Патент на изобретение №2349622
|
||||||||||||||||||||||||||||||||||||||||||||||||||||||||||||||||||||||||||||||||
(54) КОМПОЗИЦИИ ФЕНИЛЕНДИАМИНА, РАСТВОРИМЫЕ В ВОДЕ, И СПОСОБЫ СТАБИЛИЗАЦИИ ЭТИЛЕННЕНАСЫЩЕННЫХ СОЕДИНЕНИЙ И МОНОМЕРОВ
(57) Реферат:
Изобретение относится к ингибитору преждевременной полимеризации этиленненасыщенных мономеров, содержащему одно или более соединений определенной структурной формулы, относящихся к классу фенилендиаминов. Настоящее изобретение также относится к способам получения данного ингибитора, к композиции, устойчивой к преждевременной полимеризации этиленненасыщенных мономеров, включающей заявленный ингибитор, к способу уменьшения загрязнения и образования отложений в процессе переработки углеводорода в результате ингибирования полимеризации углеводородов с использованием такого ингибитора. А также к ингибитору преждевременной полимеризации этиленненасыщенных мономеров, полученному взаимодействием соединения фенилендиамина определенной структурной формулы с гетероциклическим соединением определенной структурной формулы. Полученные в заявленном изобретении ингибиторы полимеризации являются водорастворимыми и поэтому при добавлении к воде они не образуют отдельного слоя, т.е. раздела между водной и углеводородной фазами, тем самым обеспечивая эффективное ингибирование свободно-радикальной полимеризации мономеров винил и уменьшая загрязнение и образование отложений в процессе переработки углеводородов (например, акрилонитрила). 6 н. и 15 з.п. ф-лы, 3 табл.
ОБЛАСТЬ ТЕХНИКИ, К КОТОРОЙ ОТНОСИТСЯ ИЗОБРЕТЕНИЕ Настоящее изобретение относится к водорастворимым композициям фенилендиамина и способам ингибирования полимеризации этиленненасыщенных углеводородов. УРОВЕНЬ ТЕХНИКИ В ходе процесса перегонки потоки углеводорода часто подвергаются воздействию повышенных температур, что может приводить к преждевременной полимеризации целевого мономера. Преждевременная полимеризация приводит к уменьшению количества целевого мономера конечного продукта, а также снижению эффективности, вызванному загрязнением и образованием отложений в оборудовании для обработки. Для того чтобы уменьшить или предотвратить образование полимера, в поток углеводорода были введены стабилизирующие или ингибирующие композиции в месте, где, вероятно, имеет место полимеризация, например там, где производится дистилляция, или выше его по потоку. Фенилендиамины (ФДА) широко используются в качестве антиоксидантов и ингибиторов полимеризации. Однако их использование ограничено потоками углеводородов, в которых растворим ФДА. Существует ряд патентов, относящихся к использованию различных ФДА, комбинациям различных ФДА и комбинациям ФДА с другими ингибиторами для стабилизации углеводородных жидкостей. Среди этих патентов есть патент US № 6200461, выданный Eldin, в котором описаны способы и композиции ингибирования полимеризации этиленненасыщенных углеводородов путем добавления комбинаций соединений аминофенола и либо ФДА, либо гидроксиламина как в условиях обработки, так и при хранении. Могут быть использованы также и другие комбинации. Они включают комбинации ингибиторов, включающих ФДА, с соединением оксима и гидроксиламином, описанные в патенте US № 5489718, выданном Arhancet. Другие примеры включают комбинации ФДА и гидроксиламина, описанные в патенте US № 5396004, выданном Arhancet, ФДА с соединением гидрокситолуола, описанные в патенте US № 5416258, выданном Arhancet и др. Примеры конкретных соединений ФДА можно найти в патенте US № 4929778, выданном Roling, в котором описаны композиции, включающие соединения ФДА, которые имеют, по крайней мере, одну связь N-H и защищенный фенол, пригодные для ингибирования полимеризации стирола в процессе высокотемпературной обработки при хранении и транспортировке. В патенте US № 4774374, выданном Abruscato, раскрываются окисленные частицы, образованные в ходе реакции кислорода и N-арил-N Хотя каждая из этих ссылок предусматривает композиции и способы, которые уменьшают преждевременную полимеризацию этиленненасыщенных мономеров, в целом они ограничены обработкой и хранением углеводородов в тех случаях, когда они растворимы, и не охватывают случаи, когда присутствует вода. Поэтому доступные сейчас ФДА ингибиторы в недостаточной мере направлены на предупреждение преждевременной полимеризации мономеров с водной растворимостью, когда присутствует водная фаза. Поэтому желательно создать водорастворимую композицию для уменьшения и/или предупреждения полимеризации этиленненасыщенных мономеров. Желательно, чтобы композиция включала композицию фенилендиамина, которая действует как антиоксидант/ингибитор свободно-радикальной полимеризации. СУЩНОСТЬ ИЗОБРЕТЕНИЯ Настоящее изобретение предусматривает водорастворимую композицию фенилендиамина, которая также действует как антиоксидант/ингибитор свободно-радикальной полимеризации. Соединения имеют следующую формулу: где, по крайней мере, один из R1, R2 и R3 представляет собой
R1, R2 и R3 независимо выбраны группы, состоящей из H, алкила, гидроксиалкила, -O-R6, -S-R6, -C(O)R6, -C(S)R6, -N(R7)(R8), арила и
R5 выбран из группы, состоящей из H, алкила, гидроксиалкила, O, S, -O-R6, -S-R6, -N(R7)(R8) и арила; Z включает один или более заместителей, выбранных из группы, состоящей из водорода, алкила, алкенила, алкинила, циклоалкила, циклоалкенила, арила, гетероцикло, -CN, -NO2, -O-R6, -S-R6 и -N(R7)(R8); и R6, R7 и R8 независимо выбраны из группы, состоящей из водорода, алкила, алкенила, алкинила, циклоалкила, циклоалкенила, арила и гетероцикло. Желательно, чтобы соединение соответствовало следующей формуле: Вышеуказанные соединения формулы (I) могут быть добавлены в композицию, включающую этиленненасыщенный мономер для получения композиции, устойчивой к полимеризации. Добавление водорастворимой композиции фенилендиамина по настоящему изобретению к композиции мономера может иметь место в процессе синтеза или обработки, или хранения композиции. Соединения по настоящему изобретению включают продукт взаимодействия соединения фенилендиамина следующей формулы: где по крайней мере один из R1, R2 и R3 является H; R1, R2 и R3 независимо выбраны из группы, состоящей из алкила, гидроксиалкила, -O-R6, -S-R6, -C(O)R6, -C(S)R6, -N(R7)(R8) и арила; Z включает один или более заместителей, выбранных из группы, состоящей из водорода, алкила, алкенила, алкинила, циклоалкила, циклоалкенила, арила, гетероцикло, -CN, -NO2, -O-R6, -S-R6 и -N(R7)(R8); и R6, R7 и R8 независимо выбраны из группы, состоящей из водорода, алкила, алкенила, алкинила, циклоалкила, циклоалкенила, арила и гетероцикло, с гетероциклическим соединением следующей формулы:
где R5 выбран из группы, состоящей из H, алкила, гидроксиалкила, -O-R6, -S-R6 и -N(R7)(R8) и арила. В другом варианте осуществления настоящее изобретение предусматривает способ получения водорастворимой композиции фенилендиамина, включающий стадию взаимодействия соединения фенилендиамина следующей формулы: где по крайней мере один из R1, R2 и R3 представляет собой H и R1, R2 и R3 независимо выбраны из группы, состоящей из алкила, гидроксиалкила, -O-R6, -S-R6, -C(O)R6, -C(S)R6, -N(R7)(R8) и арила; Z включает один или более заместителей, выбранных из группы, состоящей из водорода, алкила, алкенила, алкинила, циклоалкила, циклоалкенила, арила, гетероцикло, -CN, -NO2, -O-R6, -S-R6 и -N(R7)(R8); и R6, R7 и R8 независимо выбраны из группы, состоящей из водорода, алкила, алкенила, алкинила, циклоалкила, циклоалкенила, арила и гетероцикло, с гетероциклическим соединением следующей формулы:
где R5 выбран из группы, состоящей из H, алкила, гидроксиалкила, -O-R6, -S-R6 и -N(R7)(R8) и арила. Желательно, чтобы соединение фенилендиамина являлось 1,4-фенилендиамином. В другом варианте осуществления настоящее изобретение предусматривает способ уменьшения или ингибирования загрязнения и образования отложений в процессе обработки углеводорода, включающий стадию введения эффективного количества одного или более водорастворимых соединений следующей формулы в поток углеводорода в месте, где могут иметь место указанные засорение и/или образование осадка, или выше его по потоку: где по крайней мере один из R1, R2 и R3 является
R1, R2 и R3 независимо выбраны из H, C1-C18 алкила, гидроксиалкила, -O-R6, -S-R6, -N(R7)(R8), арила и
R5 выбран из группы, состоящей из H, алкила, гидроксиалкила, -O-R6, -S-R6 и -N(R7)(R8) и арила; Z включает один или более заместителей, выбранных из группы, состоящей из водорода, алкила, алкенила, алкинила, циклоалкила, циклоалкенила, арила, гетероцикло, -CN, -NO2, -O-R6, -S-R6 и -N(R7)(R8); R6, R7 и R8 независимо выбраны из группы, состоящей из водорода, алкила, алкенила, алкинила, циклоалкила, циклоалкенила, арила и гетероцикло; и где указанная композиция растворима в воде. ПОДРОБНОЕ ОПИСАНИЕ ИЗОБРЕТЕНИЯ Настоящее изобретение включает соединения формулы: где группа NHR3 может находиться в любом положении, выбранном из орто, пара и мета-, по крайней мере, один из R1, R2 и R3 представляет собой
R1, R2 и R3 независимо выбраны из H, алкила, гидроксиалкила, -O-R6, -S-R6, -C(O)R6, -C(S)R6, -N(R7)(R8), арила и
R5 выбран из группы, состоящей из H, алкила, гидроксиалкила, O, S -O-R6, -S-R6,-N(R7)(R8) и арила; Z включает один или более заместителей, выбранных из группы, состоящей из водорода, алкила, алкенила, алкинила, циклоалкила, циклоалкенила, арила, гетероцикло, -CN, -NO2, -O-R6, -S-R6 и -N(R7)(R8); и R6, R7 и R8 независимо выбраны из группы, состоящей из водорода, алкила, алкенила, алкинила, циклоалкила, циклоалкенила, арила и гетероцикло. Желательно, чтобы вторая аминогруппа находилась в пара-положении в соответствии со следующей формулой: Подразумевается, что термин «алкил» включает замещенные или незамещенные, линейные или с разветвленной цепью насыщенные углеводородные группы, содержащие предпочтительно от 1 до 20 атомов углерода в главной цепи. Примеры незамещенных групп включают метил, этил, пропил, изопропил, н-бутил, т-бутил, изобутил, пентил, гексил, изогексил, гептил, 4,4-диметилпентил, октил, 2,2,4-триметилпентил, нонил, децил, ундецил, додецил и т.п. Заместители могут включать галоген, гидрокси или арильные группы. Подразумевается, что термин «гидроксиалкил» включает алкильную группу, как описано выше, по крайней мере, с одной гидрокси-группой в качестве заместителя. Подразумевается, что термин «алкенил» включает замещенные или незамещенные, линейные или с разветвленной цепью насыщенные углеводородные группы, включающие, по крайней мере, одну углерод-углеродную двойную связь в цепи, и предпочтительно содержащие от 2 до 10 атомов углерода в главной цепи. Примеры таких незамещенных алкенильных групп включают этенил, пропенил, изобутенил, бутенил, пентенил, гексенил, гептенил, октенил, ноненил, деценил и т.п. Заместители могут включать заместители, описанные выше. Подразумевается, что термин «алкинил» включает замещенные или незамещенные, линейные или с разветвленной цепью насыщенные углеводородные группы, включающие, по крайней мере, одну углерод-углеродную тройную связь в цепи и предпочтительно содержащие от 2 до 10 атомов углерода в главной цепи. Примеры подобных незамещенных групп включают этинил, пропинил, бутинил, пентинил, гексинил, гептинил, октинил, нонинил, децинил и подобные. Заместители могут включать заместители, описанные выше. Подразумевается, что термин «циклоалкил» включает замещенные или незамещенные, насыщенные циклические углеводородные кольцевые системы, предпочтительно содержащие от 1 до 3 колец и от 3 до 7 атомов углерода в кольце. Такие незамещенные группы обычно, например, включают циклопропил, циклобутил, циклопентил, циклогексил, циклогептил, циклооктил, циклодецил, циклододецил и адамантил. Заместители обычно включают одну или более алкильных групп, как описано выше, или одну или более групп в качестве заместителей алкила, описанных выше. Подразумевается, что термин «циклоалкенил» включает углеводородные кольцевые системы, которые могут быть замещенными или незамещенными, как описано выше для циклоалкила, содержащие дополнительно, по крайней мере, одну углерод-углеродную двойную связь, образующую частично ненасыщенное кольцо. Они могут также включать заместители, описанные выше. Подразумевается, что термины «гетероцикло» или «гетероциклический» включают замещенные или незамещенные, полностью насыщенные или ненасыщенные, ароматические или неароматические циклические группы, имеющие, по крайней мере, один гетероатом (такие как N, O или S), по крайней мере, в одном кольце, предпочтительно моноциклические или бициклические группы, имеющие 3-6 атомов в каждом кольце. Гетероциклическая группа может быть связана через любой атом углерода или гетероатом кольцевой системы. Примеры гетероциклических групп включают, без ограничения, тиенил, фурил, пирролил, пиридил, имидазолил, пирролидинил, пиперидинил, азепинил, индолил, изоиндолил, хинолинил, изохинолинил, бензотиазолил, бензоксазолил, бензимидазолил, бензоксадиазолил и бензофуразанил. Они могут также включать заместители, описанные выше. Подразумевается, что термин «арил» включает замещенные или незамещенные моноциклические, бициклические или трициклические ароматические группы, предпочтительно включающие один или два кольца, которые содержат только углерод в качестве кольцевых атомов, и от 6 до 12 кольцевых атомов углерода. Термин «арил» может также относится к арильной группе, соединенной с моноциклическим циклоалкилом или моноциклическим гетероциклом, в котором точка(и) присоединения находится/находятся в ароматической части. Примеры арильных групп включают фенил, бифенил и нафтил. Арильные кольца, соединенные с циклоалкилами, включают инданил, инденил и тетрагидронафтил. Примеры арильных групп, соединенных с гетероциклическими группами, включают 2,3-дигидробензофуранил, бензопиранил, 1,4-бензодиоксанил и подобные. Заместители могут включать заместители, описанные выше, также как и нитрогруппу. Водорастворимые соединения фенилендиамина по настоящему изобретению могут быть получены по реакции соединения фенилендиамина следующей формулы: где по крайней мере один из R1, R2 и R3 представляет собой H; R1, R2 и R3 независимо выбраны из группы, состоящей из алкила, гидроксиалкила, -O-R6, -S-R6, -C(O)R6, -C(S)R6, -N(R7)(R8) и арила; Z включает один или более заместителей, выбранных из группы, состоящей из водорода, алкила, алкенила, алкинила, циклоалкила, циклоалкенила, арила, гетероцикло, -CN, -NO2, -O-R6, -S-R6 и -N(R7)(R8); и R6, R7 и R8 независимо выбраны из группы, состоящей из водорода, алкила, алкенила, алкинила, циклоалкила, циклоалкенила, арила и гетероцикло, с гетероциклическим соединением следующей формулы:
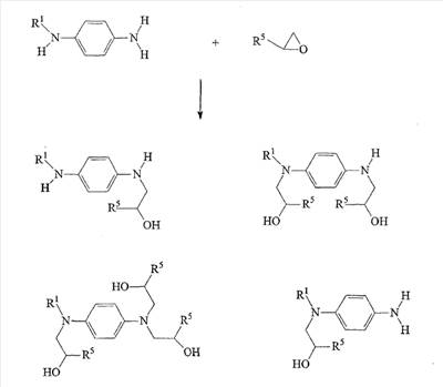
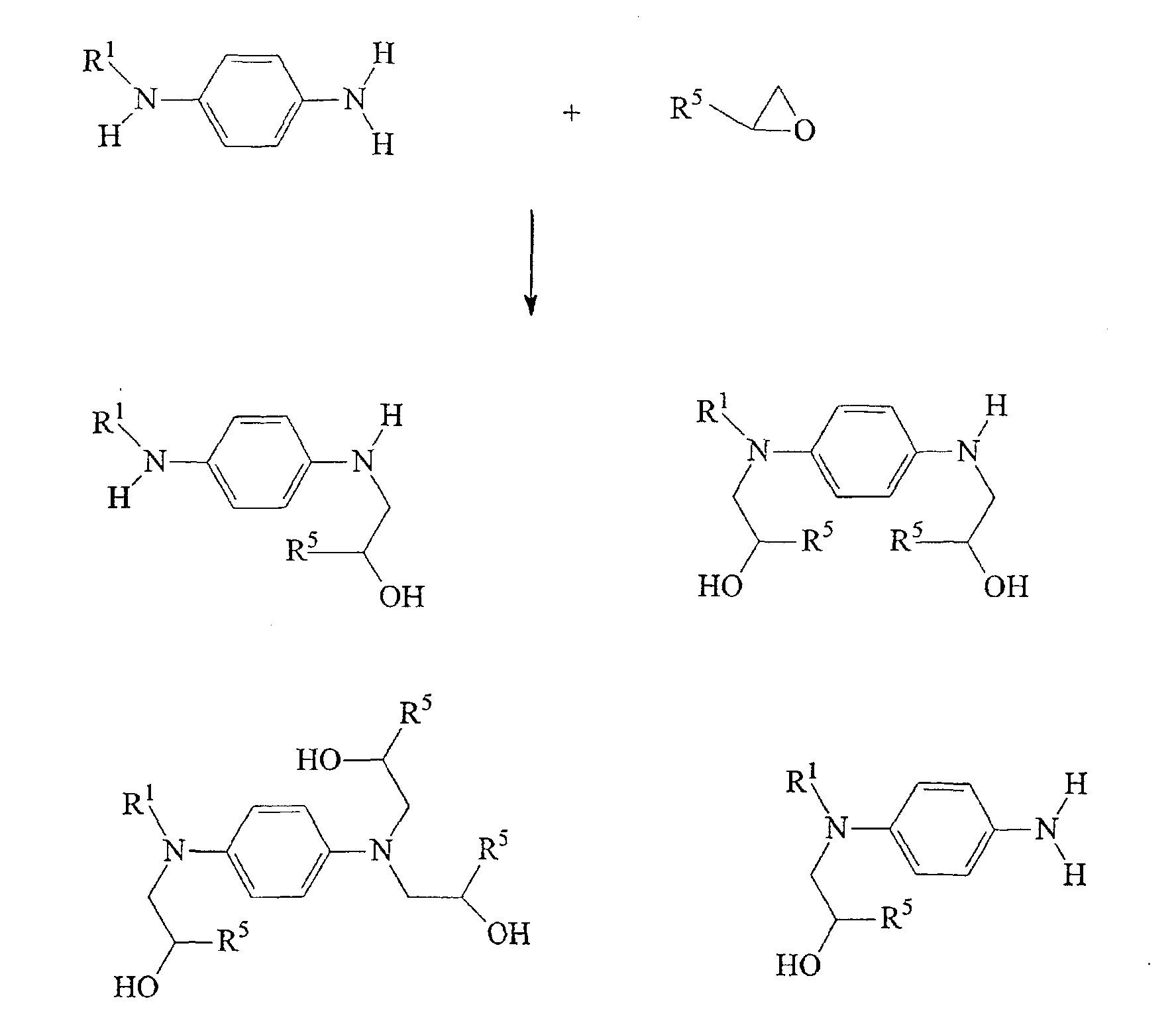
где R5 выбран из группы, состоящей из H, алкила, гидроксиалкила, -O-R6, -S-R6, -N(R7)(R8) и арила. Предпочтительно, чтобы гетероциклическое соединение являлось пропиленоксидом или бутиленоксидом. В результате этой реакции образуется смесь продуктов реакции, которые могут быть разделены любым из множества известных в данной области способов, включая хроматографию. Например, в результате реакции 1,4-фенилендиамина с замещенным гетероциклическим соединением может образовываться смесь пяти различных продуктов, как показано на следующей схеме реакции: Аналогично, когда исходный фенилендиамин включает неводородный заместитель, продукты реакции с замещенным гетероциклическим соединением показаны на схеме реакции, как показано ниже. В результате реакции 1,4-фенилендиамина с пропиленоксидом образуется также смесь продуктов, которая включает N,N N,N-дигидроксипропилфенилендиамин, N-гидроксипропилфенилендиамин, N,N,N N,N,N Соединения фенилендиамина по настоящему изобретению пригодны в качестве антиоксидантов/ингибиторов свободнорадикальной полимеризации. Другими словами, они пригодны для стабилизации углеводородных композиций, включая этиленненасыщенные мономеры, путем ингибирования полимеризации. Они пригодны в качестве ингибиторов как в процессе, так и при хранении, включая такие условия, когда мономеры подвергаются повышенным температурам, например вплоть до около 125°С. Водорастворимые композиции фенилендиамина пригодны в отношении множества этиленненасыщенных мономеров. Они включают, но не ограничиваются этим, ароматические соединения винила, такие как стирол, дивинилбензол, винилтолуол, винилнафталин, и другие этиленненасыщенные мономеры, такие как акриловая кислота, алкилакрилаты, акрилонитрил, бутадиен, дициклопентадиен, цианоакрилаты, изопрен и пропилен. Полезные водорастворимые композиции фенилендиамина, используемые для способов по настоящему изобретению, сохраняют, по крайней мере, одну «NH» группу для эффективного ингибирования полимеризации. Эффективным количеством водорастворимой композиции фенилендиамина, имеющей, по крайней мере, одну «NH» группу, используемым в способах по настоящему изобретению в качестве ингибитора полимеризации, является такое количество, которое достаточно для воздействия на ингибирование полимеризации и меняется в соответствии с условиями, при которых мономер синтезирован, обработан и/или хранится. Существует несколько факторов, которые влияют на необходимое количество ингибитора. Факторы, которые требуют увеличения количества ингибитора, – это повышенная концентрация мономера и повышенная температура. В общем, эффективная концентрация водорастворимых композиций фенилендиамина по настоящему изобретению будет находиться в пределах от примерно 0,5 частей на миллион до примерно 2000 частей на миллион. Композиции могут быть использованы на многих стадиях переработки углеводорода, включая процессы крекинга углеводородов, предварительный нагрев, дистилляцию, гидрирование, экстракцию и т.д., где может иметь место преждевременная полимеризация. Водорастворимая композиция фенилендиамина может добавляться в точке, находящейся выше по потоку от точки этих процессов. Водорастворимые композиции фенилендиамина могут добавляться в водный поток, поток углеводорода или композиции мономера отдельно или после предварительного смешения с растворителем. Если требуется предварительное смешение водорастворимой композиции фенилендиамина, то она может быть сначала скомбинирована с растворителем, таким как вода или органический растворитель, включающий, но не ограниченный этим, метанол, этанол, ацетон, пиридин, нитробензол, н-гексадекан, н-гексан, хлористый метилен, диметилсульфоксид, хлороформ, четыреххлористый углерод, бензол, гликоли, сложные и простые эфиры. Другие известные в данной области техники ингибиторы или антифоулянты могут быть скомбинированы с водорастворимыми соединениями фенилендиамина по настоящему изобретению. Они могут включать другие фенилендиамины, гидроксиламины, нитроксиды и защищенные фенолы. Если требуются композиции, содержащие дополнительную композицию фенилендиамина, дополнительный фенилендиамин может соответствовать следующей формуле: где Ra, Rb и Rc независимо выбраны из группы, состоящей из H, C1-C18 алкила, гидроксиалкила, -O-R6, -S-R6, -N(R7)(R8)и арила. Водорастворимые композиции фенилендиамина по настоящему изобретению имеют более широкую область применения по сравнению со стандартными фенилендиаминовыми ингибиторами. Например, в процессе обработки акрилонитрила существует контакт с водой и последующее загрязнение и образование отложений в водных участках. В такой ситуации композиция фенилендиамина, которая не является водорастворимой, не будет эффективна в качестве ингибитора. ФДА, такие как N-(1,4-диметилпентил)-N Особенности и преимущества настоящего изобретения нагляднее иллюстрируются следующими примерами, которые имеют целью пояснение и не должны быть истолкованы как ограничивающие изобретение. ПРИМЕРЫ Для представления реакционноспособных виниловых мономеров был выбран акрилонитрил. Растворимые в воде фенилендиамины (ФДА) по настоящему изобретению были протестированы в акрилонитриле. Сравнительное тестирование было также проведено с использованием стандартных ингибиторов полимеризации. Композиции стандартных ингибиторов показаны в ТАБЛИЦЕ 1, в то время как композиции, ингибитора по изобретению, которые были протестированы, показаны в ТАБЛИЦЕ 2. Скобка после названия ингибитора указывает на массовое соотношение двух или более ингибиторов в композиции.
В каждом эксперименте акрилонитрил нагревали в инертной атмосфере в стеклянных трубках. В каждую трубку была добавлена композиция одиночного ингибитора (A-L). В первом эксперименте в трубки, содержащие акрилонитрил, было добавлено 2 части на миллион различных ингибиторов, и трубки нагревали при 110°С. Во втором эксперименте также в каждую трубку для моделирования условий, при которых концентрация свободных радикалов достаточно высока, было добавлено 35 частей на миллион азоизобутиронитрила (АИБН), инициатора свободнорадикальной полимеризации. Второй эксперимент был проведен при 66°С. В каждом эксперименте эффективность действия ингибитора оценивалась по длине индукционного периода полимеризации, т.е. по образованию видимого полимера, когда реакционная смесь начинала мутнеть и белый полиакрилонитрил начинал выпадать в осадок.
Как видно из ТАБЛИЦЫ 3, композиции по изобретению J, K и L продемонстрировали более высокую эффективность, чем композиции сравнения, которые включают известные ингибиторы полимеризации гидрохинон, N-(1,4-диметилпентил)-N Хотя здесь было описано то, что, как полагают, на данный момент является предпочтительным вариантом осуществления изобретения, специалисту в данной области техники должно быть очевидно, что возможны изменения и модификации изобретения без отклонения от его сущности, и подразумевается, что все такие изменения и модификации включены в настоящий объем изобретения.
Формула изобретения
1. Ингибитор преждевременной полимеризации этиленненасыщенных мономеров, содержащий одно или более соединений следующей формулы:
где R1, R2 и R3 независимо выбраны из Н и группы
причем, по крайней мере, один из R1, R2 и R3 представляет собой
R5 означает алкил; и Z означает водород. 2. Ингибитор по п.1, где, по крайней мере, одно из указанных соединений соответствует следующей формуле:
3. Ингибитор по п.1, где указанный ингибитор растворим в воде. 4. Ингибитор по п.1, дополнительно включающий растворитель. 5. Ингибитор по п.1, дополнительно включающий растворитель, выбранный из группы, состоящей из воды и органического растворителя. 6. Ингибитор по п.1, дополнительно включающий второй ингибитор полимеризации. 7. Композиция по п.6, где указанный второй ингибитор полимеризации представляет собой фенилендиамин следующей формулы:
где Ra, Rb и Rc независимо выбраны из группы, состоящей из Н, C1-C18алкила, гидроксиалкила, -O-R6, -S-R6, -N(R7)(R8) и арила. 8. Ингибитор по п.1, включающий соединение следующей формулы:
9. Ингибитор по п.1, включающий, по крайней мере, одно из следующих соединений:
10. Ингибитор по п.1, включающий, по крайней мере, одно из следующих соединений:
11. Композиция, устойчивая к преждевременной полимеризации этиленненасыщенных мономеров, включающая: (а) этиленненасыщенный мономер, и (б) одно или более водорастворимых соединений следующей формулы:
где R1, R2 и R3 независимо выбраны из Н и группы
причем, по крайней мере, один из R1, R2 и R3 представляет собой
R5 означает алкил; и Z означает водород; и где указанная композиция растворима в воде. 12. Композиция по п.11, дополнительно включающая растворитель. 13. Способ получения ингибитора преждевременной полимеризации этиленненасыщенных мономеров по п.1, включающий стадию взаимодействия соединения фенилендиамина следующей формулы:
где R1, R2 и R3 независимо выбраны из Н и группы
причем, по крайней мере, один из R1, R2 и R3 представляет собой
R5 означает алкил; и Z означает водород, с гетероциклическим соединением следующей формулы:
где R5 означает алкил. 14. Способ получения ингибитора преждевременной полимеризации этиленненасыщенных мономеров по п.1, включающий стадию взаимодействия 1,4-фенилендиамина с гетероциклическим соединением следующей формулы:
где R5 означает алкил. 15. Способ по п.14, где указанное гетероциклическое соединение включает член, выбранный из группы, состоящей из пропиленоксида и бутиленоксида. 16. Способ по п.14, где указанный водорастворимый фенилендиамин сохраняет, по крайней мере, одну незамещенную NH-группу. 17. Способ уменьшения загрязнения и образования отложений в процессе переработки углеводорода в результате ингибирования полимеризации углеводородов, включающий стадию введения в поток углеводорода в месте, где могут иметь место указанные загрязнения и/или образование осадка, или выше его по потоку, эффективного количества одного или более водорастворимых соединений следующей формулы:
где R1, R2 и R3 независимо выбраны из Н и группы
причем, по крайней мере, один из R1, R2 и R3 представляет собой
R5 означает алкил; и Z означает водород; и где указанная композиция растворима в воде. 18. Способ по п.17, дополнительно включающий стадию смешения указанных водорастворимых соединений с растворителем до указанного введения. 19. Ингибитор преждевременной полимеризации этиленненасыщенных мономеров, полученный взаимодействием соединения фенилендиамина следующей формулы:
где R1, R2 и R3 независимо выбраны из Н и группы
причем, по крайней мере, один из R1, R2 и R3 представляет собой
R5 означает алкил; и Z означает водород, с гетероциклическим соединением следующей формулы:
где R5 означает алкил. 20. Ингибитор по п.19, где указанное соединение фенилендиамина представляет собой 1,4-фенилендиамин. 21. Ингибитор взаимодействия по п.19, где указанный продукт сохраняет, по крайней мере, одну незамещенную NH-группу.
|
||||||||||||||||||||||||||||||||||||||||||||||||||||||||||||||||||||||||||||||||

-алкил-п-фенилендиамина.














,
;
.
.
.
;
;
; и
.
;
; и
.
,