 (t, 1H), 3.84 (s, 2H), 3.58 (m, 4H), 3.38 (s, 2H), 2.43 (s, 2H), 2.84-2.75 (m, 1H), 2.67 (d, 1H), 2.23 (s, 3H), 2.03 (m, 1H), 1.94 (m, 2H), 1.64 (m, 1H). MS m/z 482 (M+1).
Пример 118: Этил-N-[(8R)-5,6,7,8-тетрагидро-8-хинолинил]глицинат

К раствору (8R)-N-{(1R)-1 -[4-(метилокси)фенил]этил}-5,6,7,8-тетрагидро-8-хинолинамина (4,4 г; 15,6 ммоль) в дихлорэтане (0,2 л) добавляли уксусную кислоту (1,8 мл; 31,2 ммоль), этилоксоацетат (50% в толуоле; 6,36 г; 31,2 ммоль) и триацетоксиборгидрид натрия (6,6 г; 31,2 ммоль). Реакционную смесь перемешивали в течение 14 ч при комнатной температуре, разбавляли водой (0,1 л) и дихлорметаном (0,1 л), слои разделяли, сушили над сульфатом натрия, фильтровали и концентрировали. Очистка колоночной хроматографией (градиент 0%-100% EtOAc/гексаны) позволила получить масло (4,2 г; 73%). 1Н-ЯМР (DMSO-d6) 8.37 (d, 1H), 7.41 (d, 3H), 7.12 (dd, 1H), 6.85 (d, 2H), 4.70 (q, 1H), 3.85 (q, 2H), 3.80 (t, 1H), 3.71 (s, 3H), 3.12 (ABq, 2H), 2.77-2.69 (m, 1H), 2.61-2.52 (m, 1H), 1.96 (m, 1H), 1.78 (m, 2H), 1.44 (m, 1H), 1.20 (d, 3H), 1.06 (t, 3H). Неочищенный третичный амин (2,2 г; 6,0 ммоль) растворяли в дихлорметане (5 мл) и трифторуксусной кислоте (5 мл) и перемешивали в течение 2 ч при комнатной температуре. Реакционную смесь концентрировали, разбавляли EtOAc (100 мл), промывали насыщенным водным бикарбонатом натрия (150 мл), сушили над сульфатом натрия, фильтровали и концентрировали с получением прозрачного масла (149 мг; 59%). 1Н-ЯМР (DMSO-d6) 8.35 (d, 1H), 7.48 (d, 1H), 7.17 (t, 1H), 4.10 (q, 2H), 3.66 (d, 1H), 3.48 (ABq, 2H), 2.73 (m, 2H), 2.00 (m, 1H), 1,88 (m, 1H), 1.67-1.53 (m, 2H), 1.19 (t,3H).
Пример 119: Этил-N-метил-N-[(8R)-5,6,7,8-тетрагидро-8-хинолинил]-глицинат

К раствору этил-N-[(8R)-5,6,7,8-тетрагидро-8-хинолинил]глицината (0,1 г; 0,42 ммоль) в дихлорэтане (0,2 л) добавляли уксусную кислоту (0,035 мл; 0,63 ммоль), формальдегид (37%-ный; 0,01 мл; 0,82 ммоль) и триацетоксиборгидрид натрия (134 мг; 6,3 ммоль). Реакционную смесь перемешивали в течение 2 ч при комнатной температуре, разбавляли насыщенным раствором NaHCO3 (0,1 л) и дихлорметаном (0,1 л), слои разделяли, сушили над сульфатом натрия, фильтровали и концентрировали, получая желтое масло (0,27 г; 52%). 1Н-ЯМР (CD3OD) 8.35 (d, 1H), 7.50 (d, 1H), 7.17 (dd, 1H), 4.11 (q, 2H), 3.96 (dd, 1H), 3.41 (s, 2H), 2.90-2.82 (m, 1H), 2.73 (m, 1H), 2.37 (s, 3H), 2.07-1.97 (m, 3H), 1.69 (m, 1H), 1.23 (t, 3H). MS m/z 249 (M+1).
Пример 120: Этил-N-этил-N-[(8R)-5,6,7,8-тетрагидро-8-хинолинил]-глицинат

Этил-N-этил-N-[(8R)-5,6,7,8-тетрагидро-8-хинолинил]глицинат получали аналогично этил-N-метил-N-[(8R)-5,6,7,8-тетрагидро-8-хинолинил]глицинату из этил-N-[(8R)-5,6,7,8-тетрагидро-8-хинолинил]глицината (0,47 г; 2,0 ммоль), уксусной кислоты (0,23 мл; 4,0 ммоль), ацетальдегида (0,22 мл; 4,0 ммоль) и триацетоксиборгидрида натрия (848 мг; 4,0 ммоль), что позволило получить желтое масло (0,27 г; 52%). 1Н-ЯМР (CDCl3) 8.38 (d, 1H), 7.45 (d, 1H), 7.00 (t, 1H), 4.11 (q, 2H), 3.54 (½ ABq, 1H), 3.48 (½ ABq, 1H), 2.85-2.75 (m, 2H), 2.70-2.63 (m, 1H), 2.14-2.05 (m, 1H), 2.05-1.97 (m, 1H), 1.83 (m, 1H), 1.68 (m, 1H), 1.22 (t, 3H), 1.07 (t, 3H). MS m/z 263 (M+1).
Пример 121: Этил-N-пропил-N-[(8R)-5,6,7,8-тетрагидро-8-хинолинил]-глицинат

Этил-N-пропил-N-[(8R)-5,6,7,8-тетрагидро-8-хинолинил]глицинат получали аналогично этил-N-метил-N-[(8R)-5,6,7,8-тетрагидро-8-хинолинил]-глицинату из пропил-N-[(8R)-5,6,7,8-тетрагидро-8-хинолинил]глицината (0,47 г; 2,0 ммоль), уксусной кислоты (0,23 мл; 4,0 ммоль), пропиональдегида (0,29 мл; 4,0 ммоль) и триацетоксиборгидрида натрия (848 мг; 4,0 ммоль), что позволило получить прозрачное масло (0,52 г; 95%). 1Н-ЯМР (CDCl3) 8.42 (d, 1H), 7.34 (d, 1H), 7.05 (t, 1H), 4.12 (q, 2H), 3.74 (m, 1H), 3.60 (½ ABq, 1H), 3.40 (½ ABq, 1H), 2.82-2.77 (m, 1H), 2.72-2.65 (m, 3H), 2.16-2.07 (m, 1H), 2.06-1.97 (m, 1H), 1.86 (m, 1H), 1.48 (quin. 1H), 1.25 (t, 3H), 0.85 (t, 3H). MS m/z 277 (M+1).
Пример 122: Этил-N-(циклопропилметил)-N-[(8R)-5,6,7,8-тетрагидро-8-хинолинил]глицинат

Этил-N-(циклопропилметил)-N-[(8R)-5,6,7,8-тетрагидро-8-хинолинил]-глицинат получали аналогично этил-N-метил-N-[(8R)-5,6,7,8-тетрагидро-8-хинолинил]глицинату из этил-N-[(8R)-5,6,7,8-тетрагидро-8-хинолинил]глицината (0,47 г; 2,0 ммоль), уксусной кислоты (0,23 мл; 4,0 ммоль), циклопропан-карбальдегида (0,3 мл; 4,0 ммоль) и триацетоксиборгидрида натрия (848 мг; 4,0 ммоль), что позволило получить прозрачное масло (0,44 г; 76%). 1Н-ЯМР (CDCl3) 8.42 (d, 1H), 7.34 (d, 1H), 7.03 (t, 1H), 4.22 (dd, 1H), 4.13 (q, 2H), 3.58 (ABq, 2H), 2.84-2.76 (m, 1H), 2.70 (m, 1H), 2.62 (dd, 1H), 2.17-2.08 (m, 1H), 2.06-1.97 (m, 1H), 1.92-1.38 (m, 1H), 1.75-1.65 (m, 1H), 1.25 (t, 3H), 0.97-0.86 (m, 1H), 0.44 (ddd, 2H), 0.08 (ddd, 2H). MS m/z 289 (M+1).
Пример 123: N-Циклопропил-5,6,7,8-тетрагидро-8-хинолинамин

К раствору 6,7-дигидро-8(5H)-хинолинона (200 мг; 1,36 ммоль) в дихлорэтане (7 мл) добавляли циклопропиламин (95 мкл; 1,37 ммоль), уксусную кислоту (117 мкл; 2,04 ммоль) и триацетоксиборгидрид натрия (432 мг; 2,04 ммоль). Смесь перемешивали при комнатной температуре в течение 2 часов и добавляли еще 95 мкл циклопропиламина. Смесь затем перемешивали при комнатной температуре 15 часов, разбавляли дихлорметаном и экстрагировали водным бикарбонатом натрия. Органический слой отделяли и водный слой экстрагировали дополнительным количеством дихлорметана. Органические слои объединяли, сушили над сульфатом магния, концентрировали и очищали колоночной хроматографией (0-7,5% гидроксида аммония/ацетонитрил), получая с количественным выходом N-циклопропил-5,6,7,8-тетрагидро-8-хинолинамин в виде желтого масла. 1Н-ЯМР (400 МГц, CDCl3) 8.36 (d, J=4.5 Гц, 1H), 7.35 (d, J=7.8 Гц, 1H), 7.04 (dd, J=7.5, 4.7 Гц, 1H), 3.92 (m, 1H), 3.08 (br, 1H), 2.83-2.69 (m, 2H), 2.26 (m, 1H), 2.17 (m, 1H), 2.00-1.84 (m, 2H), 1.73 (m, 1H), 0.54 (m, 1H), 0.46-0.37 (m, 3H); MS m/z 189 (M+1).
Пример 124: (8S)-N-Метил-5,6,7,8-тетрагидро-8-хинолинамин

К раствору (8S)-N-{(1S)-1-[4-(метилокси)фенил]этил}-5,6,7,8-тетрагидро-8-хинолинамина (2,0 г; 7,1 ммоль) в дихлорэтане (70 мл) добавляли уксусную кислоту (637 мг; 10,6 ммоль), формальдегид (37%-ный водный раствор; 1,06 мл; 14,2 ммоль) и триацетоксиборгидрид натрия (2,25 г; 10,6 ммоль). Реакционную смесь перемешивали в течение 1 ч при комнатной температуре, добавляли дополнительную порцию формальдегида (37%-ный водный раствор: 1,06 мл; 14,2 ммоль) и реакционную смесь перемешивали в течение 2 ч при комнатной температуре. Реакционную смесь разбавляли насыщенным водным бикарбонатом натрия (100 мл) и экстрагировали смесью хлороформ/изопропанол (3:1; 2×100 мл). Объединенные органические экстракты сушили над сульфатом натрия, фильтровали и концентрировали. Неочищенный третичный амин растворяли в дихлорметане (10 мл) и трифторуксусной кислоте (5 мл) и перемешивали в течение 16 ч при комнатной температуре. Реакционную смесь концентрировали, разбавляли насыщенным водным бикарбонатом натрия (200 мл) и экстрагировали смесью хлороформ/изопропанол (3:1; 2×200 мл), сушили над сульфатом натрия, фильтровали и концентрировали. Неочищенный амин очищали на диоксиде кремния (градиент 0%-10% 2 М NH3 в смеси метанол/дихлорметан), получая продукт (1,04 г; 90%) в виде коричневого масла. 1Н-ЯМР (CD3OD) 8.37 (d, 1H), 7.54 (d, 1H), 7.21-7.18 (m, 1H), 3.73-3.70 (m, 1H), 3.30 (s, 3H), 2.89-2.76 (m, 2H), 2.22-2.16 (m, 1H), 2.06-1.96 (m, 1H), 1.82-1.71 (m, 1H). MS m/z 163 (M+1).
Пример 125: (8R)-N-Метил-5,6,7,8-тетрагидро-8-хинолинамин

(8R)-N-Метил-5,6,7,8-тетрагидро-8-хинолинамин получали аналогично (8S)-N-метил-5,6,7,8-тетрагидро-8-хинолинамину из (8R)-N-{(1S)-1-[4-(метилокси)фенил]этил}-5,6,7,8-тетрагидро-8-хинолинамина (0,89 г; 3,2 ммоль), получая масло (0,35 г; 53%) с данными 1Н-ЯМР и MS, соответствующими (8S)-N-метил-5,6,7,8-тетрагидро-8-хинолинамину.
Пример 126: (8S)-N-этил-5,6,7,8-тетрагидро-8-хинолинамин

К раствору (8S)-N-{(1S)-1-[4-(метилокси)фенил]этил}-5,6,7,8-тетрагидро-8-хинолинамина (300 мг; 1,06 ммоль), полученного из (S)-(-)-1-(4-метоксифенил)этиламина и 6,7-дигидро-8(5Н)хинолинона (J. Org. Chem., 2002, 67, 2197-2205; включен посредством ссылки в отношении такого синтеза), в дихлорэтане (3 мл) добавляли уксусную кислоту (96 мг; 1,60 ммоль), ацетальдегид (2 мл) и триацетоксиборгидрид натрия (339 мг; 1,60 ммоль). Реакционную смесь перемешивали в течение 16 ч при комнатной температуре, разбавляли насыщенным водным бикарбонатом натрия (50 мл), экстрагировали дихлорметаном (50 мл), сушили над сульфатом натрия, фильтровали и концентрировали. Неочищенный третичный амин растворяли в дихлорметане (3 мл) и трифторуксусной кислоте (3 мл) и перемешивали в течение 16 ч при комнатной температуре. Реакционную смесь концентрировали, разбавляли насыщенным водным бикарбонатом натрия (50 мл) и экстрагировали смесью хлороформ/изопропанол (3:1; 2×50 мл), сушили над сульфатом натрия, фильтровали и концентрировали. Неочищенный амин очищали на диоксиде кремния (градиент 0%-10% 2 М NH3 в смеси метанол/дихлорметан), получая продукт (145 мг; 78%) в виде коричневого масла. 1Н-ЯМР (CDCl3) 8.40 (d, 1H), 7.38 (d, 1H), 7.09-7.06 (m, 1H), 3.86-3.83 (m, 1H), 2.90-2.71 (m, 4H), 2.23-2.17 (m, 1H), 2.07-1.97 (m, 1H), 1.86-1.69 (m, 2H), 1.23 (t, 3H). MS m/z 177,17 (M+1).
Пример 127: (8S)-N-Пропил-5,6,7,8-тетрагидро-8-хинолинамин

К раствору (8S)-N-{(1S)-1-[4-(метилокси)фенил]этил}-5,6,7,8-тетрагидро-8-хинолинамина (300 мг; 1,06 ммоль) в дихлорэтане (3 мл) добавляли уксусную кислоту (96 мг; 1,60 ммоль), пропиональдегид (123 мг; 2,12 ммоль) и триацетоксиборгидрид натрия (339 мг; 1,60 ммоль). Реакционную смесь перемешивали в течение 16 ч при комнатной температуре, разбавляли насыщенным водным бикарбонатом натрия (50 мл), экстрагировали дихлорметаном (50 мл), сушили над сульфатом натрия, фильтровали и концентрировали. Неочищенный третичный амин растворяли в дихлорметане (3 мл) и трифторуксусной кислоте (3 мл) и перемешивали в течение 16 ч при комнатной температуре. Реакционную смесь концентрировали, разбавляли насыщенным водным бикарбонатом натрия (50 мл) и экстрагировали смесью хлороформ/изопропанол (3:1; 3×50 мл), сушили над сульфатом натрия, фильтровали и концентрировали. Неочищенный амин очищали на диоксиде кремния (градиент 0%-10% 2 М NH3 в смеси метанол/дихлорметан), получая продукт (121 мг; 60%) в виде коричневого масла. 1Н-ЯМР (CDCl3) 8.39 (d, 1H), 7.36 (d, 1H), 7.07-7.04 (m, 1H), 3.80-3.77 (m, 1H), 2.87-2.64 (m, 4H), 2.19-2.13 (m, 1H), 2.04-1.96 (m, 1H), 1.82-1.68 (m, 2H), 1.67-1.56 (m, 2H), 0.97 (t, 3H). MS m/z 191,17 (M+1).
Пример 128: (8S)-N-(1-Метилэтил)-5,6,7,8-тетрагидро-8-хинолинамин

К раствору (8S)-N-{(1S)-1-[4-(метилокси)фенил]этил}-5,6,7,8-тетрагидро-8-хинолинамина (25 мг; 0,16 ммоль) в дихлорэтане (1 мл) добавляли трифторуксусную кислоту (1 мл) и перемешивали 4 ч. Раствор упаривали и очищали колоночной хроматографией (градиент 0%-10% 2 М NH3 в смеси метанол/дихлорметан), получая продукт в виде масла. 1Н-ЯМР (CDCl3) 8.39 (d, 1H), 7.38 (d, 1H), 7.08 (dd, 1H), 4.07 (t, 1H), 3.50 (br s, 2H), 2.86-2.71 (m, 2H), 2.27-2.16 (m, 1H), 2.19-2.13 (m, 1H), 2.01-1.93 (m, 1H), 1.83-1.69 (m, 2H). MS m/z 149 (M+1). К (8S)-5,6,7,8-тетрагидро-8-хинолинамину добавляли метанол (1 мл), ацетон (25 мл; 0,32 ммоль) и триметилортоформиат (0,55 мл; 0,5 ммоль). Реакционную смесь перемешивали в течение 1 ч, затем медленно добавляли боргидрид натрия (20 мг; 0,5 ммоль) и перемешивали в течение 1 ч. Добавляли насыщенный раствор NaHCO3 (2 мл) и EtOAc (5 мл) и слои разделяли. Водный слой экстрагировали EtOAc (3×5 мл), слои объединяли, сушили над сульфатом натрия, фильтровали, концентрировали и очищали колоночной хроматографией (градиент 0%-10% 2 М NH3 в смеси метанол/дихлорметан), получая продукт (10 мг; %) в виде прозрачного масла. 1Н-ЯМР (CDCl3) 8.37 (d, 1H), 7.34 (d, 1H), 7.03 (dd, 1H), 4.07 (t, 1H), 3.04 (sept, 1H), 2.85-2.69 (m, 2H), 2.24 (br s, 1H), 2.15-2.09 (m, 1H), 2.01-1.94 (m, 1H), 1.77-1.68 (m, 2H), 1.17 (d, 6H). MS m/z 191,17 (M+1).
Пример 129: (8S)-N-(Фенилметил)-5,6,7,8-тетрагидро-8-хинолинамин

К раствору (8S)-N-{(1S)-1-[4-(метилокси)фенил]этил}-5,6,7,8-тетрагидро-8-хинолинамина (300 мг; 1,06 ммоль) в дихлорэтане (3 мл) добавляли уксусную кислоту (96 мг; 1,60 ммоль), бензальдегид (225 мг; 2,12 ммоль) и триацетоксиборгидрид натрия (339 мг; 1,60 ммоль). Реакционную смесь перемешивали в течение 16 ч при комнатной температуре, разбавляли насыщенным водным бикарбонатом натрия (50 мл), экстрагировали дихлорметаном (50 мл), сушили над сульфатом натрия, фильтровали и концентрировали. Неочищенный третичный амин растворяли в дихлорметане (3 мл) и трифторуксусной кислоте (3 мл) и перемешивали в течение 16 ч при комнатной температуре. Реакционную смесь концентрировали, разбавляли насыщенным водным бикарбонатом натрия (50 мл) и экстрагировали смесью хлороформ/изопропанол (3:1; 3×50 мл), сушили над сульфатом натрия, фильтровали и концентрировали. Неочищенный амин очищали на диоксиде кремния (градиент 0%-10% 2 М NH3 в смеси метанол/дихлорметан), получая продукт (149 мг; 59%) в виде прозрачного масла. 1Н-ЯМР (CDCl3) 8.39 (d, 1H), 7.42-7.40 (m, 2H), 7.37-7.30 (m, 3H), 7.25-7.21 (m, 1H), 7.07-7.04 (m, 1H), 4.00 (d, 1H), 3.90 (d, 1H), 3.86-3.84 (m, 1H), 2.87-2.71 (m, 2H), 2.23-2.16 (m, 1H), 2.07-1.99 (m, 1H), 1.87-1.70 (m, 2H). MS m/z 239,17 (M+1).
Пример 130: N-Метил-N-[(8S)-5,6,7,8-тетрагидро-8-хинолинил]глицин

(8S)-N-Этил-5,6,7,8-тетрагидро-8-хинолинамин (0,55 г; 3,1 ммоль), бромбензилацетат (0,65 г; 2,8 ммоль) и N,N-диизопропилэтиламин (0,55 мл; 3,1 ммоль) растворяли в CH2Cl2 (25 мл). Реакционную смесь перемешивали в течение 14 ч при комнатной температуре, разбавляли насыщенным NaHCO3 (10 мл), слои разделяли, водный слой экстрагировали СН2Cl2 (3×10 мл), слои объединяли, сушили над сульфатом натрия, фильтровали и концентрировали. В результате очистки колоночной хроматографией (градиент 1%-10% 2 M NH3 в смеси метанол/дихлорметан) получали масло. Масло растворяли в этаноле (25 мл), добавляли палладий на угле (10% мас./мас.; 5,0 мг) и реакционную смесь перемешивали в атмосфере водорода в течение 4 ч. Реакционную смесь фильтровали через целит, концентрировали, помещали в условия глубокого вакуума с получением желтовато-коричневого твердого вещества (0,6 г; 82%). 1Н-ЯМР (DMSO-d6) 8.41 (d, 1H), 7.60 (d, 1H), 7.28 (t, 1H), 4.35 (m, 1H), 3.41 (½ ABq, 1H), 3.24 (½ ABq, 1H), 2.81-2.74 (m, 2H), 2.44 (s, 3H), 2.12 (m, 1H), 1.95 (m, 1H), 1.82 (m, 1H), 1.70 (m, 1H). MS m/z 221 (M+1).
Пример 131: N-Этил-N-[(8S)-5,6,7,8-тетрагидро-8-хинолинил]глицин

N-Этил-N-[(8S)-5,6,7,8-тетрагидро-8-хинолинил]глицин получали аналогично N-метил-N-[(8S)-5,6,7,8-тетрагидро-8-хинолинил]глицину из (8S)-N-этил-5,6,7,8-тетрагидро-8-хинолинамина (0,55 г; 2,8 ммоль) и бромбензилацетата (0,65 г; 2,8 ммоль) с получением масла (0,6 г; 70%). 1Н-ЯМР (CDCl3) 8.42 (d, 1Н), 7.61 (d, 1H), 7.29 (t, 1H), 4.39 (m, 1H), 3.40 (½ ABq, 1H), 3.28 (½ ABq, 1H), 2.94-2.87 (m, 1H), 2.85-2.66 (m, 3Н), 2.54-2.47 (m, 2H), 2.19 (m, 1H), 1.94 (m, 1H), 1.83-1.68 (m, 2H), 1.05 (t, 3H). MS m/z 235 (M+1).
Пример 132: N-Пропил-[(8S)-5,6,7,8-тетрагидро-8-хинолинил]глицин

N-Пропил-N-[(8S)-5,6,7,8-тетрагидро-8-хинолинил]глицин получали аналогично N-метил-N-[(8S)-5,6,7,8-тетрагидро-8-хинолинил]глицину из (8S)-N-пропил-5,6,7,8-тетрагидро-8-хинолинамина (0,55 г; 2,7 ммоль) и бромбензилацетата (0,65 г; 2,8 ммоль) с получением масла (0,5 г; 53%). 1Н-ЯМР (CDCl3) 8.40 (d, 1H), 7.60 (d, 1H), 7.28 (t, 1H), 4.29 (m, 1H), 3.53 (ABq, 2H), 2.80-2.70 (m, 2H), 2.54-2.47 (m, 2H), 2.14 (m, 1H), 1.95 (m, 1H), 1.81-1.67 (m, 2H), 1.51-1.40 (m, 2H), 0.79 (t, 3H). MS m/z 249 (M+1).
Пример 133А: (8R)-N-Метил-N-{[4-(4-метил-1-пиперазинил)-1Н-бензимидазол-2-ил]метил}-5,6,7,8-тетрагидро-8-хинолинамин

К раствору этил-N-метил-N-[(8R)-5,6,7,8-тетрагидро-8-хинолинил]-глицината (550 мг; 1,6 ммоль) в смеси THF/метанол/вода (5 мл/5 мл/5 мл) добавляли гидроксид лития (192 мг; 8 ммоль), перемешивали в течение 14 ч, упаривали при пониженном давлении до белого твердого вещества. (8R)-N-Метил-N-{[4-(4-метил-1-пиперазинил)-1Н-бензимидазол-2-ил]метил}-5,6,7,8-тетрагидро-8-хинолинамин получали аналогично N-метил-N-{[5-({4-[2-(1-пирролидинил)этил]-1-пиперидинил}карбонил)-1Н-бензимидазол-2-ил]метил}-5,6,7,8-тетрагидро-8-хинолинамину из неочищенной кислоты и 3-(4-метил-1-пиперазинил)-1,2-бензолдиамина (330 мг; 1,6 ммоль), бис(2-оксо-3-оксазолидинил)фосфинхлорида (814 мг; 3,2 ммоль) и N,N-диизопропилэтиламина (1,1 мл; 6,4 ммоль), получая белое твердое вещество (110 мг; 17%). 1H-ЯМР (DMSO-d6): 12.2 (br s, 1H), 8.44 (d, 1H), 7.48 (d, 1H), 7.16 (dd, 1H), 7.00-6.93 (m, 2H), 6.43 (m, 1H), 4.04 (ABq, 2H), 3.93 (t, 1H), 3.44 (m, 4H), 2.84-2.74 (m, 1H), 2.67-2.63 (m, 5H), 2.31 (s, 3H), 2.22 (s, 3H), 2.08-2.02 (m, 1H), 1.98-1.89 (m, 2H), 1.68-1.56 (m, 1H). MS m/z 391,1 (M+1).
Пример 133Б: (8S)-N-Метил-{[4-(4-метил-1-пиперазинил)-1H-бензимидазол-2-ил]метил}-5,6,7,8-тетрагидро-8-хинолинамин

(8S)-N-Метил-N-{[4-(4-метил-1-пиперазинил)-1H-бензимидазол-2-ил]метил}-5,6,7,8-тетрагидро-8-хинолинамин получали способом, аналогичным изложенному в данном описании изобретения. Данные 1Н-ЯМР и MS соответствуют (8R)-N-метил-N-{[4-(4-метил-1-пиперазинил)-1Н-бензимидазол-2-ил]метил}-5,6,7,8-тетрагидро-8-хинолинамину.
Пример 134: (8R)-N-Этил-N-{[4-(4-метил-1-пиперазинил)-1Н-бензимидазол-2-ил]метил}-5,6,7,8-тетрагидро-8-хинолинамин

(8R)-N-Этил-N-{[4-(4-метил-1-пиперазинил)-1Н-бензимидазол-2-ил]метил}-5,6,7,8-тетрагидро-8-хинолинамин получали аналогично (8R)-N-метил-N-{[4-(4-метил-1-пиперазинил)-1Н-бензимидазол-2-ил]метил}-5,6,7,8-тетрагидро-8-хинолинамину из этил-N-этил-N-[(8R)-5,6,7,8-тетрагидро-8-хинолинил]глицината (273 мг; 1,0 ммоль) с получением белого твердого вещества (75 мг; 20%). 1Н-ЯМР (DMSO-d6) 12.37 (s, 1H), 8.55 (d, 1H), 7.54 (d, 1H), 7.25-7.20 (m, 1H), 7.10 (d, 1H), 7.00 (t, 1H), 6.46 (d, 1H), 4.09-4.03 (m, 2H), 3.94 (d, 1H), 3.52-3.40 (m, 6H), 3.23-3.07 (m, 1H), 2.87-2.62 (m, 5H), 2.26 (s, 3Н), 2.20-2.09 (m, 1H), 2.00-1.82 (m, 2H), 1.75-1.61 (m, 1H), 0.97 (t, 3Н). MS m/z 405 (M+1).
Пример 135: (8S)-N-Этил-N-{[4-(4-метил-1-пиперазинил)-1H-бензимидазол-2-ил]метил}-5,6,7,8-тетрагидро-8-хинолинамин

(8S)-N-Этил-N-{[4-(4-метил-1-пиперазинил)-1Н-бензимидазол-2-ил]метил}-5,6,7,8-тетрагидро-8-хинолинамин получали способом, аналогичным изложенному в данном описании изобретения, посредством восстановительного аминирования из (8S)-N-этил-5,6,7,8-тетрагидро-8-хинолинамина и 4-(4-метил-1-пиперазинил)-1Н-бензимидазол-2-карбальдегида, с получением белого твердого вещества (40 мг; 38%). Данные 1Н-ЯМР и MS соответствуют (8R)-N-этил-N-{[4-(4-метил-1-пиперазинил)-1H-бензимидазол-2-ил]метил}-5,6,7,8-тетрагидро-8-хинолинамину.
Пример 136: (8R)-N-{[4-(4-Метил-1-пиперазинил)-1Н-бензимидазол-2-ил]метил}-N-пропил-5,6,7,8-тетрагидро-8-хинолинамин

(8R)-N-{[4-(4-Метил-1-пиперазинил)-1H-бензимидазол-2-ил]метил}-N-пропил-5,6,7,8-тетрагидро-8-хинолинамин получали аналогично (8S)-N-(1-метилэтил)-N-{[4-(4-метил-1-пиперазинил)-1H-бензимидазол-2-ил]метил}-5,6,7,8-тетрагидро-8-хинолинамину из (8R)-N-пропил-5,6,7,8-тетрагидро-8-хинолинамина (0,05 мг; 0,26 ммоль) и 4-(4-метил-1-пиперазинил)-1Н-бензимидазол-2-карбальдегида (0,1 г; 0,39 ммоль), что позволило получить твердое вещество белого цвета (25 мг; 23%). 1Н-ЯМР (DMSO-d6) 12.43 (s, 1H), 8.57-8.56 (m, 1H), 7.54 (d, 1H), 7.25-7.21 (m, 1H), 7.10 (d, 1H), 7.00 (t, 1H), 6.46 (d, 1H), 4.13-3.94 (m, 3H), 3.55-3.44 (m, 4H), 2.89-2.60 (m, 8H), 2.27 (s, 3Н), 2.23-2.11 (m, 1H), 2.01-1.82 (m, 2H), 1.75-1.58 (m, 1H), 1.42-1.29 (m, 2H), 0.76 (t, 3H). MS m/z 419 (M+1).
Пример 137: (8S)-N-{[4-(4-Метил-1-пиперазинил)-1H-бензимидазол-2-ил]метил}-N-пропил-5,6,7,8-тетрагидро-8-хинолинамин

(8S)-N-{[4-(4-Метил-1-пиперазинил)-1Н-бензимидазол-2-ил]метил}-N-пропил-5,6,7,8-тетрагидро-8-хинолинамин получали аналогично (8S)-N-(1-метилэтил)-N-{[4-(4-метил-1-пиперазинил)-1Н-бензимидазол-2-ил]метил}-5,6,7,8-тетрагидро-8-хинолинамину из (8S)-N-пропил-5,6,7,8-тетрагидро-8-хинолинамина (0,025 мг; 0,13 ммоль) и 4-(4-метил-1-пиперазинил)-1H-бензимидазол-2-карбальдегида (0,05 г; 0,2 ммоль) с получением белого твердого вещества (16 мг; 29%). Данные 1Н-ЯМР и MS соответствуют таковым для (8R)-N-{[4-(4-метил-1-пиперазинил)-1Н-бензимидазол-2-ил]метил}-N-пропил-5,6,7,8-тетрагидро-8-хинолинамина.
Пример 138: (8S)-N-(1-Метилэтил)-N-{[4-(4-метил-1-пиперазинил-1Н-бензимидазол-2-ил]метил}-5,6,7,8-тетрагидро-8-хинолинамин

К раствору (8S)-5,6,7,8-тетрагидро-8-хинолинамина (25 мг; 0,16 ммоль) в метаноле (3 мл) добавляли ацетон (25 мл; 0,33 ммоль) и триметилортоформчат (55 мл; 0,55 ммоль). Реакционную смесь перемешивали в течение 1 ч при комнатной температуре и добавляли боргидрид натрия (0,02 г; 0,55 ммоль). Реакционную смесь перемешивали 1 ч при комнатной температуре, добавляли водный бикарбонат натрия (2 мл) и перемешивали в течение 0,5 ч. Промежуточное соединение упаривали и очищали с использованием обращенно-фазовой ВЭЖХ (градиент 0%-50% ацетонитрил/вода/0,1%-ная трифторуксусная кислота). Нужные фракции объединяли, добавляли NaCl до насыщения раствора, нейтрализовали и экстрагировали EtOAc (5×20 мл). Органические слои объединяли, сушили над Na2SO4, фильтровали и концентрировали с получением масла. Это промежуточное соединение растворяли в дихлорэтане (5 мл), добавляли уксусную кислоту (15 мл; 0,25 ммоль), 4-(4-метил-1-пиперазинил)-1Н-бензимидазол-2-карбальдегид (0,06 г; 0,25 ммоль) и триацетоксиборгидрид натрия (50 мг; 0,25 ммоль), реакционную смесь перемешивали в течение 12 ч, добавляли насыщенный NaHCO3 (5 мл) и перемешивали в течение 15 мин. Водный слой отделяли и экстрагировали CH2Cl2 (3×5 мл), органические слои объединяли, сушили над Na2SO4, фильтровали и концентрировали. Продукт очищали, как описано выше, с получением белого твердого вещества (20 мг; 28%). 1Н-ЯМР (DMSO-d6) 13.1 (br s, 1H), 8.66 (d, 1H), 7.56 (d, 1H), 7.27 (t, 1H), 7.13 (d, 1H), 6.99 (t, 1H), 6.47 (s, 1H), 4.08 (½ ABq, 1H), 4.06 (t, 1H), 3.98 (½ ABq, 1H), 3.48 (s, 4H), 3.00 (sep, 1H), 2.85 (m, 1H), 2.70 (m, 1H), 2.58 (s, 4H), 2.30 (s, 3H), 2.13 (m, 1H), 1.94 (m, 2H), 1.68 (m, 1H), 1.11 (d, 3H), 0.98 (d, 3H). MS m/z 419 (M+1).
Пример 139: (8R)-N-(Циклопропилметил)-N-{[4-(4-метил-1-пиперазинил)-1Н-бензимидазол-2-ил]метил}-5,6,7,8-тетрагидро-8-хинолинамин

(8R)-N-(Циклопропилметил)-N-{[4-(4-метил-1-пиперазинил)-1Н-бензимидазол-2-ил]метил}-5,6,7,8-тетрагидро-8-хинолинамин получали аналогично (8R)-N-метил-N-{[4-(4-метил-1-пиперазинил)-1Н-бензимидазол-2-ил]метил}-5,6,7,8-тетрагидро-8-хинолинамину из этил-N-(циклопропилметил)-N-[(8R)-5,6,7,8-тетрагидро-8-хинолинил]глицината (650 мг; 2,3 ммоль) с получением белого твердого вещества (60 мг; 6%). 1Н-ЯМР (DMSO-d6) 8.56-8.55 (m, 1H), 7.55-7.52 (m, 1H), 7.25-7.21 (m, 1H), 7.10 (d, 1H), 7.00 (t, 1H), 6.46 (d, 1H), 4.20-4.00 (m, 3H), 3.55-3.40 (m, 2H), 2.91-2.63 (m, 2H), 2.63-2.56 (m, 8H), 2.34-2.10 (m, 4H), 2.03-1.83 (m, 2H), 1.76-1.55 (m, 1H), 0.90-0.77 (m, 1H), 0.33-0.30 (m, 2H), 0.04-0.02 (m, 2H). MS m/z 431 (M+1).
Пример 140: (8S)-N-(Циклопропилметил)-N-{[4-(4-метил-1-пиперазинил)-1Н-бензимидазол-2-ил]метил}-5,6,7,8-тетрагидро-8-хинолинамин

(8S)-N-(Циклопропилметил)-N-{[4-(4-метил-1-пиперазинил)-1Н-бензимидазол-2-ил]метил}-5,6,7,8-тетрагидро-8-хинолинамин получали способом, аналогичным изложенному в данном описании изобретения, посредством восстановительного аминирования из (8S)-N-(циклопропилметил)-5,6,7,8-тетрагидро-8-хинолинамина (25 мг; 0,13 ммоль) и 4-(4-метил-1-пиперазинил)-1Н-бензимидазол-2-карбальдегида (0,05 г; 0,2 ммоль) с получением белого твердого вещества (20 мг; 35%). Данные 1Н-ЯМР и MS соответствуют (8R)-N-(циклопропилметил)-N-{[4-(4-метил-1 -пиперазинил)-1H-бензимидазол-2-ил]метил}-5,6,7,8-тетрагидро-8-хинолинамину.
Пример 141: (8S)-N-({4-[(8аR)-Гексагидропирроло[1,2-а]пиразин-2(1Н)-ил]-1Н-бензимидазол-2-ил}метил)-N-метил-5,6,7,8-тетрагидро-8-хинолинамин

А) 3-Хлор-2-нитроанилин (0,25 г; 1,4 ммоль), (8аR)-октагидропирроло[1,2-а]пиразин (0,5 г; 4,0 ммоль) и N,N-диизопропилэтиламин (0,75 мл; 4,0 ммоль) растворяли в DMF (2 мл) и реакционную смесь нагревали в течение 4 ч при 130°С. Реакционную смесь охлаждали, концентрировали и очищали колоночной хроматографией (градиент 1%-10% 2 М NH3 в смеси метанол/дихлорметан) с получением красного твердого вещества (0,2 г; 54%). 1Н-ЯМР (DMSO-d6) 7.09 (t, 1H), 6.50 (d, 1H), 6.36 (d, 1H), 5.83 (br s, 2H), 5.74 (s, 1H), 3.07 (m, 1H), 2.94 (m, 4H), 2.79 (t, 1H), 2.18-1.94 (m, 3H), 1.75-1.60 (m, 4H), 1.26 (m, 1H).
Б) 3-[(8аR)-Гексагидропирроло[1,2-а]пиразин-2(1Н)-ил]-2-нитроанилин (0,55 г; 0,2 ммоль) и палладий на угле (10% мас./мас.; 5,0 мг) растворяли в этаноле (10 мл) и реакционную смесь перемешивали в атмосфере водорода в течение 4 ч. Реакционную смесь фильтровали через целит, концентрировали, помещали в условия глубокого вакуума, и полученный диамин использовали неочищенным. Этот диамин и N-метил-N-[(8S)-5,6,7,8-тетрагидро-8-хинолинил]глицин объединяли вместе с ацетонитрилом, N,N-диизопропилэтиламином, бис(2-оксо-3-оксазолидинил)фосфинхлоридом и перемешивали в течение 12 ч при комнатной температуре. Реакционную смесь концентрировали и разбавляли этилацетатом (200 мл). Органическую фазу промывали насыщенным NaHCO3 (5 мл), разделяли и водную фазу экстрагировали этилацетатом (3×25 мл). Органические экстракты объединяли, сушили над сульфатом натрия, фильтровали и концентрировали до коричневой жидкости. Эту коричневую жидкость обрабатывали уксусной кислотой, вызывая циклизацию до бензимидазола способом, аналогичным изложенному в данном описании изобретения. Концентрированно и очистка обращенно-фазовой ВЭЖХ в соответствии с протоколом, изложенным в данном описании изобретения, позволили получить оранжевое твердое вещество (20 мг; 24%). 1Н-ЯМР (CD3OD) 8.53 (d, 1H), 7.63 (d, 1H), 7.32-7.28 (m, 1H), 7.23-7.14 (m, 2H), 6.79 (d, 1H), 4.21-4.14 (m, 2H), 4.01-3.80 (m, 3Н), 3.28-3.19 (m, 2H), 3.05-2.59 (m, 6H), 2.45-2.37 (m, 1H), 2.25-2.19 (m, 1H), 2.15 (s, 3Н), 2.15-1.76 (m, 6H), 1.64-1.54 (m, 1H). MS m/z 417 (M+1).
Пример 142: (8S)-N-Этил-N-({4-[(8аR)-гексагидропирроло[1,2-а]пиразин-2(1Н)-ил]-1Н-бензимидазол-2-ил}метил)-5,6,7,8-тетрагидро-8-хинолинамин

(8S)-N-Этил-N-({4-[(8аR)-гексагидропирроло[1,2-а]пиразин-2(1H)-ил]-1H-бензимидазол-2-ил}метил)-5,6,7,8-тетрагидро-8-хинолинамин получали аналогично (8S)-N-({4-[(8аR)-гексагидропирроло[1,2-а]пиразин-2(1H)-ил]-1H-бензимидазол-2-ил}метил)-N-метил-5,6,7,8-тетрагидро-8-хинолинамину из 3-[(8аR)-гексагидропирроло[1,2-а]пиразин-2(1H)-ил]-2-нитроанилина (0,55 г; 0,2 ммоль) и N-этил-N-[(8S)-5,6,7,8-тетрагидро-8-хинолинмл]глицина, что позволило получить оранжевое твердое вещество (20 мг; 23%). 1Н-ЯМР (CD3OD) 8.54 (d, 1Н), 7.60 (d, 1H), 7.29-7.13 (m, 3Н), 6.78 (d, 1H), 4.20-4.13 (m, 1H), 4.13-3.82 (m, 4H), 3.29-3.20 (m, 2H), 3.06-2.38 (m, 9H), 2.32-2.25 (m, 1H), 2.13-1.89 (m, 5H), 1.81-1.54 (m, 2H), 0.96 (t, 3Н). MS m/z 431 (M+1).
Пример 143: (8S)-N-({4-[(8аR)-гексагидропирроло[1,2-а]пиразин-2(1H)-ил]-1Н-бензимидазол-2-ил}метил)-N-пропил-5,6,7,8-тетрагидро-8-хинолинамин

(8S)-N-({4-[(8аR)-Гексагидропирроло[1,2-а]пиразин-2(1Н)-ил]-1Н-бензимидазол-2-ил}метил)-N-пропил-5,6,7,8-тетрагидро-8-хинолинамин получали аналогично (8S)-N-({4-[(8аR)-гексагидропирроло[1,2-а]пиразин-2(1H)-ил]-1Н-бензимидазол-2-ил}метил)-N-метил-5,6,7,8-тетрагидро-8-хинолинамину, что позволило получить желтовато-коричневое твердое вещество (50 мг; 56%). 1Н-ЯМР (CD3OD) 8.55 (d, 1Н), 7.61 (d, 1H), 7.27 (dd, 1H), 7.22 (d, 1H), 7.16 (t, 1H), 6.78 (d, 1H), 4.18 (t, 1H), 4.07 (ABq, 2H), 4.06-3.80 (m, 2H), 3.26-3.18 (m, 2H), 3.05-2.53 (m, 7H), 2.44-2.25 (m, 3H), 2.13-1.89 (m, 5H), 1.82-1.72 (m, 1H), 1.63-1.53 (m, 1H), 1.37-1.28 (m, 2H), 0.74 (t, 3H). MS m/z 445 (M+1).
Пример 144: (8S)-N-Метил-N-({4-[(1R,5R)-7-метил-3,7-диазабицикло[3.3.1]-нон-3-ил]-1Н-бензимидазол-2-ил}метил)-5,6,7,8-тетрагидро-8-хинолинамин

А) 1,1-Диметилэтил-(1S,5S)-7-[2-({метил[(8S)-5,6,7,8-тетрагидро-8-хинолинил]амино}метил)-1Н-бензимидазол-4-ил]-3,7-диазабицикло[3.3.1]нонан-3-карбоксилат получали способом, аналогичным изложенному в данном описании изобретения, из фенилметил-N-метил-N-[(8S)-5,6,7,8-тетрагидро-8-хинолинил]глицината (0,055 г; 0,2 ммоль) и 1,1-диметилэтил-(1S,5S)-7-(3-амино-2-нитрофенил)-3,7-диазабицикло[3.3.1]нонан-3-карбоксилата (0,1 г; 0,2 ммоль), получая желтовато-коричневое твердое вещество (110 мг; 71%). 1Н-ЯМР (CD3OD) 8.54-8.47 (m, 1H), 7.61 (d, 1H), 7.27 (dd, 1H), 7.11 (m, 2H), 6.69 (br s, 1H), 4.43-4.37 (m, 1H), 4.19-4.00 (m, 4H), 3.31-2.82 (m, 5H), 2.38-1.95 (m, 9H), 1.86-1.73 (m, 1H), 1.09 (s, 9H). MS m/z 517 (M+1).
Б) 1,1-Диметилэтил-(1S,5S)-7-[2-({метил[(8S)-5,6,7,8-тетрагидро-8-хинолинил]амино}метил)-1Н-бензимидазол-4-ил]-3,7-диазабицикло[3.3.1]нонан-3-карбоксилат (100 мг; 0,2 ммоль) растворяли в дихлорметане (2 мл) и трифторуксусной кислоте (2 мл) и перемешивали в течение 3 ч при комнатной температуре. К этому неочищенному амину добавляли дихлорэтан (5 мл), 37%-ный формальдегид (0,02 мл; 0,30 ммоль), уксусную кислоту (0,02 мл; 0,30 ммоль) и триацетоксиборгидрид натрия (0,60 г; 0,30 ммоль). Реакционную смесь перемешивали 1 ч, добавляли раствор насыщенного NaHCO3 (2,5 мл) и перемешивали в течение 15 мин. Слои разделяли и водный слой экстрагировали CH2Cl2 (3×5 мл), органические слои объединяли, сушили над Na2SO4, фильтровали, концентрировали и очищали с использованием обращенно-фазовой ВЭЖХ (градиент 0%-50% ацетонитрил/вода/0,1%-ная трифторуксусная кислота). Нужные фракции объединяли, добавляли NaCl до насыщения раствора, нейтрализовали и экстрагировали EtOAc (5×20 мл). Органические слои объединяли, сушили над Na2SO4, фильтровали и концентрировали с получением белого твердого вещества (20 мг, 24%). 1Н-ЯМР (DMSO-d6) 8.44-8.43 (m, 1H), 7.49 (d, 1H), 7.19-7.13 (m, 2H), 7.06-7.01 (m, 1H), 6.63-6.53 (m, 1H), 4.12-4.01 (m, 3Н), 3.97-3.93 (m, 1H), 3.89-3.86 (m, 1H), 3.67-3.63 (m, 1H), 3.53-3.49 (m, 1H), 3.27-3.24 (m, 2H), 3.11-3.02 (m, 2H), 2.83-2.75 (m, 1H), 2.71-2.63 (m, 2H), 2.26-2.15 (m, 4H), 2.05-1.58 (m, 5H).
Пример 145: N-Циклопропил-N-{[4-(4-метил-1-пиперазинил)-1Н-бензимидазол-2-ил]метил}-5,6,7,8-тетрагидро-8-хинолинамин

К раствору N-циклопропил-5,6,7,8-тетрагидро-8-хинолинамина (0,075 г; 0,4 ммоль) в дихлорэтане (5 мл) добавляли уксусную кислоту (0,035 мл; 0,6 ммоль), 4-(4-метил-1-пиперазинил)-1Н-бензимидазол-2-карбальдегид (0,15 г, 0,6 ммоль) и триацетоксиборгидрид натрия (0,13 г; 0,6 ммоль), реакционную смесь перемешивали в течение 12 ч, добавляли насыщенный NaHCO3 (5 мл) и перемешивали в течение 15 мин. Водный слой отделяли и экстрагировали СН2Cl2 (3×5 мл), органические слои объединяли, сушили над Na2SO4, фильтровали и концентрировали. Продукт очищали с использованием обращенно-фазовой ВЭЖХ (градиент 0%-50% ацетонитрил/вода/0,1%-ная трифторуксусная кислота). Нужные фракции объединяли, добавляли NaCl до насыщения раствора, нейтрализовали и экстрагировали EtOAc (5×20 мл). Органические слои объединяли, сушили над Na2SO4, фильтровали и концентрировали с получением белого твердого вещества (30 мг; 18%). 1Н-ЯМР (CD3OD) 8.51 (d, 1H), 7.59-7.56 (m, 1H), 7.27-7.12 (m, 3H), 6.76-6.73 (m, 1H), 4.22-4.04 (m, 3H), 3.45-3.36 (m, 4H), 2.99-2.74 (m, 6H), 2.47 (s, 3H), 2.35-2.21 (m, 3H), 2.19-2.05 (m, 1H), 1.89-1.73 (m, 1H), 0.40-0.10 (m, 3H), 0.04-(-0.11) (m, 1H). MS m/z 417,28 (M+1).
Пример 146: (8S)-N-{(1S)-1-[4-(метилокси)фенил]этил}-N-{[4-(4-метил-1-пиперазинил)-1H-бензимидазол-2-ил]метил}-5,6,7,8-тетрагидро-8-хинолинамин

К раствору (8S)-N-{(1S)-1 -[4-(метилокси)фенил]этил}-5,6,7,8-тетрагидро-8-хинолинамина (0,175 г; 0,6 ммоль) добавляли 4-(4-метил-1-пиперазинил)-1H-бензимидазол-2-карбальдегид (0,1 г; 0,4 ммоль) и уксусную кислоту (0,035 мл; 0,6 ммоль). В виде двух порций в течение 1 ч добавляли триацетоксиборгидрид натрия (0,13 г; 0,6 ммоль) и смесь перемешивали в течение 12 ч. Добавляли насыщенный NaHCO3 (25 мл) и перемешивали в течение 15 мин. Водный слой отделяли и экстрагировали СН2Cl2 (3×5 мл), органические слои объединяли, сушили над Na2SO4, фильтровали и концентрировали. Очистка колоночной хроматографией (градиент 0%-10% 2 М NH3 в смеси метанол/дихлорметан) позволила получить коричневое масло (0,11 г; 54%). 1Н-ЯМР (400 МГц, DMSO-d6) м.д. 12.23 (br s, 1H), 8.54 (d, 1H), 7.45 (t, 3H), 7.17 (dd, 1H), 7.07 (d, 1H), 6.94 (t, 1H), 6.81 (d, 2H), 6.39 (d, 1H), 4.69 (dd, 1H), 3.89-3.96 (m, 1H), 3.74-3.90 (m, 2H), 3.68 (s, 3H), 3.32-3.51 (m, 4H), 2.62-2.79 (m, 1H), 2.52-2.62 (m, 1H), 2.41-2.48 (m, 4H), 2.20 (s, 3H), 2.07-2.17 (m, 1H), 1.70-1.90 (m, 2H), 1.35-1.50 (m, 1H), 1.15 (d, 3H). MS m/z 511 (M+1).
Пример 147: (8S)-N-{[4-(4-Метил-1-пиперазинил)-1Н-бензимидазол-2-ил]метил}-N-{2-[(фенилметил)окси]этил}-5,6,7,8-тетрагидро-8-хинолинамин

К (8S)-N-{(1S)-1-[4-(метилокси)фенил]этил}-5,6,7,8-тетрагидро-8-хинолинамину (0,25 г; 0,88 ммоль) в дихлорэтане (10 мл) добавляли уксусную кислоту (0,075 мл, 1,3 ммоль), [(фенилметил)окси]ацетальдегид (0,135 мл; 1,3 ммоль) и триацетоксиборгидрид натрия (0,28 г; 1,3 ммоль). Реакционную смесь перемешивали в течение 12 ч при комнатной температуре, разбавляли насыщенным водным бикарбонатом натрия (10 мл) и экстрагировали CH2Cl2 (3×10 мл). Объединенные органические экстракты сушили над сульфатом натрия, фильтровали и концентрировали. Неочищенный третичный амин растворяли в дихлорметане (2 мл) и трифторуксусной кислоте (2 мл) и перемешивали в течение 1 ч. Реакционную смесь концентрировали и очищали колоночной хроматографией (градиент 0%-10% 2 М NH3 в смеси метанол/дихлорметан) с получением амина. Добавляли дихлорэтан (5 мл), уксусную кислоту (0,035 мл; 0,6 ммоль), 4-(4-метил-1-пиперазинил)-1Н-бензимидазол-2-карбальдегид (0,15 г; 0,6 ммоль) и триацетоксиборгидрид натрия (0,13 г; 0,6 ммоль), реакционную смесь перемешивали в течение 12 ч, добавляли насыщенный NaHCO3 (5 мл) и перемешивали в течение 15 мин. Водный слой отделяли и экстрагировали СН2Cl2 (3×5 мл), органические слои объединяли, сушили над Na2SO4, фильтровали и концентрировали. Продукт очищали с использованием обращенно-фазовой ВЭЖХ (градиент 0%-50% ацетонитрил/вода/0,1%-ная трифторуксусная кислота). Нужные фракции объединяли, добавляли NaCl до насыщения раствора, нейтрализовали и экстрагировали EtOAc (5×20 мл). Органические слои объединяли, сушили над Na2SO4, фильтровали и концентрировали, получая белое твердое вещество (25 мг; 5%). 1Н-ЯМР (DMSO-d6) 12.3 (br s, 1H), 8.54 (d, 1H), 7.54 (d, 1H), 7.31-7.21 (m, 6H), 6.99 (m, 2H), 6.49 (dd, 1H), 4.37 (s, 2H), 4.20 (½ ABq, 1H), 4.10 (m, 1H), 4.04 (½ ABq, 1H), 3.47 (m, 6H), 3.37-3.33 (m, 4H), 3.07-2.96 (m, 1H), 2.92-2.71 (m, 3H), 2.28 (s, 3H), 2.21-2.11 (m, 1H), 2.00-1.80 (m, 2H), 1.74-1.60 (m, 1H). MS m/z 511 (M+1).
Пример 148: 2-{{[4-(4-Метил-1-пиперазинил)-1Н-бензимидазол-2-ил]метил}-[(8S)-5,6,7,8-тетрагидро-8-хинолинил1амино}этанол

(8S)-N-{(1S)-1-[4-(Метилокси)фенил]этил}-N-{[4-(4-метил-1-пиперазинил)-1H-бензимидазол-2-ил]метил}-5,6,7,8-тетрагидро-8-хинолинамин (0,034 г) растворяли в СН2Cl2 (2 мл) и трифторуксусной кислоте (2 мл) и перемешивали в течение 4 ч. Реакционную смесь концентрировали и очищали колоночной хроматографией (градиент 0%-10% 2 М NH3 в смеси метанол/дихлорметан) с получением (8S)-N-{[4-(4-метил-1-пиперазинил)-1H-бензимидазол-2-ил]метил}-5,6,7,8-тетрагидро-8-хинолинамина. Часть этого амина (0,025 г; 0,06 ммоль) растворяли в дихлорэтане (2 мл) и добавляли {[(1,1-диметилэтил)(диметил)силил]окси}ацетальдегид (0,017 г; 0,1 ммоль), уксусную кислоту (0,005 мл; 0,1 ммоль) и триацетоксиборгидрид натрия (0,025 г; 0,1 ммоль). Реакционную смесь перемешивали в течение 3 ч, разбавляли насыщенным водным бикарбонатом натрия (10 мл) и экстрагировали CH2Cl3 (3×10 мл). Объединенные органические экстракты сушили над сульфатом натрия, фильтровали и концентрировали. Неочищенный третичный амин растворяли в THF (2 мл) и тетрабутиламмония фториде (1,0 М; 0,25 мл) и перемешивали в течение 0,5 ч. Реакционную смесь концентрировали и очищали, используя обращенно-фазовую ВЭЖХ (градиент 0%-50% ацетонитрил/вода/0,1%-ная трифторуксусная кислота). Нужные фракции лиофилизовали, получая трифторацетатную соль в виде белого твердого вещества (25 мг; 58%). 1Н-ЯМР (DMSO-d6) 9.86 (br s, 1H), 8.64 (d, 1H), 7.88 (d, 1H), 7.52 (d, 1H), 7.19 (t, 1H), 7.16 (t, 1H), 6.70 (dd, 1H), 4.72 (m, 1H), 4.51 (s, 2H), 4.27-4.16 (m, 2H), 3.70-3.63 (m, 1H), 3.58-3.51 (m, 4H), 3.29-3.18 (m, 3H), 3.04 (dd, 2H), 2.95-2.83 (m, 2H), 2.88 (s, 3H), 2.36 (m, 1H), 2.08-1.89 (m, 2H), 1.82-1.69 (m, 1H). MS m/z 421 (M+1).
Пример 149: 3-{{[4-(4-Метил-1-пиперазинил)-1H-бензимидазол-2-ил]метил}[(8S)-5,6,7,8-тетрагидро-8-хинолинил]амино}-1-пропанол

3-{{[4-(4-Метил-1-пиперазинил)-1Н-бензимидазол-2-ил]метил}[(8S)-5,6,7,8-тетрагидро-8-хинолинил]амино}-1-пропанол получали аналогично 2-{{[4-(4-метил-1-пиперазинил)-1Н-бензимидазол-2-ил]метил}[(8S)-5,6,7,8-тетрагидро-8-хинолинил]амино}этанолу из (8S)-N-{[4-(4-метил-1-пиперазинил)-1Н-бензимидазол-2-ил]метил}-5,6,7,8-тетрагидро-8-хинолинамина (0,025 г; 0,06 ммоль) и 3-{[(1,1-диметилэтил)(диметил)силил]окси}пропаналя (0,019 г, 0,1 ммоль), что позволило получить белое твердое вещество (20 мг; 45%). 1Н-ЯМР (DMSO-d6) 9.92 (br s, 1H), 8.53 (d, 1H), 7.82 (d, 1H), 7.46 (d, 1H), 7.18 (t, 1H), 7.15 (t, 1H), 6.67 (dd, 1H), 4.85 (m, 1H), 4.54 (dd, 2H), 4.27 (m, 2H), 3.55 (m, 1H), 3.44 (m, 2H), 3.23 (m, 3H), 3.04 (m, 3H), 2.88 (s, 3H), 2.83 (m, 2H), 2.42-2.35 (m, 1 H), 2.09-1.94 (m, 2H), 1.82-1.73 (m, 3H). MS m/z 435 (M+1).
Пример 150: (8S)-N-{[4-(4-Метил-1-пиперазинил)-1Н-бензимидазол-2-ил]метил}-N-(фенилметил)-5,6,7,8-тетрагидро-8-хинолинамин

(8S)-N-{[4-(4-Метил-1-пиперазинил)-1Н-бензимидазол-2-ил]метил}-N-(фенилметил)-5,6,7,8-тетрагидро-8-хинолинамин получали аналогично 2-{{[4-(4-метил-1-пиперазинмл)-1Н-бензимидазол-2-ил]метил}[(8S)-5,6,7,8-тетрагидро-8-хинолинил]амино}этанолу из (8S)-N-{[4-(4-метил-1-пиперазинил)-1Н-бензимидазол-2-ил]метил}-5,6,7,8-тетрагидро-8-хинолинамина (0,05 г; 0,12 ммоль) и бензальдегида (0,02 мл; 0,2 ммоль) с получением белого твердого вещества (50 мг; 60%). 1Н-ЯМР (DMSO-d6) 9.92 (br s, 1H), 8.72 (d, 1H), 7.97 (d, 1H), 7.60 (t, 1H), 7.42 (d, 2H), 7.27-7.15 (m, 6H), 6.75 (d, 1H), 4.44 (m, 1H), 4.34 (½ ABq, 1H), 4.22 (½ ABq, 1H), 4.02 (m, 2H), 3.91 (ABq, 2H), 3.56 (m, 2H), 3.25 (m, 2H), 3.02 (m, 2H), 2.89 (s, 3H), 2.81 (m, 2H), 2.27 (m, 1H), 2.03 (m, 2H), 1.69 (m, 1H). MS m/z 467 (M+1).
Пример 151: 1,1-Диметилэтил-4-{1-метил-2-[({[(фенилметил)окси]-карбонил}амино)метил]-1Н-бензимидазол-4-ил}-1-пиперазинкарбоксилат и 1,1-диметилэтил-4-{1-метил-2-[({[(Фенилметил)окси]карбонил}амино)метил]-1Н-бензимидазол-7-ил}-1-пиперазинкарбоксилат

К раствору 1,1-диметилэтил-4-{2-[({[(фенилметил)окси]карбонил}амино)-метил]-1Н-бензимидазол-4-ил}-1-пиперазинкарбоксилата (3,69 г; 7,93 ммоль) в N,N-диметилформамиде (50 мл) добавляли подметан (1,35 г; 0,88 мл; 9,52 ммоль) и карбонат цезия (3,88 г; 11,9 ммоль). Реакционную смесь перемешивали при комнатной температуре в течение 2 часов, разбавляли этилацетатом, промывали водой и органический слой сушили над сульфатом натрия, фильтровали и концентрировали. Вещество очищали на диоксиде кремния (градиент 20%-100% этилацетат/гексаны), получая оба изомера в виде желтых твердых веществ.
1,1-Диметилэтил-4-{1-метил-2-[({[(фенилметил)окси]карбонил}амино)-метил]-1Н-бензимидазол-4-ил}-1-пиперазинкарбоксилат (1,20 г; 32%). 1Н-ЯМР (CDCl3) 7.36-7.31 (m, 5Н), 7.19 (t, 1H), 6.94 (d, 1H), 6.64 (d, 1H), 5.14 (s, 2H), 4.66 (d, 2H), 3.75 (s, 3Н), 3.69-3.67 (m, 4H), 3.42-3.39 (m, 4H), 1.47 (s, 9H).
1,1-Диметилэтил-4-{1-метил-2-[({[(фенилметил)окси]карбонил}амино)-метил]-1H-бензимидазол-7-ил}-1-пиперазинкарбоксилат (1,32 г; 36%). 1Н-ЯМР (CDCl3) 7.49 (d, 1H), 7.34-7.28 (m, 5Н), 7.22 (t, 1H), 7.03 (d, 1H), 5.10 (s, 2H), 4.69 (d, 2H), 4.21 (s, 3Н), 4.19-4.05 (m, 2H), 3.12-3.06 (m, 4H), 2.89-2.83 (m, 2H), 1.48 (s, 9H).
Пример 152: N-Метил-N-{[1-метил-4-(4-метил-1-пиперазинил)-1H-бензимидазол-2-ил]метил}-5,6,7,8-тетрагидро-8-хинолинамин

А) Раствор 1,1-диметилэтил-4-{1-метил-2-[({[(фенилметил)окси]-карбонил}амино)метил]-1Н-бензимидазол-4-ил}-1-пиперазинкарбоксилата (86 мг; 0,18 ммоль) и палладий на угле (10% мас./мас., каталитический) в этаноле (50 мл) перемешивали в атмосфере водорода в течение 60 ч. Реакционную смесь фильтровали через целит и концентрировали, получая первичный амин. Неочищенный амин, 6,7-дигидро-8(5Н)-хинолинон (26 мг; 0,18 ммоль), уксусную кислоту (каталитическая), триацетоксиборгидрид натрия (57 мг; 0,27 ммоль) растворяли в 1,2-дихлорэтане (10 мл) и перемешивали в течение 16 ч при комнатной температуре. Реакционную смесь разбавляли этилацетатом и насыщенным бикарбонатом натрия, разделяли и органическую фазу сушили над сульфатом натрия и концентрировали. Неочищенное вещество очищали с использованием обращенно-фазовой ВЭЖХ (градиент 0%-75% ацетонитрил/вода/0,1%-ная трифторуксусная кислота), получая 1,1-диметилэтил-4-{1-метил-2-[(5,6,7,8-тетрагидро-8-хинолиниламино)метил]-1Н-бензимидазол-4-ил}-1-пиперазинкарбоксилат (30 мг; 28%; прозрачное масло) в виде трифторацетатной соли. 1Н-ЯМР (CDCl3) 8.61 (d, 1H), 8.05 (d, 1H), 7.67-7.64 (m, 1H), 7.48 (t, 1H), 7.24 (d, 1H), 7.04 (d, 1H), 4.84 (d, 1H), 4.56 (d, 1H), 4.46-4.42 (m, 1H), 4.07 (s, 3H), 3.69-3.67 (m, 4H), 3.14-3.07 (m, 4H), 3.04-3.00 (m, 1H), 2.96-2.89 (m, 1H), 2.41-2.33 (m, 1H), 2.17-2.06 (m, 2H), 1.95-1.85 (m, 1H), 1.48 (s, 9H).
Б) Бис(трифторацетат) 1,1-диметилэтил-4-{1-метил-2-[(5,6,7,8-тетрагидро-8-хинолиниламино)метил]-1Н-бензимидазол-4-ил}-1-пиперазин-карбоксилата (30 мг; 0,05 ммоль) растворяли в дихлорметане (2 мл) и трифторуксусной кислоте (2 мл) и перемешивали в течение 3 ч при комнатной температуре. Реакционную смесь концентрировали, растворяли в дихлорэтане и добавляли формальдегид (37%-ный водный раствор; 18 мкл; 0,24 ммоль) и триацетоксиборгидрид натрия (51 мг; 0,24 ммоль). Реакционную смесь перемешивали в течение 16 ч при комнатной температуре, концентрировали и очищали с использованием обращенно-фазовой ВЭЖХ (градиент 0%-70% ацетонитрил/вода/0,1%-ная трифторуксусная кислота), получая смесь продукта и исходного амина. Эту смесь растворяли в дихлорэтане и добавляли формальдегид (37%-ный водный раствор; 18 мкл; 0,24 ммоль) и триацетоксиборгидрид натрия (51 мг; 0,24 ммоль). Реакционную смесь перемешивали в течение 16 ч при комнатной температуре, концентрировали, очищали с использованием обращенно-фазовой ВЭЖХ (градиент 0%-70% ацетонитрил/вода/0,1%-ная трифторуксусная кислота). Поскольку полученный продукт содержал исходное вещество, этот амин растворяли в дихлорэтане (3 мл), добавляли формальдегид (37%-ный водный раствор; 18 мкл; 0,24 ммоль) и триацетоксиборгидрид натрия (51 мг; 0,24 ммоль). Реакционную смесь перемешивали в течение 16 ч при комнатной температуре, концентрировали, очищали с использованием обращенно-фазовой ВЭЖХ (градиент 0%-60% ацетонитрил/вода/0,1%-ная трифторуксусная кислота) и лиофилизовали из воды, получая продукт (23 мг; 62%; светлое желтовато-коричневое твердое вещество) в виде трифторацетатной соли. 1Н-ЯМР (CD3OD) 8.55 (d, 1H), 7.89 (d, 1H), 7.52-7.48 (m, 1H), 7.34-7.30 (m, 1H), 7.25 (d, 1H), 6.85 (d, 1H), 4.83-4.79 (m, 1H), 4.67 (d, 1H), 4.52 (d, 1H), 4.33-4.19 (m, 2H), 3.87 (s, 3H), 3.66-3.61 (m, 2H), 3.42-3.33 (m, 2H), 3.20-3.13 (m, 2H), 2.97-2.78 (m, 5H), 2.78 (s, 3H), 2.49-2.45 (m, 1H), 2.26-2.13 (m, 2H), 1.96-1.84 (m, 1H). MS m/z 405,23 (M+1).
Пример 153: N-Метил-N-{[1-метил-7-(4-метил-1-пиперазинил)-1H-бензимидазол-2-ил]метил}-5,6,7,8-тетрагидро-8-хинолинамин

А) 1,1-Диметилэтил-4-{1-метил-2-[({[(фенилметил)окси]карбонил}амино)-метил]-1H-бензимидазол-7-ил}-1-пиперазинкарбоксилат (100 мг; 0,21 ммоль) и палладий на угле (10% мас./мас.; каталитические количества) в этаноле (50 мл) перемешивали в атмосфере водорода в течение 16 ч. Реакционную смесь фильтровали через целит и концентрировали, получая первичный амин. Этот неочищенный амин, 6,7-дигидро-8(5H)-хинолинон (31 мг; 0,21 ммоль), уксусную кислоту (каталитические количества) и триацетоксиборгидрид натрия (68 мг; 0,32 ммоль) растворяли в 1,2-дихлорэтане (10 мл) и перемешивали в течение 16 ч при комнатной температуре. Реакционную смесь разбавляли этилацетатом, промывали насыщенным бикарбонатом натрия, разделяли и органическую фазу сушили над сульфатом натрия и концентрировали. Это неочищенное вещество очищали с использованием обращенно-фазовой ВЭЖХ (градиент 0%-70% ацетонитрил/вода/0,1%-ная трифторуксусная кислота) и лиофилизовали из воды, получая трет-бутил-4-{1-метил-2-[(5,6,7,8-тетрагидро-8-хинолиниламино)метил]-1Н-бензимидазол-7-ил}-1-пиперазин-карбоксилат (79 мг; 53%) в виде трифторацетатной соли. 1Н-ЯМР (CDCl3) 8.81 (d, 1Н), 8.11 (d, 1H), 7.72-7.69 (m, 1H), 7.61-7.52 (m, 3H), 7.38-7.23 (m, 1H), 4.85 (d, 1H), 4.71 (s, 2H), 4.46 (s, 3H), 4.36-4.31 (m, 2H), 3.40-2.85 (m, 8H), 2.51-2.45 (m, 1H), 2.22-2.14 (m, 1H), 2.02-1.87 (m, 2H), 1.49 (s, 9H).
Б) Бис(трифторацетат) трет-бутил-4-{1-метил-2-[(5,6,7,8-тетрагидро-8-хинолиниламино)метил]-1Н-бензимидазол-7-ил}-1-пиперазинкарбоксилата растворяли в дихлорметане (2 мл) и трифторуксусной кислоте (2 мл), перемешивали в течение 3 ч при комнатной температуре и концентрировали. Этот неочищенный амин, формальдегид (37%-ный водный раствор; 49 мкл; 0,63 ммоль) и триацетоксиборгидрид натрия (134 мг; 0,63 ммоль) растворяли в дихлорэтане (3 мл) и перемешивали в течение 16 ч при комнатной температуре. Реакционную смесь концентрировали и очищали с использованием обращенно-фазовой ВЭЖХ (градиент 0%-60% ацетонитрил/вода/0,1%-ная трифторуксусная кислота). Амин растворяли в дихлорэтане (3 мл) и добавляли формальдегид (37%-ный водный раствор; 49 мкл; 0,63 ммоль) и триацетоксиборгидрид натрия (134 мг; 0,63 ммоль). Реакционную смесь перемешивали в течение 16 ч при комнатной температуре, концентрировали, очищали с использованием обращенно-фазовой ВЭЖХ (градиент 0%-60% ацетонитрил/вода/0,1%-ная трифторуксусная кислота) и лиофилизовали из воды, получая продукт (12 мг; 15%; желтовато-коричневое твердое вещество) в виде трифторацетатной соли. 1Н-ЯМР (CD3OD) 8.65 (d, 1H), 8.05 (d, 1H), 7.65-7.60 (m, 2H), 7.41 (t, 1H), 7.31 (d, 1H), 4.60-4.56 (m, 1H), 4.52 (d, 1H), 4.38 (d, 1H), 4.23 (s, 3H), 3.68-3.62 (m, 2H), 3.51-3.40 (m, 4H), 3.26-3.19 (m, 2H), 3.01 (s, 3H), 3.00-2.96 (m, 2H), 2.55 (s, 3H), 2.43-2.37 (m, 1H), 2.25-2.09 (m, 4H), 1.95-1.87 (m, 1H). MS m/z 405,26 (M+1).
Пример 154: N-Этил-N-{[1-метил-7-(4-метил-1-пиперазинил)-1H-бензимидазол-2-ил]метил}-5,6,7,8-тетрагидро-8-хинолинамин

А) 1,1-Диметилэтил-4-{1-метил-2-[({[(фенилметил)окси]карбонил}амино)-метил]-1H-бензимидазол-7-ил}-1-пиперазинкарбоксилат (Вос-защищенный фенилметил-{[1-метил-7-(4-метил-1-пиперазинил)-1H-бензимидазол-2-ил]метил}карбамат) (1,36 г; 2,83 ммоль) и палладий на угле (10% мас./мас., каталитический) в этаноле (100 мл) перемешивали в атмосфере водорода в течение 16 ч. Реакционную смесь фильтровали через целит и концентрировали, получая первичный амин. Этот неочищенный амин, 6,7-дигидро-8(5Н)-хинолинон (416 мг; 2,83 ммоль), уксусную кислоту (255 мг; 4,25 ммоль) и триацетоксиборгидрид натрия (900 мг, 4,25 ммоль) растворяли в 1,2-дихлорэтане (50 мл) и перемешивали в течение 16 ч при комнатной температуре. Реакционную смесь разбавляли дихлорметаном (50 мл), промывали насыщенным бикарбонатом натрия (100 мл) и соляным раствором (100 мл), разделяли и органическую фазу сушили над сульфатом натрия и концентрировали. Неочищенное вещество очищали на диоксиде кремния (градиент 1%-10% 2 М NH3 в смеси метанол/дихлорметан), получая трет-бутил-4-{1-метил-2-[(5,6,7,8-тетрагидро-8-хинолиниламино)метил]-1H-бензимидазол-7-ил}-1-пиперазинкарбоксилат (1,09 г; 81%) в виде желтовато-коричневой пены. 1Н-ЯМР (CDCl3) 8.37 (d, 1H), 7.49 (d, 1H), 7.38 (d, 1H), 7.13 (t, 1H), 7.09-7.06 (m, 1H), 6.94 (d, 1H), 4.28 (s, 2H), 4.22 (s, 3H), 4.15-4.06 (m, 2H), 3.97-3.93 (m, 1H), 3.14-3.04 (m, 4H), 2.88-2.72 (m, 4H), 2.25-2.17 (m, 1H), 2.05-1.85 (m, 2H), 1.80-1.71 (m, 1H). MS m/z 477,23 (M+1).
Б) трет-Бутил-4-{1-метил-2-[(5,6,7,8-тетрагидро-8-хинолиниламино)-метил]-1H-бензимидазол-7-ил}-1-пиперазинкарбоксилат (150 мг; 0,31 ммоль), уксусную кислоту (28 мг; 0,47 ммоль), ацетальдегид (20 мг; 0,47 ммоль) и триацетоксиборгидрид натрия (100 мг; 0,47 ммоль) растворяли в дихлорэтане (3 мл) и перемешивали в течение 16 ч при комнатной температуре. Реакционную смесь разбавляли дихлорметаном (20 мл), промывали насыщенным бикарбонатом натрия (20 мл), сушили над сульфатом натрия, фильтровали и концентрировали. Неочищенный амин растворяли в дихлорметане (2 мл) и трифторуксусной кислоте (2 мл), перемешивали в течение 3 ч при комнатной температуре, концентрировали, разбавляли дихлорметаном (20 мл), повторно концентрировали и сушили в вакууме в течение 2 ч. Неочищенный амин, уксусную кислоту (28 мг; 0,47 ммоль), формальдегид (37%-ный водный раствор; 35 мкл; 0,47 ммоль) и триацетоксиборгидрид натрия (100 мг; 0,47 ммоль) растворяли в дихлорэтане (3 мл) и перемешивали в течение 16 ч при комнатной температуре. Реакционную смесь концентрировали, очищали с использованием обращенно-фазовой ВЭЖХ (градиент 0%-60% ацетонитрил/вода/0,1%-ная трифторуксусная кислота) и лиофилизовали из воды, получая продукт (201 мг; 85%; белое твердое вещество) в виде трифторацетатной соли. 1Н-ЯМР (CD3OD) 8.74 (d, 1Н), 8.15 (d, 1H), 7.73-7.66 (m, 2H), 7.47 (t, 1H), 7.37 (d, 1H), 4.60-4.50 (m, 2H), 4.38 (d, 1H), 4.27 (s, 3H), 3.69-3.64 (m, 2H), 3.54-3.39 (m, 4H), 3.27-3.20 (m, 2H), 3.02-2.93 (m, 6H), 2.85-2.79 (m, 1H), 2.47-2.41 (m, 1H), 2.25-2.19 (m, 1H), 2.16-2.07 (m, 1H), 1.94-1.85 (m, 1H), 1.18 (t, 3H). MS m/z 419,20 (M+1).
Пример 155: N-{[1-Метил-7-(4-метил-1-пиперазинил)-1Н-бензимидазол-2-ил]метил}-N-пропил-5,6,7,8-тетрагидро-8-хинолинамин

трет-Бутил-4-{1-метил-2-[(5,6,7,8-тетрагидро-8-хинолиниламино)метил]-1H-бензимидазол-7-ил}-1-пиперазинкарбоксилат (150 мг; 0,31 ммоль), уксусную кислоту (28 мг; 0,47 ммоль), пропиональдегид (27 мг; 0,47 ммоль) и триацетоксиборгидрид натрия (100 мг; 0,47 ммоль) растворяли в дихлорэтане (3 мл) и перемешивали в течение 16 ч при комнатной температуре. Реакционную смесь разбавляли дихлорметаном (20 мл), промывали насыщенным бикарбонатом натрия (20 мл), сушили над сульфатом натрия, фильтровали и концентрировали. Этот неочищенный амин растворяли в дихлорметане (2 мл) и трифторуксусной кислоте (1 мл), перемешивали в течение 3 ч при комнатной температуре, концентрировали, разбавляли дихлорметаном (20 мл), повторно концентрировали и сушили под вакуумом в течение 2 ч. Неочищенный амин, уксусную кислоту (28 мг; 0,47 ммоль), формальдегид (37%-ный водный раствор; 35 мкл; 0,47 ммоль) и триацетоксиборгидрид натрия (100 мг; 0,47 ммоль) растворяли в дихлорэтане (3 мл) и перемешивали в течение 16 ч при комнатной температуре. Реакционную смесь концентрировали, очищали с использованием обращенно-фазовой ВЭЖХ (градиент 0%-60% ацетонитрил/вода/0,1%-ная трифторуксусная кислота) и лиофилизовали из воды, получая продукт (192 мг; 80%; белое твердое вещество) в виде трифторацетатной соли. 1Н-ЯМР (CD3OD) 8.79 (d, 1H), 8.25 (m, 1H), 7.82-7.79 (m, 1H), 7.70 (d, 1H), 7.52 (t, 1H), 7.41 (d, 1H), 4.58-4.51 (m, 2H), 4.36 (d, 1H), 4.30 (s, 3Н), 3.68-3.65 (m, 2H), 3.54-3.39 (m, 4H), 3.26-3.23 (m, 2H), 3.05-3.02 (m, 5H), 2.86-2.79 (m, 1H), 2.61-2.53 (m, 1H), 2.49-2.44 (m, 1H), 2.24-2.19 (m, 1H), 2.19-2.15 (m, 1H), 2.06-1.84 (m, 1H), 1.64-1.55 (m, 2H), 0.85 (t, 3H). MS m/z 433,27 (М+1).
Пример 156: N-(Циклопропилметил)-N-{[1-метил-7-(4-метил-1-пиперазинил)-1Н-бензимидазол-2-ил]метил}-5,6,7,8-тетрагидро-8-хинолинамин

трет-Бутил-4-{1-метил-2-[(5,6,7,8-тетрагидро-8-хинолиниламино)метил]-1Н-бензимидазол-7-ил}-1-пиперазинкарбоксилат (150 мг; 0,31 ммоль), уксусную кислоту (28 мг; 0,47 ммоль), циклопропилкарбоксальдегид (33 мг; 0,47 ммоль) и триацетоксиборгидрид натрия (100 мг; 0,47 ммоль) растворяли в дихлорэтане (3 мл) и перемешивали в течение 16 ч при комнатной температуре. Реакционную смесь разбавляли дихлорметаном (20 мл), промывали насыщенным бикарбонатом натрия (20 мл), сушили над сульфатом натрия, фильтровали и концентрировали. Неочищенный амин растворяли в дихлорметане (2 мл) и трифторуксусной кислоте (1 мл), перемешивали в течение 3 ч при комнатной температуре, концентрировали, разбавляли дихлорметаном (20 мл), повторно концентрировали и сушили под вакуумом в течение 2 ч. Неочищенный амин, уксусную кислоту (28 мг; 0,47 ммоль), формальдегид (37%-ный водный раствор; 35 мкл; 0,47 ммоль) и триацетоксиборгидрид натрия (100 мг; 0,47 ммоль) растворяли в дихлорэтане (3 мл) и перемешивали в течение 16 ч при комнатной температуре. Реакционную смесь концентрировали, очищали с использованием обращенно-фазовой ВЭЖХ (градиент 0%-60% ацетонитрил/вода/0,1%-ная трифторуксусная кислота) и лиофилизовали из воды, получая продукт в виде трифторацетатной соли (164 мг; 67%; твердое вещество белого цвета). 1Н-ЯМР (CD3OD) 8.78 (d, 1Н), 8.24 (d, 1H), 7.80-7.77 (m, 1H), 7.70 (d, 1H), 7.52 (t, 1H), 7.41 (d, 1H), 4.74-4.70 (m, 1H), 4.57-4.44 (m, 2Н), 4.32 (s, 3H), 3.68-3.65 (m, 2H), 3.52-3.38 (m, 4H), 3.28-3.19 (m, 2H), 3.05-3.01 (m, 5H), 2.77-2.72 (m, 1H), 2.62-2.57 (m, 1H), 2.47-2.41 (m, 1H), 2.24-2.19 (m, 1H), 2.15-2.06 (m, 1H), 1.96-1.85 (m, 1H), 0.98-0.97 (m, 1H), 0.38-0.35 (m, 2H), 0.20-0.09 (m, 2H). MS m/z 445,24 (M+1).
Пример 157: трет-Бутил-4-{2-[(ацетилокси)метил]-1Н-бензимидазол-4-ил}-1-пиперазинкарбоксилат

А) 3-Хлор-2-нитроанилин (1,0 г; 5,8 ммоль) и 1-Boc-пиперазин (5,0 г; 26,8 ммоль) растворяли в N,N-диизопропилэтиламине (2,25 г; 3,0 мл; 17,4 ммоль) и реакционную смесь нагревали в течение 16 ч при 130°С. Реакционную смесь охлаждали, концентрировали и очищали на диоксиде кремния (градиент 10%-40% этилацетат/гексаны), получая трет-бутил-4-(3-амино-2-нитрофенил)-1-пиперазинкарбоксилат (1,58 г; 85%) в виде красного твердого вещества. 1Н-ЯМР (DMSO-d6) 7.10 (t, 1Н), 6.55 (d, 1H), 6.38 (d, 1H), 5.85 (br s, 2H), 3.34-3.32 (m, 4H), 2.79-2.77 (m, 4H), 1.38 (s, 9H).
Б) трет-Бутил-4-(3-амино-2-нитрофенил)-1-пиперазинкарбоксилат (21,5 г; 66,7 ммоль) и палладий на угле (10% мас./мас.; каталитический) растворяли в этаноле (500 мл), и реакционную смесь перемешивали в атмосфере водорода в течение 16 ч. Реакционную смесь фильтровали через целит, концентрировали и очищали на диоксиде кремния (градиент 2%-20% 2 М NH3 в смеси метанол/дихлорметан), получая трет-бутил-4-(2,3-диаминофенил)-1-пиперазинкарбоксилат (17,5 г; 90%) в виде коричневого твердого вещества. 1Н-ЯМР (DMSO-d6) 6.39-6.32 (m, 2H), 6.30-6.27 (m, 1H), 4.44 (br s, 2H), 4.18 (br s, 2H), 3.48-3.41 (m, 4H), 2.70-2.62 (m, 4H), 9.28 (s, 9H).
В) трет-Бутил-4-(2,3-диаминофенил)-1-пиперазинкарбоксилат (17,0 г; 58,2 ммоль), ацетоксиуксусную кислоту (6,36 г; 53,9 ммоль), бис(2-оксо-3-оксазолидинил)фосфинхлорид (19,1 г; 74,9 ммоль) и N,N-диизопропилэтиламин (11,6 г; 89,9 ммоль) растворяли в ацетонитриле (300 мл) и реакционную смесь перемешивали в течение 2 ч при комнатной температуре. Реакционную смесь концентрировали до 150 мл и разбавляли этилацетатом (200 мл). Органическую фазу промывали водой (200 мл) и водную фазу экстрагировали этилацетатом (200 мл) и смесью хлороформ/изопропанол (3:1; 300 мл). Органические экстракты объединяли, сушили над сульфатом натрия, фильтровали и концентрировали до коричневого твердого вещества. Неочищенный амид растворяли в уксусной кислоте (100 мл), нагревали при 70°С в течение 2 ч, охлаждали и концентрировали. Неочищенное вещество разбавляли дихлорметаном (200 мл) и промывали насыщенным бикарбонатом натрия (200 мл). Водную фазу экстрагировали дихлорметаном (100 мл), органические экстракты объединяли, сушили над сульфатом натрия, фильтровали и концентрировали до красной маслянистой пены. Неочищенный ацетат очищали на диоксиде кремния (градиент 1%-10% 2 М NH3 в смеси метанол/дихлорметан), получая продукт (17,10 г; 78%) в виде красной пены. 1Н-ЯМР (DMSO-d6) 12.44 (s, 1H), 7.07-6.98 (m, 2H), 6.49 (d, 1H), 5.20 (s, 2H), 3.55-3.36 (m, 8H), 2.09 (s, 3H), 1.40 (s, 9H).
Пример 158: трет-Бутил-4-{2-[(ацетилокси)метил]-1-метил-1Н-бензимидазол-4-ил}-1-пиперазинкарбоксилат и трет-бутил-4-{2-[(ацетилокси)метил]-1-метил-1Н-бензимидазол-7-ил}-1-пиперазинкарбоксилат

Суспензию трет-бутил-4-{2-[(ацетилокси)метил]-1H-бензимидазол-4-ил}-1-пиперазинкарбоксилата (1,16 г; 3,10 ммоль), карбоната цезия (1,52 г; 4,65 ммоль) и подметана (528 мг; 3,72 ммоль) в N,N-диметилформамиде (20 мл) перемешивали при комнатной температуре в течение 2 ч, разбавляли этилацетатом и водой и фазы разделяли. Органическую фазу сушили над сульфатом натрия, фильтровали, концентрировали и очищали на диоксиде кремния (градиент 0%-100% этилацетат/гексаны), получая продукты в виде красных твердых веществ. Интерпретации структуры, подтвержденные H-nOe (гетероядерная ЯМР-спектроскопия с ядерным эффектом Оверхаузера).
трет-Бутил-4-{2-[(ацетилокси)метил]-1-метил-1Н-бензимидазол-4-ил}-1-пиперазинкарбоксилат (570 мг; 48%). 1Н-ЯМР (CDCl3) 7.20 (t, 1H), 6.94 (d, 1H), 6.65-6.60 (d, 1H), 5.35 (s, 2H), 3.20 (s, 3H), 3.69-3.67 (m, 4H), 3.48-3.46 (m, 4H), 2.11 (s, 3H), 1.47 (s, 9H). MS m/z 389 (M+1).
трет-Бутил-4-{2-[(ацетилокси)метил]-1-метил-1H-бензимидазол-7-ил}-1-пиперазинкарбоксилат (494 мг; 41%). 1Н-ЯМР (CDCl3) 7.55 (d, 1H), 7.19 (t, 1H), 7.02 (d, 1H), 5.36 (s, 2H), 4.19-4.10 (m, 5H), 3.14-3.05 (m, 4H), 2.90-2.83 (m, 2H), 2.14 (s, 3H), 1.48 (s, 9H). MS m/z 389 (M+1).
Пример 159: (8S)-N-Метил-N-{М-метил-7-(1-пиперазинил)-1Н-бензимидазол-2-ил]метил}-5,6,7,8-тетрагидро-8-хинолинамин

A) К раствору трет-бутил-4-{2-[(ацетилокси)метил]-1-метил-1H-бензимидазол-7-ил}-1-пиперазинкарбоксилата (3,8 г; 9,8 ммоль) в метаноле (100 мл) добавляли карбонат цезия (каталитический). Реакционную смесь перемешивали при комнатной температуре в течение 2 ч, концентрировали и очищали на диоксиде кремния (градиент 0%-10% 2 M NH3 в смеси метанол/дихлорметан), получая трет-бутил-4-[2-(гидроксиметил)-1-метил-1H-бензимидазол-7-ил]-1-пиперазинкарбоксилат (3,2 г; 95%) в виде бледной желтовато-коричневой пены. 1Н-ЯМР (DMSO-d6): 7.30 (d, 1H), 7.05 (t, 1H), 6.94 (d, 1H), 5.49 (t, 1H), 4.66 (d, 2H), 4.10 (s, 3H), 4.02-3.92 (m, 2H), 3.14-3.05 (m, 4H), 2.74-2.67 (m, 2H), 1.41 (s, 9H). MS m/z 347 (M+1).
Б) Суспензию трет-бутил-4-[2-(гидроксиметил)-1-метил-1H-бензимидазол-7-ил]-1-пиперазинкарбоксилата (1,0 г: 2,9 ммоль) и диоксида марганца (85% мас./мас.; 2,95 г; 29 ммоль) в ацетонитриле (200 мл) перемешивали в течение 16 ч при комнатной температуре. Реакционную смесь нагревали до 60°С и фильтровали через целит. Слой целита промывали дополнительной порцией горячего ацетонитрила (200 мл). Фильтрат концентрировали, получая трет-бутил-4-(2-формил-1-метил-1Н-бензимидазол-7-ил)-1-пиперазинкарбоксилат (820 мг; 82%) в виде оранжевой пены. 1Н-ЯМР (CDCl3): 10.11 (s, 1H), 7.67 (d, 1H), 7.29 (t, 1H), 7.11 (d, 1H), 4.51 (s, 3H), 4.20-4.12 (m, 2H), 3.18-3.10 (m, 4H), 2.90-2.83 (m, 2H), 1.50 (s, 9H). MS m/z 345 (M+1).
B) К раствору трет-бутил-4-(2-формил-1-метил-1H-бензимидазол-7-ил)-1-пиперазинкарбоксилата (165 мг; 0,48 ммоль) в дихлорэтане (10 мл) добавляли (8S)-N-метил-5,6,7,8-тетрагидро-8-хинолинамин (89 мг; 0,55 ммоль), уксусную кислоту (43 мг; 0,72 ммоль) и триацетоксиборгидрид натрия (153 мг; 0,72 ммоль). Реакционную смесь перемешивали при комнатной температуре в течение 2 ч, промывали насыщенным бикарбонатом натрия, сушили над сульфатом натрия, фильтровали и концентрировали. Неочищенное вещество очищали на диоксиде кремния (градиент 1%-10% 2 М NH3 в смеси метанол/дихлорметан), получая трет-бутил-4-[1-метил-2-({метил[(8S)-5,6,7,8-тетрагидро-8-хинолинил]амино}метил)-1H-бензимидазол-7-ил]-1-пиперазин-карбоксилат (194 мг; 82%). 1Н-ЯМР (CD3OD) 8.36 (d, 1H), 7.46 (d, 1H), 7.30 (d, 1H), 7.14-7.08 (m, 2H), 6.99 (m, 1H), 4.16 (s, 3Н), 4.14-4.06 (m, 2H), 4.03-3.97 (m, 2H), 3.90 (d, 1H), 3.29 (s, 3Н), 3.25-3.12 (m, 4H), 2.91-2.70 (m, 4H), 2.25 (s, 3Н), 2.15-2.03 (m, 3H), 1.77-1.66 (m, 1H), 1.48 (s, 9H). MS m/z 491,9 (M+1).
Г) Раствор трет-бутил-4-[1-метил-2-({метил[(8S)-5,6,7,8-тетрагидро-8-хинолинил]амино}метил)-1H-бензимидазол-7-ил]-1-пиперазинкарбоксилата (184 мг; 0,38 ммоль) в дихлорметане (5 мл) и трифторуксусной кислоте (2 мл) перемешивали в течение 2 ч при комнатной температуре. Реакционную смесь концентрировали с получением трифторацетатной соли. 1Н-ЯМР (CD3OD) 8.76 (d, 1H), 8.29 (d, 1H), 7.85-7.81 (m, 1H), 7.68 (d, 1H), 7.54 (t, 1H), 7.43 (d, 1H), 4.60-4.53 (m, 2H), 4.38 (d, 1H), 4.32 (s, 3Н), 3.55-3.41 (m, 6H), 3.28-3.21 (m, 2H), 3.07-3.01 (m, 2H), 2.47 (s, 3Н), 2.44-2.39 (m, 1H), 2.30-2.08 (m, 2H), 2.00-1.90 (m, 1H). MS m/z 391 (M+1).
Пример 160: (8S)-N-Метил-N-{[1-метил-7-(4-метил-1-пиперазинил)-1Н-бензимидазол-2-ил]метил}-5,6,7,8-тетрагидро-8-хинолинамин

(8S)-N-Метил-N-{[1-метил-7-(1-пиперазинил)-1Н-бензимидазол-2-ил]метил}-5,6,7,8-тетрагидро-8-хинолинамина трифторацетатную соль (260 мг; 0,35 ммоль), уксусную кислоту (34 мг; 0,57 ммоль), формальдегид (37%-ный водный раствор; 0,043 мл; 0,57 ммоль) и триацетоксиборгидрид натрия (121 мг; 0,57 ммоль) растворяли в дихлорэтане (5 мл) и перемешивали в течение 3 ч при комнатной температуре, концентрировали, нейтрализовали с использованием 2 М NH3 в метаноле, концентрировали и очищали на диоксиде кремния (градиент 0%-10% 2 М NH3 в смеси метанол/дихлорметан), получая продукт (89 мг; 63%) в виде белого твердого вещества. Интерпретацию структуры подтверждали посредством ЯМР. 1Н-ЯМР (CD3OD) 8.37 (d, 1H), 7.48 (d, 1H), 7.31 (d, 1H), 7.16-7.10 (m, 2H), 7.03 (d, 1H), 4.16 (s, 3Н), 4.04-3.99 (m, 2H), 3.91 (d, 1H), 3.17-3.09 (m, 2H), 3.05-2.85 (m, 5H), 2.77-2.70 (m, 1H), 2.51-2.43 (m, 2H), 2.40 (s, 3Н), 2.27 (s, 3Н), 2.17-2.06 (m, 3Н), 1.77-1.68 (m, 1H). 13С-ЯМР (DMSO-d6) 157, 153, 146, 143, 140, 136, 134, 130, 122, 121, 115, 113, 62, 54, 53, 52, 45, 31, 28, 26, 21, MS m/z 405 (M+1). HRMS: рассчитано для C24H32N6 (M+1): 405,2761. Обнаружено: 405,2760. Анализ для C24H31N6·0,37 H2O: С 70,10; Н 8,02; N 20,44; O 1,44. Обнаружено: С 70,18; Н 8,03; N 20,42.
Пример 161: (8R)-N-Метил-N-{[1-метил-7-(4-метил-1-пиперазинил)-1Н-бензимидазол-2-ил]метил}-5,6,7,8-тетрагидро-8-хинолинамин

А) К раствору трет-бутил-4-(2-формил-1-метил-1Н-бензимидазол-7-ил)-1-пиперазинкарбоксилата (50 мг; 0,15 ммоль) в дихлорэтане (1 мл) добавляли (8R)-N-{(1R)-1-[4-(метилокси)фенил]этил}-5,6,7,8-тетрагидро-8-хинолинамин (49 мг; 0,17 ммоль), уксусную кислоту (14 мг; 0,23 ммоль) и триацетоксиборгидрид натрия (49 мг; 0,23 ммоль). Реакционную смесь перемешивали при комнатной температуре в течение 16 ч, разбавляли дихлорметаном, промывали насыщенным бикарбонатом натрия и концентрировали. Неочищенное вещество очищали на диоксиде кремния (градиент 0%-10% 2 М NH3 в смеси метанол/дихлорметан), получая трет-бутил-4-[1-метил-2-({{(1R)-1-[4-(метилокси)фенил]этил}[(8R)-5,6,7,8-тетрагидро-8-хинолинил]амино}метил)-1H-бензимидазол-7-ил]-1-пиперазинкарбоксилат (30 мг; 41%). 1Н-ЯМР (CD3OD) 8.80 (d, 1H), 8.28-8.24 (m, 1H), 7.82-7.76 (m, 1H), 7.57-7.54 (m, 1H), 7.45 (t, 1H), 7.31-7.26 (m, 3Н), 6.45 (d, 1H), 5.01 (m, 1H), 4.26 (d, 1H), 4.18-4.06 (m, 3Н), 3.98-3.94 (m, 1H), 3.92 (s, 3Н), 3.38 (s, 3Н), 3.26-2.71 (m, 8H), 2.63-2.55 (m, 1H), 2.29-2.12 (m, 2H), 2.03-1.90 (m, 1H), 1.69 (d, 3Н), 1.49 (s, 9H).
Б) Раствор трет-бутил-4-[1-метил-2-({{(1R)-1-[4-(метилокси)фенил]этил}-[(8R)-5,6,7,8-тетрагидро-8-хинолинил]амино}метил)-1Н-бензимидазол-7-ил]-1-пиперазинкарбоксилата (30 мг; 0,05 ммоль) в дихлорметане (2 мл) и трифторуксусной кислоте (1 мл) перемешивали в течение 2 ч при комнатной температуре. Реакционную смесь концентрировали и сушили под вакуумом в течение 2 ч. Неочищенный амин, формальдегид (37%-ный водный раствор; 15 мкл; 0,20 ммоль) и триацетоксиборгидрид натрия (32 мг; 0,20 ммоль) растворяли в дихлорэтане (1 мл) и перемешивали в течение 60 ч при комнатной температуре. Добавляли дополнительные порции формальдегида (37%-ный водный раствор; 15 мкл; 0,20 ммоль) и триацетоксиборгидрида натрия (32 мг; 0,20 ммоль) и реакционную смесь перемешивали в течение 16 ч при комнатной температуре. Реакционную смесь концентрировали, очищали с использованием обращенно-фазовой ВЭЖХ (градиент 0%-50% ацетонитрил/вода/0,1%-ная трифторуксусная кислота) и лиофилизовали из воды, получая продукт в виде трифторацетатной соли (8,8 мг; 24%; белое твердое вещество). 1Н-ЯМР (CD3OD) 8.74 (d, 1H), 8.24 (d, 1H), 7.79 (t, 1H), 7.67 (d, 1H), 7.51 (t, 1H), 7.41 (d, 1H), 4.61-4.57 (m, 1H), 4.54 (d, 1H), 4.39 (d, 1H), 4.30 (s, 3Н), 3.68-3.65 (m, 2H), 3.52-3.44 (m, 4H), 3.28-3.24 (m, 2H), 3.03-3.01 (m, 5H), 2.49 (s, 3Н), 2.44-2.39 (m, 1H), 2.26-2.09 (m, 2H), 1.99-1.88 (m, 1H). MS m/z 405,40 (M+1).
Пример 162: [4-(4-Метил-1-пиперазинил)-1Н-бензимидазол-2-ил]метил-ацетат

А) 3-Хлор-2-нитроанилин (4,0 г; 23,2 ммоль) растворяли в 1-метил-пиперазине (20 мл), реакционную смесь нагревали в течение 2 ч при 140°С. Реакционную смесь охлаждали, концентрировали и очищали на диоксиде кремния (5%-20% 2 М NH3 в смеси метанол/дихлорметан), получая 3-(4-метил-1-пиперазинил)-2-нитроанилин (5,40 г; 99%) в виде красного твердого вещества. 1Н-ЯМР (CD3OD) 7.13 (t, 1Н), 6.56 (d, 1H), 6.45 (d, 1H), 2.99-2.96 (m, 4H), 2.55-2.53 (m, 4H), 2.32 (s, 3H).
Б) 3-(4-Метил-1-пиперазинил)-2-нитроанилин (5,40 г; 23,0 ммоль) и палладий на угле (10% мас./мас., каталитический) растворяли в этаноле (200 мл), и реакционную смесь перемешивали в атмосфере водорода в течение 60 ч. Реакционную смесь фильтровали через целит, концентрировали, получая 3-(4-метил-1-пиперазинил)-1,2-бензолдиамин (4,60 г; 97%) в виде коричневого твердого вещества. 1Н-ЯМР (CD3OD) 6.59-6.50 (m, 3Н), 2.88-2.84 (m, 4H), 2.71-2.54 (m, 4H), 2.34 (s, 3H).
В) 3-(4-Метил-1-пиперазинил)-1,2-бензолдиамин (2,40 г; 11,6 ммоль), ацетоксиуксусную кислоту (1,23 г; 10,4 ммоль), бис(2-оксо-3-оксазолидинил)-фосфинхлорид (3,53 г; 13,9 ммоль) и N,N-диизопропилэтиламин (1,80 г; 13,9 ммоль) растворяли в ацетонитриле (30 мл) и реакционную смесь перемешивали в течение 2 ч при комнатной температуре. Реакционную смесь концентрировали и неочищенный амид растворяли в уксусной кислоте (30 мл), нагревали при 70°С в течение 2 ч, охлаждали и концентрировали. Неочищенное вещество разбавляли дихлорметаном и 2 M NH3 в метаноле. Полученный осадок отфильтровывали и фильтрат концентрировали. Неочищенный ацетат очищали на диоксиде кремния (градиент 0%-10% 2 М NH3 в смеси метанол/дихлорметан), получая продукт (2,60 г; 78%) в виде красной пены. 1Н-ЯМР (CD3OD) 7.22 (t, 1H), 7.12 (d, 1H), 6.70 (d, 1H), 5.37 (s, 2H), 3.49-3.38 (m, 4H), 2.73-2.71 (m, 4H), 2.37 (s, 3Н), 2.11 (s, 3Н). MS m/z 289,12 (M+1).
Пример 163: [1-Этил-7-(4-метил-1-пиперазинил)-1Н-бензимидазол-2-ил]метил-ацетат и [1-этил-4-(4-метил-1-пиперазинил)-1H-бензимидазол-2-ил]метил-ацетат

Суспензию [4-(4-метил-1-пиперазинил)-1H-бензимидазол-2-ил]метилацетата (1,13 г; 3,92 ммоль), карбоната цезия (1,92 г; 5,88 ммоль) и иодэтана (733 мг; 4,70 ммоль) в N,N-диметилформамиде (10 мл) перемешивали при комнатной температуре в течение 2 ч, разбавляли водой (50 мл), промывали этилацетатом (3×50 мл) и фазы разделяли. Органическую фазу сушили над сульфатом натрия, фильтровали, концентрировали и очищали на диоксиде кремния (градиент 0%-20% 2 М NH3 в смеси метанол/дихлорметан), получая продукты в виде белых твердых веществ.
[1-Этил-4-(4-метил-1-пиперазинил)-1Н-бензимидазол-2-ил]метил-ацетат (240 мг; 19%). 1Н-ЯМР (CD3OD) 7.45-7.43 (m, 1Н), 7.24-7.22 (m, 2H), 5.38 (s, 2H), 4.59 (q, 2H), 3.11-3.08 (m, 4H), 2.98-2.95 (m, 2H), 2.47-2.41 (m, 2H), 2.40 (s, 3H), 2.14 (s, 3H), 1.41 (t, 3H).
[1-Этил-7-(4-метил-1-пипеоазинил)-1Н-бензимидазол-2-ил]метил-ацетат (460 мг; 37%). 1Н-ЯМР (CD3OD) 7.22 (t, 3H), 7.12 (d, 1Н), 6.70 (d, 1Н), 5.37 (s, 2H), 4.30 (q, 2H), 3.48-3.38 (m, 4H), 2.73-2.71 (m, 4H), 2.37 (s, 3H), 2.11 (s, 3H), 1.42 (t, 3H).
Пример 164: (8S)-N-{[1-Этил-7-(4-метил-1-пиперазинил)-1Н-бензимидазол-2-ил]метил}-N-метил-5,6,7,8-тетрагидро-8-хинолинамин

А) К раствору [1-этил-7-(4-метил-1-пиперазинил)-1Н-бензимидазол-2-ил]метилацетата (150 мг; 0,48 ммоль) в метаноле (5 мл) добавляли карбонат цезия (каталитические количества). Реакционную смесь перемешивали при комнатной температуре в течение 2 ч, концентрировали и очищали на диоксиде кремния (градиент 0%-10% 2 М NH3 в смеси метанол/дихлорметан), получая первичный спирт. Спирт и диоксид марганца (85% мас./мас.; 484 мг; 4,83 ммоль) в ацетонитриле (10 мл) перемешивали в течение 16 ч при комнатной температуре. Реакционную смесь нагревали до 60°С и фильтровали через целит. Слой целита промывали дополнительной порцией горячего ацетонитрила и фильтрат концентрировали, получая 1-этил-7-(4-метил-1-пиперазинил)-1Н-бензимидазол-2-карбальдегид (97 мг; 74%) в виде белого твердого вещества. 1Н-ЯМР (CDCl3) 10.10 (s, 1H), 7.70 (d, 1H), 7.34-7.28 (m, 2H), 5.05 (q, 2H), 3.18-3.04 (m, 4H), 3.00-2.89 (m, 2H), 2.48-2.30 (m, 5H), 1.40 (t, 3H). MS m/z 273,19 (M+1).
Б) Раствор 1-этил-7-(4-метил-1-пиперазинил)-1Н-бензимидазол-2-карбальдегида (24 мг; 0,09 ммоль), (8S)-N-метил-5,6,7,8-тетрагидро-8-хинолинамина (29 мг; 0,18 ммоль), уксусной кислоты (каталитическая) и триацетоксиборгидрида натрия (29 мг; 0,14 ммоль) в дихлорэтане (1 мл) перемешивали в течение 3 ч при комнатной температуре. Реакционную смесь концентрировали, очищали с использованием обращенно-фазовой ВЭЖХ (градиент 0%-40% ацетонитрил/вода/0,1%-ная трифторуксусная кислота) и лиофилизовали из воды, получая продукт в виде трифторацетатной соли (22,8 мг; 34%; белое твердое вещество). 1Н-ЯМР (CD3OD) 8.80 (d, 1H), 8.36 (d, 1H), 7.91-7.88 (m, 1H), 7.78 (d, 1H), 7.64-7.58 (m, 2H), 4.81-4.74 (m, 2H), 4.63-4.57 (m, 2H), 4.45 (d, 1H), 3.70-3.65 (m, 2H), 3.45-3.34 (m, 6H), 3.07-3.04 (m, 5H), 2.50-2.42 (m, 4H), 2.28-2.21 (m, 1H), 2.18-2.09 (m, 1H), 2.00-1.90 (m, 1H), 1.53 (t, 3H). MS m/z 419,23 (М+1).
Пример 165: (8S)-N-{[1-Этил-7-(4-метил-1-пиперазинил)-1Н-бензимидазол-2-ил]метил}-N-(фенилметил)-5,6,7,8-тетрагидро-8-хинолинамин

Раствор 1-этил-7-(4-метил-1-пиперазинил)-1H-бензимидазол-2-карбальдегида (24 мг; 0,09 ммоль), (8S)-N-(фенилметил)-5,6,7,8-тетрагидро-8-хинолинамина (43 мг; 0,18 ммоль), уксусной кислоты (каталитическая) и триацетоксиборгидрида натрия (30 мг; 0,14 ммоль) в дихлорэтане (1 мл) перемешивали в течение 16 ч при комнатной температуре. Реакционную смесь концентрировали, очищали с использованием обращенно-фазовой ВЭЖХ (градиент 0%-40% ацетонитрил/вода/0,1%-ная трифторуксусная кислота) и лиофилизовали из воды, получая продукт в виде трифторацетатной соли (13 мг; 17%; белое твердое вещество). 1Н-ЯМР (CD3OD) 8.88 (d, 1H), 8.19 (d, 1H), 7.79-7.76 (m, 1H), 7.69 (d, 1H), 7.54-7.45 (m, 2H), 7.34 (d, 2H), 7.10 (t, 2H), 6.99 (d, 1H), 4.64-4.57 (m, 4H), 4.40 (d, 1H), 3.85 (q, 2H), 3.70-3.64 (m, 2H), 3.40-3.25 (m, 6H), 3.03 (s, 3H), 3.02-2.97 (m, 2H), 2.52-2.44 (m, 1H), 2.36-2.17 (m, 2H), 2.15 (s, 3H), 1.91-1.86 (m, 1H), 1.39 (t, 3H). MS m/z 517,29 (M+Na).
Пример 166: (8S)-N-Этил-N-{[1-этил-7-(4-метил-1-пиперазинил)-1Н-бензимидазол-2-ил]метил}-5,6,7,8-тетрагидро-8-хинолинамин

Раствор 1-этил-7-(4-метил-1-пиперазинил)-1H-бензимидазол-2-карбальдегида (24 мг; 0,09 ммоль), (8S)-N-(этил)-5,6,7,8-тетрагидро-8-хинолинамина (32 мг; 0,18 ммоль), уксусной кислоты (каталитическая) и триацетоксиборгидрида натрия (30 мг; 0,14 ммоль) в дихлорэтане (1 мл) перемешивали в течение 16 ч при комнатной температуре. Реакционную смесь концентрировали, очищали с использованием обращенно-фазовой ВЭЖХ (градиент 0%-40% ацетонитрил/вода/0,1%-ная трифторуксусная кислота) и лиофилизовали из воды, получая продукт в виде трифторацетатной соли (1,8 мг; 3%; белое твердое вещество). 1Н-ЯМР (CD3OD) 8.77 (d, 1H), 8.21 (d, 1H), 7.79-7.75 (m, 2H), 7.55-7.49 (m, 2H), 4.76-4.67 (m, 2H), 4.60-4.55 (m, 2H), 4.42 (d, 1H), 3.71-3.66 (m, 2H), 3.62-3.34 (m, 7H), 3.04-2.91 (m, 5H), 2.84-2.72 (m, 1H), 2.47-2.42 (m, 1H), 2.25-2.19 (m, 1H), 2.15-2.10 (m, 1H), 1.98-1.86 (m, 1H), 1.49 (t, 3H), 1.15 (t, 3H). MS m/z 455,27 (M+Na).
Пример 167: (8S)-N-Этил-N-{[1-метил-7-(4-метил-1-пиперазинил)-1Н-бензимидазол-2-ил]метил}-5,6,7,8-тетрагидро-8-хинолинамин

А) К раствору трет-бутил-4-(2-формил-1-метил-1Н-бензимидазол-7-ил)-1-пиперазинкарбоксилата (60 мг; 0,17 ммоль), (8S)-N-этил-5,6,7,8-тетрагидро-8-хинолинамина (61 мг; 0,34 ммоль) и уксусной кислоты (31 мг; 0,51 ммоль) в дихлорэтане (2 мл) порциями в течение 30 мин добавляли триацетоксиборгидрид натрия (108 мг; 0,51 ммоль). Реакционную смесь перемешивали при комнатной температуре в течение 16 ч, концентрировали и очищали на диоксиде кремния (градиент 0%-10% 2 М NH3 в смеси метанол/дихлорметан), получая трет-бутил-4-[2-({этил[(8S)-5,6,7,8-тетрагидро-8-хинолинил]амино}метил)-1-метил-1Н-бензимидазол-7-ил]-1-пиперазин-карбоксилат (82 мг; 96%). 1Н-ЯМР (CD3OD) 8.39 (d, 1H), 7.46 (d, 1H), 7.38-7.33 (m, 1H), 7.17-7.11 (m, 2H), 7.04 (t, 1H), 4.22 (s, 3H), 4.17-4.09 (m, 5H), 3.22-3.08 (m, 4H), 2.90-2.68 (m, 6H), 2.20-2.03 (m, 3H), 1.76-1.57 (m, 1H), 1.49 (s, 9H), 1.04 (t, 3H).
Б) Раствор трет-бутил-4-[2-({этил[(8S)-5,6,7,8-тетрагидро-8-хинолинил]амино}метил)-1-метил-1Н-бензимидазол-7-ил]-1-пиперазин-карбоксилата (82 мг; 0,16 ммоль) в дихлорметане (2 мл) и трифторуксусной кислоте (2 мл) перемешивали в течение 2 ч при комнатной температуре. Реакционную смесь концентрировали, неочищенное вещество растворяли в дихлорэтане (2 мл) и добавляли формальдегид (37%-ный водный раствор; 26 мкл; 0,34 ммоль) и триацетоксиборгидрид натрия (72 мг; 0,34 ммоль). Реакционную смесь перемешивали в течение 16 ч при комнатной температуре, концентрировали и очищали с использованием обращенно-фазовой ВЭЖХ (градиент 0%-40% ацетонитрил/вода/0,1%-ная трифторуксусная кислота) и лиофилизовали из воды, получая продукт в виде трифторацетатной соли (53 мг; 41%; твердое вещество светлой желтовато-коричневой окраски). 1Н-ЯМР (CD3OD) 8.78 (d, 1H), 8.27 (d, 1H), 7.83-7.80 (m, 1H), 7.71 (d, 1H), 7.53 (t, 1H), 7.42 (d, 1H), 4.61-4.50 (m, 2H), 4.35 (d, 1H), 4.30 (s, 3H), 3.68-3.65 (m, 2H), 3.52-3.42 (m, 4H), 3.25-3.21 (m, 2H), 3.02-2.98 (m, 5H), 2.96-2.89 (m, 1H), 2.77-2.71 (m, 1H), 2.49-2.43 (m, 1H), 2.25-2.21 (m, 1H), 2.14-2.04 (m, 1H), 1.96-1.85 (m, 1H), 1.18 (t, 3H). MS m/z 419,30 (M+1).
Пример 168: (8S)-N-{[1-Метил-7-(4-метил-1-пиперазинил)-1H-бензимидазол-2-ил]метил}-N-пропил-5,6,7,8-тетрагидро-8-хинолинамин

А) К раствору трет-бутил-4-(2-формил-1-метил-1Н-бензимидазол-7-ил)-1-пиперазинкарбоксилата (60 мг; 0,17 ммоль), (8S)-N-пропил-5,6,7,8-тетрагидро-8-хинолинамина (65 мг; 0,34 ммоль) и уксусной кислоты (31 мг; 0,51 ммоль) в дихлорэтане (2 мл) порциями в течение 30 мин добавляли триацетоксиборгидрид натрия (108 мг; 0,51 ммоль). Реакционную смесь перемешивали при комнатной температуре в течение 16 ч, концентрировали и очищали на диоксиде кремния (градиент 0%-10% 2 М NH3 в смеси метанол/дихлорметан), получая трет-бутил-4-[2-({пропил[(8S)-5,6,7,8-тетрагидро-8-хинолинил]амино}метил)-1-метил-1H-бензимидазол-7-ил]-1-пиперазинкарбоксилат (121 мг; >99%). 1Н-ЯМР (CD3OD) 8.36 (d, 1H), 7.40 (d, 1H), 7.31 (d, 1H), 7.13-7.06 (m, 2H), 7.00 (d, 1H), 4.25 (s, 3Н), 4.16-4.04 (m, 5H), 3.26-3.08 (m, 4H), 2.91-2.66 (m, 4H), 2.60-2.55 (m, 2H), 2.17-2.00 (m, 3Н), 1.73-1.61 (m, 1H), 1.49 (s, 9H), 1.41-1.28 (m, 2H), 0.74 (t, 3Н).
Б) Раствор трет-бутил-4-[2-({пропил[(8S)-5,6,7,8-тетрагидро-8-хинолинил]амино}метил)-1-метил-1H-бензимидазол-7-ил]-1-пиперазин-карбоксилата (88 мг; 0,17 ммоль) в дихлорметане (2 мл) и трифторуксусной кислоте (2 мл) перемешивали в течение 2 ч при комнатной температуре. Реакционную смесь концентрировали, неочищенное вещество растворяли в дихлорэтане (2 мл) и добавляли формальдегид (37%-ный водный раствор; 26 мкл; 0,34 ммоль) и триацетоксиборгидрид натрия (72 мг; 0,34 ммоль). Реакционную смесь перемешивали в течение 16 ч при комнатной температуре, концентрировали и очищали с использованием обращенно-фазовой ВЭЖХ (градиент 0%-40% ацетонитрил/вода/0,1%-ная трифторуксусная кислота) и лиофилизовали из воды, получая продукт в виде трифторацетатной соли (8 мг; 6%; светлое желтовато-коричневое твердое вещество). 1Н-ЯМР (CD3OD) 8.77 (d, 1H), 8.22 (d, 1H), 7.79-7.76 (m, 1H), 7.69 (d, 1H), 7.50 (t, 1H), 7.39 (d, 1H), 4.55-4.51 (m, 2Н), 4.33-4.28 (m, 1H), 4.28 (s, 3H), 3.67-3.63 (m, 2H), 3.51-3.41 (m, 4H), 3.03-2.98 (m, 4H), 2.86-2.77 (m, 1H), 2.64 (s, 3H), 2.61-2.52 (m, 1H), 2.47-2.40 (m, 1H), 2.23-2.05 (m, 2H), 1.93-1.82 (m, 1H), 1.62-1.53 (m, 2H), 0.84 (t, 3H). MS m/z 433,31 (M+1).
Пример 169: (8S)-N-{[1-Метил-7-(4-метил-1-пиперазинил)-1Н-бензимидазол-2-ил]метил}-N-(фенилметил)-5,6,7,8-тетрагидро-8-хинолинамин

К раствору трет-бутил-4-(2-формил-1 -метил-1H-бензимидазол-7-ил)-1-пиперазинкарбоксилата (60 мг; 0,17 ммоль), (8S)-N-(фенилметил)-5,6,7,8-тетрагидро-8-хинолинамина (81 мг; 0,34 ммоль) и уксусной кислоты (31 мг; 0,51 ммоль) в дихлорэтане (2 мл) порциями в течение 30 мин добавляли триацетоксиборгидрид натрия (108 мг; 0,51 ммоль). Реакционную смесь перемешивали при комнатной температуре в течение 16 ч, концентрировали и очищали на диоксиде кремния (градиент 0%-10% 2 М NH3 в смеси метанол/дихлорметан), получая смесь продукта (1,1-диметилэтил-4-[1-метил-2-({(фенилметил)[(8S)-5,6,7,8-тетрагидро-8-хинолинил]амино}метил)-1H-бензимидазол-7-ил]-1-пиперазинкарбоксилата) и исходного амина. Раствор смеси в дихлорметане (2 мл) и трифторуксусной кислоте (2 мл) перемешивали в течение 2 ч при комнатной температуре. Реакционную смесь концентрировали, неочищенное вещество растворяли в дихлорэтане (2 мл) и добавляли формальдегид (37%-ный водный раствор; 26 мкл; 0,34 ммоль) и триацетоксиборгидрид натрия (72 мг; 0,34 ммоль). Реакционную смесь перемешивали в течение 16 ч при комнатной температуре, концентрировали и очищали с использованием обращенно-фазовой ВЭЖХ (градиент 0%-40% ацетонитрил/вода/0,1%-ная трифторуксусная кислота) и лиофилизовали из воды, получая продукт в виде трифторацетатной соли (30 мг; 21%; твердое светлое желтовато-коричневое вещество). 1Н-ЯМР (CD3OD) 8.86 (d, 1H), 8.16 (d, 1H), 7.76-7.73 (m, 1H), 7.60 (d, 1H), 7.46 (t, 1H), 7.35-7.32 (m, 3H), 7.09 (t, 2H), 6.96 (d, 1H), 4.64-4.59 (m, 1H), 4.55 (d, 1H), 4.35 (d, 1H), 4.17 (s, 3H), 3.84 (q, 2H), 3.67-3.64 (m, 2H), 3.64-3.19 (m, 6H), 3.02 (s, 3H), 3.02-2.94 (m, 2H), 2.51-2.43 (m, 1H), 2.33-2.18 (m, 2H), 1.93-1.82 (m, 1H). MS m/z 481,31 (M+1).
Пример 170: N-{[5-Хлор-4-(4-метил-1-пиперазинил)-1H-бензимидазол-2-ил]метил}-N-метил-5,6,7,8-тетрагидро-8-хинолинамин

А) 4-Хлор-3-(4-метил-1-пиперазинил)-2-нитроанилин
К перемешиваемому раствору 3-(4-метил-1-пиперазинил)-2-нитроанилина (0,50 г; 2,1 ммоль) в 30 мл изопропанола при 60°С добавляли N-хлорсукцинимид (0,31 г; 2,3 ммоль). Полученный раствор нагревали до кипения с обратным холодильником в течение 20 минут и затем охлаждали до комнатной температуры. После концентрирования раствора досуха при пониженном давлении, остаток растворяли в EtOAc. Раствор промывали водным соляным раствором (2х), сушили над Na2SO4 и концентрировали досуха путем упаривания на роторном испарителе. Неочищенный продукт подвергали флэш-хроматографии (силикагель, градиент от EtOAc до смеси 8:2 EtOAc:МеОН), с получением 0,29 г (51%) 4-хлор-3-(4-метил-1-пиперазинил)-2-нитроанилина как раньше элюируемого компонента двухкомпонентной смеси. 1H-ЯМР (CDCl3) 7.24 (d, 1H), 6.50 (d, 1Н), 4.62 (br s, 2H), 3.19 (br s, 4H), 2.57 (br s, 4H), 2.38 (s, 3H). MS m/z 271 (M+1).
Б) 4-Хлор-3-(4-метил-1-пиперазинил)-1,2-бензолдиамин
К перемешиваемой смеси 4-хлор-3-(4-метил-1-пиперазинил)-2-нитроанилина (0,12 г; 0,45 ммоль) и безводного хлорида никеля(II) (0,12 г; 0,89 ммоль) в 12 мл безводного EtOH добавляли боргидрид натрия (0,10 г; 2,7 ммоль). После перемешивания при комнатной температуре в течение 30 минут смесь черного цвета фильтровали через целит для удаления твердых веществ и фильтрат концентрировали досуха при пониженном давлении. Остаток подвергали флэш-хроматографии (силикагель, градиент от дихлорметана до смеси 9:1 дихлорметан: 2 М NH3 в МеОН) с получением 84 мг (74%) 4-хлор-3-(4-метил-1-пиперазинил)-1,2-бензолдиамина. 1Н-ЯМР (CDCl3) 6.59 (d, 1H), 6.48 (d, 1H), 4.12 (br s, 2H), 3.78-3.69 (m, 2H), 3.34 (br s, 2H), 2.88 (d, 2H), 2.73 (d, 2H), 2.38 (s, 3H), 2.28-2.17 (m, 2H). MS m/z 241 (M+1).
В) N-{75-Хлор-4-(4-метил-1-пиперазинил)-1H-бензимидазол-2-ил]метил}-N-метил-5,6,7,8-тетрагидро-8-хинолинамин
Способом, аналогичным изложенному в данном описании изобретения для синтеза (8R)-N-метил-N-{[4-(4-метил-1-пиперазинил)-1Н-бензимидазол-2-ил]метил}-5,6,7,8-тетрагидро-8-хинолинамина, подвергали 4-хлор-3-(4-метил-1-пиперазинил)-1,2-бензолдиамин (0,12 г; 0,50 ммоль) сочетанию с N-метил-N-(5,6,7,8-тетрагидро-8-хинолинил)глицином (0,17 г; 0,75 ммоль), опосредованному ВОР-хлоридом, с последующей циклизацией, индуцируемой уксусной кислотой, с получением после очистки обращенно-фазовой ВЭЖХ (С8, элюирование градиентом от Н2O/0,1%-ная TFA до 100% MeCN в течение 40 минут) 94 мг (44%) N-{[5-хлор-4-(4-метил-1-пиперазинил)-1H-бензимидазол-2-ил]метил}-N-метил-5,6,7,8-тетрагидро-8-хинолинамина в виде светло-желтой пены. 1Н-ЯМР (DMSO-d6, 100°С): 12.16 (br s, 1H), 8.50 (d, 1H), 7.49 (d, 1H), 7.23-7.14 (m, 2H), 7.10 (d, 1H), 4.08-3.90 (m, 3Н), 3.45-3.34 (m, 4H), 2.83 (m, 1H), 2.71 (m, 1H), 2.58-2.46 (m, 4H), 2.34 (s, 3Н), 2.29 (s, 3Н), 2.10-1.88 (m, 3Н), 1.68 (m, 1H). MS m/z 425 (M+1).
Пример 171: N-{[4-Хлор-7-(4-метил-1-пиперазинил)-1H-бензимидазол-2-ил]метил}-N-метил-5,6,7,8-тетрагидро-8-хинолинамин

А) 6-Хлор-3-(4-метил-1-пиперазинил)-2-нитроанилин
К перемешиваемому раствору 3-(4-метил-1-пиперазинил)-2-нитроанилина (0,50 г; 2,1 ммоль) в 30 мл изопропанола при 60°С добавляли N-хлорсукцинимид (0,31 г; 2,3 ммоль). Полученный раствор нагревали до кипения с обратным холодильником в течение 20 минут и затем охлаждали до комнатной температуры. После концентрирования раствора досуха при пониженном давлении остаток растворяли в EtOAc. Раствор промывали водным соляным раствором (2х), сушили над Na2SO4 и концентрировали досуха путем упаривания на роторном испарителе. Неочищенный продукт подвергали флэш-хроматографии (силикагель, градиент от EtOAc до смеси 8:2 EtOAc:MeOH) с получением 0,15 г (26%) 6-хлор-3-(4-метил-1-пиперазинил)-2-нитроанилина как более поздно элюируемого компонента двухкомпонентной смеси. 1Н-ЯМР (CDCl3) 7.31 (d, 1Н), 6.44 (d, 1H), 5.19 (br s, 2H), 3.10-3.02 (m, 4H), 2.63-2.52 (m, 4H), 2.38 (s, 3H). MS m/z 271 (М+1).
Б) N-{[4-Хлор-7-(4-метил-1-пиперазинил)-1H-бензимидазол-2-ил]метил}-N-метил-5,6,7,8-тетрагидро-8-хинолинамин
В последовательности, аналогичной изложенной в данном описании изобретения для синтеза N-{[5-хлор-4-(4-метил-1-пиперазинил)-1H-бензимидазол-2-ил]метил}-N-метил-5,6,7,8-тетрагидро-8-хинолинамина, превращали 6-хлор-3-(4-метил-1-пиперазинил)-2-нитроанилин (0,15 г; 0,54 ммоль) за три стадии в N-{[4-хлор-7-(4-метил-1-пиперазинил)-1Н-бензимидазол-2-ил]метил}-N-метил-5,6,7,8-тетрагидро-8-хинолинамин, который получали в виде светло-желтой пены с общим выходом 12%. 1Н-ЯМР (CD3OD): 8.51 (d, 1H), 7.58 (d, 1H), 7.26 (dd, 1H), 7.12 (d, 1H), 6.68 (d, 1H), 4.20-4.11 (m, 2H), 3.96 (d, 1H), 3.38-3.24 (br s, 4H), 2.93-2.68 (m, 6H), 2.39 (s, 3H), 2.20 (m, 1H), 2.11-1.90 (m, 5H), 1.76 (m, 1H). MS m/z 425 (M+1).
Пример 172: N-Метил-N-{(1R)-1-[4-(4-метил-1-пиперазинил)-1Н-бензимидазол-2-ил]этил}-5,6,7,8-тетрагидро-8-хинолинамин

N-Метил-N-{(1R)-1-[4-(4-метил-1-пиперазинил)-1H-бензимидазол-2-ил]-этил}-5,6,7,8-тетрагидро-8-хинолинамин получали аналогично N-(1-метилэтил)-N-{[4-(4-метил-1-пиперазинил)-1Н-бензимидазол-2-ил]метил}-5,6,7,8-тетрагидро-8-хинолинамину в виде смеси диастереомеров. R- и S-изомеры по неопределенному стереогенному центру могут быть разделены с использованием хиральной хроматографич или сверхкритической флюидной хроматографии; условия SFC: Chiralpcel OD-H (3 см), 1500 ф/кв. дюйм (10342,5 кПа), 27 градусов С, 2 мл/мин, 20%-ный метанол (0,5% D)PEA).
Изомер 1: 1Н-ЯМР (DMSO-d6) 9.96 (br s, 1H), 8.62 (d, 1H), 7.94 (d, 1H), 7.53 (dd, 1H), 7.23 (m, 2H), 6.71 (dd, 1H), 5.03 (dd, 1H), 4.83 (dd, 1H), 4.48 (d, 1H), 4.30 (d, 1H), 3.58 (m, 2H), 3.29 (m, 2H), 3.20-3.01 (m, 2H), 2.93 (s, 3Н), 2.83 (m, 2H), 2.68 (s, 3Н), 2.11-1.92 (m, 2H), 1.88-1.72 (m, 2H), 1.84 (d, 3Н). MS m/z 405 (М+1).
Изомер 2: 1Н-ЯМР (DMSO-d6) 10.2 (br s, 1H), 8.62 (d, 1H), 7.85 (d, 1H), 7.60 (dd, 1H), 7.25 (m, 2H), 6.77 (d, 1H), 5.02 (dd, 1H), 4.86 (dd, 1H), 4.23 (t, 2H), 3.60 (m, 2H), 3.28 (m, 2H), 3.11 (m, 2H), 2.93 (s, 3Н), 2.86 (m, 2H), 2.55 (s, 3H), 2.16 (m, 1H), 2.10-1.98 (m, 2H), 1.89-1.81 (m, 2H), 1.80 (d, 3H). MS m/z 405 (M+1).
Пример 173: (2R)-2-[{[4-(метилокси)фенил]метил}(5,6,7,8-тетрагидро-8-хинолинил)амино]-2-[4-(4-метил-1-пиперазинил)-1H-бензимидазол-2-ил]этанол

Фенилметил-N-{[4-(метилокси)фенил]метил}-N-(5,6,7,8-тетрагидро-8-хинолинил)-L-серинат получали аналогично N-(1-метилэтил)-N-{[4-(4-метил-1-пиперазинил)-1H-бензимидазол-2-ил]метил}-5,6,7,8-тетрагидро-8-хинолинамину путем последовательных восстановительных аминирований 6,7-дигидро-8(5Н)-хинолинона с использованием сложного бензилового эфира (b)-серина и пара-анисового альдегида до масла как смеси диастереомеров. Промежуточное соединение затем обрабатывали аналогично N-(1-метилэтил)-N-{[4-(4-метил-1-пиперазинил)-1H-бензимидазол-2-ил]метил}-5,6,7,8-тетрагидро-8-хинолинамину путем восстановления сложного бензилового эфира, сочетания с 3-(4-метил-1-пиперазинил)-1,2-бензолдиамином и циклизации, катализируемой кислотой, с получением фенилметил-N-{[4-(метилокси)фенил]метил}-N-(5,6,7,8-тетрагидро-8-хинолинил)-L-серината в виде трифторацетатной соли. 1Н-ЯМР (CD3OD) 8.77 (d, 1Н), 7.99 (d, 1H), 7.64 (dd, 1H), 7.44 (d, 1H), 7.36 (t, 1H), 7.04 (m, 3H), 6.59 (d, 2H), 4.54 (t, 1H), 4.27 (m, 2H), 3.89 (d, 1H), 3.76 (m, 3H), 3.66 (m, 2H), 3.58 (s, 3H), 3.46-3.33 (m, 2H), 3.21-3.11 (m, 3H), 3.01 (s, 3H), 2.87 (m, 2H), 2.37-2.30 (m, 2H), 2.16-2.08 (m, 1H), 1.92-1.78 (m, 1H). MS m/z 527 (M+1).
Пример 174: (2R)-2-[4-(4-Метил-1-пиперазинил)-1H-бензимидазол-2-ил]-2-(5,6,7,8-тетрагидро-8-хинолиниламино)этанол

Фенилметил-N-{[4-(метилокси)фенил]метил}-N-(5,6,7,8-тетрагидро-8-хинолинил)-L-серинат (0,07 г; 0,13 ммоль) растворяли в метиленхлориде (1 мл), добавляли трифторуксусную кислоту (1 мл) и смесь перемешивали в течение 4 ч. Растворитель выпаривали, реакционную смесь очищали ОФ-ВЭЖХ и нужную фракцию нейтрализовали, как изложено в данном описании изобретения с получением белого твердого вещества (19 мг; 5%). 1Н-ЯМР (CD3OD) 8.37 (d, 1Н), 7.50 (d, 1H), 7.18 (t, 1H), 7.10 (d, 24), 6.68 (s, 1H), 4.35 (t, 1H), 3.95 (m, 2H), 3.83 (m, 1H), 3.46 (m, 2H), 2.72 (m, 8H), 2.37 (s, 3Н), 1.89 (m, 1H), 1.78 (m, 1H), 1.58 (m, 2H). MS m/z 407 (M+1).
Пример 175: (2R)-2-[4-(4-Метил-1-пиперазинил)-1H-бензимидазол-2-ил]-2-[метил(5,6,7,8-тетрагидро-8-хинолинил)амино]этанол

(2R)-2-[4-(4-Метил-1-пиперазинил)-1H-бензимидазол-2-ил]-2-[метил(5,6,7,8-тетрагидро-8-хинолинил)амино]этанол получали из (2R)-2-[4-(4-метил-1-пиперазинил)-1H-бензимидазол-2-ил]-2-(5,6,7,8-тетрагидро-8-хинолиниламино)этанола (0,01 г; 0,02 ммоль) путем восстановительного аминирования с использованием формальдегида (0,003 мл; 0,03 ммоль) способом, аналогичным изложенному в данном описании изобретения, получая белое твердое вещество (0,01 г; 95%). 1Н-ЯМР (CD3OD) 8.47 (d, 1H), 7.56 (d, 1Н), 7.24 (dd, 1H), 7.10 (t, 2H), 6.68 (s, 1H), 4.36 (m, 1H), 4.25 (m, 1H), 4.09 (m, 2H), 2.89-2.81 (m, 2H), 2.74 (m, 8H), 2.38 (s, 3H), 2.13-1.99 (m, 3H), 2.02 (s, 3H), 1.77 (m, 1H). MS m/z 421 (M+1).
Пример 176: N-Метил-N-{(1R)-1-[4-(4-метил-1-пиперазинил)-1Н-бензимидазол-2-ил]-2-[(фенилметил)окси]карбонил}-5,6,7,8-тетрагидро-8-хинолинамин

N-Метил-N-{(1R)-1-[4-(4-метил-1-пиперазинил)-1H-бензимидазол-2-ил]-2-[(фенилметил)окси]этил}-5,6,7,8-тетрагидро-8-хинолинамин получали аналогично (2R)-2-[4-(4-метил-1-пиперазинил)-1Н-бензимидазол-2-ил]-2-[метил(5,6,7,8-тетрагидро-8-хинолинил)амино]этанолу из O-(фенилметил)-N-{фенилметил)окси]карбонил}-L-серина, получая светло-желтое твердое вещество. 1Н-ЯМР (CD3OD) 13.9-13.5 (br s, 1H), 8.68 (d, 1H), 7.60 (d, 1H), 7.36 (m, 6H), 7.17-7.01 (m, 2H), 6.49 (s, 1H), 4.61 (ABq, 2H), 4.35-4.15 (m, 2H), 4.04-3.89 (m, 2H), 3.53 (m, 4H), 2.90-2.70 (m, 2H), 2.60 (m, 4H), 2.30 (s, 3H), 2.20 (s, 3H), 2.13-1.87 (m, 3H), 1.73-1.60 (m, 1H). MS m/z 511 (M+1).
Пример 177: N-Метил-N-{(1S)-1-[4-(4-метил-1-пиперазинил)-1H-бензимидазол-2-ил]-2-[(фенилметил)окси]этил}-5,6,7,8-тетрагидро-8-хинолинамин

N-Метил-N-{(1S)-1-[4-(4-метил-1-пиперазинил)-1H-бензимидазол-2-ил]-2-[(фенилметил)окси]этил}-5,6,7,8-тетрагидро-8-хинолинамин получали аналогично (2R)-2-[4-(4-метил-1-пиперазинил)-1Н-бензимидазол-2-ил]-2-[метил(5,6,7,8-тетрагидро-8-хинолинил)амино]этанолу из O-(фенилметил)-N-{[(фенилметил)окси]карбонил}-L-серина, получая светло-желтое твердое вещество. Аналитические данные соответствовали N-метил-N-{(1R)-1-[4-(4-метил-1-пиперазинил)-1Н-бензимидазол-2-ил]-2-[(фенилметил)-окси]этил}-5,6,7,8-тетрагидро-8-хинолинамину.
Пример 178: 2-{{[1-Метил-7-(1-пиперазинил)-1H-бензимидазол-2-ил]метил}-[(8S)-5,6,7,8-тетрагидро-8-хинолинил]амино}этанол

(8S)-5,6,7,8-Тетрагидро-8-хинолинамин (0,3 г; 0,58 ммоль), 1,1-диметилэтил-4-(2-формил-1-метил-1H-бензимидазол-7-ил)-1-пиперазин-карбоксилат (0,2 г; 1,3 ммоль) и уксусную кислоту (0,075 мл; 1,3 ммоль) добавляли к дихлорэтану (10 мл). Триацетоксиборгидрид натрия (0,275 г; 1,3 ммоль) добавляли в виде двух одинаковых порций в течение 2 ч, и раствор перемешивали в течение 16 ч. Добавляли насыщенный раствор NaHCO3 (3 мл) и раствор перемешивали в течение 15 мин. Органический слой экстрагировали (3×10 мл), объединяли, сушили над Na2SO4, фильтровали и упаривали. В результате очистки колоночной хроматографией (1%-5% 2 н. NH3/метанол в метиленхлориде) получали амин. В результате восстановительного аминирования с {[(1,1-диметилэтил)(диметил)силил]окси}ацетальдегидом (0,07 г; 0,39 ммоль) и частью этого амина (0,125 г; 0,26 ммоль) и последующего катализируемого кислотой (4 н. HCl) отщепления Boc- и трет-бутилдиметилсилильных групп получали амин. Очистка обращенно-фазовой ВЭЖХ и нейтрализация нужных фракций позволили получить продукт в виде белого твердого вещества (15 мг; 13%). 1Н-ЯМР (CD3OD) 8.32 (d, 1H), 7.40 (d, 1H), 7.27 (d, 1H), 7.12-7.05 (m, 2H), 6.99 (d, 1H), 4.27 (s, 3H), 4.11 (ABq, 2H), 4.03 (dd, 1H), 3.47 (m, 1H), 3.36 (m, 1H), 3.13-3.00 (m, 6H), 2.82 (m, 5H), 2.70 (m, 1H), 2.27 (m, 1H), 2.06 (m, 2H), 1.70 (m, 1H). MS m/z 421 (M+1).
Пример 179: 3-{{[1-Метил-7-(1-пиперазинил)-1Н-бензимидазол-2-ил]метил}[8S)-5,6,7,8-тетрагидро-8-хинолинил]амино}-1-пропанол

3-{{[1-Метил-7-(1-пиперазинил)-1Н-бензимидазол-2-ил]метил}[(8S)-5,6,7,8-тетрагидро-8-хинолинил]амино}-1-пропанол получали аналогично 2-{{[1-метил-7-(1-пиперазинил)-1Н-бензимидазол-2-ил]метил}[(8S)-5,6,7,8-тетрагидро-8-хинолинил]амино}этанолу из 1,1-диметилэтил-4-(2-формил-1-метил-1H-бензимидазол-7-ил)-1-пиперазинкарбоксилата и 3-{[(1,1-диметилэтил)-(диметил)силил]окси}пропаналя. 1Н-ЯМР (CD3OD) 8.32 (d, 1H), 7.38 (d, 1H), 7.28 (d, 1H), 7.11 (t, 1H), 7.05 (dd, 1H), 7.00 (d, 1H), 4.24 (s, 3H), 4.08 (m, 1H), 4.03 (ABq, 2H), 4.03, 3.54 (m, 1H), 3.45 (m, 1H), 3.16 (m, 2H), 3.03 (m, 4H), 2.86 (m, 5H), 2.70 (m, 1H), 2.22 (m, 1H), 2.14-2.05 (m, 2H), 1.79-1.68 (m, 2H), 1.54-1.49 (m, 1H). MS m/z 435 (M+1).
Пример 180: 2-{{[1-метил-7-(4-метил-1-пиперазинил)-1Н-бензимидазол-2-ил]метил}[(8S)-5,6,7,8-тетрагидро-8-хинолинил]амино}этанол

2-{{[1-Метил-7-(4-метил-1-пиперазинил)-1Н-бензимидазол-2-ил]метил}[(85)-5,6,7,8-тетрагидро-8-хинолинил]амино}этанол (0,035 г; 0,08 ммоль), формальдегид (0,01 мл; 0,12 ммоль), уксусную кислоту (0,008 мл; 1,2 ммоль) добавляли к дихлорэтану (10 мл). Добавляли триацетоксиборгидрид натрия (0,275 г; 1,2 ммоль) и раствор перемешивали в течение 2 ч. Добавляли насыщенный раствор NaHCO3 (1 мл), раствор перемешивали в течение 5 мин и упаривали досуха. Очистка обращенно-фазовой ВЭЖХ и нейтрализация нужных фракций позволили получить продукт в виде белого твердого вещества (9 мг; 25%). 1Н-ЯМР (CD3OD) 8.33 (d, 1H), 7.39 (d, 1H), 7.28 (d, 1H), 7.11 (d, 1H), 7.06 (dd, 1H), 7.01 (d, 1H), 4.26 (s, 3Н), 4.12 (ABq, 2H), 4.03 (dd, 1H), 3.47 (m, 1H), 3.39 (m, 1H), 3.13 (m, 2H), 2.94 (m, 4H), 2.82 (m, 2H), 2.71 (m, 2H), 2.47 (m, 2H), 2.40 (s, 3H), 2.27 (m, 1H), 2.06 (m, 2H), 1.70 (m, 1Н). MS m/z 435 (М+1).
Пример 181: 3-{{N-Метил-7-(4-метил-1-пиперазинил)-1Н-бензимидазол-2-ил]метил}[(8S)-5,6,7,8-тетрагидро-8-хинолинил]амино}-1-пропанол

3-{{[1-Метил-7-(4-метил-1-пиперазинил)-1H-бензимидазол-2-ил]метил}[(8S)-5,6,7,8-тетрагидро-8-хинолинил]амино}-1-пропанол получали аналогично 2-{{[1-метил-7-(4-метил-1-пиперазинил)-1H-бензимидазол-2-ил]метил}[(8S)-5,6,7,8-тетрагидро-8-хинолинил]амино}этанолу из 3-{{[1-метил-7-(1-пиперазинил)-1H-бензимидазол-2-ил]метил}[(8S)-5,6,7,8-тетрагидро-8-хинолинил]амино}-1-пропанола. 1Н-ЯМР (CD3OD) 8.32 (d, 1H), 7.38 (d, 1H), 7.29 (d, 1H), 7.11 (t, 1H), 7.06 (dd, 1H), 7.02 (d, 1H), 4.23 (s, 3Н), 4.08 (m, 1H), 4.03 (ABq, 2H), 3.54 (m, 1H), 3.46 (m, 1H), 3.16 (m, 2H), 2.94 (m, 4H), 2.85 (m, 2H), 2.72 (m, 2H), 2.47 (m, 2H), 2.40 (s, 3Н), 2.27-2.20 (m, 1H), 2.15-2.04 (m, 2H), 1.77-1.66 (m, 2H), 1.55-1.48 (m, 1Н). MS m/z 449 (М+1).
Пример 182: N-{[4-(4-Метил-1-пиперазинил)-1Н-бензимидазол-2-ил]метил}-6,7-дигидро-5H-циклопента[b]пиридин-7-амин

N-{[4-(4-Метил-1-пиперазинил)-1H-бензимидазол-2-ил]метил}-6,7-дигидро-5Н-циклопента[b]пиридин-7-амин получали аналогично 2-{{[1-метил-7-(4-метил-1-пиперазинил)-1H-бензимидазол-2-ил]метил}[(8S)-5,6,7,8-тетрагидро-8-хинолинил]амино}этанолу из фенилметил-{[4-(4-метил-1-пиперазинил)-1Н-бензимидазол-2-ил]метил}карбамата и 5,6-дигидро-7Н-циклопента[b]пиридин-7-она с получением желтовато-коричневого твердого вещества. 1Н-ЯМР (CD3OD) 8.32 (d, 1H), 7.38 (d, 1H), 7.29 (d, 1H), 7.11 (t, 1H), 7.02 (t, 1H), 6.71 (d, 1H), 4.22 (m, 3Н), 3.42 (m, 4H), 3.08 (m, 4H), 3.03 (m, 1H), 2.86 (m, 1H), 2.65 (s, 3Н), 2.50 (m, 2H), 1.94 (m, 1H). MS m/z 363 (M+1).
Пример 183: N-Метил-N-{[4-(4-метил-1-пиперазинил)-1Н-бензимидазол-2-ил]метил}-6,7-дигидро-5H-циклопента[b]пиридин-7-амин

N-Метил-N-{[4-(4-метил-1-пиперазинил)-1H-бензимидазол-2-ил]метил}-6,7-дигидро-5H-циклопента[b]пиридин-7-амин получали из N-{[4-(4-метил-1-пиперазинил)-1Н-бензимидазол-2-ил]метил}-6,7-дигидро-5Н-циклопента[b]пиридин-7-амина путем восстановительного аминирования, как изложено в данном описании изобретения, с получением белого твердого вещества. 1Н-ЯМР (CD3OD) 8.43 (d, 1H), 7.69 (d, 1H), 7.25 (dd, 1H), 7.14 (t, 1H), 7.10 (t, 1H), 6.68 (d, 1H), 4.51 (t, 1H), 4.00 (½ ABq, 1H), 3.83 (½ ABq, 1H), 3.32 (m, 4H), 2.98 (m, 1H), 2.88 (m, 1H), 2.40 (m, 4H), 2.77 (dd, 2H), 2.13 (s, 3H). MS m/z 377 (M+1).
Пример 184: N-{[4-(4-Метил-1-пиперазинил)-1H-бензимидазол-2-ил]метил}-6,7,8,9-тетрагидро-5H-циклогепта[b]пиридин-9-амин

N-{[4-(4-метил-1-пиперазинил)-1H-бензимидазол-2-ил]метил}-6,7,8,9-тетрагидро-5H-циклогепта[b]пиридин-9-амин получали аналогично 2-{{[1-метил-7-(4-метил-1-пиперазинил)-1H-бензимидазол-2-ил]метил}[(8S)-5,6,7,8-тетрагидро-8-хинолинил]амино}этанолу из фенилметил-{[4-(4-метил-1-пиперазинил)-1Н-бензимидазол-2-ил]метил}карбамата и 5,6,7,8-тетрагидро-9H-циклогепта[b]пиридин-9-она, с получением белого твердого вещества. 1Н-ЯМР (CD3OD) 8.36 (d, 1H), 7.58 (d, 1H), 7.22 (d, 1H), 7.17 (m, 2H), 6.72 (d, 1H), 4.48 (d, 1H), 4.34 (ABq, 2H), 3.53 (m, 4H), 3.22 (m, 4H), 2.92 (m, 1H), 2.82 (m, 1H), 2.78 (s, 3Н), 2.20-2.09 (m, 2H), 1.89 (m, 2H), 1.66 (m, 1H), 1.39 (m, 1H). MS m/z 391 (M+1).
Пример 185: N-Метил-N-{[4-(4-метил-1-пиперазинил)-1H-бензимидазол-2-ил]метил}-6,7,8,9-тетрагидро-5Н-циклогепта[b]пиридин-9-амин

N-Метил-N-{[4-(4-метил-1-пиперазинил)-1H-бензимидазол-2-ил]метил}-6,7,8,9-тетрагидро-5H-циклогепта[b]пиридин-9-амин получали из N-{[4-(4-метил-1-пиперазинил)-1Н-бензимидазол-2-ил]метил}-6,7,8,9-тетрагидро-5Н-циклогепта[b]пиридин-9-амина путем восстановительного аминирования, как изложено в данном описании изобретения с получением белого твердого вещества. 1Н-ЯМР (CD3CD) 8.28 (d, 1H), 7.51 (d, 1H), 7.18 (m, 2H), 7.10 (t, 1H), 6.68 (d, 1H), 3.87 (½ ABq, 1H), 3.77 (m, 1H), 3.69 (½ ABq, 1H), 3.52 (m, 1H), 3.33 (m, 4H), 2.80 (m, 4H), 2.61 (m, 1H), 2.43 (s, 3Н), 2.27-2.14 (m, 2H), 2.22 (s, 3Н), 2.90 (m, 1H), 1.94 (m, 1H), 1.78 (m, 2H), 1.47 (m, 1H). MS m/z 405 (M+1).
БИОЛОГИЧЕСКИЙ РАЗДЕЛ
АНАЛИЗ СЛИЯНИЯ
Создание плазмид
Полные кодирующие последовательности HIV-1 tat (GenBank Accession №. X07861) и rev (GenBank Accession №. M343778) клонировали в pcDNA3.1 экспрессирующие вектора, содержащие гены устойчивости к G418 и гигромицину, соответственно. Полную кодирующую последовательность гена белка оболочки др160 HIV-1 (штамм НХВ2) (нуклеотидные основания 6225-8795, GenBank Accession №. K03455) клонировали в плазмиду pCRII-TOPO. Дополнительно были вставлены три гена ВИЧ в бакуловирусный челночный вектор, pFastBacMam1, под транскрипционный контроль CMV-промотора. Конструкцию pHIV-1 LTR, содержащую мутированные NFkB-последовательности, присоединенные к люциферазному репортерному гену, получали путем расщепления pcDNA3.1, содержащего ген устойчивости к G418, используя Nru I и Barn HI для удаления CMV-промотора. LTR-Iuc затем клонировали в сайты Nru I/Bam HI плазмидного вектора. Получение плазмид осуществляли после амплификации плазмид в штамме Escherichia coli DH5-alpha. Правильность вставленных последовательностей подтверждали путем секвенирования двухцепочечных нуклеотидных последовательностей с использованием автоматического секвенатора ABI Prism модели 377.
Создание BacMam-бакуловируса
Рекомбинантные BacMam-бакуловирусы конструировали из челночных плазмид pFastBacMam, используя основанную на бактериальных клетках систему Bac-to-Bac. Размножение вирусов осуществляли в клетках Sf9 (Spodoptera frugiperda), культивируемых на TNM-FH-среде Хинка (Hink) для насекомых, с добавлением 10% (об./об.) фетальной сыворотки теленка и 0,1% (об./об.) pluronic F-68, в соответствии с установленными протоколами.
Клеточная культура
Клетки остеосаркомы человека (HOS), естественно экспрессирующие CXCR4 человека, трансфицировали плазмидой, несущей CCR5 человека, CD4 человека и pHIV-LTR-люцифераза, используя реагент для трансфекции FuGENE 6. Отдельные клетки отделяли и выращивали в селекционных условиях, чтобы получить стабильную клональную клеточную линию HOS (hCXCR4/hCCR5/hCD4/pHIV-LTR-luciferase). Клетки поддерживали в среде Игла, модифицированной Дульбекко, с добавлением 10% фетальной сыворотки теленка (FCS), G418 (400 мкг/мл), пуромицина (1 мкг/мл), микофенольной кислоты (40 мкг/мл), ксантина (250 мкг/мл) и гипоксантина (13,5 мкг/мл), для поддержания селекционного давления на клетки, экспрессирующие LTR-люциферазу, DCCR5 и DCD4, соответственно. Клетки почки эмбриона человека (НЕК-293), стабильно трансфицированные с целью экспрессии скевенжер-рецептора макрофагов человека (Класс А, тип 1; GenBank Accession №. D90187), поддерживали на среде DMEM/F-12 (1:1) с добавлением 10% FCS и 1,5 мкг/мл пуромицина. Экспрессия этого рецептора клетками НЕК-293 усиливает их способность прилипать к обработанному тканевой культурой изделию из пластмассы.
Трансдукция клеток НЕК-293
Клетки НЕК-293 собирали, используя не содержащий ферменты буфер для клеточной диссоциации. Клетки ресуспендировали в среде DMEM/F-12 (1:1) с добавлением 10% FCS и 1,5 мкг/мл пуромицина и производили подсчет. Трансдукцию осуществляли путем непосредственного добавления к клеткам среды для клеток насекомых, содержащей BacMam-бакуловирус. Клетки одновременно трансдуцировали BacMam-бакуловирусом, экспрессирующим ВИЧ-1 tat, ВИЧ-1 rev и ВИЧ-1 gp160 (из штамма ВИЧ НХВ2). Обычно каждый вирус добавляли в содержащую клетки среду с МО (множественностью заражения) равной 10. Кроме этого, для повышения экспрессии белков в трансдуцированных клетках на этой стадии к клеткам добавляли 2 мМ масляной кислоты. Затем клетки перемешивали и высевали в колбу в количестве 30 миллионов клеток на Т225. Клетки инкубировали при 37°С, 5% CO2, 95% влажности в течение 24 ч для обеспечения экспрессии белков.
Формат анализа слияния клетка/клетка
Клетки НЕК и HOS собирали в среду DMEM/F-12, содержащую 2% FCS, и среду DMEM, содержащую 2% FCS, соответственно, без добавления каких-либо селекционных агентов. Соединения помещали в виде пятен по 1 мкл в 100%-ном DMSO в 96-луночные планшеты CulturPlate. Первыми в лунки добавляли клетки HOS (50 мкл), сразу после этого клетки НЕК (50 мкл). Конечная концентрация клеток каждого типа составляла 20000 клеток на лунку. По окончании этих добавлений клетки возвращали в инкубатор клеточных культур (37°С; 5% CO2/95% воздуха) на еще 24 ч.
Измерение продуцирования люциферазы
После 24 ч инкубации измеряли общую клеточную люциферазную активность, используя набор для анализа LucLife Plus (Packard, Meridien, CT). Кратко: в каждую лунку добавляли по 100 мкл этого реагента. Планшеты герметично закрывали и перемешивали. Планшеты адаптировали к темноте приблизительно на 10 мин перед считыванием люминесценции с использованием Packard TopCount.
ФУНКЦИОНАЛЬНЫЙ АНАЛИЗ
Клеточная культура
Клетки почки эмбриона человека (НЕК-293) поддерживали и собирали, как описано выше. Клетки вносили в 96-луночные покрытые полилизином черные планшеты с прозрачным дном в концентрации 40000 клеток на лунку в конечном объеме 100 мкл, содержащем CXCR4 BacMam (MOI=25) и Gqi5 BacMam (MOI=12,5) человека. Клетки инкубировали при 37°С, 5% CO2, 95% влажности в течение 24 ч для обеспечения экспрессии белков.
Функциональный FUPR-анализ
По прошествии необходимого времени инкубации клетки промывали один раз 50 мкл свежей не содержащей сыворотки среды DMEM/F12, содержащей пробеницид. Затем к клеткам добавляли 50 мкл раствора красителя (набор с красителем для анализа “Кальций плюс”) (Calcium Plus Assay Kit Dye): Molecular Devices), растворенного в 200 мл указанной выше среды, содержащей пробеницид/BSA, и инкубировали в течение 1 ч. Планшеты с клетками переносили в флуоресцентное визуализирующее считывающее устройство для планшетов (FUPR). После добавления соединений изучали их влияние на изменение [Са2+] с целью определения, являются ли соединения агонистами или антагонистами (способность блокировать SDF-1-альфа-активность) рецептора CXCR4. Определяют величины IC50 и рассчитывают величины рКb, используя уравнение Леффа и Дугалла (Leff and Dougall): КВ=IC50/((2+([агонист]/ЕС50·b)·1/b-1), где IC50 представляет собой величину, определяемую из кривой «концентрация антагониста-ответ»; [агонист] представляет собой EC80 концентрацию используемого агониста; ЕС50 представляет собой величину, определяемую из кривой «концентрация агониста-ответ»; b представляет собой наклон кривой «концентрация агониста-ответ».
АНАЛИЗ ИНФЕКЦИОННОСТИ ВИЧ-1 В ОТНОШЕНИИ HOS
Подготовка ВИЧ
Соединения характеризовали по отношению к двум типам вирусов БИЧ-1, М-тропному (использующему CCR5) Ba-L-штамму и Т-тропному (использующему CXCR4) IIIB-штамму. Оба типа вирусов культивировали в лимфоцитах периферической крови человека. Соединения тестировали на их способность блокировать инфицирование клеточной линии HOS (экспрессирующей hCXCR4/hCCR5/hCD4/pHIV-LTR-luciferase) как ВИЧ-1 Ba-L, так и ВИЧ-1 IIIB. Кроме этого проверяли цитотоксичность соединений в отсутствие добавления вируса.
Формат анализа инфекционности ВИЧ-1 в отношении HOS
Клетки HOS (экспрессирующие hCXCR4/hCCR5/hCD4/pHIV-LTR-luciferase) собирали и разбавляли средой Игла, модифицированной Дульбекко, с добавлением 2% FCS и не незаменимой аминокислоты до концентрации 60000 клеток/мл. Клетки вносили в 96-луночные планшеты (по 100 мкл в лунку) и планшеты помещали в инкубатор для клеточных культур (37°С; 5% CO2/95% воздуха) на период времени 24 ч.
Затем в каждую лунку добавляли 50 мкл раствора нужного лекарственного средства (4-кратная конечная концентрация) и планшеты возвращали в инкубатор для клеточных культур (37°С; 5% CO2/95% воздуха) на 1 ч. После этой инкубации в каждую лунку добавляли по 50 мкл разбавленного вируса (приблизительно 2 миллиона RLU ((унифицированных люминесцентных единиц)) вируса на лунку). Планшеты возвращали в инкубатор для клеточных культур (37°С; 5% CO2/95% воздуха) и инкубировали в течение еще 96 ч.
По окончании этого периода инкубации количественно определяли конечную точку для инфицированных вирусом культур после добавления системного реагента для проведения люциферазного анализа Steady-Glo (Promega, Madison, WI). Жизнеспособность клеток или неинфицированных культуры измеряли с использованием люминесцентной системы для анализа жизнеспособности клеток CellTiter-Glo (Promega, Madison, WI). Все считывания люминесценции проводят на детекторе люминесценции Topcount (Packard, Meridien, CT).
| ТАБЛИЦА 1 |
| Пример |
Структура |
Функциональный анализ (рIC50) |
Анализ слияния (pIС50) |
Цитотоксичность (рIC50) |
HOS (3B) (мкМ) |
| 7 |
 |
8,07 (n=1) |
7,26 (n=2) |
<4,00 (n=1) |
0,008 (n=2) |
| 8 |
 |
7,47 (n=1) |
7,27 (n=2) |
<4,00 (n=1) |
0,043 (n=2) |
| 9 |
 |
7,04 (n=1) |
7,12 (n=2) |
<4,00 (n=1) |
0,056 (n=2) |
| 10 |
 |
5,85 (n=1) |
5,72 (n=2) |
<4,00 (n=1) |
0,84 (n=2) |
| 11 |
 |
6,59 (n=1) |
6,13 (n=2) |
<4,00 (n=1) |
0,395 (n=3) |
| 12 |
 |
6,35 (n=1) |
5,93 (n=2) |
<4,00 (n=1) |
0,179 (n=5) |
| 13 |
 |
6,38 (n=1) |
5,76 (n=2) |
<4,00 (n=1) |
0,594 (n=2) |
| 14 |
 |
6,47 (n=1) |
5,59 (n=2) |
<4,00 (n=1) |
0,440 (n=2) |
| 15 |
 |
6,92 (n=1) |
6,45 (n=2) |
<4,00 (n=1) |
0,141 (n=3) |
| 16 |
 |
6,54 (n=1) |
6,14 (n=2) |
<4,00 (n=1) |
0,238 (n=3) |
| 17 |
 |
6,59 (n=1) |
5,89 (n=1) |
<4,00 (n=1) |
1,36 (n=2) |
| 18 |
 |
6,82 (n=1) |
6,33 (n=2) |
<4,00 (n=1) |
0,160 (n=1) |
| 19 |
 |
6,60 (n=1) |
6,30 (n=2) |
<4,00 (n=1) |
0,167 (n=2) |
| 20 |
 |
<4,00 (n=1) |
5,25 (n=2) |
<4,00 (n=1) |
2,35 (n=2) |
| 21 |
 |
7,80 (n=1) |
7,22 (n=2) |
<4,00 (n=1) |
0,046 (n=2) |
| 22 |
 |
6,77 (n=1) |
5,98 (n=2) |
<4,00 (n=1) |
0,331 (n=2) |
| 23 |
 |
7,87 (n=1) |
6,80 (n=2) |
<4,00 (n=1) |
0,018 (n=2) |
| 24 |
 |
7,91 (n=1) |
6,84 (n=2) |
<4,00 (n=1) |
0,022 (n=1) |
| 25 |
 |
6,76 (n=1) |
6,56 (n=2) |
<4,00 (n=1) |
0,143(n=2) |
| 26 |
 |
7,68 (n=1) |
7,31 (n=2) |
<4,00 (n=1) |
0,027 (n=2) |
| 27 |
 |
6,75 (n=1) |
6,65 (n=2) |
<4,00 (n=1) |
0,062 (n=2) |
| 28 |
 |
7,24 (n=1) |
6,83 (n=2) |
<4,00 (n=1) |
0,044 (n=2) |
| 29 |
 |
6,88 (n=1) |
6,59 (n=2) |
<4,00 (n=1) |
0,081 (n=2) |
| 30 |
 |
5,70 (n=1) |
6,39 (n=2) |
<4,00 (n=1) |
0,075 (n=2) |
| 31 |
 |
7,91 (n=1) |
7,31 (n=2) |
<4,00 (n=1) |
0,022 (n=2) |
| 32 |
 |
7,18 (n=1) |
7,07 (n=1) |
5,12 (n=1) |
0,045 (n=2) |
| 33 |
 |
7,82 (n=1) |
6,79 (n=2) |
<4,00 (n=1) |
0,013 (n=1) |
| 34 |
 |
8,09 (n=1) |
8,26 (n=2) |
<4,00 (n=1) |
0,0062 (n=2) |
| 35 |
 |
8,23 (n=1) |
9,41 (n=2) |
<4,00 (n=1) |
0,0016 (n=1) |
| 36 |
 |
6,11 (n=1) |
5,27 (n=2) |
<4,00 (n=1) |
0,05 (n=2) |
| 8,08 (n=1) |
7,66 (n=1) |
Соединения по настоящему изобретению демонстрируют желаемую эффективность. Например, соединения по настоящему изобретению демонстрируют желаемую эффективность в концентрации ниже 100 нМ. Более того, полагают, что соединения по настоящему изобретению обеспечивают желаемый рК-профиль. Также полагают, что соединения по настоящему изобретению обеспечивают желаемый вторичный биологический профиль. Соединения, активные в HOS-анализе, также были активными в анализе слияния. Соединения имели интервал между активностью и цитотоксичностью в описанных видах анализов.
Активность различных соединений по настоящему изобретению включена в Таблицу 2.
| ТАБЛИЦА 2 |
| Пример |
Структура |
Уровень активности* |
| 7 |
 |
A |
| 8 |
 |
A |
| 9 |
 |
A |
| 10 |
 |
С |
| 11 |
 |
В |
| 12 |
 |
В |
| 13 |
 |
с |
| 14 |
 |
в |
| 15 |
 |
В |
| 16 |
 |
В |
| 17 |
 |
С |
| 18 |
 |
В |
| 19 |
 |
В |
| 20 |
 |
с |
| 21 |
 |
A |
| 22 |
 |
В |
| 23 |
 |
A |
| 24 |
 |
A |
| 25 |
 |
В |
| 26 |
 |
A |
| 27 |
 |
A |
| 28 |
 |
A |
| 29 |
 |
A |
| 30 |
 |
A |
| 31 |
 |
A |
| 32 |
 |
A |
| 33 |
 |
A |
| 35 |
 |
A |
| 36 |
 |
A |
| 37 |
 |
A |
| 38 |
 |
С |
| 39 |
 |
С |
| 40 |
 |
С |
| 41 |
 |
С |
| 42 |
 |
С |
| 43 |
 |
В |
| 44 |
 |
С |
| 46 |
 |
С |
| 48 |
 |
В |
| 49 |
 |
С |
| 50 |
 |
В |
| 51 |
 |
A |
| 52 |
 |
A |
| 53 |
 |
A |
| 54 |
 |
В |
| 55 |
 |
A |
| 56 |
 |
С |
| 57 |
 |
С |
| 58 |
 |
В |
| 59 |
 |
С |
| 61 |
 |
В |
| 62 |
 |
С |
| 64 |
 |
С |
| 67 |
 |
В |
| 68 |
 |
С |
| 69 |
 |
С |
| 71 |
 |
С |
| 73 |
 |
В |
| 74 |
 |
A |
| 75 |
 |
A |
| 76 |
 |
В |
| 77 |
 |
В |
| 78 |
 |
A |
| 79 |
 |
A |
| 80 |
 |
В |
| 81 |
 |
С |
| 82 |
 |
A |
| 83 |
 |
A |
| 84 |
 |
В |
| 85 |
 |
В |
| 86 |
 |
A |
| 87 |
 |
В |
| 88 |
 |
В |
| 89 |
 |
В |
| 90 |
 |
A |
| 91 |
 |
A |
| 92 |
 |
A |
| 93 |
 |
A |
| 94 |
 |
A |
| 95 |
 |
А |
| 96 |
 |
А |
| 97 |
 |
А |
| 99 |
 |
В |
| 100 |
 |
В |
| 101 |
 |
В |
| 102 |
 |
В |
| 103 |
 |
С |
| 104 |
 |
В |
| 105 |
 |
В |
| 106 |
 |
В |
| 107 |
 |
A |
| 108 |
 |
A |
| 109 |
 |
A |
| 110 |
 |
В |
| 111 |
 |
A |
| 112 |
 |
A |
| 113 |
 |
A |
| 114 |
 |
A |
| 115 |
 |
A |
| 116 |
 |
A |
| 117 |
 |
в |
| 133А |
 |
A |
| 133В |
 |
A |
| 134 |
 |
A |
| 135 |
 |
A |
| 136 |
 |
A |
| 137 |
 |
A |
| 138 |
 |
А |
| 139 |
 |
А |
| 140 |
 |
А |
| 141 |
 |
A |
| 142 |
 |
A |
| 143 |
 |
A |
| 144 |
 |
A |
| 145 |
 |
A |
| 146 |
 |
A |
| 147 |
 |
A |
| 148 |
 |
A |
| 149 |
 |
A |
| 150 |
 |
A |
| 152 |
 |
В |
| 153 |
 |
A |
| 154 |
 |
A |
| 155 |
 |
A |
| 156 |
 |
A |
| 159 |
 |
A |
| 160 |
 |
A |
| 161 |
 |
A |
| 164 |
 |
A |
| 165 |
 |
A |
| 166 |
 |
A |
| 167 |
 |
A |
| 168 |
 |
A |
| 169 |
 |
A |
| 170 |
 |
A |
| 171 |
 |
A |
| 172 |
 |
A |
| 176 |
 |
A |
| 177 |
 |
A |
| 178 |
 |
A |
| 179 |
 |
A |
| 180 |
 |
A |
| 181 |
 |
A |
| 182 |
 |
В |
| 183 |
 |
A |
| 184 |
 |
A |
| 185 |
 |
A |
*«А» указывает на соединения с активностью менее 100 нМ, как определено в анализе на инфекционность. «В» указывает на соединения с активностью в интервале между 100 нМ и 500 нМ, как определено в анализе на инфекционность. «С» указывает на соединения с активностью в интервале между 500 нМ и 10 мкМ, как определено в анализе на инфекционность. |
|
Тестируемые соединения применяли в свободной форме или в форме соли.
Все исследования соответствовали принципам заботы о лабораторных животных (публикация NIH №85-23) и политике GlaxoSmithKline по использованию животных.
Несмотря на то, что в данном описании проиллюстрированы и подробно описаны конкретные воплощения настоящего изобретения, изобретение ими не ограничивается. Приведенные выше подробные описания представлены как иллюстративные для настоящего изобретения и их не следует истолковывать как представляющие какое-либо ограничение для данного изобретения. Модификации будут очевидны специалистам в данной области техники, и подразумевается, что все модификации, не отступающие от сущности данного изобретения, включены в объем прилагаемой формулы изобретения.
Формула изобретения
1. Соединение формулы (I):

где t равен 0, 1 или 2;
каждый R независимо представляет собой Н, алкил, алкенил, алкинил, галогеналкил, циклоалкил, -RaAy, -RaOR5;
n равен 0;
R2 выбран из группы, состоящей из Н, возможно замещенного алкила, циклоалкила, алкенила, алкинила, -RaAy, -RaOR5, причем R2 не является амином или алкиламином, или не замещен амином или алкиламином;
R3 представляет собой Н, возможно замещенный алкил, галогеналкил, циклоалкил, алкенил, алкинил, -RaAy, -RaOR5, где, когда p равен 0, R3 не является амином или алкиламином, или не замещен амином или алкиламином;
каждый R4 независимо представляет собой галоген, галогеналкил, алкил, алкенил, алкинил, циклоалкил, циклоалкенил, -Ay, -NHAy, -Het, -NHHet, -NR6R7, -RaNR6R7, -RaC(O)R10, -C(O)R10, -CO2R10, -RaCO2R10, -C(O)NR6R7, -C(O)Ay, -C(O)Het;
m равен 0, 1 или 2;
каждый R5 независимо представляет собой Н, алкил, алкенил, алкинил, циклоалкил, -RaAy или -Ay;
p равен 0 или 1;
Y представляет собой -NR10-, -C(O)NR10-, -NR10C(O)-, -C(O)-, -С(O)O-, -NR10C(O)N(R10)2-;
X представляет собой -N(R10)2, -RaN(R10)2, -AyN(R10)2, -RaAyN(R10)2, -AyRaN(R10)2, -RaAyRaN(R10)2, -Het, -RaHet, -HetN(R10)2, -RaHetN(R10)2, -HetRaN(R10)2, -RaHetRaN(R10)2, -HetRaAy или HetRaHet, где, когда p равен 0, тогда X не является -N(R10)2;
каждый Ra независимо представляет собой возможно замещенный алкилен, циклоалкилен, алкенилен, циклоалкенилен или алкинилен;
каждый R10 независимо представляет собой Н, алкил, циклоалкил, алкенил, алкинил, циклоалкенил, -Raциклоалкил, -RaOH, -RaOR5, -RaNR6R7 или -RaHet;
каждый из R6 и R7 независимо выбран из Н, алкила, алкенила, алкинила, циклоалкила, циклоалкенила, группы -Raциклоалкил, -RaOH, -RaOR5, -Het, -RaHet;
каждый Ay независимо представляет собой возможно замещенную арильную группу; и
каждый Het независимо представляет собой возможно замещенную 4-, 5- или 6-членную гетероциклильную или гетероарильную группу, где гетероатомы выбраны из N и O;
или его фармацевтически приемлемые соль, или сложный эфир.
2. Соединение по п.1, где -Het возможно замещен по меньшей мере одним из следующего: алкил, -(С=O)алкил, алкокси, галоген, циклоалкил, циклоалкокси, амино или алкиламино.
3. Соединение по п.1, где t равен 0.
4. Соединение по п.1, где t равен 1.
5. Соединение по п.1, где t равен 2.
6. Соединение по п.1, где R представляет собой Н или алкил.
7. Соединение по п.3, где R представляет собой Н.
8. Соединение по п.1, где R2 представляет собой Н, возможно замещенный алкил или циклоалкил, и где R2 не замещен амином или алкиламином.
9. Соединение по п.8, где R2 представляет собой алкил, возможно замещенный циклоалкилом.
10. Соединение по п.8, где R2 представляет собой алкил с разветвленной цепью.
11. Соединение по п.8, где R2 представляет собой возможно замещенный алкил или циклоалкил, и где R2 не замещен амином или алкиламином.
12. Соединение по п.1, где R3 представляет собой Н, возможно замещенный алкил, галогеналкил, циклоалкил, алкенил или алкинил, и где, когда p равен 0, R3 не замещен амином или алкиламином.
13. Соединение по п.12, где R3 представляет собой Н, возможно замещенный алкил, галогеналкил или циклоалкил, и где, когда р равен 0, R3 не замещен амином или алкиламином.
14. Соединение по п.12, где R3 представляет собой Н или возможно замещенный алкил, и где, когда р равен 0, R3 не замещен амином или алкиламином.
15. Соединение по п.1, где R3 представляет собой Н.
16. Соединение по п.1, где R3 представляет собой возможно замещенный алкил.
17. Соединение по п.14, где R3 представляет собой алкил с разветвленной цепью.
18. Соединение по п.1, где m равен 0.
19. Соединение по п.1, где m равен 1 или 2.
20. Соединение по п.19, где m равен 1.
21. Соединение по п.20, где R4 представляет собой галоген, галогеналкил, алкил, NR6R7, CO2R10, CONR6R7.
22. Соединение по п.1, где Ra представляет собой алкилен или циклоалкилен, возможно замещенный по меньшей мере одним алкилом, гидроксилом или оксо.
23. Соединение по п.1, где p равен 0 и Х представляет собой -RaN(R10)2, -AyRaN(R10)2, -RaAyRaN(R10)2, -Het, -RaHet, -HetN(R10)2, -RaHetN(R10)2 или -HetRaN(R10)2.
24. Соединение по п.23, где X представляет собой -RaN(R10)2, -Het, -RaHet, -HetN(R10)2, -RaHetN(R10)2 или -HetRaN(R10)2.
25. Соединение по п.23, где Х представляет собой -Het, возможно замещенный по меньшей мере одним алкилом, группой -(С=O)алкил, алкокси или гидроксилом.
26. Соединение по п.1, где каждый R представляет собой Н; R2 представляет собой алкил или циклоалкил; R3 представляет собой алкил, галогеналкил или циклоалкил; n равен 0; m равен 0; р равен 0; Х представляет собой -RaN(R10)2, -AyRaN(R10)2, -RaAyRaN(R10)2, -Het, -RaHet, -HetN(R10)2, -RaHetN(R10)2 или -HetRaN(R10)2; Ra представляет собой возможно замещенный алкилен, циклоалкилен, алкенилен, циклоалкенилен или алкинилен; и R10 представляет собой Н или алкил.
27. Соединение по п.26, где Х представляет собой -Het или -RaHet, и -Het возможно замещен по меньшей мере одним алкилом.
28. Соединение по п.27, где -Het замещен алкилом с разветвленной цепью.
29. Соединение по п.1, где р равен 1;
Y представляет собой С(O), -N(R10)-, -C(O)NR10– или -NR10CO-;
X представляет собой -RaN(R10)2, -AyRaN(R10)2, -RaAyRaN(R10)2, -Het, -RaHet, -HetN(R10)2, -RaHetN(R10)2 или -HetRaN(R10)2; и
-Het возможно замещен по меньшей мере одним алкилом, группой (С=O)алкил, алкокси.
30. Соединение по п.29, где р равен 1; Y представляет собой -С(O) или -C(O)NR10; Х представляет собой -RaHet или -Het; и -Het возможно замещен по меньшей мере одним алкилом.
31. Соединение по п.30, где -Het замещен алкилом с разветвленной цепью.
32. Соединение по п.1, где -Het представляет собой пиперидин, пиперазин, азетидин, пирролидин, имидазол или пиридин.
33. Соединение по п.1, где заместитель -(Y)p-X расположен на изображенном бензимидазольном кольце, как в формуле (I-А):

где все переменные такие, как они определены в отношении формулы (I); или его фармацевтически приемлемые соль, или сложный эфир.
34. Соединение по п.33, где каждый R представляет собой Н; R2 представляет собой алкил или циклоалкил; R3 представляет собой алкил или циклоалкил; n равен 0; m равен 0; p равен 0; Х представляет собой -RaN(R10)2, -AyRaN(R10)2, -RaAyRaN(R10)2, -Het, -RaHet, -HetN(R10)2, -RaHetN(R10)2 или -HetRaN(R10)2; Ra представляет собой алкилен, циклоалкилен, алкенилен, циклоалкенилен или алкинилен; и R10 представляет собой Н или алкил.
35. Соединение по п.33, где Х представляет собой -Het, -RaHet или HetRaN(R10)2.
36. Соединение по п.35, где Х представляет собой -Het, возможно замещенный по меньшей мере одним алкилом, группой (С=O)алкил, или алкокси.
37. Соединение по п.1, где -Het замещен алкилом с разветвленной цепью.
38. Соединение по п.1, выбранное из группы, состоящей из:
N-[2-(1Н-имидазол-4-ил)этил]-1-метил-2-{[метил(5,6,7,8-тетрагидро-8-хинолинил)амино]метил}-1H-бензимидазол-7-карбоксамида;
N-[2-(1H-имидазол-4-ил)этил]-1-метил-2-{[метил(5,6,7,8-тетрагидро-8-хинолинил)амино]метил}-1Н-бензимидазол-4-карбоксамида;
N-[2-(1-метил-1Н-имидазол-4-ил)этил]-2-{[метил(5,6,7,8-тетрагидро-8-хинолинил)амино]метил}-1H-бензимидазол-4-карбоксамида;
N-(2-аминоэтил)-2-{[метил(5,6,7,8-тетрагидро-8-хинолинил)амино]метил}-1Н-бензимидазол-4-карбоксамида;
2-{[метил(5,6,7,8-тетрагидро-8-хинолинил)амино]метил}-N-[2-(1-пиперидинил)пропил]-1H-бензимидазол-4-карбоксамида:
2-{[метил(5,6,7,8-тетрагидро-8-хинолинил)амино]метил}-N-[3-(1-пирролидинил)пропил]-1H-бензимидазол-4-карбоксамида;
N-[3-(диметиламино)пропил]-2-{[метил(5,6,7,8-тетрагидро-8-хинолинил)-амино]метил}-1Н-бензимидазол-4-карбоксамида;
N-({4-[(4-амино-1-пиперидинил)карбонил]-1Н-бензимидазол-2-ил}метил)-N-метил-5,6,7,8-тетрагидро-8-хинолинамина:
N-({4-[(3-амино-1-пирролидинил)карбонил]-1H-бензимидазол-2-ил}метил)-N-метил-5,6,7,8-тетрагидро-8-хинолинамина;
N-{[4-({[2-(1H-имидазол-4-ил)этил]амино}метил)-1Н-бензимидазол-2-ил]метил}-N-метил-5,6,7,8-тетрагидро-8-хинолинамина;
N-метил-N-{[4-(1-пиперазинилметил)-1H-бензимидазол-2-ил]метил}-5,6,7,8-тетрагидро-8-хинолинамина:
N-метил-N-({4-[4-(2-метилпропил)-1-пиперазинил]-1H-бензимидазол-2-ил}метил)-5,6,7,8-тетрагидро-8-хинолинамина;
2-{[метил(5,6,7,8-тетрагидрохинолин-8-ил)амино]метил}-1H-бензимидазол-5-карбоксамида;
N-метил-N-[2-(метиламино)этил]-2-{[метил(5,6,7,8-тетрагидро-8-хинолинил)амино]метил}-1H-бензимидазол-5-)карбоксамида;
N-[2-(диметиламино)этил]-2-{[метил(5,6,7,8-тетрагидро-8-хинолинил)амино]метил}-1H-бензимидазол-5-карбоксамида;
N-[2-(метиламино)этил]-2-{[метил(5,6,7,8-тетрагидро-8-хинолинил)амино]-метил}-1H-бензимидазол-5-карбоксамида;
N-[2-(диметиламино)этил]-N-метил-2-{[метил(5,6,7,8-тетрагидро-8-хинолинил)амино]метил}-1Н-бензимидазол-5-карбоксамида;
N-[2-(1Н-имидазол-4-ил)этил]-N-метил-2-{[метил(5,6,7,8-тетрагидро-8-хинолинил)амино]метил}-1Н-бензимидазол-4-карбоксамида;
N-метил-N-({4-[(2-метил-1-пиперазинил)карбонил]-1Н-бензимидазол-2-ил}метил)-5,6,7,8-тетрагидро-8-хинолинамина;
N-({4-[(1S,4S)-2,5-диазабицикло[2.2.1]гепт-2-илкарбонил]-1Н-бензимидазол-2-ил}метил)-N-метил-5,6,7,8-тетрагидро-8-хинолинамина;
N-{[4-(гексагидро-1H-1,4-диазепин-1-илкарбонил)-1H-бензимидазол-2-ил]метил}-N-метил-5,6,7,8-тетрагидро-8-хинолинамина:
N-({4-[3-(диметиламино)пропил]-1H-бензимидазол-2-ил}метил)-N-метил-5,6,7,8-тетрагидро-8-хинолинамина;
N-метил-N-({4-[3-(1-пирролидинил)пропил]-1H-бензимидазол-2-ил}метил)-5,6,7,8-тетрагидро-8-хинолинамина;
N-метил-N-({4-[3-(1-пиперидинил)пропил]-1H-бензимидазол-2-ил}метил)-5,6,7,8-тетрагидро-8-хинолинамина;
N-{[4-(3-аминопропил)-1Н-бензимидазол-2-ил]метил}-N-метил-5,6,7,8-тетрагидро-8-хинолинамина;
2-{[метил(5,6,7,8-тетрагидро-8-хинолинил)амино]метил}-N-[3-(4-морфолинил)пропил]-1H-бензимидазол-4-карбоксамида;
N-(1H-бензимидазол-2-илметил)-2-{[метил(5,6,7,8-тетрагидро-8-хинолинил)амино]метил}-1H-бензимидазол-4-карбоксамида;
2-{[метил(5,6,7,8-тетрагидро-8-хинолинил)амино]метил}-N-3-пирролидинил-1H-бензимидазол-4-карбоксамида;
N-[3-(1H-имидазол-1-ил)пропил]-2-{[метил(5,6,7,8-тетрагидро-8-хинолинил)амино]метил}-1H-бензимидазол-4-карбоксамида;
N-({4-[(4-амино-1-пиперидинил)карбонил]-1H-бензимидазол-2-ил}метил)-N-метил-5,6,7,8-тетрагидро-8-хинолинамина;
N-({4-[(3-амино-1-пирролидинил)карбонил]-1Н-бензимидазол-2-ил}метил)-N-метил-5,6,7,8-тетрагидро-8-хинолинамина;
N-метил-N-({4-[(4-метилгексагидро-1H-1,4-диазепин-1-ил)карбонил]-1H-бензимидазол-2-ил}метил)-5,6,7,8-тетрагидро-8-хинолинамина:
[2-(диметиламино)этил](2-{[метил(5,6,7,8-тетрагидро-8-хинолинил)-амино]метил}-1Н-бензимидазол-4-ил)амина;
метил[2-(метиламино)этил](2-{[метил(5,6,7,8-тетрагидро-8-хинолинил)-амино]метил}-1Н-бензимидазол-4-ил)амина:
[2-(диметиламино)этил]метил(2-{[метил(5,6,7,8-тетрагидро-8-хинолинил)-амино]метил}-1Н-бензимидазол-4-ил)амина;
N-метил-N-({4-[4-(1-метилэтил)-1-пиперазинил]-1Н-бензимидазол-2-ил}метил)-5,6,7,8-тетрагидро-8-хинолинамина;
N-(1-метилэтил)-N-{[4-(4-метил-1-пиперазинил)-1N-бензимидазол-2-ил]метил}-5,6,7,8-тетрагидро-8-хинолинамина;
N-(1-метилэтил)-N-({4-[4-(1-метилэтил)-1-пиперазинил]-1Н-бензимидазол-2-ил}метил)-5,6,7,8-тетрагидро-8-хинолинамина;
N-{1-метил-1-[4-(4-метил-1-пиперазинил)-1H-бензимидазол-2-ил]этил}-5,6,7,8-тетрагидро-8-хинолинамина;
N-метил-N-{1-метил-1-[4-(4-метил-1-пиперазинил)-1H-бензимидазол-2-ил]этил}-5,6,7,8-тетрагидро-8-хинолинамина;
N-({4-[4-(аминоацетил)-1-пиперазинил]-1Н-бензимидазол-2-ил}метил)-N-метил-5,6,7,8-тетрагидро-8-хинолинамина;
(8R)-N-метил-N-{[4-(4-метил-1-пиперазинил)-1H-бензимидазол-2-ил]метил}-5,6,7,8-тетрагидро-8-хинолинамина.
(8S)-N-метил-N-{[4-(4-метил-1-пиперазинил)-1Н-бензимидазол-2-ил]метил}-5,6,7,8-тетрагидро-8-хинолинамина;
(8R)-N-этил-N-{[4-(4-метил-1-пиперазинил)-1H-бензимидазол-2-ил]метил}-5,6,7,8-тетрагидро-8-хинолинамина;
(8S)-N-этил-N-{[4-(4-метил-1-пиперазинил)-1H-бензимидазол-2-ил]метил}-5,6,7,8-тетрагидро-8-хинолинамина;
(8R)-N-{[4-(4-метил-1-пиперазинил)-1Н-бензимидазол-2-ил]метил}-N-пропил-5,6,7,8-тетрагидро-8-хинолинамина;
(8S)-N-{[4-(4-метил-1-пиперазинил)-1Н-бензимидазол-2-ил]метил}-N-пропил-5,6,7,8-тетрагидро-8-хинолинамина;
(8S)-N-(1-метилэтил)-N-{[4-(4-метил-1-пиперазинил)-1H-бензимидазол-2-ил]метил}-5,6,7,8-тетрагидро-8-хинолинамина:
(8R)-N-(циклопропилметил)-N-{[4-(4-метил-1-пиперазинил)-1Н-бензимидазол-2-ил]метил}-5,6,7,8-тетрагидро-8-хинолинамина;
(8S)-N-(циклопропилметил)-N-{[4-(4-метил-1-пиперазинил)-1Н-бензимидазол-2-ил]метил}-5,6,7,8-тетрагидро-8-хинолинамина;
(8S)-N-({4-[(8аR)-гексагидропирроло[1,2-а]пиразин-2(1Н)-ил]-1H-бензимидазол-2-ил}метил)-N-метил-5,6,7,8-тетрагидро-8-хинолинамина:
(8S)-N-этил-N-({4-[(8аR)-гексагидропирроло[1,2-а]пиразин-2(1H)-ил]-1Н-бензимидазол-2-ил}метил)-5,6,7,8-тетрагидро-8-хинолинамина;
(8S)-N-({4-[(8аR)-гексагидропирроло[1,2-а]пиразин-2(1H)-ил]-1H-бензимидазол-2-ил}метил)-N-пропил-5,6,7,8-тетрагидро-8-хинолинамина;
(8S)-N-метил-N-({4-[(1R,5R)-7-метил-3,7-диазабицикло[3.3.1]нон-3-ил]-1Н-бензимидазол-2-ил}метил)-5,6,7,8-тетрагидро-8-хинолинамина;
N-циклопропил-N-{[4-(4-метил-1-пиперазинил)-1Н-бензимидазол-2-ил]метил}-5,6,7,8-тетрагидро-8-хинолинамина;
(8S)-N-{(1S)-1-[4-(метилокси)фенил]этил}-N-{[4-(4-метил-1-пиперазинил)-1H-бензимидазол-2-ил]метил}-5,6,7,8-тетрагидро-8-хинолинамина;
(8S)-N-{[4-(4-метил-1-пиперазинил)-1H-бензимидазол-2-ил]метил}-N-{2-[(фенилметил)окси]этил}-5,6,7,8-тетрагидро-8-хинолинамина;
2-{{[4-(4-метил-1-пиперазинил)-1Н-бензимидазол-2-ил]метил}[(8S)-5,6,7,8-тетрагидро-8-хинолинил]амино}этанола;
3-{{[4-(4-метил-1-пиперазинил)-1H-бензимидазол-2-ил]метил}[(8S)-5,6,7,8-тетрагидро-8-хинолинил]амино}-1-пропанола;
(8S)-N-{[4-(4-метил-1-пиперазинил)-1Н-бензимидазол-2-ил]метил}-N-(фенилметил)-5,6,7,8-тетрагидро-8-хинолинамина;
N-метил-N-{[1-метил-7-(4-метил-1-пиперазинил)-1H-бензимидазол-2-ил]метил}-5,6,7,8-тетрагидро-8-хинолинамина;
N-этил-N-{[1-метил-7-(4-метил-1-пиперазинил)-1Н-бензимидазол-2-ил]метил}-5,6,7,8-тетрагидро-8-хинолинамина;
N-{[1-метил-7-(4-метил-1-пиперазинил)-1Н-бензимидазол-2-ил]метил}-N-пропил-5,6,7,8-тетрагидро-8-хинолинамина;
N-(циклопропилметил)-N-{[1-метил-7-(4-метил-1-пиперазинил)-1Н-бензимидазол-2-ил]метил}-5,6,7,8-тетрагидро-8-хинолинамина;
(8S)-N-метил-N-{[1-метил-7-(1-пиперазинил)-1H-бензимидазол-2-ил]метил}-5,6,7,8-тетрагидро-8-хинолинамина;
(8S)-N-метил-N-{[1-метил-7-(4-метил-1-пиперазинил)-1Н-бензимидазол-2-ил]метил}-5,6,7,8-тетрагидро-8-хинолинамина;
(8S)-N-{[1-этил-7-(4-метил-1-пиперазинил)-1Н-бензимидазол-2-ил]метил}-N-метил-5,6,7,8-тетрагидро-8-хинолинамина;
(8S)-N-{[1-этил-7-(4-метил-1-пиперазинил)-1Н-бензимидазол-2-ил]метил}-N-(фенилметил)-5,6,7,8-тетрагидро-8-хинолинамина;
(8S)-N-этил-N-{[1-этил-7-(4-метил-1-пиперазинил)-1Н-бензимидазол-2-ил]метил}-5,6,7,8-тетрагидро-8-хинолинамина;
N-{[5-хлор-4-(4-метил-1-пиперазинил)-1Н-бензимидазол-2-ил]метил}-N-метил-5,6,7,8-тетрагидро-8-хинолинамина;
N-{[4-хлор-7-(4-метил-1-пиперазинил)-1Н-бензимидазол-2-ил]метил}-N-метил-5,6,7,8-тетрагидро-8-хинолинамина;
N-метил-N-{(1R)-1-[4-(4-метил-1-пиперазинил)-1H-бензимидазол-2-ил]этил}-5,6,7,8-тетрагидро-8-хинолинамина;
N-метил-N-{(1R)-1-[4-(4-метил-1-пиперазинил)-1H-бензимидазол-2-ил]-2-[(фенилметил)окси]этил}-5,6,7,8-тетрагидро-8-хинолинамина;
N-метил-N-{(1S)-1-[4-(4-метил-1-пиперазинил)-1H-бензимидазол-2-ил]-2-[(фенилметил)окси]этил}-5,6,7,8-тетрагидро-8-хинолинамина;
N-метил-N-{[4-(1-пиперазинилкарбонил)-1H-бензимидазол-2-ил]метил}-5,6,7,8-тетрагидро-8-хинолинамина:
N-[2-(1H-имидазол-4-ил)этил]-2-{[метил(5,6,7,8-тетрагидро-8-хинолинил)амино]метил}-1Н-бензимидазол-4-карбоксамида;
(8R)-N-метил-N-{[1-метил-7-(4-метил-1-пиперазинил)-1H-бензимидазол-2-ил]метил}-5,6,7,8-тетрагидро-8-хинолинамина;
2-{{[1-метил-7-(1-пиперазинил)-1H-бензимидазол-2-ил]метил}[(8S)-5,6,7,8-тетрагидро-8-хинолинил]амино}этанола;
3-{{[1-метил-7-(1-пиперазинил)-1H-бензимидазол-2-ил]метил}[(8S)-5,6,7,8-тетрагидро-8-хинолинил]амино}-1-пропанола;
2-{{[1-метил-7-(4-метил-1-пиперазинил)-1H-бензимидазол-2-ил]метил}[(8S)-5,6,7,8-тетрагидро-8-хинолинил]амино}этанола;
3-{{[1-метил-7-(4-метил-1-пиперазинил)-1H-бензимидазол-2-ил]метил}[(8S)-5,6,7,8-тетрагидро-8-хинолинил]амино}-1-пропанола;
N-метил-N-{[4-(4-метил-1-пиперазинил)-1H-бензимидазол-2-ил]метил}-6,7-дигидро-5Н-циклопента[b]пиридин-7-амина;
N-{[4-(4-метил-1-пиперазинил)-1H-бензимидазол-2-ил]метил}-6,7,8,9-тетрагидро-5H-циклогепта[b]пиридин-9-амина;
N-метил-N-{[4-(4-метил-1-пиперазинил)-1Н-бензимидазол-2-ил]метил}-6,7,8,9-тетрагидро-5Н-циклогепта[b]пиридин-9-амина;
и их фармацевтически приемлемых солей или сложных эфиров.
39. Соединение, выбранное из группы, состоящей из:
N-метил-N-{[4-(1-пиперазинил)-1Н-бензимидазол-2-ил]метил}-5,6,7,8-тетрагидро-8-хинолинамина;
N-метил-N-{[4-(4-метил-1-пиперазинил)-1H-бензимидазол-2-ил]метил}-5,6,7,8-тетрагидро-8-хинолинамина;
N-метил-N-({4-[4-(2-метилпропил)-1-пиперазинил]-1H-бензимидазол-2-ил}метил)-5,6,7,8-тетрагидро-8-хинолинамина;
N-метил-N-({4-[4-(1-метилэтил)-1-пиперазинил]-1H-бензимидазол-2-ил}метил)-5,6,7,8-тетрагидро-8-хинолинамина;
N-(1-метилэтил)-N-{[4-(4-метил-1-пиперазинил)-1H-бензимидазол-2-ил]метил}-5,6,7,8-тетрагидро-8-хинолинамина;
(8R)-N-метил-N-{[4-(4-метил-1-пиперазинил)-1H-бензимидазол-2-ил]метил}-5,6,7,8-тетрагидро-8-хинолинамина;
(8S)-N-метил-N-{[4-(4-метил-1-пиперазинил)-1Н-бензимидазол-2-ил]метил}-5,6,7,8-тетрагидро-8-хинолинамина;
(8S)-N-этил-N-{[4-(4-метил-1-пиперазинил)-1H-бензимидазол-2-ил]метил}-5,6,7,8-тетрагидро-8-хинолинамина;
(8S)-N-{[4-(4-метил-1-пиперазинил)-1H-бензимидазол-2-ил]метил}-N-пропил-5,6,7,8-тетрагидро-8-хинолинамина;
(8S)-N-(1-метилэтил)-N-{[4-(4-метил-1-пиперазинил)-1H-бензимидазол-2-ил]метил}-5,6,7,8-тетрагидро-8-хинолинамина;
(8S)-N-(циклопропилметил)-N-{[4-(4-метил-1-пиперазинил)-1H-бензимидазол-2-ил]метил}-5,6,7,8-тетрагидро-8-хинолинамина;
(8S)-N-({4-[(8аR)-гексагидропирроло[1,2-а]пиразин-2(1H)-ил]-1H-бензимидазол-2-ил}метил)-N-метил-5,6,7,8-тетрагидро-8-хинолинамина;
(8S)-N-этил-N-({4-[(8аR)-гексагидропирроло[1,2-а]пиразин-2(1H)-ил]-1Н-бензимидазол-2-ил}метил)-5,6,7,8-тетрагидро-8-хинолинамина;
(8S)-N-({4-[(8аR)-гексагидропирроло[1,2-а]пиразин-2(1Н)-ил]-1H-бензимидазол-2-ил}метил)-N-пропил-5,6,7,8-тетрагидро-8-хинолинамина;
2-{{[4-(4-метил-1-пиперазинил)-1H-бензимидазол-2-ил]метил}[(8S)-5,6,7,8-тетрагидро-8-хинолинил]амино}этанола;
3-{{[4-(4-метил-1-пиперазинил)-1H-бензимидазол-2-ил]метил}[(8S)-5,6,7,8-тетрагидро-8-хинолинил]амино}-1-пропанола;
(8S)-N-{[4-(4-метил-1-пиперазинил)-1H-бензимидазол-2-ил]метил}-N-(фенилметил)-5,6,7,8-тетрагидро-8-хинолинамина;
N-метил-N-{[1-метил-7-(4-метил-1-пиперазинил)-1H-бензимидазол-2-ил]метил}-5,6,7,8-тетрагидро-8-хинолинамина;
N-этил-N-{[1-метил-7-(4-метил-1-пиперазинил)-1Н-бензимидазол-2-ил]метил}-5,6,7,8-тетрагидро-8-хинолинамина;
N-{[1-метил-7-(4-метил-1-пиперазинил)-1H-бензимидазол-2-ил]метил}-N-пропил-5,6,7,8-тетрагидро-8-хинолинамина;
N-(циклопропилметил)-N-{[1-метил-7-(4-метил-1-пиперазинил)-1Н-бензимидазол-2-ил]метил}-5,6,7,8-тетрагидро-8-хинолинамина;
(8S)-N-метил-N-{[1-метил-7-(1-пиперазинил)-1Н-бензимидазол-2-ил]метил}-5,6,7,8-тетрагидро-8-хинолинамина;
(8S)-N-метил-N-{[1-метил-7-(4-метил-1-пиперазинил)-1H-бензимидазол-2-ил]метил}-5,6,7,8-тетрагидро-8-хинолинамина;
(8S)-N-{[1-этил-7-(4-метил-1-пиперазинил)-1H-бензимидазол-2-ил]метил}-N-метил-5,6,7,8-тетрагидро-8-хинолинамина;
(8S)-N-{[1-этил-7-(4-метил-1-пиперазинил)-1Н-бензимидазол-2-ил]метил}-N-(фенилметил)-5,6,7,8-тетрагидро-8-хинолинамина;
(8S)-N-этил-N-{[1-этил-7-(4-метил-1-пиперазинил)-1H-бензимидазол-2-ил]метил}-5,6,7,8-тетрагидро-8-хинолинамина;
(8S)-N-этил-N-{[1-метил-7-(4-метил-1-пиперазинил)-1Н-бензимидазол-2-ил]метил}-5,6,7,8-тетрагидро-8-хинолинамина;
(8S)-N-{[1-метил-7-(4-метил-1-пиперазинил)-1Н-бензимидазол-2-ил]метил}-N-пропил-5,6,7,8-тетрагидро-8-хинолинамина;
(8S)-N-{[1-метил-7-(4-метил-1-пиперазинил)-1H-бензимидазол-2-ил]метил}-N-(фенилметил)-5,6,7,8-тетрагидро-8-хинолинамина;
(8R)-N-метил-N-{[1-метил-7-(4-метил-1-пиперазинил)-1H-бензимидазол-2-ил]метил}-5,6,7,8-тетрагидро-8-хинолинамина;
2-{{[1-метил-7-(4-метил-1-пиперазинил)-1H-бензимидазол-2-ил]метил}[(8S)-5,6,7,8-тетрагидро-8-хинолинил]амино}этанола;
3-{{[1-метил-7-(4-метил-1-пиперазинил)-1Н-бензимидазол-2-ил]метил}[(8S)-5,6,7,8-тетрагидро-8-хинолинил]амино}-1-пропанола;
N-метил-N-{[4-(4-метил-1-пиперазинил)-1Н-бензимидазол-2-ил]метил}-6,7-дигидро-5Н-циклопента[b]пиридин-7-амина;
N-метил-N-{[4-(4-метил-1-пиперазинил)-1H-бензимидазол-2-ил]метил}-6,7,8,9-тетрагидро-5Н-циклогепта[b)]пиридин-9-амина:
и их фармацевтически приемлемых солей или сложных эфиров.
40. Соединение, выбранное из группы, состоящей из:
N-метил-N-{[1-метил-7-(4-метил-1-пиперазинил)-1Н-бензимидазол-2-ил]метил}-5,6,7,8-тетрагидро-8-хинолинамина;
N-этил-N-{[1-метил-7-(4-метил-1-пиперазинил)-1H-бензимидазол-2-ил]метил}-5,6,7,8-тетрагидро-8-хинолинамина;
N-{[1-метил-7-(4-метил-1-пиперазинил)-1H-бензимидазол-2-ил]метил}-N-пропил-5,6,7,8-тетрагидро-8-хинолинамина;
N-(циклопропилметил)-N-{[1-метил-7-(4-метил-1-пиперазинил)-1Н-бензимидазол-2-ил]метил}-5,6,7,8-тетрагидро-8-хинолинамина;
(8S)-N-метил-N-{[1-метил-7-(1-пиперазинил)-1H-бензимидазол-2-ил]метил}-5,6,7,8-тетрагидро-8-хинолинамина;
(8S)-N-метил-N-{[1-метил-7-(4-метил-1-пиперазинил)-1Н-бензимидазол-2-ил]метил}-5,6,7,8-тетрагидро-8-хинолинамина;
(8S)-N-{[1-этил-7-(4-метил-1-пиперазинил)-1H-бензимидазол-2-ил]метил}-N-метил-5,6,7,8-тетрагидро-8-хинолинамина;
(8S)-N-{[1-этил-7-(4-метил-1-пиперазинил)-1Н-бензимидазол-2-ил]метил}-N-(фенилметил)-5,6,7,8-тетрагидро-8-хинолинамина:
(8S)-N-этил-N-{[1-этил-7-(4-метил-1-пиперазинил)-1H-бензимидазол-2-ил]метил}-5,6,7,8-тетрагидро-8-хинолинамина;
(8S)-N-этил-N-{[1-метил-7-(4-метил-1-пиперазинил)-1Н-бензимидазол-2-ил]метил}-5,6,7,8-тетрагидро-8-хинолинамина;
(8S)-N-{[1-метил-7-(4-метил-1-пиперазинил)-1H-бензимидазол-2-ил]метил}-N-пропил-5,6,7,8-тетрагидро-8-хинолинамина; и
(8S)-N-{[1-метил-7-(4-метил-1-пиперазинил)-1Н-бензимидазол-2-ил]метил}-N-(фенилметил)-5,6,7,8-тетрагидро-8-хинолинамина;
(8R)-N-метил-N-{[1-метил-7-(4-метил-1-пиперазинил)-1H-бензимидазол-2-ил]метил}-5,6,7,8-тетрагидро-8-хинолинамина;
2-{{[1-метил-7-(4-метил-1-пиперазинил)-1Н-бензимидазол-2-ил]метил}[(8S)-5,6,7,8-тетрагидро-8-хинолинил]амино}этанола;
3-{{[1-метил-7-(4-метил-1-пиперазинил)-1Н-бензимидазол-2-ил]метил}[(8S)-5,6,7,8-тетрагидро-8-хинолинил]амино}-1-пропанола;
и их фармацевтически приемлемых солей или сложных эфиров.
41. Фармацевтическая композиция для лечения или профилактики ВИЧ-инфекции, содержащая соединение по любому из пп.1-40 и фармацевтически приемлемый носитель.
42. Соединение по любому из пп.1-40 для применения в качестве активного терапевтического средства, модулирующего активность хемокиновых рецепторов СХCR4 и/или CCR5.
43. Соединение по любому из пп.1-40 для применения в лечении или профилактике заболеваний и состояний, вызванных несоответствующей активностью CXCR4.
44. Соединение по любому из пп.1-40 для применения в лечении или профилактике ВИЧ-инфекции.
45. Применение соединения по любому из пп.1-40 в изготовлении лекарственного средства для применения в лечении или профилактике состояния или заболевания, модулирующего хемокиновым рецептором.
46. Применение соединения по п.45, где хемокиновым рецептором является CXCR4.
47. Применение соединения по любому из пп.1-40 в изготовлении лекарственного средства для применения в лечении или профилактике ВИЧ-инфекции.
48. Способ лечения или профилактики ВИЧ-инфекции, включающий введение соединения по любому из пп.1-40.
49. Способ получения соединения формулы (I)

где t равен 1;
каждый R представляет собой Н;
n равен 0;
R2 выбран из группы, состоящей из Н, алкила, галогеналкила, циклоалкила, алкенила, алкинила, -RaAy, -RaOR5, где R2 не является амином или алкиламином, или не замещен амином или алкиламином;
R3 представляет собой Н, алкил, галогеналкил, циклоалкил, алкенил, алкинил, -RaAy или -RaOR5;
каждый R4 независимо представляет собой галоген, галогеналкил, алкил, алкенил, алкинил, циклоалкил, циклоалкенил, -Ay, -NHAy, -Het, -NHHet, -NR6R7, -RaNR6R7, -RaC(O)R10, -C(O)R10, -CO2R10, -RaCO2R10, -C(O)NR6R7, -C(O)Ay, -C(O)Het;
m равен 0, 1 или 2;
каждый R5 независимо представляет собой Н, алкил, алкенил, алкинил, циклоалкил или -Ay;
p равен 0 или 1;
Y представляет собой -NR10-, -C(O)NR10-, -NR10C(O)-, -C(O)-, -С(O)O-, -NR10C(O)N(R10)2-;
X представляет собой -N(R10)2, -RaN(R10)2, -AyN(R10)2, -RaAyN(R10)2, -AyRaN(R10)2, -RaAyRaN(R10)2, -Het, -RaHet, -HetN(R10)2, -RaHetN(R10)2, -HetRaN(R10)2, -RaHetRaN(R10)2, -HetRaAy или -HetRaHet, где, когда p равен 0, тогда Х не является -N(R10)2 или -RaN(R10)2;
каждый Ra независимо представляет собой алкилен, циклоалкилен, алкенилен, циклоалкенилен или алкинилен;
каждый R10 независимо представляет собой Н, алкил, циклоалкил, алкенил, алкинил, циклоалкенил, -Raциклоалкил, -RaOR5, -RaNR6R7 или -RaHet;
каждый из R6 и R7 независимо выбран из Н, алкила, алкенила, алкинила, циклоалкила, циклоалкенила, группы -Raциклоалкил, -RaOH, -RaOR5, -Het или -RaHet;
каждый Ay независимо представляет собой возможно замещенную фенильную группу; и
каждый Het независимо представляет собой возможно замещенную 4-, 5-или 6-членную гетероциклильную или гетероарильную группу, где гетероатомы выбраны из N и O;
включающий взаимодействие соединения формулы (II)

где n=0
с соединением формулы (IV)

где R1-R3, p и n является такими, как определено в отношении соединения формулы (I),
в условиях восстановительного аминирования с образованием соединения формулы (I).
50. Способ получения соединения формулы (I)

где t равен 1;
каждый R представляет собой Н;
n равен 0;
R2 выбран из группы, состоящей из Н, алкила, галогеналкила, циклоалкила, алкенила, алкинила, -RaAy, -RaOR5, где R2 не является амином или алкиламином, или не замещен амином или алкиламином;
R3 представляет собой Н, алкил, галогеналкил, циклоалкил, алкенил, алкинил, -RaAy, или -RaOR5;
каждый R4 независимо представляет собой галоген, галогеналкил, алкил, алкенил, алкинил, циклоалкил, циклоалкенил, -Ay, -NHAy, -Het, -NHHet, -NR6R7, -RaNR6R7, -RaC(O)R10, -C(O)R10, -CO2R10, -RaCO2R10, -C(O)NR6R7, -C(O)Ay, -C(O)Het;
m равен 0, 1 или 2;
каждый R5 независимо представляет собой Н, алкил, алкенил, алкинил, циклоалкил или -Ay;
p равен 0 или 1;
Y представляет собой -NR10-, -C(O)NR10-, -NR10C(O)-, -C(O)-, -С(O)O-, -NR10C(O)N(R10)2-;
X представляет собой -N(R10)2, -RaN(R10)2, -AyN(R10)2, -RaAyN(R10)2, -AyRaN(R10)2, -RaAyRaN(R10)2, -Het, -RaHet, -HetN(R10)2, -RaHetN(R10)2, -HetRaN(R10)2, -RaHetRaN(R10)2, -HetRaAy или HetRaHet, где, когда p равен 0, тогда X не является -N(R10)2 или -RaN(R10)2;
каждый Ra независимо представляет собой алкилен, циклоалкилен, алкенилен, циклоалкенилен или алкинилен;
каждый R10 независимо представляет собой Н, алкил, циклоалкил, алкенил, алкинил, циклоалкенил, -Raциклоалкил, -RaOR5, -RaNR6R7 или -RaHet;
каждый из R6 и R7 независимо выбран из Н, алкила, алкенила, алкинила, циклоалкила, циклоалкенила, группы -Raциклоалкила, -RaOH, -RaOR5, -Het или -RaHet;
каждый Ay независимо представляет собой возможно замещенную фенильную группу; и
каждый Het независимо представляет собой возможно замещенную 4-, 5-или 6-членную гетероциклильную или гетероарильную группу, где гетероатомы выбраны из N и O;
включающий стадию взаимодействия соединения формулы (III)

где n=0, R2 является таким, как определено в отношении соединения формулы (I)
с соединением формулы (V)

где R3, R4, p и m является такими, как определено в отношении соединения формулы (I),
в условиях восстановительного аминирования с образованием соединения формулы (I).
51. Способ получения соединения формулы (I)

где t равен 1;
каждый R представляет собой Н;
n равен 0;
R2 выбран из группы, состоящей из Н, алкила, циклоалкила, алкенила, алкинила, -RaAy, -RaOR5, где R2 не является амином или алкиламином, или не замещен амином или алкиламином;
R3 представляет собой Н, алкил, галогеналкил, циклоалкил, алкенил, алкинил, -RaAy или -RaOR5;
каждый R4 независимо представляет собой галоген, галогеналкил, алкил, алкенил, алкинил, циклоалкил, циклоалкенил, -Ay, -NHAy, -Het, -NHHet, -NR6R7, -RaNR6R7, -RaC(O)R10, -C(O)R10, -CO2R10, -RaCO2R10, -C(O)NR6R7, -C(O)Ay, -C(O)Het;
m равен 0, 1 или 2;
каждый R5 независимо представляет собой Н, алкил, алкенил, алкинил, циклоалкил или -Ay;
p равен 0 или 1;
Y представляет собой -NR10-, -C(O)NR10-, -NR10C(O)-, -C(O)-, -С(O)O-, -NR10C(O)N(R10)2-;
X представляет собой -N(R10)2, -RaN(R10)2, -AyN(R10)2, -RaAyN(R10)2, -AyRaN(R10)2, -RaAyRaN(R10)2, -Het, -RaHet, -HetN(R10)2, -RaHetN(R10)2, -HetRaN(R10)2, -RaHetRaN(R10)2, -HetRaAy или HetRaHet, где, когда p равен 0, тогда Х не является -N(R10)2 или -RaN(R10)2;
каждый Ra независимо представляет собой алкилен, циклоалкилен, алкенилен, циклоалкенилен или алкинилен;
каждый R10 независимо представляет собой Н, алкил, циклоалкил, алкенил, алкинил, циклоалкенил, -Raциклоалкил, -RaOR5, -RaNR6R7 или -RaHet;
каждый из R6 и R7 независимо выбран из Н, алкила, алкенила, алкинила, циклоалкила, циклоалкенила, группы -Raциклоалкил, -RaOH, -RaOR5, -Het или -RaHet;
каждый Ay независимо представляет собой возможно замещенную фенильную группу, и
каждый Het независимо представляет собой возможно замещенную 4-, 5- или 6-членную гетероциклильную или гетероарильную группу, где гетероатомы выбраны из N и O;
включающий стадию взаимодействия соединения формулы (III)

где n=0, R2 является таким, как определено в отношении соединения формулы (I)
с соединением формулы (VI)

где R3, R4, p и m являются такими, как определено в отношении соединения формулы (I) и LV представляет собой уходящую группу,
с образованием соединения формулы (I).
52. Способ получения соединения формулы (I)

где t равен 1;
каждый R представляет собой Н;
n равен 0;
R2 выбран из группы, состоящей из Н, алкила, циклоалкила, алкенила, алкинила, -RaAy, -RaOR5, где R2 не является амином или алкиламином, или не замещен амином или алкиламином;
R3 представляет собой Н, алкил, галогеналкил, циклоалкил, алкенил, алкинил, -RaAy или -RaOR5;
каждый R4 независимо представляет собой галоген, галогеналкил, алкил, алкенил, алкинил, циклоалкил, циклоалкенил, -Ay, -NHAy, -Het, -NHHet, -NR6R7, -RaNR6R7, -RaC(O)R10, -C(O)R10, -CO2R10, -RaCO2R10, -C(O)NR6R7, -C(O)Ay или -C(O)Het;
m равен 0, 1 или 2;
каждый R5 независимо представляет собой Н, алкил, алкенил, алкинил, циклоалкил или -Ay;
p равен 0 или 1;
Y представляет собой -NR10-, -C(O)NR10-, -NR10C(O)-, -C(O)-, -C(O)O-, -NR10C(O)N(R10)2-;
X представляет собой -N(R10)2, -RaN(R10)2, -AyN(R10)2, -RaAyN(R10)2, -AyRaN(R10)2, -RaAyRaN(R10)2, -Het, -RaHet, -HetN(R10)2, -RaHetN(R10)2, -HetRaN(R10)2, -RaHetRaN(R10)2, -HetRaAy или HetRaHet, где, когда p равен 0, тогда X не является -N(R10)2 или -RaN(R10)2;
каждый Ra независимо представляет собой алкилен, циклоалкилен, алкенилен, циклоалкенилен или алкинилен;
каждый R10 независимо представляет собой Н, алкил, циклоалкил, алкенил, алкинил, циклоалкенил, -Raциклоалкил, -RaOR5, -RaNR6R7 или -RaHet;
каждый из R6 и R7 независимо выбран из Н, алкила, алкенила, алкинила, циклоалкила, циклоалкенила, группы -Raциклоалкил, -RaOH, -RaOR5, -Het или -RaHet;
каждый Ay независимо представляет собой возможно замещенную фенильную группу; и
каждый Het независимо представляет собой возможно замещенную 4-, 5- или 6-членную гетероциклильную или гетероарильную группу, где гетероатомы выбраны из N и O;
включающий стадию обработки соединения формулы (XI)

где n=0, R2-R4, m и p является таким, как определено в отношении соединения формулы (I) кислотой с образованием соединения формулы (I).
53. Способ получения соединения формулы (I-В)

где n равен 0;
R2 выбран из группы, состоящей из Н, алкила, циклоалкила, алкенила, алкинила, -RaAy, -RaOR5, где R2 не является амином или алкиламином, или не замещен амином или алкиламином;
R3 представляет собой Н, алкил, галогеналкил, циклоалкил, алкенил, алкинил, -RaAy или -RaOR5;
каждый R4 независимо представляет собой галоген, галогеналкил, алкил, алкенил, алкинил, циклоалкил, циклоалкенил, Ay, -NHAy, -Het, -NHHet, -NR6R7, -RaNR6R7, -RaC(O)R10, -C(O)R10, -CO2R10, -RaCO2R10, -C(O)NR6R7, -S(O)Ay или -C(O)Het;
m равен 0, 1 или 2;
каждый R5 независимо представляет собой Н, алкил, алкенил, алкинил, циклоалкил или -Ay;
p равен 0 или 1;
Y представляет собой -NR10-, -C(O)NR10-, -NR10C(O)-, -C(O)-, -C(O)O-, -NR10C(O)N(R10)2-;
X представляет собой -N(R10)2, -RaN(R10)2, -AyN(R10)2, -RaAyN(R10)2, -AyRaN(R10)2, -RaAyRaN(R10)2, -Het, -RaHet, -HetN(R10)2, -RaHetN(R10)2, -HetRaN(R10)2, -RaHetRaN(R10)2, -HetRaAy или HetRaHet, где, когда p равен 0, тогда X не является -N(R10)2 или -RaN(R10)2;
каждый Ra независимо представляет собой алкилен, циклоалкилен, алкенилен, циклоалкенилен или алкинилен;
каждый R10 независимо представляет собой Н, алкил, циклоалкил, алкенил, алкинил, циклоалкенил, -Raциклоалкил, -RaOR5, -RaNR6R7 или -RaHet;
каждый из R6 и R7 независимо выбран из Н, алкила, алкенила, алкинила, циклоалкила, циклоалкенила, группы -Raциклоалкил, -RaOH, -RaOR5, -Het или -RaHet;
каждый Ay независимо представляет собой возможно замещенную фенильную группу; и
каждый Het независимо представляет собой возможно замещенную 4-, 5- или 6-членную гетероциклильную или гетероарильную группу, где гетероатомы выбраны из N и O;
включающий стадию взаимодействия соединения формулы (IX)

где n=0, R2 является таким, как опрелено в отношении соединения формулы (I)
с соединением формулы (Х-А)

где R2 и m являются такими, как определено в отношении соединения формулы (I) и W представляет собой алкил или другую подходящую защитную группу, с образованием соединения формулы (I-B).
54. Способ получения соединения формулы (I-В)

где n равен 0;
R2 выбран из группы, состоящей из Н, алкила, галогеналкила, циклоалкила, алкенила, алкинила, -RaAy, -RaOR5 где R2 не является амином или алкиламином, или не замещен амином или алкиламином;
R3 представляет собой Н, алкил, галогеналкил, циклоалкил, алкенил, алкинил, -RaAy, -RaOR5;
каждый R4 независимо представляет собой галоген, галогеналкил, алкил, алкенил, алкинил, циклоалкил, циклоалкенил, -Ay, -NHAy, -Het, -NHHet, -NR6R7, -RaNR6R7, -RaC(O)R10, -C(O)R10, -CO2R10, -RaCO2R10, -C(O)NR6R7, -C(O)Ay или -C(O)Het;
m равен 0, 1 или 2;
каждый R5 независимо представляет собой Н, алкил, алкенил, алкинил, циклоалкил или -Ay;
p равен 0 или 1;
Y представляет собой -NR10-, -C(O)NR10-, -NR10C(O)-, -C(O)-, -C(O)O-, -NR10C(O)N(R10)2-;
X представляет собой -N(R10)2, -RaN(R10)2, -AyN(R10)2, -RaAyN(R10)2, -AyRaN(R10)2, -RaAyRaN(R10)2, -Het, -RaHet, -HetN(R10)2, -RaHetN(R10)2, -HetRaN(R10)2, -RaHetRaN(R10)2, -HetRaAy или HetRaHet, где, когда p равен 0, тогда X не является -N(R10)2 или -RaN(R10)2;
каждый Ra независимо представляет собой алкилен, циклоалкилен, алкенилен, циклоалкенилен или алкинилен;
каждый R10 независимо представляет собой Н, алкил, циклоалкил, алкенил, алкинил, циклоалкенил, -Raциклоалкил, -RaOR5, -RaNR6R7 или -RaHet;
каждый из R6 и R7 независимо выбран из Н, алкила, алкенила, алкинила, циклоалкила, циклоалкенила, группы -Raциклоалкил, -RaOH, -RaOR5, -Het или -RaHet;
каждый Ay независимо представляет собой возможно замещенную фенильную группу; и
каждый Het независимо представляет собой возможно замещенную 4-, 5- или 6-членную гетероциклильную или гетероарильную группу, где гетероатомы выбраны из N и O;
включающий стадию взаимодействия соединения формулы (XVI)

где R3, R4 и m являются такими, как определено в отношении соединения формулы (I) и W представляет собой алкил или другую подходящую защитную группу,
с соединением формулы (II)

где n равен 0;
в условиях восстановительного аминирования с образованием соединения формулы (I-В).
55. Способ получения соединения формулы (I-В)

где n равен 0;
R2 выбран из группы, состоящей из Н, алкила, циклоалкила, алкенила, алкинила, -RaAy, -RaOR5, где R2 не является амином или алкиламином, или не замещен амином или алкиламином;
R3 представляет собой Н, алкил, галогеналкил, циклоалкил, -RaAy или -RaOR5;
каждый R4 независимо представляет собой галоген, галогеналкил, алкил, алкенил, алкинил, циклоалкил, циклоалкенил, -Ay, -NHAy, -Het, -NHHet, -NR6R7, -RaNR6R7, -RaC(O)R10, -C(O)R10, -CO2R10, -RaCO2R10, -C(O)NR6R7, -C(O)Ay или -C(O)Het;
m равен 0, 1 или 2;
каждый R5 независимо представляет собой Н, алкил, алкенил, алкинил, циклоалкил или -Ay;
p равен 0 или 1;
Y представляет собой -NR10-, -C(O)NR10-, -NR10C(O)-, -C(O)-, -C(O)O-, -NR10C(O)N(R10)2-;
X представляет собой -N(R10)2, -RaN(R10)2, -AyN(R10)2, -RaAyN(R10)2, -AyRaN(R10)2, -RaAyRaN(R10)2, -Het, -RaHet, -HetN(R10)2, -RaHetN(R10)2, -HetRaN(R10)2, -RaHetRaN(R10)2, -HetRaAy или HetRaHet, где, когда p равен 0, тогда Х не является -N(R10)2 или -RaN(R10)2;
каждый Ra независимо представляет собой алкилен, циклоалкилен, алкенилен, циклоалкенилен или алкинилен;
каждый R10 независимо представляет собой Н, алкил, циклоалкил, алкенил, алкинил, циклоалкенил, -Raциклоалкил, -RaOR5, -RaNR6R7 или -RaHet;
каждый из R6 и R7 независимо выбран из Н, алкила, алкенила, алкинила, циклоалкила, циклоалкенила, группы -Raциклоалкил, -RaOH, -RaOR5, -Het или -RaHet;
каждый Ay независимо представляет собой возможно замещенную фенильную группу; и
каждый Het независимо представляет собой возможно замещенную 4-, 5- или 6-членную гетероциклильную или гетероарильную группу, где гетероатомы выбраны из N и O;
включающий стадию взаимодействия соединения формулы (XX)

где R3, R4 и m являются такими, как определено в отношении соединения формулы (I) и W представляет собой алкил или другую подходящую защитную группу,
с соединением формулы (III)

где n равен 0 и R2 является такими, как определено в отношении соединения формулы (I),
в условиях восстановительного аминирования с образованием соединения формулы (I-В).
|
|