|
(21), (22) Заявка: 2005121125/04, 27.11.2003
(24) Дата начала отсчета срока действия патента:
27.11.2003
(30) Конвенционный приоритет:
03.12.2002 US 60/430,506
(43) Дата публикации заявки: 20.02.2006
(46) Опубликовано: 27.03.2009
(56) Список документов, цитированных в отчете о поиске:
WO 02/059088 A1, 01.08.2002. WO 02/085853 A2, 31.10.2002. WO 98/08817 A1, 05.03.1998. RU 2125566 C1, 27.01.1999.
(85) Дата перевода заявки PCT на национальную фазу:
04.07.2005
(86) Заявка PCT:
EP 03/013372 (27.11.2003)
(87) Публикация PCT:
WO 2004/050085 (17.06.2004)
Адрес для переписки:
101000, Москва, М.Златоустинский пер., 10, кв.15, “ЕВРОМАРКПАТ”, пат.пов. И.А.Веселицкой, рег. № 11
|
(72) Автор(ы):
ДЖАО Чухай (US)
(73) Патентообладатель(и):
Ф.ХОФФМАНН-ЛЯ РОШ АГ (CH)
|
(54) АМИНОАЛКОКСИИНДОЛЫ, КАК ЛИГАНДЫ РЕЦЕПТОРА 5-НТ6, ДЛЯ ЛЕЧЕНИЯ ЗАБОЛЕВАНИЙ ЦНС
(57) Реферат:
Изобретение относится к новым соединениям формулы I

или их фармацевтически приемлемым солям,
где m равно 3;
n равно от 0 до 2;
все R1 независимо означают Н;
R2 означает арил, необязательно замещенный 1-2 заместителями, выбранными из группы, включающей галоген, и С1-С12алкокси;
R3 означает Н, С1-С12алкил;
р равно 2 или 3;
R5, R6, R7 и R8 независимо означают Н, С1-С12алкил, или один из R5 и R6 совместно с одним из R7 и R8 и расположенными между ними атомами могут образовать 4-7-членное гетероциклическое кольцо, или R7 и R8 совместно с атомом азота, к которому они присоединены, могут образовать 5-7-членное гетероциклическое кольцо; или один из R5 и R6 совместно с R3 и расположенными между ними атомами могут образовать 5-7-членное гетероциклическое кольцо. Соединения I обладают селективной антагонистической активностью в отношении 5-НТ6 рецептора, что позволяет использовать их в фармацевтической композиции для лечения цнс и желудочно-кишечного тракта. 2 н. и 14 з.п. ф-лы, 2 табл.
Текст описания приведен в факсимильном виде.                                                                      
Формула изобретения
1. Соединение формулы I:

или его фармацевтически приемлемая соль,
в которой
m равно 3;
n равно от 0 до 2;
все R1 независимо обозначают водород;
R2 обозначает арил, необязательно замещенный 1-2 заместителями, выбранными из группы, состоящей из галогена и С1-С12алкокси;
R3 обозначает водород или С1-С12алкил;
р равно 2 или 3;
R5, R6, R7 и R8 независимо обозначают водород или С1-С12алкил, или один из R5 и R6 совместно с одним из R7 и R8 и расположенными между ними атомами могут образовать 4-7-членное гетероциклическое кольцо, или R7 и R8 совместно с атомом азота, к которому они присоединены, могут образовать 5-7-членное гетероциклическое кольцо; или один из R5 и R6 совместно с R3 и расположенными между ними атомами могут образовать 5-7-членное гетероциклическое кольцо.
2. Соединение по п.1, в котором R2 обозначает фенил, необязательно замещенный 1-2 заместителями, выбранными из группы, состоящей из галогена и С1-С12алкокси; R5 и R6 совместно с одним из R7 и R8 и расположенными между ними атомами азота могут образовать азетидин-3-ил, пиррролидин-2-ил или пиперидин-4-ил; или R7 и R8 совместно с атомом азота, к которому они присоединены, могут образовать пирролидин-1-ил; или один из R7 и R8 совместно с R3 и расположенными между ними атомами могут образовать 6-членное гетероциклическое кольцо.
3. Соединение по п.1, в котором R2 обозначает 2-галогенфенил, 3-галогенфенил, 4-галогенфенил, 2,3-дигалогенфенил, 3,4-дигалогенфенил, 2,5-дигалогенфенил, 2-С1-С12алкоксифенил или 3-С1-С12алкоксифенил.
4. Соединение по п.3, в котором R2 обозначает 4-хлорфенил, 2,3-дихлорфенил, 2-хлорфенил, 2-фторфенил, 3-фторфенил или 2-метоксифенил.
5. Соединение по п.1, в котором указанное соединение обладает формулой

в которой m, n, р, R1, R2, R3, R5, R6, R7 и R8 являются такими, как определено в п.1.
6. Соединение по п.5, в котором указанное соединение обладает формулой

в которой
m, р, R1, R3, R5, R6, R7 и R8 являются такими, как определено в п.1;
q равно от 0 до 2; и
все R9 независимо обозначают галоген или С1-С12алкокси.
7. Соединение по п.6, в котором указанное соединение обладает формулой

в которой
m, р, R1, R3, R5, R6, R7 и R8 являются такими, как определено в п.1;
q равно от 0 до 2; и
все R9 независимо обозначают галоген или С1-С12алкокси.
8. Соединение по п.6, в котором указанное соединение обладает формулой

в которой
m, p, R1, R3, R5, R6, R7 и R8 являются такими, как определено в п.1;
q равно от 0 до 2; и
все R9 независимо обозначают галоген или С1-С12алкокси.
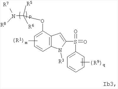
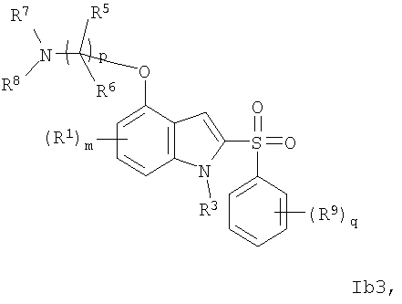
9. Соединение по п.1, в котором указанное соединение обладает формулой

в которой m, n, p, R1, R2, R3, R5, R6, R7 и R8 являются такими, как определено в п.1.
10. Соединение по п.1, в котором указанное соединение обладает формулой

в которой
m, p, R1, R3, R5, R6, R7 и R8 являются такими, как определено в п.1;
q равно от 0 до 2; и
все R9 независимо обозначают галоген или С1-С12алкокси.
11. Соединение по п.10, в котором указанное соединение обладает формулой

в которой
m, р, R1, R3, R5, R6, R7 и R8 являются такими, как определено в п.1;
q равно от 0 до 2; и
все R9 независимо обозначают галоген или С1-С12алкокси.
12. Соединение по п.1, причем указанное соединение выбрано из группы, включающей:
3-фенилсульфанил-7-(2-пирролидин-1-илэтокси)-1Н-индол;
3-бензолсульфонил-7-(2-пирролидин-1-илэтокси)-1Н-индол;
3-(3-хлорбензолсульфонил)-7-(2-пирролидин-1-илэтокси)-1Н-индол;
3-(4-хлорбензолсульфонил)-7-(2-пирролидин-1-илэтокси)-1Н-индол;
3-(2,3-дихлорбензолсульфонил)-7-(2-пирролидин-1-илэтокси)-1Н-индол;
3-(2-хлорбензолсульфонил)-7-(2-пирролидин-1-илэтокси)-1Н-индол;
3-(3,4-дихлорбензолсульфонил)-7-(2-пирролидин-1-илэтокси)-1Н-индол;
3-(2-фторбензолсульфонил)-7-(2-пирролидин-1-илэтокси)-1Н-индол;
3-(3-фторбензолсульфонил)-7-(2-пирролидин-1-илэтокси)-1Н-индол;
3-(3-метоксибензолсульфонил)-7-(2-пирролидин-1-илэтокси)-1Н-индол;
3-(2-метоксибензолсульфонил)-7-(2-пирролидин-1-илэтокси)-1Н-индол;
[2-(3-бензолсульфонил-1Н-индол-7-илокси)этил]диметиламин;
{2-[3-(2-метоксибензолсульфонил)-1Н-индол-7-илокси]этил}диметиламин;
{2-[3-(2-фторбензолсульфонил)-1Н-индол-7-илокси]этил}диметиламин;
{2-[3-(2-фторбензолсульфонил)-1Н-индол-7-илокси]этил} метиламин;
[2-(3-бензолсульфонил-1Н-индол-7-илокси)этил]метиламин;
2-(3-бензолсульфонил-1-метил-1Н-индол-7-илокси)этил]метиламин;
(S)-3-(2-фторбензолсульфонил)-7-(пирролидин-2-илметокси)-1Н-индол;
3-бензолсульфонил-7-(пиперидин-4-илокси)-1Н-индол;
[2-(2-бензолсульфонил-1Н-индол-4-илокси)этил]метиламин;
[2-(2-бензолсульфонил-1Н-индол-7-илокси)этил]метиламин;
3-(2,5-дихлорбензолсульфонил)-7-(2-пирролидин-1-илэтокси)-1Н-индол;
2-бензолсульфонил-4-(2-пирролидин-1-илэтокси)-1Н-индол;
4-(азетидин-3-илметокси)-2-бензолсульфонил-1Н-индол;
2-[3-(2-фторбензолсульфонил)-1Н-индол-7-илокси]этиламин и 1-(2-фторбензолсульфонил)-3,4-дигидро-5-окса-2а-азааценафтилен-3-иламин.
13. Фармацевтическая композиция, обладающая селективной антагонистической активностью в отношении 5-НТ6 рецептора, включающая эффективное количество соединения по п.1 в смеси с фармацевтически приемлемым носителем.
14. Фармацевтическая композиция по п.13, предназначенная для лечения или предупреждения патологического состояния центральной нервной системы.
15. Фармацевтическая композиция по п.14, где патологическое состояние выбрано из группы, включающей психозы, шизофрению, маниакальные депрессии, невралгические нарушения, нарушения памяти, синдром нарушения внимания, болезнь Паркинсона, боковой амиотрофический склероз, болезнь Альцгеймера и болезнь Гентингтона.
16. Фармацевтическая композиция по п.13, предназначенная для лечения или предупреждения заболевания желудочно-кишечного тракта.
|