|
|
(21), (22) Заявка: 2007145019/15, 03.12.2007
(24) Дата начала отсчета срока действия патента:
03.12.2007
(46) Опубликовано: 27.03.2009
(56) Список документов, цитированных в отчете о поиске:
RU 2235057 С2, 10.11.2003. SU 1762993 A1, 23.09.1992. RU 54815 U1, 27.07.2006. SU 1289824 A1, 15.02.1987. GB 1423210 A, 04.02.1976.
Адрес для переписки:
301200, Тульская обл., г. Щекино, ул. Южная, 18, кв.79. Е.Н. Титаеву
|
(73) Патентообладатель(и):
Титаев Евгений Николаевич (RU), Беленко Анатолий Александрович (RU)
|
(54) СИСТЕМА ОЧИСТКИ ВОДЫ
(57) Реферат:
Изобретение относится к очистке воды и может быть использовано для очистки питьевых, технических и сточных вод в различных отраслях промышленности. Система содержит источник акустического низкочастотного излучения, корпус с трубопроводами, три вентиля, насос, окно. Система снабжена устройством изменения частоты и амплитуды акустических низкочастотных колебаний, выход которого соединен с источником акустического низкочастотного излучения. Система также снабжена четвертым вентилем, вход которого размещен в нижней части корпуса, а выход соединен с входом насоса, выход которого соединен с входом третьего вентиля и вторым входом второго вентиля. Окно установлено в верхней стенке корпуса. Технический результат состоит в увеличении количества очищенной воды и повышении эффективности ее очистки при различном составе посторонних примесей и степени загрязнения исходной воды. 1 ил.
Изобретение относится к очистке воды и может быть использовано для очистки питьевых, технических и сточных вод в различных отраслях промышленности. Заявляемое изобретение направлено на решение задачи, заключающейся в увеличении количества очищенной воды и повышении эффективности ее очистки.
Известны системы очистки воды, относящиеся к классу напорных фильтров с зернистой загрузкой, содержащие фильтрующий резервуар, распределительную систему, фильтрующий наполнитель, поддерживающий слой, переключатель потоков воды, реагентный фидер, байпасный клапан и комплект фитингов ([1]. Специальные модульные водоочистительные системы серии “EMS” (ТУ 3697-001-45944566-97). Инструкция по эксплуатации).
Недостатками описанного аналога являются низкая производительность и эффективность процесса очистки.
Указанные недостатки являются следствием того, что необходимо периодически проводить регенерацию фильтровальных элементов, для осуществления которой требуются большие объемы промывной воды, происходит постепенная пассивация фильтровального материала, приводящая к необходимости его периодической замены.
Наиболее близким по технической сущности к заявляемому изобретению является выбранное в качестве прототипа устройство для получения водорода и энергии при разложении молекул воды, а также ее доочистки и активации, содержащее источник инфразвукового излучения, реактор с трубопроводом в верхней части для отвода газообразных продуктов разложения, окно, выполненное из материала, пропускающего излучение с минимальными потерями, рабочую камеру, в стенке которой установлено указанное окно, причем рабочая камера сообщена с реактором посредством подводящего и отводящего каналов, снабженных насосом для прокачивания воды, а реактор выполнен с двойными стенками для отвода тепла от реактора с помощью хладоагента и дополнительно снабжен трубопроводами с вентилями, один из которых предназначен для залива свежей воды, а второй, размещенный в нижней части реактора, предназначен для слива части воды с высокой концентрацией солей и осадка ([2]. Патент РФ №2235057, С01 3/02, 13/02, 5/00, 2002 г.).
У прототипа и заявляемого изобретения имеются следующие сходные существенные признаки: система очистки воды содержит источник акустического низкочастотного излучения, корпус с трубопроводами, три вентиля, насос, окно, причем первый вентиль, установленный в верхней части корпуса, предназначен для вывода продуктов обработки, второй вентиль, установленный в средней части корпуса, предназначен для ввода в корпус исходной воды, подаваемой на первый вход второго вентиля, третий вентиль предназначен для вывода части воды с высокой концентрацией посторонних примесей, окно предназначено для пропускания излучения от источника акустического низкочастотного излучения к обрабатываемой воде.
Недостатками прототипа являются: небольшое количество очищенной воды и низкая эффективность очистки.
Указанные недостатки обусловлены тем, что в прототипе объем очищенной воды ограничен габаритами корпуса, так как очищенная вода используется исключительно для получения водорода. Кроме того, при изменении состава примесей и степени загрязнения исходной воды для эффективной очистки необходимо изменять параметры (частоту и амплитуду) акустического излучения, в частности, использовать колебания не только инфразвукового диапазона, но и акустического диапазона более высокой частоты.
Цель изобретения – увеличение количества очищенной воды и повышение эффективности ее очистки.
Для достижения поставленной цели заявляемое изобретение “Система очистки воды” включает следующие общие, выраженные определенными понятиями существенные признаки, совокупность которых направлена на решение только одной связанной с целью изобретения задачи: источник акустического низкочастотного излучения, корпус с трубопроводами, четыре вентиля, насос, окно и устройство изменения частоты и амплитуды акустических низкочастотных колебаний, причем первый вентиль, установленный в верхней части корпуса, предназначен для вывода продуктов обработки, второй вентиль, установленный в средней части корпуса, предназначен для ввода в корпус исходной воды, подаваемой на первый вход второго вентиля, третий вентиль предназначен для вывода части воды с высокой концентрацией посторонних примесей, окно предназначено для пропускания излучения от источника акустического низкочастотного излучения к обрабатываемой воде, выход устройства изменения частоты и амплитуды акустических низкочастотных колебаний соединен с источником акустического низкочастотного излучения, вход четвертого вентиля размещен в нижней части корпуса, выход четвертого вентиля соединен с входом насоса, выход которого соединен с входом третьего вентиля и вторым входом второго вентиля, окно установлено в верхней стенке корпуса, а выход первого вентиля предназначен для вывода очищенной воды.
По отношению к прототипу у заявляемого изобретения имеются следующие отличительные признаки: введены четвертый вентиль и устройство изменения частоты и амплитуды акустических низкочастотных колебаний, выход которого соединен с источником акустического низкочастотного излучения, вход четвертого вентиля размещен в нижней части корпуса, выход четвертого вентиля соединен с входом насоса, выход которого соединен с входом третьего вентиля и вторым входом второго вентиля, окно установлено в верхней стенке корпуса, а выход первого вентиля предназначен для вывода очищенной воды.
Между отличительными признаками и целью изобретения существует следующая причинно-следственная связь: введение четвертого вентиля и устройства изменения частоты и амплитуды акустических низкочастотных колебаний с соответствующими связями позволяет увеличить количество очищенной воды и повысить эффективность ее очистки.
По имеющимся у авторов сведениям совокупность существенных признаков, характеризующих сущность заявляемого изобретения, не известна из уровня техники, что позволяет сделать вывод о соответствии изобретения критерию “новизна”.
По мнению авторов, сущность заявляемого изобретения не следует для специалиста явным образом из известного уровня техники, так как из него не выявляется вышеуказанное влияние на получаемый технический результат – новое свойство объекта – совокупности признаков, которые отличают от прототипа заявляемое изобретение, что позволяет сделать вывод о его соответствии критерию “изобретательский уровень”.
Совокупность существенных признаков, характеризующих сущность изобретения, в принципе, может быть многократно использована в различных отраслях промышленности при очистке воды, с получением технического результата, заключающегося в получении необходимого количества очищенной воды при различном составе посторонних примесей и степени загрязнения исходной воды, обуславливающего обеспечение достижения поставленной цели – увеличение количества очищенной воды и повышение эффективности ее очистки, что позволяет сделать вывод о соответствии изобретения критерию “промышленная применимость”.
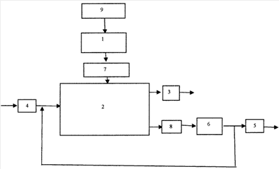
Сущность изобретения поясняется чертежом, на котором изображена функциональная схема системы очистки воды.
Заявляемая согласно формуле изобретения “Система очистки воды ” содержит источник 1 акустического низкочастотного излучения, корпус 2 с трубопроводами, три вентиля 3, 4, 5, насос 6, окно 7, четвертый вентиль 8 и устройство 9 изменения частоты и амплитуды акустических низкочастотных колебаний, причем первый вентиль 3, установленный в верхней части корпуса 2, предназначен для вывода продуктов обработки, второй вентиль 4, установленный в средней части корпуса 2, предназначен для ввода в корпус 2 исходной воды, подаваемой на первый вход второго вентиля 4, третий вентиль 5 предназначен для вывода части воды с высокой концентрацией посторонних примесей, окно 7 предназначено для пропускания излучения от источника 1 акустического низкочастотного излучения к обрабатываемой воде, выход устройства 9 изменения частоты и амплитуды акустических низкочастотных колебаний соединен с источником 1 акустического низкочастотного излучения, вход четвертого вентиля 8 размещен в нижней части корпуса 2, выход четвертого вентиля 8 соединен с входом насоса 6, выход которого соединен с входом третьего вентиля 5 и вторым входом второго вентиля 4, окно 7 установлено в верхней стенке корпуса 2, а выход первого вентиля 3 предназначен для вывода очищенной воды.
Система очистки воды работает следующим образом. Вода, предназначенная для очистки, через первый вход второго вентиля 4 подается в корпус 2, где подвергается воздействию акустического низкочастотного излучения, поступающего от источника 1 акустического низкочастотного излучения в корпус 2 через окно 7. В результате указанного воздействия происходит очистка воды от посторонних примесей за счет энергии внутренних связей молекул воды, при этом происходит увеличение концентрации посторонних примесей в нижней части корпуса 2. Через четвертый вентиль 8 часть воды с высокой концентрацией посторонних примесей при помощи насоса 6 подается на третий вентиль 5, посредством которого осуществляется вывод посторонних примесей за пределы системы очистки воды. С целью увеличения потока очищенной воды часть загрязненной воды тем же насосом 6 подается через второй вход второго вентиля 4 в корпус 2 для дополнительной очистки. Очищенная вода выводится из системы очистки через первый вентиль 3. С целью обеспечения необходимого уровня очистки воды для различного состава примесей и степени загрязнения исходной воды с помощью устройства 9 изменения частоты и амплитуды акустических низкочастотных колебаний устанавливают необходимые параметры излучения источника 1.
Как показали результаты расчетов при использовании заявляемой “Системы очистки воды”, обеспечивается увеличение количества очищенной воды и повышение эффективности ее очистки.
Согласно данным проведенных исследований заявляемое изобретение может быть использовано в народном хозяйстве и в сравнении с прототипом обладает следующими преимуществами: увеличение количества очищенной воды (в прототипе объем очищенной воды ограничен габаритами корпуса); повышение эффективности очистки воды (в прототипе не учитывается состав примесей и степень загрязнения исходной воды).
Заявляемая “Система” представляет значительный интерес для народного хозяйства, так как позволит улучшить процесс очистки воды за счет обработки воды акустическими волнами низкочастотного диапазона, обеспечивающей высокую эффективность очистки воды независимо от состава примесей и степени загрязнения исходной воды.
Заявляемое решение не оказывает отрицательного воздействия на состояние окружающей среды.
Формула изобретения
Система очистки воды, содержащая источник акустического низкочастотного излучения, корпус с трубопроводами, три вентиля, насос, окно, причем первый вентиль, установленный в верхней части корпуса, предназначен для вывода продуктов обработки, второй вентиль, установленный в средней части корпуса, предназначен для ввода в корпус исходной воды, подаваемой на первый вход второго вентиля, третий вентиль предназначен для вывода части воды с высокой концентрацией посторонних примесей, окно предназначено для пропускания излучения от источника акустического низкочастотного излучения к обрабатываемой воде, отличающаяся тем, что, с целью увеличения количества очищенной воды и повышения эффективности ее очистки, в нее введены четвертый вентиль и устройство изменения частоты и амплитуды акустических низкочастотных колебаний, выход которого соединен с источником акустического низкочастотного излучения, вход четвертого вентиля размещен в нижней части корпуса, выход четвертого вентиля соединен с входом насоса, выход которого соединен с входом третьего вентиля и вторым входом второго вентиля, окно установлено в верхней стенке корпуса, а выход первого вентиля предназначен для вывода очищенной воды.
РИСУНКИ
|
|