Патент на изобретение №2350600
|
||||||||||||||||||||||||||||||||||||||||||||||||||||||||||||||||||||||
(54) ПРОТИВОВИРУСНОЕ ТЕРАПЕВТИЧЕСКОЕ СРЕДСТВО
(57) Реферат:
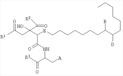
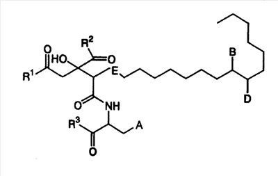
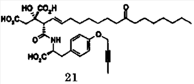
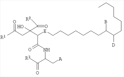
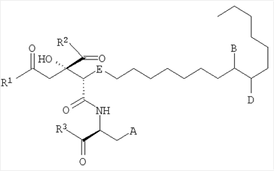
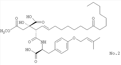
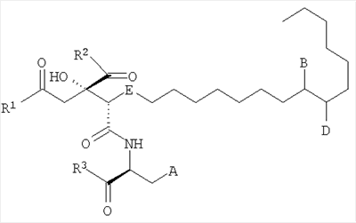
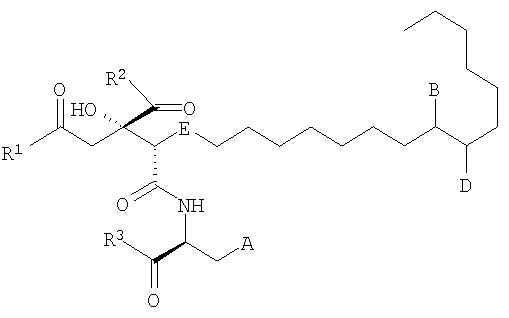
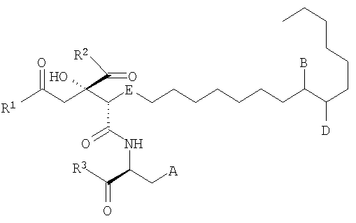
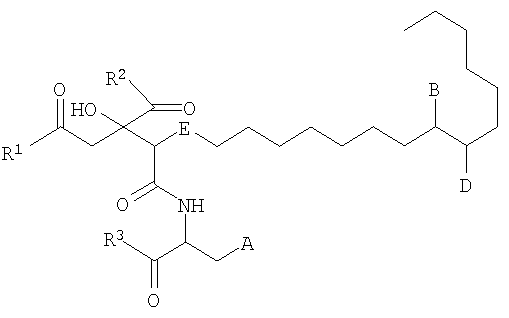
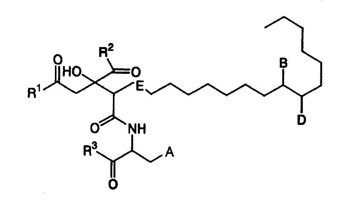
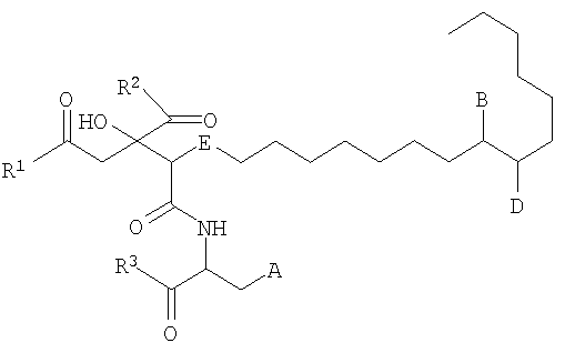
Изобретение относится к лекарственному средству против вируса гепатита С (ВГС), содержащее соединение, представленное следующей общей формулой (I) или его фармацевтически приемлемую соль, а также к соединению общей формулы (I) и промежуточному соединению. В общей формуле (I) А представляет собой фенильную группу, замещенную -ОХ, или 3-индолильную группу; X представляет собой атом водорода, линейную или разветвленную алкильную группу, содержащую 1-8 атомов углерода, линейную или разветвленную алкенильную группу, содержащую 2-8 атомов углерода, или линейную или разветвленную алкинильную группу, содержащую 2-8 атомов углерода; В представляет собой атом водорода, гидроксильную группу, оксогруппу, =N-OH или =N-OR6; R6 представляет собой линейную или разветвленную алкильную группу, содержащую 1-8 атомов углерода (которая может быть замещена аминогруппой, которая может быть моно- или дизамещена линейной или разветвленной алкильной группой, содержащей 1-4 атома углерода); D представляет собой атом водорода или гидроксильную группу; связь Е представляет собой простую связь или двойную связь; R1, R2 и R3 могут быть одинаковыми или различными, и каждый представляет собой гидроксильную группу, аминогруппу (которая может быть моно- или дизамещена линейной или разветвленной алкильной группой, содержащей 1-4 атома углерода) или -OZ; и Z представляет собой линейную или разветвленную алкильную группу, содержащую 1-4 атома углерода. 3 н. и 15 з.п. ф-лы.
Область техники Настоящее изобретение относится к фармацевтической композиции для предотвращения и лечения заболеваний печени, вызванных вирусными инфекциями и, конкретно, ВГС-инфекцией. Уровень техники Во всем мире от 100 до 200 миллионов человек инфицированы вирусом гепатита C (ВГС) (HCV), и, по некоторым оценкам, более 2 миллионов инфицированных живут в Японии. Приблизительно у 50% таких больных развивается хронический гепатит, приблизительно у 20% из них развиваются цирроз и рак печени через 30 или более лет после инфицирования. Полагают, что примерно 90% случаев рака печени вызвано гепатитом C. Каждый год в Японии более 20000 больных умирает от рака печени, сопутствующего ВГС-инфекции. ВГС был открыт в 1989 г. как первичный вирус-возбудитель посттрансфузионного гепатита, не относящегося ни к А-, ни к В-типу. ВГС представляет собой имеющий оболочку РНК-содержащий вирус, и его геном составлен из одноцепочечной (+)РНК. Он классифицируется как гепацивирус гепатита, относящийся к семейству Flavivirus. Так как иммунный механизм не действует в случае ВГС по причинам, которые пока не ясны, имеется много примеров, когда устойчивая инфекция развивается, даже если вирусом инфицированы взрослые, обладающие развитым иммунным механизмом. Затем инфекция развивается в хронический гепатит, цирроз печени и рак печени, и известно, что большое число больных, у которых наблюдается рецидив рака печени даже после хирургического вмешательства из-за воспаления, которое имеет место на не пораженных раком участках. Следовательно, существует потребность в создании эффективного способа лечения гепатита С, и, помимо симптоматических способов, которые подавляют воспаление с помощью противовоспалительных средств, особенно сильна потребность населения в разработке лекарства, которое способно ослабить или уничтожить ВГС в пораженном участке печени. В настоящее время лечение интерфероном представляет собой единственный известный способ, который эффективен для уничтожения ВГС. Однако интерферон эффективен только в отношении примерно одной трети больных. Эффективность интерферона в отношении конкретно ВГС генотипа lb крайне низка. Таким образом, крайне желательно разработать лекарственное средство против ВГС, которое можно использовать вместо интерферона или в сочетании с интерфероном. В последнее время, хотя рибавирин (1- С тех пор как ген ВГС был клонирован, несмотря на то, что методы анализа в молекулярной биологии быстро развиваются, механизмы и функции вирусных генов и функции различных вирусных белков, механизмы репликации вирусов в клетках-хозяевах, хронического инфицирования, патогенности и т.п. до сих пор полностью не изучены. В настоящее время еще не созданы надежные тест-системы для определения ВГС-инфицирования, в которых используются культуры клеток. Таким образом, до сих пор необходимо использовать заместительные методы тестирования вируса, в которых для оценки лекарственных средств против ВГС применяют другие родственные вирусы. Однако недавно стало возможно наблюдать репликацию ВГС in vitro с помощью неструктурного домена ВГС. В результате теперь лекарственные средства против ВГС можно легко оценивать посредством репликон-теста (непатентный Документ 1). Полагают, что механизм репликации РНК ВГС в этой системе такой же, как и в случае репликации генома РНК ВГС полной длины, который инфицирует гепатоциты. Таким образом, считается, что указанная система является системой анализа на основе клеток, применимой для идентификации соединений, которые ингибируют репликацию ВГС. Соединения, описанные в настоящей заявке, представляют собой соединения, которые ингибируют репликацию ВГС, что было установлено упомянутым выше методом репликон-анализа. Полагают, что такие ингибиторы имеют высокий потенциал в качестве терапевтических лекарственных средств против ВГС. Непатентный Документ 1: V.Lohmann, et al., ed., Science, 1999, Vol.285, p.110-113. Цель настоящего изобретения состоит в создании фармацевтической композиции для предотвращения и лечения заболеваний печени, вызванных вирусными инфекциями и, конкретно, ВГС-инфекцией. В результате серьезного исследования, проведенного для решения вышеуказанных задач, авторы настоящего изобретения обнаружили, что соединения по данному изобретению обладают исключительно высокой активностью в отношении ВГС-репликона и действием, ингибирующим пролиферацию ВГС, проявляют только умеренную цитотоксичность in vitro и являются чрезвычайно полезными в качестве профилактических/терапевтических средств против ВГС, что обеспечивает, таким образом, окончательную доработку настоящего изобретения. Сущность изобретения Настоящее изобретение относится к следующим объектам (1)-(3). (1) Фармацевтическая композиция для предотвращения или лечения вирусных инфекционных заболеваний, таких как ВГС, содержащая соединение, представленное следующей общей формулой (I): (где А представляет собой фенильную группу, замещенную -OX, или 3-индолильную группу; X представляет собой атом водорода, линейную или разветвленную алкильную группу, содержащую 1-8 атомов углерода, линейную или разветвленную алкенильную группу, содержащую 2-8 атомов углерода, или линейную или разветвленную алкинильную группу, содержащую 2-8 атомов углерода; B представляет собой атом водорода, гидроксильную группу, оксогруппу, -N(R4)(R5), =N-OH, =N-OR6 или атом галогена; R4 и R5 могут быть одинаковыми или различными, и каждый представляет собой атом водорода, линейную или разветвленную алкильную группу, содержащую 1-6 атомов углерода, линейную или разветвленную алкенильную группу, содержащую 2-6 атомов углерода, или линейную или разветвленную алкинильную группу, содержащую 2-6 атомов углерода, или R4 и R5 вместе представляют собой 3-8-членный цикл (например, пиперазиновый цикл, пирролидиновый цикл, пиперидиновый цикл, морфолиновый цикл или гексаметилениминовый цикл); R6 представляет собой линейную или разветвленную алкильную группу, содержащую 1-8 атомов углерода (которая может быть замещена аминогруппой, которая может быть моно- или дизамещена линейной или разветвленной алкильной группой, содержащей 1-4 атома углерода); D представляет собой атом водорода или гидроксильную группу; E представляет собой простую связь или двойную связь; R1, R2 и R3 могут быть одинаковыми или различными, и каждый представляет собой атом водорода, гидроксильную группу, аминогруппу (которая может быть моно- или дизамещена линейной или разветвленной алкильной группой, содержащей 1-4 атома углерода), -ОZ, линейную или разветвленную алкильную группу, содержащую 1-4 атома углерода, линейную или разветвленную алкенильную группу, содержащую 2-4 атома углерода, или линейную или разветвленную алкинильную группу, содержащую 2-4 атома углерода; и Z представляет собой линейную или разветвленную алкильную группу, содержащую 1-4 атома углерода, линейную или разветвленную алкенильную группу, содержащую 2-4 атома углерода, или линейную или разветвленную алкинильную группу, содержащую 2-4 атома углерода, его пролекарство или его фармацевтически приемлемую соль. (2) Соединение, представленное приведенной выше общей формулой (I) (в которой все обозначения имеют те же значения, что в приведенной выше формуле (I), при условии, что исключены: случай, в котором А представляет собой 3-индолильную группу, случай, в котором А представляет собой фенильную группу, замещенную -OX в пара-положении, Х представляет собой 2-изопентенильную группу или атом водорода, В представляет собой оксогруппу, D является атомом водорода, Е представляет собой двойную связь, и все R1-R3 представляют собой гидроксильные группы, и случай, в котором А представляет собой фенильную группу, замещенную -OX в пара-положении, Х представляет собой 2-изопентенильную группу, В представляет собой оксогруппу, D представляет собой атом водорода, связь Е представляет собой двойную связь и все R1-R3 представляют собой метоксигруппы), его пролекарство или его фармацевтически приемлемая соль. (3) Соединение, представленное приведенной выше общей формулой (I) (в которой все обозначения имеют те же значения, что в приведенной выше формуле (I), при условии, что исключены: случай, где А представляет собой 3-индолильную группу, случай, где А представляет собой фенильную группу, замещенную -OX в пара-положении, Х представляет собой атом водорода, и случай, где А представляет собой фенильную группу, замещенную -OX в пара-положении, Х представляет собой 2-изопентенильную группу, В представляет собой оксогруппу, D представляет собой атом водорода, связь Е представляет собой двойную связь и все R1-R3 представляют собой гидроксильные группы или метоксигруппы), его пролекарство или его фармацевтически приемлемая соль. Наилучший вариант осуществления изобретения Приведенные ниже данные дают более подробное объяснение фармацевтической композиции для предотвращения и/или лечения заболеваний, вызванных вирусными инфекциями, такими как ВГС, по настоящему изобретению. Следует отметить, что термин “лечение”, используемый в настоящем описании, включает уничтожение или ослабление ВГС в результате введения фармацевтической композиции по данному изобретению тестируемому пациенту, подавление дальнейшей пролиферации ВГС и ослабление симптомов, вызванных ВГС-инфекцией. Примеры заболеваний, вызванных ВГС-инфекцией, включают гепатит С, цирроз, фиброз печени и рак печени, предпочтительно гепатит С. Кроме того, термин “линейные или разветвленные алкенильные группы, содержащие 2-8 атомов углерода”, используемый в данном описании, относится к линейным или разветвленным углеводородным группам, содержащим 2-8 атомов углерода и по меньшей мере одну двойную связь. Кроме того, термин “линейные или разветвленные алкинильные группы, содержащие 2-8 атомов углерода,” относится к линейным или разветвленным углеводородным группам, содержащим 2-8 атомов углерода и по меньшей мере одну тройную связь. Термин “пролекарство” по настоящему изобретению относится к производному соединения формулы (I), которое превращается в соединение формулы (I) или в его фармацевтически приемлемую соль в физиологических условиях или путем сольволиза. Хотя пролекарство может быть инертным при введении больному, в организме оно превращается в активное соединение формулы (I). Настоящее изобретение – это, как указано ниже: 1. Фармацевтическая композиция для предотвращения или лечения вирусных инфекционных заболеваний, содержащая соединение, представленное следующей общей формулой (I): (где А представляет собой фенильную группу, замещенную -OX или 3-индолильную группу; X представляет собой атом водорода, линейную или разветвленную алкильную группу, содержащую 1-8 атомов углерода, линейную или разветвленную алкенильную группу, содержащую 2-8 атомов углерода, или линейную или разветвленную алкинильную группу, содержащую 2-8 атомов углерода; B представляет собой атом водорода, гидроксильную группу, оксогруппу, -N(R4)(R5), =N-OH, =N-OR6 или атом галогена; R4 и R5 могут быть одинаковыми или различными, и каждый представляет собой атом водорода, линейную или разветвленную алкильную группу, содержащую 1-6 атомов углерода, линейную или разветвленную алкенильную группу, содержащую 2-6 атомов углерода, или линейную или разветвленную алкинильную группу, содержащую 2-6 атомов углерода, или R4 и R5 вместе представляют собой 3-8-членный цикл; R6 представляет собой линейную или разветвленную алкильную группу, содержащую 1-8 атомов углерода (которая может быть замещена аминогруппой, которая может быть моно- или дизамещена линейной или разветвленной алкильной группой, содержащей 1-4 атома углерода); D представляет собой атом водорода или гидроксильную группу; связь E представляет собой простую связь или двойную связь; R1, R2 и R3 могут быть одинаковыми или различными, и каждый представляет собой атом водорода, гидроксильную группу, аминогруппу (которая может быть моно- или дизамещена линейной или разветвленной алкильной группой, содержащей 1-4 атома углерода), -ОZ, линейную или разветвленную алкильную группу, содержащую 1-4 атома углерода, линейную или разветвленную алкенильную группу, содержащую 2-4 атома углерода, или линейную или разветвленную алкинильную группу, содержащую 2-4 атома углерода; и Z представляет собой линейную или разветвленную алкильную группу, содержащую 1-4 атома углерода, линейную или разветвленную алкенильную группу, содержащую 2-4 атома углерода, или линейную или разветвленную алкинильную группу, содержащую 2-4 атома углерода), его пролекарство или его фармацевтически приемлемую соль. 2. Фармацевтическая композиция по указанному выше пункту 1, содержащая соединение формулы (I) по указанному выше пункту 1, представленное следующей общей формулой (I (где A, B, D, связь E, R1, R2 и R3 такие, как определено в пункте 1). 3. Фармацевтическая композиция по указанному выше пункту 1 или 2, содержащая соединение формулы (I), его пролекарство или его фармацевтически приемлемую соль, где A представляет собой фенильную группу, замещенную -OX в положении 4, Х представляет собой атом водорода, линейную или разветвленную алкильную группу, содержащую 1-8 атомов углерода, линейную или разветвленную алкенильную группу, содержащую 2-8 атомов углерода, или линейную или разветвленную алкинильную группу, содержащую 2-8 атомов углерода. 4. Фармацевтическая композиция по любому из указанных выше пунктов 1-3, содержащая соединение формулы (I), его пролекарство или его фармацевтически приемлемую соль, где В представляет собой оксогруппу, атом водорода, гидроксильную группу или =N-OR6. 5. Фармацевтическая композиция по любому из указанных выше пунктов 1-4, содержащая соединение формулы (I), его пролекарство или его фармацевтически приемлемую соль, где R1, R2 и R3 могут быть одинаковыми или различными и каждый представляет собой гидроксильную группу, аминогруппу или -ОZ (где Z представляет собой линейную или разветвленную алкильную группу, содержащую 1-4 атома углерода). 6. Фармацевтическая композиция по указанному выше пункту 1 или 2, содержащая соединение формулы (I), его пролекарство или его фармацевтически приемлемую соль, где А представляет собой фенильную группу, замещенную -ОХ в положении 4, Х представляет собой атом водорода, линейную или разветвленную алкильную группу, содержащую 1-8 атомов углерода, линейную или разветвленную алкенильную группу, содержащую 2-8 атомов углерода, или линейную или разветвленную алкинильную группу, содержащую 2-8 атомов углерода, В представляет собой оксогруппу, гидроксильную группу или =N-OR6, а R1, R2 и R3 могут быть одинаковыми или различными, и каждый представляет собой гидроксильную группу или -ОZ (где Z представляет собой линейную или разветвленную алкильную группу, содержащую 1-4 атома углерода). 7. Фармацевтическая композиция по указанному выше пункту 6, содержащая соединение формулы (I), его пролекарство или его фармацевтически приемлемую соль, где Х представляет собой линейную или разветвленную алкильную группу, содержащую 1-8 атомов углерода, линейную или разветвленную алкенильную группу, содержащую 2-8 атомов углерода, или линейную или разветвленную алкинильную группу, содержащую 2-8 атомов углерода, В представляет собой оксогруппу или гидроксильную группу, а каждый из R1, R2 и R3 представляет собой гидроксильную группу. 8. Фармацевтическая композиция по указанному выше пункту 1 или 2, содержащая соединение формулы (I), его пролекарство или его фармацевтически приемлемую соль, где А представляет собой 3-индолильную группу. 9. Фармацевтическая композиция по указанному выше пункту 8, содержащая соединение формулы (I), его пролекарство или его фармацевтически приемлемую соль, где В представляет собой оксогруппу или гидроксильную группу, а каждый из R1, R2 и R3 представляет собой гидроксильную группу. 10. Фармацевтическая композиция по указанному выше пункту 1 или 2, содержащая соединение формулы (I), выбранное из соединений, указанных ниже, его пролекарство или его фармацевтически приемлемая соль. 11. Фармацевтическая композиция по указанному выше пункту 1 или 2, содержащая соединение формулы (I), выбранное из соединений, указанных ниже, его пролекарство или его фармацевтически приемлемая соль. 12. Фармацевтическая композиция по указанному выше пункту 1 или 2, содержащая соединение формулы (I), выбранное из соединений, указанных ниже, его пролекарство или его фармацевтически приемлемая соль. 13. Фармацевтическая композиция по любому из пунктов 1-12, где вирусное инфекционное заболевание представляет собой инфекцию ВГС. 14. Фармацевтическая композиция по указанному выше пункту 13, где инфекция ВГС представляет собой гепатит С. 15. Соединение, представленное следующей общей формулой (I) (где А представляет собой фенильную группу, замещенную -OX; X представляет собой атом водорода, линейную или разветвленную алкильную группу, содержащую 1-8 атомов углерода, линейную или разветвленную алкенильную группу, содержащую 2-8 атомов углерода, или линейную или разветвленную алкинильную группу, содержащую 2-8 атомов углерода; B представляет собой атом водорода, гидроксильную группу, оксогруппу, -N(R4)(R5), =N-OH, =N-OR6 или атом галогена; R4 и R5 могут быть одинаковыми или различными, и каждый представляет собой атом водорода, линейную или разветвленную алкильную группу, содержащую 1-6 атомов углерода, линейную или разветвленную алкенильную группу, содержащую 2-6 атомов углерода, или линейную или разветвленную алкинильную группу, содержащую 2-6 атомов углерода, или R4 и R5 вместе представляют собой 3-8-членный цикл; R6 представляет собой линейную или разветвленную алкильную группу, содержащую 1-8 атомов углерода (которая может быть замещена аминогруппой, которая может быть моно- или дизамещена линейной или разветвленной алкильной группой, содержащей 1-4 атома углерода); D представляет собой атом водорода или гидроксильную группу; связь E представляет собой простую связь или двойную связь; R1, R2 и R3 могут быть одинаковыми или различными, и каждый представляет собой атом водорода, гидроксильную группу, аминогруппу (которая может быть моно- или дизамещена линейной или разветвленной алкильной группой, содержащей 1-4 атома углерода), -ОZ, линейную или разветвленную алкильную группу, содержащую 1-4 атома углерода, линейную или разветвленную алкенильную группу, содержащую 2-4 атома углерода, или линейную или разветвленную алкинильную группу, содержащую 2-4 атома углерода; и Z представляет собой линейную или разветвленную алкильную группу, содержащую 1-4 атома углерода, линейную или разветвленную алкенильную группу, содержащую 2-4 атома углерода, или линейную или разветвленную алкинильную группу, содержащую 2-4 атома углерода, при условии, что исключены: случай, где А представляет собой фенильную группу, замещенную -OX в пара-положении, X представляет собой 2-изопентенильную группу или атом водорода, В представляет собой оксогруппу, D является атомом водорода, Е представляет собой двойную связь и все R1-R3 представляют собой гидроксильные группы; и случай, где А представляет собой фенильную группу, замещенную -OX в пара-положении, X представляет собой 2-изопентенильную группу, В представляет собой оксогруппу, D является атомом водорода, Е представляет собой двойную связь и все R1-R3 представляют собой метоксигруппы), его пролекарство или его фармацевтически приемлемая соль. 16. Соединение, представленное следующей общей формулой (I) (где А представляет собой фенильную группу, замещенную -OX; X представляет собой атом водорода, линейную или разветвленную алкильную группу, содержащую 1-8 атомов углерода, линейную или разветвленную алкенильную группу, содержащую 2-8 атомов углерода, или линейную или разветвленную алкинильную группу, содержащую 2-8 атомов углерода; B представляет собой атом водорода, гидроксильную группу, оксогруппу, -N(R4)(R5), =N-OH, =N-OR6 или атом галогена; R4 и R5 могут быть одинаковыми или различными, и каждый представляет собой атом водорода, линейную или разветвленную алкильную группу, содержащую 1-6 атомов углерода, линейную или разветвленную алкенильную группу, содержащую 2-6 атомов углерода, или линейную или разветвленную алкинильную группу, содержащую 2-6 атомов углерода, или R4 и R5 вместе представляют собой 3-8-членный цикл; R6 представляет собой линейную или разветвленную алкильную группу, содержащую 1-8 атомов углерода (которая может быть замещена аминогруппой, которая может быть моно- или дизамещена линейной или разветвленной алкильной группой, содержащей 1-4 атома углерода); D представляет собой атом водорода или гидроксильную группу; связь E представляет собой простую связь или двойную связь; R1, R2 и R3 могут быть одинаковыми или различными, и каждый представляет собой атом водорода, гидроксильную группу, аминогруппу (которая может быть моно- или дизамещена линейной или разветвленной алкильной группой, содержащей 1-4 атома углерода), -ОZ, линейную или разветвленную алкильную группу, содержащую 1-4 атома углерода, линейную или разветвленную алкенильную группу, содержащую 2-4 атома углерода, или линейную или разветвленную алкинильную группу, содержащую 2-4 атома углерода; и Z представляет собой линейную или разветвленную алкильную группу, содержащую 1-4 атома углерода, линейную или разветвленную алкенильную группу, содержащую 2-4 атома углерода, или линейную или разветвленную алкинильную группу, содержащую 2-4 атома углерода, при условии, что исключены: случай, где А представляет собой фенильную группу, замещенную -OX в пара-положении, а X представляет собой атом водорода, и случай, где А представляет собой фенильную группу, замещенную -OX в пара-положении, X представляет собой 2-изопентенильную группу, В представляет собой оксогруппу, D является атомом водорода, Е обозначает двойную связь и все R1-R3 представляют собой гидроксильные группы или метоксигруппы, его пролекарство или его фармацевтически приемлемая соль. 17. Соединение формулы (I) по указанному выше пункту 15 или 16, представленное следующей общей формулой (I’), его пролекарство или его фармацевтически приемлемая соль: (где А, B, D, связь E, R1, R2 и R3 такие, как описано в указанном выше пункте 15). 18. Соединение общей формулы (I) по указанным выше пунктам 15-17, его пролекарство или его фармацевтически приемлемая соль, где Х представляет собой линейную или разветвленную алкильную группу, содержащую 1-8 атомов углерода, линейную или разветвленную алкенильную группу, содержащую 2-8 атомов углерода, или линейную или разветвленную алкинильную группу, содержащую 2-8 атомов углерода, и B представляет собой гидроксильную группу, оксогруппу или =N-OR6. 19. Соединение формулы (I) по любому из указанных выше пунктов 15-18, представленное следующей формулой, его пролекарство или его фармацевтически приемлемая соль. 20. Соединение формулы (I) по любому из указанных выше пунктов 15-18, представленное следующей формулой, его пролекарство или его фармацевтически приемлемая соль. 21. Фармацевтическая композиция, содержащая соединение формулы (I) по любому из указанных выше пунктов 15-20, его пролекарство или его фармацевтически приемлемая соль. 22. Фармацевтическая композиция по указанному выше пункту 21 для предотвращения или лечения вирусных инфекционных заболеваний. 23. Фармацевтическая композиция по указанному выше пункту 22, где вирусное инфекционное заболевание представляет собой инфекцию ВГС. 24. Фармацевтическая композиция по указанному выше пункту 23, где инфекция ВГС представляет собой гепатит С. В настоящем изобретении понятие “линейная или разветвленная алкильная группа, содержащая 1-8 атомов углерода” включает, например, метил, этил, н-пропил, изопропил, н-бутил, втор-бутил, изобутил, трет-бутил, н-пентил, 3-метилбутил, 2-метилбутил, 1-метилбутил, 1-этилпропил, н-гексил, 4-метилпентил, 3-метилпентил, 2-метилпентил, 1-метилпентил, 3-этилбутил, 2-этилбутил и т.п. В настоящем изобретении понятие “линейная или разветвленная алкенильная группа, содержащая 2-8 атомов углерода” включает, например, 1-пропенил, 2-пропенил (аллил), пропен-2-ил, 3-бутенил (гомоаллил), 2-изопентенил и т.п. В настоящем изобретении понятие “линейная или разветвленная алкинильная группа, содержащая 2-8 атомов углерода” включает, например, 1-пропинил, 1-бутинил, 2-бутинил и т.п. В настоящем изобретении термин “атом галогена” обозначает атом фтора, атом хлора, атом брома или атом йода. В настоящем изобретении понятие “линейная или разветвленная алкильная группа, содержащая 1-6 атомов углерода” включает, например, метил, этил, н-пропил, изопропил, н-бутил, втор-бутил, изобутил, трет-бутил, н-пентил, 3-метилбутил, 2-метилбутил, 1-метилбутил, 1-этилпропил, н-гексил, 4-метилпентил, 3-метилпентил, 2-метилпентил, 1-метилпентил, 3-этилбутил, 2-этилбутил и т.п. В настоящем изобретении понятие “линейная или разветвленная алкенильная группа, содержащая 2-6 атомов углерода” включает, например, этенил (винил), 1-пропенил, 2-пропенил (аллил), пропен-2-ил, 3-бутенил (гомоаллил), 2-изопентенил и т.п. В настоящем изобретении понятие “линейная или разветвленная алкинильная группа, содержащая 2-6 атомов углерода” включает, например, этинил, 1-пропинил, 2-пропинил, 1-бутинил, 2-бутинил, 3-бутинил и т.п. В настоящем изобретении понятие “линейная или разветвленная алкильная группа, содержащая 1-4 атома углерода” включает, например, метил, этил, н-пропил, изопропил, н-бутил, втор-бутил, изобутил, трет-бутил и т.п. В настоящем изобретении понятие “линейная или разветвленная алкенильная группа, содержащая 2-4 атома углерода” включает, например, этенил (винил), 1-пропенил, 2-пропенил (аллил), пропен-2-ил, 3-бутенил (гомоаллил) и т.п. В настоящем изобретении понятие “линейная или разветвленная алкинильная группа, содержащая 2-4 атома углерода” включает, например, 1-пропинил, 1-бутинил, 2-бутинил и т.п. Указанное выше соединение No.1 описано в публикации международной выложенной патентной заявки WO98/56755, и известно, что оно выделено из микроорганизмов, относящихся к роду Aureobasidium, оно обладает антимикробной активностью в отношении грибов, таких как Candida albicans и Cryptococcus neoformans, и действует как ингибитор иммунных реакций. Указанное выше соединение No.9 описано в публикации международной выложенной патентной заявки WO94/18157, и известно, что оно применимо в качестве ингибитора синтеза сквалена и в качестве противогрибкового средства. Способ получения соединений по данному изобретению Указанное соединение No.1 можно получить культивированием штамма гифомицетов, относящихся к роду Fusarium или Aureobasidium и т.п., который продуцирует вышеуказанное соединение, и последующим его выделением из культуры указанного штамма. Кроме того, соединения, представленные общими формулами (I) и (I’), могут быть получены способами, описанными ниже, с использованием указанного выше соединения No.1 в качестве исходного вещества. Способ получения 1. Дигидроформа (E обозначает простую связь, например, соединение No.7) может быть получена гидрированием вышеуказанного соединения No.1 в растворителе, таком как метанол, этанол, этилацетат или тетрагидрофуран, в присутствии катализатора, такого как палладий на угле, гидроксид палладия или никель Ренея, при комнатной температуре или при нагревании. Способ получения 2. Спиртовая форма (B обозначает гидроксильную группу, например, соединение No.8) может быть получена восстановлением вышеуказанного соединения No.1 в растворителе, таком как метанол, этанол, пропанол или тетрагидрофуран, в присутствии восстановителя, такого как натрийборгидрид, натрийтриметоксиборгидрид, натрийцианоборгидрид, литийборгидрид, натрийдиэтилалюмогидрид или литийалюмогидрид, при комнатной температуре или при охлаждении. Способ получения 3. Деалкилированная форма (X обозначает водород, например, соединение No.9) может быть получена обработкой вышеуказанного соединения No.1 в растворителе, таком как метанол, диоксан, тетрагидрофуран или вода, в присутствии соляной кислоты, серной кислоты, метансульфоновой кислоты, трифторуксусной кислоты или подобной, при комнатной температуре или при охлаждении. Кроме того, дигидроформа (E обозначает простую связь и X обозначает водород, например, соединение No.10) может быть получена гидрированием вышеуказанного соединения No.9 в таком растворителе, как метанол, этанол, этилацетат или тетрагидрофуран, в присутствии такого катализатора, как палладий на угле, гидроксид палладия, никель Ренея или оксид платины, при комнатной температуре или при нагревании. Способ получения 4: Тетраалкильная, тетраалкинильная или тетраалкенильная форма (X = Z = алкил, алкинил или алкенил) может быть синтезирована обработкой вышеуказанного соединения No.9 таким алкилирующим агентом, как алкилгалогенид, аллилгалогенид или алкинилгалогенид, в присутствии такого основания, как гидроксид натрия, гидроксид калия, карбонат кальция или карбонат калия, в таком растворителе, как диметилформамид (ДМФА) или тетрагидрофуран, при комнатной температуре или при нагревании. Кроме того, алкильная, алкинильная или алкенильная форма (X = алкил, алкинил или алкенил, например, соединение 16, 17, 18, 19 или 20) может быть синтезирована обработкой указанного соединения в присутствии такого основания, как гидроксид натрия, гидроксид калия, карбонат кальция или карбонат калия, в таком растворителе, как метанол, диоксан, тетрагидрофуран или вода, при комнатной температуре или при нагревании. Способ получения 5. Вышеуказанное соединение No.1 и различные амины обрабатывают таким конденсирующим агентом, как дициклогексилкарбодиимид (DCC), водорастворимый гидрохлорид карбодиимида (WSC.HCl) или 1-гидроксибензотриазол (HOBt), в таком растворителе, как диметилформамид (ДМФА) или тетрагидрофуран, в присутствии такого основания, как диизопропилэтиламин или триэтиламин, при комнатной температуре или при нагревании и получают соответствующую триамидную форму (R1 = R2 = R3 = аминогруппа, например, соединение No. 11). Способ получения 6. Тетрагидроформа (E обозначает простую связь и Х обозначает разветвленный алкил, например, соединение No.12) может быть получена гидрированием вышеуказанного соединения No.1 в таком растворителе, как метанол, этанол, этилацетат или тетрагидрофуран, в присутствии такого катализатора, как палладий на угле, гидроксид палладия, никель Ренея или оксид платины, при комнатной температуре или при нагревании. Способ получения 7. Вышеуказанное соединение No.1 подвергают взаимодействию с различными спиртами (R-OH), используя такой конденсирующий агент, как дициклогексилкарбодиимид (DCC) в таком растворителе, как тетрагидрофуран, ДМФА или дихлорметан, при комнатной температуре или при нагревании и получают соответствующие сложные триэфиры (R1 = R2 = R3 = R). Триметилэфирная форма (R1 = R2 = R3 = CH3) альтернативно может быть получена обработкой вышеуказанного соединения No.1 амидодигидроформой триметилсилилдиазометана (TMSCHN2) и т.п. в смешанном растворителе, таком как метанол и дихлорметан. Способ получения 8. Декетоформа (B обозначает водород, например, соединение No.13) может быть получена обработкой триметилового сложного эфира, полученного по способу 7, таким производным гидразина, как 4-толуолсульфонилгидразид, в таком растворителе, как метанол, этанол или бутанол, при комнатной температуре или при нагревании, с образованием соответствующей гидразидной формы, затем обработкой данной гидразидной формы восстановителем, таким как катехолборан, с последующим омылением под действием такого основания, как гидроксид лития, гидроксид натрия или гидроксид калия, в таком растворителе, как этанол, метанол или вода, при комнатной температуре или при нагревании. Способ получения 9: Вышеуказанное соединение No.1 обрабатывают гидроксиламином или различными O-замещенными гидроксиламинами в присутствии пиридина, триэтиламина или диизопропиламина при комнатной температуре или при нагревании и получают соответствующие простые эфиры оксима и оксим (B = N-OR6 и N-OH, например, соединения No.14 и No.15). Способ получения 10. Галогенидная форма (B = фтор) может быть получена обработкой вышеуказанного соединения No.1 диэтиламиносульфуртрифторидом (DAST) и т.п. в таком растворителе, как тетрагидрофуран, дихлорметан или хлороформ. Способ получения 11: Вышеуказанное соединение No.1 и различные амины подвергают восстановительному аминированию обработкой таким восстановителем, как натрийцианоборгидрид или натрийтриацетоксиборгидрид, в растворителе, таком как этанол, метанол или тетрагидрофуран, в нейтральных или слабокислых условиях при комнатной температуре или при нагревании и получают соответствующую аминную форму (B = -N(R4) (R5) ). Способ получения соединений по настоящему изобретению Не существует особых ограничений по микробным штаммам, которые могут быть использованы для получения соединения No.1, например, при условии, что они принадлежат к гифомицетам, рода Fusarium и Aureobasidium, и способны продуцировать вышеуказанное соединение; примеры штаммов включают Fusarium sp. штамм F1476 (далее обозначаемый “штамм F1476”) и Aureobasidium sp. штамм TKR2449 (Публикация выложенной международной патентной заявки WO 98/56755). Штамм F1476 характеризуется преимущественным продуцированием вышеуказанного соединения No.1. Физиологические свойства штамма F1476 приводятся ниже: температурный интервал роста от 10 до 30°С, предпочтительно от 20 до 30°С; интервал рН, при котором возможен рост, от 3 до 11, предпочтительно от 5 до 7. Штамм F1476 также обозначают, как Fusarium sp. F1476, он депонирован под инвентарным номером FERM ВР-8290 в Международном Депозитарии запатентованных организмов Национального института передовой промышленной науки и технологии 4 февраля 2003 г. В настоящем изобретении, наряду с указанным выше штаммом F1476, могут быть также использованы самопроизвольные или искусственные мутанты штамма F1476 или другие грибы, относящиеся к гифомицетам, таких видов, как Fusarium или Aureobasidium, которые, как и штамм F1476, обладают продуцирующей способностью. В настоящем изобретении вышеуказанное соединение No.1 может быть получено в культуре инокуляцией штамма F1476 в среду, содержащую источник питания, с последующим культивированием. Примеры источников питания включают источники углерода, такие как глюкоза, фруктоза, сахароза, крахмал, декстрин, глицерин, меласса, крахмальная патока, масла и жиры и органические кислоты. Из вышеупомянутых источников питания примеры источников азота, включают органические и неорганические соединения азота, такие как порошок соевых бобов, порошок семян хлопчатника, настой зерен кукурузы, казеин, пептоны, дрожжевой экстракт, мясной экстракт, ростки пшеницы, мочевина, аминокислоты и аммониевые соли. Из вышеупомянутых источников питания примеры солей включают неорганические соли, такие как натриевые соли, калиевые соли, кальциевые соли, магниевые соли и соли фосфорной кислоты. Данные соли можно использовать по отдельности или в подходящих комбинациях. Вышеупомянутые источники питания можно использовать по отдельности или в подходящих комбинациях. Соли тяжелых металлов, такие как соли железа, соли меди, соли цинка или соли кобальта, витамины, такие как биотин и витамин Bl, и органические и неорганические вещества, которые способствуют росту микроорганизмов и обеспечивают продуцирование вышеуказанного соединения No.1, можно, если требуется, прибавлять к среде, содержащей вышеупомянутые источники питания. Если необходимо, к среде, содержащей вышеупомянутые источники питания, можно добавлять агенты, препятствующие образованию пены, поверхностно-активные вещества и тому подобные вещества, такие как силиконовое масло и простые эфиры полиалкиленгликоля. При культивировании микробных штаммов, продуцирующих указанное выше соединение No.1, в среде, содержащей источники питания, можно применять такой способ культивирования, как твердое культивирование или жидкое культивирование, который обычно используют при продуцировании биологически активных веществ культивированием микроорганизмов. В соответствии с указанными выше способами культивирования соединение No.1 накапливается в культуре. В настоящем изобретении соединение No.1, которое накапливается в культуре, можно отделить от культуры известными способами и затем очистить, если потребуется. Указанное разделение можно осуществить экстракцией всей культуры негидрофильным органическим растворителем, таким как этилацетат, бутилацетат, хлороформ, бутанол или метилизобутилкетон. Кроме того, соединение No.1 можно выделить, разделяя культуру на культуральную жидкость и мицелий фильтрованием или центрифугированием с последующим отделением соединения No.1 от культуральной жидкости и мицелия, соответственно. Для выделения вышеуказанного соединения No.1 из культуральной жидкости, описанной выше, можно использовать способ, в котором культуральную жидкость экстрагируют негидрофильным растворителем, указанным выше. Кроме того, можно также использовать способ, в котором культуральную жидкость приводят в контакт с адсорбентом и соединение No.1, находящееся в культуральной жидкости адсорбируется на поверхности адсорбента, затем его элюируют растворителем. Упомянутые выше адсорбенты включают активированный уголь, порошкообразную целлюлозу и адсорбирующие смолы. Указанные выше растворители можно использовать по отдельности или объединяя два или более растворителя в соответствии с типом и свойствами адсорбента. Например, водные растворы растворимого в воде органического растворителя, такие как водный ацетон и водный спирт, можно комбинировать соответствующим образом для применения в качестве растворителя. Для отделения вышеуказанного соединения No.1 от мицелия можно также использовать способ, в котором соединение экстрагируют гидрофильным органическим растворителем, таким как ацетон. В настоящем изобретении неочищенный экстракт вышеуказанного соединения No.1, который отделен от культуры описанным выше способом, можно использовать на стадии, на которой его дополнительно очищают, если необходимо. Вышеупомянутую очистку можно осуществлять методами, обычно применяемыми для разделения и очистки липофильных биологически активных веществ. Такие методы включают колоночную хроматографию и высокоэффективную жидкостную хроматографию, в которых используют такие носители, как силикагель, активированный оксид алюминия, активированный уголь или адсорбирующая смола. В случае применения колоночной хроматографии с силикагелем в качестве носителя элюирующие растворители включают хлороформ, этилацетат, метанол, ацетон и воду. Их также можно использовать в комбинации из двух или более растворителей. В случае применения упомянутой выше высокоэффективной жидкостной хроматографии носители включают силикагель, химически связанный с октадецильными группами, октильными группами или фенильными группами, и полистирольный пористый полимерный гель. Примеры подвижной фазы включают водные растворы растворимых в воде органических растворителей, такие как водный метанол и водный ацетонитрил. Вышеуказанное соединение No.1 по настоящему изобретению можно использовать в лекарственном средстве или как таковое, или в виде его фармакологически приемлемой соли. Не существует конкретных ограничений относительно фармакологически приемлемой соли, и примеры включают соли таких неорганических кислот, как соляная кислота, серная кислота, азотная кислота, фосфорная кислота и бромистоводородная кислота, соли органических кислот, таких как уксусная кислота, винная кислота, молочная кислота, лимонная кислота, фумаровая кислота, малеиновая кислота, янтарная кислота, метансульфоновая кислота, этансульфоновая кислота, бензолсульфоновая кислота, толуолсульфоновая кислота, нафталинсульфоновая кислота, камфорсульфоновая кислота, и соли щелочных металлов или щелочноземельных металлов, таких как натрий, калий и кальций. Количество активного ингредиента, которое содержится в упомянутой выше фармацевтической композиции, не ограничивается как-либо конкретно и его выбирают в широком интервале, который составляет от 0,1 до 99,5 мас.% и, предпочтительно, от 0,5 до 90 мас.%. Соединение по настоящему изобретению может быть введено в рецептуру с использованием таких известных вспомогательных веществ, как наполнитель, связующее, разрыхлитель, смазывающее вещество, корригирующее средство, средство, способствующее растворению, суспендирующий агент и средство для покрытия, которые обычно можно использовать в технологии изготовления лекарств по традиционным методам. При формовании таблеток может быть использован широкий набор известных в данной области носителей, включающих наполнитель, такой как лактоза, сахароза, хлорид натрия, глюкоза, мочевина, крахмал, карбонат кальция, каолин, кристаллическая целлюлоза и кремневая кислота; связующие, такие как вода, этанол, пропанол, простой сироп, жидкая глюкоза, жидкий крахмал, жидкий желатин, карбоксиметилцеллюлоза, шеллак, метилцеллюлоза, фосфат калия и поливинилпирролидон; разрыхлители, такие как сухой крахмал, альгинат натрия, порошкообразный агар, порошкообразный ламинаран, гидрокарбонат натрия, карбонат кальция, сложный эфир жирной кислоты и полиоксиэтилен-сорбитана, натрийлаурилсульфат, моноглицеридстеарат, крахмал и лактоза; такие ингибиторы разрыхления, как сахароза, стеарин, масло какао и гидрогенизированные масла; усилители абсорбции, такие как четвертичные аммониевые соли и натрийлаурилсульфат; влагоудерживающие агенты, такие как глицерин и крахмал; адсорбенты, такие как крахмал, лактоза, каолин, бентонит и коллоидная кремневая кислота; и смазывающие вещества, такие как очищенный тальк, соли стеариновой кислоты, порошок борной кислоты и полиэтиленгликоль. Кроме того, если требуется, на таблетки может быть нанесено обычное покрытие. Примеры включают таблетки с покрытием из сахара, таблетки в капсулах из желатина, таблетки с энтеросолюбильным покрытием, таблетки с покрытием из пленки или двухслойные таблетки и многослойные таблетки. При формовании пилюль широкий набор веществ, обычно известных в данной области, можно использовать в качестве носителя, примеры включают наполнители, такие как глюкоза, лактоза, масло какао, крахмал, отвержденное растительное масло, каолин и тальк; связующие, такие как порошок гуммиарабика, порошок трагаканта, желатин и этанол; и такие разрыхлители, как ламинарановый агар. При формовании в виде суппозиториев широкий диапазон материалов можно использовать в качестве носителя, которые обычно известны в данной области техники, примеры включают полиэтиленгликоль, масло какао, высшие спирты, сложные эфиры высших спиртов, желатин и полусинтетические глицериды. В случае приготовления в виде препарата для инъекций жидкость и суспендирующий агент предпочтительно стерилизуют и доводят до состояния изотонического с кровью; при получении таких препаратов в виде жидкостей, эмульсий или суспензий, можно использовать все вещества, которые обычно применяют в качестве разбавителей в данной области, примеры которых включают воду, этанол, пропиленгликоль, этоксиизостеариловый спирт, полиоксиизостеариловый спирт и сложные эфиры карбоновых кислот и полиоксиэтилен-сорбитана. Кроме того, в данном случае достаточные количества соли, глюкозы или глицерина могут содержаться в фармацевтическом препарате для приготовления изотонического раствора; к нему могут быть также добавлены обычные вещества, способствующие растворению, буферы, анальгетики и т.п. Кроме того, препарат может содержать красители, консервирующие вещества, вещества, придающие запах и вкус, подслащивающие вещества и другие фармацевтические агенты, если требуется. Указанную выше фармацевтическую композицию предпочтительно вводить в виде единичной лекарственной формы и вводить ее можно перорально, можно вводить в ткани (подкожное введение, внутримышечное введение, внутривенное введение и т.п.), возможно местное (чрескожное и т.п.) или ректальное введение. Понятно, что вышеуказанную фармацевтическую композицию вводят в той лекарственной форме, которая подходит для указанных способов введения. При введении соединения по данному изобретению или его фармацевтически приемлемой соли в виде лекарственного средства доза антивирусного средства для взрослого человека составляет обычно от 1 до 2000 мг в день активного ингредиента по настоящему изобретению, хотя предпочтительно регулировать дозу, учитывая факторы, относящиеся к состоянию больного, такие как возраст и масса тела, способ введения, природа и тяжесть заболевания и т.п. Хотя в некоторых случаях дозы меньшие, чем указанные, могут все же быть приемлемы; встречаются также случаи, в которых, наоборот, дозировка, превышающая указанный диапазон, может быть необходима. Когда осуществляют введение в больших дозах, предпочтительно разделить дозу и вводить ее несколько раз в день. Вышеупомянутое пероральное введение можно осуществить используя единичные дозы твердых, порошкообразных или жидких лекарственных форм, которые могут быть в виде порошка, гранул, таблеток, препаратов с покрытием из сахара, капсул, капель, сублингвальных препаратов и в других формах. Указанное выше введение в ткани можно осуществить, применяя жидкую единичную лекарственную форму для подкожной, внутримышечной или внутривенной инъекции раствора или суспензии и т.п. Указанные формы получают суспендированием или растворением заранее заданного количества соединения по настоящему изобретению или его фармацевтически приемлемой соли в нетоксичном жидком носителе, совместимом с целью инъекции, таком как водная или масляная среда, с последующей стерилизацией вышеуказанной суспензии или раствора. Упомянутое выше местное введение (чрескожное введение и т.п.) можно осуществить с помощью лекарственной формы для наружного применения, такой как жидкость, крем, порошок, паста, гель или мазь. Указанные формы могут быть получены комбинированием заранее заданного количества соединения по настоящему изобретению или его фармацевтически приемлемой соли с одним или несколькими видами ароматизатора, красителя, наполнителя, поверхностно-активного вещества, агента, удерживающего влагу, смягчителя кожи, гелеобразователя, носителя, консерванта или стабилизатора и т.п., которые подходят для целей для наружного применения. Вышеупомянутое ректальное введение можно осуществить путем использования суппозитория и т.п., содержащего заранее заданное количество соединения по данному изобретению или его фармацевтически приемлемой соли в низкоплавком твердом веществе, состоящем, например, из высшего сложного эфира, такого как миристиловый эфир пальмитиновой кислоты, полиэтиленгликоля, масло какао или их смеси. Вышеуказанное введение может быть осуществлено с использованием жидкой единичной лекарственной формы для подкожной, внутримышечной или внутривенной инъекции раствора или суспензии и т.п. Указанные жидкие формы получают суспендированием или растворением заранее заданного количества соединения по настоящему изобретению или его фармацевтически приемлемой соли в нетоксичном жидком носителе, подходящем для цели инъекции, таком как водная или масляная среда, с последующей стерилизацией вышеуказанной суспензии или вышеуказанного раствора. ПРИМЕРЫ Хотя далее приводится подробное объяснение настоящего изобретения на примерах, данное изобретение не ограничивается указанными примерами. Пример 1 Штамм F1476, используемый в данном изобретении, представляет собой гифомицет, который был выделен посредством промывания и фильтрации 29 февраля 2000 г. из опавших листьев, собранных 24 января 2000 г. на южном склоне горы Камакураяма в г. Камакура в Японии. Свойства культуры Рост на картофельном агаре с декстрозой (PDA) медленный, организмы достигают 12 мм в диаметре через 10 дней облучения ближним ультрафиолетовым светом при 25°C, скорость роста составляет от 1,5 до 1,6 мм в день, организмы образуют плотную мицелиальную флору, поверхности волнообразно колеблются и поднимаются, влажные основания конидиоспор собираются в центре, рельефно флокулированные группы гифов иногда образуются на периферии, цвет светло-оранжевый (абрикосовый, светло-оранжевый, от светло-абрикосового до абрикосового, от 5YR7/6 до 7/10 по шкале Манселла, от Metuen 6A6 до 6B8), а цвет задней поверхности изменяется от светло-оранжевого до оранжевого (светло-оранжевый, яркий красновато-оранжевый, тигровая лилия, 5-10YR7/10 по шкале Манселла, от Metuen 6B8 до 8A6). Скорость роста слегка уменьшается в темноте, составляя 0,9-1,1 мм в день, цвет бледнее и бежевый (светло-бежевый, слоновая кость, 10YR9/2 по шкале Манселла, Metuen 4A3), а цвет задней поверхности светло-красновато-желтый (светлый красновато-желтый, неаполитанский желтый). Однако цвет гифы иногда более темный, изменение от цвета охры к серовато-коричневому (золотой, золотая охра, светлый серовато-коричневый, светло-русый, 10YR5/4-8 по шкале Манселла, Metuen 5E5-8). В данном случае цвет задней поверхности темный желтовато-коричневый (каштановый, темный желтовато-коричневый, жженая умбра, 10YR3/6 по шкале Манселла). Рост на агаре с солодовым экстрактом (МА) медленный, организмы достигают 11 мм в диаметре через 11 дней облучения ближним ультрафиолетовым светом, скорость роста составляет 1,0 мм в день, образуется плотная мицелиальная флора, поверхность поднимается и приобретает хлопьевидную сильно опушенную текстуру, цвет светло-оранжевый (светло-оранжевый, светло-абрикосовый, 5YR8/6 по шкале Манселла, Metuen 6A6), а цвет задней поверхности ярко-оранжевый (ярко-оранжевый, оранжевая настурция, 5YR7/12 по шкале Манселла, Metuen 6A7). В темноте цвет бледнее. Рост на агаре с экстрактом овса (ОА) быстрый, организмы достигают 21 мм в диаметре через 10 дней облучения ближним ультрафиолетовым светом, скорость роста составляет 3,7 мм в день, организмы плоские и большое число оснований конидиоспор скученно сосредоточены в центре, приводя в результате к зернистому внешнему виду, цвет светлый желтовато-оранжевый (светлый желтовато-оранжевый, кукурузный, 5YR7/8 по шкале Манселла, Metuen 6B6), и цвет задней поверхности такой же. В темноте цвет бледнее. Рост на синтетической питательной агаровой среде (SNA) медленный, организмы достигают 13 мм в диаметре через 7 дней облучения ближним ультрафиолетовым светом, скорость роста составляет 1,6 мм в день, организмы образуют плоские тонкие колонии с сильно опушенной или хлопьевидной текстурой, влажные основания конидиоспор неравномерно расположены в центре, цвет бежевый (светло-бежевый, слоновая кость, 10YR9/2 по шкале Манселла, Metuen 4A3), и цвет задней поверхности тот же. Аналогичный рост наблюдается в темноте. Рост на среде Миура (Miura) (LCA) быстрый, организмы достигают 25 мм в диаметре через 10 дней облучения ближним ультрафиолетовым светом, скорость роста составляет 3,4 мм в день, организмы образуют плоские тонкие колонии с зернистой или ворсистой текстурой, влажные основания конидиоспор неравномерно расположены в центре, цвет бежевый (светло-бежевый, слоновая кость, 10YR9/2 по шкале Манселла, Metuen 4A3), и цвет задней поверхности тот же. Аналогичный рост наблюдается в темноте. Температурный интервал роста составляет 10-30°C, и оптимальная температура для роста составляет 20-30°C. Интервал pH для роста составляет от 3 до 11, и оптимальный pH составляет от 5 до 7. Морфологические свойства На среде SNA стволы конидиоспор поднимаются вертикально главным образом из переносимого по воздуху мицелия, они разветвляются, и фиалиды вертициллируют непосредственно на разветвлениях или стволах конидиоспор, что приводит в результате к образованию сложной структуры конидиоспор. Фиалиды иногда растут независимо от переносимой по воздуху гифы. Структура конидиоспор формируется из гифы, лежащей на поверхности агара, и некоторые из них не поднимаются в воздух. Длина стволов конидиоспор составляет 10-30 мкм. Фиалиды обладают цилиндрической формой и обычно имеют выступающую чашеобразную структуру на его концах, размер указанной структуры составляет 4,0-20,0 × 2,5-3,0 мкм. Фиалоконидиоспоры образуют агрегированные группы с вязкой жидкостью на концах фиалидов, они обычно имеют серповидную форму и четкие подоциты на основании. Апикальные клетки длинные и узкие или иногда имеют закругленный конец. Они обычно изогнуты и иногда имеют эллиптическую форму или цилиндрическую форму, 1-3(4) перегородки и размеры 6,8-30,0 × 1,9-4,9 мкм, L/W 3,7-8,1 (в среднем: 19,3 × 3,8 мкм, L/W 5,2). Хламидоспоры не наблюдаются. Идентификация Сложная кластероподобная структура конидиоспор, образованная из светлой окрашенной гифы, иногда образует основания конидиоспор, и конидиоспоры относятся к фиало-типу и растут эндогенно из концов цилиндрических фиалидов, окрашены в светлый цвет и составлены из 2-5 клеток, имеющих характерную сосудистую или серповидную форму. На основании вышеуказанных морфологических характеристик данный штамм F1476 определен, как принадлежащий к роду Fusarium, несовершенный гриб. Таким образом, данный гриб идентифицируют как Fusarium sp. штамм F1476. Литература Gerlach, W. and Nirenberg, H. 1982. The genus Fusarium – a pictorial atlas. Mitt. Biol. Bundesanst. Land- u. Forstwirtsch. Berlin-Dahlem 209:1-406. Booth, C. 1971. The genus Fusarium. CMI, Kew, Surrey, 237 pp. Carmichael, J.W., Kendrich, B., Conners, I.L. and Sigler, L. 1980. Genera of Hyphomycetes. University of Alberta Press, Edmonton. Gams, W. 1971. Cephalosporium-artige Schimmelpilze (Hyphomycetes). Gustav Fischer Verlag, Stuttgart. 262 pp. Пример 2 Одну полную петлю микроорганизмов, полученных из культуры штамма F1476 на скошенном агаре, инокулируют в 25 колбах Эрленмейера (объемом 500 мл) с перегородками, содержащих по 100 мл жидкой среды (2% глюкозы, 1,5% глицерина, 1% картофельного крахмала, 0,25% полипептона, 0,35% экстракта дрожжей, 0,5% карбоната кальция, 0,3% хлорида натрия, 0,005% гептагидрата сульфата цинка, 0,0005% пентагидрата сульфата меди, 0,0005% тетрагидрата сульфата марганца и 1% поджаренной сои), с последующим культивированием при встряхивании при 25°С в течение 3 дней (скорость встряхивания: 220 об/мин) и получают инокулированную культуру. Инокулируют 16 мл данной инокулированной культуры в 125 колб Эрленмейера (объемом 500 мл) с перегородками, содержащих твердую среду (40 г прессованного ячменя, 24 мл раствора SF1 (0,1% экстракта дрожжей, 0,05% тартрата натрия, 0,05% дигидрофосфата калия)), с последующим стационарным культивированием при 25°C в течение 11 дней. Затем к культуре, культивированной таким образом, прибавляют 12,5 л н-бутанола и выдерживают в течение ночи, затем фильтруют и получают н-бутанольный экстракт. После концентрирования экстракта, полученного указанным образом, его суспендируют в 1 л воды и после доведения рН до 2 с помощью соляной кислоты экстрагируют 1,1 л этилацетата. Водный слой еще раз экстрагируют 1,1 л этилацетата, и второй экстракт объединяют с первым. К полученному этилацетатному экстракту (2,2 л) прибавляют 0,9 л воды и затем разделяют фазы после доведения рН до 10 водным раствором гидроксида натрия. К полученному водному слою опять прибавляют 1 л этилацетата и затем экстрагируют после доведения рН до 3 с помощью соляной кислоты. Образовавшийся водный слой опять экстрагируют 1 л этилацетата. Полученный таким образом этилацетатный экстракт (2 л) сушат над сульфатом натрия, затем упаривают и сушат. Получают 567 мг неочищенного экстракта, который затем растворяют в метаноле и подвергают неоднократной препаративной высокоэффективной жидкостной хроматографии в условиях 1, показанных ниже. Получают фракцию, содержащую соединение 1 (фракция 1), фракцию, содержащую соединения 2 и 3 (фракция 2), и фракцию, содержащую соединения 4, 5 и 6 (фракция 3). Фракцию 1 упаривают при пониженном давлении и получают 380 мг соединения 1 в виде белого порошка. Условия 1 для высокоэффективной жидкостной хроматографии Прибор: CCPP-D, MCPD-3600 System (Tosoh). Колонка: CAPCELL PAK C18 (UG 80, 20 мм x 250 мм) (Shiseido). Подвижная фаза: градиентное элюирование растворителями с использованием воды, содержащей 0,01% трифторуксусной кислоты, и ацетонитрила, содержащего 0,01% трифторуксусной кислоты (15% ацетонитрил – 90% ацетонитрил, ступенчато). Физико-химические характеристики соединения 1 Молекулярная масса: 659. FAB-MS (область положительных ионов, матрица m-NBA): 660(M+H+). FAB-MS (область отрицательных ионов, матрица m-NBA): 658 (M-H–). 1H-ЯМР (в метаноле-d4), значения химических сдвигов, Пример 3 Одну из фракций, полученных в примере 2 (фракция 2, 345 мг), разделяют дополнительно препаративной высокоэффективной жидкостной хроматографией в условиях 2, указанных ниже, на фракцию, содержащую соединение 2 (фракция 2-1, 41,4 мг), и фракцию, содержащую соединение 3 (фракция 2-2, 4,9 мг). Фракцию 2-1 затем очищают препаративной высокоэффективной жидкостной хроматографией в условиях 3, указанных ниже, и получают фракцию, содержащую соединение 2. Полученную фракцию концентрируют при пониженном давлении и получают 29,5 мг соединения 2 в виде белого порошка. Аналогично фракцию 2-2 очищают препаративной высокоэффективной жидкостной хроматографией в условиях 4 и получают 3 мг соединения 3 в виде белого порошка. Условия 2 для высокоэффективной жидкостной хроматографии Прибор: CCPP-D, MCPD-3600 System (Tosoh). Колонка: CAPCELL PAK C18 (UG 80, 20 мм x 250 мм) (Shiseido). Подвижная фаза: градиентное элюирование растворителями с использованием воды, содержащей 0,01% трифторуксусной кислоты, и ацетонитрила, содержащего 0,01% трифторуксусной кислоты (65% ацетонитрил – 98% ацетонитрил, ступенчато). Условия 3 для высокоэффективной жидкостной хроматографии Прибор: CCPP-D, MCPD-3600 System (Tosoh). Колонка: CAPCELL PAK Speriorex ODS (20 мм × 250 мм) (Shiseido). Подвижная фаза: градиентное элюирование растворителями с использованием воды, содержащей 0,01% трифторуксусной кислоты, и ацетонитрила, содержащего 0,01% трифторуксусной кислоты (65% ацетонитрил – 98% ацетонитрил, ступенчато). Условия 4 для высокоэффективной жидкостной хроматографии Прибор: CCPP-D, MCPD-3600 System (Tosoh). Колонка: CAPCELL PAK C8 (SG 120, 20 мм × 250 мм) (Shiseido). Подвижная фаза: градиентное элюирование растворителями с использованием воды, содержащей 0,01% трифторуксусной кислоты, и ацетонитрила, содержащего 0,01% трифторуксусной кислоты (65% ацетонитрил – 98% ацетонитрил, ступенчато). Физико-химические характеристики соединения 2 Молекулярная масса: 673. ESI (ЖХ/МС, область положительных ионов): 674 (M+H+). 1H-ЯМР (в метаноле-d4), значения химических сдвигов, Физико-химические характеристики соединения 3 Молекулярная масса: 687. ESI (ЖХ/МС, область положительных ионов): 688 (M+H+). 1H-ЯМР (в метаноле-d4), значения химических сдвигов, Пример 4 Одну из фракций, полученных в примере 2 (фракция 3, 453 мг), разделяют дополнительно препаративной высокоэффективной жидкостной хроматографией в указанных выше условиях 2 на фракцию, содержащую соединение 4 (фракция 3-1), фракцию, содержащую соединение 5 (фракция 3-2, 16,4 мг), и фракцию, содержащую соединение 6 (фракция 3-3, 26,5 мг). Фракцию 3-1 концентрируют при пониженном давлении и получают 2 мг соединения 4 в виде белого порошка. Фракцию 3-2 дополнительно подвергают препаративной высокоэффективной жидкостной хроматографии в условиях 5, показанных ниже, и получают фракцию, содержащую соединение 5. Полученную фракцию концентрируют при пониженном давлении и выделяют 4 мг соединения 5 в виде белого порошка. Аналогично, после препаративной высокоэффективной жидкостной хроматографии фракции 3-3 в условиях 5 получают 6 мг соединения 6 в виде белого порошка. Условия 5 для высокоэффективной жидкостной хроматографии Прибор: CCPP-D, MCPD-3600 System (Tosoh). Колонка: CAPCELL PAK C18 (UG 80, 20 мм × 250 мм) (Shiseido). Подвижная фаза: градиентное элюирование растворителями с использованием воды, содержащей 0,01% трифторуксусной кислоты, и ацетонитрила, содержащего 0,01% трифторуксусной кислоты (50% ацетонитрил – 98% ацетонитрил, ступенчато). Физико-химические характеристики соединения 4 Молекулярная масса: 607. ESI (ЖХ/МС, область положительных ионов): 608 (M+H+). 1H-ЯМР (в метаноле-d4), значения химических сдвигов, 0,89 (3Н, т, J=7 Гц), 1,20-1,40 (14H, м), 1,58 (4H, м), 2,00 (2H, м), 2,52 (2H, м), 2,56 (1H, д, J=16 Гц), 2,88 (1H, дд, J=14, 8 Гц), 2,90 (1H, д, J=16 Гц), 3,10 (1H, дд, J=14, 4 Гц), 3,20 (1H, д, J=8 Гц), 4,05 (1H, дд, J=8, 4,5 Гц) 4,60 (1H, дд, J=8, 4,5 Гц), 5,53 (2H, м), 6,67 (2H, д, J=8 Гц), 7,02 (2H, д, J=8 Гц). Физико-химические характеристики соединения 5 Молекулярная масса: 614. ESI (ЖХ/МС, область положительных ионов): 615 (M+H+). 1H-ЯМР (в метаноле-d4), значения химических сдвигов, 0,89 (3H, т, J=7 Гц), 1,20-1,40 (14H, м), 1,53 (4H, м), 1,93 (2H, м), 2,27 (4H, м), 2,58 (1H, д, J=16 Гц), 2,86 (1H, д, J=16 Гц), 3,22 (2H, м), 3,65 (1H, д, J=9 Гц), 4,73 (1H, дд, J=8, 5 Гц), 5,50 (2H, м), 6,96 (1H, т, J=7 Гц), 7,06 (1H, т, J=7 Гц), 7,10 (1H, с), 7,29 (1H, д, J=7 Гц) 7,55 (1H, д, J=7 Гц). Физико-химические характеристики соединения 6 Молекулярная масса: 675. ESI (ЖХ/МС, область положительных ионов): 676 (M+H+). 1H-ЯМР (в метаноле-d4), значения химических сдвигов, 0,89 (3H, т, J=7 Гц), 1,20-1,40 (14H, м), 1,53 (4H, м), 1,72 (3H, с), 1,77 (3H, с), 1,92 (2H, м), 2,42 (2H, м), 2,57 (1H, д, J=16 Гц), 2,89 (1H, д, J=16 Гц), 2,91 (1H, дд, J=14, 9 Гц), 3,15 (1H, дд, J=14, 4,5 Гц), 3,20 (1H, д, J=7 Гц), 4,05 (1H, дд, J=8, 4 Гц), 4,47 (2H, д, J=6 Гц), 4,62 (1H, дд, J=9, 4,5 Гц), 5,43 (1H, м), 5,52 (2H, м), 6,78 (2H, д, J=9 Гц), 7,10 (2H, д, J=9 Гц). Пример 5 Синтез соединения 7 К 2 мл раствора соединения 1 (5 мг, 0,0075 ммол) в метаноле прибавляют 10% Pd-C (1 мг) и перемешивают при комнатной температуре в атмосфере газообразного водорода в течение 24 ч. Затем отфильтровывают палладиевый катализатор и фильтрат концентрируют при пониженном давлении. Полученный остаток очищают препаративной высокоэффективной жидкостной хроматографией в условиях, указанных ниже, и получают соединение 7 (1,7 мг, 34%) в виде бесцветного маслообразного вещества. Условия для высокоэффективной жидкостной хроматографии Прибор: CCPS, MCPD-3600 System (Tosoh). Колонка: CAPCELL PAK C18 (UG, 4,6 мм × 150 мм) (Shiseido). Подвижная фаза: градиентное элюирование растворителями с использованием воды, содержащей 0,005% трифторуксусной кислоты, и ацетонитрила, содержащего 0,005% трифторуксусной кислоты (65% ацетонитрил – 98% ацетонитрил, ступенчато). Физико-химические характеристики соединения 7 Молекулярная масса: 661. ESI (ЖХ/МС, область положительных ионов): 662 (M+H+). 1H-ЯМР (в метаноле-d4), значения химических сдвигов, 0,89 (3Н, т, J=7 Гц), 0,96 (6H, д, J=6,5 Гц), 1,20-1,35 (14H, м), 1,46-1,58 (4H, м), 1,64 (2H, кв., J=6,5 Гц), 1,83 (1H, квинтет, J=6,5 Гц), 1,93-2,01 (2H, м), 2,43 (4H, т, J=7,5 Гц), 2,58 (1H, д, J=16 Гц), 2,89 (1H, д, J=16 Гц), 2,91 (1H, дд, J=14, 9 Гц), 3,16 (1H, дд, J=14, 5 Гц), 3,19 (1H, д, J=8,5 Гц), 3,95 (2H, т, J=6,5 Гц), 4,64 (1H, дд, J=9, 5 Гц), 5,50-5,56 (2H, м), 6,79 (2H, д, J=8,5 Гц), 7,11 (2H, д, J=8,5 Гц). Пример 6 Синтез соединения 8 Натрийборгидрид (13 мг, 0,33 ммол) прибавляют к 1,5 мл раствора соединения 1 (22 мг, 0,033 ммол) в метаноле и перемешивают при комнатной температуре в течение 4 ч. Реакционный раствор нейтрализуют 1н. водным раствором соляной кислоты и отгоняют растворитель при пониженном давлении. К полученному остатку прибавляют дихлорметан (10 мл) и отфильтровывают нерастворимое вещество. Фильтрат затем наносят на колонку Mega Bond Elute Diol (500 мг, Varian) и получают соединение 8 (11 мг, 51%) в виде белого порошка из элюата дихлорметан/метанол (30:1). Физико-химические характеристики соединения 8 Молекулярная масса: 661. ESI (ЖХ/МС, область положительных ионов): 662 (M+H+). 1H-ЯМР (в метаноле-d4), значения химических сдвигов, 0,90 (3Н, т, J=7 Гц), 1,20-1,48 (22H, м), 1,73 (3H, с), 1,77 (3H, с), 1,93-2,04 (2H, м), 2,58 (1H, д, J=16 Гц), 2,89 (1H, д, J=16 Гц), 2,91 (1H, дд, J=14, 9 Гц), 3,16 (1H, дд, J=14, 4,5 Гц), 3,20 (1H, д, J=8 Гц), 3,44-3,53 (1H, м), 4,48 (2H, д, J=6,5 Гц), 4,64 (1H, дд, J=9, 4,5 Гц), 5,41-5,47 (1H, м), 5,51-5,56 (2H, м), 6,79 (2H, д, J=8,5 Гц), 7,11 (2H, д, J=8,5 Гц). Пример 7 Синтез соединения 9 Соединение 1 (30 мг, 0,045 ммол) прибавляют к смешанному раствору 1,4-диоксана (1 мл) и 6н. водной соляной кислоты (0,5 мл), затем перемешивают при 50°C в течение 5 мин и при комнатной температуре в течение 4 ч. Затем к жидкой реакционной смеси прибавляют воду (15 мл) и экстрагируют этилацетатом (15 мл). После промывания насыщенным водным раствором NaCl (15 мл) органический слой отделяют от воды и сушат над безводным сульфатом натрия. Растворитель затем отгоняют при пониженном давлении и получают соединение 9 (24 мг, 91%) в виде белого порошка. Физико-химические характеристики соединения 9 Молекулярная масса: 591. ESI (ЖХ/МС, область положительных ионов): 592 (M+H+). 1H-ЯМР (в метаноле-d4), значения химических сдвигов, 0,90 (3H, т, J=7 Гц), 1,20-1,40 (14H, м), 1,46-1,59 (4H, м), 1,93-2,03 (2H, м), 2,43 (4H, т, J=7 Гц), 2,62 (1H, д, J=16 Гц), 2,89 (1H, дд, J=14, 9 Гц), 2,91 (1H, д, J=16 Гц), 3,11 (1H, дд, J=14, 5 Гц), 3,21 (1H, д, J=8 Гц), 4,61 (1H, дд, J=9, 5 Гц), 5,46-5,57 (2H, м), 6,67 (2H, д, J=8,5 Гц), 7,02 (2H, д, J=8,5 Гц). Пример 8 Синтез соединения 10 К 1 мл раствора соединения 9 (12 мг, 0,020 ммол) в метаноле прибавляют 10% Pd-C (3 мг) и перемешивают при комнатной температуре в атмосфере газообразного водорода в течение 3 ч. Затем отфильтровывают палладиевый катализатор и фильтрат концентрируют при пониженном давлении. Полученный остаток затем очищают тонкослойной хроматографией (DIOL F254s, Merck, проявляющий растворитель: дихлорметан/метанол (10:1), Rf 0,4) и получают соединение 10 (3 мг, 25%) в виде белого порошка. Физико-химические характеристики соединения 10 Молекулярная масса: 593. ESI (ЖХ/МС, область положительных ионов): 594 (M+H+). 1H-ЯМР (в метаноле-d4), значения химических сдвигов, 0,90 (3Н, т, J=7 Гц), 1,03-1,40 (20H, м), 1,45-1,60 (4H, м), 2,40-2,47 (4H, м), 2,54-2,64 (1H, м), 2,65 (1H, д, J=17 Гц), 2,75-2,88 (2H, м), 3,20 (1H, дд, J=14,5, 4,5 Гц), 4,65 (1H, дд, J=10, 4,5 Гц), 6,69 (2H, д, J=8,5 Гц), 7,08 (2H, д, J=8,5 Гц). Пример 9 Синтез соединения 11 К раствору соединения 1 (20 мг, 0,030 ммол) в ДМФА (1 мл) прибавляют хлорид аммония (7,3 мг, 0,136 ммол), растворимый в воде гидрохлорид карбодиимида (WSC HC1, 28 мг, 0,145 ммол), 1-гидроксибензотриазол (HOBt, 22 мг, 0,145 ммол) и N,N-диизопропилэтиламин (DIPEA, 174 мкл, 0,145 ммол) с последующим перемешиванием при комнатной температуре в течение 17 ч. После отгонки растворителя при пониженном давлении остаток растворяют в этилацетате (20 мл), затем промывают насыщенным раствором хлорида аммония (20 мл) и насыщенным водным раствором NaCl (20 мл). После отделения и сушки органического слоя безводным сульфатом натрия растворитель отгоняют при пониженном давлении. Полученный остаток очищают препаративной высокоэффективной жидкостной хроматографией в условиях, указанных ниже, и получают соединение 11 (4,4 мг, 22%) в виде белого порошка. Условия высокоэффективной жидкостной хроматографии Прибор: CCPS, MCPD-3600 System (Tosoh). Колонка: CAPCELL PAK C18 (UG, 4,6 мм × 150 мм) (Shiseido). Подвижная фаза: градиентное элюирование растворителями с использованием воды, содержащей 0,005% трифторуксусной кислоты, и ацетонитрила, содержащего 0,005% трифторуксусной кислоты (65% ацетонитрил – 98% ацетонитрил, ступенчато). Физико-химические характеристики соединения 11 Молекулярная масса: 656. ESI (ЖХ/МС, область положительных ионов): 657 (M+H+). 1H ЯМР (в метаноле-d4), значения химических сдвигов, 0,90 (3H, т, J=7 Гц), 1,19-1,39 (14H, м), 1,46-1,59 (4H, м), 1,73 (3H, с), 1,77 (3H, с), 1,88-1,98 (2H, м), 2,28 (1H, д, J=15 Гц), 2,43 (4H, т, J=7,5 Гц), 2,74 (1H, д, J=15 Гц), 2,79 (1H, дд, J=14, 10 Гц), 3,15 (1H, дд, J=14, 4,5 Гц), 3,18 (1H, д, J=8 Гц), 4,47 (2H, д, J=6,5 Гц), 4,59 (1H, дд, J=10, 4,5 Гц), 5,39-5,49 (3H, м), 6,79 (2H, д, J=8,5 Гц), 7,13 (2H, д, J=8,5 Гц). Пример 10 Синтез соединения 12 К раствору соединения 1 (80 мг, 0,12 ммол) в метаноле (10 мл) прибавляют 10% Pd-C (10 мг) и перемешивают при комнатной температуре в течение 20 ч в атмосфере газообразного водорода. Палладиевый катализатор отфильтровывают, используя целит, и фильтрат концентрируют при пониженном давлении. Остаток затем очищают тонкослойной хроматографией (DIOL F254s, Merck, проявляющий растворитель: дихлорметан/метанол (10:1), Rf 0,8) и получают соединение 12 (41 мг, 51%) в виде белого порошка. Физико-химические характеристики соединения 12 Молекулярная масса: 663. ESI (ЖХ/МС, область положительных ионов): 664 (M+H+). 1H ЯМР (в метаноле-d4), значения химических сдвигов, 0,90 (3H, т, J=7 Гц), 0,96 (6H, д, J=6,5 Гц), 1,07-1,35 (20H, м), 1,46-1,56 (4H, м), 1,64 (2H, кв., J=6,5 Гц), 1,81 (1H, секстет, J=6,5 Гц), 2,43 (4H, т, J=7,5 Гц), 2,50-2,58 (1H, м), 2,61 (1H, д, J=16,5 Гц), 2,84 (1H, дд, J=14,5, 10,5 Гц), 2,92 (1H, д, J=16,5 Гц), 3,22 (1H, дд, J=14,5, 4 Гц), 3,95 (2H, т, J=6,5 Гц), 4,71 (1H, дд, J=10,5, 4 Гц), 6,81 (2H, д, J=8,5 Гц), 7,16 (2H, д, J=8,5 Гц). Пример 11 Синтез соединения 13 a) Синтез триметильного сложноэфирного производного соединения 1 К раствору соединения 1 (260 мг, 0,39 ммол) в смеси метанола (15 мл) и дихлорметана (15 мл) прибавляют 10% об/об раствор (4,3 мл) триметилсилилдиазометана в гексане с последующим перемешиванием при комнатной температуре в течение 3 ч. Затем жидкую реакционную смесь концентрируют при пониженном давлении и полученный остаток очищают хроматографией на Mega Bond Elute Silica Gel (2 г, Varian). Триметиловый сложный эфир соединения 1 (230 мг, 83%) получают в виде белого порошка из элюата гексан/этилацетат (1:1). Физико-химические свойства триметилового сложного эфира соединения 1 Молекулярная масса: 701. FAB-MS (область положительных ионов, матрица m-NBA): 702 (M+H+). 1H ЯМР (в метаноле-d4), значения химических сдвигов, 0,89 (3H, т, J=7 Гц), 1,20-1,37 (14H, м), 1,46-1,59 (4H, м), 1,73 (3H, с), 1,77 (3H, с), 1,93-2,03 (2H, м), 2,43 (4H, т, J=7,5 Гц), 2,60 (1H, д, J=16 Гц), 2,89 (1H, дд, J=14, 9 Гц), 2,93 (1H, д, J=16 Гц), 3,11 (1H, дд, J=14, 5 Гц), 3,19 (1H, д, J=8,5 Гц), 3,63 (3H, с), 3,71 (3H, с), 3,72 (3H, с), 4,48 (2H, д, J=6,5 Гц), 4,63 (1H, дд, J=9, 5 Гц), 5,40-5,58 (3H, м), 6,79 (2H, д, J=8,5 Гц), 7,07 (2H, д, J=8,5 Гц). b) Синтез гидразидного производного К метанольному раствору (2 мл) вышеуказанного триметилового сложного эфира соединения 1 (21 мг, 0,030 ммол) прибавляют 4-толуолсульфонилгидразид (6,7 мг, 0,036 ммол) и кипятят с обратным холодильником в течение 1,5 ч. Растворитель отгоняют при пониженном давлении и полученный остаток сушат при пониженном давлении в течение 24 ч. Остаток затем растворяют в безводном хлороформе (2 мл), прибавляют при 0°C 1 M раствор катехолборана в тетрагидрофуране (75 мкл, 0,075 ммол) и перемешивают при той же температуре в течение 3 ч. К реакционной жидкости прибавляют метанол (20 мкл) и перемешивают при комнатной температуре в течение 10 мин. Кроме того, прибавляют ацетат натрия (8 мг, 0,060 ммол) и диметилсульфоксид (32 мкл) и кипятят с обратным холодильником в течение 1 ч. Затем к реакционной жидкости прибавляют воду (20 мл) и дважды экстрагируют этилацетатом (20 мл). Органические слои объединяют, промывают насыщенным водным раствором NaCl (20 мл), затем отделяют, сушат над безводным сульфатом натрия и отгоняют растворитель при пониженном давлении. Остаток затем очищают тонкослойной хроматографией (силикагель F254, Merck, проявляющий растворитель: гексан/этилацетат (3:1), Rf 0,3) и получают гидразидную форму (ll мг, 54%) в виде белого порошка. Физико-химические свойства гидразидного производного Молекулярная масса: 687. FAB-MS (область положительных ионов, матрица m-NBA): 688 (M+H+). 1H ЯМР (в дейтерохлороформе), значения химических сдвигов, 0,88 (3Н, т, J=6,5 Гц), 1,15-1,37 (24H, м), 1,74 (3H, с), 1,80 (3H, с), 1,94-2,04 (2H, м), 2,62 (1H, д, J=16 Гц), 2,87 (1H, д, J=16 Гц), 3,00 (1H, дд, J=14, 7 Гц), 3,10 (1H, дд, J=14, 5,5 Гц), 3,16 (1H, д, J=9 Гц), 3,67 (3H, с), 3,72 (3H, с), 3,76 (3H, с), 4,47 (2H, д, J=7 Гц), 4,76-4,83 (1H, м), 5,41-5,69 (3H, м), 6,76 (1H, д, J=8 Гц), 6,80 (2H, д, J=9 Гц), 7,03 (2H, д, J=9 Гц). c) Синтез соединения 13 К раствору (1 мл) вышеуказанной гидразидной формы (10 мг, 0,015 ммол) в этаноле прибавляют 1 M водный раствор гидроксида лития и перемешивают при комнатной температуре в течение 16 ч. Жидкую реакционную смесь затем нейтрализуют 1н. водным раствором соляной кислоты и растворитель отгоняют при пониженном давлении. Остаток затем очищают тонкослойной хроматографией (DIOL F254s, Merck, проявляющий растворитель: дихлорметан/метанол (10:1), Rf 0,5) и получают соединение 13 (3 мг, 35%) в виде белого порошка. Следует отметить, что соединение 13 в данном примере получают в виде соединения, содержащего тирозиновый фрагмент в рацемической форме. Физико-химические характеристики соединения 13 Молекулярная масса: 645. ESI (ЖХ/МС, область положительных ионов): 646 (M+H+). 1H ЯМР (в метаноле-d4), значения химических сдвигов, 0,90 (3H, т, J=7 Гц), 1,18-1,44 (24H, м), 1,73 (3H, с), 1,77 (3H, с), 1,90-2,04 (2H, м), 2,57-2,68 (1H, м), 2,86-3,22 (4H, м), 4,47 (2H, д, J=6,5 Гц), 4,56-4,67 (1H, м), 5,39-5,65 (3H, м), 6,78-6,84 (2H, м), 7,09-7,16 (2H, м). Пример 12 Синтез соединения 14 Соединение 1 (10 мг, 0,015 ммол) и дигидрохлорид О-(2-аминоэтил)гидроксиламина (4,5 мг, 0,030 ммол) растворяют в пиридине (0,2 мл) с последующим перемешиванием при комнатной температуре в течение 16 часов. Растворитель отгоняют при пониженном давлении, остаток очищают тонкослойной хроматографией (DIOL F254s, Merck, проявляющий растворитель: дихлорметан/метанол (5:1), Rf 0,5) и получают соединение 14 (Ro 4575919) (7,7 мг, 71%) в виде бесцветного маслообразного вещества. Физико-химические характеристики соединения 14 Молекулярная масса: 717. ESI (ЖХ/МС, область положительных ионов): 718 (M+H+). 1H ЯМР (в метаноле-d4), значения химических сдвигов, 0,90 (3Н, т, J=7 Гц), 1,21-1,40 (14H, м), 1,42-1,56 (4H, м), 1,74 (3H, с), 1,78 (3H, с), 1,88-2,04 (2H, м), 2,18 (2H, т, J=7,5 Гц), 2,30-2,37 (2H, м), 2,63 (1H, д, J=15 Гц), 2,84-2,97 (2H, м), 3,12-3,25 (4H, м), 4,18 (2H, т, J=5 Гц), 4,48 (2H, д, J=6,5 Гц), 4,63 (1H, дд, J=9, 4 Гц), 5,40-5,62 (3H, м), 6,80 (2H, д, J=8,5 Гц), 7,11 (2H, д, J=8,5 Гц). Пример 13 Синтез соединения 15 Соединение 1 (10 мг, 0,015 ммол) и гидрохлорид O-метилгидроксиламина (2,5 мг, 0,030 ммол) растворяют в пиридине (0,2 мл) с последующим перемешиванием при комнатной температуре в течение 15 часов. После отгонки растворителя при пониженном давлении остаток очищают хроматографией на Mega Bond Elute Diol (500 мг, Varian). Соединение 15 (9,6 мг, 92%) получают в виде бесцветного маслообразного вещества из элюата дихлорметан/метанол (25:1). Физико-химические характеристики соединения 15 Молекулярная масса: 688. ESI (ЖХ/МС, область положительных ионов): 689 (M+H+). 1H ЯМР (в метаноле-d4), значения химических сдвигов, 0,90 (3H, т, J=7 Гц), 1,20-1,36 (14H, м), 1,40-1,50 (4H, м), 1,74 (3H, с), 1,78 (3H, с), 1,91-2,00 (2H, м), 2,14 (2H, т, J=7,5 Гц), 2,27 (2H, т, J=7,5 Гц), 2,59 (1H, д, J=16 Гц), 2,90 (1H, д, J=16 Гц), 2,91 (1H, дд, J=14, 9 Гц), 3,16 (1H, дд, J=14, 4,5 Гц), 3,20 (1H, д, J=8,5 Гц), 3,75 (3H, с), 4,48 (2H, д, J=6,5 Гц), 4,64 (1H, дд, J=9, 4,5 Гц), 5,41-5,49 (1H, м), 5,52-5,60 (2H, м), 6,80 (2H, д, J=8,5 Гц), 7,11 (2H, д, J=8,5 Гц). Кроме того, следующие соединения могут быть синтезированы способами, аналогичными описанным выше. Далее, способ получения следующего соединения формулы (I) по данному изобретению и фармакологическая активность соединения формулы (I) будет описана на примерах. Пример 14 1-1 (стадия 1-1) Способом, описанным в литературе (J. Org. Chem. 1989, 45, 5522, B.E. Marron, et al.), синтезируют соединение а (70,1 г) формулы, раствор этого соединения в безводном диэтиловом эфире (700 мл) охлаждают до 0°C и медленно прибавляют к нему бис(2-метоксиэтокси)алюмогидрид натрия (414 ммол, 121 мл, 70% раствор в толуоле). Ледяную баню удаляют через 5 мин после окончания прибавления реагента и продолжают перемешивание при комнатной температуре в течение 1 ч. Реакционную смесь охлаждают до 0°C и медленно прибавляют безводный этилацетат (19,8 мл, 203 ммол). После перемешивания смеси при той же температуре в течение 10 мин ее охлаждают до -78°C, затем прибавляют йод (76,1 г, 300 ммол). Температуру смеси постепенно повышают до комнатной в течение 2 ч для завершения реакции. К реакционной смеси прибавляют водный раствор гидросульфита натрия, затем этилацетат. После фильтрования реакционного раствора в вакууме через целит органический слой отделяют, а водный слой опять экстрагируют этилацетатом. Объединенный органический слой сушат над безводным сульфатом натрия, упаривают при пониженном давлении и получают неочищенное соединение, указанное в заголовке (100 г) в виде светло-коричневого масла. Полученный таким образом неочищенный продукт используют как таковой в последующей реакции. Физико-химические характеристики соединения b Молекулярная масса: 466. FAB-MS (область положительных ионов, матрица m-NBA): 467 (M+H+). 1H ЯМР (в дейтерохлороформе), значения химических сдвигов, 1,04 (9Н, с), 1,44(1H, т, J=5 Гц), 2,73 (2H, т, J=6 Гц), 3,80 (2H, т, J=6 Гц), 4,18 (2H, т, J=5 Гц), 5,91 (1H, т, J=5 Гц), 7,35-7,46 (6H, м), 7,65-7,69 (4H, м). 1-2 (Стадия 1-2) Раствор (300 мл) соединения b, полученного в вышеуказанной реакции, в дихлорметане охлаждают до 0°C и к нему прибавляют дигидропиран (22,7 мл, 248 ммол). К указанному раствору прибавляют пара-толуолсульфонат пиридиния (260 мг, 1 ммол). Через час прибавляют водный раствор бикарбоната натрия, чтобы остановить реакцию. Отделенный органический слой промывают насыщенным водным раствором NaCl и сушат над безводным сульфатом натрия, затем упаривают при пониженном давлении. Полученное неочищенное соединение с (108 г) используют как таковое в последующей реакции. Физико-химические характеристики соединения c Молекулярная масса: 550. FAB-MS (область положительных ионов, матрица m-NBA): 551 (M+H+). 1H ЯМР (в дейтерохлороформе), значения химических сдвигов, 1,04 (9H, с), 1,49-1,91 (6H, м), 2,74 (2H, т, J=6 Гц), 3,46-3,58 (2H, м), 3,76 (2H, т, J=6 Гц), 3,82-3,93 (1H, м), 4,06 (1H, дд, J=13, 6 Гц), 4,27 (1H, дд, J=13, 6 Гц), 4,65 (1H, т, J=3 Гц), 5,91 (1H, т, J=5 Гц), 7,35-7,43 (6H, м), 7,65-7,69 (4H, м). 1-3 (стадия 1-3) Неочищенное соединение с (4,73 г) растворяют в безводном диэтиловом эфире (30 мл) и охлаждают до -78°C. К раствору медленно прибавляют трет-бутиллитий (17,2 ммол, 10,7 мл, 1,6н. раствор в пентане). Затем смесь перемешивают при той же температуре в течение 1 ч, прибавляют параформальдегид (18,9 ммол, 570 мг) и смесь перемешивают при той же температуре в течение 30 мин. Температуру смеси поднимают до 0°C и перемешивают в течение 1 ч, затем к ней прибавляют водный раствор хлорида аммония, чтобы остановить реакцию, и реакционную смесь экстрагируют этилацетатом. Водный слой экстрагируют небольшим количеством этилацетата и объединенный органический слой промывают насыщенным водным раствором NaCl, затем сушат над безводным сульфатом натрия. Неочищенный продукт, полученный упариванием в вакууме, очищают на хроматографической колонке (силикагель, гексан-этилацетат 9:1-4:1) и получают соединение d (1,635 г) в виде бесцветного масла. Физико-химические характеристики соединения d Молекулярная масса: 454. FAB-MS (область положительных ионов, матрица m-NBA): 455 (M+H+). 1H ЯМР (в дейтерохлороформе), значения химических сдвигов, 1,04 (9Н, с), 1,49-1,89 (6Н, м), 2,41 (2Н, т, J=6 Гц), 3,03 (1H, т, J=6 Гц), 3,47-3,58 (2H, м), 3,75-3,92 (3H, м), 4,08-4,26 (4H, м), 4,68 (1H, т, J=3 Гц), 5,53 (1H, т, J=7 Гц), 7,35-7,47 (6H, м), 7,64-7,68 (4H, м). 1-4 (стадия 1-4) Раствор (2 мл) соединения d (344 мг, 0,76 ммол) и имидазола (77 мг, 1,14 ммол) в безводном N,N-диметилформамиде охлаждают до 0°C и к нему прибавляют трет-бутилдифенилхлорсилан (0,2 мл, 0,76 ммол) с последующим перемешиванием смеси в течение 2 ч. Затем прибавляют водный раствор хлорида аммония, чтобы остановить реакцию, и реакционную смесь экстрагируют гексаном. Органический слой промывают два раза водой, насыщенным водным раствором NaCl, сушат над безводным сульфатом натрия, упаривают при пониженном давлении и получают неочищенное соединение е (554 мг) в виде бесцветного масла. Физико-химические характеристики соединения e Молекулярная масса: 692. FAB-MS (область положительных ионов, матрица m-NBA): 715 (M+Na+). 1H ЯМР (в дейтерохлороформе), значения химических сдвигов, 1,00 (9H, с), 1,04 (9H, с), 1,38-1,82 (6H, м), 2,49 (2H, т, J=7 Гц), 3,29-3,42 (1H, м), 3,63-3,85 (4H, м), 4,00-4,09 (1H, м), 4,14 (2H, с), 4,46 (1H, т, J=3 Гц), 5,43 (1H, т, J=7 Гц), 7,29-7,48 (12H, м), 7,57-7,78 (8H, м). 1-5 (стадия 1-5) пара-Толуолсульфонат пиридиния (90 мг, 0,36 ммол) прибавляют к раствору (6 мл) соединения e (1,16 г, 1,67 ммол) в этаноле и смесь перемешивают при 60°C в течение 3,5 ч. После охлаждения раствора до комнатной температуры прибавляют насыщенный водный раствор бикарбоната натрия, затем реакционную смесь экстрагируют этилацетатом. Органический слой промывают последовательно водой и насыщенным водным раствором NaCl, сушат над безводным сульфатом натрия и упаривают при пониженном давлении. Полученный таким образом сырой продукт очищают хроматографически на колонке (силикагель, гексан-этилацетат 20:1) и получают соединение f (825 мг, 81%) в виде бесцветного масла. Физико-химические характеристики соединения f Молекулярная масса: 608. FAB-MS (область положительных ионов, матрица m-NBA): 631 (M+Na+). 1H ЯМР (в дейтерохлороформе), значения химических сдвигов, 1,01 (9H, с), 1,01 (9H, с), 1,23 (1H, т, J=6 Гц), 2,41 (2H, т, J=7 Гц), 3,75 (2H, т, J=7 Гц), 3,90 (2H, т, J=6 Гц), 4,14 (2H, с), 5,47 (1H, т, J=7 Гц), 7,29-7,47 (12H, м), 7,57-7,75 (8H, м). 1-6 (стадия 1-6) Круглодонную колбу, в которую помещен якорь, нагревают и сушат при пониженном давлении, замещают воздух азотом, прибавляют в колбу безводный дихлорметан (60 мл) и затем охлаждают до -20°C. Последовательно прибавляют тетраизопропоксид титана (2,33 мл, 7,88 ммол) и диэтил L-(+)-тартрат (1,62 мл, 9,46 ммол) и, после перемешивания смеси в течение 15 мин, прибавляют раствор (30 мл) соединения f (4,80 г, 7,88 ммол) в дихлорметане, затем перемешивают смесь в течение 15 минут. Смесь охлаждают до -25°C и медленно прибавляют по каплям трет-бутилгидропероксид (5,25 мл, 15,8 ммол, 3н раствор в дихлорметане). После завершения прибавления смесь перемешивают при -20°C в течение 2 ч, прибавляют диметилсульфид (1,1 мл) и перемешивают при той же температуре дополнительно в течение 1 ч. К реакционному раствору прибавляют 10% водный раствор винной кислоты, смесь перемешивают 30 мин и затем еще 1 ч при комнатной температуре. Органический слой отделяют и водный слой экстрагируют небольшим количеством дихлорметана. Объединенный органический слой сушат над безводным сульфатом натрия. Неочищенный продукт, полученный упариванием в вакууме, очищают хроматографией на колонке (силикагель, гексан-этилацетат 9:1) и получают соединение g (4,78 г, 97%) в виде бесцветного масла. Асимметрический выход (>95%) определяют ЯМР анализом соответствующего сложного эфира МТРА. Физико-химические характеристики соединения g. Молекулярная масса: 624. FAB-MS (область положительных ионов, матрица m-NBA): 647 (M+Na+). 1H ЯМР (в дейтерохлороформе), значения химических сдвигов, 1,02 (9Н, с), 1,03 (9Н, с), 1,72 (1Н, т, J=6 Гц), 1,82 (1H, дт, J=14, 7 Гц), 2,23 (1H, дт, J=14, 6 Гц), 3,17 (1H, дд, J=6, 5 Гц), 3,55-3,79 (6H, м), 7,32-7,45 (12H, м), 7,60-7,65 (8H, м). 1-7 (стадия 1-7) В атмосфере азота хлорид бисциклопентадиенилцирконийгидрида (10,11 г, 37,2 ммол) прибавляют к раствору (100 мл) соединения Физико-химические свойства соединения h Молекулярная масса: 907. FAB-MS (область положительных ионов, матрица m-NBA): 906 (M-H+). 1H ЯМР (в дейтерохлороформе), значения химических сдвигов, 0,88 (3Н, т, J=7 Гц), 0,99 (9H, с), 1,04(9H, с), 1,18-1,63 (22H, м), 1,78-2,01 (4H, м), 2,44-2,57 (1H, м), 3,00 (1H, т, J=6 Гц), 3,59-3,92 (10H, м), 4,28 (1H, с), 5,37-5,55 (2H, м), 7,29-7,65 (20H, м). 1-8 (стадия 1-8) Соединение h (5,30 г, 5,84 ммол) растворяют в дихлорметане (200 мл) и 2,2-диметоксипропане (150 мл), прибавляют пара-толуолсульфонат пиридиния(15 мг, 0,058 ммол) и перемешивают смесь при комнатной температуре в течение ночи. Затем прибавляют насыщенный раствор бикарбоната натрия, чтобы остановить реакцию, и смесь дважды экстрагируют дихлорметаном. Органический слой сушат над безводным сульфатом натрия и упаривают при пониженном давлении. Сырой продукт, полученный таким образом, очищают колоночной хроматографией (силикагель, гексан-этилацетат 20:1) и получают соединение i (4,69 г, 86%) в виде бледно-желтого масла. Физико-химические свойства соединения i Молекулярная масса: 947. FAB-MS (область отрицательных ионов, матрица m-NBA): 946 (M-H+). 1H ЯМР (в дейтерохлороформе), значения химических сдвигов, 0,88 (3H, т, J=6 Гц), 1,02 (9H, с), 1,05(9H, с), 1,14-1,63 (28H, м), 1,78-2,16 (4H, м), 2,41-2,51 (1H, м), 3,47 (1H, д, J=10 Гц), 3,64-3,86 (6H, м), 3,92 (с, 4H), 5,36-5,42 (2H, м), 7,28-7,47 (12H, м), 7,61-7,69 (8H, м). 1-9 (стадия 1-9) Раствор (50 мл) соединения i (4,39 г, 4,64 ммол) в тетрагидрофуране охлаждают до 0°C и прибавляют фторид тетрабутиламмония (10,2 мл, 10,2 ммол в виде 1М раствора в тетрагидрофуране) и уксусную кислоту (0,53 мл, 9,27 ммол). Температуру смеси постепенно повышают до комнатной и смесь перемешивают в течение 2 дней. Прибавляют насыщенный водный раствор хлорида аммония и смесь два раза экстрагируют дихлорметаном. Объединенный органический слой промывают водным раствором бикарбоната натрия, сушат над безводным сульфатом натрия, упаривают при пониженном давлении и сырой продукт, полученный таким образом, очищают колоночной хроматографией (силикагель, гексан-этилацетат 9:1-3:2) и получают соединение j (1,73 г, 81%) в виде светло-желтого масла. Физико-химические свойства соединения j Молекулярная масса: 470. FAB-MS (область отрицательных ионов, матрица m-NBA): 493 (M+Na+). 1H ЯМР (в дейтерохлороформе), значения химических сдвигов, 0,88 (3Н, т, J=6 Гц), 1,17-1,73 (26H, м), 1,91-2,16 (4H, м), 2,44 (1H, ушир.с,), 2,73 (1H, дт, J=6, 10 Гц), 2,95 (1H, ушир.с,), 3,48 (1H, д, J=ll Гц), 3,63-4,01 (м, 10H), 5,15 (1H, дд, J=15, 9 Гц), 5,55 (1H, дт, J=15, 7 Гц). 1-10 (стадия 1-10). В атмосфере азота раствор (17 мл) оксалилхлорида (0,575 мл, 6,6 ммол) в безводном дихлорметане охлаждают до -78°C и прибавляют по каплям раствор (1 мл) диметилсульфоксида (0,936 мл, 13,2 ммол) в дихлорметане, затем смесь перемешивают в течение 15 мин. Медленно прибавляют по каплям раствор (5 мл) соединения j (388 мг, 0,824 ммол) в дихлорметане. После перемешивания смеси при той же температуре в течение 1 ч прибавляют триэтиламин (3 мл, 21,4 ммол) и смесь перемешивают дополнительно в течение 30 мин. Убирают охлаждающую баню, раствор продувают азотом для удаления легкокипящего соединения и сушат при пониженном давлении. К остатку прибавляют диэтиловый эфир (15 мл), нерастворимые вещества удаляют фильтрованием и упаривают фильтрат. Указанную процедуру повторяют дважды и остаток, полученный таким образом, немедленно используют в последующей реакции. Вышеуказанный неочищенный диальдегид растворяют в 2-метил-2-пропаноле (24 мл) и 2-метил-2-бутене (6 мл) и смесь охлаждают приблизительно до 5-7°C. К полученному раствору медленно по каплям прибавляют водный раствор (7,45 мл) хлорита натрия (745 мг, 8,24 ммол) и дигидрофосфата натрия (745 мг, 6,21 ммол). Через 2 ч смесь охлаждают до 0°C и прибавляют водный раствор дигидрофосфата натрия, чтобы довести pH приблизительно до 5. Смесь три раза экстрагируют дихлорметаном, объединенный органический слой промывают насыщенным водным раствором NaCl, сушат над безводным сульфатом натрия, фильтруют и упаривают при пониженном давлении. Получают светло-желтое масло, которое используют в последующей реакции без дополнительной очистки. Неочищенную дикарбоновую кислоту растворяют в ди-трет-бутилацетале N,N-диметилформамида (4,5 мл) и смесь перемешивают при 70°C в течение 1 ч. Низкокипящее соединение отгоняют при пониженном давлении. Остаток очищают колоночной хроматографией (силикагель, гексан-этилацетат 20:1) и получают соединение k (340 мг, 60%) в виде светло-желтого масла. Физико-химические свойства соединения k Молекулярная масса: 610. FAB-MS (область положительных ионов, матрица m-NBA): (M+H+) 611, (M+Na+) 633. 1H ЯМР (в дейтерохлороформе), значения химических сдвигов, 0,88 (3Н, т, J=6 Гц), 1,18-1,64 (46H, м), 1,99 (2H, кв., J=7 Гц), 2,69 (2H, ABкв., J=15, 18 Гц), 2,93 (1H, кв., J=7 Гц), 3,82-3,88 (2H, м), 3,92 (4H, с), 5,51-5,69 (2H, м). 1-11 (стадия 1-11) Соединение k (340 мг, 0,556 ммол) растворяют в тетрагидрофуране (1 мл), прибавляют 80% водный раствор уксусной кислоты (10 мл) и перемешивают при комнатной температуре в течение 3,5 ч. Для нейтрализации уксусной кислоты смесь медленно прибавляют к насыщенному раствору бикарбоната натрия, затем дважды экстрагируют этилацетатом. Экстракт сушат над безводным сульфатом натрия, фильтруют и упаривают при пониженном давлении, получая соединение 1 (290 мг, 99%) в виде светло-желтого масла. Физико-химические свойства соединения 1 Молекулярная масса: 526. FAB-MS (область положительных ионов, матрица m-NBA): (M+H+) 527, (M+Na+) 549. 1H ЯМР (в дейтерохлороформе), значения химических сдвигов, 0,88 (3H, т, J=7 Гц), 1,18-1,68 (36H, м), 2,01 (2H, кв., J=7 Гц), 2,25-2,41 (5H, м), 1,99 (1H, д, J=7 Гц), 2,04 (1H, д, J=7 Гц), 3,62-3,82 (2H, м), 3,99 (1H, с), 5,42 (1H, дд, J=9, 15 Гц), 5,58 (1H, дт, J=16, 6 Гц). 1-12 (стадия 1-12) Ацетон (45 мл) охлаждают до 0°C и прибавляют реагент Джонса (0,48 мл, 0,9 ммол, 1,89н.). К полученной смеси медленно по каплям прибавляют раствор (3 мл) соединения 1 (216 мг, 0,41 ммол) в ацетоне. После перемешивания смеси при той же температуре в течение 1 ч прибавляют водный раствор гидросульфита натрия до тех пор, пока не исчезнет желтая окраска реакционного раствора и не появится темно-зеленый осадок, затем реакцию останавливают. Прибавляют насыщенный водный раствор NaCl (20 мл) и смесь дважды экстрагируют дихлорметаном. Объединенный органический слой сушат над безводным сульфатом натрия, затем упаривают при пониженном давлении, остаток очищают хроматографически на колонке с силикагелем (дихлорметан-метанол 50:1-20:1) и получают соединение m (198 мг, 89%) в виде светло-желтого масла. Физико-химические свойства соединения m Молекулярная масса: 541. ESI (ЖХ/МС, область положительных ионов): (M+H+) 542. 1H ЯМР (в дейтерохлороформе), значения химических сдвигов, 0,88 (3Н, т, J=6 Гц), 1,16-1,67 (36H, м), 1,99 (2H, кв., J=6 Гц), 2,35 (4H, т, J=8 Гц), 2,70 (1H, д, J=16 Гц), 2,90 (1H, д, J=16 Гц), 3,28 (1H, д, J=9 Гц), 5,52 (1H, дд, J=9, 15 Гц), 5,68 (1H, дт, J=15, 5 Гц). 1-13 (стадия 1-13) Раствор (1 мл) соединения m (6,4 мг, 0,012 ммол) и гидрохлорида трет-бутилового эфира (S)-4-(2-бутинилокси)фенилаланина (4,6 мг, 0,014 ммол) в N,N-диметилформамиде охлаждают до -10°C и прибавляют последовательно N,N-диизопропилэтиламин (0,005 мл, 0,026 ммол) и гексафторфосфат О-(7-азабензотриазол-1-ил)-N,N,N’,N’-тетраметилурония (7,0 мг, 0,017 ммол). Температуру смеси медленно повышают до комнатной температуры и смесь перемешивают в течение ночи. Прибавляют водный раствор хлорида аммония, чтобы остановить реакцию, и смесь экстрагируют этилацетатом. После промывания органического слоя водой (два раза) и насыщенным водным раствором NaCl его сушат над безводным сульфатом натрия. После фильтрования и концентрирования при пониженном давлении остаток очищают тонкослойной хроматографией на силикагеле (гексан-этилацетат 7:3) и получают соединение n (8,4 мг, 88%) в виде бесцветного твердого вещества. Физико-химические свойства соединения n ESI (ЖХ/МС, область положительных ионов): 834 (M+Na+). 1H ЯМР (в дейтерохлороформе), значения химических сдвигов, 0,86 (3Н, т, J=6 Гц), 1,12-1,68 (45H, м), 1,85 (3H, т, J=1,9 Гц), 1,90-2,03 (2H, м), 2,29-2,43 (4H, м), 2,59 (1H, д, J=16,5 Гц), 2,76 (1H, д, J=16,5 Гц), 2,97-3,14 (3H, м), 4,22 (1H, с), 4,57-4,74 (3H, м), 5,46 (1H, дд, J=9,2, 15,2 Гц), 5,64 (1H, дт, J=6,6, 15,2 Гц), 6,86 (2H, д, J=8,6 Гц), 7,01 (1H, д, J=7,9 Гц), 7,13 (2H, д, J=8,6 Гц). 1-14 (стадия 1-14) Раствор (3 мл) соединения n (8,4 мг) в дихлорметане охлаждают до 0°C и последовательно прибавляют анизол (0,01 мл) и трифторуксусную кислоту (1 мл). Температуру смеси медленно поднимают до комнатной и смесь перемешивают в течение ночи. Реакционный раствор упаривают при пониженном давлении и затем дважды подвергают азетропной обработке бензолом. Остаток очищают на колонке Megabond Elute Diol (500 мг, Varian) (дихлорметан-метанол=20:1) и получают соединение 21 (5,3 мг, 80%) в виде бесцветного твердого вещества. Физико-химические свойства соединения 21 Молекулярная масса: 643. ESI (ЖХ/МС, область положительных ионов): 644 (M+H+). 1H ЯМР (в метаноле-d4),значения химических сдвигов, 0,90 (3H, т, J=7 Гц), 1,19-1,38 (14H, м), 1,42-1,60 (4H, м), 1,82 (3H, т, J=2 Гц), 1,89-2,02 (2H, м), 2,44 (4H, т, J=7 Гц), 2,58 (1H, д, J=16 Гц), 2,78-2,98 (2H, м), 3,09-3,23 (2H, м), 4,53-4,67 (3H, м), 5,39-5,61 (2H, м), 6,83 (2H, д, J=9 Гц), 7,13 (2H, д, J=9 Гц) Препаративный пример 1 Способ синтеза соединения Стадия 2-1. 8-Нониновую кислоту (50 г, 0,32 мол) прибавляют по каплям к раствору (500 мл) гидрохлорида N,O-диметилгидроксиламина (63,3 г, 0,65 мол), растворимого в воде гидрохлорида карбодиимида (WSC-HC1) (124 г, 0,65 мол), 1-гидроксибензотриазола (HOBt) (99,3 г, 0,65 мол) и N,N-диизопропилэтиламина (DIPEA) (220 мл, 1,3 мол) в дихлорметане при 0°C и смесь перемешивают при комнатной температуре в течение 15 ч. Реакционный раствор промывают насыщенным водным раствором хлорида аммония (400 мл), насыщенным водным раствором гидрокарбоната натрия (400 мл) и насыщенным водным раствором NaCl (300 мл). Органический слой отделяют, сушат над безводным сульфатом натрия, растворитель отгоняют при пониженном давлении. Полученный таким образом остаток очищают хроматографией на колонке (Wako gel C-300, 500 г, Wako Purechemical) и получают соединение Физико-химические свойства соединения Молекулярная масса: 197. ESI (ЖХ/МС, область положительных ионов): 198 (M+H+). 1H ЯМР (в дейтерохлороформе), значения химических сдвигов, 1,30-1,70 (8Н, м), 1,94 (1Н, т, J=2,5 Гц), 2,19 (2H, дт, J=2,5, 7 Гц), 2,42 (2H, т, J=7,5 Гц), 3,18 (3H, с), 3,68 (3H, с). Стадия 2-2 1М раствор (100 мл, 0,1 мол) н-гептилмагнийбромида в диэтиловом эфире прибавляют по каплям к раствору (100 мл) соединения Физико-химические свойства соединения Молекулярная масса: 236. ЭУ-МС (EI-MS): 236 (M+). 1H ЯМР (в дейтерохлороформе), значения химических сдвигов, 0,88 (3H, т, J=6,5 Гц), 1,23-1,63 (18H, м), 1,94 (1H, дт, J=0,5, 2,5 Гц), 2,18 (2H, дт, J=2,5, 7 Гц), 2,36-2,42 (4H, м). Стадия 2-3 Описанное выше соединение Физико-химические свойства соединения Молекулярная масса: 280. ЭУ-МС: 280 (M+). 1H ЯМР (в дейтерохлороформе), значения химических сдвигов, 0,88 (3Н, т, J=6,5 Гц), 1,23-1,63 (22H, м), 1,93 (1H, т, J=2,5 Гц), 2,18 (2H, дт, J=2,5, 7 Гц), 3,92 (4H, с). Соединения, приводимые в примерах 15-19, синтезируют так же, как соединения, описанные в примере 14. Пример 15 Физико-химические свойства соединения 22 Молекулярная масса: 635. ESI (ЖХ/МС, область положительных ионов): 636 (M+H+). 1H ЯМР (в метаноле-d4), значения химических сдвигов, 0,89 (3H, т, J=7,0 Гц), 1,17-1,36 (14H, м), 1,45-1,60 (4H, м), 1,90-2,02 (2H, м), 2,41-2,45 (4H, м), 2,53 (1H, д, J=16,0 Гц), 2,87 (1H, д, J=16,0 Гц), 2,92 (1H, дд, J=8,8, 14,0 Гц), 3,16-3,20 (2H, м), 3,78 (3H, с), 3,80 (3H, с), 4,67 (1H, дд, J=4,8, 9,2 Гц), 5,47-5,58 (2H, м), 6,75 (1H, м), 6,82-6,84 (2H, м). Пример 16 Физико-химические свойства соединения 23 Молекулярная масса: 647. ESI (ЖХ/МС, область положительных ионов): 648 (M+H+). 1H NMR (в метаноле-d4), значения химических сдвигов, 0,80 (3H, т, J=7 Гц), 0,98 (3H, т, J=7 Гц), 1,19-1,62 (20H, м), 1,91-2,03 (2H, м), 2,38-2,46 (4H, м), 2,57 (1H, д, J=8 Гц), 2,84-2,96 (2H, м), 3,11-3,23 (2H, м), 3,92 (2H, т, J=7 Гц), 4,63 (1H, дд, J=9, 5 Гц), 5,42-5,61 (2H, м), 6,80 (2H, д, J=9 Гц), 7,11 (2H, д, J=9 Гц). Пример 17 Физико-химические свойства соединения 24 Молекулярная масса: 633. ESI (ЖХ/МС, область положительных ионов): 634 (M+H+). 1H ЯМР (в метаноле-d4), значения химических сдвигов, 0,90 (3Н, т, J=7 Гц), 1,03 (3H, т, J=7 Гц), 1,17-1,40 (14H, м), 1,43-1,60 (4H, м), 1,77 (2H, кв., J=7 Гц), 1,91-2,01 (2H, м), 2,39-2,49 (4H, м), 2,56 (1H, д, J=17 Гц), 2,80-2,97 (2H, м), 3,10-3,20 (2H, м), 3,88 (2H, т, J=7 Гц), 4,64 (1H, дд, J=9, 5 Гц), 5,42-5,61 (2H, м), 6,80 (2H, д, J=9 Гц), 7,12 (2H, д, J=9 Гц). Пример 18 Физико-химические свойства соединения 25 Молекулярная масса 631 ESI (ЖХ/МС область положительных ионов)632 (M+H+) 1H NMR (в метаноле-d4), значения химических сдвигов, 0,89 (3H, т, J=7 Гц), 1,14-1,38 (14H, м), 1,42-1,58 (4H, м), 1,89-2,01 (2H, м), 2,37-2,46 (4H, м), 2,57 (1H, д, J=16 Гц), 2,82-2,96 (2H, м), 3,11-3,22 (2H, м), 4,45-4,52 (2H, м), 4,63 (1H, дд, J=9, 4 Гц), 5,22 (1H, дд, J=10, 1 Гц), 5,37 (1H, дд, J=17, 1 Гц), 5,45-5,59 (2H, м), 5,97-6,10 (1H, м), 6,82 (2H, д, J=9 Гц), 7,14 (2H, д, J=9 Гц). Пример 19 Физико-химические свойства соединения 26 Молекулярная масса: 605. ESI (ЖХ/МС, область положительных ионов): 606 (M+H+). 1H ЯМР (в метаноле-d4), значения химических сдвигов, 0,90 (3Н, т, J=7 Гц), 1,18-1,40 (14H, м), 1,42-1,58 (4H, м), 1,91-2,01 (2Н, м), 2,38-2,47 (4Н, м), 2,53 (1Н, д, J=15 Гц), 2,80-2,97 (2H, м), 3,11-3,21 (2H, м), 3,75 (3H, с), 4,64 (1H, дд, J=9, 5 Гц), 5,44-5,62 (2H, м), 6,81 (2H, д, J=9 Гц), 7,13 (2H, д, J=9 Гц) Репликон-тест Получают конструкцию, в которой ген люциферазы из светлячка интегрирован в качестве гена-репортера в ВГС-РНК, чтобы определить число копий ВГС-РНК. Ген люциферазы вводят в форме, которая соединена с геном устойчивости к неомицину, непосредственно ниже IRES (Internal Ribosome Entry Site) гена ВГС в соответствии с методом Кригера с сотр. (J. Virol. 75: 4614). После синтеза РНК in vitro, ее вводят в Huh7 клетки электропорацией с последующим выделением в виде G418-резистентного клона. Репликон-клетки ВГС и люциферазы светлячка (3-1) суспендируют в модифицированной по способу Дульбекко минимальной поддерживающей среде (Gibco Cat. No. 10569-010), содержащей 5% фетальной телячьей сыворотки (Hyclone Cat. No. SH30071,03), и инокулируют в 96-луночный планшет по 5000 клеток на лунку с последующим культивированием в течение ночи в атмосфере 5% CO2 при 37°C. Примерно через 20 часов в каждую лунку прибавляют 10 мкл разбавленного соединения и затем культивируют дополнительно в течение 3 дней. Готовят две группы планшетов для анализа и проводят анализ, используя белые планшеты для одного вида анализа и прозрачные планшеты – для другого. После завершения культивирования белые планшеты используют в комбинации с аналитической системой Steady-Glo Luciferase Assay System (Promega Cat. No.E2520). Более конкретно, в каждую лунку помещают 100 мкл реагента и после перемешивания пипеткой 3-4 раза и выдерживания в течение 5 мин измеряют люминесценцию с помощью прибора 1450 MicroBeta TRILUX (WALLAC). Значение, которое получают в отсутствие добавленных клеток, используют для индикации фонового уровня, и это значение вычитают из всех значений, чтобы вычислить величину IC50 (концентрацию, которая приводит к 50% ингибированию) лекарственного средства, считая, что люминесценции, полученной в отсутствие лекарственного средства, соответствует 0% ингибирование. Тест на цитотоксичность Для определения цитотоксичности используют систему подсчета клеток Cell Counting Kit-8 (Dojindo Cat. No. CK04). Более конкретно, 10 мкл системы для подсчета клеток наносят на прозрачные планшеты с последующим инкубированием при 37°C в течение 30-60 минут. С помощью считывающего устройства 96-луночного планшета измеряют поглощение при длине волны 450 нм и контрольной длине волны 630 нм. Величину, полученную в отсутствие добавленных клеток, используют в качестве фонового значения, и эту величину вычитают из всех остальных значений, чтобы вычислить величину CC50 (концентрацию, приводящую к ингибированию 50% клеток) для лекарственного средства исходя из того, что при его отсутствии наблюдается 0% ингибирование.
Промышленная применимость Соединения по данному изобретению обладают чрезвычайно высокой анти-ВГС активностью и ингибируют рост ВГС, и, поскольку они обладают лишь умеренной цитотоксичностью in vivo, фармацевтическая композиция, содержащая соединение по данному изобретению, является чрезвычайно полезной в качестве профилактического/терапевтического средства против ВГС.
Формула изобретения
1. Лекарственное средство против вируса гепатита С (ВГС), содержащее соединение, представленное следующей общей формулой (I): где А представляет собой фенильную группу, замещенную -ОХ, или 3-индолильную группу; X представляет собой атом водорода, линейную или разветвленную алкильную группу, содержащую 1-8 атомов углерода, линейную или разветвленную алкенильную группу, содержащую 2-8 атомов углерода, или линейную или разветвленную алкинильную группу, содержащую 2-8 атомов углерода; В представляет собой атом водорода, гидроксильную группу, оксогруппу, =N-OH или =N-OR6; R6 представляет собой линейную или разветвленную алкильную группу, содержащую 1-8 атомов углерода (которая может быть замещена аминогруппой, которая может быть моно- или дизамещена линейной или разветвленной алкильной группой, содержащей 1-4 атома углерода); D представляет собой атом водорода или гидроксильную группу; связь Е представляет собой простую связь или двойную связь; R1, R2 и R3 могут быть одинаковыми или различными, и каждый представляет собой гидроксильную группу, аминогруппу (которая может быть моно- или дизамещена линейной или разветвленной алкильной группой, содержащей 1-4 атома углерода) или -OZ; и Z представляет собой линейную или разветвленную алкильную группу, содержащую 1-4 атома углерода, или его фармацевтически приемлемую соль. 2. Лекарственное средство против ВГС по п.1, содержащее соединение формулы (I) по п.1, представленное следующей общей формулой (I’), или его фармацевтически приемлемую соль: где А, В, D, связь Е, R1, R2 и R3 такие, как определено в п.1. 3. Лекарственное средство против ВГС по п.1 или 2, содержащее соединение формулы (I), или его фармацевтически приемлемую соль, где А представляет собой фенильную группу, замещенную -ОХ в положении 4, X представляет собой атом водорода, линейную или разветвленную алкильную группу, содержащую 1-8 атомов углерода, линейную или разветвленную алкенильную группу, содержащую 2-8 атомов углерода, или линейную или разветвленную алкинильную группу, содержащую 2-8 атомов углерода. 4. Лекарственное средство против ВГС по п.2, содержащее соединение формулы (I), или его фармацевтически приемлемую соль, где В представляет собой оксогруппу, атом водорода, гидроксильную группу или =N-OR6. 5. Лекарственное средство против ВГС по п.2, содержащее соединение формулы (I), или его фармацевтически приемлемую соль, где R1, R2 и R3 могут быть одинаковыми или различными и каждый представляет собой гидроксильную группу, аминогруппу или -OZ (где Z представляет собой линейную или разветвленную алкильную группу, содержащую 1-4 атома углерода). 6. Лекарственное средство против ВГС по п.1 или 2, содержащее соединение формулы (I), или его фармацевтически приемлемую соль, где А представляет собой фенильную группу, замещенную -ОХ в положении 4, X представляет собой атом водорода, линейную или разветвленную алкильную группу, содержащую 1-8 атомов углерода, линейную или разветвленную алкенильную группу, содержащую 2-8 атомов углерода, линейную или разветвленную алкинильную группу, содержащую 2-8 атомов углерода, В представляет собой оксогруппу, гидроксильную группу или =N-OR6, a R1, R2 и R3 могут быть одинаковыми или различными, и каждый представляет собой гидроксильную группу или -OZ (где Z представляет собой линейную или разветвленную алкильную группу, содержащую 1-4 атома углерода). 7. Лекарственное средство против ВГС по п.6, содержащее соединение формулы (I), или его фармацевтически приемлемую соль, где X представляет собой линейную или разветвленную алкильную группу, содержащую 1-8 атомов углерода, линейную или разветвленную алкенильную группу, содержащую 2-8 атомов углерода, линейную или разветвленную алкинильную группу, содержащую 2-8 атомов углерода, В представляет собой оксогруппу или гидроксильную группу, а каждый из R1, R2 и R3 представляет собой гидроксильную группу. 8. Лекарственное средство против ВГС по п.1 или 2, содержащее соединение формулы (I), или его фармацевтически приемлемую соль, где А представляет собой 3-индолильную группу. 9. Лекарственное средство против ВГС по п.8, содержащее соединение формулы (I), или его фармацевтически приемлемую соль, где В представляет собой оксогруппу или гидроксильную группу, а каждый из R1, R2 и R3 представляет собой гидроксильную группу. 10. Лекарственное средство против ВГС по п.1 или 2, содержащее соединение формулы (I), выбранное из соединений указанных ниже, или его фармацевтически приемлемую соль или 11. Лекарственное средство против ВГС по п.1 или 2, содержащее соединение формулы (I), выбранное из соединений указанных ниже, или его фармацевтически приемлемую соль или 12. Лекарственное средство против ВГС по п.1 или 2, содержащее соединение формулы (I), выбранное из соединений указанных ниже, или его фармацевтически приемлемую соль и 13. Соединение, представленное следующей общей формулой (I) где А представляет собой фенильную группу, замещенную -ОХ; X представляет собой атом водорода, линейную или разветвленную алкильную группу, содержащую 1-8 атомов углерода, линейную или разветвленную алкенильную группу, содержащую 2-8 атомов углерода, или линейную или разветвленную алкинильную группу, содержащую 2-8 атомов углерода; В представляет собой атом водорода, гидроксильную группу, оксогруппу, =N-OH или =N-OR6; R6 представляет собой линейную или разветвленную алкильную группу, содержащую 1-8 атомов углерода (которая может быть замещена аминогруппой, которая может быть моно- или дизамещена линейной или разветвленной алкильной группой, содержащей 1-4 атома углерода); D представляет собой атом водорода или гидроксильную группу; связь Е представляет собой простую связь или двойную связь; R1, R2 и R3 могут быть одинаковыми или различными, и каждый представляет собой гидроксильную группу, аминогруппу (которая может быть моно- или дизамещена линейной или разветвленной алкильной группой, содержащей 1-4 атома углерода) или -OZ; и Z представляет собой линейную или разветвленную алкильную группу, содержащую 1-4 атома углерода, при условии, что исключены: случай, где А представляет собой фенильную группу, замещенную -ОХ в пара-положении, a X представляет собой атом водорода, и случай, где А представляет собой фенильную группу, замещенную -ОХ в пара-положении, X представляет собой 2-изопентенильную группу, В представляет собой оксогруппу, D является атомом водорода, Е обозначает двойную связь и все R1-R3 представляют собой гидроксильную группу или метоксигруппу, или его фармацевтически приемлемая соль. 14. Соединение формулы (I) по п.13, представленное следующей общей формулой (I’), или его фармацевтически приемлемая соль: где А, В, D, связь Е, R1, R2 и R3 такие, как описано в п.13. 15. Соединение общей формулы (I) по п.14 или его фармацевтически приемлемая соль, где X представляет собой линейную или разветвленную алкильную группу, содержащую 1-8 атомов углерода, линейную или разветвленную алкенильную группу, содержащую 2-8 атомов углерода, или линейную или разветвленную алкинильную группу, содержащую 2-8 атомов углерода, и В представляет собой гидроксильную группу, оксогруппу или =N-OR6. 16. Соединение формулы (I) по п.14, представленное следующей формулой или его фармацевтически приемлемая соль или 17. Соединение формулы (I) по п.14, представленное показанной ниже формулой, или его фармацевтически приемлемая соль или 18. Соединение n, имеющее следующую структуру:
|
||||||||||||||||||||||||||||||||||||||||||||||||||||||||||||||||||||||


-D-рибофуранозил-1H-1,2,4-триазол-3-карбоксамид) выпускается и продается в качестве терапевтического средства против гепатита С для применения в сочетании с интерфероном, его эффективность остается низкой, и продолжается поиск новых лекарств против гепатита С. Кроме того, хотя предпринимались попытки уничтожить вирус за счет повышения иммунитета больного путем применения агонистов интерферона, агонистов интерлейкина-12 и т.п., ни один из них, как было показано, не оказался эффективным.
), пролекарство указанного соединения или его фармацевтически приемлемую соль:











: 0,89 (3Н, т, J=7 Гц), 1,20-1,40 (14H, м), 1,53 (4H, м), 1,73 (3H, с), 1,77 (3H, с), 1,96 (2H, м), 2,42 (4H, м), 2,57 (1H, д, J=16,5 Гц), 2,89 (1H, д, J=16,5 Гц), 2,91 (1H, дд, J=14, 9 Гц), 3,15 (1H, дд, J=14, 4,5 Гц), 3,20 (1H, д, J=8 Гц), 4,47 (2H, д, J=6 Гц), 4,63 (1H, дд, J=9, 4,5 Гц), 5,43 (1H, м), 5,52 (2H, м), 6,78 (2H, д, J=9 Гц), 7,10 (2H, д, J=9 Гц).










(10,45 г, 37,2 ммол), полученного на стадиях 2-3 препаративного примера 1, описанных ниже, в безводном тетрагидрофуране при комнатной температуре, и смесь перемешивают в течение 30 мин. Раствор, полученный таким образом, охлаждают до -78°C и прибавляют метилмагнийхлорид (24,7 мл, 74 ммол, 3н. раствор в тетрагидрофуране), затем перемешивают смесь в течение 5 мин. К полученному раствору прибавляют йодид одновалентной меди (500 мг, 7,2 ммол) и температуру смеси постепенно повышают до -30°C. К смеси в течение 20 мин по каплям прибавляют раствор (70 мл) соединения g (4,49 г) в безводном тетрагидрофуране и после завершения прибавления смесь перемешивают при -25°C в течение ночи. Медленно прибавляют насыщенный водный раствор хлорида аммония, чтобы остановить реакцию, и температура смеси постепенно повышается до комнатной температуры. Смесь перемешивают при комнатной температуре в течение 10 ч и выпавшее в осадок белое твердое вещество удаляют фильтрованием через целит. Целит хорошо промывают этилацетатом и отделяют органический слой. Водный слой экстрагируют небольшим количеством этилацетата и объединенный органический слой промывают насыщенным водным раствором хлорида аммония, затем сушат над безводным сульфатом натрия и упаривают при пониженном давлении. Сырой продукт, полученный таким образом, очищают хроматографией на колонке (силикагель, гексан-этилацетат 20:1-9:1) и получают соединение h (5,96 г, 91%) в виде светло-желтого масла. 









(7,8 г, 93%) в виде бесцветного масла из гексан/этилацетат (100:1) элюата. 









































