Патент на изобретение №2350311
|
|||||||||||||||||||||||||||||||||||||||||||||||||||||||||||||||||||||||||||||||||||||||||||||||||||||||||||||||||||||||||||||||||||||||||||||||||||||||||||||||||||||||||||||||||||||||||||||||||||||||||||||||||||||||||||||||||||||||||||||||||||||||||||||||||||||||||||||||||||||||||||||||||||||||||||||||||||||||||||||||||||||||||||||||||||||||||||||||||||||||||||||||||||||||||||||||||||||
(54) КОМПОЗИЦИИ СТИКОВ
(57) Реферат:
Изобретение относится к косметологии. Композиции стиков с желательными сенсорными свойствами можно получить путем применения первичного огеливающего средства, сочетания амидных структурирующих средств, включающих в себя (i) амид N-ациламинокислоты, в котором N-ацильный заместитель имеет формулу -CO-Rx, где Rx обозначает разветвленную С6-С11 алкильную группу, и (ii) амид N-ациламинокислоты, в котором N-ацильный заместитель содержит линейную алкильную группу, и косметического масла-носителя, содержащего не смешивающийся с водой одноатомный спирт, который является жидким при 20°С и имеет точку кипения выше 100°С. 3 н. и 34 з.п. ф-лы, 4 табл.
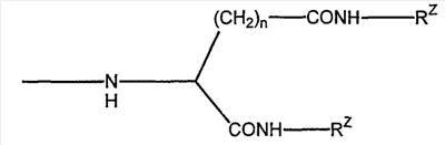
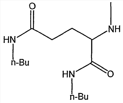
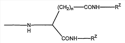
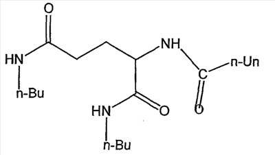
Настоящее изобретение относится к композициям стиков и, в частности, к композициям, содержащим суспендированный антиперспирант или дезодорант и носитель, включающий в себя косметически приемлемое не смешивающееся с водой масло, которое отверждается под действием амидозамещенной аминокислоты, а также к их получению и применению. Область техники, предпосылки создания изобретения и предыдущий уровень техники Широко известно и доступно несколько разных физических форм косметических композиций антиперспирантов для применения с использованием соответствующих приспособлений для нанесения, включающих в себя распылители для порошкообразных смесей, пенки, огеленные или загущенные жидкости, жидкости низкой вязкости, которые можно распылять, композиции аэрозолей, кремы, полутвердые вещества и стики. Предпочтительный выбор физической формы часто может зависеть от истории продукта, местных предпочтений, которые с течением времени могут меняться вместе с изменением моды. Особенно популярной физической формой композиций антиперспирантов и дезодорантов в течение последних двадцати лет в Северной Америке были стики. Термин “стик” в данном описании используется в его обычном значении, то есть для обозначения твердого на ощупь вещества, зачастую в форме стержня или брикета, как правило, находящегося в контейнере, содержащем цилиндр с открытым концом и с поршнем на противоположной стороне, поршень может скользить вверх по цилиндру, вытесняя стик, который сохраняет форму и целостность в процессе вытеснения. Косметические антиперспирантные стики, как правило, содержат активное антиперспирантное вещество, растворенное или суспендированное в косметически приемлемом веществе-носителе, которое, по меньшей мере отчасти, представляет собой косметически приемлемое не смешивающееся с водой масло. В пользующемся большой популярностью классе косметических стиков вещество-носитель содержит либо неполярную жидкость, либо компонент, который составляет не более чем часть носителя и который может образовывать одну жидкую фазу с несмешивающимся с водой маслом или масляной смесью. Класс веществ, которые до настоящего времени предлагались для отверждения несмешивающихся с водой масел, включает в себя неполимерные волокнообразующие структурирующие средства. Ряд таких структурирующих средств включает в себя алкильные сложноэфирные производные некоторых сахаридов, таких, как мальтоза, или, в особенности, целлобиоза, а другие структурирующие средства включают в себя N-ациламидные производные аминокислот, ди- или трикарбоновых кислот или циклогексана. Настоящее изобретение в особенности направлено на композиции, в которых непрерывная фаза, содержащая несмешивающееся с водой масло, отверждается N-ациламидными производными аминокислот. Многие N-ациламидные производные аминокислот, в большей или меньшей степени подходящие для отверждения косметически приемлемых масел, описаны Ajinomoto Co Ltd в USP 3969087, в том числе, конкретные производные глутаминовой кислоты или аспарагиновой кислоты. Наиболее предпочтительным с точки зрения Ajinomoto производным из раскрытых в указанном документе является ди-н-бутиламид N-лауроилглутаминовой кислоты, на что также указывает тот факт, что в течение многих лет оно было единственным коммерчески доступным из подобных веществ (товарное наименование GP-1). Структурирующее средство GP-1 раскрывается как используемое для структурирования несмешивающихся с водой масел в косметических стиках, но зачастую не само по себе, а в сочетании с одним или несколькими структурирующими средствами, например, минорными по массе компонентами структурирующей смеси. Так, например, Hofrichter et al (Procter & Gamble) в USP 5650144, USP 5591424 и USP 5429816 описывают получение стиков, в которых косметическое масло отверждают смесью, содержащей в качестве основного компонента 12-гидроксистеариновую кислоту или родственные ей соединения (первичное огеливающее средство) и в качестве минорного компонента амид N-ациламинокислоты (вторичное огеливающее средство), например, с массовым соотношением GP-1 и родственных диамидов N-ацилглутаминовой кислоты к 12-HSA 2:6. Сочетание гидроксистеариновой кислоты и амидов N-ациламинокислоты, описанное в патентах Hofrichter, можно обрабатывать в приемлемых условиях, что является очень важной характеристикой. В ходе исследований, приведших к созданию настоящего изобретения, было обнаружено, что, хотя стики можно получить, используя в качестве первичного или единственного огеливающего средства амиды N-ациламинокислот, такие, как GP-1, полученный продукт в готовом виде является относительно мягким и при местном применении оставляет на коже “влажную” маслянистую пленку. Такое ощущение не нравится потребителям. Указанные невыгодные свойства имеют тенденцию ухудшаться при хранении продукта. Относительная мягкость таких продуктов, полученных с использованием GP-1, установлена самим Ajinomoto. Позже, в USA-2002/0159961, Ajinomoto описал выбор N-ациламидных производных аминокислот из всего диапазона соединений, описанных в USP 3969087. В выбранных соединениях алкильная группа R3 в N-ацильном заместителе -CO-R3 характеризуется тем, что она содержит от 7 до 10 атомов углерода и может быть разветвленной. В описании ‘961 раскрывается, что новые аминокислотные производные можно применять для гелевых неполярных органических жидкостей с получением более твердых гелей. В описании ‘961 также раскрывается получение антиперспирантных композиций, огеленных с использованием одного из выбранных огеливающих средств индивидуально или в смеси с GP-1, но в качестве минорного огеливающего средства в сочетании с гидроксистеариновой кислотой в качестве основного огеливающего средства (в массовом соотношении 2:7). Хотя композиции, в которых применяется такое сочетание огеливающих средств, можно сравнительно легко обрабатывать с получением стиков, полученные продукты обладают неприемлемыми сенсорными свойствами и оставляют относительно большую массу композиции на субстрате. При решении проблемы плохих сенсорных свойств и большого отложения композиции исследователи должны учитывать возможные сложности, возникающие в производстве при использовании некоторых амидных огеливающих средств. При увеличении концентрации таких огеливающих средств получать композиции стиков становится труднее. Температура огеливания несмешивающегося с водой масла при использовании огеливающего средства на основе амида N-ациламинокислоты, содержащего разветвленный N-ацильный заместитель, сравнима с температурой огеливания при использовании такого же количества подобного огеливающего средства, содержащего линейный N-ацильный заместитель. Для идентичных в других отношениях композиций огеливающее средство, содержащее разветвленный N-ацильный заместитель, вызывает огеливание такой композиции при значительно более высокой температуре, например, выше более чем на 20°C. Смесь огеливающего средства, такого, как амид N-ациламинокислоты, и масла-носителя перед растворением огеливающего средства нужно нагреть до температуры, значительно превышающей температуру огеливания, и, как правило, это является практически нецелесообразным для композиций антиперспирантов или дезодорантов, которые нужно нагревать до температуры растворения амида, поскольку на практике нецелесообразно повторно растворять огеливающее средство путем нагревания такой композиции после того, как она огелилась и, соответственно, осталась в гелеобразном виде. Следовательно, применение огеливающего средства, которое огеливает композицию при значительно более высокой температуре, например, при температуре, превышающей температуру кипения воды, по своей природе является недостатком. Повышенная температура гелеобразования приводит к возникновению риска, заключающегося в том, что композиция может огелиться до того, как она охладится до температуры, при которой можно вводить активный ингредиент, или чувствительный к температуре ингредиент, или в том, что каждое введение активного ингредиента, составляющего значительную часть всей композиции, может быстро снижать температуру композиции до температуры ниже температуры огеливания масла, делая последующие операции, такие, как наполнение дозирующих устройств продуктом, крайне сложными, если не невозможными, для широкомасштабного производства. Однако разработчик композиций также должен думать о сенсорных свойствах полученной композиции. В процессе разработки настоящего изобретения было обнаружено, что доля несмешивающегося с водой спирта, который может быть включен в жидкий носитель, играет важную роль в формировании сенсорных свойств конечной композиции. В общих чертах, такие свойства ухудшаются при увеличении этой доли. Краткое содержание изобретения Целью настоящего изобретения является устранение или по меньшей мере улучшение одного или нескольких из указанных выше затруднений или недостатков, встречающихся при получении отверждаемых несмешивающихся с водой масел, содержащих косметически активный ингредиент. В соответствии с одним аспектом настоящего изобретения предлагается косметическая композиция антиперспиранта или дезодоранта по пункту 1 формулы изобретения. Одну или несколько из указанных выше проблем, возникающих при получении косметических стиков, можно решить путем применения сочетания волокнообразующих структурирующих веществ в качестве основного огеливающего средства, в соответствии с пунктом 1, и определенного спирта, содержание которого в несмешивающемся с водой жидком носителе находится в заданном диапазоне. Желательно, чтобы количество используемого несмешивающегося с водой спирта было достаточным для того, чтобы обеспечить возможность обработки композиции, но не настолько большим, чтобы чересчур ухудшить сенсорные свойства конечной композиции. В настоящем изобретении выбранные амидные огеливающие средства (i) и (ii) вместе составляют первичное огеливающее средство, то есть они применяются сами по себе, или, если присутствует вторичное огеливающее средство, они вместе составляют основную массовую долю от общего содержания первичного и вторичного огеливающих средств. Описываемые композиции согласно изобретению являются безводными, это означает, что масла, являющиеся жидким носителем, не содержат полярной фазы, такой, как диспергированная водная фаза. В соответствии со вторым аспектом настоящее изобретение относится к способу получения косметической композиции антиперспиранта или дезодоранта по пункту 33. В соответствии с третьим аспектом настоящего изобретения предлагается косметический способ ингибирования или подавления потоотделения и/или неприятных запахов тела путем местного нанесения на кожу эффективного количества композиции в соответствии с первым аспектом. Подробное описание изобретения и его предпочтительные варианты осуществления Настоящее изобретение относится к стикам антиперспирантов или дезодорантов, содержащим косметически активный антиперспирантный или дезодорирующий активный ингредиент, где фазу несмешивающегося с водой масла отверждают смесью, включающей в себя по меньшей мере два класса волокнообразующих структурирующих средств, содержащих амидную связь, из которых один класс представляет собой огеливающее средство (i), амид N-ациламинокислоты, ацильная группа которого содержит разветвленную алкильную группу из 4-12 атомов углерода. Композиции содержат по меньшей мере 4% по массе амидных волокнообразующих огеливающих средств, из которых по меньшей мере 3% составляет первичное огеливающее средство, т.е. классы (i) и (ii) вместе. В данном описании термин амидные огеливающие средства включает в себя циклопептиды. Огеливающее средство (i) Огеливающее средство (i) представляет собой амид N-ациламинокислоты общей формулы (1) AX-CO-Rx, в которой Ax обозначает остаток амида аминокислоты, а Rx обозначает разветвленную алкильную группу, содержащую от 4 до 12 атомов углерода, иногда от 7 до 10 атомов углерода. Во многих случаях остаток амида аминокислоты Ax можно представить формулой (2) в которой n обозначает целое число 1 или 2, а Rz обозначает алкильную группу, которая может быть линейной или разветвленной и содержит от 1 до 10, предпочтительно от 3 до 5 атомов углерода, причем группы RZ могут быть одинаковыми или разными. Соответственно, такой аминокислотой, из которой получают амидный остаток Ax, является глутаминовая или аспарагиновая кислота. В некоторых особенно предпочтительных вариантах осуществления каждый RZ обозначает бутильную группу, предпочтительно н-бутильную группу, в особенности в производном глутаминовой кислоты, остаток которого представлен формулой (3) В формуле (1) Rx предпочтительно обозначает алкильную группу, содержащую либо одну или две, либо, возможно, три боковые цепи, например, предпочтительно, одну боковую цепь. Желательно, чтобы любая боковая цепь в Rx содержала от 1 до 4 атомов углерода, зачастую от 1 до 3 атомов углерода, например, она может представлять собой метил, этил, пропил или бутил, из которых наиболее пригодным является этил. Предпочтительно алкильный скелет содержит от 4 до 8 атомов углерода, часто от 4 до 7 атомов углерода и иногда 7 или 8 атомов углерода. Расположение боковой цепи в скелете алкильной группы является предметом свободного выбора специалиста, получающего соединение, причем часто предпочитается 2 положение. Особенно желательной группой Rx с разветвленной цепью является 1-этилпентил, так что полученная ацильная группа представляет собой 2-этилгексаноил. Другие группы Rx с разветвленной цепью включают в себя 1-метилбутил, изобутил и 1-бутилгептил. Особенно желательно использовать огеливающее средство (i), в котором Rx обозначает одну или несколько из указанных выше разветвленных алкильных групп, а амидный остаток получают из дибутиламида глутаминовой кислоты. Массовая доля огеливающего средства (i) в композиции, как правило, находится в интервале от по меньшей мере 1,5% мас./мас., во многих предпочтительных вариантах осуществления до 8%, и, в особенности, она составляет по меньшей мере 2% мас./мас. Зачастую нет необходимости вводить в состав композиции более 6% мас./мас. огеливающего средства (i). Доля огеливающего средства в композиции также может быть определена по отношению к несмешивающейся с водой фазе, которую оно структурирует, т.е. с исключением массы всех веществ, суспендированных в маслах-носителях, составляющих данную фазу. Массовая доля огеливающего средства (i), как правило, находится в интервале от 3 до 15% мас./мас. по отношению к несмешивающейся с водой фазе, зачастую доля данного средства составляет по меньшей мере 4% мас./мас. по отношению к указанной фазе. Массовая доля этой фазы в ряде предпочтительных вариантов осуществления составляет до 9%. Массовую долю каждого огеливающего средства в композиции или несмешивающейся с водой фазе часто выбирают в зависимости от доли другого огеливающего средства (ii), типа и массы всех вторичных огеливающих средств и желаемой твердости стика. Огеливающее средство (i) применяется совместно со вторичным амидным волокнообразующим структурирующим средством (ii), то есть с амидом N-ациламинокислоты, отличающимся от огеливающего средства (i), амида N-ациламинокислоты, содержащего заместитель с разветвленной цепью. Амиды N-ациламинокислот описаны в патенте США 3969087 в качестве огеливающего средства (ii). Примеры многих таких амидов и общий способ получения приведены в описании указанного патента: столбец 1, строка 63 – столбец 4, строка 47, а конкретные амидные производные приведены в примере 1 в колонках 6-8, причем указанные фрагменты текста включены в настоящее описание в качестве ссылки. В настоящем описании огеливающее средство (11a) часто имеет формулу (4) AY-CO-RY, где AY обозначает амид аминокислоты, а RY обозначает линейную алкильную группу, содержащую от 9 до 21 атомов углерода. Желательно, чтобы AY обозначал остаток амида аминокислоты формулы (5) в которой n обозначает целое число 1 или 2, а Rz обозначает алкильную группу, которая может быть линейной или разветвленной и содержит от 1 до 10, предпочтительно от 3 до 5 атомов углерода, причем группы RZ могут быть одинаковыми или разными. Соответственно, такой аминокислотой, из которой получают амидный остаток Ax, является глутаминовая или аспарагиновая кислота. В некоторых особенно предпочтительных вариантах осуществления каждый RZ обозначает бутильную группу, предпочтительно н-бутильную группу, в особенности в производном глутаминовой кислоты. Такое производное представлено формулой (3), приведенной выше для остатка Ax. В формуле (5) RY часто содержит от 9 до 15 линейных атомов углерода, а предпочтительной группой является ундецил. N-Лауроил-L-глутаминовой кислоты ди-н-бутиламид, формула (6) (n-Un = ундецил), использующийся в примере 14 ‘087, в особенности подходит, как амидное структурирующее средство, для применения в композициях согласно изобретению и серийно производится Ajinomoto под товарным наименованием GP-1. В настоящем описании массовая доля огеливающего средства (ii) в композиции, как правило, находится в интервале от по меньшей мере 1,5% мас./мас., во многих предпочтительных вариантах осуществления до 8%, и, в особенности, она составляет по меньшей мере 2% мас./мас. Зачастую нет необходимости вводить в состав композиции более 6% мас./мас. огеливающего средства (ii). Доля огеливающего средства (ii) в композиции также может быть определена по отношению к несмешивающейся с водой структурирующей фазе. Массовая доля огеливающего средства (ii), как правило, находится в интервале от 3 до 12% мас./мас. по отношению к несмешивающейся с водой фазе, зачастую доля этого средства составляет по меньшей мере 3,5% мас./мас. по отношению к указанной фазе. Массовая доля этой фазы в ряде предпочтительных вариантов осуществления составляет до 8%. Массовую долю каждого огеливающего средства в композиции или несмешивающейся с водой фазе часто выбирают в зависимости от типа и доли всех вторичных огеливающих средств и желаемой твердости стика. Массовое соотношение огеливающего средства (i) к огеливающему средству (ii), как правило, находится в интервале от 3:1 до 1:3. Во многих случаях массовое соотношение не превышает 2:1 и в таких или других случаях массовое соотношение составляет по меньшей мере 1:2. Подходящее массовое соотношение может находиться в интервале от 1,1:1 до 1:1,1. Суммарная массовая доля огеливающих средств (i) и (ii) в композиции часто находится в интервале от 4 до 10%, в некоторых предпочтительных вариантах осуществления от 4,5 до 8%, в особенности, оно составляет по меньшей мере 5%. Если массовую долю двух огеливающих средств выражают по отношению к несмешивающейся с водой фазе, она часто составляет от 6 до 15% мас./мас., а в предпочтительных вариантах осуществления от 7,5 до 12% мас./мас. Сочетание первичных огеливающих средств можно использовать само по себе, или, при желании, его можно дополнить вторичным огеливающим средством, т.е. огеливающим средством или огеливающими средствами, отличными от огеливающих средств (i) и (ii). Вторичный в настоящем описании означает, что такое огеливающее средство или огеливающие средства составляют минорную фракцию в общей массе огеливающих средств в композиции, предпочтительно, они составляют не более одной трети от общей массы огеливающих средств. Масса первичных огеливающих средств, т.е. сочетания огеливающих средств (i) и (ii), всегда составляет по меньшей мере 3%, зачастую по меньшей мере 3,5% от массы композиции. Во многих предпочтительных вариантах осуществления доля вторичных огеливающих средств составляет от 0 до 25% мас./мас. от общей массы огеливающих средств. Композиция предпочтительно не содержит или почти не содержит вторичных огеливающих средств, например, она содержит от 0 до 5% мас./мас. огеливающих средств (по отношению к массе композиции). Желательно, чтобы вторичное огеливающее средство было выбрано из огеливающего средства (iii), а именно из волокнообразующих амидных производных карбоновых кислот, отличных от амидов аминокислот огеливающих средств (i) и (ii), или из огеливающего средства (iv), а именно гидроксистеариновых кислот. Суммарная массовая доля огеливающих средств (i), (ii) и (iii) составляет по меньшей мере 4% от массы композиции. Такие подходящие амидные производные (iii) можно выбрать из (iiia) диамидо- или триамидо-замещенного циклогексана, огеливающего средства (iiib), амидных производных двух- и трехосновных карбоновых кислот, (iiic) амидов гидроксистеариновой кислоты и (iiid) циклодипептидов. Зачастую подходящее амидное огеливающее средство (iii) выбирают из подклассов (iiia) – (iiic). Вторичное огеливающее средство (iiia) включает в себя диамидо- и триамидо-замещенный циклогексан. Отдельные подклассы таких соединений включают в себя -1,2 или -1,3 замещенные циклогексановые соединения и 1,3,5-триамидо-замещенный циклогексан, где амидная группа предпочтительно соответствует общим формулам -(CH2)v-CO-NH-R111 и -(CH2)v-NH-CO-R111, в которых R111 обозначает алкильную группу, содержащую от 5 до 27 атомов углерода, а v обозначает целое число, выбранное из нуля и единицы. Если циклогексановый фрагмент замещен двумя амидными заместителями, то предпочтительно заместители удовлетворяют формуле -(CH2)v-NH-CO-R111 и находятся в положениях 1,2 или 1,3 циклогексанового ядра по отношению друг к другу. Если они находятся в относительных положениях 1,3, v предпочтительно равно 1. Если два заместителя находятся в относительных положениях 1,2, v предпочтительно равно нулю. Если циклогексановый фрагмент замещен тремя амидными группами, каждая из них предпочтительно удовлетворяет формуле -(CH2)v-CO-NH-R111. R111 может быть линейным или разветвленным. Предпочтительно число атомов углерода в R111 находится в интервале 8-20. Например, R111 может обозначать ундецил, додецил, октадецил или диметилоктил. Вторичное огеливающее средство (iiib) включает в себя амидные производные двух- и трехосновных карбоновых кислот. Такие огеливающие средства находятся в соответствии с описанием, либо приведенным в USP 5840288, особенно во фрагменте от столбца 12, строка 37, до столбца 14, строка 20, либо приведенным в USP 6190673B1, особенно во фрагментах: столбец 1, строка 47 – столбец 2, строка 38 и столбец 3, строка 47 – столбец 5, строка 23. Общие способы их получения описаны в USP 5840288, во фрагменте: столбец 12, строки 37-39 или в USP 6190673B1, во фрагменте: столбец 5, строки 28-43. Карбоновые кислоты, подходящие для получения амидных производных, включают в себя янтарную кислоту и алифатические кислоты, содержащие три соседние карбоксильные группы, такие, как 1-пропентриовая кислота. Каждый амидный заместитель предпочтительно содержит алкил, особенно линейную алкильную группу, содержащую от 3 до 12 атомов углерода. Особо подходящие огеливающие средства (iiib) приведены во фрагменте USP 5840288: столбец 13, строка 62 – столбец 14, строка 7, и в таблице 1, столбец 13, USP 6190673 B1. Особенно предпочтительное огеливающее средство (iiib) представляет собой 2-додецил-N,N’-дибутилсукцинимид, или 1-пропен-1,2,3-триоктиламид, или 2-гидрокси-1,2,3-пропан-трибутиламид. Такие фрагменты включены в настоящее описание в качестве ссылки. Вторичные огеливающие средства (iiic), относящиеся к амидным огеливающим средствам (iii), включают в себя амиды гидроксистеариновой кислоты, особенно амиды 12-гидроксистеариновой кислоты. Амидный заместитель в таких амидах предпочтительно содержит алкил, особенно линейную алкильную группу, содержащую от 3 до 13 атомов углерода, такую, как пропил, бутил, гептил или ундеканил. Вторичные огеливающие средства (iiid), подходящие для применения в настоящем изобретении, включают в себя структурирующие средства, которые удовлетворяют следующей общей формуле: в которой один из R1 и R2 обозначает алкил, алкильную сложноэфирную группу, а другой обозначает алкильную или аралкильную группу. Примеры таких амидов описаны в двух публикациях Hanabusa et al, озаглавленных соответственно Cyclo(dipeptide)s as low molecular-mass Gelling Agents to harden Organic Fluids, J. Chem Soc. Commun., 1994 pp l401/2, и Low Molecular Weight Gelators for Organic Fluids: Gelation using a Family of Cyclo(dipeptide)s, Journal of Colloid and Interface Science 224, 231-244 (2000), указанные описания амидных структурирующих средств включены в настоящее описание в качестве ссылки. Однако в рамках изобретения особенно предпочтительно использовать не раскрытый в явной форме Hanabusa подкласс циклодипептидов, который удовлетворяет общей формуле: в которой RA обозначает карбоциклическую или гетероциклическую группу, содержащую не более 2 колец. Такие вещества в настоящем описании иногда называют производными DOPA. В производных DOPA RA может содержать два сопряженных цикла, но предпочтительно он содержит один шестичленный цикл, либо карбоциклический, либо гетероциклический, или цикл, присоединенный через мостик. Если RA обозначает карбоцикл, он может быть насыщенным или ненасыщенным, предпочтительно ненасыщенным или ароматическим. Если RA обозначает гетероцикл, он предпочтительно является насыщенным. Хотя циклическая группа RA может быть незамещенной, она предпочтительно замещена по меньшей мере одним алкильным заместителем, который предпочтительно содержит не более 16 атомов углерода. В некоторых особенно предпочтительных вариантах осуществления длина цепи алкильного заместителя не превышает 4 атомов углерода, а в некоторых случаях общее количество атомов углерода не превышает 5. Алкильный заместитель может быть линейным или разветвленным. Предпочтительные примеры включают в себя метил, этил, пропил, изопропил, бутил, изобутил, или т-бутил, или изопентил. В ряде наиболее подходящих производных DOPA RA содержит два или более алкильных заместителя, в особенности выбранных из перечисленных выше предпочтительных примеров. Алкильные заместители могут быть одинаковыми, например, два или более метильных заместителей, или они могут представлять собой сочетание разных заместителей, таких, как метил и изопропил. Если RA является насыщенным, заместители могут находиться на одном атоме углерода, например, две метильные группы, или на разных атомах углерода. В некоторых особенно предпочтительных производных алкильные заместители могут находиться в мета- или пара-положении по отношению друг к другу, например, метильные группы в мета-положении или метильная и изопропильная группа в пара-положении. В других производных цикл может включать в себя метиленовый мостик, который предпочтительно также дополняет шестичленный цикл. В некоторых производных DOPA один алкильный заместитель может находиться в орто- или пара-положении по отношению к связи, соединяющий цикл с остатком DOPA, как в 4-метил-фенил-. В некоторых или других производных DOPA связь, соединяющая цикл с остатком DOPA, находится в мета-положении по отношению к одному или, предпочтительно, двум метильным заместителям. Если RA представляет собой гетероцикл, гетероциклическим атомом предпочтительно является азот. Предпочтительно, гетероциклический атом находится в пара-положении по отношению к связи, соединяющий цикл с остатком DOPA. Кроме того, в ряде предпочтительных производных гетероатом находится в орто-положении по отношению по меньшей мере к одной алкильной группе, лучше в насыщенном цикле и, в особенности, содержащем до 4 метильных групп в орто-положении. Зачастую группу RA проще всего назвать как остаток соответствующего спирта, который может взаимодействовать с DOPA с образованием сложноэфирной связи. Так, предпочтительные примеры RA включают в себя остатки 4-алкилфенол, такие, как 4-нонилфенол и 2,6-диалкил- или 2,2,6,6-тетраалкил-4-пиперидинол, такие, как 2,2,6,6-тетраметил-4-пиперидинол. В некоторых предпочтительных производных DOPA RA обозначает карбоцикл, замещенный по меньшей мере двумя алкильными группами, из которых по меньшей мере одна представляет собой метил, а другая, или одна из других, представляет собой изопропил. Примеры таких предпочтительных остатков RA включают в себя ментол, изопинокамфенол и 3,5-диалкилциклогексанол, такой, как 3,5-диметилциклогексанол. Особенно предпочтительные остатки RA включают в себя тимол. Другие включают в себя производные DOPA из карвеола и карвакрола. Используемые в настоящем изобретении производные DOPA могут представлять собой смесь соединений, соответствующих приведенным общим формулам, или они могут представлять собой одно соединение. Производные DOPA можно получить путем взаимодействия соответствующего спирта с DOPA в кислой форме (DOPAA), или с хлорангидридом кислоты, или с ангидридом, или сложным эфиром, содержащим остаток DOPA. DOPAA можно получить циклизацией аспартама. DOPAA может взаимодействовать с подходящим спиртом формулы RAOH, предпочтительно, находящимся в молярном соотношении с DOPAA по меньшей мере 2:1, в диметилсульфоксиде, в соотношении от 6:1 до 12:1, в присутствии активирующего агента, такого, как карбонилдиимидазол, в количестве, составляющем предпочтительно от 0,5 до 2 моль активирующего агента на моль кислоты DOPA. Реакцию удобно проводить при температуре от 40 до 60°C. Вторичное огеливающее средство (iv) представляет собой гидроксистеариновую кислоту, более предпочтительно 12-гидроксистеариновую кислоту. Вторичные огеливающие средства (iii) и (iv) можно использовать отдельно или вместе, например, в массовом соотношении от 3:1 до 1:3. В настоящем изобретении суммарная массовая доля вторичных огеливающих средств (iiia) – (iiid) и (iv) в композиции обычно находится в интервале от 0 до 5%, а во многих предпочтительных вариантах осуществления она не превышает 3% мас./мас., причем эта масса еще составляет минорную долю от общей массы огеливающих средств. Долю вторичного огеливающего средства (iiia) – (iiid) и (iv) в композиции также можно определить по отношению к несмешивающимся с водой маслам, которые оно структурирует. Массовая доля указанного вторичного огеливающего средства в несмешивающихся с водой маслах обычно находится в интервале от 0 до 7,5% мас./мас. и зачастую не превышает 4,5% мас./мас. по отношению к указанным маслам. Массовое соотношение огеливающего средства (iii) и огеливающего средства (iiv), если они оба присутствуют, обычно находится в интервале от 3:1 до 1:5. Суммарная массовая доля первичного и вторичного огеливающих средств в композиции часто находится в интервале от 4 до 10%, в некоторых особенно предпочтительных вариантах осуществления от 5 до 8%. Если массовую долю двух огеливающих средств выражают по отношению к несмешивающимся с водой маслам, она часто составляет от 6 до 15% мас./мас., а во многих предпочтительных вариантах осуществления от 7,5 до 12% мас./мас. Несмешивающиеся с водой масла-носители В настоящем изобретении доля алифатических спиртов, которые при 20°С находятся в жидком состоянии, в маслах-носителях составляет от 25 до 50% мас./мас. Из таких веществ особенно предпочтительными являются несмешивающиеся с водой. Эти вещества включают в себя спирты с разветвленной цепью, содержащие по меньшей мере 10 атомов углерода, часто до 30 атомов углерода, особенно от 15 до 25, такие, как изостеариловый спирт, гексилдеканол, октилдодеканол и децилтетрадеканол. Другие подходящие несмешивающиеся с водой спирты включают в себя линейные спирты со средней длиной цепи, как правило, содержащие от 9 до 13 атомов углерода, такие, как деканол или додеканол. Подходящим спиртом также является бензиловый спирт. Такие спирты могут способствовать растворению амидо-замещенных огеливающих средств (i), (ii) и (iii), если таковые присутствуют, в несмешивающемся с водой жидком носителе в процессе промышленного получения структурирующих гелей. Масса таких спиртов зачастую может составлять по меньшей мере от 30 до 45% от массы масел. В ряде композиций масса спиртов составляет от 35 до 40% от массы масел. Помимо суммарной доли одноатомного спирта в несмешивающихся с водой маслах также желательно выбрать его содержание по отношению к общей массе амидных огеливающих средств (i), (ii) и, в случае присутствия, (iii). Массовое соотношение такого одноатомного спирта к суммарной массе амидного огеливающего средства предпочтительно составляет от 3,5:1 до 5:1. В качестве вторичных структурирующих средств также можно использовать алифатические спирты, которые при 20°С находятся в твердом состоянии, например, линейные спирты, содержащие по меньшей мере 12 атомов углерода, такие, как стеариловый спирт, однако они предпочтительно должны отсутствовать или присутствовать в количестве, не превышающем 3% от массы всей композиции, как указано выше, поскольку они приводят к появлению видимых белых отложений или увеличивают такие отложения, при местном нанесении на кожу структурированной с их помощью композиции. Не смешивающийся с водой жидкий носитель включает в себя одно вещество или смесь веществ, являющихся относительно гидрофобными, чтобы быть несмешивающимися с водой. После распределения между непрерывной фазой и дисперсной фазой небольшая часть гидрофильной жидкости может остаться в непрерывной фазе, при условии, что вся смесь, образующая жидкий носитель, не смешивается с водой. Как правило, желательно, чтобы смесь масел-носителей была жидкой (в отсутствии структурирующего средства) при температуре 15°C и выше. Может происходить некоторое парообразование, однако давление пара, как правило, составляет менее 4 кПа (30 мм Hg) при 25°C, так что вещество можно отнести к маслу или смеси масел. Более конкретно, желательно, чтобы гидрофобный жидкий носитель по меньшей мере на 80% по массе состоял из веществ, давление пара которых не превышает 4 кПа при 25°C. Предпочтительно гидрофобный носитель содержит летучий жидкий силикон, т.е. жидкий полиорганосилоксан. Такое вещество классифицируют как “летучее”, если оно обладает измеряемым давлением пара при 20 или 25°C. Как правило, давление пара летучего силикона находится в интервале от 1 или 10 Па до 2 кПа при 25°C. Желательно включать в состав композиции летучий силикон, так как он придает пленке, образующейся после нанесения композиции на кожу, ощущение “осушающей”. Летучие полиорганосилоксаны могут быть линейными, или циклическими, или смешанными. Предпочтительные циклические силоксаны включают в себя полидиметилсилоксаны, в особенности содержащие от 3 до 9 атомов кремния, предпочтительно не более 7 атомов кремния и наиболее предпочтительно от 4 до 6 атомов кремния, данные соединения также часто называют циклометиконами. Предпочтительные линейные силоксаны включают в себя полидиметилсилоксаны, содержащие от 3 до 9 атомов кремния. Вязкость самих летучих силоксанов обычно ниже 10-5 м2/сек (10 сантистокс) и предпочтительно выше 10-7 м2/сек (0,1 сантистокс), вязкость линейных силоксанов, как правило, ниже 5×10-6 м2/сек (5 сантистокс). Летучие силиконы также могут включать в себя разветвленные, линейные или циклические силоксаны, такие, как вышеупомянутые линейные или циклические силоксаны, замещенные одной или несколькими боковыми группами -О-Si(CH3)3. Примеры коммерчески доступных силиконовых масел включают в себя масла марок 344, 345, 244, 245 и 246, поставляемые Dow Corning Corporation; Silicone 7207TM и Silicone 7158TM, поставляемые Union Carbide Corporation; и SF1202TM, поставляемый General Electric. Гидрофобный носитель, используемый в композициях по изобретению, может альтернативно или дополнительно содержать нелетучие силиконовые масла, которые включают в себя полиалкилсилоксаны, полиалкиларилсилоксаны и сополимеры полиэфирсилоксана. Подходящие силиконовые масла могут быть выбраны из диметикона и диметиконовых сополиолов. Коммерчески доступные нелетучие силиконовые масла включают в себя продукты с товарными наименованиями серий Dow Corning 556 и Dow Corning 200. Другие нелетучие силиконовые масла включают в себя продукты с товарным наименованием DC704. Включение в состав композиции по меньшей мере некоторого количества нелетучего силиконового масла с высоким коэффициентом преломления, таким, как выше 1,5, например по меньшей мере 10% по массе (предпочтительно по меньшей мере от 25 до 100%, в особенности от 40 до 80%) силиконовых масел, может оказать благоприятное действие на некоторые композиции. Жидкие силиконовые масла могут компенсировать несмешивающиеся с водой жидкие масла-носители, т.е. составлять от 50 до 75% мас./мас. от количества масла, по желанию. Однако к силиконовым маслам, при желании, можно добавить другие масла, и в таких случаях предпочтительно, чтобы присутствовало достаточное количество жидкого силикона, составляющее по меньшей мере 10%, лучше по меньшей мере 15%, от массы всей композиции. Можно использовать не содержащие силикона гидрофобные жидкости, предпочтительно, в добавление к жидким силиконам. Не содержащие силикона гидрофобные органические жидкости, которые могут входить в состав композиций по изобретению, включают в себя жидкие алифатические углеводороды, такие, как минеральные масла или гидрированный полиизобутен, причем часто выбираются жидкости с низкой вязкостью. Другими примерами жидких углеводородов являются полидецен, парафины и изопарафины, содержащие по меньшей мере 10 атомов углерода. Углеводородные жидкости предпочтительно присутствуют в количестве, варьирующем от 0 до 20% мас./мас., особенно от 0 до 5% по отношению к общему количеству масел. Другие подходящие гидрофобные носители включают в себя жидкие алифатические или ароматические сложные эфиры. Подходящие алифатические сложные эфиры содержат по меньшей мере одну длинноцепочечную алкильную группу, к ним относятся, например, эфиры, полученные из C1-C20 алканолов, этерифицированных C8-C22 алкановой кислотой или C6-C10 двухосновной алкановой кислотой. Предпочтительно алканол и фрагменты кислот или их смеси выбирают так, чтобы их точка плавления была ниже 20°C. Указанные сложные эфиры включают в себя изопропилмиристат, лаурилмиристат, изопропилпальмитат, диизопропилсебакат и диизопропиладипат. Подходящие жидкие ароматические эфиры, предпочтительно имеющие точку плавления ниже 20°C, включают в себя жирные алкилбензоаты. Примеры таких сложных эфиров включают в себя подходящие C8-C18 алкилбензоаты или их смеси, в том числе особенно C12-C15 алкилбензоаты, например, доступные под торговым наименованием Finsolv. Сложноэфирные масла независимо от того, являются ли они алифатическими или ароматическими, составляют от 0 до 20%, предпочтительно от 0 до 10% мас./мас. от общего количества масел. Другие примеры подходящих гидрофобных носителей включают в себя жидкие алифатические простые эфиры, полученные из по меньшей мере одного жирного спирта, такие, как производные миристилового эфира, например миристиловый эфир PPG-3, или низшие алкильные эфиры полигликолей, такие, как эфир, называемый бутиловый эфир PPG-14 в соответствии с CTFA (Ассоциация по парфюмерно-косметическим товарам и душистым веществам). Желательно, чтобы содержание таких эфиров составляло от 0 до 20%, предпочтительно от 0 до 10% мас./мас. от общего количества масел. Антиперспирантные или дезодорирующие активные компоненты Композиция предпочтительно содержит антиперспирантный активный компонент. Антиперспирантные активные компоненты предпочтительно входят в состав композиции в количестве 0,5-60%, предпочтительно от 5 до 30% или 40%, в особенности от 5 или 10% до 30 или 35% от массы композиции. Используемые в настоящем изобретении антиперспирантные активные компоненты часто выбирают из подавляющих секрецию активных солей, включающих в себя, в частности, соли алюминия, циркония и смешанные соли алюминия/циркония, в том числе неорганические соли, соли, содержащие органические анионы, и комплексы. Предпочтительные подавляющие секрецию соли включают в себя галогениды и галогенгидраты алюминия, циркония и алюминия/циркония, такие, как хлоргидраты и активированные хлоргидраты алюминия. Галогенгидраты алюминия обычно соответствуют общей формуле Al2(OH)xQy·wH2O, в которой Q обозначает хлор, бром или иод, x имеет переменное значение от 2 до 5, а x+y=6, тогда как wH2O обозначает переменное количество присоединенных молекул воды. Особенно эффективные галогенгидраты алюминия, известные как активированные хлоргидраты алюминия, описаны в EP-A-6739 (Unilever NV et al), содержание которой включено в данное описание в качестве ссылки. Некоторые активированные соли не сохраняют повышенной активности в присутствии воды, однако они могут применяться в практически безводных композициях, т.е. в композициях, которые не содержат отдельной водной фазы. Циркониевые активные компоненты, как правило, соответствуют эмпирической общей формуле: ZrO(OH)2n-nzBz·wH2O, в которой z имеет переменное значение от 0,9 до 2,0, так, что значение 2n-nz равно нулю или является положительным, n представляет собой валентность B, а B выбран из группы, состоящей из хлорида, другого галогенида, сульфамата, сульфата и их смесей. Возможная гидратация в различной степени представлена как wH2O. Предпочтительно, B обозначает хлорид, а значение переменной z находится в интервале от 1,5 до 1,87. На практике такие циркониевые соли обычно применяются не сами по себе, а как компонент сложного антиперспиранта на основе алюминия и циркония. Вышеуказанные соли алюминия и циркония могут содержать разные количества координированной и/или связанной воды, и/или они могут присутствовать в виде полимерных соединений, смесей или комплексов. В частности, основные соли циркония, как правило, представляют собой ряд солей, содержащих разное количество гидроксильных групп. Особенно предпочтительным может быть хлоргидрат циркония алюминия. Можно использовать антиперспирантные комплексы на основе вышеуказанных подавляющих секрецию солей алюминия и/или циркония. В комплексе часто присутствует соединение с карбоксилатной группой, преимущественно оно представляет собой аминокислоту. Примеры подходящих аминокислот включают в себя dl-триптофан, dl- Очень желательно использовать комплексы, содержащие сочетание галогенгидратов алюминия и хлоргидратов циркония наряду с аминокислотами, такими, как глицин, которые раскрыты в US-A-3792068 (Luedders et al). Некоторые из указанных Al/Zr комплексов в литературе обычно называют ZAG. Активные компоненты ZAG, как правило, содержат алюминий, цирконий и хлорид, причем соотношение Al/Zr находится в интервале от 2 до 10, особенно от 2 до 6, а соотношение Al/Cl составляет от 2,1 до 0,9, а также различное количество глицина. Активные компоненты данного предпочтительного типа поставляются Westwood, Summit и Reheis. Другие активные компоненты, которые можно использовать в настоящем изобретении, включают в себя подавляющие секрецию соли титана, например, описанные в GB 2299506A. Размер частиц антиперспирантных солей часто находится в интервале от 0,1 до 200 мкм, особенно от 0,2 до 100 мкм, некоторые предпочтительные продукты содержат по меньшей мере 95% по массе частиц с размером меньше 50 мкм, со средним размером частиц, обычно составляющим от 3 до 30 мкм, во многих случаях от 5 до 20 мкм. Масса активной антиперспирантной соли, находящейся в виде частиц, в настоящем описании, как правило, включает в себя всю воду, присутствующую в гидрате. Дезодорирующие активные компоненты Подходящие дезодорирующие активные компоненты могут включать в себя эффективные для уничтожения запаха концентрации антиперспирантных солей металлов, деоотдушки и/или микробициды, в том числе, в особенности, бактерициды, такие, как хлорированные ароматические соединения, включающие в себя бигуанидные производные, из которых можно особо упомянуть вещества, известные как Igasan DP300TM (триклозан), TriclobanTM и Chlorhexidine. Другой класс включает в себя соли бигуанидов, такие, как доступные под торговым наименованием CosmocilTM. Дезодорирующие активные компоненты, как правило, применяются в концентрации от 0,1 до 25% по массе. Необязательные ингредиенты Необязательные ингредиенты включают в себя средства, облегчающие смывание, часто присутствующие в количестве до 10% мас./мас., чтобы облегчить удаление композиции с кожи или одежды. Такие средства, облегчающие смывание, как правило, представляют собой неионные поверхностно-активные вещества, такие, как сложные или простые эфиры, содержащие C8-C22 алкильный фрагмент и гидрофильный фрагмент, который может содержать полиоксиалкиленовую группу (POE или POP) и/или полиол. Композиции согласно изобретению могут содержать одно или несколько косметических вспомогательных средств, традиционно используемых для косметических твердых или полутвердых продуктов. Такие косметические вспомогательные средства могут включать в себя средства, улучшающие ощущение на ощупь, такие, как тальк или мелкоизмельченный полиэтилен, например, в количестве приблизительно до 10%; увлажняющее средство, такое, как глицерин, например, в количестве приблизительно до 5%; средства, улучшающие состояние кожи, такие, как аллантоин или липиды, например, в количестве до 5%; красители; средства, охлаждающие кожу, отличные от уже упомянутых спиртов, такие, как ментол и производные ментола, зачастую в количестве до 2%, все проценты приведены по отношению к массе композиции. Часто используемым вспомогательным средством является отдушка, которая обычно присутствует в концентрации от 0 до 4%, во многих композициях от 0,25 до 2% по отношению к массе композиции. Суспензионные стики, полученные с использованием сочетания огеливающих средств (i) и (ii), имеют тенденцию оставлять мало видимых отложений по сравнению, например, с безводными композициями, традиционно структурированными воском, и дают хорошее ощущение на ощупь. Получение композиций Подходящий способ получения композиции в соответствии с настоящим изобретением включает в себя вначале получение раствора комбинации структурирующих средств в несмешивающейся с водой жидкости или в одной из несмешивающихся с водой жидкостей. Эту стадию обычно проводят при температуре, достаточно высокой для того, чтобы все структурирующие средства растворились (температура растворения), например, при температуре в интервале от 70 до 140°C. Любое маслорастворимое косметическое вспомогательное средство можно ввести в масляную фазу либо до, либо после введения структурирующих средств. Как правило, полученный раствор структурирующего средства оставляют охлаждаться до температуры ниже температуры растворения структурирующих средств и выше температуры, при которой они осаждаются, и эта температура зачастую находится в интервале от 60 до 90°C. В некоторых схемах масла-носители можно смешать вместе до введения огеливающих средств и антиперспирантного или дезодорирующего активного компонента. В других схемах получения желательно растворить все амид-замещенные структурирующие средства или их часть в первой фракции композиции, такой, как разветвленный алифатический спирт, например, изостеариловый спирт или октилдодеканол, необязательно в сочетании со спиртом, который в некоторой степени смешивается с водой и имеет точку кипения выше температуры растворения амидного огеливающего средства в спиртовой жидкости. Это позволяет избежать нагревания других жидких носителей до температуры, при которой структурирующие средства растворяются или плавятся. Доля жидких носителей, используемая для растворения структурирующих средств, часто составляет от 25 до 50% от массы жидких носителей. В упомянутых других схемах получения частицы вещества вводят предпочтительно во вторую фракцию масел-носителей, например, силиконовых, и/или сложноэфирных, и/или углеводородных масел, и затем первую фракцию, содержащую растворенное структурирующее средство, и вторую фракцию, содержащую суспендированные частицы вещества, смешивают при температуре, которая выше температуры огеливания композиции и часто на 5-30°С выше обычной температуры отверждения композиции, заполняют дозирующие устройства и охлаждают их или оставляют охлаждаться до температуры окружающей среды. Охлаждение может осуществляться просто путем оставления контейнера и его содержимого охлаждаться. Охлаждению может способствовать обдувание контейнеров и их содержимого воздухом, имеющим температуру окружающей среды, или охлажденным воздухом. Дозирующее устройство Суспензионные стики в соответствии с настоящим изобретением помещают в дозирующие устройства, форма и размер которых, вещество, из которых они изготовлены, и механизмы их использования для распределения антиперспирантных стиков находятся в соответствии с косметическими стандартами. Антиперспирантный или дезодорирующий стик часто помещают в цилиндр, обычно с круглым или эллиптическим поперечным сечением, имеющим открытый конец, через который может проходить стик и противоположный закрытый конец, как правило, содержащий платформу или подъемник, который может по направлению оси двигаться вдоль цилиндра. Платформу можно поднимать пальцем или, чаще, путем вращения выступающего наружу колесика, которое вращает шпиндель с резьбой, расположенный вдоль оси, посредством соединения с имеющим резьбу отверстием в платформе. Как правило, цилиндр также имеет удаляемую крышку, которую можно насаживать на открытый конец. Цилиндр обычно изготавливают из прессуемого термопластика, такого, как полипропилен или полиэтилен. Настоящее изобретение также относится к полупрозрачным косметическим антиперспирантным или дезодорирующим продуктам, содержащим описанный выше косметический стик по изобретению, расположенный в дозирующем цилиндре. Описание композиций согласно изобретению и предпочтительных вариантов осуществления теперь будет дополнено более подробным описанием их конкретных вариантов осуществления, которое приводится только в качестве иллюстрации. В приведенных ниже примерах суспензионных стиков и в суспензионных стиках сравнения используются нижеследующие заместители.
Измерение наносимого слоя (pay-off) стика и видимых отложений (белых) для примеров стиков и стиков сравнения проводят на черном хлопке, через 24 часа после нанесения стика. Примеры стиков и стики сравнения получают следующим способом. Масла-носители, C1 и C2 или C3, смешивают и при перемешивании вводят все огеливающие средства. Температуру смеси увеличивают, пока все огеливающие средства не растворятся. Полученный раствор огеливающих средств оставляют охлаждаться до 90°C и вводят частицы антиперспиранта. Температуру полученной смеси поддерживают постоянной, 85°C, смесь тщательно перемешивают и затем добавляют какую-либо отдушку. Смесь оставляют охлаждаться и затем выливают в цилиндры для стиков при установленной ниже температуре, которая приблизительно на 5°C превышает температуру отверждения смеси (которую определяют, оставляя образец отверждаться в состоянии покоя или из предыдущих испытаний), после чего оставляют охлаждаться до температуры окружающей среды. Состав композиций, выраженный в массовых частях, и свойства стиков приведены ниже в таблице 1.
Стик, полученный в примере 1.1, обладает подходящей твердостью с приемлемой величиной наносимого слоя, хорошим ощущением на ощупь и оставляет только небольшие белые/жирные отложения на коже. Стик, полученный в случае сравнительной Comp. 1.A, является таким же, как в примере 11 US 2002/0159961, в его состав в качестве первичного огеливающего средства входит 12-HSA. Этот стик обладает плохой твердостью, хотя в целом он содержит больше огеливающего средства, более высокой величиной наносимого слоя и плохими сенсорными свойствами при нанесении на кожу: оставляет густые, белые и жирные отложения. Стик, полученный в случае сравнительной Comp. 1.C, содержит такие же масла-носители, как стик, полученный в примере 1.1. Он еще мягче, чем стик Comp. 1.B, со значительно большим наносимым слоем и еще более плохими сенсорными свойствами: стик крошится и оставляет очень густые, белые и жирные отложения при нанесении на кожу. Стик Comp. 1.C не может быть получен, поскольку температура огеливания раствора масел значительно выше 100°C, т.е. гораздо выше температуры, при которой можно безопасно вводить антиперспирантный активный компонент. Примеры 2.1-2.4 Эти примеры осуществляли по общему способу, используемому для примера 1, они дополнительно содержат вторичное огеливающее средство класса (iii). Состав композиций, выраженный в массовых частях, и свойства стиков приведены ниже в таблице 2.
Стики, полученные в каждом из примеров 2.1, 2.2, 2.3 и 2.4, являются твердыми и непрозрачными. Они хорошо наносятся на кожу, фактически не оставляя белых отложений и маслянистой пленки. Примеры 3.1-3.7 В этих примерах по способу примера 1 получают другие стики, содержащие другие масла-носители и, кроме того, суспендированное неорганическое вещество. Состав композиций, выраженный в массовых частях, и свойства стиков приведены ниже в таблице 3.
Примеры 3.1, 3.6 и 3.7 оценивают в отношении устойчивости к плавлению при повышенной температуре. Все они стабильны по меньшей мере при 55°C, демонстрируя отсутствие необратимой утраты твердости или потери растворителя. Это важное преимущество по сравнению с традиционными непрозрачными стиками, которые структурируют с помощью стеарилового спирта как основного структурирующего средства, иногда в присутствии Castorwax в качестве минорной фракции (от 1 до 5% мас./мас.). Такие стики имеют тенденцию к размягчению и утрате структуры, если они хранятся при температуре, достигающей или превышающей 50°C. Такая температура иногда наблюдается в зонах тропического или субтропического климата, в товарных складах или транспортных фургонах, если не производится дорогостоящее охлаждение. Пример 4 В этом примере используется альтернативный представитель огеливающего средства класса (i), G8. Стик получают по общему способу примера 1. Состав композиции, выраженный в массовых частях, и свойства стика приведены ниже в таблице 4. Способ получения огеливающего средства G8 Огеливающее средство G8 получают по двустадийному способу. На стадии 1 получают диметиловый эфир N-ацил-L-глутаминовой кислоты, а на стадии 2 его превращают в соответствующий дибутиламид N-ацил-L-глутаминовой кислоты, на обеих стадиях используют химически чистые реагенты от Sigma Aldrich. В 3-горлую круглодонную колбу объемом 250 мл, оборудованную магнитной мешалкой, загружают гидрохлорид диметилового эфира L-глутаминовой кислоты (15 г, 71 ммоль). Затем при перемешивании в колбу добавляют дихлорметан (150 мл, приблизительно 10 мл на грамм соли HCl) при температуре окружающей среды (20°C). Затем при перемешивании добавляют триэтиламин (ТЭА, 8,61 г, 85 ммоль), после чего сразу появляется белый осадок. Смесь оставляют перемешиваться при комнатной температуре в течение 60 минут. Затем к реакционной смеси добавляют вторую порцию ТЭА (7,17 г, 71 ммоль) вместе с хлорангидридом 2-этилбутановой кислоты (71 ммоль в 50 мл ДХМ), поддерживая в процессе добавления температуру 0°C-10°C. Реакционную смесь перемешивают в течение ночи при температуре окружающей среды. На следующее утро осадок отфильтровывают и получают прозрачный фильтрат, который последовательно промывают в делительной воронке разбавленной хлористоводородной кислотой, насыщенным раствором бикарбоната натрия и водой. После полного упаривания растворителя при пониженном давлении получают соответствующий диметиловый эфир N-ацил-L-глутаминовой кислоты, анализ которого показывает, что он не содержит остатков кислоты и исходных веществ. На второй стадии продукт стадии 1 (обычно 10 г, 23-38 ммоль) растворяют в толуоле (100 мл, 10 мл на грамм диметилового эфира), затем вносят его в реакционный сосуд объемом 250 мл, оборудованный магнитной мешалкой, капельной воронкой и водяным холодильником. Затем медленно по каплям добавляют избыток бутиламина (30-50 мл, 300-500 ммоль), после чего реакционный раствор нагревают до 90°C и тщательно перемешивают. Превращение диметилового эфира в диамид отслеживают с помощью обращеннофазовой ВЭЖХ и Фурье-ИК-спектроскопии на отбираемых образцах, пока эфир не перестанет обнаруживаться или, если остается некоторое количество эфира, пока относительная интенсивность пика эфира по сравнению с пиками амида в инфракрасном спектре не станет постоянной. Реакция протекает в течение приблизительно 24 часов. После охлаждения до температуры окружающей среды реакционная смесь образует гель, который фильтруют под вакуумом и промывают холодным растворителем до получения неочищенного белого твердого вещества. Оставшийся бутиламин удаляют промыванием неочищенного продукта с использованием 25 г кислой смолы Amberlyst A-15TM в этаноле с последующей фильтрацией через уголь для удаления окрашенных веществ согласно таблице 5. Чистота продукта (площадь, %) составляет 94,06, точка плавления 172°C.
Продукт из примера 4 обладает замечательным скольжением при применении на коже и фактически не оставляет белых отложений. Оценка свойств i) Твердость стика – пенетрометр Твердость и жесткость композиции, которая представляет собой плотное твердое вещество, можно определить с помощью пенетрометрии. Если вещество композиции является более мягким, происходит существенная утрата устойчивости к зонду пенетрометра. В подходящем методе используют лабораторный заводской пенетрометр PNT, оборудованный восковой иглой Seta (масса 2,5 г) с углом конуса на ее кончике, установленным как 9°10′ +/-15″. Используют образец композиции с плоской верхней поверхностью. Иглу опускают на поверхность композиции и затем проводят измерение пенетрационной твердости, позволяя игле с держателем опускаться под действием общей массы (т.е. объединенной массы иглы и держателя) 50 г в течение пяти секунд, после чего отмечают глубину пенетрации. Желательно проводить тестирование в нескольких точках каждого образца с последующим получением среднего значения. По результатам этого теста подходящая твердость для применения в дозирующем контейнере с открытым концом соответствует пенетрации менее чем на 30 мм, например, пенетрации в интервале от 2 до 30 мм. Предпочтительно пенетрация находится в интервале от 5 до 20 мм. В особом варианте проведения этого теста измерения на стике проводят в цилиндре. Стик поднимают так, чтобы он вышел из открытого конца и затем срезают, оставляя плоскую однородную поверхность. Иглу осторожно опускают на поверхность стика и затем проводят измерение пенетрационной твердости. Эту процедуру проводят в шести разных точках на поверхности стика. Значение твердости приводят как среднее от 6 измерений. ii) Отложения твердых стиков (наносимый слой) Вторым свойством композиции является ее количество, которое доставляется на поверхность при нанесении композиции (здесь моделируется нанесение продукта стика на кожу человека), иногда называемое наносимый слой. Для проведения анализа отложения в случае, когда композиция представляет собой твердый стик, способный сохранять свою собственную форму, образец композиции со стандартизованными формой и размером устанавливают на аппарате, который наносит образец на опытную поверхность в стандартизованных условиях температуры и давления нанесения определенное количество раз (трижды каждый раз). Количество, переносимое на поверхность, определяют как увеличение массы подложки, на которую наносят композицию. Затем, по желанию, можно определить цвет отложения, а также является оно непрозрачным или прозрачным. В конкретном способе проведения такого тестирования в применении к жесткому твердому стику используется устройство для нанесения отложения стика на подложку в стандартизованных условиях с последующим измерением среднего уровня белых отложений с помощью визуального анализа. Используемые подложки представляют собой полоски черной хлопковой ткани размером 12×28 см. Перед применением подложки взвешивают. Стики заранее не используют, они имеют неизмененную поверхность выпуклой верхушки. Устройство содержит плоскую основу, к которой прикрепляют субстрат, используя зажим на каждом конце. Стержень, имеющий штатив для установки цилиндра стика стандартного размера, закрепляют на кронштейне, который движется горизонтально поперек подложки с помощью поршня пневматического цилиндра. Перед измерением каждый стик держат при температуре окружающей среды в течение ночи. Стик выдвигают, чтобы из цилиндра выступил измеренный объем. Затем цилиндр помещают в устройство и пружину устанавливают так, чтобы стик располагался против подложки со стандартизованным усилием (нагрузка 500 г). С помощью устройства стик проходит сбоку 120 мм поперек подложки шесть раз с конечной скоростью 140 мм/с. Подложку осторожно удаляют из устройства и снова взвешивают. Затем можно измерить белизну отложения по способу, описанному ниже в пункте (v). (iii) Белизна отложения Белизну отложений, полученных в приведенном выше пункте (ii), оценивают приблизительно через 24 часа. Это измерение проводят с помощью визуального анализатора KS, снабженного черно-белой видеокамерой Sony XC77 с расположенными вертикально линзами Cosmicar с фокусным расстоянием 16 мм, на черном столе, освещенном под большим углом люминесцентными лампами, чтобы избежать затенения. Вначале устройство калибруют, используя контрольную белую карту, после того, как люминесцентные лампы были включены в течение достаточно длительного периода, чтобы обеспечить равномерное освещение. Ткань с отложением из предыдущего теста помещают на стол и с помощью камеры получают изображение. Площадь изображения отложения выбирают и анализируют с помощью программы для визуализации Kas400. Эта программа теоретически делит изображение на большое количество пикселей и измеряет уровень серого цвета каждого пикселя по шкале от 0 (черный) до 255 (белый). Рассчитывают среднюю интенсивность серого цвета и сравнивают ее с фоновым значением ткани, равным 10. Это исходная точка для измерения белизны отложения, более высокие значения соответствуют более белым отложениям. Предполагается, что низкие значения указывают на то, что отложения являются прозрачными и позволяют видеть цвет субстрата. (iv) Определение чистоты огеливающего средства методом ВЭЖХ Чистоту огеливающего средства измеряют методом ВЭЖХ на обращенной фазе с УФ-детекцией. Получают мобильную фазу, содержащую 300 мл деионизированной воды, к которой добавляют 700 мл ацетонитрила, чистого для ВЭЖХ, и 1,0 мл трифторуксусной кислоты (Aldrich, спектрофотометрически чистая), затем все растворители тщательно смешивают и дегазируют. Отвешивают 0,001 г образца во флакон для ВЭЖХ объемом 2 мл и заполняют объем мобильной фазой. Затем образец анализируют, используя систему ВЭЖХ Hewlett Packard 1050, оборудованную колонкой Hypersil ODS 5 мкм C18, 250 x 4,6 мм вн. д., HP AutosamplerTM и УФ-детектор с диодной матрицей, установленный на 210 нм. Анализ проводят в следующих условиях: Изократические условия/градиент: изократические. Скорость потока: 1,2 мл/минуту. Рабочее время: 10 минут. Температура: окружающей среды. Вводимый объем: 20 мкл. Все результаты приведены в процентах площади.
Формула изобретения
1. Твердая композиция антиперспирантов или дезодорантов, содержащая несмешивающуюся с водой жидкость, суспендированный в ней косметически активный антиперспирантный или дезодорирующий ингредиент и отверждающее количество огеливающего средства для несмешивающейся с водой жидкости, отличающаяся тем, что огеливающее средство для несмешивающейся с водой жидкости содержит по меньшей мере 4 мас.% первичного и вторичного амидных огеливающих средств, в том числе по меньшей мере 3 мас.% первичной огеливающей комбинации, содержащей огеливающее средство (i), амид N-ацилзамещенной аминокислоты формулы Ax-CO-Rx, в которой Аx обозначает остаток амида аминокислоты, a Rx обозначает разветвленную алкильную группу, содержащую от 4 до 12 атомов углерода, и огеливающее средство (ii), амид N-ацилзамещенной аминокислоты формулы Ay-CO-Ry, в которой Аy обозначает амид аминокислоты, а Ry обозначает линейную алкильную группу, содержащую от 9 до 21 атомов углерода, в эффективном для использования в качестве первичного огеливающего средства массовом соотношении, а несмешивающаяся с водой жидкость содержит несмешивающееся с водой масло и несмешивающийся с водой одноатомный спирт, имеющий точку плавления не выше 20°С и точку кипения выше 100°С, в количестве от 25 до 50% от указанной несмешивающейся с водой жидкости. 2. Композиция по п.1, отличающаяся тем, что А обозначает остаток диамидозамещенной глутаминовой кислоты или аспарагиновой кислоты. 3. Композиция по п.2, отличающаяся тем, что Аx обозначает остаток диамидозамещенной глутаминовой кислоты. 4. Композиция по п.1, отличающаяся тем, что каждый амидный заместитель во фрагменте Аx имеет формулу -CO-NH-Rz, в которой Rz обозначает алкильную группу, содержащую от 3 до 6 атомов углерода. 5. Композиция по п.4, отличающаяся тем, что R2 обозначает линейную алкильную группу. 6. Композиция по п.4, отличающаяся тем, что Rz обозначает бутил. 7. Композиция по п.1, отличающаяся тем, что Rx содержит от 4 до 8 атомов углерода. 8. Композиция по п.7, отличающаяся тем, что Rx содержит 7 или 8 атомов углерода. 9. Композиция по любому из пп.1, 7 или 8, отличающаяся тем, что Rx содержит одну боковую цепь. 10. Композиция по п.9, отличающаяся тем, что -CO-Rx обозначает остаток 2-этилгексановой кислоты. 11. Композиция по п.1, в которой огеливающее средство (i) присутствует в концентрации от 1,5 до 8% по отношению к массе композиции. 12. Композиция по п.1, в которой огеливающее средство (i) присутствует в концентрации от 2 до 15% по отношению к массе несмешивающихся с водой масел. 13. Композиция по любому из пп.1, 11 или 12, отличающаяся тем, что массовое отношение огеливающего средства (i) к огеливающему средству (ii) выбирают из интервала от 3:1 до 1:3. 14. Композиция по п.13, отличающаяся тем, что массовое отношение огеливающего средства (i) к огеливающему средству (ii) выбирают из интервала от 2:1 до 1:2. 15. Композиция по п.1, отличающаяся тем, что RY обозначает ундеканил. 16. Композиция по п.1, отличающаяся тем, что AY обозначает остаток диамидозамещенной глутаминовой кислоты. 17. Композиция по п.1 или 16, отличающаяся тем, что каждый амидный заместитель в AY имеет формулу -CO-NH-Rz, в которой Rz обозначает алкильную группу, содержащую от 3 до 6 атомов углерода. 18. Композиция по п.17, отличающаяся тем, что Rz обозначает линейную алкильную группу. 19. Композиция по п.18, отличающаяся тем, что Rz обозначает бутил. 20. Композиция по п.1, отличающаяся тем, что доля амида N-ациламинокислоты, являющегося огеливающим средством (ii), составляет от 1,5 до 8% от массы композиции. 21. Композиция по п.1, отличающаяся тем, что доля амида N-ациламинокислоты, являющегося огеливающим средством (ii), составляет от 2 до 15% от массы несмешивающихся с водой масел. 22. Композиция по любому из пп.1, 11, 12, 20 или 21, в которой общая масса огеливающих средств (i) и (ii), образующих первичное огеливающее средство, составляет от 4,5 до 8% от массы композиции. 23. Композиция по п.1, отличающаяся тем, что она содержит минорную долю вторичного огеливающего средства, выбранного из одного или нескольких амидосодержащих огеливающих средств, отличных от огеливающих средств (i) и (ii), или гидрокси стеариновых кислот. 24. Композиция по п.22, отличающаяся тем, что общая масса первичного и вторичного огеливающих средств составляет от 5 до 10% от массы композиции. 25. Композиция по п.1, отличающаяся тем, что спирт представляет собой разветвленный алифатический спирт, содержащий от 12 до 22 атомов углерода. 26. Композиция по п.1, отличающаяся тем, что количество одноатомного спирта составляет от 30 до 45% от массы несмешивающихся с водой масел. 27. Композиция по п.1 или 26, отличающаяся тем, что отношение массы одноатомного спирта к общей массе амидных огеливающих средств составляет от 3,5:1 до 5:1. 28. Композиция по п.1, отличающаяся тем, что несмешивающееся с водой масло содержит силиконовое масло. 29. Композиция по п.28, отличающаяся тем, что масса силиконового масла составляет от 30 до 75% от массы несмешивающихся с водой масел-носителей. 30. Композиция по п.29, отличающаяся тем, что силиконовое масло содержит летучее силиконовое масло, предпочтительно циклопентаметикон и/или циклогексаметикон. 31. Композиция по п.1, отличающаяся тем, что антиперспирантный или дезодорирующий активный ингредиент включает в себя подавляющие секрецию соли алюминия и/или циркония. 32. Композиция по п.31, отличающаяся тем, что соль алюминия или циркония включает в себя хлоргидрат алюминия, хлоргидрат алюминия-циркония, или алюминий-циркониевый хлоргидратный комплекс. 33. Композиция по п.1, отличающаяся тем, что масса косметически активного ингредиента составляет от 5 до 40% от массы композиции. 34. Способ получения антиперспирантного или дезодорирующего стика, включающий в себя стадии: а. получения мобильной смеси (i) жидкой фазы, содержащей несмешивающееся с водой масло, (ii) огеливающего средства для указанной фазы и (iii) суспендированных частиц антиперспиранта или дезодоранта, путем а1. смешивания жидкой фазы с огеливающим средством, а2. нагревания жидкой фазы до температуры, при которой происходит растворение огеливающего средства, а3. введения частиц антиперспирантного или дезодорирующего активного ингредиента в жидкую фазу либо до, либо после растворения огеливающего средства, b. введения мобильной фазы в дозирующий контейнер, и d. охлаждения или оставления мобильной смеси для охлаждения до температуры, при которой она отверждается, отличающийся тем, что огеливающее средство включает в себя огеливающее средство (i) и огеливающее средство (ii), как описано в п.1, и от 25 до 50% от массы несмешивающихся с водой масел составляет несмешивающийся с водой одноатомный спирт, как описано в п.1. 35. Способ по п.34, отличающийся тем, что несмешивающееся водой масло включает первую фракцию и вторую фракцию, по меньшей мере одно из огеливающих средств (i) и (ii) растворяют в первой фракции несмешивающегося с водой масла, а антиперспирантный или дезодорирующий активный ингредиент суспендируют во второй фракции несмешивающегося с водой масла и затем первую фракцию смешивают со второй фракцией. 36. Способ по п.35, отличающийся тем, что первая фракция масла содержит указанный несмешивающийся с водой одноатомный спирт. 37. Косметический способ ингибирования или подавления потоотделения и/или образования неприятного запаха, включающий в себя местное нанесение на кожу человека, предпочтительно на подмышечную область, эффективного количества косметической композиции по п.1, или по любому зависимому от него пункту.
|
|||||||||||||||||||||||||||||||||||||||||||||||||||||||||||||||||||||||||||||||||||||||||||||||||||||||||||||||||||||||||||||||||||||||||||||||||||||||||||||||||||||||||||||||||||||||||||||||||||||||||||||||||||||||||||||||||||||||||||||||||||||||||||||||||||||||||||||||||||||||||||||||||||||||||||||||||||||||||||||||||||||||||||||||||||||||||||||||||||||||||||||||||||||||||||||||||||||







-фенилаланин, dl-валин, dl-метионин и