|
(21), (22) Заявка: 2004129766/15, 07.03.2003
(24) Дата начала отсчета срока действия патента:
07.03.2003
(30) Конвенционный приоритет:
07.03.2002 JP 109794/2002
(43) Дата публикации заявки: 10.08.2005
(46) Опубликовано: 27.03.2009
(15) Информация о коррекции:
Версия коррекции № 1 (
где R1, R2, R7 и R8 означают C1-С10алкильную группу и т.п.; R3, R4, R5, R6, R9, R10, R11 и R12 означают атом водорода, C1-С6 алкильную группу, арильную группу и т.п.; X1 и X2 означают C1-C15 алкильную группу или арильную группу и вместе X1 и X2 содержат от 0 до 4 карбоксильных групп; m1, m2 и m3 означают 0 или 1; L1~L7 независимо означают метиновую группу; М означает атом водорода, металла или соль четвертичного аммония; n означает целое число от 1 до 7, необходимое для нейтрализации заряда, для получения флуоресцентного контрастирующего средства ближней инфракрасной области спектра, используемого в способе флуоресцентного изображения организма; собственно флуоресцентного контрастирующего средства ближней инфракрасной области спектра, содержащего соединение формулы I, или его фармацевтически приемлемой соли. Использование вышеупомянутого соединения для создания контрастирующих средств и агентов позволяет быстро получать контрастные изображения с большой четкостью при исследовании живого организма. 2 н. и 9 з.п. ф-лы, 8 ил.
Область техники
Настоящее изобретение относится к флуоресцентному контрастирующему агенту ближней инфракрасной области спектра и способу флуоресцентной томографии, в котором используется указанный флуоресцентный контрастирующий агент ближней инфракрасной области спектра.
Уровень техники
При лечении заболевания важно на ранней стадии выявить морфологические и функциональные изменения в организме, вызванные болезнью. Особенно в случае раковых заболеваний чрезвычайно важно заранее установить локализацию и размер опухоли, чтобы правильно выбрать схему лечения. К применяемым в настоящее время методам диагностики относится пункция с последующей биопсией и т.п., а также методы визуализации, такие как рентгенография, магнитно-резонансная томография (МРТ), ультразвуковое исследование и т.п. Биопсия является эффективным средством постановки диагноза, однако ее проведение тяжело переносится пациентом; недостатком также является то, что с помощью биопсии нельзя контролировать динамику изменений, происходящих в очаге заболевания. Рентгенография и МРТ неизбежно подвергают пациентов воздействию радиации и электромагнитных волн. Кроме того, указанные выше традиционные методы диагностики путем визуализации требуют сложных операций, а проведение измерений и постановка диагноза требуют длительного времени. Большие размеры аппаратуры также затрудняют применение этих методов в ходе хирургических операций.
В одной из публикаций описан метод флуоресцентной томографии (R.L.Lipspn и др., J.Natl. Cancer Inst., 26, 1961, сс.1-11), в котором в качестве контрастирующего агента использовали вещество, испускающее флуоресценцию после воздействия возбужденным светом определенной длины волны. В этом методе есть этап экспозиции организма возбужденным светом, источник которого находится вне организма, после чего фиксируется флуоресценция, испускаемая флуоресцентным контрастирующим агентом, находящимся in vivo.
Примерами флуоресцентных контрастирующих агентов являются порфирины – вещества, аккумулирующиеся в опухолях. Порфирины используют в фотодинамической терапии (ФДТ), например гематопорфирин. Другими примерами порфиринов являются фотофирин и бензопорфирин (R.L.Lipspn и др., J.Natl. Cancer Inst., 26, 1961, cc.1-11, Т.S.Meng и др., SPIE, 1641, 1992, сс.90-98, WO 84/04665 и т.п.). Однако этим веществам свойственна фототоксичность, и именно благодаря этому качеству их стали применять в ФДТ; по той же причине эти вещества нежелательно использовать в качестве диагностических агентов.
Для проведения микроангиографии сетчатки используют такие известные флуоресцентные красители, как флуоресцеин, флуоресцамин и рибофлабин (US 4945239). Однако перечисленные флуоресцентные красители испускают световые лучи видимой части спектра (400-600 нм), которые не проникают глубоко в ткани и по этой причине практически непригодны для диагностики патологических образований, локализованных в толще организма.
Цианины, к которым относится индоцианин зеленый (ИЦЗ), используют для определения функции печени и кардиального выхода; также сообщалось, что можно использовать цианины в качестве флуоресцирующих контрастирующих агентов (М.М.Haglund и др., Neurosurgery, 35, 1994, с.930, X.Li и др., SPIE, 2389, 1995, cc.789-797). Цианины обладают поглощающей способностью в ближней инфракрасной области спектра (700~1300 нм).
Свет ближней инфракрасной области спектра хорошо проникает сквозь живые ткани, например, вглубь черепа он проникает примерно на 10 см, поэтому ранее специалисты в области клинической медицины проявляли к нему интерес. Например, методы оптической компьютерной томографии (ОКТ), основанные на оптической трансмиссии среды, стали рассматриваться как новые технологии в области клинической медицины, потому что свет ближней инфракрасной области спектра может проходить сквозь живой организм и позволяет определять концентрацию и циркуляцию кислорода in vivo с помощью света в данной области.
Цианины испускают флуоресценцию в ближней инфракрасной области спектра. Лучи света этой области спектра прекрасно проникают сквозь живые ткани, как было объяснено выше, что позволило предположить, что их применение в качестве флуоресцентных контрастирующих агентов окажется целесообразным. В предшествующие годы были синтезированы различные цианины и предпринимались попытки использовать эти вещества в качестве флуоресцентных контрастирующих агентов (WO 17628, WP 97/13490 и т.п.). Однако все еще не было агента, способного удовлетворительно различать пораженную часть организма и здоровую ткань, т.е. не было агента, обладающего селективной активностью по отношению к области-мишени, которую необходимо визуализировать.
Сущность изобретения
Задачей настоящего изобретения было предложить флуоресцентный контрастирующий агент, который испускает флуоресценцию в ближней инфракрасной области спектра. Свет с длиной волны ближней инфракрасной области спектра прекрасно проникает сквозь живые ткани и позволяет получать адекватное изображение опухоли и/или кровеносного сосуда. Другой задачей настоящего изобретения была разработка метода флуоресцентной томографии, в котором используется указанный флуоресцентный контрастирующий агент ближней инфракрасной области спектра.
Авторы настоящего изобретения провели разнообразные исследования с целью достижения поставленных задач. В результате за счет введения в состав молекул цианиновых красителей карбоновой кислоты или арильной группы удалось получить флуоресцирующий контрастирующий агент, обладающий высокой селективностью по отношению к опухолям. Также удалось создать метод флуоресцентной томографии, в котором используется указанный контрастирующий агент. Настоящее изобретение создано на базе этих открытий.
Таким образом, настоящее изобретение предлагает флуоресцентный контрастирующий агент ближней инфракрасной области спектра формулы I или его фармацевтически приемлемую соль

где R1, R2, R7 и R8 независимо означают замещенную или незамещенную C1-С10 алкильную группу или замещенную или незамещенную арильную группу, R1 и R2 и/или R7 и R8 могут связываться друг с другом с формированием циклической структуры; R3, R4, R5, R6, R9, R10, R11 и R12 независимо означают атом водорода, замещенную или незамещенную C1-С6 алкильную группу, замещенную или незамещенную арильную группу, замещенную или незамещенную гетероарильную группу, атом галогена, цианогруппу, карбоксильную группу или сульфогруппу, R3, R4, R5, R6, R9, R10, R11 и R12 могут связываться друг с другом с формированием циклической структуры; Х1 и Х2 независимо означают замещенную или незамещенную C1-C15 алкильную группу или замещенную или незамещенную арильную группу, Х1 и Х2 имеют всего от 0 до 4 карбоксильных групп при условии, что когда число карбоксильных групп равно 0 или 1, каждый X1 и X2 означает C1-C5 карбоксиалкильную группу или сульфоалкильную группу и по меньшей мере один из R3, R4, R5, R6, R9, R10, R11 и R12 означает замещенную или незамещенную арильную группу или замещенную или незамещенную гетероарильную группу; m1 означает 0 или 1; m2 означает 0 или 1; m3 означает 0 или 1; L1, L2, L3, L4, L5, L6 и L7 независимо означают замещенную или незамещенную метиновую группу, при условии, что если две или несколько метиновых групп имеют заместители, заместители могут связываться друг с другом с формированием циклической структуры, при условии, что каждый Х1 и Х2 имеют одну карбоксильную группу, каждый Х1 и Х2 означает углеводородную группу, замещенную карбоксильной группой, и по меньшей мере одна из метиновых групп, представленных L1, L2, L3, L4, L5, L6 и L7, означает замещенную метиновую группу, R4 и R10 означают сульфогруппы; М означает атом водорода, металла или четвертичную соль аммония; n обозначает целое число от 1 до 7, необходимое для нейтрализации заряда.
Согласно предпочтительному осуществлению указанного выше изобретения каждый m1, m2 и m3 означает одновременно 1, Х1 означает группу следующей формулы (I):

где Y1 и Y2 независимо представляют замещенную или незамещенную двухвалентную связывающую группу.
Согласно более предпочтительному осуществлению настоящего изобретения Х1 и Х2 независимо представляют группу следующей формулы (I):

где Y1 и Y2 независимо представляют замещенную или незамещенную двухвалентную связь.
Согласно еще одному предпочтительному осуществлению изобретения по крайней мере один из R3, R4, R5, R6, R9, R10, R11 и R12 означает замещенную или незамещенную арильную группу, замещенную или незамещенную гетероарильную группу. Согласно еще одному предпочтительному осуществлению настоящего изобретения по крайней мере один из R4, R5, R10 и R11 означает замещенную или незамещенную арильную группу или замещенную или незамещенную гетероарильную группу; каждый Х1 и Х2 означает независимо C1-C5 карбоксиалкильную группу или сульфоалкильную группу.
При другом предпочтительном осуществлении изобретения Х1 и Х2 независимо представляют группу следующей формулы:

где Y3 обозначает C1-С10 углеводородную группу и по меньшей мере одна из метиновых групп, представленных L1, L2, L3, L4, L5, L6 и L7, означает замещенную метиновую группу, и каждый R4 и R10 означает сульфогруппу.
Предпочтительно, когда число сульфогрупп в молекуле равно 2 или меньше. Согласно другому предпочтительному осуществлению настоящего изобретения Y1 обозначает -(CH2)pCONH-, где р обозначает целое число от 1 до 4, a Y2 обозначает -(СН2)- или (СН2)2-.
Указанный выше флуоресцентный контрастирующий агент ближней инфракрасной области спектра предпочтительно может использоваться для томографии опухолей или для ангиографии.
В настоящем изобретении также предложен метод флуоресцентной томографии, который содержит стадии введения в организм указанного выше флуоресцентного контрастирующего агента ближней инфракрасной области спектра, воздействие на этот организм возбужденного света и фиксирование флуоресценции ближней инфракрасной области спектра, испускаемой контрастирующим агентом.
Краткое описание иллюстраций
Фиг.1. На фотографиях показаны результаты флуоресцентной томографии, проводившейся через разные временные интервалы после применения вещества 2 настоящего изобретения.
Фиг.2. На фотографиях показаны результаты флуоресцентной томографии, проводившейся через разные временные интервалы после применения ИЦЗ в качестве контроля.
Фиг.3. На фотографиях показаны результаты флуоресцентной томографии, проводившейся через разные временные интервалы после применения вещества А в качестве контроля.
Фиг.4. Схема экспериментальной установки для флуоресцентной томографии в тест-примере 2 (ВГИ представляет второе гармоническое излучение; ТГИ представляет третье гармоническое излучение; ОПО представляет оптический параметрический осциллятор).
Фиг.5. На фотографиях показаны результаты флуоресцентной томографии, проводившейся через разные временные интервалы после применения вещества 5 настоящего изобретения.
Фиг.6. На фотографиях показаны результаты флуоресцентной томографии, проводившейся через разные временные интервалы после применения вещества 7 настоящего изобретения.
Фиг.7. На фотографиях показаны результаты флуоресцентной томографии, проводившейся через разные временные интервалы после применения вещества 10 настоящего изобретения.
Фиг.8. На фотографиях показаны результаты флуоресцентной томографии, проводившейся через разные временные интервалы после применения вещества Б в качестве контроля.
Предпочтительный вариант осуществления изобретения
C1-С10 алкильные группы, обозначенные R1, R2, R7 и R8, могут быть линейными, разветвленными, циклическими или комбинацией этих групп (алкильная группа и алкильная часть функциональной группы, содержащей алкильную часть, в настоящем описании имеют одно и то же значение, если не указано иначе). В качестве незамещенных алкильных групп могут быть использованы, например, метильная, этильная, пропильная, бутильная и гексильная группы. Количество, тип или положение заместителей или замещенных алкильных групп практически не лимитированы. В качестве замещенного алкила могут быть использованы, например, сульфоалкильная, карбоксиалкильная, гидроксиалкильная, алкоксиалкильная, аминоалкильная, галогенированная алкильная, цианоалкильная, арилзамещенная алкильная, гетероарилзамещенная алкильная и т.п. группы.
Арильные группы, обозначенные R1, R2, R7 и R8, могут быть либо моноциклическими структурами, либо конденсированными кольцами, например С6-С14 арильной группой, предпочтительно С6-С10 арильной группой (арильная группа и арильная часть функциональной группы, содержащей арильную часть, имеют одно и то же значение, если не указано иначе). В качестве арильной группы могут использоваться предпочтительно фенильная или нафтильная группы, предпочтительнее фенильная группа. В качестве замещенной арильной группы могут использоваться сульфофенильная, гидроксифенильная и аминофенильная группы.
R1 и R2, R7 и R8 также могут объединяться друг с другом с образованием циклической структуры. Примерами образовавшихся циклических структур являются циклопентил, циклогексил и т.п. R1, R2, R7 и R8 предпочтительно означают метильную или этильную группу, более предпочтительно метильную группу.
R3, R4, R5, R6, R9, R10, R11 и R12 независимо означают атом водорода, замещенную или незамещенную C1-С6 алкильную группу, замещенную или незамещенную арильную группу, замещенную или незамещенную гетероарильную группу, атом галогена, цианогруппу, карбоксильную группу или сульфогруппу и две смежные группы, выбранные из R3, R4, R5 и R6 или из R9, R10, R11 и R12, которые могут независимо соединяться друг с другом с образованием кольцевой структуры. Сформированная кольцевая структура может быть насыщенной или ненасыщенной, может быть углеводородным кольцом или гетероциклом. Например, R3 и R4, R4 и R5,
R5 и R6, R9 и R10, R10 и R11 или R11 и R12 могут связываться друг с другом с образованием бензольного кольца или ароматического гетероцикла, например пиридина. Предпочтительными являются те примеры, в которых бензольное кольцо образовано в результате объединения R3 и R4 или R9 и R10.
В качестве арильной группы, обозначенной R3, R4, R5, R6, R9, R10, R11 и R12, могут быть, например, фенильная или нафтильная группа, а в качестве гетероарильной группы могут быть, например, тиенильная, бензотиенильная, фурильная, бензофурильная, пирролильная, имидазольная или хинолильная группы. От одного до четырех необязательных заместителей может быть на арильной или гетероарильной группе. Положение заместителей не лимитировано и, когда присутствует два или несколько заместителей, они могут находиться в одном положении или в разных. Такими заместителями могут быть, например, гидроксигруппа, атом галогена, например фтора, хлора, брома или иода; C1-C6 алкильная группа, например метильная, этильная, н-пропильная, изопропильная, н-бутильная, втор-бутильная, трет-бутильная группы; C1-С6 галогенированные алкильные группы, такие как трифторметильная группа; C1-С6 алкоксильные группы, такие как метоксигруппа, этоксигруппа, н-пропоксигруппа, изопропоксигруппа, н-бутоксигруппа, втор-бутоксигруппа, трет-бутоксигруппа; С1-С6 алкилендиоксигруппы, такие как метилендиоксигруппа и этилендиоксигруппа; карбоксильная группа; C1-С6 алкоксикарбонильная группа; незамещенная аминогруппа; C1-С6 алкилзамещенные аминогруппы, такие как метиламиногруппа, диметиламиногруппа, этиламиногруппа; сульфогруппа; цианогруппа и т.п.
Х1 и Х2 независимо означают замещенную или незамещенную C1-C15 алкильную группу или замещенную или незамещенную арильную группу и Х1 и Х2 содержат от одной до четырех карбоксильных групп всего в Х1 и Х2. В качестве незамещенной алкильной группы, обозначенной Х1 и Х2, могут быть, например, метильная, этильная, пропильная, бутильная, изобутильная, втор-бутильная, трет-бутильная, пентильная, изопентильная, неопентильная, трет-пентильная, 2-метилпропильная или 1,1-диметилпропильная группы. Алкильная группа может быть линейной, разветвленной, циклической или их комбинацией; линейная или разветвленная алкильная группы предпочтительнее.
В качестве замещенной алкильной группы, обозначенной Х1 и Х2, могут быть, например, сульфоалкильная группа (такая как 2-сульфоэтильная, 3-сульфопропильная, 3-метил-3-сульфопропильная, 4-сульфобутильная группы и т.п.), карбоксиалкильная группа (такая как 1-карбоксиметильная, 2-карбоксиэтильная, 3-карбоксипропильная, 4-карбоксибутильная группы и т.п.), гидроксиалкильная, алкоксиалкильная, аминоалкильная, галогенированная алкильная, цианоалкильная, гетероарилзамещенная алкильная группа, арильная или гетероарильная группы. Алкильная часть этих групп такая же, как было указано выше для незамещенных алкильных групп. В качестве замещенной или незамещенной арильной группы, обозначенной R1, R2, R7 и R8, могут быть фенильная, сульфофенильная, гидроксифенильная или аминофенильная группы.
Когда число карбоксильных групп Х1 и Х2 равно 0 или 1, Х1 и Х2 могут означать С1-С5 карбоксиалкильную или сульфоалкильную группы.
В качестве двухвалентных связывающих групп, которые обозначены Y1 и Y2, может быть представлена, например, замещенная или незамещенная C1-С6 алкиленовая группа, такая как метиленовая, этиленовая, н-бутиленовая, метилпропиленовая или фениленовая группа. Также в качестве связующей группы может быть группа следующей формулы:

где q обозначает целое число от 1 до 4, а символ   означает положение связи. Такие углеводородные группы могут иметь заместители и содержать один или несколько гетероатомов. Например, они могут содержать эфирную, тиоэфирную, дисульфидную, амидную, сложноэфирную, сульфонамидную или сульфосложноэфирную связи.
В качестве двухвалентных связывающих групп, которые обозначены Y1 и Y2, могут быть, например, группы следующих формул:
   
   
где p обозначает целое число от 1 до 4, а символ   означает положение связи. Предпочтительно, например, чтобы в качестве связывающей группы Y1 была группа одной из следующих формул:
 
где p означает целое число от 1 до 4. Наиболее предпочтительно Y1 означает -(СН2)р-СО-NH- (где p означает целое число от 1 до 4). Предпочтительными примерами Y2 являются метиленовая или этиленовая группы.
L1, L2, L3, L4, L5, L6 и L7 независимо означают замещенную или незамещенную метиновую группу, где m1, m2 и m3 независимо являются 0 или 1. Предпочтительно, чтобы m1, m2 и m3 были одновременно равны 1. Примерами заместителей в составе метиновой группы являются замещенная или незамещенная алкильная группа, атом галогена, замещенная или незамещенная арильная группа или низшая алкоксигруппа и т.п. Характерными примерами замещенной арильной группы являются 4-хлорфенильная группа и т.п. Низшая алкоксигруппа предпочтительно может означать C1-С6 алкоксигруппу, которая может быть линейной или разветвленной. Характерные примеры включают метоксигруппу, этоксигруппу, пропоксигруппу, бутоксигруппу, трет-бутоксигруппу, пентилоксигруппу и. т.п.; метоксигруппа и этоксигруппа являются предпочтительными. В качестве заместителей метиновой группы предпочтительно могут использоваться метильная и фенильная группы.
Когда метиновые группы, выбранные из L1, L2, L3, L4, L5, L6 и L7, являются замещенными, заместители в составе метиновых групп могут связываться друг с другом с образованием кольца. Предпочтительно, когда заместители в составе метиновых групп могут связываться с образованием циклической структуры, содержащей три последовательные метиновые группы, выбранные из L1, L2, L3, L4, L5, L6 и L7. К примерам, в которых заместители в составе метиновых групп связаны друг с другом с образованием циклической структуры, содержащей три последовательные метиновые группы, выбранные из L1, L2, L3, L4, L5, L6 и L7, относятся, например, вещества, в которых 4,4-диметилциклогексеновое кольцо сформировано из L3, L4 и L5. Особенно предпочтителен пример части структуры, в которой сопряженная метиновая цепь сформирована метиновыми группами, выбранными из L1, L2, L3, L4, L5, L6 и L7, и содержит кольцо, включающее группу следующей общей формулы (а):

где Z означает группу из атома неметалла, необходимую для формирования 5- или 6-членного цикла, а А обозначает атом водорода или одновалентную группу.
Примерами групп, состоящих из атомов неметаллов, требуемых для образования 5-10-членных циклических структур, представленных Z, являются, например, атомы углерода, азота, кислорода, водорода, серы, галогена (фтора, хлора, брома, иода) и т.п. Примерами 5-6-членных циклов в части структуры, представленной общей формулой (а), являются, например, циклопентеновая, циклогексеновая и 4,4-диметилгексеновая циклические структуры; циклопентеновая или циклогексеновая циклические структуры являются предпочтительными.
Примерами одновалентных групп, представленных А, являются, например, замещенные или незамещенные алкильные группы, замещенные или незамещенные арильные группы, замещенные или незамещенные аралкильные группы, замещенные или незамещенные низшие алкоксигруппы, замещенные или незамещенные аминогруппы, замещенные или незамещенные алкилкарбонилоксигруппы (такие как ацетогруппа), замещенные или незамещенные алкилтиогруппы, замещенные или незамещенные арилтиогруппы, цианогруппа, нитрогруппа, атом галогена и т.п.
Характерными примерами аралкильных групп, обозначенных А, являются бензильная группа, 2-фенилэтильная группа, 3-фенилпропил и т.п. К заместителям аралкильной группы относятся, например, сульфогруппа, карбоксильная и гидроксильная группы, замещенная или незамещенная алкильная группа, алкоксигруппа, атом галогена и т.п. Характерными примерами замещенной аминогруппы, представленной А, являются, например, алкиламиногруппа (такая как метиламиногруппа, этиламиногруппа и т.п.), диалкиламиногруппа (такая как диметиламиногруппа, диэтиламиногруппа и т.п.), фениламиногруппа, дифениламиногруппа, метилфениламиногруппа, циклическая аминогруппа (такая как морфолиновая, имидозолидиновая, этоксикарбонилпиперадиновая группа и т.п.). Когда замещенная аминогруппа имеет дополнительный заместитель, им может быть сульфогруппа, карбоксигруппа и т.п. Характерными примерами арилтиогрупп, обозначенных А, являются фенилтиогруппа, нафтилтиогруппа и т.п., а примерами замещенных арилтиогрупп являются сульфогруппа, карбоксигруппа и т.п.
Примерами одновалентных групп, представленных А, являются фениламиногруппа, дифениламиногруппа, этоксикарбонилпиперазиновая группа, арилтиогруппа и т.п.
Y означает атом неметалла, необходимый для формирования 5-10-членного гетероцикла, предпочтительно 5- или 6-членного гетероцикла (гетероцикл может быть конденсированным циклом). Примерами 5-10-членных гетероциклов, сформированных Y, являются следующие циклы: тиазоловые (такие как тиазол, 4-метилтиазол и т.п.), бензотиазоловые (такие как бензотиазол, 4-хлорбензотиазол и т.п.), нафтотиазоловые (такие как нафто[2,1-d]тиазол, нафто[1,2-d]тиазол и т.п.), тиазолиновые (такие как тиазолин, 4-метилтиазолин и т.п.), оксазолиновые (такие как оксазол, 4-нитрооксазол и т.п.), бензоксазоловые (такие как бензоксазол, 4-хлорбензоксазол и т.п.), нафтооксазоловые (такие как нафто[2,1-d]оксазол, нафто[1,2-d]оксазол и т.п.), селеназоловые (такие как селеназол, 4-фенилселеназол и т.п.), бензоселеназоловые (такие как бензоселеназол, 4-хлорбензоселеназол), нафтоселеназоловые (такие как нафто [2,1-d]селеназол, нафто[1,2-d]селеназол и т.п.), 3,3-диалкилиндолениновые (такие как 3,3-динитроиндоленин, 3,3-диэтилиндоленин, 3,3-диметил-5-нитроиндоленин и т.п.), имидазоловые (такие как 1-алкилимидазол, 1-алкил-4-фенилимидазол и т.п.), пиридиновые (такие как 2-пиридин, 5-метил-2-пиридин и т.п.), хинолиновые (такие как 2-хинолин, 3-метил-2-хинолин и т.п.), имидазо[4,5-b]хиноксалиновые (такие как 1,3-диэтилимидазо[4,5-b]хиноксалин и т.п.) циклы и т.п. К предпочтительным примерам 5-10-членных гетероциклов, сформированных Y, относится 3,3-диалкилиндолениновый цикл.
М обозначает атом водорода, металла, четвертичную соль аммония или другие фармацевтически приемлемые соли. Фармацевтически приемлемой солью может быть любая нетоксичная соль веществ общей формулы I. Примерами являются соли щелочных металлов, например соль натрия, калия и т.п.; соли щелочноземельных металлов, например магния, кальция и т.п.; органические соли аммония, например соль аммония, соль триэтиламмония, соль трибутиламмония, соль пиридина и т.п.; соли аминокислот, например лизина, аргинина и т.п. Наиболее предпочтительным является применение натриевой соли, обладающей пониженной токсичностью для организма.
Вещества настоящего изобретения могут иметь один или несколько асимметричных атомов углерода в зависимости от выбранного заместителя. Атомы серы могут выступать в качестве асимметричных центров. Любой оптический изомер в оптически чистой форме основывается на одном или нескольких асимметричных атомах углерода, любая смесь указанных выше оптических изомеров, рацематов, диастереоизомеров основывается на двух или нескольких асимметричных атомах углерода, любая смесь указанных выше диастереоизомеров и т.п. находится в рамках рассмотрения настоящего изобретения.
Ниже приведены характерные примеры веществ настоящего изобретения. Однако область применения настоящего изобретения не органичивается этими веществами.
Цианиновые красители формул I или II могут быть синтезированы известными препаративными методами синтеза цианиновых красителей, например, изложенными в Cyanine Dyes and Related Compounds F.M.Hamer, изд. John Wiley and Sons, New York, 1964, Cytometry, 11, 1990, сс.416-430, Cytometry, 12, 1990, сс.723-730, Bioconjugate Chem, 4, 1993, сс.105-111, Anal. Biochem., 217, 1994, сс.197-204, Tetrahedron, 45, 1989, сс.4845-4866, ЕР-А-0591820А1, ЕР-А-0580145А1 и т.п. В качестве альтернативного метода могут быть применены методы полусинтеза, в которых в качестве исходного материала используют коммерчески доступные цианиновые красители. Точнее эти красители могут быть синтезированы в результате взаимодействия диарила и гетероциклической четвертичной соли.
Способы синтеза цианиновых красителей приведенных выше формул I и II не имеют особых ограничений, они могут быть синтезированы различными путями. Характерные способы синтеза типичных веществ приведены в примерах описания настоящего изобретения. Следует отметить, что специалисты в данной области могут синтезировать цианиновые красители, относящиеся к веществам приведенных выше общих формул, с помощью методов, описанных в примерах настоящего изобретения, и, при необходимости, путем дополнительного подходящего изменения методов и подходящего изменения исходных веществ и реагентов. При синтезе может быть выбрана одна реакция или комбинация нескольких реакций, выбранных их таких реакций, как конденсация, присоединение, окисление, восстановление и т.п. Подробности проведения этих реакций разъяснены в литературе. Например, могут быть применены различные подходящие методы и вещества, описанные как элементарные стадии и исходные продукты синтеза в “Jikken Kagaku Kouza” (изд. Maruzen, Ltd.), изложенные в каждом томе I-IV изданий. Способы синтеза веществ настоящего изобретения также подробно изложены в описании изобретения PCT/JPO 1/06689, которое упоминается здесь в виде ссылок.
Например, там, где указанные выше функциональные группы могут внести изменения на стадии реакции или они непригодны для проведения стадии реакции, желаемая стадия реакции иногда может быть эффективно проведена за счет применения различных методов, которые обычно используются в органическом синтезе, например, таких как защита функциональных групп или снятие защиты, проведение окисления, восстановления, гидролиза и т.п. Синтезированные промежуточные соединения и целевые продукты предыдущих стадий могут быть выделены и очищены обычными методами, известными в химии органического синтеза, такими как фильтрация, экстракция, промывка, сушка, концентрирование, перекристаллизация, различная хроматография и т.п. Синтезированные промежуточные соединения могут использоваться в последующей реакции без их предварительного выделения.
В качестве активного ингредиента флуоресцентного контрастирующего агента ближней инфракрасной области спектра настоящего изобретения обозначено вещество, представленное основной формулой I или II, или его соли; оно может применяться одно или в комбинации. Более конкретно, активный ингредиент может присутствовать в контрастирующем агенте в форме суспензии или раствора в таком растворителе, как дистиллированная вода для инъекций, физиологический раствор, раствор Рингера и т.п. Такие добавки, как фармацевтически приемлемые носители, эксципиенты и т.п. при желании также могут быть разработаны. Примерами добавок являются такие вещества, как фармацевтически приемлемые растворы электролитов, буферные растворы, детергенты вещества для коррекции осмотического давления, вещества для повышения стабильности или растворимости, такие как циклодекстрин, липосомы и т.п. Любые обычные добавки, известные в данной области, могут применяться. Флуоресцентный контрастирующий агент ближней инфракрасной области спектра настоящего изобретения предпочтительно синтезируют в ходе процессов стерилизации, когда его применяют в качестве лекарственного средства для клинического применения.
Контрастирующий агент может быть введен в организм через инъекцию, распылением или локальным способом, таким как внутрисосудистое введение (в вену, артерию), путем перорального, внутрибрюшинного, внутрикожного, подкожного применения, введением в мочевой пузырь и в бронхи. Предпочтительно контрастирующий агент может вводиться в кровеносный сосуд в форме водного раствора, эмульсии или суспензии.
Доза флуоресцентного контрастирующего агента ближней инфракрасной области спектра по настоящему изобретению практически не ограничена и определяется тем участком организма, который подвергается диагностированию. Доза может быть должным образом изменена в зависимости от типа применяемого вещества, которое испускает флуоресценцию в ближней инфракрасной части спектра, возраста, веса тела и целевого органа субъекта, которому предстоит лечение, и т.п. Обычно доза в расчете на вес активного вещества может колебаться от 0,1 до 100 мг/кг веса тела, предпочтительно от 0,5 до 20 мг/кг веса тела.
Применение контрастирующего агента настоящего изобретения возможно не только для людей, но и для разных животных. Состав для применения, способ применения, доза и т.п. могут быть подобраны в зависимости от веса тела и особенностей конкретного животного.
Веществам настоящего изобретения формул I и II присуще свойство аккумулироваться в тканях опухолей. Благодаря этому свойству настоящее изобретение также предлагает флуоресцентный контрастирующий агент, который позволяет визуализировать опухолевую ткань. Кроме того, вещества, представленные в настоящем изобретении, длительное время присутствуют в кровеносных сосудах и, как следствие, они могут быть использованы в ангиографии.
При проведении флуоресцентной томографии по методу настоящего изобретения используют флуоресцентные контрастирующие агенты ближней инфракрасной области спектра, описанные в настоящем изобретении. Данный метод томографии может применяться рядовыми специалистами в данной области, которые знакомы с известными методами; такие параметры, как длина волны возбуждения и длина волны флуоресценции, которую следует определить, могут соответствующим образом быть установлены с целью достижения оптимальной визуализации и ее оценки, что зависит от типа применяемого флуоресцентного контрастирующего агента ближней инфракрасной области спектра и от исследуемого субъекта. Период времени от применения флуоресцентного контрастирующего агента ближней инфракрасной области спектра настоящего изобретения до начала флуоресцентной томографии согласно настоящему изобретению может варьировать в зависимости от типа выбранного флуоресцирующего контрастирующего агента ближней инфракрасной области спектра и субъекта, подвергаемого исследованию. Например, когда для томографии опухоли применяется контрастирующий агент, являющийся веществом формулы I или формулы II, промежуток времени может быть от 10 мин до 24 ч после применения. Если промежуток времени слишком короткий, флуоресценция ото всех частей организма может быть слишком интенсивной, поэтому исследуемый участок не будет отличаться от других; если промежуток времени слишком длинный контрастирующий агент может экскретироваться из организма. Если требуется провести томографию кровеносных сосудов, вещества формулы I или формулы II фиксируются сразу или примерно через 30 минут после введения в организм.
Например, флуоресцентная томография может быть выполнена следующим образом. Субъекту, подвергаемому диагностированию, вводят флуоресцирующий контрастирующий агент ближней инфракрасной области спектра. Затем субъект подвергается воздействию возбужденного света, для чего используется аппаратура, генерирующая возбужденный свет. Флуоресценция от флуоресцирующего контрастирующего агента ближней инфракрасной области спектра, генерируемая возбужденным светом, фиксируется с помощью флуоресцентного детектора. Длина волны возбуждения варьирует в зависимости от типа используемого флуоресцентного контрастирующего агента ближней инфракрасной области спектра и не лимитируется до тех пор, пока вещества эффективно испускают флуоресценцию в ближней инфракрасной области спектра. Предпочтительным является применение света из ближней инфракрасной области спектра, обладающего наиболее высокой биопроницаемостью. Длина волны флуоресцирующего света ближней инфракрасной области спектра, которая подлежит определению, также варьирует в зависимости от примененного контрастирующего агента. Обычно применяют возбужденный свет с длиной волны от 600 до 1000 нм, предпочтительно от 700 до 850 нм; фиксируют испускание флуоресценции в ближней инфракрасной области спектра с длиной волны от 700 до 1000 нм, предпочтительно от 750 до 900 нм. В качестве устройств для генерирования возбужденного света могут использоваться обычные источники возбужденного света, такие как различные лазеры (например, ионные лазеры, лазер на красителе или полупроводниковый лазер), галогеновые источники света, ксеноновые источники света и т.п. При желании могут применяться различные оптические фильтры для получения возбужденного света оптимальной длины волны. Для определения флуоресценции могут применяться различные оптические фильтры для выбора флуоресценции, генерируемой контрастирующим агентом ближней инфракрасной области спектра.
Фиксируемая флуоресценция определяет результат исследования, поскольку на ее основании строится визуализация. Примером флуоресцентной томографии является метод, включающий стадию облучения исследуемой ткани в широком диапазоне волн с последующей фиксацией флуоресценции с помощью CCD камеры; на основании полученной информации выстраивается изображение. Другими примерами являются метод с использованием оптической компьютерной томографии, метод с использованием эндоскопа, метод с использованием камеры для анализа глазного дна и т.п.
Согласно настоящему изобретению по методу флуоресцентной томографии могут быть визуализированы системные заболевания, опухоли, кровеносные сосуды и т.п. без разрушения организма.
Примеры
Для лучшего понимания изобретения оно поясняется примерами синтеза и тестирования. Однако область охвата настоящего изобретения не ограничивается этими примерами. В примерах приведены те же порядковые номера веществ, которые указаны выше около структурных формул.
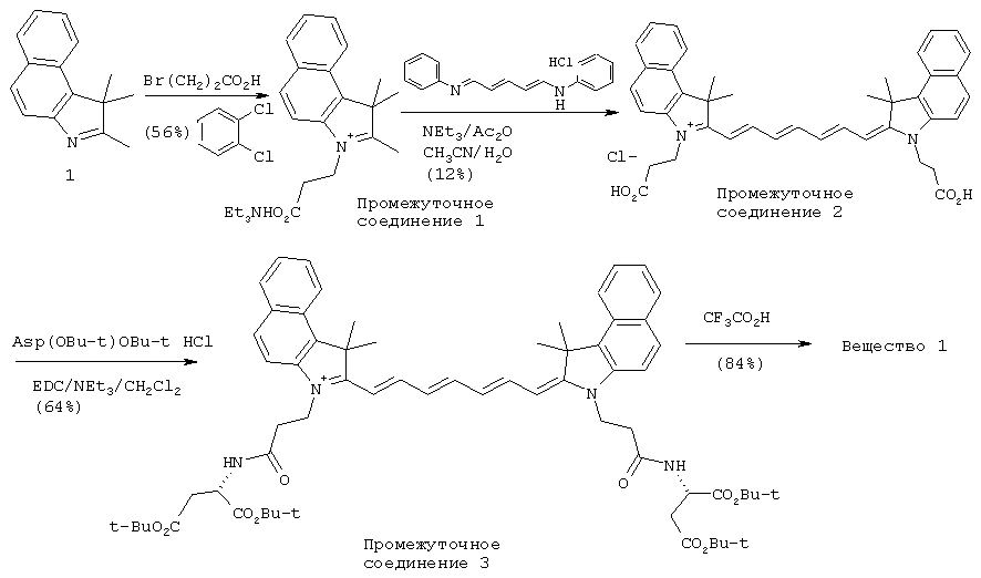
Пример 1: синтез веществ 1, 2 и 3
Далее показана схема синтеза вещества 1.

Синтез промежуточного соединения 1
Исходный материал 1 (20,9 г, 0,1 моль), 2-бромпропионовая кислота (23,0 г, 0,15 моль) и орто-дихлорбензол (20 мл) нагревают и перемешивают при 140°С в течение 2 ч. После завершения реакции к реакционной смеси добавляют ацетон (200 мл), после чего ее охлаждают до комнатной температуры, образовавшиеся кристаллы фильтруют и получают промежуточное соединение 1 (20,3 г, выход 56%).
Синтез промежуточного соединения 2
Полученное выше промежуточное соединение 1 (10,0 г, 28 ммоль) и 1,7-диаза-1,7-дифенил-1,3,5-гептатриена гидрохлорид (3,9 г, 14 ммоль) растворяют в ацетонитриле (70 мл) и воде (11 мл), к полученному раствору добавляют триэтиламин (8,4 г, 91 ммоль) и уксусный ангидрид (8,5 г, 91 ммоль), смесь перемешивают при комнатной температуре в течение ночи. Реакционную смесь по каплям вносят в 0,1 н. соляную кислоту (900 мл), выпавшие кристаллы фильтруют. Кристаллы очищают с помощью колоночной хроматографии (элюент: хлористый метилен:метанол =95:5-90:10) для получения промежуточного соединения 2 (2,1 г, выход 12%).
Синтез промежуточного соединения 3
Полученное выше промежуточное соединение 2 (21,0 г, 1,5 ммоль), моногидрат ди-трет-бутилового эфира L-аспарагиновой кислоты (1,3 г, 4,5 ммоль) и 4-диметиламинопиридин (40 мг, 0,3 ммоль) растворяют в хлористом метилене (50 мл) и раствор охлаждают на льду. К полученному раствору добавляют 1-этил-3-(3-диметиламинопропил)карбодиимида гидрохлорид (ЭДК) (700 мг, 4 ммоль) и триэтиламин (340 мг, 3 ммоль), перемешивают в течение ночи при 4°С. К реакционной смеси добавляют хлорид метилена (200 мл) и 1 н. соляную кислоту (200 мл), затем слой хлорида метилена отделяют, промывают насыщенным раствором хлористого натрия (200 мл) и сушат над сульфатом натрия. Растворитель выпаривают в вакууме и очищают колоночной хроматографией (элюент: этилацетат:метанол =95:5~80:20) для получения промежуточного соединения 3 (1,1 г, выход 64%).
Синтез веществ 1, 2 и 3
Промежуточное соединение 3 (500 мг, 0,5 ммоль) растворяют в трифторуксусной кислоте (5 мл) и выдерживают при 4°С в течение ночи, затем трифторуксусную кислоту выпаривают в вакууме. К остатку добавляют воду (50 мл) и образовавшиеся кристаллы собирают фильтрацией, отмывают водой и этилацетатом, в результате чего получают вещество 1 (390 мг, выход 90%).
Вещество 1 очищают колоночной хроматографией, используя Sephadex (LH-20, фирма Pharmacia) (элюент: метанол) для получения вещества 2.
Для получения вещества 3 вещество 1 загружают в колонку CR 11 (фирма Mitsubishi Chemical, Co., Ltd.) с ионообменной смолой.
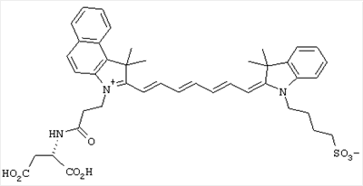
Вещество 1
1Н-ЯМР (CD3OD) 1,98 (s, 12H), 2,70 (d, J=7,2 Гц, 4Н), 2,80 (t, J=7,2 Гц, 4Н), 3,30 (МеОН), 4,50 (t, J=7,2 Гц, 4Н), 4,60 (t, J=7,2 Гц, 2Н), 4,80 (H2О), 6,40 (d, J=13,2 Гц, 2H), 6,63 (dd, J=13,2, 13,2 Гц, 2Н), 7,40-7,50 (m, 2H), 7,58-7,66 (m, 5H), 7,95-8,07 (m, 6H), 8,20 (d, J=7,2 Гц, 2H).
Вещество 2
1H-ЯМР (CD3OD) 1,99 (s, 12H), 2,72 (d, J=7,2 Гц, 4Н), 2,80 (t, J=7,2 Гц, 4H), 3,30 (МеОН), 4,50 (t, J=7,2 Гц, 4H), 4,60 (t, J=7,2 Гц, 2H), 4,80 (H2O), 6,38 (d, J=13,2 Гц, 2H), 6,61 (dd, J=13,2, 13,2 Гц, 2H), 7,40-7,50 (m, 2H), 7,58-7,67 (m, 5H), 7,96-8,07 (m, 6H), 8,21 (d, J=7,2 Гц, 2Н).
Вещество 3
1H-ЯМР (CD3OD) 1,98 (s, 12H), 2,56-2,65 (m, 4H), 2,75-2,85 (m, 4H), 3,30 (МеОН), 4,45-4,50 (m, 4H), 4,80 (H2O), 6,20 (d, J=13,2 Гц, 2H), 6,65 (dd, J=13,2, 13,2 Гц, 2H), 7,40-7,50 (m, 2H), 7,58-7,70 (m, 5H), 7,95-8,07 (m, 6H), 8,20 (d, J=7,2 Гц, 2Н).
Пример 2: синтез вещества 5
Вещество 5 синтезируют из промежуточного соединения 1 и 1,7-диаза-5-метил-1,7-дифенил-1,3,5-гептатриенмоногидрата способом, подобным способу синтеза вещества 1.
1Н-ЯМР (CD3OD) 2,00 (s, 12H), 2,44 (s, 3Н), 2,73 (d, J=7,2 Гц, 4H), 2,82 (t, J=7,2 Гц, 4H), 3,31 (МеОН), 4,50 (t, J=7,2 Гц, 4H), 4,69 (t, J=7,2 Гц, 2H), 4,88 (Н2O), 6,41 (d, J=13,2 Гц, 2H), 6,65 (d, J=13,2 Гц, 2H), 7,43-7,50 (m, 2H), 7,58-7,67 (m, 4H), 7,95-8,05 (m, 4H), 8,10-8,27 (m, 4H).
Пример 3: синтез вещества 6
Вещество 6 синтезируют из промежуточного соединения 1 и 1,7-диаза-5-метил-1,7-дифенил-1,3,5-гептатриенмоногидрата способом, подобным способу синтеза вещества 1, но вместо моногидрата ди-трет-бутилового эфира L-аспарагиновой кислоты применяли моногидрат ди-трет-бутилового эфира L-глутаминовой кислоты.
1H-ЯМР (CD3OD) 1,80-2,15 (m, 4H), 2,01 (s, 12H), 2,28 (t, J=7,2 Гц, 4H), 2,44 (s, 3Н), 2,82 (t, J=7,2 Гц, 4H), 3,31 (МеОН), 4,40-4,50 (m, 2H), 4,51 (t, J=7,2 Гц, 4H), 4,88 (H2O), 6,42 (d, J=13,2 Гц, 2H), 6,65 (d, J=13,2 Гц, 2H), 7,42-7,50 (m, 2H), 7,57-7,67 (m, 4H), 7,95-8,05 (m, 4H), 8,10-8,27 (m, 4H).
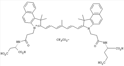
Пример 4: синтез вещества 7
Вещество 7 синтезируют из 2,3,3-триметилиндоленин способом, подобным способу синтеза вещества 1.
1H-ЯМР (CD3OD) 1,70 (s, 12H), 2,05-2,13 (m, 4H), 2,55 (t, J=7,2 Гц, 4Н), 2,78-2,92 (m, 4H), 3,30 (МеОН), 4,10 (t, J=7,2 Гц, 4H), 4,89 (H2O), 6,45 (d, J=13,2 Гц, 2Н), 6,50 (J=13,2 Гц, 2Н), 7,29-7,50 (m, 8H), 7,92 (dd, J=13,2, 13,2 Гц, 2Н).
Пример 5: синтез вещества 8
Вещество 8 синтезируют из 2,3,3-триметилиндоленина способом, напоминающим способ синтеза вещества 1. Отличие заключается в том, что вместо 1,7-диаза-1,7-дифенил-1,3,5-гептатриенмоногидрата используют 1,7-диаза-5-метил-1,7-дифенил-1,3,5-гептатриенмоногидрохлорид.
1Н-ЯМР (CD3OD) 1,70 (s, 12H), 1,72-1,90 (m, 8H), 2,35-2,39 (m, 7H), 2,73-2,84 (m, 4H), 3,30 (МеОН), 4,08 (t, J=7,2 Гц, 4H), 4,66 (t, J=7,2 Гц, 2Н), 4,89 (H2O), 6,33 (d, J=13,2 Гц, 2Н), 6,63 (d, J=13,2 Гц, 2Н), 7,18-7,50 (m, 8H), 8,05 (dd, J=13,2, 13,2 Гц, 2Н).
Пример 6: синтез вещества 9
Вещество 9 синтезируют из 6-фенил-2,3,3-триметилиндоленина (синтезируют методом, описанным в US 6004536) способом, напоминающим способ синтеза вещества 1.
1H-ЯМР (CD3OD) 1,75 (s, 12H), 2,05-2,15 (m, 4H), 2,45-2,55 (m, 4H), 2,75-2,84 (m, 4H), 3,30 (МеОН), 4,20 (t, J=7,2 Гц, 4Н), 4,80 (H2O), 6,38 (J=13,2 Гц, 2Н), 6,62 (J=13,2 Гц, 2Н), 7,43-7,70 (m, 17H), 7,95 (dd, J=13,2, 13,2 Гц, 2Н).
Пример 7: синтез вещества 10
Вещество 10 синтезируют из 6-бром-2,3,3-триметилиндоленина способом, напоминающим способ синтеза вещества 1.
1H-ЯМР (CD3OD) 1,68 (s, 12H), 2,00-2,15 (m, 4H), 2,40-2,55 (m, 4H), 2,77-2,92 (m, 4H), 3,30 (МеОН), 4,08 (t, J=7,2 Гц, 4H), 4,82 (m, 2H), 6,38 (J=13,2 Гц, 2Н), 6,65 (J=13,2 Гц, 2H), 7,30-7,40 (m, 4H), 7,50-7,72 (m, 3H), 7,90-8,02 (m, 2H).
Пример 8: синтез вещества 11
Вещество 11 синтезируют из 5-фенил-2,3,3-триметилиндоленина способом, напоминающим способ синтеза вещества 1.
1H-ЯМР (CD3OD) 1,78 (s, 12H), 2,39 (s, 3Н), 2,70-2,84 (m, 8H), 3,30 (МеОН), 4,30-4,46 (m, 4Н), 4,60-4,68 (m, 2Н), 6,39 (J=13,2 Гц, 2Н), 6,66 (J=13,2 Гц, 2Н), 7,30-7,48 (m, 9H), 7,56-7,72 (m, 3Н), 8,05 (J=13,2 Гц, 13,2 Гц).
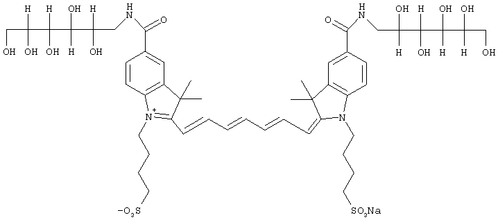
Пример 9: синтез веществ 13 и 14
Схема синтеза веществ 13 и 14 приведена ниже.

Промежуточное соединение (375 мг), полученное в результате взаимодействия 5-сульфо-2,3,3-триметилиндоленина (синтезированного по методу, описанному в Japanese Patent Unexamined Publication (KOKAI) No.(Hei)2-233658) и 1,7-диаза-1,7-дифенил-1,3,5-гептатриенмоногидрата в метаноле в присутствии триэтиламина и уксусного ангидрида, растворяют в 5 мл метанола и затем сажают на колонку, наполненную катионной ионообменной смолой IRC-50 (фирма Organo, элюент:метанол). Растворитель упаривают для получения протонной формы карбоновой кислоты. Образовавшийся продукт растворяют в 3 мл диметилформамида и в полученный раствор вносят 338 мг (1,2 ммоль) гидрохлорида дибутиласпартата, 24 мг (0,2 ммоль) диметиламинопиридина и 121 мг (1,2 ммоль) триэтиламина; затем смесь охлаждают на ледяной бане. К смеси добавляют 230 мг (2 ммоль) гидроксисукцинимида (ГОСИ) и 288 мг (1,4 ммоль) N,N-дициклогексилкарбодиимида (ДЦГ); полученную смесь перемешивают в течение ночи. В реакционную смесь вносят 200 мл смеси растворителей этилацетата/гексана (1:1), выпавшие кристаллы собирают фильтрацией. Кристаллы очищают колоночной хроматографией (элюент: хлористый метилен:метанол =10:1~2:1) и получают два вещества: диамид (135 мг) и моноамид (94 мг).
Оба полученных вещества, диамид (120 мг) и моноамид (60 мг), растворяют в 2 мл трифторуксусной кислоты, и смесь перемешивают при комнатной температуре в течение 1 ч. Реакционную смесь растворяют в воде/метаноле (1/1(об./об.)), очищают колоночной хроматографией, используя продукт Sephadex (LH-20, фирма Pharmacia, элюент: метанол). Образовавшиеся кристаллы растворяют в небольшом количестве метанола и к полученному раствору добавляют насыщенный раствор ацетата калия в метаноле. Выпавшие кристаллы отфильтровывают и получают вещество 13 (35 мг, выход 7%) и вещество 14 (15 мг, выход 5%).
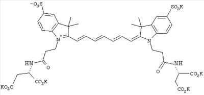
Вещество 13
1Н-ЯМР (D2O) 1,73 (s, 12H), 2,50-2,65 (m, 4H), 2,68-2,73 (m, 4H), 4,28-4,38 (m, 4H), 4,39-4,50 (m, 2H), 4,90 (D2O), 6,47 (d, J=13,2 Гц, 2Н), 6,74 (t, J=13,2 Гц, 2Н), 7,40-7,50 (m, 2H), 7,60 (t, J=13,2 Гц, 1Н), 7,80-8,05 (m, 6H).
Вещество 14
1H-ЯМР (D2O) 1,65 (s, 6H), 1,70 (s, 6H), 2,40 (d, J=7,2 Гц, 2H), 2,58 (t, J=7,2 Гц, 2H), 2,70 (t, J=7,2 Гц, 2H), 4,18-4,30 (m, 4H), 4,90 (D2O), 6,18 (d, J=13,2 Гц, 1Н), 6,34 (d, J=13,2 Гц, 1Н), 6,48-6,62 (m, 2H), 7,20 (d, J=7,2 Гц, 1Н), 7,30 (d, J=7,2 Гц, 1Н), 7,48 (t, J=13,2 Гц, 1Н), 7,68-7,95 (m, 6H).
Пример 10: синтез вещества 15
Схема синтеза вещества 15 показана ниже.

Исходный материал (41,8 г, 0,2 моля) растворяют в концентрированной серной кислоте (156 мл, 2,9 моля) и выдерживают при 140°С в течение 1 ч, затем смесь охлаждают до 80°С. К полученному раствору добавляют ледяную воду (300 мл) и затем осторожно приливают раствор гидроксида натрия (96,6 г, 2,4 моля) в воде (100 мл). Выпавшие кристаллы отфильтровывают и промывают водой (120 мл). К полученным кристаллам сырца добавляют воду (300 мл) и метанол (100 мл), смесь нагревают в колбе с обратным холодильником при перемешивании в течение 30 мин, затем охлаждают до комнатной температуры.
Выпавшие кристаллы отфильтровывают, промывают водой (100 мл) и метанолом (120 мл) и в результате получают промежуточное соединение 5 (37,9 г, выход 66%).
Вещество 15 синтезируют из промежуточного соединения 5 методом, напоминающим метод синтеза вещества 13.
1H-ЯМР (CD3OD) 2,00 (s, 12H), 2,72 (d, J=7,2 Гц, 4Н), 2,82 (t, J=7,2 Гц, 4H), 3,30 (МеОН), 4,58 (t, J=7,2 Гц, 4H), 4,70 (t, J=7,2 Гц, 4H), 4,86 (Н2О), 6,42 (d, J=13,2 Гц, 2H), 6,62 (dd, J=13,2, 13,2 Гц, 2Н), 7,62-7,70 (m, 3H), 7,95-8,12 (m, 6H), 8,28 (d, J=7,2 Гц, 2H), 8,42 (s, 2H).
Пример 11: синтез вещества 23
Схема синтеза вещества 23 показана ниже.

Синтез промежуточного соединения 6
5-Сульфо-2,3,3-триметилиндоленин (синтезированный методом, описанным в публикации японского патента отсроченной экспертизы (KOKAI) No.(Hei)2-233658) (24,0 г, 0,1 моля), 2-бромпропионовая кислота (23,0 г, 0,15 моля) и триэтиламин (10,1 г, 0,1 моля) нагревают при 160°С при перемешивании в течение 6 ч. По завершении реакции в реакционную смесь вносят метанол (200 мл), охлаждают до комнатной температуры, образовавшиеся кристаллы промежуточного соединения 6 собирают фильтрацией (6,0 г, выход 19,3%).
Синтез вещества 23
Промежуточное соединение 1 (3,1 г, 10 ммоль), полученное выше, и 1,7-диаза-1,7-дифенил-4-метил-1,3,5-гептатриенмонохлорид (японский патент отсроченной экспертизы (KOKAI) No.(Hei)2-233658) (1,5 г, 5 ммоль) растворяют в метаноле (20 мл) и к полученному раствору добавляют триэтиламин (2,5 г, 25 ммоль) и уксусный ангидрид (4,6 г, 45 ммоль); смесь перемешивают при комнатной температуре в течение 3 ч. К реакционной смеси добавляют ацетат натрия (3,3 г, 33 ммоля) и перемешивают при комнатной температуре в течение 30 мин. Образовавшиеся кристаллы вещества 23 (2,0 г, выход 50,0%) отфильтровывают и промывают метанолом (20 мл).
1Н-ЯМР (D2О) (част./млн) 1,60 (s, 12H), 2,30 (s, 3Н), 2,60 (t, 4H, J=7,2 Гц), 4,20 (t, 4H, J=7,2 Гц), 6,25 (d, 2H, J=14,5 Гц), 6,55 (dd, 2H, 14,5, 14,5 Гц), 7, 25 (d, 2Н, J=7,0 Гц), 7,70-7,80 (m, 4H), 8,00 (dd, 2H, J=14,5, 14,5 Гц).
Пример 12: синтез веществ 25 и 26
Схема синтеза веществ 25 и 26 показана ниже.

Синтез промежуточного соединения 7
Промежуточное соединение 7 синтезируют из 5-сульфо-2,3,3-триметилиндоленина и бромуксусной кислоты методом, близким методу синтеза промежуточного соединения 6 (16,6 г).
Синтез вещества 25
Вещество 25 синтезируют из промежуточного соединения методом, описанным в Zh. Org. Khim., 13, 1977, сс.1189-1192) методом, близким методу синтеза вещества 23 (15,0 г).
MS (FAB-, глицерин) m/z=844.
Синтез вещества 26
Вещество 25 (4,2 г, 5 ммоль) и триэтиламин (1,0 г) растворяют в воде (20 мл), к полученному раствору добавляют о-меркаптобензойную кислоту (0,93 г, 6 ммоль) и перемешивают при комнатной температуре в течение 1 ч. К полученной смеси добавляют ацетат калия (2,0 г, 20 ммоль), затем добавляют этанол (20 мл); выпавшие кристаллы вещества 26 отфильтровывают (1,3 г, выход 27%).
MS (FAB-, глицерин) m/z=962.
Пример 13: синтез вещества 32
Схема синтеза вещества 32 показана ниже.

Синтез промежуточного соединения 9
4-Бромфенилгидрозинмоногидрохлорид (73,8 г, 0,33 ммоль) и 3-метил-2-бутанон (33,2 г, 0,40 ммоль) растворяют в этаноле (450 мл), в полученный раствор вносят концентрированную серную кислоту (7,5 мл) и кипятят в колбе с обратным холодильником при перемешивании в течение 8 ч. После охлаждения смеси до комнатной температуры раствор упаривают в вакууме до объема 100 мл, добавляют воду (400 мл) и этилацетат (400 мл), рН водного слоя доводят до величины от 7 до 8 раствором гидроксида натрия. Полученный раствор экстрагируют этилацетатом, промывают насыщенным раствором хлористого натрия и высушивают над безводным сульфатом натрия. Образовавшийся остаток очищают с помощью колоночной хроматографии на силикагеле (элюент: гексан:этилацетат =5:1~1:1); получают промежуточное соединение 9 в виде коричневой жидкости (58,6 г, выход 76%).
Синтез промежуточного соединения 10
Промежуточное соединение 9 (4,76 г, 20 ммоль) и тиофенбороновую кислоту (3,84 г, 30 ммоль) добавляют к диметилформамиду (50 мл), в полученный раствор вносят фенилфосфинтетраксиса палладия (1,16 г, 9 ммоль) и хлорид цезия (13,3 г, 40 ммоль), нагревают и перемешивают в атмосфере азота при 100°С в течение 4 ч. После добавления воды (200 мл) смесь экстрагируют этилацетатом (200 мл), промывают насыщенным раствором хлористого натрия, после чего органический слой сушат над безводным сульфатом натрия и упаривают в вакууме. Образовавшийся остаток очищают с помощью колоночной хроматографии на силикагеле (элюент: гексан:этилацетат =2:1~1:1); получают промежуточное соединение 10 в виде коричневого твердого вещества (2,8 г, выход 58%).
Синтез промежуточного соединения 11
К промежуточному соединению 10 (1,40 г, 6 ммоль) и триэтиламину (0,59 г, 6 ммоль) добавляют диметилформамид (3 мл), далее к смеси по каплям добавляют 2-хлорэтансульфонилхлорид (1,42 г, 9 ммоль) при охлаждении льдом. После перемешивания при комнатной температуре в течение 30 мин к раствору приливают раствор, полученный растворением гидроксида натрия (0,23 г, 6 ммоль) в воде (2 мл), и перемешивают еще в течение 1 ч при комнатной температуре. К смеси добавляют этилацетат и верхний слой удаляют декантацией. Для получения промежуточного соединения 11 остаток высушивают. Промежуточное соединение 11 используют в дальнейшей реакции без дополнительной очистки.
Синтез вещества 32
Промежуточное соединение 11, получение которого описано выше, и 1,7-диаза-1,7-дифенил-1,3,5-гептатриенмоногидрохлорид растворяют в метаноле (5 мл) и к полученному раствору добавляют триэтиламин (160 мг, 2 ммоля) и безводную уксусную кислоту (230 мг, 2 ммоля); смесь перемешивают при комнатной температуре в течение 7 ч. К этой смеси добавляют этилацетат (20 мл) и выпавшие кристаллы отфильтровывают и промывают этилацетатом (10 мл). Полученные кристаллы растворяют в метаноле (10 мл) и к раствору добавляют насыщенный раствор ацетата калия в метаноле (10 мл). Выпавшие кристаллы отфильтровывают и промывают метанолом (5 мл). Кристаллы очищают с помощью продукта Sephadex LH-20 (растворитель: метанол) и получают вещество 32 (15 мг, выход 2% от промежуточного продукта 2).
1H-ЯМР (CD3OD) (част./млн) 1,75 (s, 12H), 3,25 (t, 4H, J=7,2 Гц), 4.50 (t, 4Н, J=7,2 Гц), 6,40 (d, 2H, J=14.,5 Гц), 6,63 (dd, 2H, 14,5, 14,5 Гц), 7,07-7,12 (m, 2H), 7,33-7,45 (m, 6H), 7,53-7,75 (m, 5H), 7,96 (dd, 2H, J=14,5, 14,5 Гц).
MS (FAB-, глицерин) m/z=760.
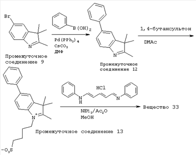
Пример 14: синтез вещества 33
Схема синтеза вещества 33 показана ниже.

Синтез промежуточного соединения 12
Промежуточное соединение 12 синтезируют из промежуточного соединения 9 и дигидроксилфенилборана методом, близким методу синтеза промежуточного соединения 10 (3,6 г, выход 77%).
Синтез промежуточного соединения 13
Промежуточное соединение 12 (1,40 г, 6 ммоль) и 1,4-бутансультон (1,22 г, 9 ммоль) растворяют в диметилацетамиде (2 мл); раствор перемешивают при 135°С в течение 5 ч. К раствору приливают этилацетат (20 мл) и остужают до комнатной температуры; выпавшие кристаллы промежуточного соединения 13 (10 мл) отфильтровывают и промывают этилацетатом (1,84 г, выход 84%).
Синтез вещества 33
Промежуточное соединение 13 (1110 мг, 3 ммоля) и 1,7-диаза-1,7-дифенил-1,3,5-гептатриенмоногидрохлорид (285 мг, 1 ммоль) растворяют в метаноле (5 мл); к полученному раствору добавляют триэтиламин (480 мг, 5 ммоль) и безводную уксусную кислоту (670 мг, 7 ммоль); перемешивают при комнатной температуре в течение 7 ч. К реакционной смеси добавляют этилацетат (10 мл), выпавшие кристаллы отфильтровывают и промывают этилацетатом (10 мл). Кристаллы растворяют в метаноле (5 мл), добавляют насыщенный раствор ацетата калия в метаноле (10 мл), выпавшие кристаллы отфильтровывают и промывают 5 мл. Кристаллы очищают с помощью продукта Sephadex LH-20 (растворитель: метанол) и получают вещество 33 (250 мг, выход 30%).
1Н-ЯМР (CD3OD) (част./млн) 1,80 (s, 12H), 1,95-2,05 (m, 8H), 2,90 (t, 4H, J=7,2 Гц), 4,20 (t, 4H, J=7,2 Гц), 6,38 (d, 2H, J=14,5 Гц), 6,62 (dd, 2H, 14,5, 14,5 Гц), 7,30-7,48 (m, 8H), 7,60-7,74 (m, 9H), 7,93 (dd, 2H, J=14,5, 14,5 Гц).
MS (FAB-, нитробензиловый спирт) m/z=803.
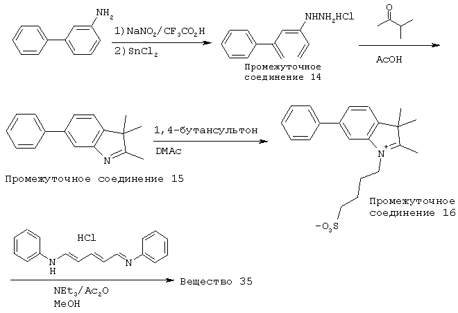
Пример 15: синтез вещества 34
Вещество 34 синтезируют из промежуточного соединения 9 и 4-метилмеркаптофенилборной кислоты методом, близким методу синтеза вещества 33 (15 мг).
1Н-ЯМР (CD3OD) (част./млн) 1,68 (s, 12H), 1,95-2,10 (m, 8H), 2,50 (s, 6H), 3,00 (t, 4H, J=7,2 Гц), 4,10 (t, 4H, J=7,2 Гц), 6,30 (d, 2H, J=14,5 Гц), 6,62 (dd, 2H, 14,5, 14,5 Гц), 7,20-7,70 (m, 19H).
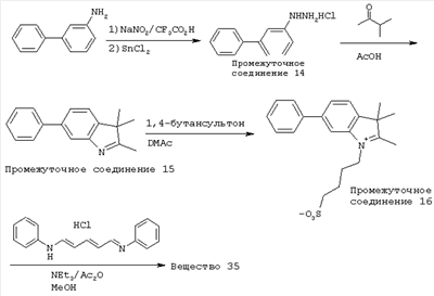
Пример 16: синтез вещества 35
Схема синтеза вещества 35 приводится ниже.

Синтез промежуточного соединения 14
25,0 г 3-аминодифенила (0,15 моль) добавляют к 100 мл трифторуксусной кислоты, смесь охлаждают до температуры 0°С. К смеси по каплям добавляют раствор, полученный при растворении 10,2 г нитрита натрия (0,15 моль) в 100 мл воды, при этом температура реакционной смеси сохраняется ниже 5°С. После того, как заканчивают приливать раствор по каплям, смесь перемешивают при той же температуре в течение 15 мин, затем к смеси добавляют раствор, полученный путем растворения 100 г хлорида олова (0,54 моля) в 50 мл концентрированной соляной кислоты, при этом температура реакционной смеси сохраняется ниже 10°С. После того, как заканчивают приливать раствор по каплям, кристаллы осаждают внесением 250 мл воды, отфильтровывают и промывают 200 мл хлорида метилена. Полученное промежуточное соединение 14 высушивают и без дополнительной очистки используют для синтеза промежуточного соединения 15.
Синтез промежуточного соединения 15
Полученное выше промежуточное соединение 14 (все количество) и 12,9 г 3-метил-2-бутанон (0,15 моля) вносят в 140 мл уксусной кислоты, смесь нагревают при перемешивании в течение 2 ч 30 мин. После охлаждения смеси до комнатной температуры выпавшие кристаллы отфильтровывают, фильтрат концентрируют в вакууме до четверти объема. К остатку добавляют 300 мл воды и 300 мл этилацетата; нерастворимый осадок отфильтровывают через броунмиллерит. Фильтрат экстрагируют этилацетатом (300 мл, 200 млх2), экстракт промывают насыщенным раствором гидрокарбоната натрия и насыщенным рассолом и затем высушивают над сульфатом натрия, растворитель выпаривают в вакууме. Полученный остаток очищают хроматографией на силикагеле (элюент: гексан:этилацетат =3:1~2:1). Кристаллы промежуточного соединения 15 получают перекристаллизацией из 50 мл гексана (1,3 г, выход 4%).
Синтез вещества 35
Вещество 35 синтезируют из промежуточного соединения 15 методом, близким к методу синтеза промежуточного соединения 13 и вещества 33 (65 мг).
MS (FAB-, глицерин) m/z=842, 804.
1Н-ЯМР (D2O) (част./млн) 1,70 (s, 12H), 1,90-2,00 (m, 8H), 2,90 (t, 4H, J=7,2 Гц), 4,10 (t, 4H, J=7,2 Гц), 6,22 (d, 2H, J=14,5 Гц), 6,55 (dd, 2H, 14,5, 14,5 Гц), 7,30-7,60 (m, 17H), 7,77 (dd, 2H, J=14,5, 14,5 Гц).
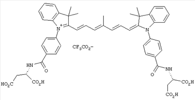
Тест-пример 1: тест флуоресцентной томографии
Кусочки ткани опухоли карциномы толстой кишки мыши (карцинома толстой кишки 26) трансплантируют голым мышам (BALB/c; возраст 5 недель, фирма Clea Japan, Inc.) под кожу в левой части грудной клетки. Десять суток спустя, когда размер опухоли достигал примерно диаметра 8 мм, мышей использовали в эксперименте. В качестве источника флуоресцентного возбужденного света применяли титановый сапфировый лазер. Подопытных мышей одинаково облучают светом лазера, используя световод кольцевого типа (фирма Sumita Optical Glass Co.), при этом дисперсия иррадиации примерно составляет 10%. Мощность иррадиации подбирают таким образом, что сила примерно составляет 40 мкВт/см2 около поверхности кожи мыши. Флуоресценция возбуждалась при длине волны, дающей максимальное возбуждение для каждого вещества; эмиссию флуоресценции от мыши фиксировали и фотографировали через фильтр, отсекающий короткие волны (IR84, IR86, IR88, фирма Fuji Photo Film CO., LTD), с помощью камеры CCD (С4880, фирма Hamamatsu Photonics K.K.). Фильтр, отсекающий короткие волны, был подобран таким образом, чтобы получить свет с длиной волны, вызывающей возбуждение конкретного вещества. Время экспозиции подбирали для каждого вещества в зависимости от интенсивности флуоресценции. Вещество 2, как тестируемое соединение (0,5 мг/мл), растворяли в физиологическом растворе или фосфатном буфере (рН 7,4) и вводили мышам в хвостовую вену (доза из расчета 5,0 мг/кг). Через определенные интервалы времени мышей анестезировали диэтиловым эфиром и фотографировали флуоресцентный свет, исходящий от животных. Для сравнения аналогичным образом поступали с мышами, которым вводили ИЦЗ (5 мг/кг, в/в) и вещество приведенной ниже формулы (вещество А). Результаты показаны на фиг.1-3.

Вещество 2 показало четкий рисунок опухоли за более короткий срок после его применения по сравнению с контрольными веществами. Положение опухоли было неясно через 1 час после применения контрольных веществ. Вещество 2 успешно показало четкий рисунок опухоли через 10-30 мин после применения, таким образом, оно продемонстрировало высокую эффективность как флуоресцентное контрастирующее вещество (фиг.1).
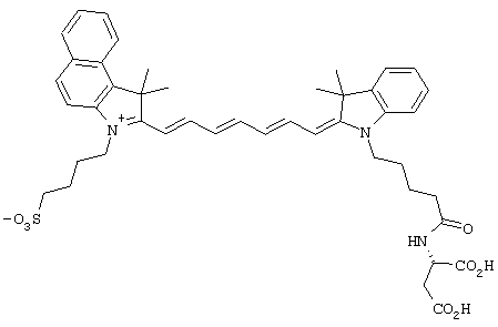
Тест-пример 2: тест флуоресцентной томографии
Мышей с опухолями подготавливают так же, как в тест-примере 1, условия облучения были такими же, как изложенные в тест-примере 1. Вещества 5, 7 и 10 используют как тест-вещества. Каждое из тест-веществ (0,5 мг/мл) растворяют в физиологическом растворе или фосфатном буфере (рН 7,4) и вводят мышам через хвостовую вену в дозе 5,0 мг/кг. Для сравнения мышам вводят следующее вещество (вещество В, 5 мг/кг, внутривенно).

Свет генерируют импульсной лазерной системой на основе твердого тела с перенастраиваемой частотой, содержащей оптический параметрический осциллятор (ОПО), накачиваемый третьей гармонией лазера на аллюмоиттриевом гранате, легированном неодиом (фирма Coherent Inc.).
Для возбуждения выбрали свет с ех=740 нм. Свет направляют на опухоль голой мыши по стекловолокну. Флуоресцентное свечение, характерное для данного красителя, фиксировали, используя комбинацию фильтров (фирма Corion) и усилительную CCD камеру (фирма Roper Scientific.) в разное время после применения красителя (фиг.4). Томографическое изображение получают до применения красителя и через 1 мин, 10 мин, 30 мин, 60 мин, 2 ч, 4 ч, 24 ч после его внутривенного введения через латеральную хвостовую вену в стандартной дозе 5 мг/кг. В течение первых 60 мин температуру тела животного 38°С поддерживали с помощью подогреваемой подстилки. Характеристики веществ по результату проведенной флуоресцентной томографии сопоставляли на основании анализа опухолей модельных голых мышей. Результаты показаны на фиг.5-8. Вещества 5, 7 и 10 дали четкое изображение опухолей за более короткое время после применения по сравнению с контрольным веществом (вещество Б). Расположение опухоли не было четким в течение первого часа после применения контрольного вещества (фиг.8), а вещества настоящего изобретения дали четкое изображение опухолей через временной интервал от 10 до 30 мин после введения (фиг.5-7) и были оценены как высокоэффективные флуоресцентные контрастирующие агенты.
Возможность промышленного применения
Флуоресцентный контрастирующий агент ближней инфракрасной области спектра настоящего изобретения может испускать флуоресценцию в ближней инфракрасной области под воздействием возбужденного света. Флуоресценция в ближней инфракрасной области спектра имеет преимущество, выражающееся в том, что этот свет может проникать через биологические ткани, и, следовательно, агент позволяет определять пораженные области внутри организма.
Формула изобретения
1. Применение соединения формулы I или его фармацевтически приемлемой соли
 где R1, R2, R7 и R8 независимо означают замещенную или незамещенную С1-С10алкильную группу или замещенную или незамещенную арильную группу, где заместители выбраны из сульфогруппы, карбоксигруппы, гидроксигруппы, алкоксигруппы, аминогруппы, галогена, цианогруппы, арила и гетероарила, и R1 и R2 и/или R7 и R8 могут связываться друг с другом с образованием циклической структуры; R3, R4, R5, R6, R9, R10, R11 и R12 независимо означают атом водорода, замещенную или незамещенную C1-С6алкильную группу, замещенную или незамещенную арильную группу, атом галогена, цианогруппу, карбоксильную группу, сульфогруппу или замещенную или незамещенную гетероарильную группу, выбранную из тиенильной, бензотиенильной, фурильной, бензофурильной, пирролильной, имидазольной или хинолильной группы, и их заместители выбраны из гидроксигруппы, атома галогена, C1-С6алкильной группы, C1-С6галогенированной алкильной группы, C1-С6алкоксильной группы, C1-С6алкилендиоксигруппы, карбоксильной группы, С1-С6алкоксикарбонильной группы, незамещенной аминогруппы, C1-С6алкилзамещенной аминогруппы, сульфогруппы и цианогруппы, и R3, R4, R5, R6, R9, R10, R11 и R12 могут связываться друг с другом с образованием циклической структуры; m1 означает 0 или 1; m2 означает 0 или 1; m3 означает 0 или 1; L1, L2, L3, L4, L5, L6 и L7 независимо означают замещенную или незамещенную метиновую группу, где заместители выбраны из замещенной или незамещенной алкильной группы, атома галогена, замещенной или незамещенной арильной группы или низшей алкоксигруппы, при условии, что если две или несколько метиновых групп содержат заместители, заместители могут связываться друг с другом с образованием циклической структуры; М означает атом водорода, металла или четвертичную соль аммония; n обозначает целое число от 1 до 7, необходимое для нейтрализации заряда; X2 означает замещенную или незамещенную С1-С15алкильную группу или замещенную или незамещенную арильную группу, где заместители выбраны из сульфогруппы, карбоксигруппы, гидроксигруппы, алкоксигруппы, аминогруппы, галогена, цианогруппы, арильной или гетероарильной группы, и X1 означает группу формулы (i)
 где Y1 и Y2 независимо означают замещенную или незамещенную двухвалентную связывающую группу, которая представляет собой замещенную или незамещенную C1-С6алкиленовую группу или группы формул

   
    где q обозначает целое число от 1 до 4, р обозначает целое число от 1 до 4, а символ « » означает положение связи, X1 и X2 содержат всего от 2 до 4 карбоксильных групп, для получения флуоресцентного контрастирующего средства ближней инфракрасной области спектра, используемого в способе получения флуоресцентного изображения организма.
2. Применение соединения формулы I или его фармацевтически приемлемой соли по п.1, где каждое из m1, m2 и m3 означает 1.
3. Применение соединения формулы I или его фармацевтически приемлемой соли по пп.1 или 2, где X1 или X2 независимо означают группу, представленную формулой I
 где Y1 и Y2 независимо означают замещенную или незамещенную двухвалентную связь.
4. Применение соединения формулы I или его фармацевтически приемлемой соли по п.1, где по меньшей мере одна из групп R3, R4, R5, R6, R9, R10, R11 и R12 означает замещенную или незамещенную арильную группу или замещенную или незамещенную гетероарильную группу.
5. Применение соединения формулы I или его фармацевтически приемлемой соли по п.1, где Y1 означает -(CH2)pCONH- где р означает целое число от 1 до 4, а Y2 означает -(СН2)- или (CH2)2-.
6. Применение соединения формулы I или его фармацевтически приемлемой соли по п.1 для визуализации опухолей.
7. Применение соединения формулы I или его фармацевтически приемлемой соли по п.1 для ангиографии.
8. Флуоресцентное контрастирующее средство ближней инфракрасной области спектра, включающее соединение формулы I или его фармацевтически приемлемую соль
 где R1, R2, R7 и R8 независимо означают замещенную или незамещенную С1-С10алкильную группу или замещенную или незамещенную арильную группу, где заместители выбраны из сульфогруппы, карбоксигруппы, гидроксигруппы, алкоксигруппы, аминогруппы, галогена, цианогруппы, арила и гетероарила, и R1 и R2 и/или R7 и R8 могут связываться друг с другом с образованием циклической структуры; R3, R4, R5, R6, R9, R10, R11 и R12 независимо означают атом водорода, замещенную или незамещенную С1-С6алкильную группу, замещенную или незамещенную арильную группу, атом галогена, цианогруппу, карбоксильную группу, сульфогруппу или замещенную или незамещенную гетероарильную группу, выбранную из тиенильной, бензотиенильной, фурильной, бензофурильной, пирролильной, имидазольной или хинолильной группы, и их заместители выбраны из гидроксигруппы, атома галогена, С1-С6алкильной группы, C1-С6галогенированной алкильной группы, С1-С6алкоксильной группы, C1-C6алкилендиоксигруппы, карбоксильной группы, C1-С6алкоксикарбонильной группы, незамещенной аминогруппы, C1-С6алкилзамещенной аминогруппы, сульфогруппы и цианогруппы, и R3, R4, R5, R6, R9, R10, R11 и R12 могут связываться друг с другом с образованием циклической структуры; m1 означает 0 или 1; m2 означает 0 или 1; m3 означает 0 или 1; L1, L2, L3, L4, L5, L6 и L7 независимо означают замещенную или незамещенную метиновую группу, где заместители выбраны из замещенной или незамещенной алкильной группы, атома галогена, замещенной или незамещенной арильной группы или низшей алкоксигруппы, при условии, что если две или несколько метиновых групп содержат заместители, заместители могут связываться друг с другом с образованием циклической структуры; М означает атом водорода, металла или четвертичную соль аммония; n обозначает целое число от 1 до 7, необходимое для нейтрализации заряда; Х2 означает замещенную или незамещенную C1-C15алкильную группу или замещенную или незамещенную арильную группу, где заместители выбраны из сульфогруппы, карбоксигруппы, гидроксигруппы, алкоксигруппы, аминогруппы, галогена, цианогруппы, арильной или гетероарильной группы, и X1 означает группу формулы (i)
 где Y1 и Y2 независимо означают замещенную или незамещенную двухвалентную связывающую группу, которая представляет собой замещенную или незамещенную С1-С6алкиленовую группу или группы формул

   
    где q обозначает целое число от 1 до 4, р обозначает целое число от 1 до 4, а символ « » означает положение связи, X1 и X2 содержат всего от 2 до 4 карбоксильных групп, и фармацевтически приемлемый носитель.
9. Флуоресцентное контрастирующее средство ближней инфракрасной области спектра по п.8, предназначенное для приготовления флуоресцентного контрастирующего агента для получения изображения живого тела.
10. Флуоресцентное контрастирующее средство ближней инфракрасной области спектра по п.8, предназначенное для визуализации опухолей.
11. Флуоресцентное контрастирующее средство ближней инфракрасной области спектра по п.8, предназначенное для ангиографии.
РИСУНКИ
TH4A – Переиздание описания изобретения к патенту Российской Федерации
Причина переиздания: Коррекция библиографических данных, в тексте формулы и описания изобретения
Извещение опубликовано: 27.05.2009 БИ: 15/2009
TK4A – Поправки к публикациям сведений об изобретениях в бюллетенях “Изобретения (заявки и патенты)” и “Изобретения. Полезные модели”
Напечатано: (72) КАВАКАМИ Масаюки (JP), КИТАГУЧИ Хироши (JP), КИТАГУЧИ Кай (DE),…
Следует читать: (72) КАВАКАМИ Масаюки (JP), КИТАГУЧИ Хироши (JP), ЛИХА Кай (DE),…
Номер и год публикации бюллетеня: 9-2009
Код раздела: FG4A
Извещение опубликовано: 27.05.2009 БИ: 15/2009
PD4A – Изменение наименования обладателя патента СССР или патента Российской Федерации на изобретение
(73) Новое наименование патентообладателя:
ФУДЖИ ФОТО ФИЛМ КО., ЛТД. (JP)
(73) Новое наименование патентообладателя:
Байер Шеринг Фарма Акциенгезельшафт (DE)
Адрес для переписки:
103735, Москва, ул. Ильинка, 5/2, ООО Союзпатент”
Извещение опубликовано: 10.12.2009 БИ: 34/2009
|
|