|
(21), (22) Заявка: 2007141485/28, 12.11.2007
(24) Дата начала отсчета срока действия патента:
12.11.2007
(46) Опубликовано: 20.03.2009
(56) Список документов, цитированных в отчете о поиске:
US 5915267 А, 22.06.1999. SU 1711067 A1, 07.02.1992. SU 1248081 A2, 30.07.1986. SU 1408546 A1, 07.07.1988.
Адрес для переписки:
125009, Москва, ул. Моховая, 11, стр.7, Институт радиотехники и электроники РАН
|
(72) Автор(ы):
Мансфельд Георгий Дмитриевич (RU), Алексеев Сергей Георгиевич (RU), Ползикова Наталья Ивановна (RU)
(73) Патентообладатель(и):
Институт радиотехники и электроники Российской Академии Наук (RU)
|
(54) СПОСОБ ИЗМЕРЕНИЯ КОНСТАНТЫ ЭЛЕКТРОМЕХАНИЧЕСКОЙ СВЯЗИ ПЬЕЗОЭЛЕКТРИЧЕСКОГО МАТЕРИАЛА
(57) Реферат:
Изобретение относится к области измерительной техники и может быть использовано при физических исследованиях и в пьезотехнике при отработке технологических режимов нанесения пьезоэлектрических пленок, разработке и производстве ВЧ и СВЧ резонаторов и фильтров. Сущность: техническое решение состоит в измерении частот антирезонанса и резонанса образующейся составной резонаторной структуры и дополнительном измерении разности между частотами экстремумов на частотных зависимостях фазы коэффициента отражения электромагнитной волны от резонатора. После этого вычисляют К и Кэфф по формулам, адекватно описывающим электроакустические свойства структуры. Технический результат: обеспечение возможности измерения константы электромеханической связи слоев и пленок пьезоэлектрического материала, находящихся в акустическом контакте с пластиной-подложкой, а также измерения эффективной константы электромеханической связи резонаторов, работающих на обертонах. 3 ил.
Изобретение относится к области измерительной техники и может быть использовано при физических исследованиях и в пьезотехнике при отработке технологических режимов нанесения пьезоэлектрических пленок, разработке и производстве ВЧ и СВЧ резонаторов и фильтров.
Известен метод измерения константы электромеханической связи (К) тонких пленок пьезоматериалов (Патент США 5915267 от June 22, 1999 «Method for measuring piezoelectric constant of thin film shaped piezoelectric material», автор Kim [1]). Этот метод основан на прямом измерении электрического заряда, индуцированного приложенным к пленке статическим давлением. Недостаток метода – необходимость физического отделения пленки от подложки.
Наиболее близким к заявленному техническому решению является классический способ определения квадрата константы электромеханической связи пьезоэлектрического материала, основанный на измерении разности между частотами антирезонанса и резонанса пьезоэлектрического резонатора – пластины из пьезоэлектрического материала, помещенной между электродами. Этот метод основан на результатах работ по составлению эквивалентных схем пьезоэлектрических резонаторов [2, 3].
Для определения К измеряются частоты резонанса и антирезонанса на основной моде, а затем величина К вычисляется согласно формуле:

В этой формуле fr и fa – частоты резонанса и антирезонанса, При этом формальное нахождение эффективной константы электромеханической связи (К2 эфф) на обертонах согласно [4] основано на использовании формулы:

Здесь 2n+1 – номер обертона.
Однако такой способ определения квадрата константы электромеханической связи пьезоэлектрического материала имеет ограничения. В современных резонаторных структурах, когда пьезоэлектрическая пленка находится на подложке, становятся невозможными измерения на основной частоте пьезоэлектрического слоя. Оказывается необходимым нахождение К непосредственно из опытов при больших номерах гармоник основного резонанса структуры в целом. При этом в связи с ростом частоты возрастают акустические потери энергии, а так как разность частот антирезонанса и резонанса зависит также от потерь энергии в резонаторе [5], которыми на высоких частотах пренебрегать нельзя, при измерении квадрата константы электромеханической связи возникает погрешность порядка самой измеряемой величины. Упомянутый метод неприменим, в частности, для измерения квадрата эффективной константы электромеханической связи тонких пьезоэлектрических слоев и пленок, используемых в составных акустических резонаторах на объемных акустических волнах, где акустические потери связаны с распространением акустических волн не только в пленке и электродах, но и в пластине-подложке. Это дает дополнительную погрешность измерения. Классический метод развит только для нечетных обертонов основной частоты резонатора, в то время как составные резонаторы возбуждаются на всех обертонах.
Таким образом, недостатком прототипа являются ограниченные возможности метода при измерениях на высоких обертонах и измерениях К в составных резонаторных структурах.
Целью изобретения является обеспечение возможности измерения константы электромеханической связи в высокочастотных резонаторах и составных структурах, а также обеспечение возможности измерения эффективной константы электромеханической связи Кэфф тонких пьезоэлектрических слоев и пленок, используемых в составных акустических резонаторах на объемных акустических волнах.
Данная цель достигается тем, что в способе измерения константы электромеханической связи К пьезоэлектрического материала тонких пьезоэлектрических слоев и пленок, входящих в состав резонаторной структуры, дополнительно производят измерения разности s между частотами экстремумов на частотных зависимостях фазы коэффициента отражения электромагнитной волны от резонатора и вычисляют К и Кэфф по формулам:

и
, где – разность между частотами антирезонанса и резонанса, s – разность между частотами экстремумов на частотных зависимостях фазы коэффициента отражения электромагнитной волны от резонатора, l и t – соответственно толщины слоев пленки и электродов, l t – скорости акустических волн в этих слоях, известные для данного резонатора параметры, R0 – волновое сопротивление измерительного тракта, n – частота обертона с номером n, C0 – электрическая межэлектродная емкость.
Новым в предложенном способе по сравнению с прототипом является измерение разности s между частотами экстремумов на частотных зависимостях фазы коэффициента отражения электромагнитной волны от резонатора и определение К по формулам, адекватно описывающим работу тонких слоев и пленок в структуре.
На Фиг.1 изображена структура составного акустического резонатора на объемных акустических волнах, состоящего из пластины-подложки толщиной d, электродов толщиной t, пьезоэлектрика толщиной l.
На Фиг.2 изображен фрагмент частотной характеристики модуля электрического импеданса и показана разность частот антирезонанса и резонанса , соответствующая номеру гармоники n.
На Фиг.3 изображена фазово-частотная характеристика коэффициента отражения электромагнитных волн от структуры и показана разность частот между экстремумами соответствующая номеру гармоники n.
Сущность изобретения состоит в следующем. С помощью электроакустического преобразователя, образованного пьезоэлектрической пленкой и электродами, в составной резонаторной структуре, показанной на Фиг.1, возбуждаются и регистрируются акустические волны. В случае, когда набег фазы акустической волны равен n , где n – целое число, амплитуды всех отраженных волн складываются в фазе, и имеет место стоячая акустическая волна, т.е. возникает резонанс.
Спектр собственных резонансных частот составной структуры оказывается многочастотным, как показано на Фиг.2. Резонансы расположены в частотной области почти эквидистантно. Обычно резонансные пики наблюдаются в широком интервале частот, от долей до нескольких ГГц. В гигагерцовом диапазоне номера обертонов доходят до нескольких сотен и даже тысяч.
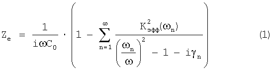
Выражения, используемые для вычисления эффективной константы электромеханической связи K, получаются из анализа формулы для входного электрического импеданса составного резонатора Ze, описывающей его эквивалентную схему [5],

где n – безразмерный параметр, пропорциональный затуханию.
Исследуя модуль входного электрического импеданса на минимум и максимум, можно найти выражение для частот резонанса и антирезонанса и затем найти их разность . Опуская громоздкие выкладки, приведем окончательное выражение:

Другим измерением является измерение фазово-частотной характеристики коэффициента отражения электромагнитных волн от структуры вблизи интересующей частоты. Коэффициент отражения электромагнитной волны S11 от резонаторной структуры имеет в частотной области ту же периодичность, что и модуль электрического импеданса, как показано на Фиг.3. Исходя из известного выражения для комплексного коэффициента отражения

можно найти его фазу и, исследуя ее частотную зависимость на экстремумы, найти их частоты и разность между ними: :

Далее, исключая из (2) и (4) , получим выражение для :

Затем, согласно выражениям из [1], можно найти материальную константу электромеханической связи, характеризующую пьезоэлектрические свойства собственно материала пленки:

Заметим, что в отсутствие подложки, если положить то вышеприведенные формулы описывают свойства пьезоэлектрического слоя, помещенного между электродами, для гармоники с номером n.
Способ осуществляется следующим образом. Электроды резонаторной структуры, содержащие пьезоэлектрическую пленку или пьезоэлектрический слой, подключаются к векторному измерителю импеданса, позволяющему измерять комплексный коэффициент отражения электромагнитного сигнала от структуры и модуль ее электрического импеданса. На экране прибора наблюдаются частотные зависимости модуля электрического импеданса и фазы коэффициента отражения в нужной области частот. Из частотной зависимости модуля электрического импеданса находятся значения частот резонанса и антирезонанса. Вычисляется разность этих частот . Из частотной зависимости фазы коэффициента отражения находятся положения частот, соответствующих экстремумам. Вычисляется разность этих частот . Далее с помощью вышеприведенных формул, используя известные (или ранее измеренные стандартными методами) параметры структуры и известное значение волнового сопротивления измерителя импеданса, вычисляют квадрат эффективной константы электромеханической связи и квадрат константы электромеханической связи пьезоэлектрического материала.
Пример реализации способа.
Производились измерения квадрата константы электромеханической связи пьезоэлектрической пленки окиси цинка, входящей в составную резонаторную структуру, схематически показанную на Фиг.1 со следующими размерами:
Толщина подложки из сапфира – 5500 мкм;
Толщина пленки окиси цинка – 4 мкм;
Толщина электродов из алюминия – 100 нм;
Диаметр электродов – 800 мкм;
Измеренное значение межэлектродной емкости – 11,1 пФ.
Измерения производились с помощью СВЧ анализатора цепей HP 8753ES.
Получены следующие результаты:
Номер обертона – 793;
Частота резонанса – 799,449315 МГц;
Частота антирезонанса – 799,459866 МГц;
Частоты экстремумов фазы s11 – 799,451297 МГц и 799,457360 МГц.
Вычисленные значения:


Эти значения обеспечивают хорошее согласие между измеренными и теоретическими частотными зависимостями электрического импеданса для широкого диапазона частот обертонов от 0,6 до 1,2 ГГц, располагающихся в частотной области с интервалом 1 МГц, что свидетельствует в пользу правильности полученного результата.
Таким образом, технический результат предлагаемого изобретения состоит в обеспечении возможности измерения константы электромеханической связи слоев и пленок пьезоэлектрического материала, находящихся в акустическом контакте с пластиной-подложкой, а также измерения эффективной константы электромеханической связи резонаторов, работающих на обертонах.
Литература
1. Kim, «Method for measuring piezoelectric constant of thin film shaped piezoelectric material», Патент США 5915267 от June 22, 1999.
2. K.S.Van Dyke, The electrical network equivalent of a piezoelectric resonator, Phys Rev., 1925, 25, 895.
3. Сборник «Физическая акустика», под ред. У.Мэзона, том 1, часть А, «Методы и приборы ультразвуковых исследований».
4. Кайно Г. Акустические волны. Устройства, визуализация и аналоговая обработка сигналов. М.: Мир., 1990. 652 с.
5. Алексеев С.Г., Котелянский И.М., Мансфельд Г.Д. Акустическая резонаторная сверхвысокочастотная спектроскопия тонких пластин лангатата и пленок вольфрама. Радиотехника и электроника. 2001. Т.46. №10. С.1499.
Формула изобретения
Способ измерения константы электромеханической связи пьезоэлектрического материала, заключающийся в том, что измеряют частоты антирезонанса и резонанса резонатора, в состав которого входит исследуемый материал, отличающийся тем, что дополнительно измеряют разность между частотами экстремумов на частотных зависимостях фазы коэффициента отражения электромагнитной волны от резонатора и вычисляют константу электромеханической связи К пьезоэлектрического материала и эффективную константу электромеханической связи по формулам

и
где – разность между частотами антирезонанса и резонанса, s – разность между частотами экстремумов на частотных зависимостях фазы коэффициента отражения электромагнитной волны от резонатора, l и t – соответственно, толщины слоев пленки пьезоэлектрика, входящего в состав резонатора и электродов, l, t – скорости акустических волн в этих слоях, известные для данного резонатора параметры, R0 – волновое сопротивление измерительного тракта, n – частота обертона с номером n, С0 – электрическая межэлектродная емкость.
РИСУНКИ
|