|
|
(21), (22) Заявка: 2007103927/12, 02.02.2007
(24) Дата начала отсчета срока действия патента:
02.02.2007
(43) Дата публикации заявки: 10.08.2008
(46) Опубликовано: 27.03.2009
(56) Список документов, цитированных в отчете о поиске:
Адрес для переписки:
109456, Москва, 1-й Вешняковский пр-д, 2, ГНУ ВИЭСХ, О.В. Голубевой
|
(72) Автор(ы):
Свентицкий Иван Иосифович (RU), Королев Владимир Александрович (RU), Алхазова Елена Олеговна (RU)
(73) Патентообладатель(и):
Российская Академия Сельскохозяйственных наук Государственное научное учреждение Всероссийский научно-исследовательский институт электрификации сельского хозяйства (ГНУ ВИЭСХ) (RU)
|
(54) СПОСОБ И УСТРОЙСТВО АВТОМАТИЧЕСКОГО УПРАВЛЕНИЯ ПРОДУКЦИОННЫМ ПРОЦЕССОМ РАСТЕНИЙ С УЧЕТОМ САМООРГАНИЗАЦИИ
(57) Реферат:
Изобретение относится к области сельского хозяйства, в частности к технологиям растениеводства. Из числа переменных в системе выбирают одну, наиболее быстро изменяющуюся и наиболее сильно влияющую на процессы переменную порядка – суммарную эксергию оптического излучения в отношении фотосинтеза растений. Затем выбирают один или несколько параметров управления, таких как температура, влажность воздуха, влажность почвы, концентрация минеральных элементов корневого питания. Измеряют значение суммарной эксергии оптического излучения в отношении фотосинтеза растений. По тестовой базе фактических состояний определяют какой из параметров управления находится в относительном минимуме, проводят воздействие на растение, увеличивая значение параметра на величину не более 5% фактического его значения. Оценивают изменение фактического состояния растений по значению переменной порядка, при существующем значении мощности эксергии в зоне растений. Если значение переменной порядка увеличилось, проводят воздействие, изменяя значение этого же параметра управления, увеличивая его на величину не более 5% начального его значения. Воздействие на растение выполняют до прекращения изменения переменной порядка. Если при первом воздействии на параметр управления значение переменной порядка снизилось, осуществляют новое воздействие, снизив значение параметра управления на величину не более 5% его начального значения, затем вновь по тестовой базе фактических состояний определяют какой из параметров управления находится в относительном минимуме и вышеуказанную последовательность операций повторяют в отношении другого параметра управления. Все измерения переменной порядка и измерения параметров управления проводятся с интервалами не более 3 часов. Устройство содержит датчик эксергии оптического излучения, блок вычисления расчетной величины мощности эксергии, компаратор, управляющий ключ, таймер, блок памяти, датчик температуры окружающей среды, датчик температуры почвы, датчик влажности почвы, управляющий логический коммутатор, четыре управляющих ключа. Группа изобретений позволяет увеличить продуктивность растений. 2 н.п. ф-лы, 1 ил., 2 табл.
Изобретение относится к области сельского хозяйства, в частности к технологиям растениеводства, и может быть использовано в отраслях как тепличного, так и полевого промышленного растениеводства.
Наиболее близким по технической сущности к предлагаемому являются способ и устройство контроля и управления процессом выращивания растений, содержащее датчик оптического излучения (эксэргии), блок вычисления расчетной величины эксэргии, компаратор, управляющий ключ. Устройство оценивает степень созревания растения и исходя из этого производится управление технологическим процессом [Способ контроля и управления процессом выращивания растений и устройство для его осуществления. Патент РФ RU 2282979 С1, 10.09.2006, Бюл. № 25].
Недостатками известных технических решений является невозможность полностью реализовать потенциальную продуктивность растений при существующих значениях поступающей к ним мощности эксэргии в конкретных условиях в зоне их выращивания, при этом затраты, связанные с большим расходом тепловой энергии при общем обогреве помещения с растениями, высоки, и невозможно определение физиологически и экономически целесообразных моментов времени воздействия на процесс выращивания конкретной партии растений, т.е. физиологически и экономически целесообразной последовательности управления технологическим процессом в растениеводстве.
Задачей изобретения является повышение экономической эффективности растениеводства за счет увеличения продуктивности растений при сокращении затрат энергии на выполнение технологического процесса.
В результате использования предлагаемого изобретения определяют потенциально возможную продуктивность растения в конкретных условия выращивания и осуществляют управление процессом выращивания растения, обеспечивающие достижение этой продуктивности.
Вышеуказанный технический результат достигается тем, что в способе автоматического управления продукционным процессом растений с учетом самоорганизации, включающем расчетное или приборное определение величины эксэргии параметра функционального состояния растения, в сложной многофакторной системе «растение-окружающая среда-среда факторов управлений» из большого числа переменных выбирают одну, наиболее быстро изменяющуюся и наиболее сильно влияющую на процессы в системе переменную порядка – суммарную эксэргию оптического излучения в отношении фотосинтеза растений, затем выбирают один или несколько параметров управления, с помощью которых возможно осуществить воздействия на продукционные процессы растений – температуру, влажность воздуха, влажность почвы, концентрацию минеральных элементов корневого питания), при этом измеряют значение суммарной эксэргии оптического излучения в отношении фотосинтеза растений, причем по тестовой базе фактических состояний определяют какой из параметров управления находится в относительном минимуме, т.е. изменение какого из параметров управления приведет к наибольшему переменной порядка, затем производят воздействие на растение, изменяя значение параметра управления, находящегося в относительном минимуме, в сторону его увеличения на величину не более 5% фактического его значения, оценивают изменение фактического состояния растений по значению переменной порядка, при существующем значении мощности эксэргии в зоне растений, при этом, если значение переменной порядка увеличилось, производят воздействие, изменяя значение этого же параметра управления в сторону его увеличения на величину не более 5% начального его значения, при этом воздействия на растения производят изменением данного параметра управления выполняют до прекращения изменения значений переменной порядка, причем, если при первом воздействии на параметр управления значение переменной порядка снизилось, осуществляют новое воздействие, снижая значение параметра управления на величину не более 5% его начального значения, затем вновь по тестовой базе фактических состояний определяют какой из параметров управления находится в относительном минимуме и вышеуказанную последовательность операций повторяют в отношении другого параметра управления, значение которого приближается к относительному минимуму значения, при этом вышеперечисленные действия осуществляют поочередно со всеми параметрами управления, а затем вновь выполняют начиная с первого параметра управления, а все измерения переменной порядка и измерения параметров управления производятся с интервалами не более 3 час.
Технический результат достигается также тем, что в устройство автоматического управления продукционным процессом растений с учетом самоорганизации, содержащее датчик эксэргии оптического излучения, блок вычисления расчетной величины мощности эксэргии, компаратор, управляющий ключ, согласно изобретению введены таймер, блок памяти, датчик температуры окружающей среды, датчик температуры почвы датчик влажности почвы, управляющий логический коммутатор, четыре управляющих ключа, при этом выход датчика мощности эксэргии оптического излучения подключен к входу блока вычисления расчетной величины мощности эксэргии, при этом первый выход блока вычисления расчетной величины мощности эксэргии подключен к входу блока памяти, выход которого подсоединен к первому входу компаратора, выход которого подсоединен к первому входу управляющего логического коммутатора, причем второй выход блока вычисления расчетной величины мощности эксэргии подключен ко второму входу компаратора, а управляющие ключи соединены к первому, второму, третьему, четвертому и пятому выходам управляющего логического коммутатора, выход датчик температуры окружающей среды подключен ко второму входу управляющего логического коммутатора, выход датчика температуры почвы подключен к третьему входу управляющего логического коммутатора, выход датчика влажности почвы подключен к четвертому входу управляющего логического коммутатора, а второй выход блока памяти подключен к пятому входу управляющего логического коммутатора, первый выход таймера подключен ко третьему входу компаратора, второй выход таймера подключен к шестому входу управляющего логического коммутатора.
Способ осуществляют следующим образом:
1) в сложной многофакторной системе «растение-окружающая среда-среда факторов управлений» из большого числа переменных выбирают одну, наиболее быстро изменяющуюся и наиболее сильно влияющую на процессы в системе(, переменная порядка). Для рассматриваемого класса систем наиболее рационально принять в качестве переменной порядка суммарную эксэргию оптического излучения в отношении фотосинтеза растений,
2) затем выбирают один или несколько параметров, называемых параметрами управления, с помощью которых возможно осуществить воздействия на продукционные процессы растений. Для рассматриваемого класса систем наиболее рационально принять в качестве параметров управления значения существующих климатических факторов по мере приближения их значений к относительному минимальному значению (температура, влажность воздуха, почвы, концентрация минеральных элементов корневого питания). В последующем управлении системой учитывают, главным образом, переменную порядка и параметры управления;
3) измеряют значение переменной порядка;
4) по тестовой базе фактических состояний определяют какой из параметров управления находится в относительном минимуме, т.е. изменение какого из параметров управления приведет к наибольшему росту показателя функционального состояния;
5) производят воздействие на растение, изменяя значение параметра управления, находящегося в относительном минимуме, в сторону его увеличения на величину не более 5% фактического его значения;
6) оценивают изменение фактического состояния растений по скорости фотосинтеза или иному показателю, выбранному в качестве показателя функционального состояния, при существующем значении мощности эксэргии в зоне растений;
7) если значение показателя функционального состояния увеличилось, производят воздействие, изменяя значение этого же параметра управления в сторону его увеличения на величину не более 5% начального его значения;
8) если при первом воздействии на параметр управления значение переменной порядка снизилось, осуществляют новое воздействие, снизив значение параметра управления на величину не более 5% его начального значения. Затем переходят к п.4) вышеуказанной последовательности операций в отношении другого параметра управления, значение которого приближается к относительному минимальному значению;
9) воздействия на растения производят до прекращения изменения значений переменной порядка;
10) производят воздействие, изменяя значения другого параметра управления согласно п.п.4-7 вышеуказанной последовательности операций;
11) данная операции осуществляется поочередно со всеми параметрами управления, а затем выполняется с первого параметра управления. Все измерения переменной порядка и изменения параметров управления производятся с интервалами не более 3 час.
Таким образом, способ обеспечит управление процессом выращивания растений с учетом процесса направленности природных, энергоэкономных процессов самоорганизации, протекающих в самих растениях в соответствии с принципом энергетической экстремальности самоорганизации, при этом учет этой направленности оценивают по показателю функционального состояния растения, на которое оказывают воздействие, если значение параметра функционального состояния организма или сообщества снижается, изменение воздействия не согласуется с самоорганизационной направленностью и это изменение должно иметь противоположную направленность.
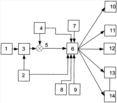
Сущность предлагаемого изобретения поясняется чертежом, на котором приведена схема устройства по способу. Устройство содержит датчик мощности эксэргии оптического излучения 1, таймер 2, блок вычисления расчетной величины эксэргии 3, блок памяти 4, компаратор 5, управляющий логический коммутатор 6, датчик температуры окружающей среды 7, датчик температуры воздуха 8, датчик влажности почвы 9, управляющие ключи 10, 11, 12, 13, 14. Выход датчика мощности эксэргии оптического излучения 1 подключен к входу блока вычисления расчетной величины эксэргии 3, при этом первый выход блока вычисления расчетной величины мощности эксэргии 3 подключен к входу блока памяти, выход которого подсоединен к первому входу компаратора 5, выход которого подсоединен к первому входу управляющего логического коммутатора 6. Причем второй выход блока вычисления расчетной величины мощности эксэргии 3 подключен ко второму входу компаратора 5, а управляющие ключи 10, 11, 12, 13, 14 соединены соответственно к первому, второму, третьему, четвертому и пятому выходам управляющего логического коммутатора 6. Выход датчик температуры окружающей среды 7 подключен ко второму входу управляющего логического коммутатора 6, выход датчика температуры почвы 8 подключен к третьему входу управляющего логического коммутатора 6, выход датчика влажности почвы 8 подключен к четвертому входу управляющего логического коммутатора 6, а второй выход блока памяти 4 подключен к пятому входу управляющего логического коммутатора 6, первый выход таймера 2 подключен к третьему входу компаратора 5, второй выход таймера 2 подключен к шестому входу управляющего логического коммутатора 6.
Устройство функционирует следующим образом.
При работе через промежутки времени, определяемые таймером 2, производится мониторинг значений параметров управления (температура, влажность воздуха, почвы, мелиоративный потенциал) и величины мощности эксэргии солнечного излучения, характеризующей переменную порядка (суммарная эксэргия в отношении фотосинтеза растений). Ретроспективные значения переменной порядка и параметров управления, определяющие оптимальные значения параметров управления, хранятся в блоке памяти 4. Кроме этого в блоке памяти находятся тесты физиологического состояния растений. Информация, находящаяся в блоке памяти, используется управляющим логическим коммутатором 6 для выбора параметра управления, находящегося в области относительного минимума, а также для сравнения изменений мощности эксэргии в ходе реализации управления.
Значение интенсивности солнечного излучения, измеренное датчиком оптического излучения 1, преобразуется блоком вычисления расчетной величины мощности эксэргии 3 в значение мощности эксэргии в отношении фотосинтеза растений (переменная порядка), которое заносится блок памяти 4.
Производят воздействие на растение, изменяя значение одного из параметров управления (воздействие на один из управляющих ключей 10, 11, 12, 13 или 14), находящегося в области относительного минимума, в сторону его увеличения на величину не более 5% фактического его значения. На очередном шаге мониторинга компаратором 5 сравнивают текущее значение мощности эксэргии со значением мощности эксэргии, которое было получено на предыдущем этапе мониторинга и сохранено в блоке памяти 4. Управляющий коммутатор 6 оценивает изменение фактического состояния растений по переменной порядка. Если значение показателя функционального состояния увеличилось, управляющий коммутатор 6 производит воздействие, изменяя значение этого же параметра управления в сторону его увеличения на величину не более 5% начального его значения. Если при первом воздействии на параметр управления значение переменной порядка снизилось, осуществляют новое воздействие, снизив значение этого же параметра управления на величину не более 5% его начального значения. Если значение показателя функционального состояния увеличилось, управляющий логического коммутатор 6 производит воздействие, изменяя значение этого же параметра управления в сторону его уменьшения на величину не более 5% начального его значения. Затем переходят к п.5 вышеуказанной последовательности операций. Воздействия на растения производят до прекращения изменения значений переменной порядка при изменениях выбранного параметра управления. Затем описанные операции повторяют, изменяя значения другого параметра управления в вышеуказанной последовательности. Данная операции осуществляется поочередно со всеми параметрами управления, а затем вновь выполняется, начиная с первого параметра управления. Все измерения переменной порядка и изменения параметров управления производятся с интервалами не более 3 час.
Таким образом, выполняется управление процессом выращивания растений с учетом процесса направленности природных энергоэкономных процессов самоорганизации, протекающих в самих растениях в соответствии с принципом энергетической экстремальности самоорганизации, при этом учитывается, что если значение параметра функционального состояния организма или сообщества снижается, изменение воздействия не согласуется с самоорганизационной направленностью и это изменение должно иметь противоположную направленность.
Сущность предлагаемого изобретения поясняется примером. Важнейшая величина, характеризующая потенциальную эффективность фотосинтеза растений – эксэргия, т.е. полезная энергия для усвоения растением для его выживания, развития и формирования урожая. Опытным путем устанавливаются физиологически и экономически рациональные значения эксэргии для каждого вида выращиваемых растений. Расчетные показатели энергетической эффективности производства зерна яровой пшеницы (сорт Московская-35) для почвенных и метеорологических условий Московской области (данные Метеорологической обсерватории МГУ, средние значения за период 1971-1978). При урожае 40 ц/га, полученном Полевой опытной станцией Института почвоведения и фотосинтеза АН РФ, накопленная в зерне эксэргия равна 5,6 МДж/м2, затраты эксэргии техногенной энергии – 1,56 МДж/м2. Природная эксэргия – эксэргия плодородия земли составила 162,4 МДж/м2. При этом показатель полезного действия эксэргетический по затратам техногенной энергии составил 3,6, а коэффициент полезного действия по использованию эксэргии плодородия земли равен 3,4%, что свидетельствует о больших возможностях повышения урожая. На практике в Московской области урожай этой культуры ниже. Соответственно меньше и показатели энергетической эффективности. Например, в почвенно-климатических условиях с-за Заокский Московской области, земли которого расположены рядом с Полевой станцией Института почвоведения и фотосинтеза, в этот же период при одинаковом значении эксэргии плодородия земли получен урожай зерна яровой пшеницы сорта Московская-35 18,5 ц/га. Затраты эксэргии техногенной энергии на агротехнологии (которая была принята без прогнозных расчетов на соответствие экологическим условиям земли), составили 1,98 МДж/м2. В этом случае коэффициент полезного действия эксергетический по использованию эксэргии плодородия земли составил примерно 1,4, а показатель полезного действия по использованию техногенной энергии – только 1,1.
Данные влияния сортовых особенностей на энергетическую эффективность разных сортов яровой пшеницы и ячменя, рекомендованных для возделывания в Центральном регионе РФ, представлены в табл.1:

Использование рассмотренных способа и устройства позволяет достичь более высоких результатов при выборе альтернативных культур, например, при выращивании кормов (табл.2).

Остается лишь автоматизировать управление процессами полеводческого или тепличного хозяйства исходя из физиологически и экономически нецелесообразных критериев обеспечения наибольшей продуктивности растения, а также сформировать управляющий сигнал для воздействий по изменению экологических факторов, влияющих на технологический процесс. Способ и устройство реализуют операции измерения требуемого изменения экологических факторов, влияющих на эффективность использования и задания значений эксэргии, их взаимного сравнения, сигнализации и управления по результату сравнения.
Формула изобретения
1. Способ автоматического управления продукционным процессом растений с учетом самоорганизации, включающий расчетное или приборное определение величины эксергии параметра функционального состояния растения, отличающийся тем, что в сложной многофакторной системе «растение – окружающая среда – среда факторов управлений» из большого числа переменных выбирают одну, наиболее быстро изменяющуюся и наиболее сильно влияющую на процессы в системе переменную порядка – суммарную эксергию оптического излучения в отношении фотосинтеза растений, затем выбирают один или несколько параметров управления, с помощью которых возможно осуществить воздействия на продукционные процессы растений – температуру, влажность воздуха, влажность почвы, концентрацию минеральных элементов корневого питания, при этом измеряют значение суммарной эксергии оптического излучения в отношении фотосинтеза растений, причем по тестовой базе фактических состояний определяют какой из параметров управления находится в относительном минимуме, т.е. изменение какого из параметров управления приведет к наибольшему росту переменной порядка, затем проводят воздействие на растение, изменяя значение параметра управления, находящегося в относительном минимуме, в сторону его увеличения на величину не более 5% фактического его значения, оценивают изменение фактического состояния растений по значению переменной порядка при существующем значении мощности эксергии в зоне растений, при этом, если значение переменной порядка увеличилось, осуществляют воздействие, изменяя значение этого же параметра управления в сторону его увеличения на величину не более 5% начального его значения, при этом воздействия на растения проводят изменением данного параметра управления, которое выполняют до прекращения изменения значений переменной порядка, причем, если при первом воздействии на параметр управления значение переменной порядка снизилось, осуществляют новое воздействие, снизив значение параметра управления на величину не более 5% его начального значения, затем вновь по тестовой базе фактических состояний определяют какой из параметров управления находится в относительном минимуме и вышеуказанную последовательность операций повторяют в отношении другого параметра управления, значение которого приближается к относительному минимуму значения, при этом вышеперечисленные действия осуществляют поочередно со всеми параметрами управления, а затем вновь выполняют, начиная с первого параметра управления, а все измерения переменной порядка и измерения параметров управления проводятся с интервалами не более 3 ч.
2. Устройство автоматического управления продукционным процессом растений с учетом самоорганизации, содержащее датчик эксергии оптического излучения, блок вычисления расчетной величины мощности эксергии, компаратор, управляющий ключ, отличающееся тем, что в устройство введены таймер, блок памяти, датчик температуры окружающей среды, датчик температуры почвы, датчик влажности почвы, управляющий логический коммутатор, четыре управляющих ключа, при этом выход датчика мощности эксергии оптического излучения подключен к входу блока вычисления расчетной величины мощности эксергии, при этом первый выход блока вычисления расчетной величины мощности эксергии подключен к входу блока памяти, выход которого подсоединен к первому входу компаратора, выход которого подсоединен к первому входу управляющего логического коммутатора, причем второй выход блока вычисления расчетной величины мощности эксергии подключен ко второму входу компаратора, а управляющие ключи соединены с первым, вторым, третьим, четвертым и пятым выходами управляющего логического коммутатора, выход датчика температуры окружающей среды подключен ко второму входу управляющего логического коммутатора, выход датчика температуры почвы подключен к третьему входу управляющего логического коммутатора, выход датчика влажности почвы подключен к четвертому входу управляющего логического коммутатора, а второй выход блока памяти подключен к пятому входу управляющего логического коммутатора, первый выход таймера подключен к третьему входу компаратора, второй выход таймера подключен к шестому входу управляющего логического коммутатора.
РИСУНКИ
|
|