Патент на изобретение №2350079
|
|||||||||||||||||||||||||||||||||||||||||||||||||||||||||||||||||||||||||||||||||||||||||||||||||||||||||||||||||||||||||||||||||||||||||||||||||||||||||||||||||||||||||||||||||||||||||||||||||||||||||||||||||||||||||||||||||||||||||||||||||||||||||||||||||||||||||||||||||||||||||||||||||||||||||||||||||||||||||||||||||||||||||||||||||||||||||||||||||||||||||||||||||||||||||||||||||||||||||||||||||||||||||||||||||
(54) РЕПЕЛЛЕНТНОЕ СРЕДСТВО
(57) Реферат:
Описывается применение пиретроидов или пиретринов в комбинации с агонистом никотинэргических ацетилхолиновых рецепторов членистоногих для эффективного и сохраняющегося в течение длительного времени репеллентного эффекта по отношению к членистоногим. Описывается также способ отпугивания членистоногих от теплокровных животных и способ удерживания членистоногих на расстоянии от мест, на которых их присутствие нежелательно. 3 н. и 2 з.п. ф-лы, 6 табл.
Настоящее изобретение относится к применению в предпочтительном случае на животных репеллентной по отношению к членистоногим компоненты из класса пиретроидов/пиретринов в комбинации с агонистами никотинэргических ацетилхолиновых рецепторов членистоногих, обладающей эффективным и продолжительным репеллентным действием на членистоногих. Применение наружных препаративных форм, содержащих перметрин, (3-феноксифенил)метиловый эфир 3-(2,2-дихлорэтенил)-2,2-диметилциклопропан-карбоновой кислоты (CAS №[52645-53-1]), для борьбы с паразитирующими на животных насекомыми известно (см., например, заявку на международный патент №95/17090, патент Японии №07247203, заявки на европейские патенты № 567368 А, № 461962 А, патенты США №5236954 и №5074252). Агонисты никотинэргических ацетилхолиновых рецепторов насекомых известны, например, из европейских заявок на патент №464830, №428941, №425978, №386565, №383091, №375907, №364844, №315826, №259738, №254859, №235725, №212600, №192060, №163855, №154178, №136636, №303570, №302833, №306696, №189972, №455000, №135956, №471372, №302389; заявок на патент ФРГ №3639877, №3712307; заявок на патент Японии №03220176, №02207083, №63307857, №63287764, №03246283, №049371, №03279359, №03255072; патентов США №5034524, №4948798, №5039686, №5034404; заявок на международные патенты №91/17659, №92/4965; заявки на патент Франции №2611114; заявки на патент Бразилии №8803621. Использование препаративных форм для наружного применения, содержащих агонисты или антагонисты никотинэргических ацетилхолиновых рецепторов насекомых, для борьбы с паразитирующими на животных насекомыми известно (см., например, заявку на международный патент №98/27817, заявки на европейские патенты № 682869 А и №0976328). Из уровня техники уже известны также комбинации перметрина с агонистами или с антагонистами никотинэргических ацетилхолиновых рецепторов насекомых для борьбы с паразитами (см., например, патент Канады №1245637, заявку на международный патент №00/54591, патент США №6080796, заявку на европейский патент №А 981955, патент США №6033731, патент Японии №07089803). Репеллентное действие по отношению к членистоногим пиретроидов типа I описано впервые в патенте США №4178384 (Pyrethroid insect repellent. Ensing, Kenneth J., 1979, в патенте США №4178384, который относится к репелленту для тараканов); Matthewson и др. (1981, Screening techniques for the evaluation of chemicals with activity as tick repellents. Matthewson, Michael D.; Hughes, Graham; Macpherson, Ian S.; Bernard, Colette P., Pesticide Science, 12 (4), 455-62) и Shemanchuk (1981, Repellent action of permethrin, cypermethrin, and resmethrin against black flies (Simulium species) attacking cattle. Shemanchuk, Joseph A., Pesticide Science, 12 (4), 412-16) описали репеллентное действие пиретроидов типа I и типа II по отношению к клещам или соответственно к мухам. Недостаток препаративных форм для наружного применения на основе, например, перметрина состоит в том, что они малоэффективны по отношению к блохам, комарам и мухам. Препаративные формы для наружного применения на основе агонистов или антагонистов никотинэргических ацетилхолиновых рецепторов (см., например, заявку на международный патент №96/17520) показывают, как правило, очень хорошую эффективность по отношению к насекомым. Однако их недостаток состоит в том, что они практически не действуют на клещей и не проявляют репеллентного действия. На этом основании для успешной борьбы с клещами и с блохами, а также для защиты от комаров и мух до настоящего времени нужно было проводить многократные обработки животных различными препаративными формами. По экологическим и экономическим соображениям желательно заменить эти препаративные формы такими, которые хорошо переносятся кожей и не вызывают опасений с токсикологической точки зрения, которые также при нанесении их в небольшом объеме (например, 0,1 мл на 1,0 кг массы тела обрабатываемого животного) отличаются хорошим продолжительным действием в течение времени от трех до четырех недель в первую очередь на клещей, блох, комаров и мух. Кроме того, такая препаративная форма должна быть достаточно стабильной при хранении ее во всех климатических зонах, например, в обычных тюбиках для наружного применения, обычно в течение не менее трех лет. В заявке на международный патент №02/087338 описывается получение содержащей перметрин и агонисты или антагонисты никотинэргических ацетилхолиновых рецепторов насекомых препаративной формы для накожного применения, которая хорошо переносится кожей и не загрязняет окружающую среду, которая приятна в использовании и эффективна по отношению к паразитирующим насекомым, в частности к клещам и блохам. Неожиданно было обнаружено, что средства, содержащие активные вещества из группы пиретроидов/пиретринов в комбинации с активными веществами, которые действуют на никотиновый рецептор членистоногих как агонисты, проявляют очень хорошие репеллентные свойства против таких членистоногих, как, например, клещи, комары и мухи, они превосходят по репеллентному эффекту препаративные формы, содержащие только пиретроид/пиретрин. Это относится как к относительному времени контакта эктопаразитов с обработанным животным, так и ко времени контакта, требуемому для достижения 100%-ной летальности в результате контакта. При этом, как следует из сравнительных исследований in vitro, такой эффект нельзя свести к препаративной форме. Такие комбинированные препаративные формы представленного далее типа могут не только контролировать численность уже напавших на животное паразитов, но и очень эффективно предотвращают, что оказалось неожиданным, массированное нападение и возможный перенос возбудителей болезней членистоногими, в частности клещами, комарами и кровососущими мухами. Далее перечисляются позиции, к которым имеет отношение настоящее изобретение. 1. Применение пиретроида или пиретрина в комбинации с никотиновым агонистом для отпугивания членистоногих. 2. Применение по п.1, в соответствии с которым пиретроид выбирают из группы: I. Пиретроиды типа I. II. Пиретроиды типа II. III. Пиретроиды без сложноэфирных групп. IV. Натуральные пиретрины. 3. Применение по п.1, в соответствии с которым никотиновый агонист выбирают из группы: V. Неоникотиноиды. VI. Нитиазин. VII. Спинозины. 4. Применение по п.1 на теплокровных животных для отпугивания клещей, блох, комаров и/или мух. 5. Способ отпугивания членистоногих от теплокровных, в соответствии с которым на теплокровное животное наносят наружно пиретроид или пиретрин в композиции с никотиновым агонистом. 6. Способ удерживания членистоногих на расстоянии от мест и материалов, на которых их присутствие нежелательно, в соответствии с которым на место или на материал, на расстоянии от которых должны удерживаться членистоногие, наносят пиретрин или пиретроид в комбинации с никотиновым агонистом. В предпочтительном случае соответствующие изобретению средства представляют собой жидкости и используются для накожного применения, в частности, в виде препаративных форм для полива или опрыскивания. Возможны и другие формы применения (см. ниже). Обычно они содержат пиретроид или пиретрин в указанных далее количествах. I. Пиретроиды типа I, например перметрин, от 15 до 75 мас.%, в предпочтительном случае от 33 до 55 мас.%. II. Пиретроиды типа II, например циперметрин, от 1 до 20 мас.%, в предпочтительном случае от 5 до 15 мас.%. III. Пиретроиды без сложноэфирных групп, например этофенпрокс, силафлуофен, от 15 до 75 мас.%, в предпочтительном случае от 40 до 60 мас.%. IV. Натуральные пиретрины, например пиретрин I, жасмолин I, цинерин I, пиретрин II, жасмолин II, цинерин II, от 25 до 75 мас.%, в предпочтительном случае от 30 до 50 мас.%. Применяемые в соответствии с изобретением средства содержат активное вещество из класса никотиновых агонистов V-VII в приведенных далее количествах. V. Неоникотиноиды в количестве от 1 до 25 мас.%, в предпочтительном случае от 5 до 15 мас.%. В качестве примеров здесь следует назвать имидаклоприд, тиаклоприд, клотианидин, нитенпирам, динотефуран, тиаметоксам. VI. Нитиазин в количестве от 20 до 40 мас.%, в предпочтительном случае от 25 до 35 мас.%. VII. Спинозины в количестве от 1 до 25 мас.%, в предпочтительном случае от 5 до 15 мас.%. В качестве примеров здесь следует назвать спиносад, бутилспиносад. Кроме того, применяемые в соответствии с изобретением средства содержат, как правило, обычные растворители и средства, улучшающие растекаемость, а также в соответствующих случаях обычные вспомогательные вещества. Данные по процентам массовым относятся к общей массе состава. Разделение пиретроидов/пиретринов на пиретроиды типа I, пиретроиды типа II, пиретроиды без сложноэфирных групп и натуральные пиретрины более подробно рассмотрено в Encyclopedic Reference of Parasitology 2-е изд., Disease, Treatment, Therapy (H.Mehlhorn, ред.), 2001, страницы 91-96, для ознакомления с таким подходом следует обратиться к этой ссылке. Пиретроидами типа I являются, например, аллетрин, биоаллетрин, перметрин, фенотрин, ресметрин, тетраметрин. Пиретроидами типа II являются, например, альфациперметрин, цифлутрин, цигалотрин, циперметрин, дельтаметрин, фенвалерат, флуцитринат, флуметрин, тауфлувалинат. Пиретроидами без сложноэфирных групп являются, например, этофенпрокс, силафлуофен. Натуральными пиретринами являются, например, пиретрин I, пиретрин II, цинерин I, цинерин II, жасмолин I, жасмолин II. В качестве агонистов никотинэргических ацетилхолиновых рецепторов насекомых следует назвать в первую очередь неоникотиноиды. В частности, к неоникотиноидам относятся соединения формулы (I)
где R означает атом водорода, незамещенные или замещенные остатки из группы ацильная, алкильная, арильная, арилалкильная, гетероарильная, гетероарилалкильная или гетероциклилалкильная группа; А означает монофункциональную группу из ряда атом водорода, ацильная, алкильная, арильная группа или означает бифункциональную группу, которая связана с остатком Z; Е означает электроноакцепторный остаток; Х означает остатки -СН= или =N-, причем остаток -СН= может быть связан с остатком Z вместо атома водорода; Z означает монофункциональную группу из ряда алкильная группа, группы -O-R, -S-R, -NR2, причем R означает одинаковые или разные остатки и имеет приведенное выше значение, или Z означает бифункциональную группу, которая связана с остатком А или с остатком X. Особое предпочтение отдается соединениям формулы (1), в которой остатки имеют следующее значение: R означает атом водорода, а также незамещенные или замещенные остатки из ряда ацильная, алкильная, арильная, арилалкильная, гетероарильная, гетероарилалкильная, гетероциклилалкильная группа. В качестве ацильных остатков следует назвать формильную группу, алкилкарбонильную группу с числом атомов углерода в алкильном остатке от одного до восьми, арилкарбонильную группу с числом атомов углерода в арильном остатке от шести до десяти, алкилсульфонильную группу с числом атомов углерода от одного до восьми, арилсульфонильную группу с числом атомов углерода от шести до десяти, алкиларилфосфорильную группу с числом атомов углерода в алкильном остатке от одного до восьми и с числом атомов углерода в арильном остатке от шести до десяти, которые, в свою очередь, могут быть замещены. В качестве алкильной группы следует назвать алкильную группу с числом атомов углерода от одного до десяти, в частности алкильную группу с числом атомов углерода от одного до четырех, например метильную, этильную, изопропильную, вторбутильную или третбутильную группу, которые, в свою очередь, могут быть замещены. В частности, арильная группа представлена арильной группой с числом атомов углерода от шести до десяти, в качестве примеров следует назвать фенильную, нафтильную группу, в частности фенильную группу. В частности, арилалкильная группа представлена арилалкильной группой с числом атомов углерода в арильном остатке от шести до десяти и в алкильном остатке от одного до четырех, в качестве примеров следует назвать фенилметильную, фенилэтильную группу. В качестве гетероарильной группы следует назвать гетероарильную группу с числом атомов в цикле до десяти и с атомами азота, кислорода, серы, в частности азота, в качестве гетероатомов. Например, следует назвать тиенильную, фурильную, тиазолильную, имидазолильную, пиридильную, бензтиазолильную группу. В частности, гетероарилалкильная группа представлена гетероарилалкильной группой с числом атомов углерода в алкильном остатке от одного до четырех, причем определение гетероарильной группе дано выше. В качестве примеров следует назвать гетероарилметильную, гетероарилэтильную группу с числом атомов в цикле до шести и с атомами азота, кислорода, серы, в частности азота, в качестве гетероатомов. В частности, гетероциклильная группа представлена ненасыщенным, но не ароматическим, или насыщенным гетероциклом с числом атомов в кольце до шести, содержащим до трех гетероатомов, выбираемых из азота, кислорода, серы, например это тетрагидрофурильная группа. В частности, гетероциклилалкильная группа представлена гетероциклилалкильной группой с числом атомов углерода в алкильном остатке от одного до двух, например это тетрагидрофуранилметильная и тетрагидрофуранилэтильная группа. В качестве примеров заместителей, которым отдается предпочтение, следует назвать алкильную группу с числом атомов углерода в предпочтительном случае от одного до четырех, в частности от одного до двух, например метильную, этильную, н-пропильную и изопропильную группу, н-бутильную, изобутильную и третбутильную группу; алкоксигруппу с числом атомов углерода в предпочтительном случае от одного до четырех, в частности от одного до двух, например метоксигруппу, этоксигруппу, н-пропоксигруппу и изопропоксигруппу, н-бутоксигруппу, изобутоксигруппу и третбутоксигруппу; алкилтиольную группу с числом атомов углерода в предпочтительном случае от одного до четырех, в частности от одного до двух, например метилтиольную, этилтиольную, н-пропилтиольную и изопропилтиольную группу, н-бутилтиольную, изобутилтиольную и третбутилтиольную группу; галогензамещенную алкильную группу с числом атомов углерода в предпочтительном случае от одного до четырех, в частности от одного до двух, и в предпочтительном случае с числом атомов галогенов от одного до пяти, в частности от одного до трех, причем атомы галогенов могут быть одинаковыми или разными, и атомы галогенов в предпочтительном случае представлены фтором, хлором или бромом, в частности фтором, например это трифторметильная группа; гидроксильную группу; атомы галогенов, в предпочтительном случае атомы фтора, хлора, брома и иода, в частности атомы фтора, хлора и брома; цианогруппу; нитрогруппу; аминогруппу; моноалкил- и диалкиламиногруппу с числом атомов углерода в каждой из алкильных групп от одного до четырех, в частности от одного до двух, например метиламиногруппу, метилэтиламиногруппу, н-пропиламиногруппу и изопропиламиногруппу, а также метил-н-бутиламиногруппу; карбоксильную группу; карбалкоксигруппу с числом атомов углерода в предпочтительном случае от двух до четырех, в частности от двух до трех, например карбометоксигруппу и карбоэтоксигруппу; сульфогруппу (-SO3Н); алкилсульфонильную группу с числом атомов углерода в предпочтительном случае от одного до четырех, в частности от одного до двух, например метилсульфонильную и этилсульфонильную группу; арилсульфонильную группу с числом атомов углерода, в предпочтительном случае равным шести или десяти, например фенилсульфонильную группу, а также гетероариламиногруппу и гетероарилалкиламиногруппу, например хлорпиридиламиногруппу и хлорпиридилметиламиногруппу. А в особо предпочтительном случае означает атом водорода, а также незамещенные или замещенные остатки из ряда ацильная, алкильная, арильная группа, которые в предпочтительном случае имеют приведенные для R значения. Кроме того, А означает бифункциональную группу. Здесь следует назвать незамещенную или замещенную алкиленовую группу с числом атомов углерода от одного до четырех, в частности от одного до двух, причем в качестве заместителей следует назвать перечисленные выше заместители, и при этом цепь алкиленовых групп может прерываться гетероатомами из ряда азот, кислород, сера. А и Z могут образовывать вместе с атомами, к которым они присоединены, насыщенное или ненасыщенное гетероциклическое кольцо. Это гетероциклическое кольцо может содержать еще один или два одинаковых или разных гетероатома и/или групп на основе гетероатомов. В предпочтительном случае гетероатомы представлены кислородом, серой или азотом, группы на основе гетероатомов представлены N-алкильной группой, причем алкильный остаток N-алкильной группы в предпочтительном случае включает от одного до четырех атомов углерода, в частности от одного до двух атомов углерода. В качестве алкильной группы следует назвать метильную, этильную, н-пропильную и изопропильную группу, н-бутильную, изобутильную и третбутильную группу. Гетероциклическое кольцо содержит от пяти до семи, в предпочтительном случае пять или шесть членов в цикле. В качестве примеров гетероциклического кольца следует назвать пирролидин, пиперидин, пиперазин, гексаметиленимин, гексагидро-1,3,5-триазин, морфолин и оксадиазин, которые могут быть замещенными или незамещенными, в предпочтительном случае они могут быть замещены метильной группой. Е означает электроноакцепторные остатки, в числе которых следует, в частности, назвать нитрогруппу, цианогруппу, галогензамещенную алкилкарбонильную группу, например галогензамещенную алкилкарбонильную группу с числом атомов углерода в алкильном остатке от одного до четырех и с числом атомов галогенов от одного до девяти, в частности трифторацетильную группу, а также алкилсульфонильную группу с числом атомов углерода от одного до четырех и галогензамещенную алкилсульфонильную группу с числом атомов углерода от одного до четырех и с числом атомов галогенов от одного до девяти, в частности трифторметилсульфонильную группу. Х означает группу -СН= или -N=. Z означает незамещенные или замещенные алкильные остатки, группы -OR, -SR, -NRR, причем R и заместители в предпочтительном случае имеют приведенное выше значение. Z может, кроме названного выше кольца, образовывать насыщенное или ненасыщенное гетероциклическое кольцо вместе с атомом, с которым Z соединен, и с остатком В качестве примеров гетероциклических колец следует назвать пирролидин, пиперидин, пиперазин, гексаметиленимин, морфолин и N-метилпиперазин. В качестве наиболее предпочтительных для использования в соответствии с изобретением соединений следует назвать соединения общих формул (II), (III) и (IV): где n означает 1 или 2, m означает 0, 1 или 2, “Заместитель” означает один из приведенных выше заместителей, в частности атом галогена, в наиболее предпочтительном случае атом хлора, A, Z, Х и Е имеют приведенные выше значения. В качестве конкретных примеров приводятся следующие далее соединения.
В качестве конкретных примеров далее приводятся наиболее предпочтительные соединения.
Наряду с никотиновыми агонистами из группы неоникотиноидов в соответствии с изобретением могут быть использованы и другие никотиновые агонисты. В качестве примеров здесь приводятся соединения из группы спинозинов, в частности спинозин А и D.
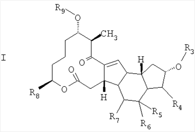
описанные в заявке на европейский патент №375316 А1, Boeck и др., и в заявке на международный патент №97/00265 А1, Deamicis и др., для ознакомления с ними следует обратиться к этим ссылкам. Как спинозины рассматриваются здесь также синтетические и полусинтетические производные натуральных спинозинов и соответственно производные, которые выделяют из генетически модифицированных штаммов, например разновидностей Saccharopolysporan, в соответствии с материалами заявок на международные патенты №02/77004 и №02/77005, для ознакомления с ними следует обратиться к этим ссылкам. В качестве примеров можно назвать соединения формул I и II, где R3 означает гликозид (R3=R1), R4 означает атом водорода, гидроксильную группу или алкоксигруппу (обычно с числом атомов углерода от одного до восьми, в предпочтительном случае от одного до четырех); R5 означает атом водорода, метильную группу; R6 и R7 означают атом водорода или же оба они преобразуются в двойную связь или в эпоксидную группу; R8 в формуле I означает транс-1-бутенильную, 1,3-бутадиенильную, бутильную, 3-гидроксибутенильную, пропильную, 1-пропенильную, 1,2-эпокси-1-бутильную, 3-оксо-1-бутенильную группу, группы СН3СН(ОСН3)СН=СН-, СН3СН=СНСН(СН2-CO2СН3)- или СН3СН=СНСН[СН2CON(СН3)2]-; R9 означает атом водорода или гликозидный остаток (R9=R2). Другие эффективные соединения, проявляющие активность в качестве агонистов никотиновых рецепторов, которые также могут с успехом комбинироваться с соединениями группы I, представлены, например, никотином или нитиазином
Неожиданно оказалось, что репеллентный эффект используемой в соответствии с изобретением комбинации активных веществ из группы никотиновых агонистов в сочетании с активными веществами из группы пиретроидов/пиретринов, а также вызываемая ею в течение короткого времени после контакта летальность значительно лучше, чем можно было ожидать от действия отдельных компонент. Вследствие этого благодаря применению этих средств можно снизить нормы расхода активного вещества и увеличить продолжительность эффекта. В соответствии с этим их применение дает экономические и экологические преимущества. Используемые в соответствии с изобретением комбинации прекрасно подходят для защиты от паразитов и для предотвращения переноса возбудителей заболеваний, переносчиками которых являются такие паразиты. Защита от паразитов может проводиться непосредственно на человеке или на животном или же в окружающей среде. Кроме того, названные комбинации из активных веществ могут найти применение и для защиты материалов, а именно для удерживания членистоногих на расстоянии от мест и материалов, где их присутствие нежелательно. Среди паразитов следует назвать из отряда Anoplura, например Haematopinus spp., Linognathus spp., Solenopotes spp., Pediculus spp., Pthirus spp.; из отряда Mallophaga, например Trimenopon spp., Menopon spp., Eomenacanthus spp., Menacanthus spp., Trichodectes spp., Felicola spp., Damalinea spp., Bovicola spp; из отряда Diptera, например Aedes spp., Culex spp., Simulium spp., Phlebotomus spp., Lutzomyia spp., Chrysops spp., Tabanus spp., Musca spp., Hydrotaea spp., Muscina spp., Haematobosca spp., Haematobia spp., Stomoxys spp., Fannia spp., Glossina spp., Lucilia spp., Calliphora spp., Auchmeromyia spp., Cordylobia spp., Cochliomyia spp., Chrysomyia spp., Sarcophaga spp., Wohlfartia spp., Gasterophilus spp., Oesteromyia spp., Oedemagena spp., Hypoderma spp., Oestrus spp., Rhinoestrus spp., Melophagus spp., Hippobosca spp.; из отряда Siphonaptera, например Ctenocephalides spp., Echidnophaga spp., Ceratophyllus spp., Pulex spp.; из отряда Metastigmata, например Hyalomma spp., Rhipicephalus spp., Boophilus spp., Amblyomma spp., Haemaphysalis spp., Dermacentor spp., Ixodes spp., Argas spp., Ornithodorus spp., Otobius spp.; из отряда Mesostigmata, например Dermanyssus spp., Ornithonyssus spp., Pneumonyssus spp.; из отряда Prostigmata, например Cheyletiella spp., Psorergates spp., Myobia spp., Demodex spp., Neotrombicula spp.; из отряда Astigmata, например Acarus spp., Myocoptes spp., Psoroptes spp., Chorioptes spp., Otodectes spp., Sarcoptes spp., Notoedres spp., Knemidocoptes spp., Neoknemidocoptes spp., Cytodites spp., Laminosioptes spp. Соответствующие изобретению средства используются для отпугивания членистоногих, в предпочтительном случае клещей, блох, комаров и мух, от животных, в частности от теплокровных животных. Не исключено их использование и на людях. Животные представлены, например, племенными или домашними животными; такими млекопитающими, как крупный рогатый скот, лошади, овцы, свиньи, козы, верблюды, водяные буйволы, ослы, кролики, лани, северные олени, такие пушные звери, как норки, шиншилла, енот, такие птицы, как, например, куры, гуси, индейки, утки и страусы. Кроме того, это могут быть лабораторные или подопытные животные, например мыши, крысы, морские свинки, золотые хомячки, собаки и кошки. Особое предпочтение отдается использованию на декоративных животных, например на собаках и кошках. Поскольку обработанные животные, как правило, оставляют определенное количество использованного средства в окружающей среде, например, в результате трения или с отходами жизнедеятельности, действие соответствующего изобретению средства может проявляться не только на самом животном, но и в определенной мере на его окружении. Само собой разумеется, что используемые в соответствии с изобретением средства наряду с вышеназванными активными веществами могут содержать и дополнительные подходящие активные вещества. В качестве примеров можно назвать активные вещества, относящиеся к ингибиторам развития, и синергисты, например, пирипроксифен (2-[1-метил-2-(4-феноксифенокси)-этокси]пиридин, CAS №95737-68-1), метопрен ((Е,Е)-1-метилэтил-11-метокси-3,7,11-триметил-2,4-додекадиеноат, CAS №40596-69-8) и трифлумурон (2-хлор-N-[[[4-(трифторметокси)фенил]амино]карбонил]бензамид, CAS №64628-44-0). Не исключается также прибавление других веществ с репеллентной активностью, например, таких, как DEET (ДЭТА, диэтилтолуамид), Bayrepel® (название по CAS: 1-пиперидинкарбоновая кислота, 2-(2-гидроксиэтил)-, 1-метилпропиловый эфир), 2-(октилтио)этанол или этиловый эфир 3-(N-ацетил-N-бутиламино)пропионовой кислоты. Средства применяют на животных во всех случаях накожно непосредственно или в виде подходящей препаративной формы. Поскольку механизм репеллентного действия пиретроидов/пиретринов осуществляется через возможность контакта с активным веществом, рекомендуется распределять активные вещества на всю защищаемую поверхность, например на все части тела обрабатываемого животного. Проникновение активных веществ в кожу для репеллентного действия нежелательно, поскольку внедрившиеся в кожу вещества не могут больше оказывать репеллентный эффект. Накожное применение осуществляется, например, путем опрыскивания (с помощью пульверизатора) или поливанием (pouron, spoton). Далее перечисляются соответствующие препаративные формы: растворы или концентраты для нанесения после разбавления, используемые накожно или в углублениях на теле, препаративные формы для поливания, гели; эмульсии и суспензии, полутвердые препаративные формы; препаративные формы, в которых активное вещество введено в основу крема или в основу эмульсии типа “масло в воде” или “вода в масле”; такие твердые препаративные формы, как дусты, премиксы или концентраты, грануляты, частицы, аэрозоли и содержащие активные вещества формованные тела. В качестве растворителей могут быть использованы такие физиологически приемлемые растворители, как вода, такие спирты, как этанол, бутанол, бензиловый спирт, глицерин, пропиленгликоль, полиэтиленгликоли, N-метилпирролидон, 2-пирролидон и их смеси. Активные вещества могут быть также растворены в физиологически приемлемых растительных или синтетических маслах. К солюбилизаторам относятся растворители, которые повышают растворимость активного вещества в основном растворителе или препятствуют его осаждению. Примерами тому служат поливинилпирролидон, поливиниловый спирт, полиоксиэтилированное касторовое масло, полиоксиэтилированные сложные эфиры сорбитана. К консервирующим средствам относятся бензиловый спирт, трихлорбутанол, эфиры п-гидроксибензойной кислоты, н-бутанол. Растворы можно наносить непосредственно. Концентраты используют после предварительного разбавления до указанной для применения концентрации. Растворы можно наносить на кожу тампонами, с помощью кисти, их можно втирать, набрызгивать или наносить пульверизатором. Определенные преимущества могут быть получены за счет прибавления загустителей при получении. Загустителями являются такие неорганические загустители, как бентонит, коллоидная кремниевая кислота, моностеарат алюминия, такие органические загустители, как производные целлюлозы, поливиниловые спирты и их сополимеры, акрилаты и метакрилаты. Гели наносят или намазывают на кожу или же их наносят в углубления тела. Гели получают из растворов, получение которых проводят так, как это описано для инъекционных растворов, добавляя к ним загуститель в таком количестве, чтобы образовывалась прозрачная масса с консистенцией мази. В качестве загустителей используют приведенные выше загустители. Препаративные формы для нанесения в жидком виде наливают или наносят в виде капель на ограниченные участки кожи, при этом активное вещество проникает через кожу и оказывает системное действие. Препаративные формы для нанесения в жидком виде получают, растворяя, суспендируя или эмульгируя активное вещество в подходящем растворителе или в смеси растворителей, которые хорошо переносятся кожей. В отдельных случаях прибавляют другие вспомогательные вещества, например красители, вещества, ускоряющие ресорбцию, антиоксиданты, светозащитные средства, средства, улучшающие адгезию. В качестве растворителей могут выступать вода, алканолы, гликоли, полиэтиленгликоли, полипропиленгликоли, глицерин, такие ароматические спирты, как бензиловый спирт, фенилэтиловый спирт, феноксиэтиловый спирт, такие сложные эфиры, как эфиры уксусной кислоты, бутилацетат, бензилбензоат, такие простые эфиры, как алкиловые эфиры алкиленгликолей, как монометиловый эфир дипропиленгликоля, монобутиловый эфир диэтиленгликоля, такие кетоны, как ацетон, метилэтилкетон, такие циклические карбонаты, как пропиленкарбонат, этиленкарбонат, а также ароматические и/или алифатические углеводороды, растительные или синтетические масла, диметилформамид, диметилацетамид, такие н-алкилпирролидоны, как н-метилпирролидон, н-бутилпирролидон или н-октилпирролидон, N-метилпирролидон, 2-пирролидон, 2,2-диметил-4-оксиметилен-1,3-диоксолан и глицеринформаль. Красители представлены всеми допущенными к применению на животных красителями, которые могут быть растворены или суспендированы. Средствами, улучшающими ресорбцию, являются, например, диметилсульфоксид, такие улучшающие растекание масла, как изопропилмиристат, дипропиленгликольпеларгонат, силиконовые масла или соответственно их сополимеризаты с простыми полиэфирами, а также эфиры жирных кислот, триглицериды, жирные спирты. Антиоксидантами являются такие сульфиты или метабисульфиты, как метабисульфит калия, а также аскорбиновая кислота, бутилгидрокситолуол, бутилгидроксианизол, токоферол. Светозащитным средством является, например новантизоловая кислота. Средствами, улучшающими адгезию, являются, например производные целлюлозы, производные крахмала, полиакрилаты, такие натуральные полимеры, как альгинаты, желатина. Эмульсии относятся либо к типу “вода в масле”, либо к типу “масло в воде”. Их получают растворением активного вещества в гидрофобной или в гидрофильной фазе и гомогенизацией с растворителем другой фазы с помощью соответствующих эмульгаторов и с возможным добавлением других вспомогательных веществ, например красителей, веществ, улучшающих ресорбцию, консервантов, антиоксидантов, светозащитных средств, веществ, повышающих вязкость. В роли гидрофобной фазы (масла) можно назвать: парафиновые масла, силиконовые масла, такие натуральные растительные масла, как кунжутное масло, миндальное масло, касторовое масло, такие синтетические триглицериды, как биглицерид каприловой/каприновой кислоты, смесь триглицеридов с жирными кислотами из растительных масел с длиной цепи от восьми до двенадцати атомов углерода или с другими специально подобранными натуральными жирными кислотами, смеси неполных глицеридов насыщенных и ненасыщенных жирных кислот, которые могут также содержать гидроксильные группы, моно- и диглицериды жирных кислот состава С8/С10; такие эфиры жирных кислот, как этилстеарат, ди-н-бутириладипат, гексиловый эфир лауриновой кислоты, пеларгонат дипропиленгликоля, сложные эфиры жирной кислоты с разветвленной цепью средней длины и насыщенных жирных спиртов с цепью из шестнадцати-восемнадцати атомов углерода, изопропилмиристат, изопропилпальмитат, эфиры каприловой/каприновой кислоты и насыщенных жирных спиртов с цепью из двенадцати-восемнадцати атомов углерода, изопропилстеарат, олеиловый эфир олеиновой кислоты, дециловый эфир олеиновой кислоты, этилолеат, этиловый эфир молочной кислоты, такие воскообразные эфиры жирных кислот, как искусственный жир сальной железы утки, дибутилфталат, диизопропиловый эфир адипиновой кислоты, подобные ему смеси сложных эфиров и другие; такие жирные спирты, как изотридециловый спирт, 2-октилдодеканол, цетилстеариловый спирт, олеиловый спирт; такие жирные кислоты, как, например, олеиновая кислота и смеси с ее участием. В роли гидрофильной фазы можно назвать: воду, такие спирты, как, например, пропиленгликоль, глицерин, сорбитол и их смеси. В роли эмульгаторов можно назвать: неионогенные поверхностно-активные вещества, например полиоксиэтилированное касторовое масло, полиоксиэтилированный моноолеат сорбитана, моностеарат сорбитана, моностеарат глицерина, полиоксиэтилстеарат, полигликолевые эфиры алкилфенолов; такие амфолитные поверхностно-активные вещества, как динатриевая соль N-лаурил- такие анионактивные поверхностно-активные вещества, как лаурилсульфат натрия, сульфаты эфирных производных жирных спиртов, моноэтаноламинная соль эфиров ортофосфорной кислоты с моно/диалкилполигликолевыми эфирами; такие катионактивные поверхностно-активные вещества, как хлорид цетилтриметиламмония. В числе других вспомогательных веществ можно назвать: такие повышающие вязкость и стабилизирующие эмульсии вещества, как карбоксиметилцеллюлоза, метилцеллюлоза и другие производные целлюлозы и крахмала, полиакрилаты, альгинаты, желатину, гуммиарабик, поливинилпирролидон, поливиниловый спирт, сополимеры метилвинилового эфира и ангидрида малеиновой кислоты, полиэтиленгликоли, воски, коллоидную кремниевую кислоту или смеси перечисленных веществ. Суспензии получают диспергированием активного вещества в жидком носителе с возможным добавлением других вспомогательных веществ, например смачивающих средств, красителей, веществ, улучшающих ресорбцию, консервантов, антиоксидантов, светозащитных средств. В роли жидких носителей могут выступать все гомогенные растворители и смеси растворителей. В роли смачивающих средств (диспергирующих средств) могут выступать все перечисленные выше поверхностно-активные вещества. Другие вспомогательные вещества были представлены выше. Полутвердые препаративные формы отличаются от представленных выше суспензий и эмульсий только более высокой вязкостью. Для получения твердых препаративных форм смешивают активное вещество с соответствующими носителями с возможным добавлением вспомогательных веществ и придают им определенную форму. В роли носителей могут выступать все физиологически приемлемые твердые инертные вещества. Таковыми являются неорганические и органические вещества. Неорганические вещества представлены, например, поваренной солью, такими карбонатами, как карбонат кальция, бикарбонаты, оксидом алюминия, оксидом титана, кремниевыми кислотами, глинами, осажденным или коллоидным диоксидом кремния, фосфатами. Органические вещества представлены, например, сахаром, целлюлозой, такими пищевыми и кормовыми продуктами, как сухое молоко, кормовая мука, мука из зерновых и шрот зерновых, крахмалы. Вспомогательными веществами являются консерванты, антиоксиданты, красители, которые уже были представлены выше. Другими подходящими вспомогательными веществами являются смазывающие средства и средства для снижения адгезии, например стеарат магния, стеариновая кислота, тальк, бентониты, такие способствующие дезинтеграции вещества, как крахмал или поливинилпирролидон с поперечными сшивками между молекулами, такие связывающие средства, как, например, крахмал, желатина или линейный поливинилпирролидон, а также такое связывающее в сухом состоянии средство, как микрокристаллическая целлюлоза. Активные вещества могут также входить в состав препаративных форм в смеси с синергистами или с другими активными веществами, которые действуют на патогенных эндопаразитов. Лучше всего подходят, в частности для содержащих перметрин средств, препаративные формы, описанные в заявке на международный патент №02/087338. В их состав входят: N-метилпирролидон в количестве от 27,5 до 62,5 мас.%, в предпочтительном случае от 35 до 50 мас.%, в наиболее предпочтительном случае от 40 до 45 мас.%; антиоксиданты в количестве от 0 до 0,5 мас.%, в предпочтительном случае от 0,05 до 0,25 мас.%, в наиболее предпочтительном случае от 0,05 до 0,15 мас.%; речь может идти о всех обычных антиоксидантах, предпочтение отдается таким фенольным антиоксидантам, как, например, бутилгидрокситолуол, бутилгидроксианизол, токоферол; органическая кислота в количестве от 0 до 0,5 мас.%, в предпочтительном случае от 0,05 до 0,25 мас.%, в наиболее предпочтительном случае от 0,05 до 0,15 мас.%; могут быть использованы все фармацевтически приемлемые органические кислоты, в частности такие карбоновые кислоты, как, например, лимонная кислота, винная кислота, молочная кислота, янтарная кислота и яблочная кислота; особое предпочтение отдается органическим кислотам лимонной и яблочной кислоте, наиболее предпочтительна лимонная кислота; ее количество может, в частности, изменяться в широких пределах от 0,05 до 0,25, при этом пределы от 0,075 до 0,15% и в этом случае более предпочтительны; дополнительные растворители от 2,5 до 10 мас.%, в предпочтительном случае от 2,5 до 7,5 мас.%, в наиболее предпочтительном случае от 3,5 до 6,0 мас.%. В качестве дополнительных растворителей могут рассматриваться органические растворители с температурой кипения более 80°С и с температурой вспышки более 75°С. Предпочтение отдается дополнительным растворителям, способствующим растеканию. В этой связи следует указать на высококипящие алифатические и ароматические спирты, алифатические простые полиэфиры, алифатические и/или ароматические сложные эфиры, циклические и/или ациклические карбонаты. В предпочтительном случае в качестве дополнительных растворителей используют алифатические ациклические или циклические простые эфиры или соответственно простые полиэфиры, а также эфиры жирных кислот, в частности триглицериды. В качестве примеров можно назвать простые эфиры или соответственно простые полиэфиры, например, из ряда: моноэтиловый эфир диэтиленгликоля, монометиловый эфир дипропиленгликоля, тетрагидрофурфуриловый спирт и тетрагидрофурфурилэтоксилат, причем особое предпочтение отдается двум последним; эфиры жирных кислот, а также триглицериды, например изопропилмиристат, миглиол 810, миглиол 812, миглиол 818, миглиол 829, миглиол 840 и миглиол 8810 (определение миглиолам дано, например, у Н.Р.Fiedler, Lexikon der Hilfsstoffe für Pharmazie, Kosmetik und angrenzende Gebiete, страницы 1008-1009, Т.2, Edito Cantor Verlag, Аулендорф (1996)). Модифицированные названными дополнительными растворителями средства отличаются очень хорошей переносимостью на коже и при попадании в глаза, выдающейся биологической эффективностью, а также хорошими показателями стабильности на холоду в обычных тюбиках для одноразового использования. Наряду с приведенными выше составляющими частями соответствующие изобретению средства могут содержать другие обычные фармацевтически приемлемые вспомогательные вещества. В качестве таковых следует назвать, например, средства для улучшения растекаемости и поверхностно-активные вещества. К средствам, улучшающим растекаемость, относятся, например, такие растекающиеся масла, как ди-2-этилгексиловый эфир адипиновой кислоты, изопропилмиристат, дипропиленгликольпеларгонат, циклические и ациклические силиконовые масла, а также диметиконы и, кроме того, их сополимеризаты и терполимеризаты с этиленоксидом, пропиленоксидом и формалином, эфиры жирных кислот, триглицериды, жирные спирты. Из числа поверхностно-активных веществ можно назвать: неионогенные поверхностно-активные вещества, например полиоксиэтилированное касторовое масло, полиоксиэтилированный моноолеат сорбитана, моностеарат сорбитана, моностеарат глицерина, полиоксиэтилстеарат, полигликолевые эфиры алкилфенолов; такие амфолитные поверхностно-активные вещества, как динатриевая соль N-лаурил- такие анионактивные поверхностно-активные вещества, как лаурилсульфат натрия, сульфаты эфирных производных жирных спиртов, моноэтаноламинная соль эфиров ортофосфорной кислоты с моно/диалкилполигликолевыми эфирами; такие катионактивные поверхностно-активные вещества, как хлорид цетилтриметиламмония. Используемые в соответствии с изобретением средства могут быть получены обычными способами, например, смешением активных веществ при перемешивании с другими составляющими частями с образованием раствора. Этот раствор, если это необходимо, может быть профильтрован. Для заполнения могут быть использованы, например, пластиковые тюбики. В предпочтительном случае наносимые объемы для описанных в заявке на международный патент №02/087338 препаративных форм составляют от 0,075 до 0,25 мл/кг (массы тела обрабатываемого животного), более предпочтительны объемы от 0,1 до 0,15 мл/кг (массы тела обрабатываемого животного). Они прекрасно подходят для заполнения в выдерживающие длительное хранение емкости и для выведения из них, это могут быть, например, пластиковые полипропиленовые тюбики для одноразового использования с толщиной стенок 300-500 мкм и с объемом заполнения от 1,0 до 4,0 мл. Средства также прекрасно переносятся кожей, у них низкая токсичность и хорошие показатели по экологической безопасности, поскольку они подвергаются биологической деградации. Примеры Пример 1 Гомогенный раствор для опрыскивания, состоящий из: 45 г перметрина с соотношением изомеров 40% цис и 60% транс, 10 г имидаклоприда (1-[(6-хлор-3-пиридинил)метил]-N-нитро-2-имидазолидинимина) производства Bayer AG, 44,8 г N-метилпирролидона, 0,1 г лимонной кислоты, 0,1 г бутилгидрокситолуола. Пример 2 Гомогенный раствор для опрыскивания, состоящий из: 45 г перметрина с соотношением изомеров 40% цис и 60% транс, 10 г имидаклоприда, 44,8 г N-метилпирролидона, 4,0 г воды 0,1 г лимонной кислоты, 0,1 г бутилгидрокситолуола. Пример 3 Гомогенный раствор для опрыскивания, состоящий из: 45 г перметрина с соотношением изомеров 40% цис и 60% транс, 10 г Ti435, хлотианидина производства Takeda AG, 44,8 г N-метилпирролидона, 0,1 г лимонной кислоты, 0,1 г бутилгидрокситолуола. Пример 4 Гомогенный раствор для опрыскивания, состоящий из: 45 г перметрина с соотношением изомеров 40% цис и 60% транс, 10 г диаклодена (тиаметоксам) производства Syngenta AG, 44,8 г N-метилпирролидона, 0,1 г лимонной кислоты, 0,1 г бутилгидрокситолуола. Пример 5 Гомогенный раствор для опрыскивания, состоящий из: 45 г перметрина с соотношением изомеров 40% цис и 60% транс, 10 г спиносада (8,5 г спинозина А, 1,5 г спинозина D) производства Dow Agrosciences, 44,8 г N-метилпирролидона, 0,1 г лимонной кислоты, 0,1 г бутилгидрокситолуола. Пример 6 Гомогенный раствор для опрыскивания, состоящий из: 45 г перметрина с соотношением изомеров 40% цис и 60% транс, 20 г нитиазина производства Shell AG, 34,8 г N-метилпирролидона, 0,1 г лимонной кислоты, 0,1 г бутилгидрокситолуола. Пример 7 Гомогенный раствор для опрыскивания, состоящий из: 45 г перметрина с соотношением изомеров 40% цис и 60% транс, 10 г Ti435, хлотианидина производства Takeda AG, 39,8 г N-метилпирролидона, 0,1 г лимонной кислоты, 0,1 г бутилгидрокситолуола, 5,0 г тетрагидрофурфурилового спирта. Пример 8 Гомогенный раствор для опрыскивания, состоящий из: 45 г перметрина с соотношением изомеров 40% цис и 60% транс, 10 г диаклодена (тиаметоксам) производства Syngenta AG, 39,8 г N-метилпирролидона, 0,1 г лимонной кислоты, 0,1 г бутилгидрокситолуола, 5,0 г тетрагидрофурфурилэтоксилата. Пример 9 Гомогенный раствор для опрыскивания, состоящий из: 45 г перметрина с соотношением изомеров 40% цис и 60% транс, 10 г спиносада (8,5 г спинозина А, 1,5 г спинозина D) производства Dow Agrosciences, 39,8 г N-метилпирролидона, 0,1 г лимонной кислоты, 0,1 г бутилгидрокситолуола, 5,0 г тетрагидрофурфурилэтоксилата. Пример 10 Гомогенный раствор для опрыскивания, состоящий из: 45 г перметрина с соотношением изомеров 40% цис и 60% транс, 20 г нитиазина производства Shell AG, 29,8 г N-метилпирролидона, 0,1 г лимонной кислоты, 0,1 г бутилгидрокситолуола, 5,0 г тетрагидрофурфурилэтоксилата. Пример 11 Гомогенный раствор для опрыскивания, состоящий из: 10 г 10 г имидаклоприда, 79,8 г N-метилпирролидона, 0,1 г лимонной кислоты, 0,1 г бутилгидрокситолуола. Пример 12 Гомогенный раствор для опрыскивания, состоящий из: 10 г 10 г имидаклоприда, 75,8 г N-метилпирролидона, 4,0 г воды, 0,1 г лимонной кислоты, 0,1 г бутилгидрокситолуола. Пример 13 Гомогенный раствор для опрыскивания, состоящий из: 10 г 10 г Ti435, хлотианидина производства Takeda AG, 79,8 г N-метилпирролидона, 0,1 г лимонной кислоты, 0,1 г бутилгидрокситолуола. Пример 14 Гомогенный раствор для опрыскивания, состоящий из: 10 г 10 г диаклодена (тиаметоксам) производства Syngenta AG, 79,8 г N-метилпирролидона, 0,1 г лимонной кислоты, 0,1 г бутилгидрокситолуола. Пример 15 Гомогенный раствор для опрыскивания, состоящий из: 10 г 10 г спиносада (8,5 г спинозина А, 1,5 г спинозина D) производства Dow Agrosciences, 79,8 г N-метилпирролидона, 0,1 г лимонной кислоты, 0,1 г бутилгидрокситолуола. Пример 16 Гомогенный раствор для опрыскивания, состоящий из: 10 г 20 г нитиазина производства Shell AG, 69,8 г N-метилпирролидона, 0,1 г лимонной кислоты, 0,1 г бутилгидрокситолуола. Пример 17 Гомогенный раствор для опрыскивания, состоящий из: 10 г 10 г Ti435, хлотианидина производства Takeda AG, 74,8 г N-метилпирролидона, 0,1 г лимонной кислоты, 0,1 г бутилгидрокситолуола, 5,0 г тетрагидрофурфурилового спирта. Пример 18 Гомогенный раствор для опрыскивания, состоящий из: 10 г 10 г диаклодена (тиаметоксам) производства Syngenta AG, 74,8 г N-метилпирролидона, 0,1 г лимонной кислоты, 0,1 г бутилгидрокситолуола, 5,0 г тетрагидрофурфурилэтоксилата. Пример 19 Гомогенный раствор для опрыскивания, состоящий из: 10 г 10 г спиносада (8,5 г спинозина А, 1,5 г спинозина D) производства Dow Agrosciences, 74,8 г N-метилпирролидона, 0,1 г лимонной кислоты, 0,1 г бутилгидрокситолуола, 5,0 г тетрагидрофурфурилэтоксилата. Пример 20 Гомогенный раствор для опрыскивания, состоящий из: 10 г 20 г нитиазина производства Shell AG, 64,8 г N-метилпирролидона, 0,1 г лимонной кислоты, 0,1 г бутилгидрокситолуола, 5,0 г тетрагидрофурфурилэтоксилата. Пример 21 Гомогенный раствор для опрыскивания, состоящий из: 45 г этофенпрокса, 10 г имидаклоприда, 44,8 г N-метилпирролидона, 0,1 г лимонной кислоты, 0,1 г бутилгидрокситолуола. Пример 22 Гомогенный раствор для опрыскивания, состоящий из: 45 г этофенпрокса, 10 г имидаклоприда, 40,8 г N-метилпирролидона, 4,0 г воды, 0,1 г лимонной кислоты, 0,1 г бутилгидрокситолуола. Пример 23 Гомогенный раствор для опрыскивания, состоящий из: 45 г этофенпрокса, 10 г Ti435, хлотианидина производства Takeda AG, 44,8 г N-метилпирролидона, 0,1 г лимонной кислоты, 0,1 г бутилгидрокситолуола. Пример 24 Гомогенный раствор для опрыскивания, состоящий из: 45 г этофенпрокса, 10 г диаклодена (тиаметоксам) производства Syngenta AG, 44,8 г N-метилпирролидона, 0,1 г лимонной кислоты, 0,1 г бутилгидрокситолуола. Пример 25 Гомогенный раствор для опрыскивания, состоящий из: 45 г этофенпрокса, 10 г спиносада (8,5 г спинозина А, 1,5 г спинозина D) производства Dow Agrosciences, 44,8 г N-метилпирролидона, 0,1 г лимонной кислоты, 0,1 г бутилгидрокситолуола. Пример 26 Гомогенный раствор для опрыскивания, состоящий из: 45 г этофенпрокса, 20 г нитиазина производства Shell AG, 34,8 г N-метилпирролидона, 0,1 г лимонной кислоты, 0,1 г бутилгидрокситолуола. Пример 27 Гомогенный раствор для опрыскивания, состоящий из: 45 г этофенпрокса, 10 г Ti435, хлотианидина производства Takeda AG, 39,8 г N-метилпирролидона, 0,1 г лимонной кислоты, 0,1 г бутилгидрокситолуола, 5,0 г тетрагидрофурфурилового спирта. Пример 28 Гомогенный раствор для опрыскивания, состоящий из: 45 г этофенпрокса, 10 г диакподена (тиаметоксам) производства Syngenta AG, 39,8 г N-метилпирролидона, 0,1 г лимонной кислоты, 0,1 г бутилгидрокситолуола, 5,0 г тетрагидрофурфурилэтоксилата. Пример 29 Гомогенный раствор для опрыскивания, состоящий из: 45 г этофенпрокса, 10 г спиносада (8,5 г спинозина А, 1,5 г спинозина D) производства Dow Agrosciences, 39,8 г N-метилпирролидона, 0,1 г лимонной кислоты, 0,1 г бутилгидрокситолуола, 5,0 г тетрагидрофурфурилэтоксилата. Пример 30 Гомогенный раствор для опрыскивания, состоящий из: 45 г этофенпрокса, 20 г нитиазина производства Shell AG, 29,8 г N-метилпирролидона, 0,1 г лимонной кислоты, 0,1 г бутилгидрокситолуола, 5,0 г тетрагидрофурфурилэтоксилата. Пример 31 Гомогенный раствор для опрыскивания, состоящий из: 45 г экстракта пиретрума, 10 г имидаклоприда, 44,8 г N-метилпирролидона, 0,1 г лимонной кислоты, 0,1 г бутилгидрокситолуола. Пример 32 Гомогенный раствор для опрыскивания, состоящий из: 45 г экстракта пиретрума, 10 г имидаклоприда, 40,8 г N-метилпирролидона, 4,0 г воды, 0,1 г лимонной кислоты, 0,1 г бутилгидрокситолуола. Пример 33 Гомогенный раствор для опрыскивания, состоящий из: 45 г экстракта пиретрума, 10 г Ti435, хлотианидина производства Takeda AG, 44,8 г N-метилпирролидона, 0,1 г лимонной кислоты, 0,1 г бутилгидрокситолуола. Пример 34 Гомогенный раствор для опрыскивания, состоящий из: 45 г экстракта пиретрума, 10 г диаклодена (тиаметоксам) производства Syngenta AG, 44,8 г N-метилпирролидона, 0,1 г лимонной кислоты, 0,1 г бутилгидрокситолуола. Пример 35 Гомогенный раствор для опрыскивания, состоящий из: 45 г экстракта пиретрума, 10 г спиносада (8,5 г спинозина А, 1,5 г спинозина D) производства Dow Agrosciences, 44,8 г N-метилпирролидона, 0,1 г лимонной кислоты, 0,1 г бутилгидрокситолуола. Пример 36 Гомогенный раствор для опрыскивания, состоящий из: 45 г экстракта пиретрума, 20 г нитиазина производства Shell AG, 34,8 г N-метилпирролидона, 0,1 г лимонной кислоты, 0,1 г бутилгидрокситолуола. Пример 37 Гомогенный раствор для опрыскивания, состоящий из: 45 г экстракта пиретрума, 10 г Ti435, хлотианидина производства Takeda AG, 39,8 г N-метилпирролидона, 0,1 г лимонной кислоты, 0,1 г бутилгидрокситолуола, 5,0 г тетрагидрофурфурилового спирта. Пример 38 Гомогенный раствор для опрыскивания, состоящий из: 45 г экстракта пиретрума, 10 г диаклодена (тиаметоксам) производства Syngenta AG, 39,8 г N-метилпирролидона, 0,1 г лимонной кислоты, 0,1 г бутилгидрокситолуола, 5,0 г тетрагидрофурфурилэтоксилата. Пример 39 Гомогенный раствор для опрыскивания, состоящий из: 45 г экстракта пиретрума, 10 г спиносада (8,5 г спинозина А, 1,5 г спинозина D) производства Dow Agrosciences, 39,8 г N-метилпирролидона, 0,1 г лимонной кислоты, 0,1 г бутилгидрокситолуола, 5,0 г тетрагидрофурфурилэтоксилата. Пример 40 Гомогенный раствор для опрыскивания, состоящий из: 45 г экстракта пиретрума, 20 г нитиазина производства Shell AG, 29,8 г N-метилпирролидона, 0,1 г лимонной кислоты, 0,1 г бутилгидрокситолуола, 5,0 г тетрагидрофурфурилэтоксилата. А. Репеллентное действие на клещах в биотестировании с движущимся объектом. Сравнение с уровнем техники Методика Биотестирование на движущемся объекте по методике Dautel и др. (1999) Краткое описание: Отдельные клещи приближаются к подогретому медленно вращающемуся вертикальному барабану по горизонтально расположенной стеклянной палочке. Клещей привлекает исходящее от барабана тепло, и они перемещаются на прикрепленную к вращающемуся барабану метку. Если на эту прикрепленную метку нанести репеллент, то репеллентный эффект может выражаться или i) в снижении числа устремляющихся к барабану клещей, или ii) в снижении числа клещей, переместившихся на прикрепленную метку, или же iii) в увеличении числа клещей, которые раньше времени упали с прикрепленной метки. В опыте сравнения используют барабан с необработанной контрольной меткой. Измерению подлежат как контактные репелленты, так и репелленты, действующие на расстоянии. Условия эксперимента Каждое определение проводят на 30 клещах. Все клещи участвуют в эксперименте по одному, один за другим, в одной и той же аппаратуре. Для каждой серии опытов проводят контрольное тестирование с чистым растворителем без репеллента для того, чтобы исследовать базовую активность клещей. Предельный показатель активности для проведения опыта составлял не менее 70% переместившихся на барабан клещей. Для каждого исследуемого продукта используют собственный барабан. После каждой серии опытов все использовавшиеся приборы тщательно очищают. Для эксперимента на клещах Ixodes ricinus и Rhipicephalus sanguineus устанавливают приведенные далее условия. I. ricinus: Используют стандартный барабан и прикрепляемую метку (Dautel и др. (1999)). Прикрепляемую метку устанавливают на расстоянии 1-3 мм от поверхности барабана. Расстояние между стеклянной палочкой диаметром 2 мм и прикрепляемой меткой составляет от 1 до максимум 1,5 мм. Время вращения барабана лежит в пределах от 3,9 до 4,1 секунд на оборот, что соответствует 7,66-8,05 см/с по отношению к клещу. Температура поверхности прикрепляемой метки лежит в пределах от 34,6 до 35,5°С. Температура помещения и влажность воздуха лежат в пределах от 19,1 до 22,3°С и соответственно от 43,4 до 78,1% относительной влажности. R. sanguineus Взрослые R. sanguineus бегают скорее, чем нимфы I. ricinus. Поэтому прикрепляемая к барабану метка должна быть увеличена настолько, чтобы можно было гарантировать время контакта не менее 10 секунд даже для быстро бегающих экземпляров. Поэтому для этого случая в роли прикрепленной метки выступает весь барабан. В связи с тем, что клещи плохо держатся на фильтровальной бумаге, барабан был обтянут тканью Молтон. Расстояние между тканью и стеклянной палочкой (диаметром 4 мм) составляло 1-3 мм, вследствие чего клещи в любое время были в состоянии переместиться со стеклянной палочки на барабан. Время вращения барабана лежит в пределах от 5,6 до 6,0 секунд на оборот, что соответствует 5,23-5,61 см/с по отношению к клещу. Температура поверхности прикрепляемой метки лежит в пределах от 35 до 36°С. Температура помещения и влажность воздуха лежат в пределах от 19,4 до 23,5°С и соответственно от 59,1 до 79,5% относительной влажности. Нанесение исследуемого вещества Во всех случаях в качестве растворителя и для разбавления используют ацетон. Нанесение проводят за 1-2 часа до начала эксперимента для того, чтобы оставалось достаточно времени для испарения растворителя. Активные вещества наносят на фильтровальную бумагу одноразовой пипеткой. Равномерное распределение по большой поверхности ткани Молтон достигают с помощью пульверизатора под давлением азота. Точное определение нанесенного объема в этом случае определяют повторным взвешиванием. Биотестирование на движущемся объекте В этом опыте используют только тех клещей, которые активно карабкаются в стеклянной пробирке к ее верхнему краю и быстро устремляются на кисточку из волос барсука (№0 или №1), которую используют для переноса клещей. Этих клещей сажают на стеклянную палочку головой в сторону барабана на расстоянии 1,5 см (I. ricinus) или 2,5-4 см (R. sanguineus) от конца стеклянной палочки. Фиксируемое время начинают отсчитывать, как только клещ пересекает маркировку на стеклянной палочке на расстоянии 1 см (I. ricinus) и соответственно 2 см (R. sanguineus). Клещи, которые падали с кисточки или со стеклянной палочки до пересечения маркировки, в эксперименте не учитывались. С помощью секундомера фиксировались следующие далее временные интервалы: – время от пересечения маркировки до достижения конца стеклянной палочки, – время от достижения конца стеклянной палочки до перехода на барабан, – время, в течение которого клещ остается на фильтре или на ткани Молтон до того, как упасть или переместиться с обработанной поверхности. Для каждого из этих временных интервалов предусматривают время не более 120 секунд. Через 2 минуты клеща снимают и оперируют со временем 120 секунд. Расчет общего репеллентного действия по отношению к контролю проводят по общему показателю для всех клещей, которые не перемещались в сторону барабана, которые не переходили на барабан и которые падали с прикрепленной метки. Считается, что репеллентное действие проявляется на всех этих клещах. Репеллентное действие оценивалось по уравнению: R=100-pt/pc×100, где R означает репеллентное действие, pt означает процентное соотношение для клещей, на которых не проявилось репеллентное действие, и рс означает процентное соотношение для клещей, на которых не проявилось репеллентное действие в контрольном опыте. Результаты определения репеллентной активности на клещах Rhipicephalus sanguineus в сравнении с уровнем техники (Exspot® производства Schering-Plough)
Препаративная форма по примеру 1 неожиданно показывает значительно более выраженное репеллентное действие, чем стандарт (Exspot® содержит перметрин в качестве единственного активного вещества). Клещи, которые переместились на барабан, в примере 1 отпадают значительно скорее, чем в случае стандарта. По сравнению со стандартом репеллентное действие в этом примере в среднем увеличивается в четыре раза.
Еще одним показателем улучшенного репеллентного действия является задержка в перемещении со стеклянной палочки на барабан. И в этом случае по примеру 1 клещи показывают время, которое в среднем в три раза превосходит показатель стандарта. При этом стандарт находится в пределах контроля.
В сравнении с соответствующим контрольным опытом соответствующая изобретению препаративная форма по примеру 1 показывает 100%-ный репеллентный эффект в широком интервале норм расхода при равномерном накожном распределении препаративной формы для наружного применения. Неожиданно оказалось, что известный торговый продукт в тех же самых условиях не может оказать репеллентное действие на всех клещей. Результаты опытов на определение репеллентной активности на клещах Ixodes ricinus в сравнении с уровнем техники (Exspot® производства Scherinq-Plough)
Даже на клещах Ixodes, на которых Exspot® не оказывает хорошего репеллентного действия, соответствующий изобретению пример неожиданно демонстрирует заметно улучшенный репеллентный эффект. В частности, при небольших нормах расхода, которые можно предполагать в начале обработки средством для наружного применения на расположенных дальше поверхностях тела и для окончания времени действия на всем животном, соответствующий изобретению пример проявляет репеллентную активность в том же объеме, что и при высоких нормах расхода, в то время как кривая репеллентной активности для уровня техники уже снизилась в шесть раз. Соответствующие изобретению препаративные формы при одинаковых нормах расхода превосходят тогда по важнейшим параметрам, относящимся к вероятности перемещения на барабан, к поверхности, времени пребывания на поверхности, а также к эффективности при низких нормах расхода, репеллентное действие уровня техники по отношению клещам. Б. Летальное действие на клещей в биотестировании на движущемся объекте Методика Определение конечной летальности после короткого контакта в биотесте на движущемся объекте Краткое описание. После экспозиции клещей переносят каждого отдельно в сосуды Эппендорфа с перфорированной крышкой и выдерживают их при относительной влажности 90% и при температуре 20°С. Через 24 часа и через 7 суток клещей исследуют с помощью бинокулярного микроскопа. Клещи, которые были способны к совершению координированных движений, считались жизнеспособными. Клещи, которые только слабо шевелили члениками в их основании или ротовым аппаратом или же были неспособны к передвижению, считались нежизнеспособными. Клещи, которые после стимулирования диоксидом углерода или сильным световым импульсом оставались неподвижными, считались погибшими. Эти исследования должны были показать наличие взаимосвязи между временем экспозиции (временем пребывания на обработанной поверхности барабана во время биотеста на движущемся объекте) и летальностью при различных концентрациях различных препаративных форм в сравнении с уровнем техники.
Как у клещей Ixodes, так и у клещей Rhipicephalus наблюдается высокий процент летальности после того, как они находились в контакте с поверхностью барабана. При этом требуемое для достижения такой высокой летальности среднее время контакта в случае соответствующих изобретению препаративных форм оказывается даже короче, чем в случае уровня техники. Таким образом, соответствующие изобретению препаративные формы оказывают дополнительное защитное действие благодаря тому, что подвергшиеся действию репеллента клещи даже в результате короткого времени контакта, которое заметно менее одной минуты, уже погибают, и вследствие этого другие животные-хозяева не могут быть поражены клещами, попавшими под действие репеллента.
Формула изобретения
1. Применение пиретроида или пиретрина в комбинации с никотиновым агонистом для отпугивания членистоногих, выбранных из группы клещей, блох, комаров и/или мух, от теплокровных животных. 2. Применение по п.1, в соответствии с которым пиретроид выбирают из группы I. пиретроиды типа I, II. пиретроиды типа II, III. пиретроиды без сложноэфирных групп, IV. натуральные пиретрины. 3. Применение по п.1, в соответствии с которым никотиновый агонист выбирают из группы V. неоникотиноиды, VI. нитиазин, VII. спинозины. 4. Способ отпугивания членистоногих, выбранных из группы клещей, блох, комаров и/или мух, от теплокровных животных, в соответствии с которым на теплокровное наружно наносят пиретроид или пиретрин в композиции с никотиновым агонистом. 5. Способ удерживания членистоногих, выбранных из группы клещей, блох, комаров и/или мух, на расстоянии от мест и материалов, на которых их присутствие нежелательно, в соответствии с которым на место или на материал, на расстоянии от которых должны удерживаться членистоногие, наносят пиретрин или пиретроид в комбинации с никотиновым агонистом.
Другие изменения, связанные с зарегистрированными изобретениями
Изменения:
Номер и год публикации бюллетеня: 9-2009
Извещение опубликовано: 27.02.2010 БИ: 06/2010
PC4A – Регистрация договора об уступке патента СССР или патента Российской Федерации на изобретение
Прежний патентообладатель:
(73) Патентообладатель:
Договор № РД0059810 зарегистрирован 01.02.2010
Извещение опубликовано: 10.03.2010 БИ: 07/2010
|
|||||||||||||||||||||||||||||||||||||||||||||||||||||||||||||||||||||||||||||||||||||||||||||||||||||||||||||||||||||||||||||||||||||||||||||||||||||||||||||||||||||||||||||||||||||||||||||||||||||||||||||||||||||||||||||||||||||||||||||||||||||||||||||||||||||||||||||||||||||||||||||||||||||||||||||||||||||||||||||||||||||||||||||||||||||||||||||||||||||||||||||||||||||||||||||||||||||||||||||||||||||||||||||||||


вместо X. Гетероциклическое кольцо может содержать еще один или два одинаковых или разных гетероатома и/или групп на основе гетероатомов. В качестве гетероатомов в предпочтительном случае следует назвать кислород, серу или азот, а в качестве групп на основе гетероатомов – N-алкильные группы, причем алкильная или N-алкильная группа в предпочтительном случае содержит от одного до четырех, в частности от одного до двух, атомов углерода. В качестве алкильной группы следует назвать метильную, этильную, н-пропильную и изопропильную группу, н-бутильную, изобутильную и трет-бутильную группу. Гетероциклическое кольцо содержит от пяти до семи, в предпочтительном случае пять или шесть членов в цикле.




















































-иминодипропионовой кислоты, или лецитин;
-циперметрина,