Патент на изобретение №2348675
|
||||||||||||||||||||||||||||||||||||||||||||||||||||||||||||||||||||||||||||||||||||||||||||||||||||||||||||||||||||||||||||||||||||||||||||||||||||||||||||||||||||||||||||||||||||||||||||||||||||||||||||||||||||||||||||||
(54) ВЫСОКОКОНЦЕНТРИРОВАННЫЕ СТАБИЛЬНЫЕ ПРИ ХРАНЕНИИ ВОДНЫЕ ДИСПЕРСИИ ДЛЯ СТАБИЛИЗАЦИИ ЛАКОВ И ЛАЗУРЕЙ
(57) Реферат:
Изобретение отностится к высококонцентрированным, стабильным при хранении водным дисперсиям активного вещества – светостабилизатора или смеси светостабилизатора и антиоксиданта с содержанием активного вещества более чем 40 масс.%, и вязкостью 0,01-2 Па·с, которые содержат по меньшей мере один неионный смачиватель в качестве диспергатора и полигликоль в качестве способствующего растворению вещества, а также 0,2-5 масс.% олеиновой кислоты в качестве средства, повышающего текучесть. Также дисперсии могут дополнительно включать биоцид. Также изобретение относится к способу улучшения стабильности при хранении водных дисперсий активного вещества – светостабилизатора или смеси светостабилизатора и антиоксиданта, отличающийся тем, что на первой стадии диспергатор и/или другие добавки смешивают с олеиновой кислотой и на второй стадии добавляют светостабилизатор или смесь светостабилизатора и антиоксиданта, в виде порошка, в уплотненной форме или в виде гранулята, и затем диспергируют в присутствии олеиновой кислоты, диспергатора и полигликоля, а также возможных дополнительных добавок. Кроме того, изобретение относится к применению указанных высококонцентрированных водных дисперсий для получения лаковых масс. Технический результат – повышение стабильности при хранении высококонцентрированных водных дисперсий светостабилизатора или смеси светостабилизатора и антиоксиданта. 4 н. и 7 з.п.ф-лы.
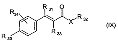
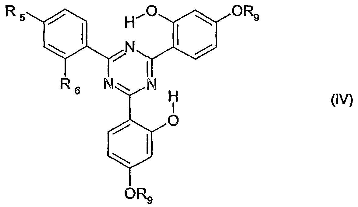
В соответствии с общественным мнением и законодательством к потребителям лаков в возрастающей степени предъявляется требование уменьшить эмиссии растворителей. Эти требования обусловлены повышенным загрязнением окружающей среды, с одной стороны, и условиями гигиены труда, с другой стороны. Водные покрытия в последние годы завоевывают постоянно возрастающее положение на рынке. Катафоретическое грунтование погружением и водный порозаполнитель являются, между тем, уровнем техники при лакировании пассажирских вагонов. В последние годы получено разрешение на использование лаков на водной основе для конвейерной ленты, а водорастворимые бесцветные и прозрачные лаки, между тем, даже уже используются в случае конвейерной ленты. Даже транспортные уплотнения и защитные воски на сегодняшний день уже изготавливают на водной основе. Также в покрытиях деталей из пластмасс или металла, покрытиях сельскохозяйственных и строительных машин, офисной мебели, электрических и электронных приборов, секций стеллажей, осветительных приборов и т.д. сегодня уже используют водорастворимые лаки. Лаковые системы и лазури на водной основе, в случае которых используют либо водорастворимые связующие, либо разбавляемые водой связующие, либо комбинацию из водорастворимых и разбавляемых водой связующих, как правило, смешиваются только с жидкими по своей природе стабилизаторами. Превалирующая часть выпускаемых стабилизаторов, однако, является твердой, порошкообразной и нерастворимой, труднорастворимой в воде. Жидкие композиции, растворы или дисперсии, по сравнению с порошкообразными формами, дополнительно обладают рядом преимуществ, как, например, отсутствие пылеобразования при обращении с ними, отсутствие проблем при смачивании из-за комкообразования и, наконец, легкая дозируемость в автоматических установках. Стабильность жидких препаратов, однако, при хранении в течение более длительных промежутков времени часто является неудовлетворительной, и, таким образом, нередко наблюдается образование агломератов или осадка. В недостаточной степени диспергированные частицы часто являются причиной часто возникающих закупорок в автоматизированных дозировочных и смесительных системах. Все органические материалы, являются ли они природными или синтетическими, обычно нужно защищать от деструкции под воздействием окружающей среды и УФ-света путем добавления стабилизаторов, в особенности путем добавления светостабилизаторов и антиоксидантов. Водные дисперсии светостабилизаторов, в особенности УФ-абсорберов, известны уже давно. Их применяют главным образом при крашении синтетических волокон, в особенности полиэфирных волокон или модифицированных кислотой полиэфирных волокон согласно уровню техники. Концентрации активных компонентов, находящихся в соответствующих формах, имеющихся в продаже, чаще всего находятся в области отчетливо ниже 40 масс.%. Наряду с этим часто оказывается, что стабильность дисперсии при хранении является недостаточной, что становится заметным за счет осаждения активных веществ. В Европейском патенте EP 225287 описываются составы красильных растворов, в которых в качестве других добавок для стабилизируемости содержатся чувствительные к электролитам загустители, чтобы можно было поддерживать определенную область вязкости. В Европейском патенте EP 345219 описываются водные дисперсии 2-(2′-гидроксифенил)бензотриазолов для повышения светостойкости окрасок синтетических волокон. В качестве добавки необходим кислый сложный эфир или его соль алкиленоксидного аддукта. В Европейском патенте EP 354174 описываются водные композиции 2-(2′-гидроксифенил)бензотриазолов для повышения светостойкости окрасок синтетических волокнистых материалов, в особенности полиэфирных волокон или модифицированных кислотой полиэфирных волокон. В качестве дополнительного компонента композиции содержат продукт конденсации не содержащей простых эфирных мостиков ароматической сульфокислоты и формальдегида. В Европейском патенте EP 468921 описывается получение водной композиции о-гидроксифенилтриазинов для повышения светостойкости окрасок синтетических волокнистых материалов, в особенности полиэфирных волокон. В Европейском патенте EP 474595 описываются водные дисперсии особо замещенных 2-(2′-гидроксифенил)бензотриазолов, используемых индивидуально или в смеси с бензофеноном, для применения при окрашивании синтетических волокнистых материалов, в особенности полиэфирных волокон или модифицированных кислотой полиэфирных волокон. В Европейском патенте EP 490819 описывается водная композиция на основе смеси из соединений бензотриазола и 2-гидроксибензофенона для использования при окрашивании синтетических волокнистых материалов, в особенности полиэфирных волокон или модифицированных кислотой полиэфирных волокон. В Европейском патенте EP 820978 описывается обработка текстильных материалов для повышения светостойкости с помощью композиций на основе 2-гидроксибензофеноновых соединений. В выложенном описании к заявке DE-OS 3511924 описываются водные композиции на основе стерически затрудненных аминосветозащитных средств (HALS) для использования в лакокрасочной области, которые содержат, в общем, 5-50 масс.%, предпочтительно 15-40 масс.% HALS и 2-30 масс.%, предпочтительно 3-20 масс.% неионного диспергатора. Используемое содержание активного вещества составляет, например, 32 масс.%. Получаемые согласно этому выложенному описанию дисперсии, в особенности таковые с более высоким содержанием активного вещества, однако, недостаточно стабильны при хранении, чтобы обеспечивать более продолжительное хранение без потерь качества. В патенте GB 2187746 описываются стабильные водные дисперсии 2-(2′-гидроксифенил)бензотриазолов (УФ-абсорбер) с содержанием активного вещества 20-45 масс.% и содержанием 7-15 масс.% неионного диспергатора. Размер частиц УФ-абсорбера предпочтительно <1 мкм. Используемое количество активного вещества составляет, например, 40 масс.%. В выложенном описании к заявке DE-OS 19946519 описываются, в основном, очень разбавленные водные дисперсии для стабилизации дисперсий синтетических полимеров, а также способ их получения. Содержание активного вещества (фенольного антиоксиданта) указано 0,1-59,9 масс.%, доля поверхностно-активных веществ для диспергирования составляет 0,5-15 масс.%. Задачей настоящего изобретения является повышение стабильности при хранении высококонцентрированных водных дисперсий светостабилизатора или смеси светостабилизатора и антиоксиданта. Задача, согласно изобретению, решается благодаря водным дисперсиям светостабилизатора или смеси светостабилизатора и антиоксиданта, отличающимся тем, что они содержат активное вещество в количестве более чем 47 масс.% и содержат по меньшей мере один неионный смачиватель в качестве диспергатора и один полигликоль в качестве способствующего растворению вещества, а также 0,2-5 масс.% олеиновой кислоты в качестве средства, улучшающего текучесть. В качестве полигликоля можно использовать монометиловый эфир полиэтиленгликоля, Полигликоль 300, Полигликоль 400 или Полигликоль 500. Задача решается далее способом стабилизации водных дисперсий с использованием вышеуказанных компонентов. Объектом настоящего изобретения являются дисперсии индивидуальных или находящихся в виде смесей светостабилизаторов и антиоксидантов и их применение при стабилизации лаков и лазурей, в особенности базисных лаков, бесцветных и прозрачных лаков и лазурей на водной основе. Изобретение относится в особенности к устойчивым при хранении водным композициям от труднорастворимых до нерастворимых в воде твердых веществ, которые используются в качестве светостабилизаторов или антиоксидантов, с размером частиц, имеющих D50 меньше чем 5 мкм, для стабилизации лаковых систем и лазурей на водной основе. Активные вещества предпочтительно имеют размер частиц D50=0,5-2 мкм и D90<3,5 мкм. Изобретение отличается тем, что высококонцентрированные, устойчивые при хранении водные дисперсии содержат активное вещество в количестве более чем 47 масс.%, предпочтительно 47-57 масс.%, особенно предпочтительно 47-54 масс.% и в высшей степени предпочтительно более чем 50 масс.% и вплоть до 54 масс.%. Предлагаемые согласно изобретению высококонцентрированные водные дисперсии содержат 0,2-5,0 масс.% олеиновой кислоты в качестве средства, улучшающего текучесть, чтобы поддерживать соответствующую вязкость без слишком большого разбавления. Используют количества предпочтительно 0,2-4,0 масс.% и особенно предпочтительно 0,2-3,0 масс.%. Водные дисперсии предпочтительно имеют вязкость 0,01-2 Па·с. Высококонцентрированные водные дисперсии по изобретению содержат неионный смачиватель, например этилоксилат, такой как олеилэтилоксилат, тристирилфеноловый эфир полиэтиленгликоля или алкилэтоксилат животных жиров. Предлагаемые согласно изобретению высококонцентрированные водные дисперсии наряду с неионными смачивателями могут содержать также анионный смачиватель, что позволяет осуществлять оптимальное диспергирование активных веществ и вместе с тем обеспечивает повышенную стабильность при хранении. В качестве анионного смачивателя используют, например, тетранатрий -N-(1,2-дикарбоксиэтил)-N-октадецилсульфосукцинамат, алкилполиэфирсульфат, алкилсульфонат или дисульфосукцинат натрия. Светостабилизатор или смесь светостабилизатора и антиоксиданта согласно изобретению должны иметь температуру плавления по меньшей мере 35°С, чтобы они не плавились при переработке до водных дисперсий, которую часто осуществляют при повышенной температуре. Предпочтительными светостабилизаторами являются продукты формул (I)-(VIII): (твердые продукты, как, например, описываемые в патенте US 4853471) (как, например, описываемые в заявке EP 820978-А1) где R30 означает Н, н-алкил, изо-алкил, незамещенный или замещенный арил, OR35 или структурный фрагмент где R35 означает Н, н-алкил, изо-алкил, незамещенный или замещенный арил; R31 означает Н, н-алкил, изо-алкил или структурный фрагмент
Х означает -О- или -(NR36)-, где R36 = Н, н-алкил, изо-алкил; R33 = Н, н-алкил, изо-алкил, CN или группу R32 и R38, независимо друг от друга, имеют следующие значения: Н, н-алкил, изо-алкил, незамещенный или замещенный арил или структурный фрагмент где R39 = Н или (С1-С18)-алкил, (С7-С18)-алкиларил, -О-(С1-С18)-алкил или ацетил. Символы R1-R16 имеют следующие значения: R1, R2 и R3, независимо друг от друга, означают водород, линейный или разветвленный (С1-С12)-алкил, циклоалкил, аралкил; предпочтительно метил, втор-бутил, трет-бутил, трет-амил, трет-октил, циклогексил или группу где R’ означает водород или (С1-С12)-алкил; R4 означает водород, галоген, такой как Cl или Br, карбокси или сульфокислотную группу, линейный или разветвленный (С1-С12)-алкил, циклоалкил или низший алкокси; R3‘, R3” и R3“‘, независимо друг от друга, означают водород, линейный или разветвленный (С1-С12)-алкил, циклоалкил, аралкил; Т означает водород, (С1-С12)-алкил или оксогруппу; R5, R6, R7 и R8, независимо друг от друга, означают водород, линейный или разветвленный (С1-С8)-алкил, незамещенный или замещенный низшим алкилом арил; R9 означает водород или линейную или разветвленную, алифатическую или циклоалифатическую алкильную группу с 1-12 атомами углерода, которая, в случае необходимости, может быть замещена одной или несколькими ОН-группами, или одной или несколькими алкоксигруппами, или смешанно ОН- и алкоксигруппами; R10 означает ОН, алкокси с 1-12 атомами углерода, гидроксиэтоксигруппу или группу
где Y означает прямую связь или группу и где R” означает водород, метил или метоксигруппу; R11 означает водород, галоген, циан, (С1-С8)-алкил, циклоалкил, алкокси, фенокси, фенил, гидрокси или гидроксиэтокси; R12 означает водород, галоген, циан, (С1-С8)-алкил, циклоалкил, алкокси, фенокси, фенил, гидрокси или гидроксиэтокси, или группу
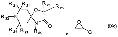
R13, R14, R15 и R16, одинаково или независимо друг от друга, означают водород, линейный или разветвленный алкил, ОН, алкокси. Стерически затрудненные производные пиперидина (HA(L)S), которые используются согласно изобретению, относятся к хорошо известной группе стабилизаторов, которые уже применяются для повышения светостойкости или механических свойств. Такими стерически затрудненными производными пиперидина являются, например, соединения формул (IXa)-(IXc): где, независимо друг от друга, А означает -О- или -NR20-; R20 означает Н, (С1-С18)-алкил или одну из групп R17 означает Н, (С1-С18)-алкил; R18 означает Н, алифатический, циклоалифатический, ароматический или гетероароматический остаток; R21 означает (С1-С18)-алкил; или, соответственно, два связанных с общим атомом углерода остатка R21 образуют (С4-С8)-циклоалкильный остаток; R22 означает Н или (С1-С18)-алкил, (С7-С18)-алкиларил; R23 означает Н, n-валентный алифатический, циклоалифатический, ароматический или гетероароматический остаток; R24 означает (С1-С18)-алкил или -С(О)-(С1-С18)-алкил; R25 означает Н, (С1-С18)-алкил, (С4-С18)-циклоалкил или, соответственно, два остатка R5, связанных с одним и тем же атомом углерода, образуют (С4-С18)-циклоалкильный остаток; n означает целое число >0. В качестве другой добавки в предлагаемых согласно изобретению дисперсиях могут содержаться следующие антиоксиданты: 1.1 алкилированные монофенолы, например 2,6-ди-трет-бутил-4-метилфенол, 2-бутил-4,6-диметилфенол, 2,6-ди-трет-бутил-4-этилфенол, 2,6-ди-трет-бутил-4-н-бутилфенол, 2,6-ди-трет-бутил-4-изобутилфенол, 2,6-дициклопентил-4-метилфенол, 2,4а-метилциклогексил-4,6-диметилфенол, 2,6-диоктадецил-4-метилфенол, 2,4,6-трициклогексилфенол, 2,6-ди-трет-бутил-4-метоксиметилфенол, 2,6-динонил-4-метилфенол, 2,4-диметил-6-(1′-метилундец-1′-ил)фенол, 2,4-диметил-6-(1′-метилгептадецил)фенол, 2,4-диметил-6-(1′-метилтридец-1′-ил)фенол и их смеси; 1.2 алкилтиометилфенолы, например 2,4-диоктилтиометил-6-трет-бутилфенол, 2,4-диоктилтиометил-6-метилфенол, 2,4-диоктилтиометил-6-этилфенол, 2,6-дидодецилтиометил-4-нонилфенол; 1.3 гидрохиноны и алкилированные гидрохиноны, например 2,6-ди-трет-бутил-4-метоксифенол, 2,5-ди-трет-бутилгидрохинон, 2,5-ди-трет-амилгидрохинон, 2,6-дифенил-4-октадецилоксифенол, 2,6-ди-трет-бутилгидрохинон, 2,5-ди-трет-бутил-4-гидроксианизол, 3,5-ди-трет-бутил-4-гидроксианизол, 3,5-ди-трет-бутил-4-гидроксифенилстеарат, бис(3,5-ди-трет-бутил-4-гидроксифенил)адипат; 1.4 токоферолы, например 1.5 гидроксилированные тиодифениловые эфиры, например 2,2′-тиобис(6-трет-бутил-4-метилфенол), 2,2′-тиобис(4-октилфенол), 4,4′-тиобис(6-трет-бутил-3-метилфенол), 4,4′-тиобис(6-трет-бутил-2-метилфенол), 4,4′-тиобис(3,6-ди-втор-амилфенол), 4,4′-бис(2,6-диметил-4-гидроксифенил)дисульфид; 1.6 алкилиденбисфенолы, например 2,2′-метиленбис(6-трет-бутил-4-метилфенол), 2,2′-метиленбис(6-трет-бутил-4-этилфенол), 2,2′-метиленбис[4-метил-6-( 1.7 О-, N- и S-бензильные соединения, например 3,5,3′,5′-тетра-трет-бутил-4,4′-дигидроксидибензиловый эфир, октадецил-4-гидрокси-3,5-диметилбензилмеркаптоацетат, трис(3,5-ди-трет-бутил-4-гидроксибензил)амин, бис(4-трет-бутил-3-гидрокси-2,6-диметилбензил)дитиотерефталат, бис(3,5-ди-трет-бутил-4-гидроксибензил)сульфид, изооктил-3,5-ди-трет-бутил-4-гидроксибензилмеркаптоацетат; 1.8 гидроксибензилированные малонаты, например диоктадецил-2,2-бис(3,5-ди-трет-бутил-2-гидроксибензил)малонат, диоктадецил-2-(3-трет-бутил-4-гидрокси-5-метилбензил)малонат, дидодецилмеркаптоэтил-2,2-бис(3,5-ди-трет-бутил-4-гидроксибензил)малонат, ди[4-(1,1,3,3-тетраметилбутил)фенил], 2,2-бис(3,5-ди-трет-бутил-4-гидроксибензил)малонат; 1.9 гидроксибензильные ароматические соединения, например 1,3,5-трис(3,5-ди-трет-бутил-4-гидроксибензил)-2,4,6-триметилбензол, 1,4-бис(3,5-ди-трет-бутил-4-гидроксибензил)-2,3,5,6-тетраметилбензол, 2,4,6-трис(3,5-ди-трет-бутил-4-гидроксибензил)фенол; 1.10 триазиновые соединения, например 2,4-бисоктилмеркапто-6-(3,5-ди-трет-бутил-4-гидроксианилино)-1,3,5-триазин, 2-октилмеркапто-4,6-бис(3,5-ди-трет-бутил-4-гидроксианилино)-1,3,5-триазин, 2-октилмеркапто-4,6-бис(3,5-ди-трет-бутил-4-гидроксифенокси)-1,3,5-триазин, 2,4,6-трис-(3,5-ди-трет-бутил-4-гидроксифенокси)-1,2,3-триазин, 1,3,5-трис(3,5-ди-трет-бутил-4-гидроксибензил)изоцианурат, 1,3,5-трис(4-трет-бутил-3-гидрокси-2,6-диметилбензил)изоцианурат, 2,4,6-трис(3,5-ди-трет-бутил-4-гидроксифенилэтил)-1,3,5-триазин, 1,3,5-трис(3,5-ди-трет-бутил-4-гидроксифенилпропионил)гексагидро-1,3,5-триазин, 1,3,5-трис(3,5-дициклогексил-4-гидроксибензил)изоцианурат; 1.11 бензилфосфонаты, например диметил-2,5-ди-трет-бутил-4-гидроксибензилфосфонат, диэтил-3,5-ди-трет-бутил-4-гидроксибензилфосфонат, диоктадецил-3,5-ди-трет-бутил-4-гидроксибензилфосфонат, диоктадецил-5-трет-бутил-4-гидрокси-3-метилбензилфосфонат, кальциевая соль моноэтилового эфира 3,5-ди-трет-бутил-4-гидроксибензилфосфоновой кислоты; 1.12 ациламинофенолы, амид 4-гидроксилауриновой кислоты, анилид 4-гидроксистеариновой кислоты, октиловый эфир N-(3,5-ди-трет-бутил-4-гидроксифенил)карбаминовой кислоты; 1.13 эфиры 1.14 эфиры 1.15 эфиры 1.16 эфиры 3,5-ди-трет-бутил-4-гидроксифенилуксусной кислоты с одно- или многоатомными спиртами, как, например, с метанолом, этанолом, октанолом, октадеканолом, 1,6-гександиолом, 1,9-нонандиолом, этиленгликолем, 1,2-пропандиолом, неопентилгликолем, тиодиэтиленгликолем, диэтиленгликолем, триэтиленгликолем, пентаэритритом, трис(гидроксиэтил)изоциануратом, диамидом N,N’-бис(гидроксиэтил)щавелевой кислоты, 3-тиаундеканолом, 3-тиапентадеканолом, триметилгександиолом, триметилолпропаном, 4-гидроксиметил-1-фосфа-2,6,7-триоксабицикло[2,2,2]октаном; 1.17 амиды Другими добавками, которые могут содержаться в предлагаемых согласно изобретению дисперсиях, являются: 2. дезактиваторы металлов, как, например, диамид N,N’-дифенилщавелевой кислоты, N-салицилаль-N’-салицилоилгидразин, N,N’-бис(салицилоил)гидразин, N,N’-бис(3,5-ди-трет-бутил-4-гидроксифенилпропионил)гидразин, 3-салицилоиламино-1,2,4-триазол, дигидразид бис(бензилиден)щавелевой кислоты, оксанилид, дигидразид изофталевой кислоты, бисфенилгидразид себациновой кислоты, дигидразид N,N’-диацетиладипиновой кислоты, дигидразид N,N’-биссалицилоилщавелевой кислоты, дигидразид N,N’-биссалицилоилтиопропионовой кислоты; 3. фосфиты и фосфониты, как, например, трифенилфосфит, дифенилалкилфосфиты, фенилдиалкилфосфиты, трис(нонилфенил)фосфит, трилаурилфосфит, триоктадецилфосфит, дистеарилпентаэритритдифосфит, трис(2,4-ди-трет-бутилфенил)фосфит, диизодецилпентаэритритдифосфит, бис(2,4-ди-трет-бутилфенил)пентаэритритдифосфит, бис(2,6-ди-трет-бутил-4-метилфенил)пентаэритритдифосфит, бисизодецилоксипентаэритритдифосфит, бис(2,4-ди-трет-бутил-6-метилфенил)пентаэритритдифосфит, бис(2,4,6-три-трет-бутилфенил)пентаэритритдифосфит, тристеарилсорбиттрифосфит, тетракис(2,4-ди-трет-бутилфенил)-4,4′-бифенилендифосфонит, 6-изооктилокси-2,4,8,10-тетра-трет-бутил-12Н-дибензо[d,g]-1,3,2-диоксафосфоцин, 6-фтор-2,4,8,10-тетра-трет-бутил-12-метилдибензо[d,g]-1,3,2-диоксафосфоцин, бис(2,4-ди-трет-бутил-6-метилфенил)метилфосфит, бис(2,4-ди-трет-бутил-6-метилфенил)этилфосфит; 4. разрушающие пероксиды соединения, как, например, эфиры 5. полиамидные стабилизаторы, как, например, соли меди в сочетании с иодидами и/или фосфорными соединениями и соли двухвалентного марганца; 6. основные состабилизаторы, как, например, меламин, поливинилпирролидон, дициандиамид, триаллилцианурат, производные мочевины, производные гидразина, амины, полиамиды, полиуретаны, соли щелочных и щелочно-земельных металлов высших жирных кислот, например стеарат кальция, стеарат цинка, бегенат магния, стеарат магния, рицинолеат натрия, пальмитат калия, пирокатехинат сурьмы или пирокатехинат олова; 7. средства против облучения, как, например, 4-трет-бутилбензойная кислота, адипиновая кислота, дифенилуксусная кислота; 8. наполнители и усилители, как, например, карбонат кальция, силикаты, стекловолокна, асбест, тальк, каолин, слюда, сульфат бария, оксиды и гидроксиды металлов, сажа, графит; 9. прочие добавки, как, например, пластификаторы, смазки, эмульгаторы, пигменты, оптические отбеливатели, антипирены, антистатики, порофоры. Предлагаемые согласно изобретению высококонцентрированные водные дисперсии обладают светостойкостью в течение более 4 недель при температуре 50°C, что, как показывает опыт, соответствует хранению при комнатной температуре свыше 1 года. Согласно предпочтительному варианту осуществления, предлагаемые согласно изобретению водные дисперсии в качестве дополнительного компонента содержат биоцид. Присутствие биоцида еще более значительно повышает стабильность при хранении, так как предотвращается или по меньшей мере сильно замедляется разложение (или частичная деструкция) диспергатора и/или светостабилизатора при поражении грибами и/или бактериями. Биоцидами являются, например, соединения из класса модифицированных изотиазолин-3-онов. Их используют в форме растворов, эмульсий или в виде синергических смесей с другими компонентами. Предпочтительны стандартные биоциды, как, например, продукты ACTICIDE®, выпускаемые фирмой Thor, или продукты PARMETOL®, выпускаемые фирмой Schülke & Mayr. Особенно предпочтительные водные дисперсии согласно изобретению содержат 47-54 масс.% активного вещества, 5-10 масс.% смачивателя, 5-10 масс.% способствующего растворению вещества, 0,2-3 масс.% олеиновой кислоты и <1 масс.% биоцидов, в 30-40 масс.% воды. Предлагаемые согласно изобретению стабилизирующие композиции можно получать способом, в котором стабилизатор в виде порошка, в уплотненной форме или в виде гранулята диспергируют в присутствии олеиновой кислоты, полигликоля и диспергатора и/или других обычных добавок. Диспергатор и/или добавки предпочтительно сначала смешивают с олеиновой кислотой, примешивают стабилизатор и, в зависимости от твердости частиц используемого стабилизатора, диспергируют с помощью мешалок, аппаратов для растворения, ротор-статорных мельниц, шаровых мельниц, шаровых мельниц с мешалкой, таких как песочные и бисерные мельницы, скоростных смесителей, пластикаторов или высокопроизводительных бисерных мельниц. Полученную композицию, в случае необходимости, разбавляют далее с помощью олеиновой кислоты. Предлагаемые согласно изобретению высококонцентрированные водные дисперсии вводят в водные лаковые массы, причем их используют в количествах от 0,3 до 3 масс.%, согласно общей рецептуре, и они совместимы со всеми известными связующими системами. Примерами таких систем являются водные дисперсии, водные эмульсии или водные растворы связующего на основе сшивающейся алкидной смолы, акриловой смолы, полиэфирной смолы или полиуретановой смолы. В нижеследующих примерах используют следующие продукты:
В качестве полигликоля используют монометиловый эфир полиэтиленгликоля со средней массой в пределах 470-530 г/моль. Пример 1 В вертикальной мельнице смешивают 10 частей полигликоля 8,5 частей диспергирующей смеси М1 1,0 часть олеиновой кислоты и 0,2 части биоцида в 32,3 частях воды. Затем добавляют 48 частей UVA 1 и смесь измельчают с помощью стеклянных гранул (диаметр 1 мм) в течение 5-6 часов вплоть до получения размера частиц < 5 мкм. Таким образом полученную дисперсию отделяют от гранул путем отфильтровывания. Получают устойчивую при хранении дисперсию (вязкость 1,0 Па·с). Пример 2 Таким же способом смешивают 20 частей полигликоля 6 частей диспергирующей смеси М2 1,0 часть олеиновой кислоты и 0,2 части биоцида в 24,8 частях воды и добавляют 48 частей UVA 1. Получают устойчивую при хранении дисперсию (вязкость 1,8 Па·с). Пример 3 Таким же способом смешивают 5 частей полигликоля 6 частей диспергирующей смеси М2 1,0 часть олеиновой кислоты и 0,2 части биоцида в 39,8 частях воды и добавляют 48 частей UVA 1. Получают устойчивую при хранении дисперсию (вязкость 0,8 Па·с). Пример 4 Таким же способом смешивают 10 частей полигликоля 6 частей диспергирующей смеси М2 1,0 часть олеиновой кислоты и 0,2 части биоцида в 30,8 частях воды и добавляют 52 части UVA 2. Получают устойчивую при хранении дисперсию (вязкость 0,7 Па·с). Пример 5 Таким же способом смешивают 5 частей полигликоля 6 частей диспергирующей смеси М2 1,0 часть олеиновой кислоты и 0,2 части биоцида в 39,8 частях воды и добавляют 48 частей UVA 3. Получают устойчивую при хранении дисперсию (вязкость 0,2 Па·с). Пример 6 Таким же способом смешивают 5 частей полигликоля 6 частей диспергирующей смеси М2 1,0 часть олеиновой кислоты и 0,2 части биоцида в 37,8 частях воды и добавляют 50 частей UVA 4. Получают устойчивую при хранении дисперсию (вязкость 0,4 Па·с). Примеры 7-28 Таким же способом, в соответствии с примером 3 или примером 5, в каждом случае смешивают 5 частей полигликоля 6 частей диспергирующей смеси М2 1,0 часть олеиновой кислоты и 0,2 части биоцида в 37,8 частях воды и добавляют 48 частей следующих стабилизаторов:
ДОКАЗАТЕЛЬСТВО ПОВЫШЕННОЙ СТАБИЛЬНОСТИ ПРИ ХРАНЕНИИ По одному образцу дисперсий, полученных согласно примеру 1 и примеру 2 выложенного описания к заявке DE-OS 3511924, вместе с дисперсиями, полученными согласно вышеприведенным примерам 22 или 27, тестируют в отношении их стабильности при хранении при комнатной температуре и температуре 50°C. В качестве меры стабильности считают время, после которого начинается осаждение продуктов:
ДОКАЗАТЕЛЬСТВО ПОВЫШЕННОЙ СТАБИЛЬНОСТИ ПРИ ХРАНЕНИИ БЛАГОДАРЯ ДОБАВКЕ БИОЦИДА Примеры 1-6 повторяют без добавления биоцида в рецептуре (примеры 1а-6а). После хранения в течение 6 месяцев при комнатной температуре образцы исследуют на поражение грибами и бактериями. Используемой тест-системой является система фирмы Biotest Diagnostics GK-T/HS, которая позволяет осуществлять одновременное определение общего числа микроорганизмов/ТТС, с одной стороны, и дрожжи и плесневые грибки, с другой стороны. Для этого дисперсии медленно прикапывают на обе стороны индикаторных поверхностей так, чтобы поверхности смачивались, или их намазывают с помощью стерильной петли для вакцинирования, которую погружают в дисперсии. Затем пробирки закрывают и выдерживают в инкубационном шкафу при температуре 30-35°C в течение 3-5 дней. Оценку индикаторов осуществляют согласно прилагаемой к каждой упаковке инструкции по эксплуатации путем сравнения. Если спустя соответствующее время инкубации имеются более чем 102 КВЕ/мл (КВЕ = колониеобразующие единицы), то произошло сильное бактериальное загрязнение дисперсии, которое может оказывать очень негативное влияние на дальнейшую стабильность при хранении дисперсии (деструкция диспергатора).
ПРИМЕР ПРИМЕНЕНИЯ Полимерную систему на водной основе, состоящую из стирол-модифицированный акрилатной эмульсии, получают следующим образом: смесь, состоящую из 106,0 частей бутилгликоля и 132,1 частей деминерализованной воды при интенсивном перемешивании медленно добавляют к 761,9 частей Neocryl® XK-62 (Avecia). Эта система служит в дальнейших опытах в качестве основного материала для испытания указанных в примерах дисперсий, например, в отношении растворимости с образованием прозрачного раствора, что позволяет сделать вывод о хорошей совместимости и распределении. Таким образом, стабилизированные «лаки» с помощью ракли (ширина пленки 80 мм) с толщиной пленки в мокром состоянии 100 мкм наносят на высокопрозрачные полиэфирные пленки и/или матово-черные пигментированные LENETA-карты и высушивают в сушильной печи с циркуляцией воздуха при температуре 50°C и 80°C. Затем полиэфирные пленки оценивают на прозрачность, LENETA-карты – в отношении возможно появляющихся свойств затекания, что свидетельствует о несовместимости и насыщенности в лаке. ВВЕДЕНИЕ В ВОДНЫЙ ПРОЗРАЧНЫЙ ЛАК 2К-PUR ДЛЯ ОЕМ-ПРИМЕНЕНИЙ Полиольный компонент состоит из следующих составных частей:
Полиольный компонент интенсивно перемешивают вручную или с помощью скоростной мешалки (1000 об./мин). Смешение отдельных составных частей должно происходить в заданной последовательности. ОТВЕРЖДАЮЩИЙ КОМПОНЕНТ
Описанные в примерах дисперсии перед смешением с отверждающим компонентом добавляют к полиольному компоненту. Для этого смешение с отверждающим компонентом нужно осуществлять самое раннее спустя 12 часов после получения полиольного компонента. Смешение полиольного компонента с отверждающим компонентом осуществляют в 2 стадии: 1) путем получения предварительной эмульсии размешиванием компонентов вручную или 2) с помощью лабораторной мешалки. Конечное смешение осуществляют путем струйного диспергирования при давлении 50 бар (например, безвоздушный насос Merkur 060.020-DP F, фирма Walther/Wuppertal) или с помощью диспермата (5 минут при 2000 об./мин). Сравнительные опыты путем добавки к полимерному раствору жидких стабилизаторов HALS на основе бутилгликоля:
ВВЕДЕНИЕ В МЯГКИЙ НА ОЩУПЬ ЛАК Мягкий на ощупь лак (soft-feel Lack) получают следующим образом:
К этому лаку добавляют 0,5 масс.% вышеописанных дисперсий. Таким образом, стабилизированные «лаки» с помощью ракли (ширина пленки 80 мм) с толщиной пленки в мокром состоянии 100 мкм наносят на высокопрозрачные полиэфирные пленки и высушивают в сушильной печи с циркуляцией воздуха при комнатной температуре и при температуре 50°C. Затем полиэфирные пленки исследуют на прозрачность.
Формула изобретения
1. Высококонцентрированные устойчивые при хранении водные дисперсии активного вещества – светостабилизатора или смеси светостабилизатора и антиоксиданта, отличающиеся тем, что они содержат активное вещество в количестве более 47 мас.% и содержат по меньшей мере один неионный смачиватель в качестве диспергатора и полигликоль в качестве способствующего растворению вещества, а также 0,2-5 мас.% олеиновой кислоты в качестве средства, повышающего текучесть. 2. Водные дисперсии по п.1, причем светостабилизатор или смесь светостабилизатора и антиоксиданта имеет температуру плавления по меньшей мере 35°С. 3. Водные дисперсии по п.1 или 2, причем содержание активного вещества составляет 47-57 мас.%. 4. Водные дисперсии по п.1, причем они имеют вязкость 0,01-2 Па·с. 5. Водные дисперсии по п.1, которые наряду с неионным смачивателем содержат анионный смачиватель. 6. Водные дисперсии по п.1, где активные вещества имеют размер частиц с D50<5 мкм, предпочтительно с D50=0,5-2 мкм и D90<3,5 мкм. 7. Водные дисперсии по п.1 со стабильностью при хранении свыше 4 недель при температуре 50°С. 8. Высококонцентрированные устойчивые при хранении водные дисперсии активного вещества – светостабилизатора или смеси светостабилизатора и антиоксиданта, отличающиеся тем, что они содержат активное вещество в количестве более 47 мас.% и содержат по меньшей мере один неионный смачиватель в качестве диспергатора и полигликоль в качестве способствующего растворению вещества, а также 0,2-5 мас.% олеиновой кислоты в качестве средства, повышающего текучесть, и в качестве дополнительного компонента содержат биоцид. 9. Водные дисперсии по п.8, содержащие 47-54 мас.% активного вещества, 5-10 мас.% смачивателя (в качестве диспергатора), 5-10 мас.% полигликоля (в качестве способствующего растворению вещества), 0,2-3 мас.% олеиновой кислоты (в качестве средства, повышающего текучесть), <1 мас.% биоцидов в 30-40 мас.% воды. 10. Способ улучшения стабильности при хранении водных дисперсий активного вещества – светостабилизатора или смеси светостабилизатора и антиоксиданта, отличающийся тем, что на первой стадии диспергатор и/или другие добавки смешивают с олеиновой кислотой и на второй стадии добавляют светостабилизатор или смесь светостабилизатора и антиоксиданта, в виде порошка в уплотненной форме или в виде гранулята и затем диспергируют в присутствии олеиновой кислоты, диспергатора и полигликоля, а также возможных дополнительных добавок. 11. Применение высококонцентрированных водных дисперсий по любому из пп.1-9 для получения лаковых масс.
|
||||||||||||||||||||||||||||||||||||||||||||||||||||||||||||||||||||||||||||||||||||||||||||||||||||||||||||||||||||||||||||||||||||||||||||||||||||||||||||||||||||||||||||||||||||||||||||||||||||||||||||||||||||||||||||||













, причем Х имеет вышеуказанное значение, и












-токоферол,
-токоферол,
-токоферол,
-токоферол и их смеси (витамин Е);
105