Патент на изобретение №2349592
|
|||||||||||||||||||||||||||||||||||||||||||||||||||||||||||||||||||||||||||||||||||||||||||||||||||||||||||||||||||||||||||||||||||||||||||||||||||||||||||||||||||||||||||||||||||||||||||||||||||||||||||||||||||||||||
(54) 7-АЗАИНДОЛЫ И ИХ ПРИМЕНЕНИЕ В КАЧЕСТВЕ ЛЕКАРСТВЕННЫХ СРЕДСТВ
(57) Реферат:
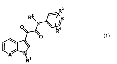
Изобретение относится к новым 7-азаиндолам общей формулы 1:
где (a) А означает N-оксидную группу и В означает СН, азот, (b) А означает азот и В означает N-оксидную группу, или (c) А и В означают N-оксидную группу, R1 означает (i) -С1-10-алкил, неразветвленный или разветвленный, который в случае необходимости, однозамещенный насыщенным моно-С3-С6 карбоциклом, или моно-, би- многократно ненасыщенным С6-С10карбоциклом, причем С6-С10-арильные группы со своей стороны, в случае необходимости, одно- или многократно могут быть замещены группами – С1-6-алкил, – CN, – F, – Cl, -Br, -I, -O-C1-6-алкил, и причем алкильные группы в карбоциклических заместителях, со своей стороны, в случае необходимости, одно- или многократно могут быть замещены группами -F, R2 означает водород, С1-С3алкил; R3 и R4 одинаковые или различные и обозначают водород, -F, -Cl, -Br, -I, или его фармацевтически приемлемые соли. Соединения I проявляют ингибирующую фосфодиэстиразу 4 активность, что позволяет использовать их в качестве терапевтически активных веществ для получения лекарственных средств, подавляющих легочную нейтрофилию, эозинофилию. 6 н. и 8 з.п. ф-лы, 2 табл.
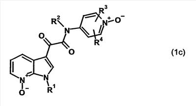
Изобретение касается замещенных 7-азоиндолов, способа их получения, фармацевтических композиций, содержащих эти соединения, а также фармацевтического применения этих соединений, являющихся ингибиторами фосфодиэстеразы 4, в качестве биологически активных веществ для лечения заболеваний, которые зависят от подавления активности фосфодиэстеразы 4, в особенности в ответственных за иммунитет клетках (например, макрофагах и лимфоцитах), посредством соединений согласно изобретению. Активация рецепторов клеточной мембраны посредством передатчика приводит к активации системы «повторного сигнала» (“second messenger”-Systems). Аденилатциклаза синтезирует из AMP (аденозин-3,5-монофосфата) и GMP (гуанозин-3,5-монофосфата) активный циклический AMP (cAMP) или циклический GMP (cGMP), которые приводят, например, в гладких мышечных клетках к расслаблению или в воспалительных клетках к подавлению высвобождения или синтеза медиатора. Ликвидация «повторного сигнала» cAMP и cGMP происходит посредством фосфодиэстераз (PDE). До сих пор известно 11 семейств ферментов PDE (PDE 1-11), которые различаются своей специфичностью к субстрату (cAMP, cGMP или обоим) и зависимостью от других субстратов (например, кальмодулина). Эти изоферменты обладают различными функциями в организме и по-разному проявляются в отдельных видах клеток (Beavo J.A., Conti M. and Heaslip R.J. Multiple cyclic nucleotide phosphodiesterases. Mol. Pharmacol. 1994, 46: 399-405; Hall I.P. Isoenzyme selective phosphodiesterase inhibitors: potential clinical uses, Br. J. clin. Pharmacol. 1993, 35: 1-7). Вследствие подавления различных типов изоферментов PDE происходит накопление cAMP или cGMP в клетках, что может быть использовано в лечебных целях (Torphy T.J., Livi G.P., Christensen S.B. Novel Phosphodiesterase Inhibitors for the Therapy of Asthma, Drug News and Perspectives 1993, 6:203-214). В клетках, ответственных за аллергические воспаления (лимфоцитах, тучных клетках, эозинофильных гранулоцитах, макрофагах), преобладающим является изофермент PDE типа 4 (Torphy J. T. and Undem B.J. Phosphodiesterase inhibitors: new opportunities for the treatment of asthma. Thorax 1991, 46:512-523). Подавление PDE 4 пригодными ингибиторами до сих пор рассматривается как важный подход к лечению большого количества вызываемых аллергией заболеваний (Schudt Ch., Dent G., Rabe K. Phosphodiesterase Inhibitors, Academic Press London 1996). Важным свойством ингибиторов фосфодиэстеразы 4 является подавление высвобождения фактора некроза опухоли Хронически обструктивные заболевания легких (chronic obstructive pulmonary diseases, COPD) широко распространены среди населения и имеют также большое экономическое значение. Так, заболевания COPD являются причиной около 10-15% всех расходов на заболевания в развитых странах, и этой причиной объясняется около 25% смертельных случаев в США (Norman P.: COPD: New developments and therapeutic opportunities, Drug News Perspect. 11(7), 431-437, 1998). По оценке ВОЗ COPD в течение ближайших 20 лет будут на третьем месте среди причин смертности. Под клинической картиной хронически обструктивных заболеваний легких (COPD) понимают различные картины болезни хронических бронхитов с симптомами кашля и мокроты, а также прогрессирующее и необратимое ухудшение функции легких (особенно это касается выдоха). Течение заболевания сопровождается приступами и часто осложняется бактериальными инфекциями (Rennard S. I.: COPD: Overview of definitions, Epidemiology, and factors influencing its development. Chest, 113 (4) Suppl., 235S-241S, 1998). В ходе заболевания функция легких неуклонно снижается, легкое становится все более эмфизематозным, и одышка пациентов становится очевидной. Это заболевание явно причиняет вред качеству жизни пациентов (одышка, малая выносливость) и значительно сокращает продолжительность их жизни. Главным фактором риска, помимо факторов, вызванных окружающей средой, является курение (Kummer F.: Asthma und COPD. Atemw.-Lungenkrkh. 20 (5), 299-302, 1994; Rennard S. I.: COPD: Overview of definitions, Epidemiology, and factors influencing its development. Chest, 113 (4) Suppl., 235S-241S, 1998) и поэтому мужчины поражаются значительно чаще, чем женщины. Однако из-за изменения жизненных привычек и роста числа курильщиц эта картина в будущем изменится. Современная терапия направлена только на смягчение симптомов, не вмешиваясь в причины развития заболевания. Использование длительно действующих бета-2-агонистов (например, сальметерола), возможно, в комбинации с мускаринергическими антагонистами (например, ипратропиумом) улучшает функцию легких благодаря расширению бронхов и регулярно применяется (Norman P.: COPD: New developments and therapeutic opportunities, Drug News Perspect. 11 (7), 431-437, 1998). Большую роль при приступах COPD играют бактериальные инфекции, которые должны лечиться антибиотиками (Wilson R.: The role of infection in COPD, Chest, 113 (4) Suppl., 242S-248S, 1998; Grossman R. F.: The value of antibiotics and the outcomes of antibiotic therapy in exacerbations of COPD. Chest, 113 (4) Suppl., 249S-255S, 1998). Лечение этого заболевания до сих пор еще неудовлетворительно, особенно с точки зрения постоянного ухудшения функции легких. Новые принципы лечения, атакующие медиаторы воспаления, протеазы или молекулы сцепления могут быть очень многообещающими (Barnes P.J.: Chronic obstructive disease: new opportunities for drug development, TiPS 10 (19), 415-423, 1998). Независимо от бактериальных инфекций, усложняющих заболевание, в бронхах находят хроническое воспаление, которое доминируется посредством нейтрофильных гранулоцитов. Для наблюдаемых структурных изменений в дыхательных путях (эмфизема) среди прочих становятся ответственными медиаторы и ферменты, высвобождаемые нейтрофильными гранулоцитами. Подавление активности нейтрофильных гранулоцитов, таким образом, является рациональным подходом для ликвидации развития COPD (ухудшения параметров функции легких) или его замедления. Важным стимулом для активации гранулоцитов является провоспалительный цитокин TNF Уже известны различные ингибиторы PDE 4. Преимущественно при этом речь идет о производных ксантина, аналогах ролипрама или производных нитраквазона (обзор в: Karlsson J.A., Aldos D. Phosphodiesterase 4 inhibitors for the treatment of asthma, Exp. Opin. Ther. Patents 1997, 7: 989-1003). Ни одно из этих соединений не могло до сих пор быть доведено до клинического использования. Было установлено, что известные ингибиторы PDE 4 также характеризуются различными побочными действиями такими, как тошнота и рвота, которые до сих пор не удалось устранить в достаточной мере. Поэтому существует потребность в поиске новых ингибиторов PDE 4 с улучшенным терапевтическим спектром. Амиды индол-3-илглиоксиловой кислоты и способ их получения были уже многократно описаны. Во всех случаях индолы, замещенные в положении 3, синтезированные путем замещения в положение 1 коммерчески доступного индола, посредством превращения с галогенангидридами щавелевой кислоты переводят в галогенангидриды индол-3-илглиоксиловой кислоты, которые затем посредством реакции с аммиаком или с первичными или вторичными аминами превращаются в соответствующие амиды индол-3-илглиоксиловой кислоты (схема 1). Схема 1 Х = галоген Так, в патентах США 2825734 и США 3188313 описаны различные амиды индол-3-илглиоксиловой кислоты, полученные по схеме 1. Эти соединения использовали в качестве промежуточных продуктов для получения производных индола, образующихся посредством восстановления. Также в патенте США 3642803 описаны амиды индол-3-илглиоксиловой кислоты. В публикации Farmaco 22 (1967), 229-244 описано получение амидов 5-метоксииндол-3-илглиоксиловой кислоты. Вновь используемое производное индола подвергают превращению с оксалилхлоридом, и образующийся хлорангидрид индол-3-илглиоксиловой кислоты вводят в реакцию с амином. Далее также в патенте США 6008231 описаны амиды индол-3-илглиоксиловой кислоты и способ их получения. Вновь используют реакционные стадии и условия, приведенные на схеме 1. Замещенные амиды 5-гидроксииндолил-глиоксиловой кислоты и амиды 6-гидроксииндолил-глиоксиловой кислоты, а также способ их получения и их применение в качестве ингибиторов PDE 4 впервые было описано в заявке на патент Германии 19818964 A1. Амиды 7-азаиндол-3-ил-глиоксиловой кислоты в качестве ингибиторов PDE 4 известны из заявки на патент Германии 10053275 A1, в которой описано также их получение и применение в качестве лекарственных средств. Производные 4- или 7-гидроксииндолов, их получение и применение в качестве ингибиторов PDE 4 описано в заявке на патент Германии 10253426.8. Изобретение касается замещенных 7-азаиндолов общей формулы 1: и их физиологически совместимых солей, где A, B, R1, R2, R3 и R4 определены в пункте 1 формулы изобретения. К соединениям согласно изобретению предпочтительно относятся такие соединения формулы 1, в которых A обозначает N-оксидную группу и B обозначает углерод (т.е. CH-группу или группу CR3, как определено в дальнейшем) или азот. Это соединения согласно изобретению формулы 1а где R1 обозначает (i) -С1-10-алкил, неразветвленный или разветвленный, в случае необходимости, одно- или многократно замещенный группами -ОН, -SH, -NH2, -NHC1-6-алкил, -N(C1-6-алкил)2, -NHC6-14-арил, -N(C6-14-арил)2, -N(C1-6-алкил)(C6-14-арил), -NO2, -CN, -F, -Cl, -Br, -I, -O-C1-6-алкил, -O-C6-14-арил, -S-C1-6-алкил, -S-C6-14-арил, -SO3H, -SO2C1-6-алкил, -SO2C6-14-арил, -OSO2C1-6-алкил, -OSO2C6-14-арил, -COOH, -(CO)C1-5-алкил, -COO-C1-5-алкил, -O(CO)C1-5-алкил, с моно-, би- или трициклическими насыщенными или одно- или многократно ненасыщенными карбоциклами с 3-14 атомами в кольце, или/и с моно-, би- или трициклическими насыщенными или одно- или многократно ненасыщенными гетероциклами с 5-15 атомами в кольце и 1-6 гетероатомами, предпочтительно N, O и S, причем C6-14-арильные группы и карбоциклические и гетероциклические заместители, со своей стороны, в случае необходимости, одно- или многократно могут быть замещены группами -C1-6-алкил, -ОН, -NH2, -NHC1-6-алкил, -N(C1-6-алкил)2, -NO2, -CN, -F, -Cl, -Br, -I, -O-C1-6-алкил, -S-C1-6-алкил, -SO3H, -SO2C1-6-алкил, -OSO2C1-6-алкил, -COOH, -(CO)C1-5-алкил, -COO-C1-5-алкил или/и -O(CO)C1-5-алкил, и причем алкильные группы в карбоциклических и гетероциклических заместителях, со своей стороны, в случае необходимости, одно- или многократно могут быть замещены группами -OH, -SH, -NH2, -F, -Cl, -Br, -I, -SO3H или/и -COOH, или (ii) -C2-10-алкенил, одно- или многократно ненасыщенный, неразветвленный или разветвленный, в случае необходимости, одно- или многократно замещенный группами -ОН, -SH, -NH2, -NHC1-6-алкил, -N(C1-6-алкил)2, -NHC6-14-арил, -N(C6-14-арил)2, -N(C1-6-алкил)(C6-14-арил), -NO2, -CN, -F, -Cl, -Br, -I, -O-C1-6-алкил, -O-C6-14-арил, -S-C1-6-алкил, -S-C6-14-арил, -SO3H, -SO2C1-6-алкил, -SO2C6-14-арил, -OSO2C1-6-алкил, -OSO2C6-14-арил, -COOH, -(CO)C1-5-алкил, -COO-C1-5-алкил или/и -O(CO)C1-5-алкил, с моно-, би- или трициклическими насыщенными или одно- или многократно ненасыщенными карбоциклами с 3-14 атомами в кольце, или/и с моно-, би- или трициклическими насыщенными или одно- или многократно ненасыщенными гетероциклами с 5-15 атомами в кольце и 1-6 гетероатомами, предпочтительно N, O и S, причем C6-14-арильные группы и карбоциклические и гетероциклические заместители, со своей стороны, в случае необходимости, одно- или многократно могут быть замещены группами -C1-6-алкил, -ОН, -NH2, -NHC1-6-алкил, -N(C1-6-алкил)2, -NO2, -CN, -F, -Cl, -Br, -I, -O-C1-6-алкил, -S-C1-6-алкил, -SO3H, -SO2C1-6-алкил, -OSO2C1-6-алкил, -COOH, -(CO)C1-5-алкил, -COO-C1-5-алкил или/и -O(CO)C1-5-алкил, и причем алкильные группы в карбоциклических и гетероциклических заместителях, со своей стороны, в случае необходимости, одно- или многократно могут быть замещены группами -OH, -SH, -NH2, -F, -Cl, -Br, -I, -SO3H или/и -COOH, R2 обозначает водород или -C1-3-алкил, R3 и R4 могут быть одинаковыми или разными и обозначают водород, -C1-6-алкил, -ОН, -SH, -NH2, -NHC1-6-алкил, -N(C1-6-алкил)2, -NO2, -CN, -SO3H, -SO3-C1-6-алкил, -COOH, -COO-C1-6-алкил, -O(CO)-C1-5-алкил, -F, -Cl, -Br, -I, -O-C1-6-алкил, -S-C1-6-алкил, -фенил или -пиридил, причем фенильный или пиридильный заместители, со своей стороны, в случае необходимости, одно- или многократно могут быть замещены группами -C1-3-алкил, -ОН, -SH, -NH2, -NHC1-3-алкил, -N(C1-3-алкил)2, -NO2, -CN, -SO3H, -SO3C1-3-алкил, -COOH, -COOC1-3-алкил, -F, -Cl, -Br, -I, -O-C1-3-алкил, -S-C1-3-алкил или/и -O(CO)-C1-3-алкил, и причем алкильные заместители, со своей стороны, в случае необходимости, одно- или многократно могут быть замещены группами -OH, -SH, -NH2, -F, -Cl, -Br, -I, -SO3H, -SO3C1-3-алкил, -COOH, -COOC1-3-алкил, -O-C1-3-алкил, -S-C1-3-алкил или/и -O(CO)-C1-3-алкил. Далее к соединениям согласно изобретению предпочтительно относятся такие N-оксиды формулы 1, в которых B обозначает N-оксидную группу. Это соединения формулы 1b согласно изобретению где A обозначает азот, R1 обозначает (i) -C1-10-алкил, неразветвленный или разветвленный, в случае необходимости, одно- или многократно замещенный группой -ОН, -SH, -NH2, -NHC1-6-алкил, -N(C1-6-алкил)2, -NHC6-14-арил, -N(C6-14-арил)2, -N(C1-6-алкил)(C6-14-арил), -NO2, -CN, -F, -Cl, -Br, -I, -O-C1-6-алкил, -O-C6-14-арил, -S-C1-6-алкил, -S-C6-14-арил, -SO3H, -SO2C1-6-алкил, -SO2C6-14-арил, -OSO2C1-6-алкил, -OSO2C6-14-арил, -COOH, -(CO)C1-5-алкил, -COO-C1-5-алкил, -O(CO)C1-5-алкил, с моно-, би- или трициклическими насыщенными или одно- или многократно ненасыщенными карбоциклами с 3-14 атомами в кольце или/и с моно-, би- или трициклическими насыщенными или одно- или многократно ненасыщенными гетероциклами с 5-15 атомами в кольце и 1-6 гетероатомами, предпочтительно N, O и S, причем C6-14-арильные группы и карбоциклические и гетероциклические заместители, со своей стороны, в случае необходимости, одно- или многократно могут быть замещены группами -C1-6-алкил, -ОН, -NH2, -NHC1-6-алкил, -N(C1-6-алкил)2, -NO2, -CN, -F, -Cl, -Br, -I, -O-C1-6-алкил, -S-C1-6-алкил, -SO3H, -SO2C1-6-алкил, -OSO2C1-6-алкил, -COOH, -(CO)C1-5-алкил, -COO-C1-5-алкил или/и -O(CO)C1-5-алкил, и причем алкильные группы в карбоциклических и гетероциклических заместителях, со своей стороны, в случае необходимости, одно- или многократно могут быть замещены группами -OH, -SH, -NH2, -F, -Cl, -Br, -I, -SO3H или/и -COOH, или (ii) -C2-10-алкенил, одно- или многократно ненасыщенный, неразветвленный или разветвленный, в случае необходимости, одно- или многократно замещенный группами -ОН, -SH, -NH2, -NHC1-6-алкил, -N(C1-6-алкил)2, -NHC6-14-арил, -N(C6-14-арил)2, -N(C1-6-алкил)(C6-14-арил), -NO2, -CN, -F, -Cl, -Br, -I, -O-C1-6-алкил, -O-C6-14-арил, -S-C1-6-алкил, -S-C6-14-арил, -SO3H, -SO2C1-6-алкил, -SO2C6-14-арил, -OSO2C1-6-алкил, -OSO2C6-14-арил, -COOH, -(CO)C1-5-алкил, -COO-C1-5-алкил, -O(CO)C1-5-алкил, с моно-, би- или трициклическими насыщенными или одно- или многократно ненасыщенными карбоциклами с 3-14 атомами в кольце, или/и с моно-, би- или трициклическими насыщенными или одно- или многократно ненасыщенными гетероциклами с 5-15 атомами в кольце и 1-6 гетероатомами, предпочтительно N, O и S, причем C6-14-арильные группы и карбоциклические и гетероциклические заместители, со своей стороны, в случае необходимости, одно- или многократно могут быть замещены группами -C1-6-алкил, -ОН, -NH2, -NHC1-6-алкил, -N(C1-6-алкил)2, -NO2, -CN, -F, -Cl, -Br, -I, -O-C1-6-алкил, -S-C1-6-алкил, -SO3H, -SO2C1-6-алкил, -OSO2C1-6-алкил, -COOH, -(CO)C1-5-алкил, -COO-C1-5-алкил или/и -O(CO)C1-5-алкил, и причем алкильные группы в карбоциклических и гетероциклических заместителях, со своей стороны, в случае необходимости, одно- или многократно могут быть замещены группами -OH, -SH, -NH2, -F, -Cl, -Br, -I, -SO3H или/и -COOH, R2 обозначает водород или -C1-3-алкил, R3 и R4 могут быть одинаковыми или разными и обозначают водород, -C1-6-алкил, -ОН, -SH, -NH2, -NHC1-6-алкил, -N(C1-6-алкил)2, -NO2, -CN, -SO3H, -SO3-C1-6-алкил, -COOH, -COO-C1-6-алкил, -O(CO)-C1-5-алкил, -F, -Cl, -Br, -I, -O-C1-6-алкил, -S-C1-6-алкил, -фенил или -пиридил, причем фенильный или пиридильный заместители, со своей стороны, в случае необходимости, одно- или многократно могут быть замещены группами -C1-3-алкил, -ОН, -SH, -NH2, -NHC1-3-алкил, -N(C1-3-алкил)2, -NO2, -CN, -COOH, -SO3H, -SO3C1-3-алкил, -COOC1-3-алкил, -F, -Cl, -Br, -I, -O-C1-3-алкил, -S-C1-3-алкил или/и -O(CO)C1-3-алкил, и причем алкильные заместители, со своей стороны, в случае необходимости, одно- или многократно могут быть замещены группами -OH, -SH, -NH2, -F, -Cl, -Br, -I, -SO3H, -SO3C1-3-алкил, -COOH, -COOC1-3-алкил, -O-C1-3-алкил, -S-C1-3-алкил или/и -O(CO)-C1-3-алкил. Далее к соединениям согласно изобретению относятся такие N-оксиды формулы 1, в которых A и B обозначают N-оксидную группу. Это соединения согласно изобретению формулы 1c где R1 обозначает (i) -С1-10-алкил, неразветвленный или разветвленный, в случае необходимости, одно- или многократно замещенный группами -ОН, -SH, -NH2, -NHC1-6-алкил, -N(C1-6-алкил)2, -NHC6-14-арил, -N(C6-14-арил)2, -N(C1-6-алкил)(C6-14-арил), -NO2, -CN, -F, -Cl, -Br, -I, -O-C1-6-алкил, -O-C6-14-арил, -S-C1-6-алкил, -S-C6-14-арил, -SO3H, -SO2C1-6-алкил, -SO2C6-14-арил, -OSO2C1-6-алкил, -OSO2C6-14-арил, -COOH, -(CO)C1-5-алкил, -COO-C1-5-алкил, -O(CO)C1-5-алкил, с моно-, би- или трициклическими насыщенными или одно- или многократно ненасыщенными карбоциклами с 3-14 атомами в кольце, или/и с моно-, би- или трициклическими насыщенными или одно- или многократно ненасыщенными гетероциклами с 5-15 атомами в кольце и 1-6 гетероатомами, предпочтительно N, O и S, причем C6-14-арильные группы и карбоциклические и гетероциклические заместители, со своей стороны, в случае необходимости, одно- или многократно могут быть замещены группами -C1-6-алкил, -ОН, -NH2, -NHC1-6-алкил, -N(C1-6-алкил)2, -NO2, -CN, -F, -Cl, -Br, -I, -O-C1-6-алкил, -S-C1-6-алкил, -SO3H, -SO2C1-6-алкил, -OSO2C1-6-алкил, -COOH, -(CO)C1-5-алкил, -COO-C1-5-алкил или/и -O(CO)C1-5-алкил, и причем алкильные группы в карбоциклических и гетероциклических заместителях, со своей стороны, в случае необходимости, одно- или многократно могут быть замещены группами -OH, -SH, -NH2, -F, -Cl, -Br, -I, -SO3H или/и -COOH, или (ii) -C2-10-алкенил, одно- или многократно ненасыщенный, неразветвленный или разветвленный, в случае необходимости, одно- или многократно замещенный группами -ОН, -SH, -NH2, -NHC1-6-алкил, -N(C1-6-алкил)2, -NHC6-14-арил, -N(C6-14-арил)2, -N(C1-6-алкил)(C6-14-арил), -NO2, -CN, -F, -Cl, -Br, -I, -O-C1-6-алкил, -O-C6-14-арил, -S-C1-6-алкил, -S-C6-14-арил, -SO3H, -SO2C1-6-алкил, -SO2C6-14-арил, -OSO2C1-6-алкил, -OSO2C6-14-арил, -COOH, -(CO)C1-5-алкил, -COO-C1-5-алкил, -O(CO)C1-5-алкил, с моно-, би- или трициклическими насыщенными или одно- или многократно ненасыщенными карбоциклами с 3-14 атомами в кольце, или/и с моно-, би- или трициклическими насыщенными или одно- или многократно ненасыщенными гетероциклами с 5-15 атомами в кольце и 1-6 гетероатомами, предпочтительно N, O и S, причем C6-14-арильные группы и карбоциклические и гетероциклические заместители, со своей стороны, в случае необходимости, одно- или многократно могут быть замещены группами -C1-6-алкил, -ОН, -NH2, -NHC1-6-алкил, -N(C1-6-алкил)2, -NO2, -CN, -F, -Cl, -Br, -I, -O-C1-6-алкил, -S-C1-6-алкил, -SO3H, -SO2C1-6-алкил, -OSO2C1-6-алкил, -COOH, -(CO)C1-5-алкил, -COO-C1-5-алкил или/и -O(CO)C1-5-алкил, и причем алкильные группы в карбоциклических и гетероциклических заместителях, со своей стороны, в случае необходимости, одно- или многократно могут быть замещены группами -OH, -SH, -NH2, -F, -Cl, -Br, -I, -SO3H или/и -COOH, R2 обозначает водород или -C1-3-алкил, R3 и R4 могут быть одинаковыми или разными и обозначают водород, -C1-6-алкил, -ОН, -SH, -NH2, -NHC1-6-алкил, -N(C1-6-алкил)2, -NO2, -CN, -SO3H, -SO3-C1-6-алкил, -COOH, -COO-C1-6-алкил, -O(CO)C1-5-алкил, -F, -Cl, -Br, -I, -O-C1-6-алкил, -S-C1-6-алкил, -фенил или -пиридил, причем фенильный или пиридильный заместители, со своей стороны, в случае необходимости, одно- или многократно могут быть замещены группами -C1-3-алкил, -ОН, -SH, -NH2, -NHC1-3-алкил, -N(C1-3-алкил)2, -NO2, -CN, -SO3H, -SO3C1-3-алкил, -COOH, -COOC1-3-алкил, -F, -Cl, -Br, -I, -O-C1-3-алкил, -S-C1-3-алкил или/и -O(CO)-C1-3-алкил, и причем алкильные заместители, со своей стороны, в случае необходимости, одно- или многократно могут быть замещены группами -OH, -SH, -NH2, -F, -Cl, -Br, -I, -SO3H, -SO3C1-3-алкил, -COOH, -COOC1-3-алкил, -O-C1-3-алкил, -S-C1-3-алкил или/и -O(CO)-C1-3-алкил. Предпочтительными являются соединения формулы 1, в которых R1, в случае необходимости, является замещенным С1-4-алкильным остатком, особенно предпочтительно С1-остатком, с одним циклическим заместителем. Циклические заместители предпочтительно являются C3-8-циклоалкильными группами или C5-10-арильными или гетероарильными остатками, например, фенильным или нафтильным остатком, который может иметь, по меньшей мере, один заместитель, выбранный из галогенов, то есть -F, -Cl, -Br или -I, -OH, NO2, -CN, -CH3, -OCH3 и -CF3. R2 предпочтительно обозначает H или -CH3. По меньшей мере, один из заместителей R3 и R4 предпочтительно является галогеном, то есть -F, -Cl, -Br или -I. Особенно предпочтительными являются R3 и R4, обозначающие галоген, например, -Cl. Далее изобретение касается физиологически совместимых солей соединений формулы 1. Физиологически совместимые соли получают обычно посредством нейтрализации оснований неорганическими или органическими кислотами или посредством нейтрализации кислот неорганическими или органическими основаниями. В качестве неорганических кислот имеют в виду, например, соляную кислоту, серную кислоту, фосфорную кислоту или бромистоводородную кислоту, в качестве органических кислот – например, карбоновые, сульфо- или сульфоновые кислоты, такие как уксусная кислота, винная кислота, молочная кислота, пропионовая кислота, гликолевая кислота, малоновая кислота, малеиновая кислота, фумаровая кислота, дубильная кислота, сукциновая кислота, альгининовая кислота, бензойная кислота, 2-феноксибензойная кислота, 2-ацетоксибензойная кислота, коричная кислота, миндальная кислота, лимонная кислота, яблочная кислота, салициловая кислота, 3-аминосалициловая кислота, аскорбиновая кислота, эмбоновая кислота, никотиновая кислота, изоникотиновая кислота, щавелевая кислота, аминокислоты, метансульфокислота, этансульфокислота, 2-гидроксиэтансульфокислота, этан-1,2-дисульфокислота, бензолсульфокислота, 4-метилбензолсульфокислота или нафталин-2-сульфокислота. В качестве неорганических оснований имеют в виду, например, гидроксид натрия, гидроксид калия, аммиак, а также в качестве органических оснований – амины, однако предпочтительно третичные амины, как триметиламин, триэтиламин, пиридин, N,N-диметиланилин, хинолин, изохинолин, Далее физиологически совместимые соли соединений согласно формуле 1 могут быть получены тем, что производные, имеющие третичные аминогруппы, переводятся в соответствующие четвертичные аммониевые соли известным образом с кватернизирующим средством. Под кватернизирующим средством имеют в виду, например, алкилгалогениды, такие как метилиодид, этилбромид и н-пропилхлорид, а также арилалкилгалогениды, такие как бензилхлорид или 2-фенилэтилбромид. Далее изобретение касается соединений формулы 1, содержащих асимметрический атом углерода, D-формы, L-формы и D,L-смесей, а также, в случае нескольких асимметрических атомов углерода – диастереомерных форм. Соединения формулы 1, которые содержат асимметрические атомы углерода, и, как правило, находятся в виде рацематов, могут быть разделены на оптически активные изомеры известным способом, например, оптически активной кислотой. Возможно также с самого начала использовать оптически активное исходное вещество, причем в таком случае в качестве конечного продукта получается соответствующее оптически активное или диастереомерное соединение. Для соединений согласно изобретению были обнаружены фармакологически важные свойства, которые могут быть использованы в терапевтических целях. Соединения согласно формуле 1 могут использоваться по отдельности, в комбинации друг с другом или в комбинации с другими биологически активными веществами. Соединения согласно изобретению являются ингибиторами фосфодиэстеразы 4. Поэтому объектом этого изобретения является то, что соединения формулы 1 и их соли, а также фармацевтические композиции, содержащие эти соединения или их соли, могут быть использованы для лечения заболеваний, для которых требуется ингибирование фосфодиэстеразы 4. К этим заболеваниям относятся, например, воспаления суставов, включая артрит и ревматоидный артрит, а также другие артритные заболевания как ревматоидный спондилез и остеоартрит. Следующей возможностью использования является лечение пациентов, которые больны остеопорозом, сепсисом, септическим шоком, грамотрицательным сепсисом, токсическим синдромом шока, синдромом удушья, астмой или другими хроническими легочными заболеваниями, болезнями резорбции костей или реакциями отторжения трансплантата, или другими аутоиммунными заболеваниями, такими как красная волчанка, рассеянный склероз, гломерулонефрит и увеит, инсулинозависимый сахарный диабет, а также хроническая демиелинизация. Кроме того, соединения согласно изобретению также могут быть использованы для лечения инфекций, как вирусные инфекции и паразитарные инфекции, например, для лечения малярии, лейшманиоза, лихорадки, вызванной инфекцией, инфекционной миалгии, СПИДа и кахексии, а также неаллергического ринита. Соединения согласно изобретению также могут использоваться для лечения гиперпролиферативных заболеваний, в особенности онкологических заболеваний, например, для лечения меланом, рака грудной железы, рака легких, рака кишечника, рака кожи и белокровия. Соединения согласно изобретению могут быть использованы также в качестве бронхолитических средств и для лечения астмы, например для профилактики астмы. Далее соединения формулы 1 являются ингибиторами накопления эозинофилов и их активности. Вследствие этого соединения согласно изобретению могут быть использованы также при заболеваниях, в которых играют роль эозинофилы. К таким заболеваниям относятся, например, воспалительные заболевания дыхательных путей, такие как бронхиальная астма, аллергический ринит, аллергический конъюнктивит, атопический дерматит, экзема, аллергический ангиит, воспаления, которым способствуют эозинофилы, такие как эозинофильный фасцит, эозинофильная пневмония и PIE-синдром (легочная эозинофильная инфильтрация), крапивница, язвенный колит, болезнь Крона и пролиферативные заболевания кожи, такие как псориаз или кератоз. Объектом настоящего изобретения является то, что соединения согласно формуле 1 и их соли могут ингибировать также индуцированную LPS (липополисахаридами) легочную нейтрофильную инфильтрацию у крыс in vivo. Совокупность обнаруженных фармакологически важных свойств подтверждается тем, что соединения согласно формуле 1 и их соли, а также фармацевтические композиции, содержащие эти соединения или их соли, могут быть терапевтически использованы для лечения хронически обструктивных легочных заболеваний. Далее соединения согласно изобретению обладают нейропротективными свойствами и могут использоваться для лечения заболеваний, при которых требуется нейропротективное действие. Такими заболеваниями являются, например, старческое слабоумие (болезнь Альцгеймера), потеря памяти, болезнь Паркинсона, депрессии, инсульт и интермиттирующая хромота. Следующей возможностью использования соединений согласно изобретению является профилактика и лечение болезней простаты, таких как, например, доброкачественная гиперплазия простаты, поллакиурия, никтурия, а также лечение недержания, колик, вызванных мочевыми камнями, и мужских и женских сексуальных дисфункций. В заключение, соединения согласно изобретению также могут быть использованы для ингибирования возникновения лекарственной зависимости при неоднократном приеме анальгетиков, таких как, например, морфий, а также для уменьшения развития толерантности при неоднократном приеме этих анальгетиков. Для получения лекарственных средств, наряду с обычными вспомогательными веществами, носителями и добавками, используют эффективную дозу соединений согласно изобретению или их солей. Дозировка биологически активных веществ может варьироваться в зависимости от способа приема, возраста, веса пациента, вида и тяжести заболевания, подвергаемого лечению, и подобных факторов. Дневная доза может вводиться в виде разовой дозы, принимаемой однократно, или разделенной на 2 или несколько дневных доз и составляет, как правило, 0,001-100 мг. Особенно предпочтительно дневная доза составляет 0,1-50 мг. Под формами введения имеют в виду оральные, парентеральные, внутривенные, трансдермальные, топические, ингаляционные и интраназальные препаративные формы. Особенно предпочтительно используют топические, ингаляционные и интраназальные препаративные формы соединений согласно изобретению. Для применения используют обычные галеновые препаративные формы, такие как таблетки, драже, капсулы, диспергируемые порошки, грануляты, водные растворы, водные или масляные суспензии, сиропы, соки или капли. Твердые лекарственные формы могут содержать инертные ингредиенты и носители, такие как, например, карбонат кальция, фосфат кальция, фосфат натрия, лактоза, крахмал, маннит, альгинат, желатин, гуаран, стеарат магния или стеарат алюминия, метилцеллюлоза, тальк, высокодисперсные кремневые кислоты, силиконовое масло, высокомолекулярные жирные кислоты (такие как стеариновая кислота), желатин, агар-агар или растительные или животные жиры и масла, твердые высокомолекулярные полимеры (такие как полиэтиленгликоль), для орального введения пригодные препаративные готовые формы могут содержать, в случае необходимости, дополнительные вкусовые добавки и/или подсластители. Жидкие лекарственные формы могут быть стерилизованными и/или, в случае необходимости, содержать вспомогательные вещества, такие как консерванты, стабилизаторы, смачивающие средства, пенетрационные средства, эмульгаторы, разбрызгивающие средства, агенты растворения, соли, сахар или спирты сахаров для регулирования осмотического давления или для буферности, и/или регуляторы вязкости. Такого рода добавками являются, например, тартратный и цитратный буфер, этанол, комплексообразователь (такой как этилендиамин-тетрауксусная кислота и ее нетоксичные соли). Для регулирования вязкости используют высокомолекулярные полимеры, такие как, например, жидкий полиэтиленоксид, микрокристаллическая целлюлоза, карбоксиметилцеллюлоза, поливинилпирролидон, декстран или желатин. Твердыми носителями являются, например, крахмал, лактоза, маннит, метилцеллюлоза, тальк, высокодисперсная кремневая кислота, высокомолекулярные жирные кислоты (такие как стеариновая кислота), желатин, агар-агар, фосфат кальция, стеарат магния, животные и растительные жиры, твердые высокомолекулярные полимеры, такие как полиэтиленгликоль. Масляные суспензии для парентерального или топического применения могут быть растительными, синтетическими или полусинтетическими маслами, такими как, например, жидкие сложные эфиры жирных кислот, в каждом случае, с 8-22 С-атомами в цепях жирных кислот, например, пальмитиновой, лауриновой, тридециловой, маргариновой, стеариновой, арахиновой, миристиновой, бегеновой, пентадециловой, линолевой, элаидиновой, брассидиновой, эруковой или олеиновой кислот, которые этерифицицированы одно- трехатомными спиртами с 1-6 С-атомами, такими как, например, метанол, этанол, пропанол, бутанол, пентанол или их изомеры, гликоль или глицерин. Подобными эфирами жирных кислот являются, например, коммерчески доступные миглиоли, изопропилмиристат, изопропилпальмитат, изопропилстеарат, эфир полиэтиленгликоля (ПЭГ) и 6-каприновой кислоты, сложные эфиры каприл/каприновой кислоты и насыщенных жирных спиртов, полиоксиэтиленглицеринтриолеаты, этилолеат, воскоподобные сложные эфиры жирных кислот, такие как искусственный жир уточной крестцовой железы, изопропиловый эфир кислот кокосового масла, олеиловый эфир олеиновой кислоты, дециловый эфир олеиновой кислоты, этиловый эфир молочной кислоты, дибутилфталат, диизопропиловый эфир адипиновой кислоты, полиоловые сложные эфиры жирных кислот и другие. Также пригодны силиконовые масла различной вязкости или жирные спирты, как изотридециловый спирт, 2-октилдодеканол, цетилстеариловый спирт или олеиловый спирт, жирные кислоты, такие как, например, олеиновая кислота. Далее могут использоваться растительные масла, такие как касторовое масло, миндальное масло, оливковое масло, кунжутное масло, хлопковое масло, арахисовое масло или соевое масло. Под растворителем, гелеобразователем и агентом растворения имеют в виду воду или смешивающиеся с водой растворители. Пригодными являются, например, спирты, такие как, например, этанол или изопропиловый спирт, бензиловый спирт, 2-октилдодеканол, полиэтиленгликоли, фталаты, адипаты, пропиленгликоль, глицерин, ди- или трипропиленгликоль, воски, метилцеллозольв, целлозольв, сложные эфиры, морфолин, диоксан, диметилсульфоксид, диметилформамид, тетрагидрофуран, циклогексанон и т.д. В качестве пленкообразователя могут быть использованы простые эфиры целлюлозы, которые могут растворяться или набухать как в воде, так и в органических растворителях, таких как, например, гидроксипропилметилцеллюлоза, метилцеллюлоза, этилцеллюлоза или растворимые крахмалы. Также вполне возможны смешанные формы между геле- и пленкообразователями. Здесь, прежде всего, подходят для использования ионные макромолекулы (полиэлектролиты), такие как, например, натрийкарбоксиметилцеллюлоза, полиакриловая кислота, полиметакриловая кислота и их соли, амилопектинсемигликолят натрия, альгиновая кислота или пропиленгликоль-альгинат в виде натриевой соли, гуммиарабик, ксантановая камедь, гуаровая камедь или каррагенан. В качестве других вспомогательных средств для препаративных форм могут быть использованы глицерин, парафины различной вязкости, триэтаноламин, коллаген, аллантоин, новантисоловая кислота. Также для препаративных форм может быть необходимо использование тензидов, эмульгаторов или смачивающих агентов, таких как, например, лаурилсульфат натрия, сульфаты простых эфиров жирных спиртов, ди-Na-N-лаурил- Также, в случае необходимости, для композиций желаемых препаративных форм могут требоваться стабилизаторы, такие как монтмориллонит или коллоидные кремневые кислоты для стабилизации эмульсий, или активные вещества для предотвращения разложения, такие как антиоксиданты, например, токоферол или бутилгидроксианизол, или консерванты, такие как эфир п-гидроксибензойной кислоты. Препаративные формы для парентерального введения могут находиться в отдельных дозированных формах, таких как, например, ампулы или флаконы. Преимущественно используют растворы активных веществ, предпочтительно водные растворы и, прежде всего, изотонические растворы, а также суспензии. Эти инъекционные формы могут предлагаться в виде готового препарата или приготовлены только непосредственно перед использованием путем смешивания активного соединения, например, лиофилизата, в случае необходимости, с другими твердыми носителями, с желаемым растворителем или суспендирующим агентом. Интраназальные композиции могут существовать в виде водных или масляных растворов, или в виде водных или масляных суспензий. Они также могут находиться в виде лиофилизатов, которые доводят до препаративной формы перед использованием с пригодным растворителем или суспендирующим агентом. Получение, фасовка и закупоривание препаратов происходит в общепринятых антимикробных и асептических условиях. Далее изобретение касается способа получения соединений согласно изобретению. Согласно изобретению соединения общей формулы 1 с приведенными ранее значениями A, B, R1, R2, R3 и R4 получают тем, что соединения формулы 1 с вышеприведенными значениями R1, R2, R3 и R4, где A обозначает азот и B может обозначать азот или углерод, известным образом посредством обработки окислителем, например, органической перкислотой, предпочтительно м-хлорпербензойной кислотой или/и перуксусной кислотой окисляют до соединений согласно изобретению формул 1a, 1b или 1c. В случае необходимости образующиеся смеси N-оксидов могут быть разделены известным образом путем кристаллизации или хроматографическими методами на чистые соединения формул 1a, 1b или 1c. ПРИМЕРЫ Пример 1: Вариант способа получения соединений согласно изобретению формулы 1a 1.1 Амид N-(3,5-дихлорпиридин-4-ил)-[1-(4-фторбензил)-7-оксо-7-азаиндол-3-ил]глиоксиловой кислоты 3 г амида N-(3,5-дихлорпиридин-4-ил)-[1-(4-фторбензил)-7-азаиндол-3-ил]глиоксиловой кислоты растворяют в 180 мл дихлорметана. При перемешивании прикапывают раствор 6 г м-хлорпербензойной кислоты в 12 мл уксусной кислоты. Реакционную смесь перемешивают при комнатной температуре в течение 7 дней. Путем добавления раствора карбоната калия устанавливают pH смеси 8-9. Фазы разделяют, и органическую фазу промывают 100 мл воды. Растворитель отгоняют под вакуумом. Осадок смешивают с 10 мл изопропанола. Продукт кристаллизации отделяют и сушат при комнатной температуре. Сырой продукт очищают посредством препаративной ВЭЖХ. В качестве системы растворителей используют смесь этилацетата с метанолом в соотношении 85:15. Из фракции, содержащей продукт, отгоняют смесь растворителей под вакуумом, и осадок перекристаллизовывают из изопропанола. Выход: 0,3 г (9,4% от теории). Температура плавления: 205-208°С. 1.2 Амид N-(2,6-дихлорфенил)-[1-(2-хлорбензил)-7-оксо-7-азаиндол-3-ил]глиоксиловой кислоты 3,1 г амида N-(3,5-дихлорфенил)-[1-(2-хлорбензил)-7-азаиндол-3-ил]глиоксиловой кислоты растворяют в 180 мл дихлорметана. При перемешивании прикапывают раствор 6 г м-хлорпербензойной кислоты в 12 мл уксусной кислоты. Реакционную смесь перемешивают при комнатной температуре в течение 7 дней. Путем добавления раствора карбоната калия устанавливают pH смеси 8-9. Фазы разделяют, и органическую фазу промывают 100 мл воды. Растворитель отгоняют под вакуумом. Осадок смешивают с 30 мл воды при 50°С, отсасывают и перекристаллизовывают из 100 мл изопропанола. Выход: 1,3 г (40% от теории). Температура плавления: 165-168°С. Пример 2: Вариант способа получения соединений согласно изобретению формулы 1b 2.1 Амид N-(3,5-дихлор-1-оксопиридин-4-ил)-[1-(4-фторбензил)-7-азаиндол-3-ил]глиоксиловой кислоты 3 г амида N-(3,5-дихлорпиридин-4-ил)-[1-(4-фторбензил)-7-азаиндол-3-ил]глиоксиловой кислоты растворяют в 180 мл дихлорметана. При перемешивании прикапывают раствор 6 г м-хлорпербензойной кислоты в 12 мл уксусной кислоты. Реакционную смесь перемешивают при комнатной температуре в течение 7 дней. Путем добавления раствора карбоната калия устанавливают pH смеси 8-9. Фазы разделяют, и органическую фазу промывают 100 мл воды. Растворитель отгоняют под вакуумом. Осадок смешивают с 10 мл изопропанола. Продукт кристаллизации отделяют и сушат при комнатной температуре. Сырой продукт очищают посредством препаративной ВЭЖХ. В качестве системы растворителей используют смесь этилацетата с метанолом в соотношении 85:15. Из фракции, содержащей продукт, отгоняют смесь растворителей под вакуумом, и осадок перекристаллизовывают из этанола. Выход: 1,2 г (37,5% от теории). Температура плавления: 233-236°С. Пример 3: Вариант способа получения соединений согласно изобретению формулы 1c 3.1 Амид N-(3,5-дихлор-1-оксопиридин-4-ил)-[1-(4-фторбензил)-7-оксо-7-азаиндол-3-ил]глиоксиловой кислоты 3 г амида N-(3,5-дихлорпиридин-4-ил)-[1-(4-фторбензил)-7-азаиндол-3-ил]глиоксиловой кислоты растворяют в 180 мл дихлорметана. При перемешивании прикапывают раствор 6 г м-хлорпербензойной кислоты в 12 мл уксусной кислоты. Реакционную смесь перемешивают при комнатной температуре в течение 7 дней. Путем добавления раствора карбоната калия устанавливают pH смеси 8-9. Фазы разделяют, и органическую фазу промывают 100 мл воды. Растворитель отгоняют под вакуумом. Осадок смешивают с 10 мл изопропанола. Продукт кристаллизации отделяют и сушат при комнатной температуре. Сырой продукт очищают посредством препаративной ВЭЖХ. В качестве системы растворителей используют смесь этилацетата с метанолом в соотношении 90:10. Из фракции, содержащей продукт, отгоняют растворитель под вакуумом, и осадок перекристаллизовывают из этанола. Выход: 0,2 г (6,3% от теории). Температура плавления: 254-257°С. Пример 4: Получение других соединений При использовании данного способа получения может быть получено множество других соединений формулы 1, из которых приведены, например, следующие:
Соединения согласно изобретению являются сильными ингибиторами фосфодиэстеразы 4. Их терапевтический потенциал подтверждается in vivo, например, посредством подавления астматической реакции поздней фазы (эозинофилии), а также посредством подавления нейтрофилии, индуцированной LPS, у крыс. Пример 5: Ингибирование фосфодиэстеразы 4 Активность PDE 4 определяют при препарировании ферментов из человеческих полиморфно-ядерных лимфоцитов (PMNL). Кровь человека (светлый слой кровяного сгустка) стабилизировали против коагуляции цитратом. Посредством центрифугирования при 700×g в течение 20 минут при комнатной температуре обогащенную тромбоцитами плазму в надосадочной жидкости отделяют от эритроцитов и лейкоцитов. PMNL для определения PDE 4 выделяют последующей седиментацией декстрана и последующим градиентным центрифугированием со средой фикол-пак. После двукратной промывки клеток еще содержащиеся эритроциты подвергают лизису посредством добавления 10 мл гипотонического буфера (155 мМ NH4Cl, 10 мМ NaHCO3, 0,1 мМ ЭДТА, pH 7,4) в течение 6 минут при 4°С. Все еще неповрежденные PMNL еще 2 раза промывают PBS и подвергают лизису посредством ультразвука. Надосадочная жидкость после часового центрифугирования при 4°С при 48000×g содержит цитозольную фракцию PDE 4 и используется для определения PDE 4. Активность фосфодиэстеразы определяют модифицированным методом Firma Amersham Pharmacia Biotech, SPA-анализом (анализ сцинтилляционного совмещения). Реакционные смеси содержат буфер (50 мМ Tris-HCl (pH 7,4), 5 мМ MgCl2, 100 мкМ cGMP), ингибиторы в варьирующихся концентрациях и соответствующие ферменты. Посредством добавления субстрата, 0,5 мкМ [3H]-cAMP, реакция начинается. Конечный объем составляет 100 мкл. Тестируемые вещества используют в качестве маточных растворов в ДМСО. Концентрация ДМСО в реакционной смеси составляет 1% об./об. При этой концентрации ДМСО не оказывает влияния на активность PDE. После начала реакции посредством добавления субстрата образцы инкубируют в течение 30 минут при 37°С. Посредством добавления определенного количества капель SPA реакцию останавливают, и образцы через час измеряют на счетчике бета-частиц. Неспецифическую активность фермента (блеск) определяют в присутствии 100 мкМ Rolipram и вычитают из тестируемых величин. Исходные смеси для инкубации анализа PDE 4 содержат 10 мкМ cGMP, чтобы ингибировать возможные загрязнения PDE 3. Для соединений согласно изобретению относительно ингибирования фосфодиэстеразы 4 было определено значение IC50 в области от 10-10 до 10-5 М. Селективность по отношению к PDE типов 3, 5 и 7 составляла фактор 100-10000. Варианты для выбранных примеров выполнения результатов подавления PDE 4 были обобщены в следующей таблице:
Пример 6: Подавление поздней фазы эозинофилии через 48 часов после ингаляционного овальбуминового вызова у активно сенсибилизированных крыс Brown Norway Подавление легочной эозинофильной инфильтрации с помощью веществ согласно изобретению испытывают на активно сенсибилизированных против овальбумина (OVA) мужских особях крыс Brown Norway (200-250 г). Сенсибилизация происходит посредством подкожных инъекций суспензии 10 мкг OVA вместе с 20 мг гидроксида алюминия в качестве вспомогательного средства в 0,5 мл физиологического раствора поваренной соли на животное в 1, 14 и 21 день. Дополнительно к этому животным вводили в течение одинаковых периодов времени вакцину Bordetella pertussis с разбавлением на животное 0,25 мл внутрибрюшинно. На 28 день эксперимента в открытые плексигласовые боксы объемом 1 л по отдельности помещаются животные, у которых голова и нос закрыты устройствами для выдерживания. Животных подвергают воздействию аэрозоля из 1,0%-ной овальбуминовой суспензии (аллергический вызов). Овальбуминовый аэрозоль образуется посредством распылителя (Bird micro nebulizer, Palm Springs CA, USA), действующим с помощью сжатого воздуха (0,2 МПа). Время выдержки составляет 1 час, причем контрольные животные опрыскиваются аэрозолем из 0,9%-ного раствора поваренной соли также в течение 1 часа. Через 48 часов аллергический вызов приводит к массовому внедрению эозинофильных гранулоцитов в легкие животных. К этому периоду животным вводили сверхдозу наркотического средства этилуретана (1,5 г/кг веса тела внутрибрюшинно) и проводили бронхоальвеолярное промывание (BAL) с 3×4 мл балансового раствора Хэнкса (Hank’s Balance Lösung). Общее число клеток и некоторое количество эозинофильных гранулоцитов промывной жидкости после BAL затем определяют с помощью автоматического прибора дифференцирования клеток (Bayer Diagnostics Technicon H1E). Для каждого животного рассчитывают эозинофилы (EOS) в BAL в млн/животное: EOS/мкл × регенерированное BAL (BAL-Recovery) (мл) = EOS/животное. В каждом тесте одновременно наблюдаются 2 контрольные группы (подвергавшиеся опрыскиванию физиологическим раствором поваренной соли и опрыскиванию раствором овальбумина). Подавление эозинофилов (в процентах) в испытуемой группе, подвергнутой лечению веществами, рассчитывают по следующей формуле: {((OVAC-SC)-(OVAD-SC))/(OVAC-SC)}×100% = % подавления (SC = контрольная группа, обработанная индифферентной основой лекарственного препарата и 0,9%-ным раствором поваренной соли; OVAC = контрольная группа, обработанная индифферентной основой лекарственного препарата и 1%-ной суспензией овальбумина; OVAD = испытуемая группа, подвергнутая лечению веществом и обработанная 1%-ной суспензией овальбумина). Тестируемые вещества применяют внутрибрюшинно или орально в виде суспензии в 10% полиэтиленгликоле 300 и 0,5%-ной 5-гидроксиэтилцеллюлозе за 2 часа перед аллергическим вызовом. Контрольные группы обрабатывают соответственно форме введения тестируемого вещества с помощью индифферентной основы лекарственного препарата. Соединения согласно изобретению подавляют позднюю фазу эозинофилии после внутрибрюшинного введения 10 мг/кг на 30-100% и после орального приема 30 мг/кг на 30-80%. Таким образом, соединения согласно изобретению особенно пригодны для получения лекарственных средств для лечения заболеваний, связанных с действием эозинофилов. Пример 7: Подавление легочной нейтрофилии, индуцированной липополисахаридами (LPS) у крыс Lewis Подавление легочной нейтрофильной инфильтрации с помощью веществ согласно изобретению испытывают на мужских особях крыс Lewis (250-350 г). В день эксперимента в открытые плексигласовые боксы объемом 1 л по отдельности помещаются животные, у которых голова и нос закрыты устройствами для выдержки. Животных подвергают воздействию аэрозоля из липополисахаридной суспензии (100 мкг LPS/мл 0,1% раствора гидроксиламина) в PBS (провокация LPS). Аэрозоль LPS/гидроксиламин образуется посредством распылителя (Bird micro nebulizer, Palm Springs CA, USA), действующего с помощью сжатого воздуха (0,2 МПа). Время выдержки составляет 40 минут, причем контрольные животные опрыскиваются аэрозолем из 0,1%-ного раствора гидроксиламина в PBS также в течение 40 минут. Через 6 часов провокация LPS приводит к максимальному массовому внедрению нейтрофильных гранулоцитов в легкие животных. К этому периоду животным вводят сверхдозу наркотического средства этилуретана (1,5 г/кг веса тела внутрибрюшинно) и проводят бронхоальвеолярное промывание (BAL) 3×4 мл балансового раствора Хэнкса. Общее число клеток и некоторое количество нейтрофильных гранулоцитов промывной жидкости BAL затем определяют с помощью автоматического прибора дифференцирования клеток (Bayer Diagnostics Technicon H1E). Для каждого животного рассчитывают нейтрофилы (NEUTRO) в BAL в млн/животное: NEUTRO/мкл × регенерированное BAL (мл) = NEUTRO/животное. В каждом тесте одновременно наблюдаются 2 контрольные группы (подвергавшиеся опрыскиванию 0,1%-ным раствором гидроксиламина в PBS и опрыскиванию 100 мкг LPS/мл 0,1%-ного раствора гидроксиламина в PBS). Подавление нейтрофилов (в процентах) в испытуемой группе, подвергнутой лечению веществами, рассчитывают по следующей формуле: {((LPSC-SC)-(LPSD-SC))/(LPSC-SC)}×100% = % подавления (SC = контрольная группа, обработанная индифферентной основой лекарственного препарата и 0,1%-ным раствором гидроксиламина; LPSC = контрольная группа, обработанная индифферентной основой лекарственного препарата и LPS (100 мкг/мл 0,1% раствора гидроксиламина); LPSD = испытуемая группа, подвергнутая лечению веществом и обработанная LPS (100 мкг/мл 0,1% раствора гидроксиламина)). Тестируемые вещества применяют орально в виде суспензии в 10% полиэтиленгликоле 300 и 0,5%-ной 5-гидроксиэтилцеллюлозе за 2 часа перед провокацией LPS. Контрольные группы обрабатывают соответственно форме введения тестируемого вещества с помощью индифферентной основы лекарственного препарата. Соединения согласно изобретению подавляют нейтрофилию после орального приема 1 мг/кг на 30% до 90% и, таким образом, особенно пригодны для получения лекарственных средств для лечения заболеваний, связанных с действием нейтрофилов.
Формула изобретения
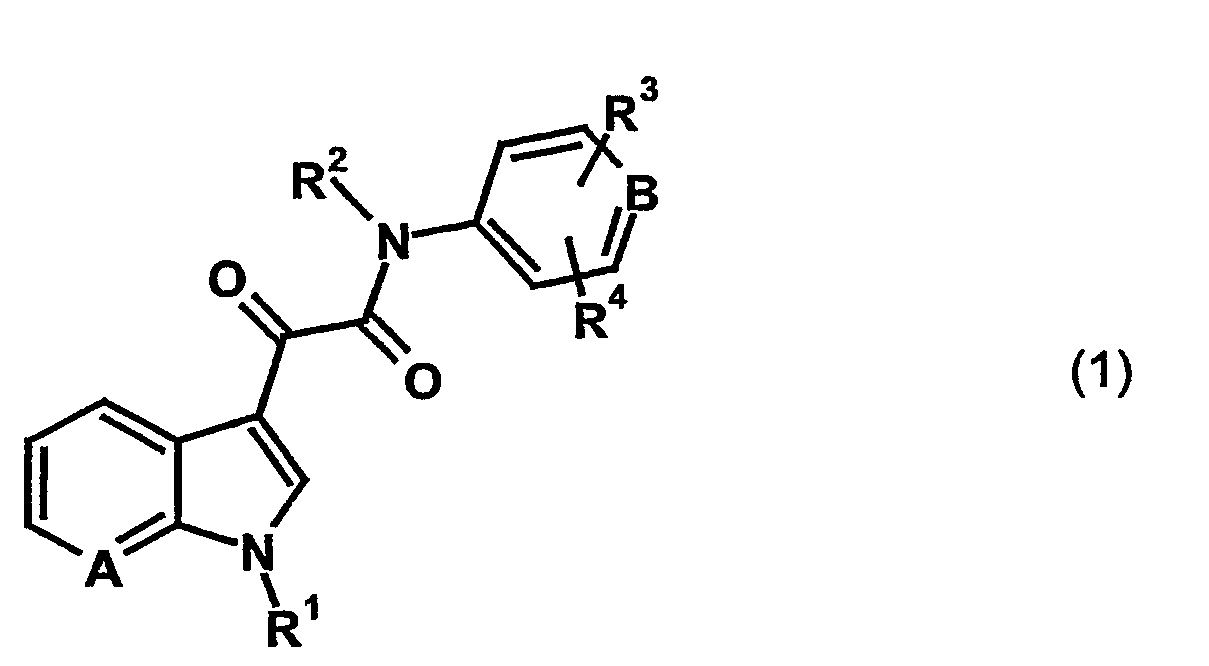
1. Соединения общей формулы 1
где (a) А обозначает N-оксидную группу и В обозначает СН, азот, (b) А обозначает азот и В обозначает N-оксидную группу, или (c) А и В обозначают N-оксидную группу, R1 обозначает (i) -С1-10-алкил, неразветвленный или разветвленный, который в случае необходимости, однозамещенный насыщенным моно-С3-С6 карбоциклом, или моно-, би- многократно ненасыщенным С6-С10 карбоциклом, причем С6-С10-арильные группы со своей стороны, в случае необходимости, одно или многократно могут быть замещены группами -C1-С6-алкил, -CN, -F, -Cl, -Br, -I, -O-C1-6-алкил, и причем алкильные группы в карбоциклических заместителях, со своей стороны, в случае необходимости, одно- или многократно могут быть замещены группами – -F, R2 означает водород, С1-С3 алкил; R3 и R4 одинаковые или различные, и обозначают водород, -F, -Cl, -Br, -I, – или его фармацевтически приемлемые соли. 2. Соединения по п.1 с асимметрическим атомом углерода в D-форме, L-форме или в форме D,L-смесей, а также, в случае нескольких асимметрических атомов углерода, в диастереомерных формах. 3. Соединение по п.1 или 2, отличающееся тем, что R обозначает -Н или -СН3. 4. Соединение по п.3, отличающееся тем, что, по меньшей мере, один из R3 и R4, или оба обозначают атом галогена. 5. Соединение по п.1 или 2, выбранное из группы: амид N-(3,5-дихлорпиридин-4-ил)-[1-(4-фторбензил)-7-оксо-7-азаиндол-3-ил]глиоксиловой кислоты, амид N-(2,6-дихлорфенил)-[1-(2-хлорбензил)-7-оксо-7-азаиндол-3-ил]глиоксиловой кислоты, амид N-(3,5-дихлор-1-оксопиридин-4-ил)-[1-(4-фторбензил)-7-азаиндол-3-ил]глиоксиловой кислоты, амид N-(3,5-дихлор-1 -оксопиридин-4-ил)-[1-(4-фторбензил)-7-оксо-7-азаиндол-3-ил]глиоксиловой кислоты, амид N-фенил-[1-(4-фторбензил)-7-оксо-7-азаиндол-3-ил]глиоксиловой кислоты, амид N-(3,5-дихлор-1-оксопиридин-4-ил)-[1-(2-фторбензил)-7-азаиндол-3-ил]глиоксиловой кислоты, амид N-(3,5-дихлор-1-оксопиридин-4-ил)-[1-(3-нитробензил)-7-азаиндол-3-ил]глиоксиловой кислоты, амид N-(3,5-дихлор-1-оксопиридин-4-ил)-[1-(2,6-дифторбензил)-7-азаиндол-3-ил] глиоксиловой кислоты, амид N-(3,5-дихлор-1-оксопиридин-4-ил)-[1-(2,4-дихлорбензил)-7-азаиндол-3-ил] глиоксиловой кислоты, амид N-(3,5-дихлорпиридин-4-ил)-[1-(2,4-дихлорбензил)-7-оксо-7-азаиндол-3-ил]глиоксиловой кислоты, амид N-(3,5-дихлор-1-оксопиридин-4-ил)-[1-(2-хлорбензил)-7-азаиндол-3-ил] глиоксиловой кислоты, амид N-(3,5-дихлорпиридин-4-ил)-[1-(2-хлорбензил)-7-оксо-7-азаиндол-3-ил] глиоксиловой кислоты, амид N-(3,5-дихлор-1-оксопиридин-4-ил)-[1-(2-хлорбензил)-7-оксо-7-азаиндол-3-ил] глиоксиловой кислоты, амид N-(3,5-дихлорпиридин-4-ил)-N-метил-[1-(2-хлорбензил)-7-оксо-7-азаиндол-3-ил] глиоксиловой кислоты, амид N-(3,5-дихлор-1-оксопиридин-4-ил)-N-метил-[1-(2-хлорбензил)-7-азаиндол-3-ил] глиоксиловой кислоты, амид N-метил-N-(1-оксопиридин-4-ил)-[1-(2-хлорбензил)-7-азаиндол-3-ил]глиоксиловой кислоты, амид N-(3,5-дихлор-1-оксопиридин-4-ил)-[1-(2,6-дихлорбензил)-7-азаиндол-3-ил] глиоксиловой кислоты, амид N-(3,5-дихлор-1 -оксопиридин-4-ил)-[1-(2-метилбензил)-7-азаиндол-3-ил]глиоксиловой кислоты, амид N-(3,5-дихлор-1-оксопиридин-4-ил)-[1-(2,6-диметилбензил)-7-азаиндол-3-ил]глиоксиловой кислоты, амид N-(3,5-дихлор-1-оксопиридин-4-ил)-(1-гексил-7-азаиндол-3-ил)глиоксиловой кислоты, амид N-(3,5-дихлор-1-оксопиридин-4-ил)-(1-изобутил-7-азаиндол-3-ил)глиоксиловой кислоты, амид N-(3,5-дихлор-1-оксопиридин-4-ил)-(1-циклопропилметил-7-азаиндол-3-ил)глиоксиловой кислоты, амид N-(3,5-дихлор-1-оксопиридин-4-ил)-[1-(нафт-1-илметил)-7-азаиндол-3-ил]глиоксиловой кислоты, амид N-(3,5-дихлорпиридин-4-ил)-[1-(2-хлор-6-фторбензил)-7-оксо-7-азаиндол-3-ил] глиоксиловой кислоты, амид N-(3,5-дихлор-1-оксопиридин-4-ил)-[1-(2-хлор-6-фторбензил)-7-азаиндол-3-ил] глиоксиловой кислоты, амид N-(3,5-дихлор-1-оксопиридин-4-ил)-[1-(2-хлор-6-фторбензил)-7-оксо-7-азаиндол-3-ил]глиоксиловой кислоты, амид N-(3,5-дихлор-1-оксопиридин-4-ил)-[1-(2-дифторметилбензил)-7-азаиндол-3-ил]глиоксиловой кислоты, амид N-(3,5-дихлор-1-оксопиридин-4-ил)-[1-(2-цианобензил)-7-азаиндол-3-ил]глиоксиловой кислоты, и их физиологически совместимые соли. 6. Соединение по любому из пп.1-5 для применения в качестве лекарственного средства, ингибирующего фосфодиэстеразу 4. 7. Способ получения соединений формулы 1, отличающийся тем, что соединение I по п.1, в котором А обозначает азот и В может быть азотом или углеродом, подвергают окислению путем обработки окислителем с образованием соединений согласно изобретению формул 1a, 1b или 1с. 8. Способ по п.7, отличающийся тем, что в качестве окислителя используют перкислоты, в особенности м-хлорпербензойную кислоту или/и перуксусную кислоту. 9. Способ по п.7, отличающийся тем, что образующуюся смесь N-оксидов разделяют путем кристаллизации или/и хроматографическими методами на чистые соединения формул 1a, 1b или 1с. 10. Способ по одному из пп.7-9, отличающийся тем, что для разделения смеси N-оксидов хроматографическими методами используют смесь растворителей этилацетат и метанол предпочтительно в соотношении между 85:15 и 90:10. 11. Применение соединений формулы 1 по одному из пп.1-5 в качестве терапевтически активных веществ для получения лекарственных средств, ингибирующих фосфодиэстеразу 4. 12. Применение соединений формулы 1 по одному из пп.1-5 в качестве терапевтически активных веществ для получения лекарственных средств, подавляющих эозинофилию. 13. Применение соединений формулы 1 по одному из пп.1-5 в качестве терапевтически активных веществ для получения лекарственных средств, подавляющих легочную нейтрофилию. 14. Применение соединений формулы 1 по одному из пп.1-5 в качестве терапевтически активных веществ для получения лекарственных средств для лечения гиперпролиферативных заболеваний, причем гиперпролиферативные заболевания представляют собой онкологические заболевания, в частности меланому, рак грудной железы, рак легких, рак кишечника, рак кожи и белокровие.
|
|||||||||||||||||||||||||||||||||||||||||||||||||||||||||||||||||||||||||||||||||||||||||||||||||||||||||||||||||||||||||||||||||||||||||||||||||||||||||||||||||||||||||||||||||||||||||||||||||||||||||||||||||||||||||


(TNF




-пиколин,
-пиколин, хинальдин или пиримидин.