|
|
(21), (22) Заявка: 2007133755/14, 11.09.2007
(24) Дата начала отсчета срока действия патента:
11.09.2007
(46) Опубликовано: 27.03.2009
(56) Список документов, цитированных в отчете о поиске:
DE 2828936, 03.01.1980. RU 2304945 C1, 27.08.2007. RU 2207161 C2, 10.11.2002. RU 2074748 С1, 10.03.1997. GB 2393396 А, 31.03.2004. JP 2000237331, 05.09.2000. Медико-технические аспекты рефлексодиагностики и рефлексотерапии. Сборник. – Харьков, 1990, с.19-21.
Адрес для переписки:
109542, Москва, Рязанский пр-кт, 85-1-56, Ю.М. Низовцеву
|
(72) Автор(ы):
Низовцев Юрий Михайлович (RU), Низовцев Артемий Юрьевич (RU)
(73) Патентообладатель(и):
Низовцев Юрий Михайлович (RU), Низовцев Артемий Юрьевич (RU)
|
(54) УСТРОЙСТВО ДЛЯ ИЗМЕНЕНИЯ ЭНТАЛЬПИИ ВЫДЕЛЕННОЙ ЗОНЫ БИОЛОГИЧЕСКОГО ОБЪЕКТА (ВАРИАНТЫ)
(57) Реферат:
Устройство относится к медицинской технике, а именно к устройствам для теплового воздействия на тело человека. Устройство содержит оголенные металлические проводники, установленные с возможностью контакта с поверхностью биологического объекта в выделенной зоне и образования ими охватывающего каркаса той части биологического объекта, где расположена выделенная зона. Проводники выполнены из цилиндрической проволоки или плоских полос с поперечным сечением не менее 0,8 мм2, коэффициентом теплопроводности при комнатной температуре не менее 312 ватт/м град и удельным электросопротивлением не более 2,4×10-2 ом мм2/м. Поверхность проводников, прилегающая к выделенной зоне биологического объекта, выполнена по форме, повторяющей рельеф выделенной зоны биологического объекта с возможностью регулирования формы при индивидуальном изменении рельефа поверхности выделенной зоны. Проводники состоят из однородных сплавов или слоистых материалов и имеют структуру, обеспечивающую память формы и пластичность каркаса. В другом варианте устройства проводники наложены, по крайней мере, на одну гибкую подложку по каждой ее стороне, поперечное сечение проводников на одной подложке составляет не более 12 мм2. Использование изобретений позволяет повысить удобство проведения теплотерапии воспалительных заболеваний. 2 н. и 15 з.п. ф-лы, 5 ил.
Изобретение предназначено для постоянного воздействия на отдельные зоны биообъекта при повышении теплового уровня в этих зонах, что является одним из основных признаков хронического воспалительного процесса, с постепенным сведением этого уровня до близкого к нормальному, что соответствует равновесному состоянию выделенной зоны или органа или уменьшению энтальпии (теплосодержания) в выделенной зоне до минимальной.
Известно устройство для лечения кардиалгий и торакалгий (патент РФ №2066176). Его работа состоит в воздействии на биологически активные точки определенных областей металлическими пластинами. Недостатком подобной металлотерапии является узконаправленное воздействие металла – только через выбранные акупунктурные точки для небольшого круга заболеваний, в основном для лечения сердечных болей.
Известно устройство для лечения радикулита (патент РФ №2019202). Устройство содержит замкнутый проводник с элементом соединения, образующий замкнутый контур, и диэлектрическую гибкую часть. Элемент соединения выполнен в виде узла из концов проводника, свободных от диэлектрической гибкой части, представляющей собой покрытие проводника, которые распущены в виде многоигольчатого ежика и предназначены для расположения на области боли. Тем самым на месте боли производится механическое и электрическое воздействие. Недостатком изобретения является его применение для лечения только одного воспалительного процесса – радикулита. Кроме того, устройство доставляет пользователю определенные неудобства, поскольку непрерывно раздражает соответствующий участок кожного покрова.
Известно устройство энергетического воздействия на биообъект (патент РФ №2074748) для его защиты от вредных излучений разной природы и приведения в равновесное состояние его собственного энергоинформационного поля. Устройство может использоваться при заболеваниях, связанных с воспалительными процессами в тканях, повышенной температурой тела и его отдельных органов. Устройство, устанавливаемое на месте проекции болей, содержит закрепленный на подложке проводник, размещенный с образованием его осевой линией незамкнутой пространственной спиралеобразной кривой с непересекающимися витками. Проводник выполнен в виде незамкнутой винтовой цилиндрической спирали. Устройство также включает в себя регулятор интенсивности энергии воздействия. Проводник выполнен в виде электропроводного покрытия, нанесенного на диэлектрический материал, а на подложке в непосредственной близости от проводника размещены элементы, в частности теллур, лантан, гадолиний, висмут, обладающие биоэнергетической активностью. Недостатками изобретения является его сравнительная сложность, а также только частичное воздействие на биообъект – с внешней стороны путем подавления влияния естественных и искусственных излучений с электромагнитными компонентами. Кроме того, не определено его воздействие на различных стадиях воспалительного процесса и, следовательно, эффективность воздействия на этих стадиях.
Известно устройство для терапии (DE 2828936, 03.01.80), используемое для лечения ревматизма, мышечных болей, невралгий, в котором оголенные металлические проводники диаметром от 0,3 до 2,1 мм из золота, серебра или меди установлены на бандаже с застежкой с образованием контуров, обращенных к поверхности тела. Недостатком указанного изобретения является его узкоспецифическое применение.
Наиболее близким к предлагаемому техническому решению является устройство для изменения энтальпии выделенной зоны биообъекта (патент РФ №2304987). Устройство выполнено из оголенных металлических проводников, установленных с возможностью контакта с поверхностью биообъекта в выделенной зоне и образования ими охватывающего каркаса той части биообъекта, где расположена выделенная зона, проводники выполнены из цилиндрической проволоки или плоских полос с поперечным сечением не менее 0,8 мм2, коэффициентом теплопроводности при комнатной температуре не менее 312 ватт/м град и удельным электросопротивлением не более 2,4×10-2 Ом· мм2/м. Проводниками с внутренней стороны могут армироваться обтягивающие трусы, другое нижнее белье, а также бандажи. Устройство образует канал для постоянного отвода выделяющейся избыточной энергии из очага воспаления. Недостатком изобретения является сложность обеспечения при размещении устройства на поверхности тела достаточно плотного контакта проводников с этой поверхностью, а также затруднительность размещения устройства в комплектации с различными элементами одежды.
Техническим результатом изобретения является повышение эффективности действия образующегося канала для постоянного отвода выделяющейся избыточной энергии из очага воспаления, а также расширение возможностей размещения устройства на любом участке тела в сочетании с удобством пользования устройством в отношении его закрепления или снятия без использования таких конструкций, как бандажи.
Технический результат достигается тем, что в устройстве для изменения энтальпии выделенной зоны биологического объекта, содержащем оголенные металлические проводники, установленные с возможностью контакта с поверхностью биологического объекта в выделенной зоне и образования ими охватывающего каркаса той части биологического объекта, где расположена выделенная зона, проводники выполнены из цилиндрической проволоки или плоских полос с поперечным сечением не менее 0,8 мм2, коэффициентом теплопроводности при комнатной температуре не менее 312 ватт/м град и удельным электросопротивлением не более 2,4×10-2 Ом·мм2/м, прилегающая к выделенной зоне биологического объекта поверхность проводников выполнена по форме, повторяющей рельеф выделенной зоны биологического объекта с возможностью регулирования формы при индивидуальном изменении рельефа поверхности выделенной зоны, а проводники состоят из однородных сплавов или слоистых материалов и имеют структуру, обеспечивающую память формы и пластичность каркаса.
Кроме того, охватывающий каркас выполнен из проводников сетчатой структуры.
Кроме того, объем проводников охватывающего каркаса составляет не менее 800 мм3.
Кроме того, охватывающий каркас выполнен в виде пластичных материалов из золота, серебра, меди, их пластичных сплавов однородной структуры.
Кроме того, охватывающий каркас выполнен в виде пластичных материалов из золота, серебра, меди, их пластичных сплавов слоистой структуры.
Кроме того, охватывающий каркас выполнен с возможностью установки на открытых участках биологического объекта, таких как лоб, шея, запястья, щиколотки, а также закрытых участках – в виде съемного элемента, закрепляемого на прилегающих к коже участках поверхности трусов, кальсон, рейтуз, бюстгальтеров, гетр, нательных жилетов, воротничков, нательного белья.
Кроме того, в зависимости от числа и расположения выделенных зон охватывающий каркас может быть выполнен в виде единого замкнутого проводника из нескольких соединенных между собой в цепь проводников или может быть разбит на разрозненные части, каждая из которых является замкнутой цепью и сохраняет форму поверхности охватываемого участка биологического объекта, прилегая к нему.
Кроме того, охватывающий каркас выполнен, по крайней мере, с одним разъемом, снабженным регулирующим элементом для обеспечения натяжения и плотного контакта с поверхностью биологического объекта.
Технический результат достигается тем, что в устройстве для изменения энтальпии выделенной зоны биологического объекта, содержащем оголенные металлические проводники, установленные с возможностью контакта с поверхностью биологического объекта в выделенной зоне и образования ими охватывающего каркаса той части биологического объекта, где расположена выделенная зона, проводники выполнены с поперечным сечение не менее 0,8 мм2, коэффициентом теплопроводности при комнатной температуре не менее 312 Вт/м·град и удельным электросопротивлением не более 2,4×10-2 Ом·мм2/м, проводники наложены, по крайней мере, на одну гибкую подложку по каждой ее стороне, поперечное сечение проводников на одной подложке составляет не более 12 мм2.
Кроме того, объем проводников на одной подложке составляет не менее 800 мм3.
Кроме того, цилиндрические или уплощенные проводники навиты на гибкую подложку.
Кроме того, проводники нанесены на гибкую подложку с периметром в поперечном сечении от 10 мм до 60 мм напылением с толщиной слоя от 0,015 мм до 0,2 мм и толщиной подложки от 0,4 мм до 1,5 мм.
Кроме того, на гибкую подложку по всей ее поверхности нанесен слой золота, серебра, меди или их сплавов.
Кроме того, подложка выполнена из гибких природных или искусственных материалов или тканей, например таких, как кожа, полимеры.
Кроме того, в зависимости от числа и расположения выделенных зон каркас может быть выполнен в виде единой замкнутой проводящей структуры, содержащей один или несколько проводников, или может быть разбит на разрозненные части, каждая из которых является замкнутой цепью и сохраняет форму поверхности охватываемого участка биологического объекта, прилегая к нему.
Кроме того, охватывающий каркас выполнен с возможностью установки на открытых участках биологического объекта, таких как лоб, шея, запястья, щиколотки, а также с возможностью установки на закрытых участках – в виде съемного элемента, закрепляемого на прилегающих к коже участках поверхности трусов, кальсон, рейтуз, бюстгальтеров, гетр нательных жилетов, воротничков, нательного белья.
Кроме того, охватывающий каркас выполнен, по крайней мере, с одним разъемом, снабженным регулирующим элементом для обеспечения натяжения и плотного контакта с поверхностью биологического объекта.
Воспаленный орган можно рассматривать, например, как термодинамическую систему, выведенную из состояния равновесия, характеризующуюся повышенной энтальпией или более высоким термодинамическим потенциалом Н. С внутренней энергией системы U энтальпия Н связана соотношением:
H=U+pV,
где р – давление в системе,
V – объем системы.
Равновесному состоянию системы при постоянных энтропии и давлении соответствует минимальное значение энтальпии, а изменение энтальпии равно количеству теплоты, которое сообщают системе или отводят от нее при постоянстве давления. Поэтому значения изменения энтальпии характеризуют тепловые эффекты фазовых переходов, химических реакций и других процессов, протекающих при постоянном давлении.
При воспалительном процессе в результате сложных и связанных процессов в данном органе выделяется дополнительное тепло. В общем случае сравнительно кратковременные и достаточно интенсивные воспалительные процессы способствуют организму справиться, например, с инфекцией или другими негативными воздействиями.
Однако в результате тех или иных сбоев, в частности при падении иммунитета, интенсивность воспалительного процесса может быть сравнительно небольшой, но он не прекращается, то есть становится хроническим. В этом случае, выведенная из равновесия система начинает постепенно меняться: избыточное тепло может способствовать тому или иному изменению данного органа.
Таким образом, приведение системы как можно ближе к равновесному состоянию, то есть к минимальной энтальпии, дает возможность возвращения органа к функционированию, близкому к нормальному.
Для этого, как было сказано выше, следует организовать отвод избыточного тепла, что постепенно приведет систему к минимальному значению энтальпии.
Конечно, предлагаемая система имеет определенные ограничения, в частности ее эффективность падает с ростом глубины или расстояния очага воспаления от поверхности биологического объекта.
Тем не менее, постоянное ношение указанного устройства на теле с охватом выделенных зон обеспечивает пусть и слабый, но непрерывный отток избыточного тепла от имеющихся или возникающих очагов воспаления, расположенных недалеко от поверхности тела, постепенно возвращая воспаленные органы или зоны к состоянию, близкому к равновесному. Таким образом, воспроизводится система устойчивого равновесия: при том или ином выводе системы из этого состояния она медленно, но неуклонно возвращается в прежнее, то есть состояние, близкое к нормальному, в отношении уровня энтальпии. В настоящее время не существует эффективных методов постоянного воздействия на такого рода выделенные зоны или органы и предлагаемое техническое решение может быть в ряде случаев достаточно эффективным средством, препятствующим развитию, в частности, некоторых хронических воспалительных процессов.
Сравнительно слабые по интенсивности тепловые перетоки по замкнутым проводящим контурам от зон воспаления в зоны с меньшими температурами могут идти непрерывно по такому хорошо теплопроводящему материалу, как медная проволока достаточно большого сечения, с достижением в конечном итоге минимальной энтальпии в зоне воспаления, что непосредственно влияет на такой признак воспаления, как локальное повышение температуры, и может также повлиять, в частности, на снижение интенсивности хронического воспаления.
При этом следует отметить, что наиболее эффективной работа устройства будет в диапазоне температур пограничного слоя среды, примыкающего к его внешней по отношению к биологическому объекту поверхности, 17-32°С. Это обусловлено тем, что при температуре, большей 32°С, то есть близкой к температуре поверхности биологического объекта – около 36-37°С, снимаемая устройством мощность с охватываемых им зон, в частности и с зоны воспаления, может оказаться недостаточной для достижения зоной воспаления минимального значения энтальпии. При температуре пограничного слоя, меньшей 17°С, усиленный теплоотвод и соответственно значительное изменение энтальпии охватываемых шунтом зон может привести к их переохлаждению.
Конструкция устройства может быть комбинированной – в виде нескольких соединенных между собой в цепь проводников.
Поскольку вес металлической составляющей устройства незначителен – при сечении 0,8 мм2 он составляет от 5 до 200 грамм в зависимости от ею конструкции и объема охватываемой ею части биологического объекта, постольку пользователь практически не ощущает его и не испытывает дискомфорта, а медный, серебряный или золотой материал в отдельности или в виде сплавов с кожным покровом химически практически не взаимодействуют, являясь при этом лучшим из известных теплопроводящих материалов.
Выполнение поверхности проводника по форме, повторяющей рельеф выделенной зоны тела, позволяет повысить эффективность действия образующегося канала для постоянного отвода выделяющейся избыточной энергии из очага воспаления за счет того, что поверхность проводника практически не отходит от поверхности тела при ношении, сохраняя тем самым достаточно хороший проводящий контакт, чему как раз соответствуют предложенные варианты: формование каркаса из пластичного материала сетчатой структуры по рельефу, например, шеи с учетом выпирания кадыка, или использование гибкой основы для проводника для обеспечения с помощью подтягивания или ослабления этой гибкой конструкции в процессе ношения плотного контакта проводника с кожей, независимо от того, насколько сильно меняется форма или рельеф той или иной выделенной зоны со временем или под воздействием каких-либо факторов (опухоли, вздутия и т.п.).
При этом следует отметить, что теплопередача от элементов конструкции, как это показано ниже, зависит не только от физических свойств материала, но и от поперечного сечения проводников и их длины. В частности, изменение объема проводников до величины меньше 800 мм3 существенно ухудшает и, тем самым, ослабляет процесс теплопередачи от проводников в окружающую среду с более низкой температурой, а увеличение поперечного сечения проводника, напыленного на гибкую подложку, свыше 12 мм2 при той же длине проводящей конструкции может привести к его растрескиванию и осыпанию, увеличивает вес каркаса и может привести к чрезмерной мощности теплопередачи при понижении температуры окружающего воздуха. Указанные размеры толщины проводящего слоя на подложке и размеры самой подложки являются оптимальными, так как отклонение от них ухудшает такие показатели, как величина теплоотдачи и точное соответствие рельефу выделенной зоны биологического объекта.
Следует также сказать, что сфера приложения устройства существенно расширяется и упрощается, так как его можно использовать без закрепления на бандаже, что также создает дополнительные удобства для пользователя вместе с определенной эстетикой, поскольку, например, ношение обруча на запястье выглядит лучше, чем повязка на нем или съемное устройство на гетрах может быть более удобным, чем повязка под коленом.
Что касается лечения воспалительных процессов в настоящее время, то подавляющая часть методов физиотерапевтического, или близких к нему методов, лечения связана с введением в очаг воспаления дополнительной энергии, например облучение лазером, СВЧ-облучение, инфракрасное и ультрафиолетовое облучение и т.д. Однако воспалительные процессы по своему характеру являются экзотермическими и выделение энергии в них может быть значительным. Поэтому введение дополнительных порций энергии в подобную систему только увеличивает суммарное значение энергии в очаге воспаления и с термодинамической точки зрения приводит ее к состояниям еще большей энтальпии, что означает удаление от состояния равновесия.
Конечно, существуют, хотя и реже применяются такие методы отвода избыточной энергии из зоны воспаления, как кровопускание с помощью пиявок или различные криогенные воздействия. Однако эти сравнительно недолговременные воздействия часто дают столь же недолговременный эффект, то есть через какое-то время, например, хронический процесс воспаления возобновляется. Предложенное техническое решение позволяет организовать постоянный отток избыточной энергии из очага воспаления, компенсируя сравнительно незначительную интенсивность энергетических потоков, при этом избыточная энергия сбрасывается без какой-либо дополнительной регулировки.
Опытная проверка показала, что действие конструкции наиболее эффективно для воспаленных зон, находящихся в непосредственной близости к поверхности тела.
На фигуре 1 показан вариант двухсоставного каркаса, обе проводящих проволочные части которого, расположенные примерно параллельно друг другу и соединенные между собой проволочными перемычками из проводящего материала, создают структуру конструкции, близкую к сетчатой, и охватывают кольцеобразно шею, причем в средней контурной части сделан изгиб, примерно повторяющий рельеф передней части шеи в районе кадыка.
На фигуре 2 показан вариант трехсоставного охватывающего каркаса, три параллельные проводящие проволочные части которого, соединенные между собой проводящими перемычками, создают сетчатую структуру конструкции и охватывают кольцеобразно щиколотку и по форме примерно повторяют ее рельеф.
На фигуре 3-а в изометрии показан вариант уплощенного каркаса на гибкой подложке, на которую нанесен металлический проводник, а на фигуре 3-б этот каркас показан в его поперечном разрезе.
На фигуре 4 в изометрии показан вариант каркаса на гибкой подложке, на которую навит металлический проводник.
Устройство содержит в своей двухзвенной модификации (фиг.1) каркас 1 из двух параллельных и замыкающихся при ношении в проводящий контур звеньев 2, соединенных перемычками 3. Каркас выполнен из серебра, золота, меди или их сплавов в виде проволоки с сечением 0,8 мм2. Благодаря изгибу 4 в средней части конструкции и многосекционной застежке 5, выполненных из указанного набора материалов, а также пластичности элементов конструкции и сетчатой структуре каркаса, способного в определенной степени подвергаться деформации в соответствии с индивидуальным рельефом выделенных зон биообъекта и сохранять этот рельеф, обеспечивается достаточно плотное прилегание, в данном случае к шейной поверхности биологического объекта без создания дискомфорта при дыхании или глотании. Тем самым проводники в области позвоночника, щитовидной железы, гортани имеют непосредственный контакт с кожным покровом. Место соединения обоих концов каркаса 1 для образования замкнутой цепи может быть выполнено в виде простейшей проводящей застежки 5, такой, например, как петли и крючок, которая легко застегивается и расстегивается. Материалом застежки может быть медь.
Другие автономные части уже комбинированного устройства, подобные описанной, могут быть установлены в виде отдельных замкнутых цепей при контакте с той или иной выделенной зоной. Кроме того, эти части устройства могут быть установлены без дополнительных креплений, например, на запястьях, верхней части головы. В частности, на щиколотках (фиг.2) может быть установлен трехзвенный каркас 1, содержащий три параллельных проволочных звена 2, соединенных перемычками 3. Каркас выполнен из серебра, золота, меди или их сплавов в виде проволоки с сечением 0,8 мм2. Благодаря изгибам 4 каркаса в соответствии с рельефом щиколотки и многосекционной застежке 5, также выполненной из указанного набора материалов, и пластичности элементов конструкции, а также сетчатой структуре каркаса, способного в определенной степени подвергаться деформации в соответствии с индивидуальным рельефом выделенных зон биообъекта и сохранять этот рельеф, обеспечивается достаточно плотное прилегание к поверхности в районе щиколотки биологического объекта. Вместе с тем при движении контакт каркаса 1 с поверхностью полностью не теряется и он не крутится вокруг щиколотки. Тем самым проводники в области суставов и связок имеют непосредственный контакт с кожным покровом. Место соединения обоих концов каркаса 1 для образования замкнутой цепи может быть выполнено в виде простейшей застежки 5, такой, например, как петли и крючок, которая легко застегивается и расстегивается. Материалов застежки может быть медь.
На фиг.3-а и 3-б показан вариант каркаса, который может быть использован, в частности, при менее ярко выраженном поверхностном рельефе, например в области поясницы. В этой зоне может быть установлен уплощенный каркас 1, содержащий металлические проводники 2 из серебра, золота, меди или их сплавов, нанесенные на гибкую тонкую подложку 6 из искусственных полимерных тканей или естественной кожи животных. Поскольку выбранный материал проводников имеет высокую пластичность, а современные методы нанесения металлических покрытий, например сверхзвуковое или магнетронное напыление металлов на указанные виды подложек, обеспечивают хорошую адгезию, постольку при применяемых значениях радиуса кривизны, минимальный из которых соответствует окружности запястья, и сравнительно небольшой толщине покрытия – 15-200 мкм, в случае изгиба каркаса 1 при охвате им выделенных зон, не происходит откалывания или осыпания напыленного проводника. При этом для обеспечения требуемой теплопередачи при толщине металлического покрытия 80 мкм минимальный периметр подложки в ее поперечном сечении составляет 10 мм. При уменьшении толщины покрытия периметр подложки соответственно увеличивается. Толщина и ширина одинарного каркаса 1 с подложкой 6 ограничены размерами и рельефом выделенных зон, для которых должен быть обеспечен достаточно плотный контакт с проводящей поверхностью каркаса. Поэтому толщина подложки 6 составляет 0,4-1,5 мм, а размеры ее периметра в поперечном сечении – от 10 мм до 60 мм. Место соединения обоих концов каркаса 1 для образования замкнутой цепи может быть выполнено в виде простейшей застежки 5, такой, например, как петли и крючок, которая легко застегивается и расстегивается.
На фиг.4 показан вариант каркаса 1 с тем или иным видом наложения проводника 2 в виде уплощенной проволоки, например, навитой на подложку 6, который может быть использован, в частности, при менее ярко выраженном поверхностном рельефе, например в лобной области. Место соединения обоих концов каркаса 1 для образования замкнутой цепи может быть выполнено в виде простейшей застежки 5, такой, например, как петли и крючок, которая легко застегивается и расстегивается на затылке.
Каркас 1 с подложкой 6 может быть выполнен как одинарным с указанными параметрами, так и состоящим из нескольких узких и соединенных проводниками между собой секций для использования при более сложном рельефе поверхности, например на щиколотке или шее. При соединении проводников отдельных секций перемычками из того же металла или сплава, что и эти проводники (наборный каркас), суммарные минимальные параметры соответственно по толщине металлического покрытия и периметру подложек в их поперечном сечении всех соединенных секций такие же, что и для вышеописанного одинарного каркаса, но для каждой отдельной секции они могут выбираться по ширине и толщине в зависимости от возможности более полного контакта проводников с поверхностью биообъекта и удобства пользователя.
Устройство также может быть вмонтировано с внутренней стороны поверхности нательной одежды, например в обтягивающие рейтузы с охватом как поясничной области, так и сферы промежности. При этом верхняя часть каркаса в виде подложки с нанесенным на нее проводником (фиг.3-а) может быть закреплена съемно или стационарно на верхней кромке рейтуз, а нижняя часть устройства в виде одинарной цилиндрической проволоки, соединенная с верхней частью спереди и сзади, может быть закреплена по средней вертикальной линии рейтуз спереди и сзади. Внутренняя проводящая поверхность охватывающего каркаса 1 из проводников 2 является свободной для ее прямого контакта с поверхностью тела биологического объекта. Над каждым проводником в материале рейтуз выполнены отверстия с периодом, равным диаметру собственно отверстия, для наиболее свободной циркуляции тепловых потоков или же материал рейтуз выбран сетчатым. Регулировка натяжения частей охватывающего каркаса 1 для их плотного прилегания к поверхности кожи может осуществляться одной или несколькими застежками с регулирующими элементами.
Устройство работает следующим образом.
Каждый вариант предложенной конструкции обладает или пластичностью, если он без подложки (фиг.1, 2), или гибкостью, если он с применением подложки (фиг.3, 4), удовлетворяет тому, чтобы при застегивании и подгонке был обеспечен плотный контакт с поверхностью выделенной зоны биообъекта. Таким образом, каркас 1 (фиг.1, 2, 3, 4) практически повторяет рельеф участка биологического объекта, который каркас 1 охватывает, и обеспечивает наиболее удовлетворительный проводящий контакт, в особенности в месте выделенной зоны, на поверхности которой располагается проекция очага хронического воспаления.
Сначала устанавливают в области шеи биологического объекта каркас 1 (фиг.1) с соответствующими данной окружности размерами, соединяя концы проводников 2 застежкой 5 с проводящим контактом с регулировкой степени прилегания проводников 2 к поверхности шеи достаточно плотно и вместе с тем без напряжения. Таким образом, эта часть устройства охватывает зоны шейной части позвоночника, гортани, щитовидной железы. При этом устройство может быть выполнено в виде одинарного охватывающего каркаса 1 из проводников, а может быть выполнено состоящим из нескольких узких и соединенных проводниками между собой секций для расширения зоны применения и использования с большим комфортом при таком сложном рельефе поверхности, как шейный. При соединении проводников 2 отдельных секций перемычками 3 из того же набора металлов или сплавов, что и эти проводники (наборный каркас), суммарные минимальные параметры соответственно по толщине металлического покрытия и периметру подложек в их поперечном сечении всех соединенных секций должны быть такими же, что и для вышеописанного одинарного каркаса, но для каждой отдельной секции они могут выбираться по ширине и толщине в зависимости от возможности более полного контакта проводников с поверхностью биологического объекта и удобства пользователя.
Аналогичной является и установка вариантов устройства, показанных на фиг.2, 3, 4, в тех или иных выделенных зонах, например на ногах с круговым охватом соответствующей части ноги, в поясничной области, на лбу, руках и т.д. При этом в частях тела, закрытых одеждой, можно устанавливать устройство на внутренней поверхности нательной одежды съемно или стационарно.
При возникновении или протекании воспалительного процесса под любой частью устройства, контактирующей с кожей, через замкнутые проводники охватывающего каркаса 1 осуществляется сброс избыточного тепла, выделяющегося в очаге воспаления. Отток тепла идет по проводникам 2 от зон воспаления к местам с более низким термодинамическим потенциалом, за счет чего постепенно энтальпия в очаге воспаления понижается и устанавливается состояние относительного равновесия, или минимальной энтальпии, то есть состояние, близкое по своим термодинамическим характеристикам к состоянию данной зоны до воспаления.
Указанная пассивная система является автоматической, то есть при практически любом отклонении той или иной зоны (органа) тела, контактирующей с проводящими контурами, от состояния с минимальной энтальпией устройство организует постепенный переток избыточного тепла в места с меньшим термодинамическим потенциалом, возвращая систему или очаг воспаления в данной случае в прежнее состояние равновесия. Слаботочность системы охватывающего каркаса компенсируется ее постоянным действием за счет стационарной установки устройства на теле биологического объекта. При этом никаких неудобств пользователь устройства не испытывает, так как вес его металлической составляющей в зависимости от сечения материала колеблется от нескольких граммов при сечении 0,8 мм2 до 200 граммов при сечении около 12 мм2, редко превышая эту величину, а медные, золотые или серебряные проводники практически не взаимодействуют с поверхностью кожи. Оптимальным температурным режимом работы устройства является 17-32°С, то есть это та температура пограничного слоя среды, примыкающего к внешней по отношению к телу поверхности проводников устройства, которая обеспечивает наиболее благоприятные условия его функционирования, создавая в среднем при постоянном ношении устройства достаточный уровень теплоотвода для изменения энтальпии локальных зон тела биологического объекта и вместе с тем не допуская переохлаждения охватываемых устройством зон тела. Для этого, с одной стороны, тот или иной вид вентиляции, а с другой стороны, частичное внешнее покрытие, например, текстильным материалом поверхности проводников устройства, обеспечивают в любое время года как нормальный теплоотвод, так и перекрытие низкотемпературных потоков воздуха.
Постоянное ношение устройства на теле при приповерхностных хронических воспалениях отнюдь не означает невозможности его снятия, например, при выполнении каких-либо физиологических процедур или в отдельных случаях на ночь. Однако постоянное ношение устройства в определенной степени компенсирует, например, постоянное действие того или иного источника хронического воспаления, обеспечивая непрерывный отвод избыточного тепла.
Пример функционирования устройства с приведением расчета основных показателей теплопередачи через проводники от выделенной воспаленной (больной) приповерхностной зоны
Расчет показывает, что уровень теплопередачи через проводящий каркас, который на первый взгляд кажется пренебрежимо малым, достигает на самом деле значений, при которых даже при наличии постоянно действующего в больном или хронически воспаленном органе источника тепла это избыточное тепло полностью отводится и, таким образом, не может вредным образом повлиять на структуру и функционирование органа, оставляя его в состоянии минимальной энтальпии.
При тепловом воздействии воспаленного (больного) органа на проводники устройства происходит локальный нагрев проводников, например, на один градус – до температуры Т=37°С. После этого тепло за счет теплопроводности распространяется по всей длине проводников. Так как проводники устройства изготовлены из материала с высокой теплопроводностью (медь, серебро, золото или их сплавы), а источник тепла постоянный, можно считать, что через небольшой промежуток времени (1-2 минуты) все проводники устройства будут нагреты до температуры больного органа (Тш=37°С).
Процесс распространения тепла в проводниках устройства можно описать с помощью уравнения нестационарной теплопроводности (см., напр., Михеев М.А., Михеева И.М. Основы теплопередачи. М., Энергия, 1977, с.38-41) при следующих допущениях:
– рассматривается процесс одномерного распространения тепла в проводнике, то есть температура изменяется только по длине цилиндрического проводника и не меняется по радиусу, так как диаметр проводника не превышает 1-2 мм;
– теплофизические свойства материала проводника (теплоемкость, коэффициент теплопроводности, плотность) не зависят от температуры;
– торцевые поверхности проводника теплоизолированы;
– тепловое воздействие на проводник моделируется использованием сосредоточенного объемного внутреннего источника тепла в материале проводника.
С учетом сделанных допущений дифференциальное уравнение теплопроводности с начальными и граничными условиями может быть представлено в следующем виде:

Начальные условия:

Граничные условия:


В соотношениях (1)-(4) приняты следующие обозначения:
Т=Т( , x) – температура проводника, изменяющаяся по оси х (вдоль проводника) и во времени;
– время;
x – продольная координата (отсчитывается вдоль оси проводника);
– коэффициент теплопроводности материала проводника;
c – теплоемкость материала проводника;
– плотность материала проводника;
qw=qw( , х) – объемная плотность внутренних источников тепла;
lш – длина проводника.
Уравнение (1) может быть проинтегрировано численно с использованием, например, метода конечных разностей (см. Самарский А.А. Теория разностных схем. М., Наука. 1977, с.277-331).
Для интегрирования уравнения (1) необходимо сформировать исходные данные.
Начальная температура проводника То изменяется в пределах от 17°С до 25°С и равна температуре окружающей среды (воздуха). Теплофизические свойства различных материалов известны (см., напр., Кошкин Н.И., Ширкевич М.Г. Справочник по элементарной физике. М., Наука, 1980, с.64, 73, 33), в частности при температуре 20°С для меди плотность составляет 8930 кг/м3, теплоемкость c составляет 390 Дж/кг К, коэффициент теплопроводности – 389,6 Вт/м К; для серебра плотность составляет 10500 кг/м3, теплоемкость с составляет 235 Дж/кг К, коэффициент теплопроводности – 418,7 Вт/м К; для золота плотность составляет 19310 кг/м3, теплоемкость с составляет 130 Дж/кг К, коэффициент теплопроводности – 312,8 Вт/м К.
Объемная плотность внутренних источников тепла qw может быть определена из следующих соображений. Пусть больной орган имеет форму сферы диаметром dop=3 см, а теплофизические свойства материала органа соответствуют воде. Объем сферы определяется по формуле:

где rор=dop/2=1,5 см.
Тогда Vop=14,13 см3
Если в органе действует внутренний источник тепла, то для нагрева органа от температуры Top1=36°С до Тор2=37°С необходимо подвести к органу количество тепла. равное:

где mop – масса органа,
Ср – удельная теплоемкость вещества органа (Ср=4174 дж/кг К).
Масса m op определяется по формуле:
mор=Vop op.
где op – плотность материала органа ( op=0,001 кг/см3).
При указанных исходных данных подведенное количество тепла окажется равным:
Qop=58,979 дж.
Проводник находится в плотном контакте с кожным покровом, непосредственно за которым располагается больной орган. Поэтому тепло, выделившееся в органе за счет теплопроводности, будет передаваться в участок проводника, прилегающий к органу, и разогревать его до температуры, превосходящей начальную температуру проводника То.
Так формируется сосредоточенный (локальный) внутренний объемный источник тепла в проводнике. От этого источника тепло за счет теплопроводности будет распространяться по всей длине проводника и разогревать его до температуры, приблизительно равной максимальной температуре больного органа (37°С).
Участок или секция проводника, в который передается тепло от воспаленного или больного органа (зоны тела), имеет объем, равный:

где dш – диаметр проводника;
lш – длина участка проводника, прилегающего к проекции на поверхность тела приповерхностного больного или воспаленного органа.
Примем, что dш=2 мм=0,2 см, lш=2 см.
Тогда получим:

Объемная плотность внутренних источников тепла в материале проводника определяется по формуле:

где н – время, в течение которого подведенное тепло выделится в проводнике.
Время н точно определить затруднительно, так как процесс формирования внутреннего источника тепла нестационарный. Действительно, по мере отвода тепла от больного органа через проводник температура органа Тор начнет снижаться, а значит, уменьшится и приток тепла к проводнику в соответствии с соотношением:

где ор – коэффициент теплопроводности вещества больного органа;
Т – разность температур системы «орган – проводник»
( Т=Тор( )-Т( ));
у – расстояние между центрами органа и проводника;
– время передачи тепла от органа к проводнику;
Sк – площадь контактной поверхности на границе системы «орган – проводник».
Уменьшение притока тепла к проводнику приведет к снижению объемной плотности внутренних источников тепла qw в материале проводника, уменьшению температуры проводника Т и к снижению количества тепла, отводимого от проводника в окружающую среду Qш.
Снижение теплоотвода от больного органа приведет в свою очередь к увеличению его температуры (при еще действующем источнике тепла в самом больном органе). В соответствии с соотношением (8) это приведет к увеличению подвода тепла к проводнику, росту его температуры и количества тепла, отводимого в окружающую среду. Это означает, что процесс подвода тепла к проводнику и отвода тепла от него носит колебательный характер. Поэтому оценить плотность внутренних источников тепла на нестационарном режиме qw( , х) сложно. Выход можно найти, если задавать квазистационарное значение источника тепла, не зависящее от времени, или задавать местный скачок температуры (положение скачка температуры по длине проводника определяется участком прилегания проводника к больному органу через кожный покров).
Результаты численных расчетов показывают, что время прогрева проводника из меди длиной 1 м до температуры 37°С при заданной величине скачка температуры в 1°С (от 36°С до 37°С) составят 1,5-2 минуты.
Считая, что далее устанавливается квазистационарный режим теплообмена, необходимо оценить количество тепла, передаваемое внешней поверхностью проводника окружающей среде, в данном случае воздуху.
Количество тепла, передаваемого внешней поверхностью цилиндрического проводника за единицу времени окружающему пространству, можно представить в виде суммы двух составляющих:

где Qск – количество тепла, отводимого от проводника за счет естественной конвекции;
Qизл – количество тепла, отводимого от проводника за счет излучения.
Рассмотрим первую составляющую теплоотвода. В результате обобщения опытных данных получены уравнения подобия для средних значений коэффициента теплоотдачи при свободной конвекции (см. Михеев М.А., Михеева И.М., Основы теплопередачи. М., Энергия, 1977, с.95-96). В этих уравнениях в качестве определяющей температуры принята температура окружающей среды (воздуха) Тв. В качестве определяющего размера для горизонтального стержня принят его диаметр dш. В общем случае зависимость среднего безразмерного коэффициента теплоотдачи (числа Нуссельта) для горизонтального цилиндрического стержня при
(Grdв Prв)<108
имеет вид (см. Михеев М.А., Михеева И.М., Основы теплопередачи. М., Энергия. 1977. с.95-96):

где Prв – число Прандля при температуре воздуха, равной Тв;
Prш – число Прандля воздуха при температуре поверхности проводника Тш=Т;
Grdв – число Грасгофа при температуре воздуха, рассчитанное по диаметру d проводника;
– среднее число Нуссельта при температуре воздуха, найденное по диаметру проводника.
Для воздуха можно считать, что
Prв=Prш=const=0,7
Число Прандля, входящее в соотношение (10), определяется по формуле:

где Срв(Тв) – удельная теплоемкость воздуха;
в(Тв) – динамический коэффициент вязкости воздуха;
в(Тв) – коэффициент теплопроводности воздуха.
Число Грасгофа рассчитывается по формуле (см. Михеев М.А., Михеева И.М., Основы теплопередачи. М., Энергия, 1977, с.58);

где – температурный коэффициент объемного расширения воздуха;
dш – диаметр цилиндрического проводника;
g – ускорение свободного падения;
Т – характерная разность температур проводника и окружающего воздуха.
= (Тв) – кинематический коэффициент вязкости воздуха.
Среднее по длине проводника число Нуссельта определяется по формуле:

где – средняя величина коэффициента теплоотдачи от поверхности проводника воздуху.
В указанном диапазоне температур (Тш=37°С; Тв=17-25°С) можно считать, что
Prв=Prш=0,7.
Тогда формула (10) упрощается и приобретает вид:

В качестве примера приведем результаты расчета для следующих исходных данных:
температура окружающего воздуха Тв=20°С;
температура проводника на квазистационарном режиме Тш=37°С.
При Тв=20°С имеем: в=0,0259 Вт/м К; в=15,06 10-6 м2/с; Prв=0.7;
Prв/Prш1; dш=2 мм=0,002 м.
Используя формулу (12), получим:

По формуле (14) найдем

Средний коэффициент теплоотдачи определим из (13):

Количество тепла, отводимое от проводника в единицу времени за счет свободной конвекции, будет равно:

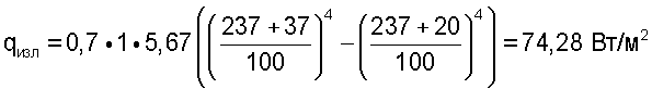
Количество тепла, отводимого за счет излучения от поверхности проводника, определяется по формуле:

где Sизл – площадь поверхности излучения, равная половине площади боковой цилиндрической поверхности проводника (вторая половина поверхности проводника, прижатая к кожному покрову биологического объекта, не излучает);
qизл – плотность теплового потока излучения от боковой поверхности проводника в окружающее пространство (воздух).
Величина qизл определяется по формуле (см. Михеев М.А., Михеева И.М., Основы теплопередачи. М., Энергия, 1977, с.166-182, 330):

где ш – степень черноты материала проводника;
А – коэффициент взаимной облученности системы проводник – окружающее пространство;
о – постоянная Стефана – Больцмана,
о=5,67 10-8 Вт/(м2 К4).
В качестве примера приведем результаты расчета для исходных данных, использованных выше. Кроме того, считаем, что А=1, так как внешняя половина боковой поверхности проводника излучает в безграничное пространство.
Степень черноты для окисленной меди находится в пределах ш меди=0,6-0,8.
Возьмем среднее значение ш0,7.
Воспользовавшись формулой (17), найдем

Количество тепла, отведенного от поверхности проводника за счет излучения в единицу времени, можно определить по формуле (16):

Откуда следует, что количество тепла, отведенного от проводника за счет излучения,
существенно меньше количества тепла, отведенного за счет свободной конвекции.
Общее количество тепла, отведенного от поверхности проводника за единицу времени, равно
Qш=1,3350+0,2324=1,5674 Вт.
Очевидно, количество тепла, отведенного от проводника в окружающий воздух, существенно зависит от диаметра проводника dш (см. формулы (12), (13), (14), (15), (18))
и от длины проводника lш. Чем больше диаметр проводника и его длина, тем больше количество отведенного тепла.
Результаты расчетов количества тепла, отведенного от медного проводника длиной 1 м за 1 сек для различных значений его диаметра, составляют при диаметре проводника 1 мм Qш=Qск+Qизл=0,7938+0,1162=0,9100 Вт; при диаметре 1,5 мм Qш=Qск+Qизл=1,0759+0,1743=1,2502 Вт; при диаметре 2 мм Qш=Qск+Qизл=1,3350 +0,2324=1,5674 Вт. Зависимость обоих видов тепла, отведенного от проводника, от диаметра является практически прямо пропорциональной, точнее имеет слабую нелинейность.
Зная количество тепла, отведенного проводником за единицу времени в окружающий воздух, можно найти характерное время х, за которое все выделившееся в больном органе тепло будет отведено от этого органа. Воспользуемся соотношением:

Из(19) получим:

Таким образом, характерное время составляет 30-60 сек. Однако источник тепла в больном органе действует постоянно (длительное время). Поэтому и необходим постоянный отвод тепла. При таком отводе тепла от больного органа не произойдет его необратимого перерождения и он постепенно восстановит свои первоначальные функции, причем его температура будет поддерживаться в непосредственной близости от нормальной, а внутренний источник избыточного тепла прекратит свое существование или функционирование, а в случаях невозможности полной ликвидации источника воспаления (а это часто, особенно в пожилом возрасте, сделать затруднительно), который мы называли дополнительным источником тепла, последний лишается возможности разрушительно воздействовать на структуру и функции соответствующих органов. В результате время их функционирования в нормальном режиме значительно удлиняется.
Следует также отметить, что температура проводника по его радиусу при воздействии внутреннего источника тепла практически не меняется.
Разность температур на оси и на поверхности проводника в этих условиях определяется соотношением:

где Тош – температура на оси проводника;
Тсш – температура поверхности проводника;
rш – радиус проводника;
– коэффициент теплопроводности материала проводника;
qw100; rш0,001 м; 400 Вт/м К.
Поэтому разность температур имеет порядок (10-6-10-7)К. Это очень малая величина.
Указанные примеры и расчет были приведены для незакрытой снаружи поверхности проводника. В том случае, если она частично закрыта, например, одеждой, необходимо вводить соответствующие поправки. Однако даже при пятидесятипроцентном уменьшении вентиляции и разности температур проводника и окружающей среды количество тепла, отводимого от устройства, является вполне достаточным при его постоянном ношении для того, чтобы постепенно снизить значение энтальпии воспаленного приповерхностного органа или зоны до минимального и тем самым привести этот орган в состояние равновесия (нормальное состояние).
Формула изобретения
1. Устройство для изменения энтальпии выделенной зоны биологического объекта, содержащее оголенные металлические проводники, установленные с возможностью контакта с поверхностью биологического объекта в выделенной зоне и образования ими охватывающего каркаса той части биологического объекта, где расположена выделенная зона, проводники выполнены из цилиндрической проволоки или плоских полос с поперечным сечением не менее 0,8 мм2, коэффициентом теплопроводности при комнатной температуре не менее 312 Вт/м·K и удельным электросопротивлением не более 2,4·10-2 Ом мм2/м, отличающееся тем, что прилегающая к выделенной зоне биологического объекта поверхность проводников выполнена по форме, повторяющей рельеф выделенной зоны биологического объекта с возможностью регулирования формы при индивидуальном изменении рельефа поверхности выделенной зоны, а проводники состоят из однородных сплавов или слоистых материалов и имеют структуру, обеспечивающую память формы и пластичность каркаса.
2. Устройство по п.1, отличающееся тем, что охватывающий каркас выполнен из проводников сетчатой структуры.
3. Устройство по п.1, отличающееся тем, что объем проводников охватывающего каркаса составляет не менее 800 мм3.
4. Устройство по п.1, отличающееся тем, что охватывающий каркас выполнен в виде пластичных материалов из золота, серебра, меди, их пластичных сплавов однородной структуры.
5. Устройство по п.1, отличающееся тем, что охватывающий каркас выполнен в виде пластичных материалов из золота, серебра, меди, их пластичных сплавов слоистой структуры.
6. Устройство по п.1, отличающееся тем, что охватывающий каркас выполнен с возможностью установки на открытых участках биологического объекта, таких как: лоб, шея, запястья, щиколотки, а также закрытых участках – в виде съемного элемента, закрепляемого на прилегающих к коже участках поверхности трусов, кальсон, рейтуз, бюстгальтеров, гетр, нательных жилетов, воротничков, нательного белья.
7. Устройство по п.1, отличающееся тем, что в зависимости от числа и расположения выделенных зон охватывающий каркас может быть выполнен в виде единого замкнутого проводника из нескольких соединенных между собой в цепь проводников или может быть разбит на разрозненные части, каждая из которых является замкнутой цепью и сохраняет форму поверхности охватываемого участка биологического объекта, прилегая к нему.
8. Устройство по п.1, отличающееся тем, что охватывающий каркас выполнен, по крайней мере, с одним разъемом, снабженным регулирующим элементом для обеспечения натяжения и плотного контакта с поверхностью биологического объекта.
9. Устройство для изменения энтальпии выделенной зоны биологического объекта, содержащее оголенные металлические проводники, установленные с возможностью контакта с поверхностью биологического объекта в выделенной зоне и образования ими охватывающего каркаса той части биологического объекта, где расположена выделенная зона, проводники выполнены с поперечным сечение не менее 0,8 мм2, коэффициентом теплопроводности при комнатной температуре не менее 312 Вт/м·K и удельным электросопротивлением не более 2,4·10-2 Ом мм2/м, отличающееся тем, что проводники наложены, по крайней мере, на одну гибкую подложку по каждой ее стороне, поперечное сечение проводников на одной подложке составляет не более 12 мм2.
10. Устройство по п.9, отличающееся тем, что объем проводников на одной подложке составляет не менее 800 мм3.
11. Устройство по п.9 или 10, отличающееся тем, что цилиндрические или уплощенные проводники навиты на гибкую подложку.
12. Устройство по п.9 или 10, отличающееся тем, что проводники нанесены на гибкую подложку с периметром в поперечном сечении от 10 до 60 мм напылением с толщиной слоя от 0,015 до 0,2 мм и толщиной подложки от 0,4 до 1,5 мм.
13. Устройство по п.9, отличающееся тем, что на гибкую подложку по всей ее поверхности нанесен слой золота, серебра, меди или их сплавов.
14. Устройство по п.9, отличающееся тем, что подложка выполнена из гибких природных или искусственных материалов или тканей, например, таких как кожа, полимеры.
15. Устройство по п.9, отличающееся тем, что в зависимости от числа и расположения выделенных зон каркас может быть выполнен в виде единой замкнутой проводящей структуры, содержащей один или несколько проводников, или может быть разбит на разрозненные части, каждая из которых является замкнутой цепью и сохраняет форму поверхности охватываемого участка биологического объекта, прилегая к нему.
16. Устройство по п.9, отличающееся тем, что охватывающий каркас выполнен с возможностью установки на открытых участках биологического объекта, таких как лоб, шея, запястья, щиколотки, а также с возможностью установки на закрытых участках – в виде съемного элемента, закрепляемого на прилегающих к коже участках поверхности трусов, кальсон, рейтуз, бюстгальтеров, гетр, нательных жилетов, воротничков, нательного белья.
17. Устройство по п.9, отличающееся тем, что охватывающий каркас выполнен, по крайней мере, с одним разъемом, снабженным регулирующим элементом для обеспечения натяжения и плотного контакта с поверхностью биологического объекта.
РИСУНКИ
|
|