|
|
(21), (22) Заявка: 2007141311/15, 07.11.2007
(24) Дата начала отсчета срока действия патента:
07.11.2007
(46) Опубликовано: 27.03.2009
(56) Список документов, цитированных в отчете о поиске:
RU 2161136 C1, 27.12.2000. RU 2220107 C1, 27.12.2003. RU 2221752 C1, 20.01.2004. US 4203868 A, 20.05.1980. US 5192446 A, 09.05.1993. US 6136749 A, 24.10.2000. JP 5-185074 A, 27.07.1993. GB 1388255 A, 26.03.1975.
Адрес для переписки:
400131, г.Волгоград, пр. Ленина, 28, ВолгГТУ, отдел интеллектуальной собственности
|
(72) Автор(ы):
Тужиков Олег Олегович (RU), Хохлова Татьяна Васильевна (RU), Тужиков Олег Иванович (RU), Желтобрюхов Владимир Федорович (RU), Каргальская Лилия Викторовна (RU), Синкевич Оксана Леонидовна (RU), Мишта Валерий Павлович (RU), Гавриленко Павел Владимирович (RU), Сычев Николай Владимирович (RU)
(73) Патентообладатель(и):
Государственное образовательное учреждение высшего профессионального образования Волгоградский государственный технический университет (ВолгГТУ) (RU)
|
(54) СПОСОБ ИЗВЛЕЧЕНИЯ ИОНОВ МЕТАЛЛОВ ИЗ РАСТВОРОВ
(57) Реферат:
Изобретение относится к способам извлечения ионов металлов из растворов путем сорбции на катионите и может быть использовано в химической и металлургической промышленности при очистке сточных вод от ионов тяжелых и цветных металлов. Для осуществления способа в качестве катионита используют продукт модификации резиновой крошки, которую получают путем прививки акриловой кислоты на резиновую крошку. Резиновую крошку предварительно обрабатывают газообразными оксидами азота при температуре 25-50°С. Конечный продукт имеет кислотное число 8,74-12,04 мг КОН/г. В качестве резиновой крошки предпочтительно использовать измельченную протекторную резину с размером частиц 0,125-1,0 мм. Способ обеспечивает повышение сорбционной емкости катионита, увеличение количества сорбируемых ионов. 1 з.п. ф-лы, 1 табл.
Изобретение относится к способу очистки сточных вод и может быть использовано в химической и металлургической промышленности при очистке сточных вод от ионов металлов.
Известен способ очистки сточной воды от ионов цветных металлов и органических примесей, заключающийся в обработке сточных вод смешанным сорбентом, состоящим из золы и опилок (АС 833553, С02F 1/28, С01G 13/00, 1981).
Недостатками этого способа является невозможность извлечения этим сорбентом ионов ртути и кобальта, т.е. ограниченная область его применения, а также невозможность многократного использования.
Известен способ очистки сточных вод от ионов металлов и органических примесей путем пропускания через сорбционную колонну, наполненную смешанным сорбентом, состоящим из резиновой крошки и золы (АС 986862, МКИ С02F 1/28, 1983).
Недостатками этого способа являются: невозможность десорбции ионов металлов из сорбента, а также ограниченная область применения предлагаемого сорбента из-за невозможности извлечения ионов ртути и кобальта из сточных вод.
Недостатками предложенного метода являются низкая статическая, сорбционная емкость сорбента, невозможность работы в агрессивных средах, низкая механическая прочность. Предлагаемым методом нельзя извлекать ионы ртути из растворов.
Наиболее близким является способ извлечения ионов металлов из растворов путем сорбции на катионите, причем в качестве катионита используют продукт взаимодействия пероксидированной резиновой крошки с концентрацией пероксидных групп 1-5,6% с акриловой кислотой в массовом соотношении 1:1-1,5, полученный в присутствии активатора распада пероксидных групп, а сорбцию ведут при рН 3,5-7,8 (Патент РФ №2161136, МКИ С02F 1/42, 2000 г.).
Недостатком предложенного способа является сложный способ получения катионита и относительная низкая сорбционная способность катионита.
Задачей предлагаемого технического решения является разработка нового способа очистки сточных вод от ионов металлов, позволяющего расширить область применения катионита.
Техническим результатом является повышение сорбционной емкости катионита, увеличение количества сорбируемых ионов.
Поставленный технический результат достигается в способе извлечения ионов металлов из растворов путем сорбции катионитом на основе модифицированной крошки, полученной путем прививки акриловой кислоты на резиновую крошку, отличающимся тем, что резиновую крошку предварительно обрабатывают газообразными оксидами азота при температуре 25-50°С, с получением конечного продукта с кислотным числом 8.74-12.04 мг КОН/г. В качестве резиновой крошки используют измельченную протекторную резину с размером частиц 0,125-1,0 мм.
Сущность изобретения заключается в следующем.
Для получения катионита используют предварительно фракционированную резиновую крошку (РК) измельченных автомобильных покрышек. Фракционирование РК проводят на виброситах с диаметром отверстий 0.125, 0.2, 0.63, 1.0 мм. Для приготовления катионита используют крошку, оставшуюся на ситах, соответствующую размерам 0.125-1.0. Это оптимальный исходный размер, необходимый для получения ионообменника с кислотным числом 8.74-12.04 мг КОН/г, обеспечивающего высокую сорбционную емкость.
Модификацию разделенной по фракциям РК проводят в круглодонном реакторе, снабженном ртутным манометром. Навеску протекторной резиновой крошки загружают в реактор, термостатируют и вакуумируют. Вакуум снимают путем заполнения реактора оксидами азота до выравнивания давления с атмосферным, о чем судят по ртутному манометру. В результате химического взаимодействия оксиды азота хемосорбируются на поверхности резиновой крошки, давление в реакторе опять уменьшается. Обработку ведут до достижении постоянного давления в колбе. Затем полученный продукт повторно вакуумируют до постоянной массы, приливают к нему водный раствор акриловой кислоты. Реакционную смесь нагревают на водяной бане до 65°С и выдерживают при этой температуре в течение 5 часов. По окончании реакции смесь охлаждают, крошку отфильтровывают, промывают дистиллированной водой до нейтрального рН промывных вод и сушат до постоянной массы.
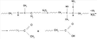
Учитывая, что резиновые смеси для автомобильных покрышек получают на основе каучуков общего назначения (натурального, изопренового, бутадиен-стирольного и др.), содержащих в основной цепи двойные связи, а так же то, что при вулканизации используется не более 5% общего количества двойных связей, процесс образования функциональных групп можно представить схемой на примере изопренового каучука:

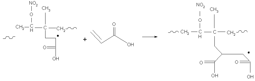
Помимо приведенной схемы образования карбоксильных групп имеет место образование долгоживущих радикалов на полимерной матрице РК. Схема их образования представлена ниже.

Обрабатывая полученную РК различными мономерами, содержащими двойные связи и имеющими функциональные карбоксильные группировки, например акриловой кислотой, можно получить катионит с повышенным содержанием функциональных групп на поверхности.


Таким образом, предлагаемым методом можно получить привитой сополимер на поверхности РК.
Предложенный метод позволяет получить катионит с лучшими свойствами и может быть использован как в кислой (Н-форме) RCOOH, так и в солевой (Na-форме) RCOONa.
Сорбция ионов металлов происходит в результате замещения подвижного атома водорода (натрия) в карбоксильной группе на ионы металла, находящиеся в растворе. У ионизированной формы катионита происходит перераспределение электронной плотности и образование равноценных атомов кислорода, которые взаимодействуют с ионами переходных метеллов вследствие реализации полярной ковалентной связи с образованием симметричных четырехчленных циклов:
Сорбционная емкость материала зависит от количества присоединенных функциональных групп на поверхности модифицированной резиновой крошки, характеризуемых кислотным числом образца ионообменника. Сшитая, эластичная, устойчивая к воде полимерная основа катионита позволяет сорбировать ионы металлов в различных средах в широких пределах рН раствора.
Взаимодействие оксидов азота с резиновой крошкой автомобильного протектора, протекая по общим закономерностям топохимических процессов, имеет механизм, аналогичный механизму взаимодействия с непредельными каучуками. Это связано с тем, что автомобильные шины изготавливают из резин на основе изопренового, бутадиенового и бутадиенстирольного каучуков и их смесей. Оптимальные время обработки резиновой крошки определяется временем установившегося постоянным давления в реакторе после заполнения его оксидами азота. С целью достижения максимальной газификации оксидов азота, что обеспечивает равномерную модификацию по всему объему крошки, начальная температура РК и оксидов азота должна быть не менее 25°С (температура кипения оксидов азота 21°С). Превышение начальной температуры более 50°С приводит к деполимеризации полимерной матрицы резиновой крошки, что вызывает ее растворение в водных растворах.
Полученный продукт обрабатывают раствором акриловой кислоты при температуре 65°С. Снижение температуры не позволяет получить максимальное количество функциональных групп на поверхности РК. Превышение температуры приводит к гомополимеризации акриловой кислоты, что снижает эффективность метода. Время прививки акриловой кислоты определено опытным путем и составило 5 часов. Уменьшение времени прививки не позволяет получить максимальное количество функциональных групп на поверхности РК. Увеличение времени является экономически не целесообразным из-за энергопотерь на нагревание. Соотношение акриловая кислота : РК должно 3:1, что обеспечит максимальное количество функциональных групп на поверхности РК. Повышение температуры прививки акриловой кислоты более 65°С приводит к ее гомополимеризации.
Способ осуществляют следующим образом.
Модификацию разделенной по фракциям РК проводят в круглодонном реакторе, снабженном ртутным манометром. Навеску протекторной резиновой крошки загружают в реактор, термостатируют при 25-50°С и вакуумируют. Вакуум снимают путем заполнения реактора оксидами азота до выравнивания давления с атмосферным, о чем судят по ртутному манометру. В результате химического взаимодействия оксиды азота хемосорбируются на поверхности резиновой крошки, давление в реакторе опять уменьшается. Обработку ведут до достижении постоянного давления в реакторе. Затем полученный продукт повторно вакуумируют до постоянной массы и приливают к нему водный раствор акриловой кислоты. Реакционную смесь нагревают на водяной бане до 65°С и выдерживают при этой температуре в течение 5 часов. По окончании реакции смесь охлаждают, крошку отфильтровывают, промывают дистиллированной водой до нейтрального рН промывных вод и сушат до постоянной массы. Средний размер частиц крошки 0.125-1.0 мм. Полученный продукт имеет кислотное число 8.74-12.04 мг КОН/г.
Определение кислотности крошки проводят обратным титрованием образцов (титрованием 0,1 н. раствором соляной кислоты раствора, полученного после обработки образца крошки в течение 1 часа 0,1 н. раствором гидроксида натрия).
Получение модифицированной резиновой крошки и соответствующего катионита иллюстрируется следующими примерами.
Пример 1. В реактор объемом 250 мл, снабженный ртутным манометром, загружают 2 г РК размером частиц 0.125 мм и темостатируют при температуре 25°С в течение 5 минут. Затем реактор вакуумируют при остаточном давлении 3 мм рт.ст. в течение 5 минут, после чего его заполняют оксидом азота до выравнивания давления в реакторе с атмосферным. В результате реакции количество оксида азота в реакторе уменьшается, давление опять падает. Реакцию проводят до установления в реакторе постоянного давления, о чем судят по ртутному манометру. Затем полученный продукт повторно вакуумируют от непрореагировавших оксидов азота и приливают к нему водный раствор акриловой кислоты.
Реакционную смесь нагревают на водяной бане до 65°С и выдерживают при этой температуре 5 часов.
После окончания реакции смесь охлаждают, крошку отфильтровывают, промывают дистиллированной водой до нейтрального рН и сушат до постоянной массы. Продукт имеет кислотное число 12.04 мг КОН/г.
Пример 2. В отличие от примера 1 в реактор загружают 2 г РК размером частиц 0.125-0,2 мм. Полученный продукт имеет кислотное число 10.76 мг КОН/г.
Пример 3. В отличие от примера 1 в реактор загружают 2 г РК размером частиц 0.2-0.63 мм, а термостатируют при температуре 35°С. Полученный продукт имеет кислотное число 9,08 мг КОН/г.
Пример 4. В отличие от примера 1 в реактор помещают 2 г. резиновой крошки размером частиц 0.63-1.0 мм, а термостатируют при температуре 50°С. Продукт имеет кислотное число 8.74 мг КОН/г.
Натриевую форму катионита получают обработкой модифицированной РК после прививки кислоты 0,1 н. раствором NaOH, с последующей ее отмывкой до нейтральной реакции промывных вод и сушкой на воздухе.
Полученные образцы испытывались на предмет извлечения ионов ртути, никеля, кобальта, свинца и меди из водных растворов их солей.
Пример по извлечению ионов металлов осуществляют следующим образом: в коническую колбу помещают раствор, содержащий ионы металла (5 мг/л) и добавляют 1 г карбоксилсодержащей крошки. После истечения 24 часов определяют концентрацию раствора по стандартной методике (Салдадзе К.М., Пашков А.Б., Титов B.C. Ионообменные высокомолекулярные соединения. – М.: Госхимиздат, 1960. – 365 с).
Результаты проведенных исследований представлены в таблице.
Сорбционная емкость катионитов
| Таблица |
| Катионит |
Размер мм |
Сорбционная емкость, мг·экв./г |
| |
|
Cu+2 |
Ni+2 |
Со+2 |
Hg+2 |
Pb+2 |
| Прототип |
Н-форма |
| |
– |
1,43 |
1,48 |
1,22 |
0,95 |
– |
| |
Na-форма |
| |
– |
3,21 |
1,35 |
2,56 |
0,98 |
– |
| Катионит по предлагаемому способу |
Н-форма |
| Пример 1 |
0,125 |
3,09 |
2,43 |
3,24 |
2,74 |
3,44 |
| Пример 2 |
0,125-0,2 |
3,17 |
2,26 |
2,86 |
2,62 |
3,62 |
| Пример 3 |
0,2-0,63 |
3,46 |
2,22 |
2,79 |
2,49 |
3,52 |
| Пример 4 |
0,63-1 |
3,35 |
2,39 |
2,48 |
2,21 |
2,94 |
| |
Na-форма |
| |
0,2-0,63 |
4,12 |
3,94 |
3,89 |
2,70 |
3,86 |
| |
0,63-1 |
4,04 |
3,62 |
3,64 |
2,40 |
3,72 |
Из представленных данных видно, что в исследованных условиях образцы крошки имеют более высокую сорбционную емкость в Na-форме, чем образцы в Н-форме. Сорбционная емкость катионита по отношению к ионам ртути составляет: для размера 0.2-0.63 мм – 2,49 (для Na-формы – 2,70) мг·экв./г; для размера 0.63-1.0 мм – 2,21 (для Na-формы – 2,40) мг·экв./г.
Формула изобретения
1. Способ извлечения ионов металлов из растворов путем сорбции катионитом на основе модифицированной крошки, полученной путем прививки акриловой кислоты на резиновую крошку, отличающийся тем, что резиновую крошку предварительно обрабатывают газообразными оксидами азота при температуре 25-50°С, с получением конечного продукта с кислотным числом 8,74-12,04 мг КОН/г.
2. Способ извлечения ионов металлов из растворов по п.1, отличающийся тем, что в качестве резиновой крошки используют измельченную протекторную резину с размером частиц 0,125-1,0 мм.
|
|