Патент на изобретение №2348645
|
||||||||||||||||||||||||||
(54) СПЕЦИФИЧЕСКОЕ ГЛЮКОКОРТИКОСТЕРОИДНОЕ СОЕДИНЕНИЕ, ОБЛАДАЮЩЕЕ ПРОТИВОВОСПАЛИТЕЛЬНОЙ АКТИВНОСТЬЮ
(57) Реферат:
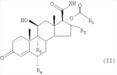
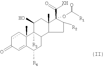
Соединение формулы (I), где Х представляет собой О или S; R1 представляет собой C1-6алкил, С3-8циклоалкил, С3-8циклоалкилметил, любой из которых, может быть замещен одной или более метильными группами или атомами галогенов, или R1 представляет собой 4-(диэтиламино)сульфонилфенил, 2,6-дифторфенил, 4-метоксифенил, 4-цианометил, 3-дифторметилтиофенил, 5-хлор-4-метокси-тиофен-3-ил, 2-изопропил-1,3-тиазол-4-ил, хинолин-2-ил, 5-трифторметил-фуран-2-ил, 5-метилсульфонил-тиофен-2-ил, 5-метилтиотиофен-2-ил, или 5-этилизоксазол-3-ил; R2 представляет собой водород, метил, который может находиться или в
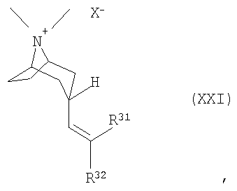
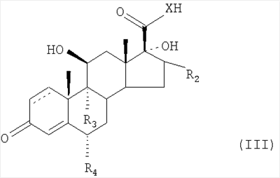
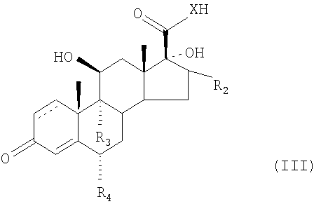
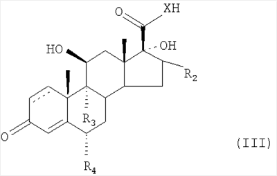
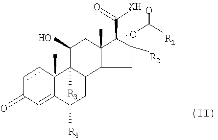
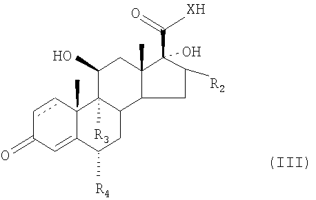
Настоящее изобретение относится к соединениям андростанового ряда, которые являются агонистами глюкокортикоидных рецепторов, и к способам их получения. Настоящее изобретение также относится к фармацевтическим препаратам, содержащим указанные соединения, и их терапевтическим применениям, в частности для лечения воспалительных и аллергических состояний. Глюкокортикостероиды, обладающие противовоспалительными свойствами, известны и широко применяются при лечении воспалительных расстройств или заболеваний, таких как астма и ринит. Тем не менее, авторы настоящего изобретения обнаружили новую группу глюкокортикостероидов. Таким образом, согласно одному аспекту настоящего изобретения предложено соединение формулы (I) где Х представляет собой О или S; R1 представляет собой С1-6алкил, С3-8циклоалкил или С3-8циклоалкилметил, любой из которых может быть замещен одной или более метильными группами или атомами галогенов, или R1 представляет собой 4-(диэтиламино)сульфонилфенил, 2,6-дифторфенил, 4-метоксифенил, 4-цианометил, 3-дифторметилтиофенил, 5-хлор-4-метокси-тиофен-3-ил, 2-изопропил-1,3-тиазол-4-ил, хинолин-2-ил, 5-трифторметил-фуран-2-ил, 5-метилсульфонил-тиофен-2-ил, 5-метилтио-тиофен-2-ил или 5-этил-изоксазол-3-ил; R2 представляет собой водород, метил, который может находиться или в R3 и R4 являются одинаковыми или разными, и каждый независимо представляет собой водород или галоген, и или его физиологически приемлемая соль или сольват. Примеры сольватов включают гидраты. Ниже в описании ссылки на соединение по изобретению включают как соединения формулы (I), так и их соли и сольваты. Необходимо принимать во внимание, что в объем настоящего изобретения включены все стереоизомеры соединений формулы (I) и их смеси. Предпочтительно, чтобы абсолютная стереохимия была такой, как она показана на изображении соединений формулы (I). Предпочтительно Х представляет собой О. Предпочтительные примеры С1-6алкильных групп, которыми может являться R1, включают 2,2-диметилпропил. Предпочтительные примеры С3-8циклоалкильных групп, которыми может являться R1, включают циклопропил, циклобутил, циклопентил и циклогексил и замещенные производные, такие как метилциклопропил (например, 1-метилциклопропил), дихлордиметилциклопропил (например, 2,2-дихлор-3,3-диметилциклопропил) и тетраметилциклопропил (например, 2,2,3,3-тетраметилциклопропил). Предпочтительные примеры С3-8циклоалкилметильных групп, которыми может являться R1, включают циклопентилметил. Предпочтительные примеры С3-8циклоалкенильных групп, которыми может являться R1, включают алкенильные группы, содержащие 1 или более двойных связей (не являющиеся ароматическими группами), такие как циклогексенил, например циклогекс-2,3-енил. В некоторых воплощениях предпочтительно, чтобы R1 представлял собой замещенную арильную группу. Предпочтительные примеры замещенных арильных групп, которыми может являться R1, включают 4-(диэтиламино)сульфонилфенил, 2,6-дифторфенил, 4-метоксифенил, 3-дифторметилтиофенил и 4-цианофенил. Предпочтительные примеры гетероарильных групп, которыми может являться R1, включают хинолин-2-ил. Предпочтительные примеры замещенных гетероарильных групп, которыми может являться R1, включают 5-хлор-4-метокси-тиофен-3-ил, 2-изопропил-1,3-тиазол-4-ил, 5-трифторметилфуран-2-ил, 5-метилсульфонил-тиофен-2-ил, 5-метилтио-тиофен-2-ил и 5-этил-изоксазол-3-ил. Авторы изобретения считают предпочтительным, чтобы R1 представлял собой С3-8циклоалкил, возможно, замещенный одной или более метильными группами и/или галогенами. Авторы настоящего изобретения считают особенно предпочтительным, чтобы R1 представлял собой С3-8циклоалкил, возможно, замещенный одной или более метильными группами или одним или более хлоро. Наиболее предпочтительные группы, которыми может являться R1, включают тетраметилциклопропил, дихлордиметилциклопропил, циклогексил и циклопентилметил, особенно 2,2,3,3-тетраметилциклопропил и 2,2-дихлор-3,3-диметилциклопропил, и особенно 2,2,3,3-тетраметилциклопропил. Авторы настоящего изобретения считают предпочтительным, чтобы R1 представлял собой метил, особенно метил в Предпочтительными являются соединения формулы (I), в которых каждый из R3 и R4, которые могут быть одинаковыми или разными, представляет собой водород, метил, фтор или хлор, в частности водород или фтор. Особенно предпочтительными являются соединения, в которых оба R3 и R4 представляют собой фтор. Предпочтительно Следует иметь в виду, что настоящее изобретение охватывает все комбинации частных и предпочтительных групп, упомянутых выше в описании. Предпочтительные соединения формулы (I) включают: 6 17 17 17 6 6 17 17 6 6 6 6 6 6 6 9 6 17 17 17 17 6 6 6 Особенно предпочтительными соединениями являются: 6 9 17 17 6 6 17 6 6 6 17 17 особенно предпочтительными являются 17 6 Соединения формулы (I) обладают потенциально благоприятными противовоспалительными и противоаллергическими действиями, особенно при местном введении, которые проявляются, например, в их способности связываться с глюкокортикоидным рецептором и запрещать отклик через этот рецептор. Следовательно, соединения формулы (I) являются потенциально полезными в лечении воспалительных и/или аллергических расстройств. Примеры болезненных состояний, при которых могут быть полезны соединения по настоящему изобретению, включают кожные заболевания, такие как экзема, псориаз, аллергический дерматит, нейродерматит, зуд и реакции гиперчувствительности; воспалительные состояния носа, горла или легких, такие как астма (включая индуцированные аллергенами астматические реакции), ринит (включая сенную лихорадку), носовые полипы, хроническое обструктивное легочное заболевание, интерстициальное легочное заболевание и фиброз; воспалительные состояния кишечника, такие как язвенный колит и болезнь Крона; и аутоиммунные заболевания, такие как ревматоидный артрит. Соединения по настоящему изобретению также могут найти применение в лечении конъюнктивы и конъюнктивита. Специалистам в данной области следует принять во внимание, что в данном описании ссылка на лечение распространяется на профилактику, а также на лечение установленных состояний. Как указано выше, соединения формулы (I) могут быть полезны в медицине человека или в ветеринарии, в частности, в качестве противовоспалительных и противоаллергических агентов, обладающих глюкокортикоидной агонистической активностью. Таким образом, в качестве еще одного аспекта настоящего изобретения предложено соединение формулы (I) или его физиологически приемлемый сольват для применения в качестве глюкокортикоидного агониста. Согласно другому аспекту настоящего изобретения предложено применение соединения формулы (I) или его физиологически приемлемого сольвата для изготовления лекарства, обладающего глюкокортикоидной агонистической активностью. Согласно другому аспекту настоящего изобретения предложена фармацевтическая композиция, обладающая глюкокортикоидной агонистической активностью, содержащая соединение формулы (I) или его физиологически приемлемый сольват, если требуется, в смеси с одним или более физиологически приемлемыми разбавителями или носителями. Согласно еще одному аспекту настоящего изобретения предложена фармацевтическая аэрозольная композиция, обладающая глюкокортикоидной агонистической активностью, содержащая соединение формулы (I) по любому из пп.1-10 или его физиологически приемлемый сольват и фторуглерод или водород-содержащий хлорфторуглерод в качестве пропеллента, возможно, в комбинации с поверхностно-активным веществом и/или со-растворителем. Соединения по настоящему изобретению можно приготовить в виде препарата для введения любым удобным путем, и, следовательно, в объем данного изобретения включены фармацевтические композиции, содержащие соединение формулы (I) или его физиологически приемлемый сольват, если нужно, в смеси с одним или более физиологически приемлемыми разбавителями или носителями. Кроме того, предложен способ изготовления таких фармацевтических композиций, включающий смешивание ингредиентов. Соединения по настоящему изобретению можно, например, приготовить в виде препарата для перорального, трансбуккального, сублингвального, парентерального, местного или ректального введения, главным образом для местного введения. Местное введение в данном контексте включает введение путем инсуффляции и ингаляции. Примеры различных типов препарата для местного введения включают мази, лосьоны, кремы, гели, пены, препараты для доставки посредством чрескожных пластырей, порошки, спреи, аэрозоли, капсулы или картриджи для применения в ингаляторе или инсуффляторе или капли (например, глазные капли или капли в нос), растворы/суспензии для распыления, суппозитории, пессарии, удерживающие клизмы и жевательные или рассасываемые таблетки или гранулы (например, для лечения афтозных язв) или липосомные или микроинкапсулированные препараты. Мази, кремы и гели можно приготовить в виде препарата, например, на водной или масляной основе с добавлением подходящего загущающего и/или желатинирующего агента и/или растворителей. Соответственно такие основы могут включать, например, воду и/или масло, такое как вазелиновое масло или растительное масло, такое как арахисовое масло или касторовое масло, или растворитель, такой как полиэтиленгликоль. Загущающие и желатинирующие агенты, которые можно использовать в соответствии с характером основы, включают мягкий парафин, стеарат алюминия, цетостеариловый спирт, полиэтиленгликоли, ланолин, пчелиный воск, карбоксиполиметилен и производные целлюлозы и/или глицерилмоностеарат и/или неионные эмульгирующие агенты. Лосьоны можно приготовить в виде препарата на водной или масляной основе и в общем случае они содержат также один или более чем один эмульгирующий агент, стабилизирующий агент, диспергирующий агент, суспендирующий агент или загуститель. Порошки для наружного применения могут быть образованы при помощи любой подходящей порошковой основы, например талька, лактозы или крахмала. Капли можно приготовить в виде препарата на водной или неводной основе, содержащего также один или более чем один диспергирующий агент, солюбилизирующий агент, суспендирующий агент или консервант. Композиции в виде спрея можно приготовить в виде, например, водных растворов или суспензий или в виде аэрозолей, подаваемых из находящихся под давлением упаковок, таких как дозирующий ингалятор, с использованием подходящего сжиженного пропеллента. Аэрозольные композиции, подходящие для ингаляции, могут представлять собой или суспензию, или раствор и обычно содержат соединение формулы (I) и подходящий пропеллент, такой как фторуглерод или водородсодержащий хлорфторуглерод или их смеси, в частности гидрофторалканы, главным образом 1,1,1,2-тетрафторэтан, 1,1,1,2,3,3,3-гептафтор-н-пропан или их смесь. Аэрозольная композиция может содержать дополнительные эксципиенты для приготовления препарата, хорошо известные в данной области, такие как поверхностно-активные вещества, например олеиновую кислоту или лецитин, и со-растворители, например этанол. Преимущественно препараты по настоящему изобретению могут быть забуферены путем добавления подходящих буферных агентов. Капсулы и картриджи для использования в ингаляторе или инсуффляторе, например, из желатина, можно приготовить в виде препарата, содержащего порошковую смесь для ингаляции из соединения по настоящему изобретению и подходящей порошковой основы, такой как лактоза или крахмал. Каждая капсула или картридж в общем случае может содержать от 20 мкг до 10 мг соединения формулы (I). Альтернативно соединение по настоящему изобретению может присутствовать без эксципиентов, таких как лактоза. Доля активного соединения формулы (I) в композициях для местного применения по настоящему изобретению зависит от конкретного типа изготавливаемого препарата, но обычно находится в интервале от 0,001 до 10% по массе. Однако в общем случае для большинства препаратов используемая доля преимущественно находится в интервале от 0,005 до 1% и предпочтительно – от 0,01 до 0,5%. Однако в порошках для ингаляции или инсуффляции используемая доля обычно находится в интервале от 0,1 до 5%. Аэрозольные препараты предпочтительно приспособлены так, что каждая отмеренная доза или “пуф” аэрозоля содержит 20 мкг – 2000 мкг, предпочтительно приблизительного 20 мкг – 500 мкг соединения формулы (I). Введение можно осуществлять один раз в сутки или несколько раз в сутки, например 2, 3, 4 или 8 раз, давая, например, 1, 2 или 3 дозы каждый раз. Суммарная суточная доза аэрозольного препарата обычно находится в интервале 100 мкг – 10 мг, предпочтительно 200 мкг – 2000 мкг. Суммарная суточная доза и отмеренная доза, подаваемая посредством капсул или картриджей в ингаляторе или инсуффляторе, обычно в два раза больше тех же доз в аэрозольных препаратах. Препараты для местного применения можно вводить посредством одной или более аппликаций на пораженный участок в сутки; преимущественно можно использовать окклюзионные повязки поверх кожных участков. Непрерывной или пролонгированной доставки можно достичь при помощи системы с липким резервуаром. Для внутреннего введения соединения по настоящему изобретению можно, например, приготовить традиционным способом в виде препарата для перорального, парентерального или ректального введения. Препараты для перорального введения включают сиропы, эликсиры, порошки, гранулы, таблетки и капсулы, которые обычно содержат традиционные эксципиенты, такие как связующие агенты, наполнители, скользящие агенты, разрыхлители, увлажняющие агенты, суспендирующие агенты, эмульгирующие агенты, консерванты, буферные соли, ароматизирующие, окрашивающие и/или подслащивающие агенты, как это целесообразно. Однако предпочтительными являются стандартные лекарственные формы, описанные ниже. Предпочтительными формами препарата для внутреннего введения являются стандартные лекарственные формы, то есть таблетки и капсулы. Такие стандартные лекарственные формы содержат от 0,1 мг до 20 мг, предпочтительно от 2,5 до 10 мг соединений по настоящему изобретению. В случаях, когда требуется системная адренокортикальная терапия, соединения по настоящему изобретению в общем случае можно давать путем внутреннего введения. В общих чертах, препараты для внутреннего введения могут содержать от 0,05 до 10% активного ингредиента в зависимости от типа препарата. Суточная доза может варьироваться от 0,1 мг до 60 мг, например в интервале 5-30 мг, в зависимости от состояния, которое лечат, и требуемой продолжительности лечения. Препараты с медленным высвобождением или с кишечно-растворимым покрытием могут быть полезны особенно при лечении воспалительных кишечных расстройств. Соединение и фармацевтические препараты по изобретению можно применять в комбинации с одним или более другими терапевтическими агентами, или они могут включать один или более чем один другой терапевтический агент, выбранный, например, из противовоспалительных агентов, антихолинергических агентов (в частности антагонистов М1/М2/М3-рецепторов), агонистов Специалисту в данной области понятно, что, когда это целесообразно, другой(ие) терапевтический(ие) ингредиент(ы) может(гут) быть использован(ы) в форме солей (например, в виде солей щелочных металлов или аминов, или в виде солей присоединения кислот), или пролекарств, или в виде сложных эфиров (например, сложных эфиров низших алкилов), или в виде сольватов (например, гидратов), чтобы оптимизировать активность и/или стабильность и/или физические характеристики (например, растворимость) терапевтического ингредиента. Также понятно, что когда это целесообразно, терапевтические ингредиенты можно использовать в оптически чистой форме. Комбинация, содержащая соединение по изобретению вместе с агонистом Примеры агонистов Предпочтительные агонисты Особенно предпочтительные агонисты или их соль или сольват, где: m представляет собой целое число от 2 до 8; n представляет собой целое число от 3 до 11, при условии что сумма m+n равна от 5 до 19; R21 представляет собой -XSO2NR26R27, где Х представляет собой -(СН2)р– или С2-6алкенилен; R26 и R27 независимо выбраны из водорода, C1-6алкила, С3-7циклоалкила, C(O)NR28R29, фенила и фенил(С1-4алкила)-, или R26 и R27 вместе с азотом, к которому они присоединены, образуют 5-, 6-или 7-членное азотсодержащее кольцо, и каждый из R26 и R27, возможно, замещен одной или двумя группами, выбранными из галогено, С1-6алкила, C1-6галогеналкила, C1-6алкокси, гидроксизамещенного C1-6алкокси, -CO2R28, -SO2NR28R29, -CONR28R29, -NR28C(O)R29 или 5-, 6- или 7-членного гетероциклического кольца; R28 и R29 независимо выбраны из водорода, C1-6алкила, С3-6циклоалкила, фенила и фенил(С1-4алкил)-; и р представляет собой целое число от 0 до 6, предпочтительно от 0 до 4; R22 и R23 независимо выбраны из водорода, С1-6алкила, С1-6алкокси, галогено, фенила и C1-6галогеноалкила; и R24 и R25 независимо выбраны из водорода и С1-4алкила, при условии что общее число атомов углерода в R24 и R25 не больше 4. Особенно предпочтительными агонистами 3-(4-{[6-({(2R)-2-гидрокси-2-[4-гидрокси-3-(гидроксиметил)фенил]этил}-амино)гексил]окси}бутил)бензолсульфонамид; 3-(3-{[7-({(2R)-2-гидрокси-2-[4-гидрокси-3-гидроксиметил)фенил]этил}-амино)гептил]окси}пропил)бензолсульфонамид; 4-{(1R)-2-[(6-{2-[(2,6-дихлорбензил)окси]этокси}гексил)амино]-1-гидроксиэтил}-2-(гидроксиметил)фенол; 4-{(1R)-2-[(6-{4-[3-(циклопентилсульфонил)фенил]бутокси}гексил)амино]-1-гидроксиэтил}-2-(гидроксиметил)фенол; N-[2-гидроксил-5-[(1R)-1-гидрокси-2-[[2-4-[[(2R)-2-гидрокси-2-фенилэтил]амино]фенил]этил]амино]этил]фенил]формамид; и N-2-{2-[4-(3-фенил-4-метоксифенил)аминофенил]этил}-2-гидрокси-2-(8-гидрокси-2(1H)-хинолинон-5-ил)этиламин. Подходящие противовоспалительные агенты включают кортикостероиды. Подходящие кортикостероиды, которые можно использовать в комбинации с соединениями по настоящему изобретению, представляют собой пероральные и ингаляционные кортикостероиды и их пролекарства, обладающие противовоспалительной активностью. Примеры включают метилпреднизолон, преднизолон, дексаметазон, флутиказона пропионат, 6 Нестероидные соединения, обладающие глюкокортикоидным агонизмом, которые могут обладать селективностью в отношении трансрепрессии по сравнению с трансактивацией и которые могут быть полезны в комбинированной терапии, включают соединения, охватываемые следующими патентами: WO 03/082827, WO 01/10143, WO 98/54159, WO 04/005229, WO 04/009016, WO 04/009017, WO 04/018429, WO 03/104195, WO 03/082787, WO 03/082280, WO 03/059899, WO 03/101932, WO 02/02565, WO 01/16128, WO 00/66590, WO 03/086294, WO 04/026248, WO 03/061651, WO 03/08277. Подходящие противовоспалительные агенты включают нестероидные противовоспалительные средства (NSAID). Подходящие NSAID включают кромогликат натрия, недокромил натрия, ингибиторы фосфодиэстеразы (PDE) (например, теофиллин, ингибиторы PDE4 или смешанные ингибиторы PDE3/PDE4), антагонисты лейкотриена, ингибиторы синтеза лейкотриена (например, монтелукаст), iNOS-ингибиторы (ингибиторы индуцируемой синтазы оксида азота), ингибиторы триптазы и эластазы, антагонисты бета-2-интегрина и агонисты или антагонисты аденозиновых рецепторов (например, агонисты аденозин-2а-рецепторов), антагонисты цитокинов (например, антагонисты хемокинов, например антагонист CCR3) или ингибиторы синтеза цитокинов, или ингибиторы 5-липоксигеназы. Другие подходящие агонисты Особый интерес представляет применение соединений формулы (I) в комбинации с ингибитором фосфодиэстеразы 4 (PDE4), особенно в случае препарата, адаптированного для ингаляции. РОЕ4-специфичный ингибитор, полезный в данном аспекте изобретения, может представлять собой любое соединение, про которое известно, что оно ингибирует фермент PDE4, или для которого обнаружено, что оно действует как РОЕ4-ингибитор, и которые являются ингибитором только PDE4, а не соединения, которые наряду с PDE4 ингибируют другие члены PDE-семейства, такие как PDE3 и PDE5. Соединения, представляющие интерес, включают цис-4-циано-4-(3-циклопентилокси-4-метоксифенил)циклогексан-1-карбоновую кислоту, 2-карбометокси-4-циано-4-(3-циклопропилметокси-4-дифторметоксифенил)-циклогексан-1-он и цис-[4-циано-4-(3-циклопропилметокси-4-дифторметоксифенил)циклогексан-1-ол], а также цис-4-циано-4-[3-(циклопентилокси)-4-метоксифенил]циклогексан-1-карбоновую кислоту (также известную как циломиласт) и ее соли, сложные эфиры, пролекарства или физические формы, которые описаны в патенте США 5552438, выданном 03 сентября 1996 года; указанный патент и соединения, раскрытые в нем, включены в данное описание изобретения во всей полноте посредством ссылки. AWD-12-281 от Elbion (Hofgen, N. et al., 15th EFMC Int. Symp. Med. Chem. (Sept 6-10, Edinburgh) 1998, Abst P.98; CAS (Chemical Abstracts System) ссылка No. 247584020-9); производное 9-бензиладенина под названием NCS-613 (INSERM); D-4418 от Chiroscience и Schering-Plough; бензодиазепиновый PDE4-ингибитор, названный Cl-1018 (PD-168787) и принадлежащий Pfizer; производное бензодиоксола, раскрытое Kyowa Hakko в WO 99/16766; К-34 от Kyowa Hakko; V-11294A от Napp (Landells, L.J. et al., Eur. Resp. J. [Annu. Cong. Eur. Resp. Soc. (Sept. 19-23, Geneva) 1998] 1998, 12 (Suppl. 28): Abst P2393); рофлумиласт (CAS ссылка No 162401-32-3) и фталазинон (WO 99/47505, описание которого включено посредством ссылки) от Byk-Gulden; пумафентрин, (-)-пара-[(4аR*,10bS*)-9-этокси-1,2,3,4,4а,10b-гексагидро-8-метокси-2-метилбензо[с][1,6]нафтиридин-6-ил]-N,N-диизопропилбензамид, который представляет собой смешанный РОЕЗ/РОЕ4-ингибитор, который был получен и пущен в обращение Byk-Gulden, в настоящее время Altana; арофиллин, разрабатываемый в Almirall-Prodesfarma; VM554/UM565 от Vernalis или Т-440 (Tanabe Seiyaku; Fuji, К. et al. J. Pharmacol. Exp. Ther., 1998, 284(1): 162) и Т2585. Другие соединения, представляющие интерес, раскрыты в опубликованной международной патентной заявке WO 04/024728 (Glaxo Group Ltd), PCT/EP2003/014867 (Glaxo Group Ltd) и РСТ/ЕР2004/005494 (Glaxo Group Ltd). Подходящие антихолинергические агенты представляют собой соединения, которые действуют как антагонисты мускариновых рецепторов, в частности соединения, которые являются антагонистами M1– или М3-рецепторов, двойными антагонистами M1/М3 или М2/М3 рецепторов или панантагонистами М1/M2/М3-рецепторов. Типичные соединения для введения путем ингаляции включают ипратропий (например, в виде бромида, CAS 22254-24-6, продаваемый под названием Atrovent), окситропий (например, в виде бромида, CAS 30286-75-0) и тиотропий (например, в виде бромида, CAS 136310-93-5, продаваемый под названием Spiriva). Также представляют интерес реватропат (например, в виде гидробромида, CAS 262586-79-8) и LAS-34273, который раскрыт в WO01/04118. Типичные соединения для перорального введения включают пирензепин (CAS 28797-61-7), дарифенацин (CAS 133099-04-4 или CAS 133099-07-7 для гидробромида, продаваемого под названием Enablex), оксибутинин (CAS 5633-20-5, продаваемый под названием Ditropan), теродилин (CAS 15793-40-5), толтеродин (CAS 124937-51-5 или CAS 124937-52-6 для тартрата, продаваемого под названием Detrol), отилоний (например, в виде бромида, CAS 26095-59-0, продаваемого под названием Spasmomen), хлорид троспия (CAS 10405-02-4) и солифенацин (CAS 242478-37-1 или CAS 242478-38-2 для сукцината, известного также как YM-905 и продаваемого под названием Vesicare). Другие подходящие антихолинергические агенты включают соединения формулы (XXI), раскрытые в заявке на патент США 60/487981:
в которых предпочтительной ориентацией алкильной цепи, присоединенной к тропановому кольцу, является эндо-ориентация; R31 и R32 независимо выбраны из группы, состоящей из низших алкильных групп с прямой или разветвленной цепью, предпочтительно содержащих от 1 до 6 атомов углерода, циклоалкильных групп, содержащих от 5 до 6 атомов углерода, циклоалкил-алкила, содержащего от 6 до 10 атомов углерода, 2-тиенила, 2-пиридила, фенила, фенила, замещенного алкильной группой, содержащей не более 4 атомов углерода, и фенила, замещенного алкоксигруппой, содержащей не более 4 атомов углерода; X– представляет собой анион, ассоциированный с положительным зарядом атома N, X– может представлять собой хлорид, бромид, иодид, сульфат, бензолсульфонат и толуолсульфонат, но не ограничен ими, включая, например: (3-эндо)-3-(2,2-ди-2-тиенилэтенил)-8,8-диметил-8-азониабицикло[3.2.1]октана бромид; (3-эндо)-3-(2,2-дифенилэтенил))-8,8-диметил-8-азониабицикло[3.2.1]октана бромид; (3-эндо)-3-(2,2-дифенилэтенил)-8,8-диметил-8-азониабицикло[3.2.1]октана 4-метилбензолсульфонат; (3-эндо)-8,8-диметил-3-[2-фенил-2-(2-тиенил)этенил]-8-азониабицикло[3.2.1]октана бромид; и/или (3-эндо)-8,8-диметил-3-[2-фенил-2-(2-пиридинил)этенил]-8-азониабицикло[3.2.1]октана бромид. Другие подходящие антихолинергические агенты включают соединения формулы (XXII) или (XXIII), которые раскрыты в заявке на патент США 60/511009:
где: указанный атом Н находится в экзо-положении; R41 представляет собой анион, ассоциированный с положительным зарядом атома N. R41 может представлять собой хлорид, бромид, иодид, сульфат, бензолсульфонат и толуолсульфонат, но не ограничен ими; R42 и R43 независимо друг от друга выбраны из группы, состоящей из низших алкильных групп с прямой или разветвленной цепью (предпочтительно содержащих от 1 до 6 атомов углерода), циклоалкильных групп (содержащих от 5 до 6 атомов углерода), циклоалкил-алкила (содержащего от 6 до 10 атомов углерода), гетероциклоалкила (содержащего от 5 до 6 атомов углерода) и N или О в качестве гетероатома, гетероциклоалкил-алкила (содержащего от 6 до 10 атомов углерода) и N или О в качестве гетероатома, арила, возможно, замещенного арила, гетероарила и, возможно, замещенного гетероарила; R44 выбран из группы, состоящей из (С1-С6)алкила, (С3-С12)циклоалкила, (С3-С7)гетероциклоалкила, (С1-С6)алкил(С3-С12)циклоалкила, (С1-С6)алкил(С3-С7)гетероциклоалкила, арила, гетероарила, (С1-С6)алкил-арила, (С1-С6)алкил-гетероарила, -OR45, -CH2OR45, -СН2OH, -CN, -CF3, -CH2O(CO)R46, -CO2R47, -CH2NH2, -CH2N(R47)SO2R45, -SO2N(R47)(R48), -CON(R47)(R48), -CH2N(R48)CO(R46), -CH2N(R48)SO2(R46), -CH2N(R48)CO2(R45), -CH2N(R48)CONH(R47); R45 выбран из группы, состоящей из (С1-С6)алкила, (С1-С6)алкил(С3-С12)циклоалкила, (С1-С6)алкил(С3-С7)гетероциклоалкила, (С1-С6)алкил-арила, (С1-С6)алкил-гетероарила; R46 выбран из группы, состоящей из (С1-С6)алкила, (С3-С12)циклоалкила, (С3-С7)гетероциклоалкила, (С1-С6)алкил(С3-С12)циклоалкила, (С1-С6)алкил(С3-С7)гетероциклоалкила, арила, гетероарила, (С1-С6)алкил-арила, (С1-С6)алкил-гетероарила; R47 и R48 независимо друг от друга выбраны из группы, состоящей из Н, (С1-С6)алкила, (С3-С12)циклоалкила, (С3-С7)гетероциклоалкила, (С1-С6)алкил(С3-С12)циклоалкила, (С1-С6)алкил(С3-С7)гетероциклоалкила, (С1-С6)алкил-арила и (С1-С6)алкил-гетероарила, включающие, например: (эндо)-3-(2-метокси-2,2-дитиофен-2-ил-этил)-8,8-диметил-8-азониа-бицикло[3.2.1]октана иодид; 3-((эндо)-8-метил-8-аза-бицикло[3.2.1]окт-3-ил)-2,2-дифенил-пропионитрил; (эндо)-8-метил-3-(2,2,2-трифенил-этил)-8-аза-бицикло[3.2.1]октан; 3-((эндо)-8-метил-8-аза-бицикло[3.2.1]окт-3-ил)-2,2-дифенил-пропионамид; 3-((эндо)-8-метил-8-аза-бицикло[3.2.1]окт-3-ил)-2,2-дифенил-пропионовую кислоту; (эндо)-3-(2-циано-2,2-дифенил-этил)-8,8-диметил-8-азониа-бицикло[3.2.1]октана иодид; (эндо)-3-(2-циано-2,2-дифенил-этил)-8,8-диметил-8-азониа-бицикло[3.2.1]октана бромид; 3-((эндо)-8-метил-8-аза-бицикло[3.2.1]окт-3-ил)-2,2-дифенил-пропан-1-ол; N-бензил-3-((эндо)-8-метил-8-аза-бицикло[3.2.1]окт-3-ил)-2,2-дифенил-пропионамид; (эндо)-3-(2-карбамоил-2,2-дифенил-этил)-8,8-диметил-8-азониа-бицикло[3.2.1]октана иодид; 1-бензил-3-[3-((эндо)-8-метил-8-аза-бицикло[3.2.1]окт-3-ил)-2,2-дифенил-пропил]-мочевину; 1-этил-3-[3-((эндо)-8-метил-8-аза-бицикло[3.2.1]окт-3-ил)-2,2-дифенил-пропил]-мочевину; N-[3-((эндо)-8-метил-8-аза-бицикло[3.2.1]окт-3-ил)-2,2-дифенил-пропил]-ацетамид; N-[3-((эндо)-8-метил-8-аза-бицикло[3.2.1]окт-3-ил)-2,2-дифенил-пропил]-бензамид; 3-((эндо)-8-метил-8-аза-бицикло[3.2.1]окт-3-ил)-2,2-дитиофен-2-ил-пропионитрил; (эндо)-3-(2-циано-2,2-дитиофен-2-ил-этил)-8,8-диметил-8-азониа-бицикло[3.2.1]октана иодид; N-[3-((эндо)-8-метил-8-аза-бицикло[3.2.1]окт-3-ил)-2,2-дифенил-пропил]-бензолсульфонамид; [3-((эндо)-8-метил-8-аза-бицикло[3.2.1]окт-3-ил)-2,2-дифенил-пропил]-мочевину; N-[3-((эндо)-8-метил-8-аза-бицикло[3.2.1]окт-3-ил)-2,2-дифенил-пропил]-метансульфонамид; и/или (эндо)-3-{2,2-дифенил-3-[(1-фенил-метаноил)-амино]-пропил}-8,8-диметил-8-азониа-бицикло[3.2.1]октана бромид. Более предпочтительные соединения, полезные в настоящем изобретении, включают: (эндо)-3-(2-метокси-2,2-дитиофен-2-ил-этил)-8,8-диметил-8-азониа-бицикло[3.2.1]октана иодид; (эндо)-3-(2-циано-2,2-дифенил-этил)-8,8-диметил-8-азониа-бицикло[3.2.1]октана иодид; (эндо)-3-(2-циано-2,2-дифенил-этил)-8,8-диметил-8-азониа-бицикло[3.2.1]октана бромид; (эндо)-3-(2-карбамоил-2,2-дифенил-этил)-8,8-диметил-8-азониа-бицикло[3.2.1]октана иодид; (эндо)-3-(2-циано-2,2-дитиофен-2-ил-этил)-8,8-диметил-8-азониа-бицикло[3.2.1]октана иодид; и/или (эндо)-3-{2,2-дифенил-3-[(1-фенил-метаноил)-амино]-пропил}-8,8-диметил-8-азониа-бицикло[3.2.1]октана бромид. Подходящие антигистамины (также называемые антагонистами Н1-рецепторов) включают один или более из многочисленных известных антагонистов, которые ингибируют Н1-рецепторы и безопасны для применения у человека. Антагонисты первого поколения включают производные этаноламинов, этилендиаминов и алкиламинов, например дифенилгидрамин, пириламин, клемастин, хлорфенирамин. Антагонисты второго поколения, которые не являются седативными, включают лоратидин, дезлоратидин, терфенадин, астемизол, акривастин, азеластин, ловоцетиризин, фексофенадин и цетиризин. Примеры предпочтительных антигистаминов включают лоратидин, дезлоратидин, фексофенадин и цетиризин. Таким образом, в другом аспекте настоящего изобретения предложена комбинация, содержащая соединение формулы (I), его фармацевтически приемлемую соль, сольват или физиологически функциональное производное вместе с РОЕ4-ингибитором. Таким образом, предпочтительной является комбинация, содержащая соединение формулы (I), его фармацевтически приемлемую соль, сольват или физиологически функциональное производное вместе с агонистом Таким образом, предпочтительной является комбинация, содержащая соединение формулы (I), его фармацевтически приемлемую соль, сольват или физиологически функциональное производное вместе с антихолинергическим агентом. Таким образом, предпочтительной является комбинация, содержащая соединение формулы (I), его фармацевтически приемлемую соль, сольват или физиологически функциональное производное вместе с антигистамином. Таким образом, предпочтительной является комбинация, содержащая соединение формулы (I), его фармацевтически приемлемую соль, сольват или физиологически функциональное производное вместе с РDЕ4-ингибитором и агонистом Таким образом, предпочтительной является комбинация, содержащая соединение формулы (I), его фармацевтически приемлемую соль, сольват или физиологически функциональное производное вместе с антихолинергическим агентом и РDЕ4-ингибитором. Обычно вышеуказанные комбинации могут быть представлены для применения в форме фармацевтического препарата, содержащего комбинацию, как определено выше, вместе с фармацевтически приемлемым разбавителем или носителем. Отдельные соединения таких комбинаций можно вводить или последовательно или одновременно в составе раздельных или комбинированных фармацевтических препаратов. Отдельные соединения таких комбинаций можно предпочтительно вводить одновременно в составе комбинированного фармацевтического препарата. Подходящие дозы известных терапевтических агентов легко могут быть определены специалистами в данной области. Соединение формулы (I) и его сольваты могут быть получены с помощью описанной ниже методики. Способ получения соединения формулы (I) по изобретению включает взаимодействие карбоновой кислоты (Х=O) или тиокарбоновой кислоты (X=S) формулы (II), где R1, R2, R3, R4, Х и с соединением формулы L-CH2-CN, где L представляет собой уходящую группу. Согласно данному способу соединение формулы (II) может вступать во взаимодействие с соединением формулы L-CH2-CN, где L представляет собой уходящую группу, такую как атом галогена, или тозильную или мезильную группу, или тому подобное в стандартных условиях. Например, взаимодействие можно проводить в инертном полярном органическом растворителе, например в N,N-диметилформамиде, в присутствии основания, например карбоната калия, бикарбоната натрия. Соединения формулы (II) можно удобно применять в виде солей, когда такие соли могут быть получены в кристаллической форме, или в виде сольватов. Соединения формулы L-CH2-CN либо известны, либо могут быть получены известными способами. Соединения формулы (II) можно получить из соответствующего 17 где R1, R2, R3, R4, X и
Хлорангидрид или другое активированное производное карбоновой кислоты обычно используют по меньшей мере в двойном молярном количестве по отношению к соединению формулы (III). Второй моль хлорангидрида имеет тенденцию взаимодействовать с группировкой карбоновой/тиокарбоновой кислоты в соединении формулы (III), и обычно его необходимо удалять с помощью реакции с амином, таким как диэтиламин или 1-метилпиперазин. В другом аспекте настоящего изобретения предложен способ получения соединения формулы (II) где R1 представляет собой 2,2,3,3-тетраметилциклопропил, a R1, R2, R3, R4, Х и включающий взаимодействие 1,2-диметил-1H-имидазолиевого эфира 2,2,3,3-тетраметилциклопропан-карбоновой кислоты (IV):
с соответствующим 17 Соединения формулы (III) либо известны, либо могут быть получены в соответствии с методикой, описанной G.H.Phillipps et al., Journal of Medicinal Chemistry, (1994), 37, 3717-3729. Следующие соединения формулы (II) являются новыми и составляют аспект настоящего изобретения: 17 6 6 17 6 6 6 6 6 6 6 17 17 17 6 6 6 Соединение формулы (IV), 3-диметил-1-[(2,2,3,3-тетраметилциклопропил)карбонил]-1Н-имидазол-3-ия хлорид, является новым и составляет аспект настоящего изобретения. Соединения формулы (III) также могут быть получены способом, включающим следующие стадии: Стадия (а) включает окисление раствора, содержащего соединение формулы (V), с получением карбоновой кислоты (III, X=O). Предпочтительно стадию (а) выполняют в присутствии растворителя, содержащего метанол, воду, тетрагидрофуран, диоксан или диметиловый эфир диэтиленгликоля. Например, для увеличения выхода и производительности предпочтительными растворителями являются метанол, вода или тетрагидрофуран, а более предпочтительны в качестве растворителя вода или тетрагидрофуран, особенно вода и тетрагидрофуран. Диоксан и диметиловый эфир диэтиленгликоля также являются предпочтительными растворителями, которые возможно (и предпочтительно) использовать вместе с водой. Предпочтительно, чтобы указанный растворитель присутствовал в количестве от 3 до 10 объемов относительно количества исходного вещества (1 мас.), более предпочтительно – от 4 до 6 объемов, особенно 5 объемов. Предпочтительно окислитель присутствует в количестве 1-9 мольных эквивалентов относительно количества исходного вещества. Например, когда используют 50%-ный (мас./мас.) водный раствор периодной кислоты, окислитель может присутствовать в количестве от 1,1 до 10 мас. относительно количества исходного вещества (1 мас.), более предпочтительно – в количестве от 1,1 до 3 мас., особенно 1,3 массы. Предпочтительно стадия окисления включает использование химического окислителя. Более предпочтительно окислитель представляет собой периодную кислоту или йодноватую кислоту или ее соль. Наиболее предпочтительно окислитель представляет собой периодную кислоту или периодат натрия, особенно периодную кислоту. Необходимо также принимать во внимание, что альтернативно (или дополнительно) стадия окисления может включать любую подходящую реакцию окисления, например такую, при которой используется воздух и/или кислород. Когда для реакции окисления используется воздух и/или кислород, предпочтительно, чтобы используемый в указанной реакции растворитель представлял собой метанол. Предпочтительно стадия (а) включает выдерживание реагентов при комнатной температуре или немного выше, например при температуре около 25°С, например, в течение 2 часов. Из реакционной смеси соединение формулы (III, X=O) можно выделить посредством перекристаллизации путем добавления антирастворителя. Для соединения формулы III (X=O) подходящий антирастворитель представляет собой воду. Неожиданно авторы изобретения обнаружили, что очень желательно контролировать условия, при которых осаждают соединение формулы III, (X=O) путем добавления антирастворителя, например, воды. Авторы изобретения обнаружили, что когда перекристаллизацию выполняют, используя охлажденную воду (например, смесь вода/лед при температуре 0-5°С), то, хотя и можно ожидать лучших свойств антирастворителя, получаемый кристаллический продукт является очень объемным, напоминает мягкий гель и очень трудно фильтруется. Не будучи ограниченными теорией, авторы изобретения считают, что данный продукт с низкой плотностью содержит большое количество сольватированного растворителя в кристаллической решетке. В противоположность этому, если использовать условия с температурой около 10°С или выше (например, приблизительно температура окружающей среды), получается гранулированный продукт пескообразной консистенции, который очень легко фильтровать. При этих условиях кристаллизация обычно начинается приблизительно через 1 час и обычно завершается за несколько часов (например, 2 часа). Не будучи ограниченными теорией, авторы изобретения считают, что данный гранулированный продукт содержит небольшое количество или не содержит вообще сольватированного растворителя в кристаллической решетке. Стадия (б) обычно включает добавление реагента, подходящего для превращения карбоновой кислоты (III, X=O) в тиокарбоновую кислоту (III, X=S), например использование сероводорода вместе с подходящим связывающим агентом, например карбонилдиимидазолом (CDI), в присутствии подходящего растворителя, например диметилформамида. Сольваты соединений формулы (I), которые не являются физиологически приемлемыми, могут быть полезны в качестве промежуточных соединений при получении соединений формулы (I) или их физиологически приемлемых сольватов. Соединения формулы (I) и/или их соли или сольваты проявляют агонизм в отношении глюкокортикоидных рецепторов. Соединения формулы (I) и/или их соли или сольваты могут проявлять хорошие противовоспалительные свойства с прогнозируемым фармакокинетическим и фармакодинамическим поведением. Они также могут иметь благоприятный профиль побочных эффектов, проявляемый, например в повышенной селективности в отношении глюкокортикоидного рецептора по сравнению с рецептором прогестерона и/или в повышенной селективности в отношении опосредованной глюкокортикоидными рецепторами трансрепрессии по сравнению с трансактивацией, и могут быть совместимы с традиционной схемой лечения пациентов-людей. Следующие неограничивающие примеры иллюстрируют настоящее изобретение. ПРИМЕРЫ Общие сведения Хроматографическую очистку выполняли, используя имеющиеся в продаже готовые силикагелевые картриджы Bond Elut от Varian, или с помощью флэш-хроматографии на готовых Biotage колонках со стеклянным сорбентом. Эти картриджи перед использованием предварительно уравновешивали с помощью дихлорметана. LCMS (сочетание жидкостной хроматографии и масс-спектрометрии) проводили на Supelcosil LCABZ+PLUS колонке (3,3 см × 4,6 мм ID (внутренний диаметр)), элюируя 0,1%-ной HCO2H и 0,01 М ацетатом аммония в воде (растворитель А) и смесью 0,05% HCO2Н и 5% воды в ацетонитриле (растворитель Б), используя следующий градиент элюирования 0-0,7 мин 0% Б, 0,7-4,2 мин 100% Б, 4,2-5,3 мин 0% Б, 5,3-5,5 мин 0% Б при скорости элюирования 3 мл/мин. Масс-спектры регистрировали на спектрометре Fisons VG Platform, используя регистрацию положительных и отрицательных ионов при электрораспылении (ES+ve и ES-ve). Спектры 1H-ЯМР (ядерного магнитного резонанса) получали в CDCl3 на спектрометре Bruker DPX 400, работая на 400,13 МГц и 9,4 Тл и используя в качестве внутреннего стандарта сигнал от остаточного протонированного растворителя при 7,25 м.д. (миллионные доли). Промежуточные соединения Промежуточное соединение 1: 6 К перемешанному и охлажденному (на льду) раствору 2,2,3,3-тетраметилциклопропил-карбоновой кислоты (2,48 г, 17,45 ммоль) в сухом дихлорметане (70 мл), содержащем диэтилформамид (2 капли), добавляли оксалилхлорид (3 мл, 34,9 мМ) и смесь перемешивали в течение 3 часов. Растворитель выпаривали и оставшийся хлорангидрид перерастворяли в дихлорметане (15 мл) и добавляли к перемешанному и охлажденному (на льду) раствору 6 Промежуточное соединение 2: 17 К перемешиваемому раствору 6 Промежуточное соединение 3: 17 Получали, используя способы, аналогичные описанным для Промежуточного соединения 2. Время удерживания при LCMS составляло 4,06 мин. Промежуточное соединение 4: 6 Получали из 6 Промежуточное соединение 5: 17 К перемешанному и охлажденному (на льду) раствору 6 Промежуточное соединение 6: 6 Получали, используя способы, аналогичные описанным для Промежуточного соединения 5. Время удерживания при LCMS составляло 3,45 мин. Промежуточное соединение 7: 6 Получали, используя способы, аналогичные описанным для Промежуточного соединения 5. Время удерживания при LCMS составляло 3,38 мин. Промежуточное соединение 8: 17 Получали, используя способы, аналогичные описанным для Промежуточного соединения 5. Время удерживания при LCMS составляло 3,36 мин. Промежуточное соединение 9: 17 Получали, используя способы, аналогичные описанным для Промежуточного соединения 5. Время удерживания при LCMS составляло 3,65 мин. Промежуточное соединение 10: 6 Получали, используя способы, аналогичные описанным для Промежуточного соединения 5. Время удерживания при LCMS составляло 3,46 мин. Промежуточное соединение 11: 6 Получали, используя способы, аналогичные описанным для Промежуточного соединения 5. Время удерживания при LCMS составляло 3,38 мин. Промежуточное соединение 12: 6 Получали, используя способы, аналогичные описанным для Промежуточного соединения 5. Время удерживания при LCMS составляло 3,46 мин. Промежуточное соединение 13: 6 Получали, используя способы, аналогичные описанным для Промежуточного соединения 5. Время удерживания при LCMS составляло 3,61 мин. Промежуточное соединение 14: 6 Получали, используя способы, аналогичные описанным для Промежуточного соединения 5. Время удерживания при LCMS составляло 3,28 мин. Промежуточное соединение 15: 6 Получали, используя способы, аналогичные описанным для Промежуточного соединения 5. Время удерживания при LCMS составляло 3,69 мин. Промежуточное соединение 16: 6 Получали, используя способы, аналогичные описанным для Промежуточного соединения 5. Время удерживания при LCMS составляло 3,45 мин. Промежуточное соединение 17: 9 Получали из 11 Промежуточное соединение 18: 17 Получали, используя способы, аналогичные описанным для Промежуточного соединения 5. Время удерживания при LCMS составляло 3,59 мин. Промежуточное соединение 19: 17 Получали, используя способы, аналогичные описанным для Промежуточного соединения 1. Время удерживания при LCMS составляло 3,58 мин. Промежуточное соединение 20: 17 Получали, используя способы, аналогичные описанным для Промежуточного соединения 1. Время удерживания при LCMS составляло 4,10; 4,19 мин. Промежуточное соединение 21: 17 Получали, используя способы, аналогичные описанным для Промежуточного соединения 1. Время удерживания при LCMS составляло 4,17 мин. Промежуточное соединение 22: 6 Получали, используя способы, аналогичные описанным для Промежуточного соединения 1. Время удерживания при LCMS составляло 4,10 мин. Промежуточное соединение 23: 6 Получали, используя способы, аналогичные описанным для Промежуточного соединения 1. Время удерживания при LCMS составляло 4,45 мин. Промежуточное соединение 24: 6 Получали, используя способы, аналогичные описанным для Промежуточного соединения 1. Время удерживания при LCMS составляло 4,23 мин. Промежуточное соединение 25: 2,3-диметил-1-[(2,2,3,3-тетраметилциклопропил)карбонил1-1Н-имидазол-3-ия хлорид К перемешиваемому раствору 2,2,3,3-тетраметилциклопропан-карбоновой кислоты (600 г, 4,2 моль) в дихлорметане (3,6 л) при 34°С на протяжении 65 минут добавляли оксалилхлорид (360 мл, 4,1 моль). Затем данный раствор нагревали с обратным холодильником до кипения в течение 30 минут и затем охлаждали до 5°С. На протяжении 45 минут добавляли раствор 1,2-диметилимидазола (490 г, 5,1 моль) в дихлорметане (1,2 л), поддерживая внутреннюю температуру приблизительно 5°С. Затем полученную суспензию нагревали до 18°С и на протяжении 45 минут добавляли ацетон (4,8 л), поддерживая внутреннюю температуру приблизительно 18°С. Взвесь охлаждали до 5°С за 30 минут, перемешивали при 5°С в течение 30 минут и затем фильтровали. Продукт собирали фильтрацией, промывали смесью ацетон:дихлорметан (3:1, 3×1,2 л), отсасывали досуха и затем сушили в вакуум-сушильном шкафу при 25-30°С в течение 10 часов, получая Промежуточное соединение 25 в виде белого твердого вещества (890 г). 1Н-ЯМР: Примеры Пример 1: 6 К перемешанному и охлажденному (на льду) раствору Промежуточного соединения 1 (120 мг, 0,22 ммоль) и бикарбоната натрия (21 мг, 0,245 ммоль) в DMF (диметилформамиде) (3 мл) в атмосфере азота добавляли бромацетонитрил (0,042 мл, 0,6 ммоль) и смесь перемешивали при комнатной температуре в течение 18 часов. Добавляли диэтиламин (0,03 мл, 0,29 ммоль) и смесь перемешивали в течение 15 минут, после чего добавляли 2 М HCl (4 мл), а затем воду (5 мл) и дихлорметан (5 мл). Органическую фазу отделяли, последовательно промывали водным бикарбонатом натрия (5 мл) и рассолом (5 мл), сушили через гидрофобную фритту и выпаривали досуха. В результате очистки на картридже Bon Elut, используя сначала циклогексан, а в конце – смесь циклогексан: этилацетат 3:1, получали указанное в заголовке соединение (86 г): время удерживания при LCMS составляло 3,82 мин, m/z 576 МН+. Пример 2: 17 Пример 2 получали из Промежуточного соединения 2, используя способ, аналогичный описанному в Примере 1. Время удерживания при LCMS составляло 3,62 мин, m/z 691 MH+. Пример 3: 17 Пример 3 получали из Промежуточного соединения 3, используя способ, аналогичный описанному в Примере 1. Время удерживания при LCMS составляло 3,58 мин, m/z 626/628 MH+. Пример 4: 6 Способ А К перемешанному и охлажденному (на льду) раствору Промежуточного соединения 4 (634 мг, 1,22 ммоль) и карбоната натрия (1,29 мг, 12,2 ммоль) в DMF (15 мл) в атмосфере азота добавляли бромацетонитрил (0,229 мл, 3,29 мМ) и смесь перемешивали при комнатной температуре в течение 2 часов. Добавляли дополнительно карбонат натрия (258 мг) и смесь перемешивали в течение еще 18 часов. По каплям добавляли 2М HCl (20 мл), затем воду (25 мл) и смесь экстрагировали этилацетатом (2×50 мл). Объединенные органические экстракты последовательно промывали водным бикарбонатом натрия (50 мл) и рассолом (50 мл), сушили через гидрофобную фритту и досуха упаривали. В результате очистки на картридже Bon Elut, используя сначала циклогексан, а в конце – смесь циклогексан: этилацетат 3:1, получали указанное в заголовке соединение в виде белого твердого вещества (485 г): время удерживания при LCMS составляло 3,79 мин, m/z 560 МН+. Способ Б 6 Пример 5: 17 Пример 5 получали из Промежуточного соединения 5, используя способ, аналогичный описанному в Примере 4. Время удерживания при LCMS составляло 3,65 мин, m/z 546 МН+. Пример 6: 6 Пример 6 получали из Промежуточного соединения 6. используя способ, аналогичный описанному в Примере 4. Время удерживания при LCMS составляло 3,48 мин, m/z 576 МН+. Пример 7: 6 Пример 7 получали из Промежуточного соединения 7, используя способ, аналогичный описанному в Примере 4. Время удерживания при LCMS составляло 3,53 мин, m/z 570 МН+. Пример 8: 17 Пример 8 получали из Промежуточного соединения 8, используя способ, аналогичный описанному в Примере 4. Время удерживания при LCMS составляло 3,44 мин, m/z 565 МН+. Пример 9: 17 Пример 9 получали из Промежуточного соединения 9, используя способ, аналогичный описанному в Примере 4. Время удерживания при LCMS составляло 3,69 мин, m/z 546 МН+. Пример 10: 6 Пример 10 получали из Промежуточного соединения 10, используя способ, аналогичный описанному в Примере 4. Время удерживания при LCMS составляло 3,60 мин, m/z 534 МН+. Пример 11: 6 Пример 11 получали из Промежуточного соединения 11, используя способ, аналогичный описанному в Примере 4. Время удерживания при LCMS составляло 3,50 мин, m/z 589 МН+. Пример 12: 6 Пример 12 получали из Промежуточного соединения 12. используя способ, аналогичный описанному в Примере 4. Время удерживания при LCMS составляло 3,61 мин, m/z 591 МН+. Пример 13: 6 Пример 13 получали из Промежуточного соединения 13, используя способ, аналогичный описанному в Примере 4. Время удерживания при LCMS составляло 3,72 мин, m/z 598 МН+. Пример 14: 6 Пример 14 получали из Промежуточного соединения 14, используя способ, аналогичный описанному в Примере 4. Время удерживания при LCMS составляло 3,29 мин, m/z 624 МН+. Пример 15: 6 Пример 15 получали из Промежуточного соединения 15, используя способ, аналогичный описанному в Примере 4. Время удерживания при LCMS составляло 3,64 мин, т/г 592 МН+. Пример 16: 6 Пример 16 получали из Промежуточного соединения 16. используя способ, аналогичный описанному в Примере 4. Время удерживания при LCMS составляло 3,44 мин, m/z 559 МН+. Пример 17: 9 Пример 17 получали из Промежуточного соединения 17. используя способ, аналогичный описанному в Примере 4. Время удерживания при LCMS составляло 3,77 мин, m/z 542 МН+. Пример 18: 6 Раствор соединения из Примера 4 (1,8 г, 3,2 ммоль) и катализатор Уилкинсона (0,5 г, 0,54 ммоль) в смеси 2:1 толуола и этилацетата (130 мл) гидрировали в течение 5 суток. Через 1 сутки добавляли дополнительную порцию катализатора (0,5 г). Раствор упаривали и осадок хроматографировали на 100 г картридже с силикагелем, используя сначала на протяжении 15 минут градиент смеси циклогексан: этилацетат 0-30%, а затем в течение 10 минут циклогексан: этилацетат 30%. Подходящие фракции объединяли и выпаривали, получая указанное в заголовке соединение в виде белого твердого вещества (400 мг): время удерживания при LCMS составляло 3,73 мин, m/z 579 MNH+. Пример 19: 17 Пример 19 получали из Промежуточного соединения 18, используя способ, аналогичный описанному в Примере 4. Время удерживания при LCMS составляло 3,57 мин, m/z 610, 612 MH+. Пример 20: 17 Пример 20 получали из Промежуточного соединения 19, используя способ, аналогичный описанному в Примере 4. Время удерживания при LCMS составляло 3,62 мин, m/z 600, 602, 604 МН+. Пример 21: 17 Пример 21 получали из Промежуточного соединения 20, используя способ, аналогичный описанному в Примере 1. Время удерживания при LCMS составляло 3,58 мин, m/z 616, 618, 620 МН+. Пример 22: 17 Пример 22 получали из Промежуточного соединения 21, используя способ, аналогичный описанному в Примере 1. Время удерживания при LCMS составляло 3,60 мин, m/z 562 МН+. Пример 23: 6 Пример 23 получали из Промежуточного соединения 22, используя способ, аналогичный описанному в Примере 1. Время удерживания при LCMS составляло 3,30 мин, m/z 640 MH+. Пример 24: 6 Пример 24 получали из Промежуточного соединения 23, используя способ, аналогичный описанному в Примере 1. Время удерживания при LCMS составляло 3,60 мин, m/z 614 МН+. Пример 25: 6 Пример 25 получали из Промежуточного соединения 24, используя способ, аналогичный описанному в Примере 1. Время удерживания при LCMS составляло 3,65 мин, m/z 638 МН+. Фармакологическая активность Фармакологическая активность может быть определена в функциональных in vitro анализах глюкокортикоидной агонистической активности. Данный функциональный анализ, основанный на функциональном анализе, описанном К.Р.Ray et al., Biochem. J. (1997), 328, 707-715, обеспечивает измерение трансрепрессивной активности глюкокортикоидного агониста. Клетки А549, стабильно трансфицированные геном-репортером, содержащим NF-кВ-чувствительные элементы промотора гена ELAM (эндотелиально-лейкоцитарных адгезивных молекул), присоединенные к sPAP (секретируемой щелочной фосфатазе), обрабатывают подходящими дозами тестируемых соединений в течение 1 часа при 37°С. Затем эти клетки стимулируют фактором некроза опухолей (TNF, 10 нг/мл) в течение 16 часов, когда с помощью стандартного колориметрического анализа измеряют количество продуцируемой щелочной фосфатазы. Строят кривые зависимости ответа от дозы, на основании которых можно оценить значения EC50 (концентрации, необходимой для получения 50%-ного эффекта). Значения ЕС50 для соединений Примеров 1-25 составляли <10 нМ. Значения ЕС50<1 нМ наблюдали для соединений Примеров 1-11, 14-22 и 25. Значения EC50 Данный функциональный анализ, основанный на анализе, описанном R.J.H.Austin et al., Eur. Resp. J. (2002), 20, 1386-1392, позволяет определить способность соединений непосредственно трансактивировать генную экспрессию. Клетки А549, стабильно трансфицированные геном-репортером, содержащим чувствительную к глюкокортикоидам область длинного концевого повтора вируса рака молочных желез мышей (MMTV-LTR), присоединенную к Renilla люциферазе, обрабатывали подходящими дозами тестируемых соединений в течение 6 часов при 37°С. Затем величину люциферазной активности, присутствующей в этих клетках, определяли путем измерения величины светового излучения после инкубации с соответствующим субстратом. Строили кривые зависимости ответа от дозы, на основе которых оценивали значения ЕС50 и из которых рассчитывали максимальные ответы относительно дексаметазона (100%). Соединения Примеров 1-25 в данном анализе показывали максимальные ответы <35%. Соединения Примеров 1, 2, 4, 5, 6, 9-11, 13 и 15-25 в данном анализе показывали максимальные ответы <20%. Соединения Примеров 2 и 4 в данном анализе показывали максимальные ответы <5%. Анализ активности в отношении рецепторов прогестерона Описано, что линия раковых клеток молочной железы человека T47D активирует эндогенную щелочную фосфатазу в ответ на прогестины (Di Lorenzo et al.. Cancer Research (1991) 51, 4470-4475). Клетки T47D засевали в 96-луночные планшеты с плотностью 1×105 клеток на лунку и выращивали в течение ночи при 37°С. Стероиды растворяли в DMSO (диметилсульфоксиде), добавляли к клеткам (конечная концентрация DMSO 0,7%) и инкубировали в течение 24 часов при 37°С. Затем клетки промывали с помощью PBS (фосфатно-буферного раствора) и лизировали в буфере RIPA (1% IGEPAL, 0,5% Na-дезоксихолат, 0,1% SDS (додецилсульфат натрия) в фосфатном солевом буфере). Активность щелочной фосфатазы измеряли спектрофотометрически (405 нм), используя в качестве субстрата лара-нитрофенилфосфат (1,5 мг/мл), растворенный в смеси 1М диэтаноламина, 0,28 М NaCl, 0,5 мМ MgCl2. Строили кривые зависимости ответа от дозы, на основании которых оценивали значения EC50. Значения EC50 для соединений Примеров 4, 5, 8, 11, 18, 20, 23, 24 и 25 в данном анализе составляли >100 нМ. Если контекст не подразумевает другого, во всем описании и в следующей формуле изобретения подразумевается, что слово “содержать” и такие варианты, как “содержит” и “содержащий”, подразумевает включение указанного целого или стадии или группы целых и не подразумевает исключение любого другого целого или стадии или группы целых или стадий. Настоящая заявка, часть которой составляет данное описание и формула изобретения, может быть использована в качестве основания для приоритета по отношению к любой последующей заявке. Пункты формулы изобретения такой последующей заявки могут относится к любому признаку или комбинации признаков, описанных в данной заявке. Они могут иметь вид пунктов на продукт, композицию, способ или применение и могут включать в качестве примера и без ограничения следующие пункты формулы изобретения. Патенты и патентные заявки, описанные в данной заявке, включены в данное описание посредством ссылки.
Формула изобретения
1. Соединение формулы (I) где X представляет собой О или S; R1 представляет собой С1-6алкил, С3-8циклоалкил, С3-8циклоалкилметил, любой из которых возможно может быть замещен одной или более метильными группами или атомами галогенов, или R1 представляет собой 4-(диэтиламино)сульфонилфенил, 2,6-дифторфенил, 4-метоксифенил,4-цианометил, 3-дифторметилтиофенил, 5-хлор-4-метокси-тиофен-3-ил, 2-изопропил-1,3-тиазол-4-ил, хинолин-2-ил, 5-трифторметил-фуран-2-ил, 5-метилсульфонил-тиофен-2-ил,5-метилтио-тиофен-2-ил или 5-этил-изоксазол-3-ил; R2 представляет собой водород, метил, который может находиться или в R3 и R4 являются одинаковыми или разными и каждый независимо представляет собой водород, галоген или метильную группу, и
или его физиологически приемлемая соль или сольват. 2. Соединение по п.1, где Х представляет собой О. 3. Соединение по п.1, где R1 представляет собой С3-6циклоалкильную группу, возможно замещенную одной или более метальными группами или одним или более атомами хлора. 4. Соединение по п.1, где R1 представляет собой 2,2,3,3-тетраметилциклопропил. 5. Соединение по п.1, где R2 представляет собой метил в 6. Соединение по п.1, где R3 и R4 оба представляют собой фтор. 7. Соединение по п.1, где 8. Соединение по п.1, представляющее собой 6 17 17 17 6 6 17 17 6 6 6 6 6 6 6 9 6 17 17 17 17 6 6 6 9. Соединение по п.8, представляющее собой 6 9 17 17 6 6 17 6 6 6 17 17 10. Соединение по п.9, представляющее собой 17 6 11. Соединение формулы (I) по любому из пп.1-10 или его физиологически приемлемый сольват для применения в качестве глюкокортикоидного агониста. 12. Применение соединения формулы (I) по любому из пп.1-10 или его физиологически приемлемого сольвата для изготовления лекарства, обладающего глюкокортикоидной агонистической активностью. 13. Фармацевтическая композиция, обладающая глюкокортикоидной агонистической активностью, содержащая соединение формулы (I) по любому из пп.1-10 или его физиологически приемлемый сольват, если требуется, в смеси с одним или более физиологически приемлемыми разбавителями или носителями. 14. Фармацевтическая аэрозольная композиция, обладающая глюкокортикоидной активностью, содержащая соединение формулы (I) по любому из пп.1-10 или его физиологически приемлемый сольват и фторуглерод или водородсодержащий хлорфторуглерод в качестве пропеллента возможно в комбинации с поверхностно-активным веществом и/или сорастворителем. 15. Фармацевтическая композиция по п.14, которая дополнительно содержит другой терапевтически активный агент. 16. Фармацевтическая композиция по п.15, в которой указанный другой терапевтически активный агент представляет собой агонист 17. Соединение, представляющее собой 17 6 6 17 6 6 6 6 6 6 6 17 17 17 6 6 6 18. Соединение формулы (IV)
2,3-диметил-1-[(2,2,3,3-тетраметилциклопропил)карбонил]-1Н-имидазол-3-ия хлорид. 19. Способ получения соединения формулы (II) где R1 представляет собой 2,2,3,3-тетраметилциклопропил, а R2, R3, R4, Х и
с соответствующим 17 20. Способ по п.19, где Х представляет собой О.
|
||||||||||||||||||||||||||


-, или
-конфигурации; R3 и R4 являются одинаковыми или разными, и каждый независимо представляет собой водород, галоген, и
означает простую или двойную связь; или его физиологически приемлемая соль или сольват. Соединение обладает глюкокортикоидной активностью. 7 н. и 13 з.п.ф-лы.
означает простую или двойную связь;







Н (CDCl3, 400 МГц) 8,45 (d, J 2,4 Гц, 1Н), 8,11 (d, J 2,4 Гц, 1H), 4,21 (s, 3Н), 2,96 (s, 3H), 2,21 (s, 1H), 1,43 (s, 6H), 1,33 (s, 6H).
0,1 нМ наблюдали для соединений Примеров 4, 8, 15 и 20.
представляет собой простую или двойную связь,

