|
|
(21), (22) Заявка: 2006141096/04, 22.04.2005
(24) Дата начала отсчета срока действия патента:
22.04.2005
(30) Конвенционный приоритет:
23.04.2004 US 60/564,842 23.12.2004 US 60/639,178 21.04.2005 US 11/111,144
(46) Опубликовано: 27.03.2009
(56) Список документов, цитированных в отчете о поиске:
DATABASE CROSSFIRE BEILSTEIN, BEILSTEIN INSNINUN ZUR FOERDERUNG DER CHEMISCHEN WISSENSCHAFT, XP002362294, accession no. BRN 667921. DATABASE CROSSFIRE BEILSTEIN, BEILSTEIN INSNINUN ZUR FOERDERUNG DER CHEMISCHEN WISSENSCHAFT, XP002362295, accession no. BRN 413351. DATABASE CROSSFIRE BEILSTEIN, BEILSTEIN INSNINUN ZUR FOERDERUNG DER CHEMISCHEN
(85) Дата перевода заявки PCT на национальную фазу:
23.11.2006
(86) Заявка PCT:
US 2005/014120 (22.04.2005)
(87) Публикация PCT:
WO 2005/117867 (15.12.2005)
Адрес для переписки:
119034, Москва, Пречистенский пер., 14, стр.1, 4 этаж, “Гоулингз Интернэшнл Инк.”, Ю.В.Дементьевой
|
(72) Автор(ы):
БОРЗИЛЛЕРИ Роберт М. (US), КОРНЕЛИУС Линдон А.М. (US), ШМИДТ Роберт Дж. (US), ШРЕДЕР Гретхен М. (US), КИМ Киюнг С. (US)
(73) Патентообладатель(и):
БРИСТОЛ-МАЕРС СКВИББ КОМПАНИ (US)
|
(54) МОНОЦИКЛИЧЕСКИЕ ГЕТЕРОЦИКЛЫ, ИНГИБИРУЮЩИЕ КИНАЗУ
(57) Реферат:
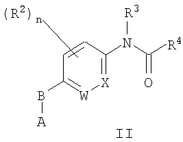
Изобретение описывает соединения формулы II
где каждый R2 независимо представляет собой Н, галоген, циано, NO2, OR5, NR6R7, алкил, замещенный алкил, циклоалкил, замещенный циклоалкил, арил, замещенный арил, гетероарил, замещенный гетероарил, гетероцикло, замещенный гетероцикло, арилалкил, замещенный арилалкил, гетероциклоалкил или замещенный гетероциклоалкил; В представляет собой О, S, SO или SO2; W и Х каждый независимо представляет собой С или N; n имеет значение от 0 до 4, если W и Х оба представляют собой С, от 0 до 3, если один из Х и W представляет собой N, и от 0 до 2, если Х и W оба представляют собой N; R3, R5, R6, R7 независимо выбраны из Н, алкила, замещенного алкила, алкенила, алкинила, замещенного алкинила, циклоалкила, замещенного циклоалкила, арила, замещенного арила, гетероарила, замещенного гетероарила, гетероцикло, замещенный гетероцикло; R4 представляет собой возможно замещенный 5-6-членный гетероарил, содержащий атом азота, при условии, что (а) если R4 представляет собой пиридил, R4 не замещен обоими группами гидрокси и метокси; и (b) если R4 представляет собой пиримидинил, он не замещен =О; А выбран из следующих соединений формул:

где D представляет собой S или О; m имеет значение от 0 до 6; R16, R17, R18, R19, R20, R21, R22, R23, R24, R25, R26 и R27 независимо выбраны из Н, галогена, NR30R31, OR32, CO2R33, SO2R36, алкила, замещенного алкила, циклоалкила, замещенного циклоалкила, алкенила, замещенного алкенила, алкинила, замещенного алкинила, -CN, арила, замещенного арила, гетероарила, замещенного гетероарила, гетероциклоалкила или замещенного гетероциклоалкила; R28 и R29 независимо выбраны из Н, алкила, замещенного алкила, циклоалкила, замещенного циклоалкила, арила, замещенного арила или, взятые вместе, они образуют карбоциклическое или гетероциклическое кольцо, состоящее из от 3 до 8 атомов; и R30, R31, R32, R33 и R36 независимо выбраны из Н, алкила, замещенного алкила, алкенила, замещенного алкенила, алкинила, замещенного алкинила, циклоалкила, замещенного циклоалкила, алкоксикарбонила, арила, замещенного арила, гетероарила, замещенного гетероарила, гетероцикло, замещенного гетероцикло, гетероциклоалкила или замещенного гетероциклоалкила. Также описана фармацевтическая композиция для лечения рака, содержащая соединение формулы II. Технический результат: получение новых соединений и фармацевтической композиции на их основе, полезной в лечении рака. 2 н. и 16 з.п. ф-лы.
(56) (продолжение):
CLASS=”b560m”WISSENSCHAFT, XP002362296, accession no. BRN 450834. DATABASE CROSSFIRE BEILSTEIN, BEILSTEIN INSNINUN ZUR FOERDERUNG DER CHEMISCHEN WISSENSCHAFT, XP002362297, accession no. BRN 448780. EP 1243582 A, 29.09.2002. EP 1411046 A, 21.04.2004. RU 2216536 C2, 10.09.2002.
Текст описания приведен в факсимильном виде.                                                                                                                                                                                                                                      
Формула изобретения
1. Соединение, имеющее формулу II:

и его энантиомеры, диастереомеры, гидраты, сольваты или фармацевтически приемлемые соли, где
каждый R2 независимо представляет собой Н, галоген, циано, NO2, OR5, NR6R7, алкил, замещенный алкил, циклоалкил, замещенный циклоалкил, арил, замещенный арил, гетероарил, замещенный гетероарил, гетероцикло, замещенный гетероцикло, арилалкил, замещенный арилалкил, гетероциклоалкил или замещенный гетероциклоалкил;
В представляет собой О, S, SO или SO2;
W и Х каждый независимо представляет собой С или N;
n имеет значение от 0 до 4, если W и Х оба представляют собой С, от 0 до 3, если один из Х и W представляет собой N, и от 0 до 2, если Х и W оба представляют собой N;
R3, R5, R6, R7 независимо выбраны из Н, алкила, замещенного алкила, алкенила, алкинила, замещенного алкинила, циклоалкила, замещенного циклоалкила, арила, замещенного арила, гетероарила, замещенного гетероарила, гетероцикло, замещенный гетероцикло;
R4 представляет собой возможно замещенный 5-6-членный гетероарил, содержащий атом азота, при условии, что
(a) если R4 представляет собой пиридил, R4 не замещен обоими группами гидрокси и метокси; и
(b) если R4 представляет собой пиримидинил, он не замещен =O;
А выбран из следующих соединений формул:

где D представляет собой S или О;
m имеет значение от 0 до 6;
R16, R17, R18, R19, R20, R21, R22, R23, R24, R25, R26 и R27 независимо выбраны из Н, галогена, NR30R31, OR32, CO2R33, SO2R36, алкила, замещенного алкила, циклоалкила, замещенного циклоалкила, алкенила, замещенного алкенила, алкинила, замещенного алкинила, -CN, арила, замещенного арила, гетероарила, замещенного гетероарила, гетероциклоалкила или замещенного гетероциклоалкила;
R28 и R29 независимо выбраны из Н, алкила, замещенного алкила, циклоалкила, замещенного циклоалкила, арила, замещенного арила или, взятые вместе, они образуют карбоциклическое или гетероциклическое кольцо, состоящее из от 3 до 8 атомов; и
R30, R31, R32, R33 и R36 независимо выбраны из Н, алкила, замещенного алкила, алкенила, замещенного алкенила, алкинила, замещенного алкинила, циклоалкила, замещенного циклоалкила, алкоксикарбонила, арила, замещенного арила, гетероарила, замещенного гетероарила, гетероцикло, замещенного гетероцикло, гетероциклоалкила или замещенного гетероциклоалкила.
2. Соединение по п.1, где R2 представляет собой Н, С1-С4алкил, галоген или галогеналкил.
3. Соединение по п.1, где R4 представляет собой необязательно замещенный пиридинон, пиридил, пиридил-N-оксид или пиразолил.
4. Соединение по п.5, где R4 замещен кислородом, фенилом, С1-С4алкилом или галогеном.
5. Соединение по п.1, где В представляет собой О.
6. Соединение по п.1, где А является
или 
7. Соединение по п.6, в котором R16, R17, R18, R19, R20, R21 и R22 независимо выбраны из Н, алкила, алкенила, алкинила, галогена, циклоалкила, гетероциклоалкила, или NR41R42, где R41 и R42 независимо выбраны из Н, низшего алкила, замещенного низшего алкила, гидроксиалкила, аминоалкила, циклоалкила, замещенного циклоалкила, гетероциклоалкила, замещенного гетероциклоалкила, циклоалкенила, замещенного циклоалкенила, арила, гетероарила, или замещенного гетероарила.
8. Соединение по п.7, где А представляет собой пиридин, замещенный -NR41R42, галоген или C1-C4 алкил.
9. Соединение по п.8, где C1-C4 алкил является замещенным гидроксилом, гидроксиалкиламино, алкиламино, аминоалкиламино или гетероарилалкилом.
10. Соединение по п.7, где R41 и R42 каждый независимо представляет собой, Н, метил, этил, пропил, бутил, фенил, или бензил.
11. Соединение по п.6, где пиридин замещен фенильной группой, необязательно замещен CONH2, метилом, аминоэтилом, гидроксиэтилом, -CONHCH2CH2NHCH3, или CH2CONH2; пиридином или пиперазином.
12. Соединение по п.7, где А представляет собой пиримидин, замещенный -NR41R42.
13. Соединение по п.12, где R41 и R42 представляют собой Н или метил.
14. Соединение по п.1 формулы IV:

где R2 представляет собой галоген или Н; R3 представляет собой Н; R4 является необязательно замещенным пиразолом или необязательно замещенным пиридилом, необязательно замещенным пиридиноном или пиридин-N-оксидом, и А является необязательно замещенным пиридилом.
15. Соединение по п.14, где R4 является необязательно замещенным пиридиноном или пиридин-N-оксидом.
16. Соединение по п.1, имеющее значение IC50 менее чем около 1,0 мкМ.
17. Фармацевтическая композиция для лечения рака, содержащая терапевтически эффективное количество соединения по п.1 и фармацевтически приемлемый носитель.
18. Соединение по п.1 формулы IV:

где А выбран из следующих соединений формул:

R16, R17, R18, R19, R20, R21, R22, R23, R24, R25, R26 и R27 независимо выбраны из Н, галогена, NR30R31, OR32, CO2R33, SO2R36, алкила, замещенного алкила, циклоалкила, замещенного циклоалкила, алкенила, замещенного алкенила, алкинила, замещенного алкинила, -CN, арила, замещенного арила, гетероарила, замещенного гетероарила, гетероциклоалкила или замещенного гетероциклоалкила;
R28 и R29 независимо выбраны из Н, алкила, замещенного алкила, циклоалкила, замещенного циклоалкила, арила, замещенного арила или, взятые вместе, они образуют карбоциклическое или гетероциклическое кольцо, состоящее из от 3 до 8 атомов;
R30, R31, R32, R33 и R36 независимо выбраны из Н, алкила, замещенного алкила, алкенила, замещенного алкенила, алкинила, замещенного алкинила, циклоалкила, замещенного циклоалкила, алкоксикарбонила, арила, замещенного арила, гетероарила, замещенного гетероарила, гетероцикло, замещенного гетероцикло, гетероциклоалкила или замещенного гетероциклоалкила;
n имеет значение от 0 до 4;
m имеет значение от 0 до 6;
D представляет собой S или О;
R2 представляет собой галоген или Н;
R3 представляет собой Н; и
R4 является необязательно замещенным пиразолом, необязательно замещенным пиридилом, необязательно замещенным пиридиноном или необязательно замещенным пиридин-N-оксидом.
|
|