Патент на изобретение №2349921
|
||||||||||||||||||||||||||||||||||||||||||||||||||||||||||||||||||||||||||||||||||||||||||||||||||||||||
(54) СПОСОБ ПРОГНОЗИРОВАНИЯ ГНОЙНО-ВОСПАЛИТЕЛЬНЫХ ОСЛОЖНЕНИЙ В ПОСЛЕОПЕРАЦИОННОМ ПЕРИОДЕ
(57) Реферат:
Изобретение относится к области медицины, а именно к хирургии, и касается способа прогнозирования гнойно-воспалительных осложнений в послеоперационном периоде. Способ заключается в изучении показателей относительного содержания провоспалительных (IL-1
Изобретение относится к медицине, а именно к клинической биохимии и хирургии, может быть использовано для прогнозирования гнойно-воспалительных осложнений в послеоперационном периоде. Проблема прогнозирования в медицине является одной из самых актуальных. Объективизация состояния больных позволяет прогнозировать исход заболевания, сроки общей госпитализации, оценивать эффективность проводимой терапии [1, 2]. Доказано, что практически любая хирургическая операция оказывает неблагоприятный эффект на иммунную систему и вызывает развитие иммунодефицита, главным проявлением которого являются инфекционные послеоперационные осложнения. Поэтому определение степени иммунодефицита, а также факторов и механизмов, приводящих к развитию местных и системных воспалительных осложнений, является важным в выборе правильной лечебной тактики больного [3, 4]. Воспалительные и иммунные реакции являются результатом взаимодействия большого количества различных систем организма [5]. В связи с этим перспективным может являться создание способа оценки характера воспалительного процесса в послеоперационном периоде, основанного на взаимодействии цитокинов, системы «ПОЛ-антиоксиданты» и антипротеазной системы крови. Известен способ диагностики развития осложнений и определения показаний и противопоказаний к хирургическим вмешательствам при сочетанной травме нижних конечностей и черепа [11]. О тяжести состояния и возможной генерализации инфекции судят по повышению содержания начальных продуктов перекисного окисления липидов (ПОЛ) и снижению антиокислительной активности (АОС) в сыворотке крови больных. Способ осуществляется путем определения в сыворотке крови в динамике (1, 3, 7, 14 день) содержания первичных (диеновые конъюгаты – ДК) и промежуточных (малоновый диальдегид – МДА) продуктов ПОЛ. Для оценки состояния АОС определяли концентрацию липидного антиоксиданта альфа-токоферола (ТФ) и внеклеточного белка церулоплазмина (ЦП), обладающего антиоксидантным эффектом. Для оценки дисбаланса в системе «ПОЛ-АОС» использовали интегральный показатель (К), который в норме равен 1,12, при усилении процессов ПОЛ интегральный показатель возрастает выше 1,12, что указывает на развитие инфекционных осложнений. Однако этот способ имеет ряд недостатков: во-первых, исследование только показателей системы «ПОЛ-антиоксиданты» является недостаточно информативным, поскольку дисбаланс в этой системе может регистрироваться при различных патологических состояниях, так как перекисное окисление липидов является неспецифическим процессом; во-вторых, оценка многокомпонентной антиоксидантной защиты по изучению содержания только альфа-токоферола и церулоплазмина является не совсем объективной, поскольку антиоксидантная защита обеспечивается большим количеством соединений как ферментативной, так и неферментативной природы. В связи с этим повышение или снижение этого параметра является не достаточно объективным критерием оценки генерализации хирургической инфекции. Кроме того, данный способ не отражает основное патогенетическое звено гнойно-воспалительных осложнений, а именно цитокинозависимые иммунодефициты. Это затрудняет объективизацию стадии воспалительного процесса и, как следствие, выбор адекватной тактики лечения. Известен способ прогнозирования течения гнойно-воспалительных послеоперационных осложнений в клинике абдоминальной хирургии путем определения показателей иммунной системы больных непосредственно перед началом операции и на вторые сутки послеоперационного периода посредством постановки реакции розеткообразования лимфоцитов больного после инкубации с аутоплазмой и без нее [6]. Высчитывают индекс, равный отношению количества инкубированных клеток к количеству активных Т-лимфоцитов. При значении показателя больше 1,1 прогнозируют благоприятное течение послеоперационного периода, а при значении 1,0 и меньше – возникновение гнойно-воспалительных осложнений. Однако метод определения розеткообразующих клеток с применением аутоплазмы не является достаточно специфичным, поскольку, во-первых, аутоплазма пациента обязательно несет в себе множество факторов, не только ускоряющих, но и тормозящих образование розеток. Эти факторы могут быть как сывороточного, так и лейкоцитарного происхождения, что может отразиться на суточной динамике коэффициента соответственно суточным и циркадным ритмам, вводя в заблуждение врача. Во-вторых, изменения параметров коэффициента в достаточно узком диапазоне цифр снижает точность и воспроизводимость результатов. Прототипом для данного изобретения служит способ прогнозирования течения раневого процесса [7], в основе которого лежит определение в сыворотке крови больных уровня прововоспалительных (TNF К недостаткам способа можно отнести то, что в данном методе рассматриваются лишь активаторы и ингибиторы воспалительного процесса, т.е. прогнозирование в вышеуказанном индексе проводится в рамках одной системы, что снижает достоверность прогноза. Поэтому изучение данных параметров без учета особенностей функционирования цитокинов в условиях регулирующего воздействия ряда систем, в частности антипротеазной и системы «ПОЛ-антиоксиданты», которые играют важную роль, как на местном, так и на системном уровнях, является не точным. Для повышения точности прогноза гнойно-воспалительного процесса в сыворотке крови у больных на вторые сутки послеоперационного периода определяют содержание цитокинов (IL-1 где i – содержание цитокинов, белка антипротеазной системы, продуктов ПОЛ, ферментов АОС у больных; n – среднее значение цитокинов, белка антипротеазной системы, продуктов ПОЛ, ферментов АОС у здоровых лиц. После чего производят расчет интегрированного коэффициента (К) путем отношения произведений показателей относительного содержания прововоспалительных цитокинов и диеновых конъюгатов (P1·Р3·Р5) к произведению относительного содержания противовоспалительного интерлейкина,
Способ выполняют следующим образом. На 2-е сутки послеоперационного периода у больного берут из локтевой вены 10 мл крови в пробирку. Определяют концентрацию цитокинов (IL-1 Для расчета показателей используют средние значения регионального содержания про- и противовоспалительных цитокинов, белков антипротеазной системы, диеновых конъюгатов и антиоксидантной активности здоровых людей: IL-1 После чего производят расчет прогностического коэффициента (К) – отношение количества полученных популяций прововоспалительных цитокинов IL-1
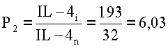
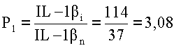
Параметры прогностического коэффициента трактуют следующим образом. Если коэффициент равен или меньше 2,5, прогнозируют благоприятное течение раневого процесса в послеоперационном периоде. Если коэффициент больше 2,5, прогнозируют развитие инфекционных осложнений. Способ прогнозирования гнойно-воспалительных осложнений иллюстрируется следующими примерами. Пример 1. Больной Д., 28 лет, оперирован по поводу закрытого перелома левой голени, проведен экстрамедуллярный остеосинтез металлической пластиной. На вторые сутки послеоперационного периода у больного определяют содержание цитокинов, Цитокины: IL-1 Рассчитываем интегрированные показатели отношения содержания цитокинов, белка антипротеазной системы, ДК и АОА в исследуемой пробе к тем же показателям в контроле у здоровых людей:
Было предположено неблагоприятное течение послеоперационного периода: в последующем, на 3-и сутки после операции вокруг швов появился отек, гиперемия, при пальпации в средней трети левой голени – плотный болезненный инфильтрат размером 6,5·5,0 см, из послеоперационной раны по дренажам – серозно-гнойное отделяемое. Были сняты швы, посев раневого отделяемого дал рост стафилококка. Обсемененность раны микроорганизмами на 1 г ткани составила 108. В последующем в течение 8-ми дней местное лечение гнойной раны проводили промыванием раны гипертоническим раствором хлорида натрия, диоксидином, использовались повязки с мазью «Левомеколь», На 9 сутки проведено повторное исследование. Цитокины: IL-1
К этим срокам рана размером 7,0·2,0 см, выполнена мелкозернистой, ярко-красного цвета грануляционной тканью, отмечается краевая эпителизация. Наложены ранние вторичные швы. Заживление полное. Пример 2. Больной Л., 36 лет, оперирован по поводу закрытого перелома левого плеча, левой голени, последовательно выполнен экстрамедуллярный остеосинтез металлическими пластинами. На вторые сутки произведено исследование концентрации цитокинов, Цитокины: IL-1 P1=61/37=1,65; Р2=103/32=3,22; Р3=84/34=2,47; Р4=2508/1742=1,44; Р5=0,129/0,096=1,34; Р6=20,1/30,2=0,67. К=1,76. Прогнозировано благоприятное течение раневого процесса, без осложнений. Послеоперационная терапия проводилась по общепринятым методам. Послеоперационный период протекал гладко, рана зажила первичным натяжением. Больной в удовлетворительном состоянии выписан на 10 сутки после операции. Предложенный способ прогнозирования гнойно-воспалительных осложнений проведен у 60-ти пациентов (см. таблицу). При бактериологическом и цитологическом анализе развитие осложнений выявлено в 29 случаях, заживление первичным натяжением (без развития осложнений) наблюдалось у 30 пациентов, то есть правильное прогнозирование было зарегистрировано в 59 случаях. Таким образом, точность предлагаемого способа прогнозирования составляет – 59/60·100=98,3%. Следовательно, исследование некоторых показателей цитокинового статуса, антипротеазной системы и системы «ПОЛ-антиоксиданты» позволяет прогнозировать гнойно-воспалительные осложнения на доклинических проявлениях и вносить необходимую коррекцию в план лечения. Источники информации 6. Патент SU 1629847 А1 RU, G01N 33/53. Способ прогнозирования течения послеоперационных гнойно-воспалительных осложнений / Ж.Ш.Жумадилов; Семипалатинский медицинский институт. – №4438383/14; Заявлено 08.06.1988; Опубл. 23.02.91. Бюл. №7. 7. Патент №2285924 РФ, МПК G01N 33/55. Способ прогнозирования течения раневого процесса / Е.В.Намоконов, А.А.Герасимов, Б.С.Хышиктуев, С.О.Давыдов; заявитель и патентообладатель Е.В.Намоконов. – №2004109767; заявл. 30.03.2004; опубл. 20.10.2006, Бюл. №29.
Формула изобретения
Способ прогнозирования гнойно-воспалительных осложнений в послеоперационном периоде путем определения в сыворотке крови содержания провоспалительного TNF
где P1 – величина относительного содержания IL-1 P2 – величина относительного содержания IL-4; Р3 – величина относительного содержания TNF P4 – величина относительного содержания P5 – величина относительного содержания диеновых конъюгатов; Р6 – величина относительной антиоксидантной активности, и при значении коэффициента, равном 2,5 и выше, прогнозируют развитие гнойно-воспалительных осложнений.
|
||||||||||||||||||||||||||||||||||||||||||||||||||||||||||||||||||||||||||||||||||||||||||||||||||||||||

, TNF
), противовоспалительного (IL-4) цитокинов, белка антипротеазной системы (
, 2) относительное содержание противовоспалительного интерлейкина IL-4 – Р2 по формуле
, 3) относительное содержание прововоспалительного цитокина TNF
, 4) относительное содержание
, 5) относительное содержание диеновых конъюгатов – Р5 по формуле
, 6) относительную антиоксидантную активность – Р6 по формуле
,
,
определяют уровень начальных интермедиатов липопероксидации при длине волны 232 нм [10], общую антиоксидантную активность исследуют по методу М.Ш.Промыслова [9] и рассчитывают показатели отношения диеновых конъюгатов (ДК), антиоксидантной активности (АОА) по формуле:
D/мг липидов; АОА=30,23%.
;
;
;
;
; 

,