Патент на изобретение №2348632
|
||||||||||||||||||||||||||
(54) ГИДРОКСИАЛКИЛЗАМЕЩЕННЫЕ ПИРИДО-7-ПИРИМИДИН-7-ОНЫ
(57) Реферат:
Изобретение относится к новым соединениям формулы I в которой X1 обозначает О; Ar1 обозначает арил, необязательно замещенный одним или несколькими атомами галогена; R1 обозначает алкоксиалкил, алкил, циклоалкил, циклоалкилалкил, гидроксиалкил, тетрагидропиранил или пиперидинил, необязательно замещенный группой -S(O)2 алкил; и R2 обозначает гидроксиалкил или оксоалкил. Изобретение также относится композиции для контроля или предотвращения заболевания, опосредованного киназой р38. Технический результат – получение новых биологически активных соединений, предназначенных для контроля или предотвращения заболевания, опосредованного киназой р38. 2 н. и 2 з.п. ф-лы, 2 табл.
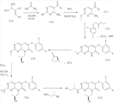
Настоящее изобретение относится к пиридопиримидинам и их производным. В частности, настоящее изобретение относится к 2,6-дизамещенным 7-оксо-пиридо[2,3-d]пиримидинам, к способу их получения, содержащим их фармацевтическим препаратам и к способам их применения. Активированные митогеном протеинкиназы (АМП) представляют собой группу управляемых пролином серин/треонинкиназ, которые активируют свои субстраты путем двойного фосфорилирования. Киназы активируются множеством сигналов, включая обусловленные питательным и осмотическим стрессом, ультрафиолетовым излучением, факторами роста, эндотоксином и воспалительными цитокинами. Одной группой АМП киназ является группа киназ р38, которая включает различные изоформы (например, р38 Важнее, что было показано, что продукты фосфорилирования р38 опосредуют продуцирование воспалительных цитокинов, включая TNF и IL-1, и циклооксигеназы-2. Каждый из этих цитокинов участвует в многочисленных заболеваниях и патологических состояниях. Например, TNF- TNF также участвует в вирусных инфекциях, таких как ВИЧ, вирус гриппа и вирус герпеса, включая, наряду с другими, вирус простого герпеса типа 1 (ВПГ-1), вирус простого герпеса типа 2 (ВПГ-2), цитомегаловирус (ЦМВ), вирус ветряной оспы (ВВО), вирус Эпштейна-Барра, вирус 6 герпеса человека (ВГЧ-6), вирус 7 герпеса человека (ВГЧ-7), вирус 8 герпеса человека (ВГЧ-8), ложное бешенство и ринотрахеит. Аналогичным образом, IL-1 продуцируется активированными моноцитами и макрофагами и играет роль во многих патофизиологических реакциях, включая ревматоидный артрит, лихорадку и снижение резорбции костей. Кроме того, обнаружено участие р38 в ударе, болезни Альцгеймера, остеоартрите, повреждении легких, септическом шоке, ангиогенезе, дерматите, псориазе и атопическом дерматите. J. Exp.Opin. Ther. Patents, 2000, 70(1). Ингибирование этих цитокинов путем ингибирования киназы р38 благоприятно при лечении, ослаблении и облегчении протекания многих из этих патологических состояний. В публикации WO 96/34867 некоторые 6-арилпиридо[2,3-d]пиримидин-7-оны, -7-имины и -7-тионы описаны как ингибиторы опосредуемой протеинтирозинкиназой пролиферации клеток. В публикации WO 96/15128 другие 6-арилпиридо[2,3-d]пиримидины и нафтиридины также описаны как ингибиторы протеинтирозинкиназы. В публикации WO 98/33798 6-алкилпиридо[2,3-d]пиримидин-7-оны описаны как ингибиторы циклинзависимых киназ. В заявке ЕР 0278686 А1 некоторые 4-амино-пиридопиримидины описаны как ингибиторы дигидрофолатредуктазы. В одном варианте осуществления настоящее изобретение относится к соединениям формулы I в которой Х1 обозначает О, С=O или S(O)n, где n равно 0, 1 или 2; Ar1 обозначает арил или гетероарил; R1 обозначает алкоксиалкил, алкил, циклоалкил, циклоалкилалкил, гетероциклил, гидроксиалкил или гидроксициклоалкил и R2 обозначает гидроксиалкил, оксоалкил или гидроксициклоалкил. Хотя по данным ферментативного анализа in vitro известно, что некоторые замещенные пиридо-7-пиримидин-7-оны активны по отношению к р38 (см., например, патент US-2003-0171584-А1, который во всей своей полноте включен в настоящее изобретение в качестве ссылки), автор настоящего изобретения неожиданно и непредвиденно установил, что при анализе вызванного липополисахаридом (ЛПС) продуцирования цистеина в цельной крови человека соединения формулы I обладают значительно большей активностью, чем соединения, описанные ранее. Соединения формулы I являются ингибиторами протеинкиназ и обладают эффективной активностью по отношению к р38 in vivo. Они являются селективными по отношению к киназе р38 по сравнению с циклинзависимыми киназами и тирозинкиназами. Поэтому соединения, предлагаемые в настоящем изобретении, можно использовать для лечения заболеваний, опосредуемыми провоспалительными цитокинами, такими как TNF и IL-1. Таким образом, другой вариант осуществления настоящего изобретения относится к способу лечения опосредуемых р38 заболеваний или патологических состояний, в котором пациенту вводится терапевтически эффективное количество соединения формулы I. Если не указано иное, то приведенные ниже термины, использующиеся в описании и формуле изобретения, имеют указанные ниже значения. “Алкоксиалкил” означает фрагмент формулы Ra-O-Rb-, в которой Ra обозначает алкил и Rb обозначает алкилен, определенные в настоящем изобретении. Типичные алкоксиалкильные группы включают, например, 2-метоксиэтил, 3-метоксипропил, 1-метил-2-метоксиэтил, 1-(2-метоксиэтил)-3-метоксипропил и 1-(2-метоксиэтил)-3-метоксипропил. “Алкил” означает линейный насыщенный одновалентный углеводородный радикал, содержащий от 1 до 6 атомов углерода, или разветвленный насыщенный одновалентный углеводородный радикал, содержащий от 3 до 6 атомов углерода, например метил, этил, пропил, 2-пропил, н-бутил, изобутил, трет-бутил, пентил и т.п. “Алкилен” означает линейный насыщенный двухвалентный углеводородный радикал, содержащий от 1 до 6 атомов углерода, или разветвленный насыщенный двухвалентный углеводородный радикал, содержащий от 3 до 6 атомов углерода, например метилен, этилен, 2,2-диметилэтилен, пропилен, 2-метилпропилен, бутилен, пентилен и т.п. “Арил” означает одновалентный моноциклический или бициклический ароматический углеводородный радикал, который необязательно независимо замещен одним или большим количеством заместителей, предпочтительно – одним, двумя или тремя заместителями, независимо выбранными из группы, включающей алкил, гидроксигруппу, алкоксигруппу, галогеналкил, галогеналкоксигруппу, галоген, нитрогруппу, цианогруппу, аминогруппу, моноалкиламиногруппу, диалкиламиногруппу, метилендиоксигруппу, этилендиоксигруппу и ацил. Особенно предпочтительным заместителем арила является галоген. Более предпочтительно, если термин “арил” включает, но не ограничивается только ими, фенил, хлорфенил, фторфенил, дифторфенил (такой как 2,4- и 2,6-дифторфенил), метоксифенил, 1-нафтил, 2-нафтил и их производные. “Циклоалкил” означает насыщенный одновалентный циклический углеводородный радикал, содержащий в кольце от 3 до 7 атомов углерода, например циклопропил, циклобутил, пиклогексил, 4-метил-циклогексил и т.п. Циклоалкил необязательно может быть замещен одним или большим количеством заместителей, предпочтительно – одним, двумя или тремя заместителями. Предпочтительно, если заместитель циклоалкила выбран из группы, включающей алкил, гидроксигруппу, алкоксигруппу, галогеналкил, галогеналкоксигруппу, галоген, аминогруппу, моноалкиламиногруппу, диалкиламиногруппу и анил. Особенно предпочтительная группа заместителей циклоалкила включает алкил, гидроксигруппу, алкоксигруппу, галогеналкил, галогеналкоксигруппу и галоген. Наиболее предпочтительная группа заместителей циклоалкила включает алкил, гидроксигруппу, алкоксигруппу и галоген. “Циклоалкилалкил” означает фрагмент формулы Rc-Rd-, в котором Rc обозначает циклоалкил и Rd обозначает алкилен, определенные в настоящем изобретении. “Галоген” означает фтор, хлор, бром или йод. Предпочтительными галогенами являются фтор и хлор, фтор является особенно предпочтительным галогеном. “Галогеналкил” означает алкил, замещенный одним или большим количеством одинаковых или разных атомов галогенов, например -СН2CF3, -CF3, -СН2CF3, -СН2CCl3 и т.п. “Гетероарил” означает одновалентный моноциклический или бициклический радикал, содержащий в кольце от 5 до 12 атомов, включающий по меньшей мере одно ароматические кольцо, содержащее в кольце 1, 2 или 3 гетероатома, выбранных из группы, включающей N, О, или S (предпочтительно – N или О), а остальными атомами кольца являются С, причем следует понимать, что положение присоединения гетероарильного радикала находится в ароматическом кольце. Гетероарильное кольцо необязательно независимо замещено одним или большим количеством заместителей, предпочтительно – одним или двумя заместителями, выбранными из группы, включающей алкил, галогеналкил, гидроксигруппу, алкоксигруппу, галоген, нитрогруппу и цианогруппу. Точнее, термин “гетероарил” включает, но не ограничивается только ими, пиридил, фуранил, тиенил, тиазолил, изотиазолил, триазолил, имидазолил, изоксазолил, пирролил, пиразолил, пиримидинил, бензофуранил, тетрагидробензофуранил, изобензофуранил, бензотиазолил, бензоизотиазолил, бензотриазолил, индолил, изоиндолил, бензоксазолил, хинолил, тетрагидроизохинолил, изохинолил, бензимидазолил, бензизоксазолил и бензотиенил, имидазо[1,2-а]-пиридинил, имидазо[2,1-b]тиазолил и их производные. “Гетероциклил” означает насыщенный или ненасыщенный неароматический циклический радикал, содержащий в кольце от 3 до 8 атомов, в котором 1 или 2 атома кольца являются гетероатомами, выбранными из группы, включающей N, О и S(O)n (где n является целым числом, равным от 0 до 2), предпочтительно – N и О, а остальными атомами кольца являются С, где 1 или 2 атома С необязательно могут быть заменены на карбонильную группу. Гетероциклильное кольцо может быть необязательно независимо замещено одним, двумя или тремя заместителями, выбранными из группы, включающей алкил, галогеналкил, гидроксиалкил, галоген, нитрогруппу, цианогруппу, цианоалкил, гидроксигруппу, алкоксигруппу, аминогруппу, моноалкиламиногруппу, диалкиламиногруппу, арилалкил, -(X)n-C(O)Re (где Х обозначает О или NRf, n равно 0 или 1, Re обозначает водород (где Х обозначает NRf), алкил, галогеналкил, гидроксигруппу (где n равно 0), алкоксигруппу, аминогруппу, моноалкиламиногруппу, диалкиламиногруппу или необязательно замещенный фенил и Rf обозначает Н или алкил), -алкилен-С(O)Rg (где Rg обозначает алкил, -ORh или NRiRj и Rh обозначает водород, алкил или галогеналкил и Ri и Rj независимо обозначают водород или алкил), или – S(O)nRk (где n является целым числом, равным от 0 до 2), так что, если n равно 0, то Rk обозначает водород, алкил, циклоалкил или циклоалкилалкил, и если n равно 1 или 2, то Rk обозначает алкил, циклоалкил, циклоалкилалкил, аминогруппу, ациламиногруппу, моноалкиламиногруппу или диалкиламиногруппу. Особенно предпочтительная группа заместителей гетероциклила включает алкил, галогеналкил, гидроксиалкил, галоген, гидроксигруппу, алкоксигруппу, аминогруппу, моноалкиламиногруппу, диалкиламиногруппу, арилалкил и -S(O)nRk. Точнее, термин “гетероциклил” включает, но не ограничивается только ими, тетрагидрофуранил, пиридинил, тетрагидропиранил, пиперидиноил, N-петилпиперидин-3-ил, пиперазиноил, N-метилпирролидин-3-ил, 3-пирролидиноил, морфолиноил, тиоморфолиноил, тиоморфолино-1-оксид, тиоморфолино-1,1-диоксид, 4-(1,1-диоксотетрагидро-2H-тиопиранил), пирролинил, имидазолинил, N-метансульфонилпиперидин-4-ил и их производные, каждый из которых необязательно может быть замещенным.
“Гидроксициклоалкил” означает циклоалкильный фрагмент, определенный в настоящем изобретении, в котором 1, 2 или 3 атома водорода в циклоалкильном радикале замещены гидроксигруппой. Типичные примеры включают, но не ограничиваются только ими, 2-, 3- и 4-гидроксициклогексил и т.п. “Отщепляющаяся группа” имеет значение, которое обычно связывают с ней в области синтетической органической химии, т.е. означает атом или группу, способную замещаться нуклеофилом, и включает галоген (такой как хлор, бром и йод), алкансульфонилоксигруппу, аренсульфонилоксигруппу, алкилкарбонилоксигруппу (например, ацетоксигруппу), арилкарбонилоксигруппу, мезилоксигруппу, тозилоксигруппу, трифторметансульфонилоксигруппу, арилоксигруппу (например, 2,4-динитрофеноксигруппу), метоксигруппу, N,O-диметилгидроксиламиногруппу и т.п. “Необязательно замещенный фенил” означает фенильное кольцо, которое необязательно независимо замещено одним или большим количеством заместителей, предпочтительно – одним или двумя заместителями, выбранными из группы, включающей алкил, гидроксигруппу, алкоксигруппу, галогеналкил, галогеналкоксигруппу, галоген, нитрогруппу, цианогруппу, аминогруппу, метилендиоксигруппу, этилендиоксигруппу и ацил. “Оксоалкил” означает алкильную группу, которая замещена одним или большим количеством фрагментов, содержащих карбонильный атом кислорода (т.е. =O), такую как фрагмент формулы Rz-C(=O)-RY, в котором RY обозначает алкилен и Rz обозначает алкил. Типичные оксоалкильные группы включают 2-пропанон-3-ил, 2-метил-3-бутанон-4-ил и т.п. “Фармацевтически приемлемый инертный наполнитель” означает инертный наполнитель, который применим при изготовлении фармацевтической композиции, который обычно является безопасным, нетоксичным и не является биологически или в другом отношении нежелательным и включает инертные наполнители, которые приемлемы для применения в ветеринарных и фармацевтических препаратах. “Фармацевтически приемлемый инертный наполнитель” при использовании в описании и формуле изобретения включает один или более чем один такой инертный наполнитель. “Фармацевтически приемлемая соль” соединения означает соль, которая является фармацевтически приемлемой и которая обладает необходимой фармакологической активностью исходного соединения. Такие соли включают: (1) молекулярные соли, образованные с неорганическими кислотами, такими как хлористоводородная кислота, бромистоводородная кислота, серная кислота, азотная кислота, фосфорная кислота и т.п.; или образованные с органическими кислотами, такими как уксусная кислота, пропионовая кислота, гексановая кислота, циклопентанпропионовая кислота, гликолевая кислота, пировиноградная кислота, молочная кислота, малоновая кислота, янтарная кислота, яблочная кислота, малеиновая кислота, фумаровая кислота, виннокаменная кислота, лимонная кислота, бензойная кислота, 3-(4-гидроксибензоил)бензойная кислота, коричная кислота, миндальная кислота, метансульфоновая кислота, этансульфоновая кислота, 1,2-этандисульфоновая кислота, 2-гидроксиэтансульфоновая кислота, бензолсульфоновая кислота, 4-хлорбензолсульфоновая кислота, 2-нафталинсульфоновая кислота, 4-толуолсульфоновая кислота, камфорсульфоновая кислота, 4-метилбицикло[2.2.2]-окт-2-ен-1-карбоновая кислота, глюкогептоновая кислота, 3-фенилпропионовая кислота, триметилуксусная кислота, трет-бутилуксусная кислота, лаурилсульфоновая кислота, глюконовая кислота, глутаминовая кислота, гидроксинафтойная кислота, салициловая кислота, стеариновая кислота, муконовая кислота и т.п.; или (2) соли, образующиеся, когда кислотный протон, содержащийся в исходном соединении или замещается ионом металла, например ионом щелочного металла, ионом щелочноземельного металла или ионом аммония; или координируется с органическим основанием, таким как этаноламин, диэтаноламин, триэтаноламин, трометамин, N-метилглюкамин и т.п. Термин “пролекарство” означает любое соединение, которое выделяет активное исходное лекарственное вещество, соответствующее формуле I in vivo, когда такое пролекарство вводится млекопитающему. Пролекарства соединения формулы I получают модификацией одной или большего количества функциональных групп, содержащихся в соединении формулы I, выполняемой таким образом, что модификация(-ции) могут быть расщеплены in vivo с выделением исходного соединения. Пролекарства включают соединения формулы I, в которых гидроксигруппа, аминогруппа, сульфгидрильная, карбоксильная или карбонильная группа в соединении формулы I связывается с любой группой, которая может быть отщеплена in vivo с восстановлением свободной гидроксигруппы, аминогруппы или сульфгидрильной группы соответственно. Примеры пролекарств включают, но не ограничиваются только ими, сложноэфирные (например, ацетатные, диалкиламиноацетатные, формиатные, фосфатные, сульфатные и бензоатные производные) и карбаматные (например, N,N-диметиламинокарбонил) производные функциональных гидроксигрупп соединений формулы I, N-ацилпроизводные (например, N-ацетильные), сложноэфирные группы (например, этиловые сложноэфирные, морфолиноэтанольные сложноэфирные) функциональных карбоксигрупп, N-ацильные производные (например, N-ацетильные), N-основания Манниха, шиффовы основания и енаминоны функциональных аминогрупп, оксимы, ацетали, кетали и сложные эфиры енольных форм функциональных кетонных и альдегидных групп соединений формулы I и т.п., см. публикацию Bundegaard, Н. “Design of Prodrugs” p.1-92, Elesevier, New York-Oxford (1985). “Защитная группа” означает группу атомов, которая при присоединении к реакционноспособной группе молекулы маскирует, уменьшает или исключает ее реакционную способность. Примеры защитных групп приведены в публикациях Green and Wins, Protective Groups in Organic Chemistry (Wiley, 2″ ed. 1991) и Harrison and Harrison et al., Compendium of Synthetic Organic Methods, Vols. 1-8 (John Wiley and Sons, 1971-1996). Типичные защитные группы аминогруппы включают формил, ацетил, трифторацетил, бензил, бензилоксикарбонил (БЗК), трет-бутоксикарбонил (Boc), триметилсилил (ТМС), 2-триметилсилилэтансульфонил (СЭС), тритил и замещенные тритильные группы, аллилоксикарбонил, 9-флуоенилметилоксикарбонил (ФМОК), нитроверитрилоксикарбонил (НВОК) и т.п. Типичные защитные группы гидроксигрупп включают такие, при использовании которых гидроксигруппы ацилируются или алкилируются, так что образуются бензиловый или тритиловый простые эфиры, а также алкиловые простые эфиры, тетрагидропираниловые простые эфиры, триалкилсилиловые простые эфиры и аллиловые простые эфиры. “Лечение” заболевания включает: (1) предупреждение заболевания, т.е. недопущение развития клинических симптомов заболевания у млекопитающего, у которого может возникнуть заболевание или которое предрасположен к нему, но у которого не ощущаются или не наблюдаются симптомы заболевания; (2) подавление заболевания, т.е. приостановка развития заболевания или его клинических симптомов, или (3) излечение заболевания, т.е. обеспечение регрессии заболевания или его клинических симптомов. “Терапевтически эффективное количество” означает количество соединения, которое при введении млекопитающему для лечения заболевания является достаточным для проведения лечения этого заболевания. “Терапевтически эффективное количество” будет меняться в зависимости от соединения, заболевания и его тяжести, возраста, массы и т.п. подвергающегося лечению млекопитающего. Термины “обработка”, “приведение в соприкосновение” и “введение в реакцию” применительно к химической реакции означают прибавление или смешивание двух или большего количества реагентов при соответствующих условиях для получения указанного и/или необходимого продукта. Следует понимать, что реакция, которая приводит к указанному и/или необходимому продукту, необязательно приводит к нему непосредственно исходя из комбинации двух реагентов, которые были прибавлены первоначально, т.е. могут существовать один или большее количество промежуточных продуктов, которые образуются в смеси и которые в конечном счете приводят к образованию указанного и/или необходимого продукта. Соединения, предлагаемые в настоящем изобретении, могут находиться в несольватированных формах, а также в сольватированных формах, включая гидратированные формы. Обычно сольватированные формы, включая гидратированные формы, эквивалентны несольватированным формам, и подразумевается, что они входят в объем настоящего изобретения. В дополнение к соединениям, описанным выше, соединения, предлагаемые в настоящем изобретении, включают все таутомерные формы. Кроме того, настоящее изобретение также включает все фармацевтически приемлемые соли этих соединений и все стереоизомеры в виде чистых хиральных форм и рацемических смесей и других форм смесей. Соединения формулы I также могут образовывать фармацевтически приемлемые молекулярные соли с кислотами. Все эти формы входят в объем настоящего изобретения. Фармацевтически приемлемые молекулярные соли с кислотами соединений формулы I включают соли, образованные с неорганическими кислотами, такими как хлористоводородная, азотная, фосфорная, серная, бромистоводородная, йодистоводородная, фосфористая и т.п., а также соли, образованные с органическими кислотами, такими как алифатические моно- и дикарбоновые кислоты, фенилзамещенные алканоевые кислоты, гидроксиалканоевые кислоты, алкандиоевые кислоты, ароматические кислоты, алифатические и ароматические сульфоновые кислоты и т.п. Такие соли включают сульфат, пиросульфат, бисульфат, сульфит, бисульфит, нитрат, фосфат, моногидрофосфат, дигидрофосфат, метафосфат, пирофосфат, хлорид, бромид, йодид, ацетат, пропионат, каприлат, изобутират, оксалат, малонат, сукцинат, суберат, себакат, фумарат, малеат, манделат, бензоат, хлорбензоат, метилбензоат, динитробензоат, фталат, бензолсульфонат, толуолсульфонат, фенилацетат, цитрат, лактат, малеат, тартрат, метансульфонат и т.п. Также включены соли аминокислот, такие как аргинат и т.п. и глюконат, галактуронат (см., например, Berge et al., J. of Pharmaceutical Science 66: 1-19 (1977)). Молекулярные соли основных соединений с кислотами можно получить по реакции свободного основания с количеством кислоты, достаточном для получения соли, проводимой обычным образом. Свободное основание можно выделить по реакции соли с основанием с выделением полученного основания, проводимой обычным образом. Свободное основание немного отличается от соответствующей соли по своим физическим характеристикам, таким как растворимость в полярных растворителях, но в остальном для задач настоящего изобретения соли эквивалентны соответствующим свободным основаниям. В одном варианте осуществления Ar1 обозначает арил. Особенно предпочтительным Ar1 является необязательно замещенный фенил. В некоторых вариантах осуществления Ar1 обозначает фенил, необязательно один или большее количество раз замещенный алкилом, галогеном, галогеналкилом или алкоксигруппой. Более предпочтительным Ar1 является дизамещенный фенил, такой как 2,4-дизамещенный фенил. Еще более предпочтительным Ar1 является 2,4-дигалогензамещенный фенил. Особенно предпочтительным Ar1 является 2,4-дифторфенил. В еще одном варианте осуществления Х1 обозначает О. В другом варианте осуществления R1 обозначает алкоксиалкил, алкил, циклоалкил, пиклоалкилалкил, гидроксиалкил или гетероциклил. В этой группе особенно предпочтительные R1 включают необязательно замещенный тетрагидропиранил, 1-метил-2-метоксиэтил, необязательно замещенный циклопентил, необязательно замещенный циклопропил, изопропил, необязательно замещенный циклогексил, 1-(2-гидроксиэтил)-3-гидроксипропил, 1-гидроксиметил-2-гидроксипропил, 1-гидроксиметил-3-гидроксипропил, 1-метилпропил, 2-гидрокси-1-метилэтил, 1-(2-метоксиэтил)-3-метоксипропил, N-метансульфонил пиперидинил, этил, метил, 2-гидроксипропил, неопентил, 1,1-диметил-2-гидроксиэтил, 1-(гидроксиметил)пропил, 2-метилпропил, циклопропилметил, необязательно замещенный циклобутил, 1,2-диметил-2-гидроксипропил и 1-(гидроксиметил)-2-гидроксиэтил. В еще одном варианте осуществления предпочтительный R1 включает гидроксиалкил, а 2-гидрокси-1-метилэтил является особенно предпочтительным R1. Особенно предпочтительный R1 включает энантиомерно обогащенный 2-гидрокси-1-метилэтил, т.е. (R)- и (S)- 2-гидрокси-1-метилэтил. В одном конкретном варианте осуществления R2 обозначает 2-гидроксиэтил, 3-гидроксипропил, 2-гидроксипропил, 1-(2-гидроксиэтил)-3-гидроксипропил или 2-оксопропил. В другом варианте осуществления R2 обозначает гидроксиалкил. В этой группе особенно предпочтительный R2 обозначает 2-гидроксиэтил, 3-гидроксипропил, 2-гидроксипропил и 1-(2-гидроксиэтил)-3-гидроксипропил. Еще более предпочтительный R2 обозначает 2-гидроксипропил. В другом варианте осуществления R2 обозначает оксоалкил. Кроме того, комбинации предпочтительных групп, описанных в настоящем изобретении, образуют другие предпочтительные варианты осуществления. Например, в одном особенно предпочтительном варианте осуществления R1 обозначает (R)- или (S)-2-гидрокси-1-метилэтил, R2 обозначает (R)- или (S)-2-гидроксипропил или 2-оксопропил, Х1 обозначает О и Ar1 обозначает 2,4-дифторфенил. В одном варианте осуществления настоящее изобретение относится к соединению формулы I, в которой Ar1 обозначает арил и Х1 обозначает О. В другом варианте осуществления настоящее изобретение относится к соединению формулы I, в которой Ar1 обозначает арил, Х1 обозначает О и R1 обозначает алкоксиалкил, алкил, циклоалкил, циклоалкилалкил, гидроксиалкил или гетероциклил. В еще одном варианте осуществления настоящее изобретение относится к соединению формулы I, в которой Аг1 обозначает арил, Х1 обозначает О и R1 обозначает тетрагидропиранил, 1-метил-2-метоксиэтил, циклопентил, циклопропил, изопропил, циклогексил, 1-(2-гидроксиэтил)-3-гидроксипропил, 1-гидроксиметил-2-гидроксипропил, 1-гидроксиметил-3-гидроксипропил, 1-метилпропил, 2-гидрокси-1-метилэтил, 1-(2-метоксиэтил)-3-метоксипропил, N-метансульфонил пиперидинил, этил, метил, 2-гидроксипропил, неопентил, 1,1-диметил-2-гидроксиэтил, 1-(гидроксиметил)пропил, 2-метилпропил, циклопропилметил, циклобутил, 1,2-диметил-2-гидроксипропил или 1-(гидроксиметил)-2-гидроксиэтил. В еще одном варианте осуществления настоящее изобретение относится к соединению формулы I, в которой Ar1 обозначает арил, Х1 обозначает О, R1 обозначает тетрагидропиранил, 1-метил-2-метоксиэтил, циклопентил, циклопропил, изопропил, циклогексил, 1-(2-гидроксиэтил)-3-гидроксипропил, 1-гидроксиметил-2-гидроксипропил, 1-гидроксиметил-3-гидроксипропил, 1-метилпропил, 2-гидрокси-1-метилэтил, 1-(2-метоксиэтил)-3-метоксипропил, N-метансульфонил пиперидинил, этил, метил, 2-гидроксипропил, неопентил, 1,1-диметил-2-гидроксиэтил, 1-(гидроксиметил)пропил, 2-метилпропил, циклопропилметил, циклобутил, 1,2-диметил-2-гидроксипропил или 1-(гидроксиметил)-2-гидроксиэтил и R2 обозначает 2-гидроксиэтил, 3-гидроксипропил, 2-гидроксипропил, 1-(2-гидроксиэтил)-3-гидроксипропил или 2-оксопропил. В одном варианте осуществления настоящее изобретение относится к соединению формулы I, в которой Ar1 обозначает арил, Х1 обозначает О, R1 обозначает (R)-2-гидрокси-1-метилэтил или (S)-2-гидрокси-1-метилэтил и R2 обозначает 2-оксопропил, (R)-2-гидроксипропил или (S)-2-гидроксипропил. В одном варианте осуществления настоящее изобретение относится к соединению формулы I, в которой Ar1 обозначает арил, Х1 обозначает О и R1 обозначает гидроксиалкил. В другом варианте осуществления настоящее изобретение относится к соединению формулы I, в которой Ar1 обозначает арил, Х1 обозначает О, R1 обозначает гидроксиалкил и R2 обозначает гидроксиалкил. В еще одном варианте осуществления настоящее изобретение относится к соединению формулы I, в которой Ar1 обозначает арил, Х1 обозначает О, R1 обозначает гидроксиалкил и R2 обозначает 2-гидроксиэтил, 3-гидроксипропил, 2-гидроксипропил или 1-(2-гидроксиэтил)-3-гидроксипропил. В другом варианте осуществления настоящее изобретение относится к соединению формулы I, в которой Ar1 обозначает арил, Х1 обозначает О, R1 обозначает (R)-2-гидрокси-1-метилэтил и R2 обозначает (R)-2-гидроксипропил; R1 обозначает (R)-2-гидрокси-1-метилэтил и R2 обозначает (S)-2-гидроксипропил; R1 обозначает (S)-2-гидрокси-1-метилэтил и R2 обозначает (R)-2-гидроксипропил или R1 обозначает (S)-2-гидрокси-1-метилэтил и R2 обозначает (S)-2-гидроксипропил. В одном варианте осуществления настоящее изобретение относится к соединению формулы I, в которой R1 обозначает гидроксиалкил. В другом варианте осуществления настоящее изобретение относится к соединению формулы I, в которой R1 обозначает гидроксиалкил и R2 обозначает гидроксиалкил. В еще одном варианте осуществления настоящее изобретение относится к соединению формулы I, в которой R1 обозначает гидроксиалкил, R2 обозначает гидроксиалкил и Ar обозначает арил. В одном варианте осуществления настоящее изобретение относится к соединению формулы I, в которой R2 обозначает гидроксиалкил. В некоторых вариантах осуществления соединения, предлагаемые в настоящем изобретении, могут иметь формулу в которой m равно от 0 до 4; все R3 обозначают алкил, галоген, алкоксигруппу или галогеналкил и R1 и R2 являются такими, как описано в настоящем изобретении. В конкретных вариантах осуществления m равно 1 и R3 обозначает галоген. В других вариантах осуществления m равно 2 и R3 обозначает галоген. В одном варианте осуществления настоящее изобретение относится к соединению формулы II, в которой R1 обозначает алкоксиалкил, алкил, циклоалкил, циклоалкилалкил, гидроксиалкил или гетероциклил. В одном варианте осуществления настоящее изобретение относится к соединению формулы II, в которой R1 обозначает тетрагидропиранил, 1-метил-2-метоксиэтил, циклопентил, циклопропил, изопропил, циклогексил, 1-(2-гидроксиэтил)-3-гидроксипропил, 1-гидроксиметил-2-гидроксипропил, 1-гидроксиметил-3-гидроксипропил, 1-метилпропил, 2-гидрокси-1-метилэтил, 1-(2-метоксиэтил)-3-метоксипропил, N-метансульфонил пиперидинил, этил, метил, 2-гидроксипропил, неопентил, 1,1-диметил-2-гидроксиэтил, 1-(гидроксиметил)пропил, 2-метилпропил, циклопропилметил, циклобутил, 1,2-диметил-2-гидроксипропил или 1-(гидроксиметил)-2-гидроксиэтил. В другом варианте осуществления настоящее изобретение относится к соединению формулы II, в которой R1 обозначает тетрагидропиранил, 1-метил-2-метоксиэтил, циклопентил, циклопропил, изопропил, циклогексил, 1-(2-гидроксиэтил)-3-гидроксипропил, 1-гидроксиметил-2-гидроксипропил, 1-гидроксиметил-3-гидроксипропил, 1-метилпропил, 2-гидрокси-1-метилэтил, 1-(2-метоксиэтил)-3-метоксипропил, N-метансульфонил пиперидинил, этил, метил, 2-гидроксипропил, неопентил, 1,1-диметил-2-гидроксиэтил, 1-(гидроксиметил)пропил, 2-метилпропил, циклопропилметил, циклобутил, 1,2-диметил-2-гидроксипропил или 1-(гидроксиметил)-2-гидроксиэтил и R2 обозначает 2-гидроксиэтил, 3-гидроксипропил, 2-гидроксипропил, 1-(2-гидроксиэтил)-3-гидроксипропил или 2-оксопропил. В одном варианте осуществления настоящее изобретение относится к соединению формулы II, в которой R1 обозначает (R)-2-гидрокси-1-метилэтил или (S)-2-гидрокси-1-метилэтил и R2 обозначает 2-оксопропил, (R)-2-гидроксипропил или (S)-2-гидроксипропил. В одном варианте осуществления настоящее изобретение относится к соединению формулы II, в которой R1 и R2 обозначают гидроксиалкил. В одном варианте осуществления настоящее изобретение относится к соединению формулы II, в которой R1 обозначает (R)-2-гидрокси-1-метилэтил и R2 обозначает (R)-2-гидроксипропил; R1 обозначает (R)-2-гидрокси-1-метилэтил и R2 обозначает (S)-2-гидроксипропил; R1 обозначает (S)-2-гидрокси-1-метилэтил и R2 обозначает (R)-2-гидроксипропил или R1 обозначает (S)-2-гидрокси-1-метилэтил и R2 обозначает (S)-2-гидроксипропил. В другом варианте осуществления настоящее изобретение относится к соединению формулы II, в которой R1 и R2 обозначают гидроксиалкил, n равно 1 и R3 обозначает галоген. В другом варианте осуществления настоящее изобретение относится к соединению формулы II, в которой R1 и R2 обозначают гидроксиалкил, n равно 2 и R3 обозначает галоген. Типичные соединения, предлагаемые в настоящем изобретении, приведены в таблице I. Хотя формы настоящего изобретения образуют предпочтительные в настоящее время варианты осуществления, возможны и многие другие. В настоящем описании не предполагается указать все возможные эквивалентные формы и модификации настоящего изобретения. Следует понимать, что положения, использованные в настоящем описании, являются лишь описательными, а не ограничивающими, и что можно вносить различные изменения без отклонения от сущности и объема настоящего изобретения. Соединения, предлагаемые в настоящем изобретении, можно получить с помощью множества методик, включая методики, приведенные в переуступленном патенте US-2003-0171584-A1, который ранее был включен в настоящее изобретение в качестве ссылки. В одном варианте осуществления настоящего изобретения используется методика получения соединений формулы I, представленная ниже на схеме 1. Следует понимать, что, хотя на схеме часто приведены конкретные структуры, способы, предлагаемые в настоящем изобретении, широко применимы к аналогичным соединениям формулы I с учетом введения защитных групп в реакционноспособные функциональные группы и удаления этих групп по методикам, стандартным для органической химии. Например, гидроксигруппы для исключения нежелательных побочных реакций иногда необходимо защитить (например, превратить в простые или сложные эфирные) при химических реакциях, затрагивающих другие центры молекулы. Затем защитная группа гидроксигруппы удаляется с получением свободной гидроксигруппы. Аналогичным образом, аминогруппы и карбоксигруппы (например, путем получения производных) можно защитить от нежелательных побочных реакций. Типичные защитные группы и способы из введения и отщепления полностью описаны в указанных выше публикациях Greene and Wuts, Protective Groups in Organic Synthesis, 3rd edition, John Wiley & Sons, New York, 1999, и Harrison and Harrison et al., Compendium of Synthetic Organic Methods, Vols. 1-8 (John Wiley and Sons, 1971-1996). Схема 1 Обработка соединения формулы Ia гидроксиалкиламином (R2-NH2) дает соединение формулы Ib. Эту реакцию обычно проводят в растворителе, который является инертным при условиях проведения реакции, предпочтительно – галогенированном алифатическом углеводороде, предпочтительно – дихлорметане, необязательно галогенированном ароматическом углеводороде или циклическом или простом эфире с открытой цепью, таком как тетрагидрофуран (ТГФ), формамиде или низшем алканоле. Реакцию предпочтительно проводят при температуре от примерно -20 до примерно 120°С, обычно – примерно при 0°С. К реакционной смеси часто прибавляют основание, такое как триалкиламин, предпочтительно – триэтиламин. Восстановление соединения формулы Ib дает спирт формулы Ic. Это восстановление обычно проводят с использованием алюмогидрида лития способом, хорошо известным специалистам в данной области техники (например, в растворителе, который является инертным при условиях проведения восстановления, предпочтительно – в циклическом или простом эфире с открытой цепью, предпочтительно – ТГФ, при температуре от примерно -20 до примерно 70°С, предпочтительно – от примерно 0°С до примерно комнатной температуры (КТ)). Окисление спирта формулы Ic дает карбоксальдегид формулы Id. Окисление обычно выполняют диоксидом марганца, хотя можно использовать и многочисленные другие методики (см., например, ADVANCED ORGANIC CHEMISTRY, 4TH ed., March, John Wiley & Sons, New York (1992)). В зависимости от применяющегося окислительного реагента реакцию обычно проводят в растворителе, который является инертным при конкретных условиях окисления, предпочтительно – в галогенированном алифатическом углеводороде, предпочтительно – в дихлорметане, или необязательно галогенированном ароматическом углеводороде. Окисление предпочтительно проводить при температуре от примерно 0°С до примерно 60°С. Реакция карбоксальдегида формулы Id со сложным эфиром Ar1-X1СН2-CO2R’ (где R’ обозначает алкильную группу и Ar1 и Х1 являются такими, как определено в настоящем изобретении) в присутствии основания дает соединение формулы Ie. Можно использовать любое относительно ненуклеофильное основание, включая карбонаты, такие как карбонат калия, карбонат лития и карбонат натрия; бикарбонаты, такие как бикарбонат калия, бикарбонат лития и бикарбонат натрия; амины, такие как вторичные и третичные амины; и связанные со смолой амины, такие как 1,3,4,6,7,8-гексагидро-2Н-пиримидо[1,2-а]пиримидин. Обычно реакцию проводят в растворителе, который является относительно полярным, но инертным при условиях проведения реакции, предпочтительно – в амиде, таком как диметилформамид, N-замещенный пирролидинон, предпочтительно – 1-метил-2-пирролидинон, и при температуре от примерно 25°С до примерно 150°С. Окисление Ie окислительным реагентом, например надкислотой, такой как 3-хлорпенбензойная кислота (т.е. МХПБК) или Oxone®, дает сульфон (If), который можно превратить в различные искомые соединения. Обычно окисление Ie проводят в растворителе, который является инертным при условиях проведения окисления. Например, если в качестве окислительного реагента используют МХПБК, то растворителем предпочтительно является галогенированный алифатический углеводород, предпочтительно – хлороформ. Если в качестве окислительного реагента используют Oxone®, то растворителем предпочтительно является метанол, водный раствор этанола или водный раствор ТГФ. Температура проведения реакции зависит от используемого растворителя. Для органического растворителя она обычно составляет от примерно -20 до примерно 50°С, предпочтительно – от примерно 0°С до примерно КТ. Если в качестве растворителя используют воду, то температура проведения реакции обычно составляет от примерно 0 до примерно 50°С, предпочтительно – от примерно 0°С до примерно КТ. Альтернативно, окисление можно проводить с использованием катализатора с применением реагентов на основе рения/пероксида, см. Lahti et al., Inorg. Chem., 2000, 39, 2164-2167; Catal. Today, 2000, 55, 317-363, и Coperet et al., 7. Org. Chem., 1998, 63, 1740-1741. Реакция соединения If с амином (R1-NH2) дает соединения формулы I. Реакцию можно проводить в присутствии или при отсутствии растворителя. Обычно реакцию проводят при температуре от примерно 0 до примерно 200°С, более предпочтительно – от примерно КТ до примерно 150°С. Альтернативно, в некоторых случаях вместо использования сульфона If сульфид Ie или соответствующий сульфоксид можно ввести в реакцию непосредственно с амином (R1-NH2) и получить соединения формулы I. Специалист в данной области техники должен понять, что возможны некоторые модификации указанных выше схем, и они входят в объем настоящего изобретения настоящего изобретения. Например, некоторые стадии будут включать применение защитных групп для функциональных групп, которые несовместимы с конкретными условиями проведения реакции. Альтернативно, соединения формулы I также можно получить по методике, приведенной ниже на схеме 2. Хотя реакции на схеме 2 представлены с использованием конкретных соединений, специалисты в данной области техники должны без труда понять, что методику, приведенную на схеме 2, можно использовать для всех соединений, предлагаемых в настоящем изобретении. Как показано на схеме 2, обработка диэтилацеталя IIa тиомочевиной дает пиримидиновое соединение IIb. Эту реакцию обычно проводят в спирте в качестве растворителя в присутствии основания, такого как метоксид натрия. Затем метилирование тиольной группы, например, метилйодидом дает простой тиоэфир IIc. Простой тиоэфир IIc затем можно обработать сложным Реакция простого тиоэфира IIe с пропиленкарбонатом или аналогичным карбонатом в полярном апротонном растворителе дает N-простой гидроксиалкилпиридопиримидоновый тиоефир IIf. Протекание этой реакции можно облегчить путем нагревания в присутствии карбоната калия. Затем простой тиоэфир IIf окисляют с получением соответствующего пиридопиримидонсульфона IIg. Это окисление можно провести с использованием пероксида водорода в присутствии уксусной кислоты в полярном растворителе, таком как метилендихлорид. Окисление альтернативно можно провести с использованием Oxone® или МХПБК по методике, описанной выше для схемы 1. Обработка сульфона IIg гидроксиамином, в которой гидроксигруппа содержит защитную группу, дает пиридопиримидоновое соединение IIh, предлагаемое в настоящем изобретении. Эту реакцию можно провести при нагревании, как это описано выше для схемы 1. Схема 2 Пиридопиримидинон IIf также можно получить алкилированием пиридопиримидинона IIe эпоксидом вместо карбоната, как это показано ниже на схеме 3. Реакцию, приведенную на схеме 3, можно провести нагреванием соединения IIe под давлением в присутствии избытка пропиленоксида в N-метилпирролидиноне или другом полярном апротонном растворителе. Схема 3 Соединения формулы I можно использовать в качестве лекарственных средств, например в виде фармацевтических препаратов. Фармацевтические препараты можно вводить энтерально, например перорально в виде таблеток, таблеток с покрытием, драже, капсул из мягкого и твердого желатина, растворов, эмульсий или суспензий, назально, например в виде назальных аэрозолей, или ректально, например в виде суппозиториев. Однако их можно вводить парентерально, например в виде растворов для инъекций. Другой вариант осуществления настоящего изобретения относится к фармацевтической композиции, содержащей соединение формулы I и его фармацевтически приемлемый носитель, разбавитель или наполнитель. Для получения фармацевтических препаратов соединения формулы I можно обработать с использованием фармацевтически инертных неорганических или органических носителей. В качестве таких носителей для таблеток, таблеток с покрытием, драже и капсул из твердого желатина можно использовать, например, лактозу, кукурузный крахмал и его производные, тальк, стеариновую кислоту и ее соли и т.п. Для капсул из мягкого желатина подходящими носителями являются, например, растительные масла, воски, жиры, полужидкие и жидкие полиолы и т.п.; однако в зависимости от природы активного вещества в случае капсул из мягкого желатина носители обычно не требуются. Носителями, подходящими для приготовления растворов и сиропов, являются, например, вода, полиолы, сахароза, инвертный сахар, глюкоза и т.п. Носителями, подходящими для суппозиториев, являются, например, натуральные или отвержденные масла, воски, жиры, полужидкие или жидкие полиолы и т.п. Кроме того, фармацевтические препараты могут содержать консерванты, солюбилизаторы, стабилизаторы, смачивающие агенты, эмульгаторы, подсластители, красители, вкусовые агенты, соли для изменения осмотического давления, буферы, маскирующие агенты или антиоксиданты. Они также могут содержать другие терапевтически полезные вещества, не являющиеся соединениями формулы I. Как отмечено выше, объектом настоящего изобретения также являются лекарственные средства, содержащие фармацевтическое вещество и фармацевтически совместимый инертный наполнитель, а также способ получения таких лекарственных средств, который состоит во включении одного или большего количества фармацевтических веществ или их солей и, при необходимости, одного или большего количества других терапевтически полезных веществ в галенову дозировочную форму совместно с фармацевтически совместимым носителем. Как отмечено выше, соединения формулы I можно использовать в контексте настоящего изобретения в качестве терапевтически активных веществ, в особенности противовоспалительных агентов или для предупреждения отторжения трансплантата после операции. Дозировка может меняться в широких пределах и, разумеется, в каждом конкретном случае будет подбираться в соответствии с индивидуальными потребностями. Обычно при введении взрослым обычная суточная доза составляет от примерно 0,1 до примерно 100 мг/кг, предпочтительно – от примерно 0,5 мг/кг до примерно 5 мг/кг. Суточная доза может вводиться в виде одной дозы или разделенных доз и, кроме того, если это будет сочтено целесообразным, указанный выше верхний предел дозировки может быть превышен. Наконец, применение соединений формулы I для приготовления лекарственных средств, в особенности предназначенных especially для лечения или профилактики воспалительных, иммунных, онкологических, бронхолегочных, кожных и сердечно-сосудистых нарушений, при лечении астмы, нарушений центральной нервной системы или осложнений при диабете или для предупреждения отторжения трансплантата после операции, также является объектом настоящего изобретения. Соединения формулы I применимы, но не ограничиваются только ими, для лечения любого нарушения или патологического состояния у людей или других млекопитающих, которое обострено или вызвано избыточным количеством или нерегулируемым продуцированном TNF или р38 киназы у такого млекопитающего. В соответствии с этим настоящее изобретение относится к способу лечения опосредуемого цитокином заболевания, который включает введение эффективно препятствующего воздействию цитокина количества соединения формулы I или его фармацевтически приемлемой соли или таутомера. Соединения формулы I применимы, но не ограничиваются только ими, для лечения воспаления у субъекта и для использования в качестве антипиретиков при лечении лихорадки. Соединения, предлагаемые в настоящем изобретении, предположительно применимы для лечения артрита, включая, но не ограничиваясь только ими, ревматоидного артрита, спондилоартропатий, подагрического артрита, остеоартрита, псориатического артрита, анкилозирующего спондилоартрита, системной красной волчанки и юношеского артрита, остеоартрита, подагрического артрита и других артритов. Такие соединения предположительно применимы для лечения легочных нарушений и воспаления легких, включая респираторный дистресс-синдром взрослых, легочный саркоидоз, астму, силикоз и хроническое воспаление легких. Эти соединения также применимы для лечения вирусных и бактериальных инфекций, включая сепсис, септический шок, грамотрицательный сепсис, малярию, менингит, кахексию вследствие инфекции или злокачественного новообразования, кахексию вследствие синдрома приобретенного иммунодефицита (СПИД), СПИД, ССК (связанный со СПИД комплекс), пневмонию и вирус герпеса. Эти соединения также применимы для лечения заболеваний, связанных с резорбцией костей, таких как остеопороз, эндотоксического шока, синдрома токсического шока, реперфузионного поражения, аутоиммунного заболевания, такого как реакция трансплантат против хозяина и отторжения аллоимплантатов, сердечно-сосудистых заболеваний, включая атеросклероз, тромбоз, застойную сердечную недостаточность и реперфузионное поражение сердца, реперфузионное поражение почек, заболеваний печени и нефрита и миалгии, вызванных инфекциями. Эти соединения также применимы для лечения болезни Альцгеймера, гриппа, рассеянного склероза, рака, диабета, системной красной волчанки (СКВ), патологических состояний кожи, таких как псориаз, экзема, ожоги, дерматит, образование ожоговых рубцов и образование рубцовой ткани. Кроме того, соединения, предлагаемые в настоящем изобретении, применимы для лечения желудочно-кишечных патологических состояний, таких как воспалительная болезнь кишечника, болезнь Крона, гастриты, синдром раздраженной толстой кишки и язвенный колит. Эти соединения также применимы для лечения офтальмологических заболеваний, таких как ретинит, ретинопатии, увеиты, зрительная светобоязнь и острые поражения глазной ткани. Эти соединения также можно применять для лечения ангиогенеза, включая неоплазию; метастазов; офтальмологических патологических состояний, таких как отторжение трансплантата роговицы, реваскуляризация глаза, реваскуляризация сетчатки, включая реваскуляризацию после повреждения и инфекции, диабетическая ретинопатия, ретролентальная фиброплазия и неоваскулярная глаукома; язвенных заболеваний, таких как язвенный колит; патологических, но не злокачественных состояний, таких как гемангиомы, включая гемангиомы новорожденных, ангиофиброму носоглотки и аваскулярный некроз костей; диабетической нефропатии и кардиомиопатии; и заболеваний репродуктивной системы женщины, таких как эндометриоз. Эти соединения также можно применять для предупреждения продуцирования циклооксигеназы-2, и они обладают обезболивающей способностью. Поэтому соединения формулы I применимы для лечения боли. Другие применения соединений формулы I включают лечение гепатита С, тяжелой астмы, псориаза, хронического обструктивного заболевания легких (ХОЗЛ) и других заболеваний, которые можно лечить с помощью анти-TNF соединений. Наряду с применимостью для лечения людей, эти соединения также применимы в ветеринарии для лечения домашних животных, экзотических животных и сельскохозяйственных животных, включая млекопитающих, грызунов и т.п.Более предпочтительные животные включают лошадей, собак и кошек. Соединения, предлагаемые в настоящем изобретении, также можно применять в совместной терапии, частично или полностью вместо других обычных противовоспалительных средств, например совместно со стероидами, ингибиторами циклооксигеназы-2, нестероидными противовоспалительными средствами, изменяющими заболевание противоревматическими средствами, ингибиторами 5-липоксигеназы, антагонистами LTB4 и ингибиторами LTA4 гидролазы. При использовании в настоящем изобретении термин “опосредуемое TNF нарушение” означает любое и все нарушения и патологические состояния, в которых участвует TNF, или вследствие регулирования самого TNF, или вследствие вызванного TNF выделения другого монокина, такого как, но не ограничиваясь только ими, IL-1, IL-6 или IL-8. Поэтому нарушением, опосредуемым TNF, следует считать патологическое состояние, при котором, например, IL-1 является главным компонентом и продуцирование или воздействие которого усиливается в ответ на воздействие TNF. При использовании в настоящем изобретении термин “опосредуемое р38 нарушение” означает любое и все нарушения и патологические состояния, в которых участвует р38, или вследствие регулирования самого р38, или вследствие вызванного р38 другого фактора, такого как, но не ограничиваясь только ими, IL-1, IL-6 или IL-8. Поэтому нарушением, опосредуемым р38, следует считать патологическое состояние, при котором, например, IL-1 является главным компонентом и продуцирование или воздействие которого усиливается в ответ на воздействие р38. Поскольку TNF- ПРИМЕРЫ Дополнительные объекты, преимущества и новые особенности настоящего изобретения будут понятны специалистам в данной области техники после рассмотрения приведенных ниже его иллюстративных примеров, которые не являются ограничивающими. Пример 1: Получение 6-(2,4-дифторфенокси)-2-((S)-(+)-2-гидрокси-1-метилэтиламино)-8-((S)-2-гидроксипропил)-8Н-пиридо[2,3-d]пиримидин-7-она (соединение 16) Стадия А: Получение этил-4-((S)-2-гидроксипропиламино)-2-метилсульфанилпиримидин-5-карбоксилата К раствору этил-4-хлор-2-метилтиопиримидин-5-карбоксилата (Aldrich, 65 г, 280 ммоль) в 500 мл ТГФ при 0°С прибавляли триэтиламин (140 мл, 1000 ммоль) и (S)-1-амино-2-пропанол (21 г, 280 ммоль). После перемешивания в течение 4 ч прибавляли воду (200 мл) и фазы разделяли. Водный слой экстрагировали дихлорметаном. Органическую фазу концентрировали и остаток растворяли в дихлорметане и промывали рассолом и сушили над сульфатом магния. Фильтровали и фильтрат выпаривали при пониженном давлении и получали 77 г этил-4-(S)-2-гидроксипропиламино)-2-метилсульфанилпиримидин-5-карбоксилата в виде белого твердого вещества. Стадия В: Получение 4-((S)-2-гидроксипропиламино)-2-метилсульфанилпиримидин-5-метанола Алюмогидрид лития (5,7 г, 150 ммоль) перемешивали в сухом ТГФ (500 мл) при 5°С и по каплям обрабатывали раствором этил-4-((S)-2-гидроксипропиламино)-2-метилсульфанилпиримидин-5-карбоксилата (27 г, 100 ммоль) в сухом ТГФ (450 мл). Реакционную смесь перемешивали в течение 15 мин и затем по каплям осторожно прибавляли воду (18 мл). Реакционную смесь перемешивали в течение 30 мин и затем по каплям прибавляли водный раствор гидроксида натрия (15%, 8,5 мл) и затем воду (25,5 мл). Полученную суспензию перемешивали в течение 17 ч при КТ и затем фильтровали. Остаток на фильтре промывали изопропанолом (2х, 100 мл) и объединенные фильтраты и промывочные растворы выпаривали при пониженном давлении и получали 25,8 г 4-((S)-2-гидроксипропиламино)-2-метилсульфанилпиримидин-5-метанола. Стадия С: Получение 4-((S)-2-гидроксипропиламино)-2-метилсульфанилпиримидин-5-карбальдегида 4-((S)-2-Гидроксипропиламино)-2-метилсульфанилпиримидин-5-метанол (26 г, 100 ммоль) и 1 л дихлорметана объединяли при перемешивании и обрабатывали диоксидом марганца (102 г, 1 моль). Полученную суспензию перемешивали в течение 24 ч и затем фильтровали через целит. Остаток на фильтре промывали дихлорметаном (100 мл) и объединенные фильтраты и промывочные растворы выпаривали при пониженном давлении и получали 16,5 г 4-((S)-2-гидроксипропиламино)-2-метилсульфанилпиримидин-5-карбальдегида в виде белого твердого вещества. Сульфон Стадия А: Получение 6-(2,4-дифторфенокси)-8-((S)-2-гидроксипропил)-2-метилсульфанил-8Н-пиридо[2,3-d]пиримидин-7-она К смеси 4-((S)-2-гидроксипропиламино)-2-метилсульфанилпиримидин-5-карбальдегида (16,5 г, 73 ммоль) и метилового эфира (2,4-дифторфенокси)уксусной кислоты (29,4 г, 145 ммоль) в безводном диметилформамиде (300 мл) прибавляли карбонат калия (30 г, 218 ммоль). Реакционную смесь нагревали при 60°С и через 18 ч реакционную смесь охлаждали и диметилформамид отгоняли в вакууме. Неочищенный остаток суспендировали в воде (300 мл) и экстрагировали дихлорметаном, промывали рассолом и сушили над сульфатом магния. Фильтровали и концентрировали в вакууме и получали 41 г неочищенного вещества, которое хроматографировали на колонке с силикагелем, элюируя с помощью 1% метанола в дихлорметане, и получали 30 г 6-(2,4-дифторфенокси)-8-((S)-2-гидроксипропил)-2-метилсульфанил-8Н-пиридо[2,3-d]пиримидин-7-она (масс-спектр: М+1=274). Стадия В: Получение 6-(2,4-дифторфенокси)-8-((S)-2-гидроксипропил)-2-метансульфонил-8Н-пиридо[2,3-d]пиримидин-7-она К дихлорметановому (500 мл) раствору 6-(2,4-дифторфенокси)-8-((S)-2-гидроксипропил)-2-метилсульфанил-8Н-пиридо[2,3-d]пиримидин-7-она (29,7 г, 108 ммоль) при 5°С порциями прибавляли м-хлорпербензойную кислоту (55 г, 240 ммоль) и перемешивали в течение 24 ч. Реакционную смесь промывали водным раствором сульфита натрия, водным раствором бикарбоната натрия и сушили над сульфатом магния. Фильтровали и выпаривали и получали 24 г 6-(2,4-дифторфенокси)-8-((S)-2-гидроксипропил)-2-метансульфонил-8Н-пиридо[2,3-d]пиримидин-7-она (масс-спектр: М+1=412). Стадия С: Получение 6-(2,4-дифторфенокси)-2-((S)-2-гидрокси-1-метилэтиламино)-8-((S)-2-гидроксипропил)-8Н-пиридо[2,3-d]пиримидин-7-она К раствору 6-(2,4-дифторфенокси)-8-((S)-2-гидроксипропил)-2-метансульфонил-8Н-пиридо[2,3-d]пиримидин-7-она (400 мг, 1 ммоль) в ТГФ (5 мл) прибавляли (S)-2-амино-1-пропанол (0,38 мл, 5 ммоль) и перемешивали в течение ночи при КТ. Концентрировали в вакууме и хроматографировали на силикагеле, элюируя с помощью 2% метанола в дихлорметане, и превращали в гидрохлорид и получали 320 мг 6-(2,4-дифторфенокси)-2-((S)-(+)-2-гидрокси-1-метилэтиламино)-8-((S)-2-гидроксипропил)-8Н-пиридо[2,3-d]пиримидин-7-она (масс-спектр: М+1=407, т.пл. (температура плавления)=175,1-179,1°С). Пример 2: Получение 6-(2,4-дифторфенокси)-2-(R)-(-)-2-гидрокси-1-метилэтиламино)-8-((S)-2-гидроксипропил)-8Н-пиридо[2,3-d]пиримидин-7-она (соединение 17) К раствору 6-(2,4-дифторфенокси)-8-((S)-2-гидроксипропил)-2-метансульфонил-8Н-пиридо[2,3-d]пиримидин-7-она (400 мг, 1 ммоль) в ТГФ (5 мл) прибавляли (R)-2-амино-1-пропанол (0,38 мл, 5 ммоль) и перемешивали в течение ночи при КТ. Концентрировали в вакууме и хроматографировали на силикагеле, элюируя с помощью 2% метанола в дихлорметане, и превращали в гидрохлорид и получали 370 мг 6-(2,4-дифторфенокси)-2-(R)-2-гидрокси-1-метилэтиламино)-8-((S)-2-гидроксипропил)-8Н-пиридо[2,3-d]пиримидин-7-она (масс-спектр: М+1=407, т.пл.=174,9-178,1°C). Пример 3: Получение 6-(2,4-дифторфенокси)-2-(2-гидрокси-1,1-диметилэтиламино)-8-((S)-2-гидроксипропил)-8Н-пиридо[2,3-d]пиримидин-7-она (соединение 36) К раствору 6-(2,4-дифторфенокси)-8-((S)-2-гидроксипропил)-2-метансульфонил-8Н-пиридо[2,3-d]пиримидин-7-она (717 мг, 1,74 ммоль) в ТГФ (10 мл) прибавляли 2-амино-2-метил-1-пропанол (1,55 г, 17,43 ммоль) и перемешивали при КТ в течение ночи, концентрировали в вакууме и хроматографировали на силикагеле, элюируя с помощью 4% метанола в дихлорметане, и после превращения в гидрохлорид получали 291 мг 6-(2,4-дифторфенокси)-2-(2-гидрокси-1,1-диметилэтиламино)-8-((S)-2-гидроксипропил)-8Н-пиридо[2,3-d]пиримидин-7-она в виде белого твердого вещества (масс-спектр: М+1=421, т.пл.=187,4-189,9°С). Пример 4: Получение 6-(2,4-дифторфенокси)-2-((S)-2-гидрокси-1-метилэтиламино)-8-((R)-2-гидроксипропил)-8Н-пиридо[2,3-а]пиримидин-7-она (соединение 41) Стадия А: Получение этил-4-((R)-2-гидроксипропиламино)-2-метилсульфанилпиримидин-5-карбоксилата К раствору этил-4-хлор-2-метилтиопиримидин-5-карбоксилата (Aldrich, 62,6 г, 269 ммоль) в 1 л ТГФ при 0°С прибавляли триэтиламин (135 мл 1000 ммоль) и (R)-1-амино-2-пропанол (30 г, 400 ммоль). После перемешивания в течение 4 ч выпаривали при пониженном давлении и получали 66,6 г этил-4-(R)-2-гидроксипропиламино)-2-метилсульфанилпиримидин-5-карбоксилатав виде белого твердого вещества. Стадия В: Получение 4-((R)-2-гидроксипропиламино)-2-метилсульфанилпиримидин-5-метанола Алюмогидрид лития (14 г, 368 ммоль) перемешивали в сухом ТГФ (500 мл) при 5°С и по каплям обрабатывали раствором этил-4-(R)-2-гидроксипропиламино)-2-метилсульфанилпиримидин-5-карбоксилата (66,6 г, 246 ммоль) в сухом ТГФ (150 мл). Реакционную смесь перемешивали в течение 15 мин и затем по каплям осторожно прибавляли воду (18 мл). Реакционную смесь перемешивали в течение 30 мин и затем по каплям прибавляли водный раствор гидроксида натрия (15%, 8,5 мл) и после этого воду (25,5 мл). Полученную суспензию перемешивали в течение 17 ч при КТ и затем фильтровали. Остаток на фильтре промывали изопропанолом (2х, 100 мл) и объединенные фильтраты и промывочные растворы выпаривали при пониженном давлении и получали 58,6 г 4-(R)-2-гидроксипропиламино)-2-метилсульфанилпиримидин-5-метанола. Стадия С: Получение 4-((R)-2-гидроксипропиламино)-2-метилсульфанилпиримидин-5-карбальдегида 4-(R)-2-Гидроксипропиламино)-2-метилсульфанилпиримидин-5-метанол (58,6 г, 256 ммоль) и 1 л дихлорметана объединяли при перемешивании и обрабатывали диоксидом марганца (222 г, 2560 моль). Полученную суспензию перемешивали в течение 24 ч и затем фильтровали через целит. Остаток на фильтре промывали дихлорметаном (100 мл) и объединенные фильтраты и промывочные растворы выпаривали при пониженном давлении и получали 34 г 4-((R)-2-гидроксипропиламино)-2-метилсульфанилпиримидин-5-карбальдегида в виде белого твердого вещества. Сульфон Стадия А: Получение 6-(2,4-дифторфенокси)-8-((R)-2-гидроксипропил)-2-метилсульфанил-8Н-пиридо[2,3-d]пиримидин-7-она К смеси 4-((R)-2-гидроксипропиламино)-2-метилсульфанилпиримидин-5-карбальдегида (17,7 г, 78 ммоль) и метилового эфира (2,4-дифторфенокси)уксусной кислоты (31,6 г, 156 ммоль) в безводном диметилформамиде (300 мл) прибавляли карбонат калия (30 г, 218 ммоль). Реакционную смесь нагревали при 60°С и через 18 ч реакционную смесь охлаждали и диметилформамид отгоняли. Остаток суспендировали в воде (300 мл) и экстрагировали дихлорметаном, промывали рассолом и сушили над сульфатом магния. Фильтровали и концентрировали в вакууме и получали 29,5 г неочищенного вещества, которое хроматографировали на колонке с силикагелем, элюируя с помощью 1% метанола в дихлорметане, и получали 17,5 г 6-(2,4-дифторфенокси)-8-((R)-2-гидроксипропил)-2-метилсульфанил-8Н-пиридо[2,3-d]пиримидин-7-она (масс-спектр: М+1=274). Стадия В: Получение 6-(2,4-дифторфенокси)-8-((R)-2-гидроксипропил)-2-метансульфонил-8Н-пиридо[2,3-d]пиримидин-7-она К дихлорметановому (200 мл) раствору 6-(2,4-дифторфенокси)-8-((R)-2-гидроксипропил)-2-метилсульфанил-8H-пиридо[2,3-d]пиримидин-7-она (9,38 г, 24,7 ммоль) при 5°С порциями прибавляли м-хлорпербензойную кислоту (12,5 г, 54 ммоль) и перемешивали в течение 24 ч. Реакционную смесь промывали водным раствором сульфита натрия, водным раствором бикарбоната натрия и сушили над сульфатом магния. Фильтровали и выпаривали и получали 10,7 г 6-(2,4-дифторфенокси)-8-((R)-2-гидроксипропил)-2-метансульфонил-8Н-пиридо[2,3-d]пиримидин-7-она (масс-спектр: М+1=412). Стадия С: Получение 6-(2,4-дифторфенокси)-2-((S)-2-гидрокси-1-метилэтиламино)-8-((R)-2-гидроксипропил)-8Н-пиридо[2,3-d]пиримидин-7-она К раствору 6-(2,4-дифторфенокси)-8-((R)-2-гидроксипропил)-2-метансульфонил-8Н-пиридо[2,3-d]пиримидин-7-она (615 мг, 1,5 ммоль) в ТГФ (5 мл) прибавляли (S)-2-амино-1-пропанол (1,2 мл, 15 ммоль) и перемешивали в течение ночи при КТ. Концентрировали в вакууме и хроматографировали на силикагеле, элюируя с помощью 2% метанола в дихлорметане, и превращали в гидрохлорид и получали 295 мг 6-(2,4-дифторфенокси)-2-((S)-2-гидрокси-1-метилэтиламино)-8-((R)-2-гидроксипропил)-8Н-пиридо[2,3-d]пиримидин-7-она (масс-спектр: М+1=407, т.пл.=186,0-189,1°С). Пример 5: Получение 6-(2,4-дифторфенокси)-2-(R)-2-гидрокси-1-метилэтиламино)-8-((R)-2-гидроксипропил)-8Н-пиридо[2,3-d]пиримидин-7-она (соединение 48) К раствору 6-(2,4-дифторфенокси)-8-((R)-2-гидроксипропил)-2-метансульфонил-8Н-пиридо[2,3-d]пиримидин-7-она (400 мг, 1 ммоль) в ТГФ (5 мл) прибавляли (R)-2-амино-1-пропанол (0,38 мл, 5 ммоль) и перемешивали в течение ночи при КТ. Концентрировали в вакууме и хроматографировали на силикагеле, элюируя с помощью 2% метанола в дихлорметане, и превращали в гидрохлорид и получали 350 мг 6-(2,4-дифторфенокси)-2-((R)-2-гидрокси-1-метилэтиламино)-8-((R)-2-гидроксипропил)-8Н-пиридо[2,3-d]пиримидин-7-она (масс-спектр: М+1=407, т.пл.=181,5-184,4°С). Пример 6: Получение 6-(2,4-дифторфенокси)-2-(2-гидрокси-1,1-диметилэтиламино)-8-((R)-2-гидроксипропил)-8Н-пиридо[2,3-d]пиримидин-7-она (соединение 31) Смесь 6-(2,4-дифторфенокси)-8-((R)-2-гидроксипропил)-2-метансульфонил-8Н-пиридо[2,3-4]пиримидин-7-она (886 мг, 2,15 ммоль) и 2-амино-2-метил-1-пропанола (5,15 г, 58 ммоль) нагревали при 60°С в атмосфере азота в течение 2 ч. Охлаждали и хроматографировали на силикагеле, элюируя с помощью 2% метанола в дихлорметане, и после превращения в гидрохлорид получали 385 мг 6-(2,4-дифторфенокси)-2-(2-гидрокси-1,1-диметилэтиламино)-8-((R)-2-гидроксипропил)-8Н-пиридо[2,3-d]пиримидин-7-она (масс-спектр: М+1=421, т.пл.=182,0-183,9°С). Пример 7: Получение 6-(2,4-дифторфенокси)-2-((S)-2-гидрокси-1-метилэтиламино)-8-(2-оксопропил)-8Н-пиридо[2,3-d]пиримидин-7-она (соединение 45) Стадия а: Получение 6-(2,4-дифторфенокси)-2-метансульфонил-8-(2-оксопропил)-8Н-пиридо[2,3-d]пиримидин-7-она К дихлорметановому (100 мл) раствору окаслилхлорида (1,05 мл, 12 ммоль) при -60°С прибавляли диметилсульфоксид (1,7 мл, 24 ммоль) и 6-(2,4-дифторфенокси)-8-(2-гидроксипропил)-2-метансульфонил-8Н-пиридо[2,3-d]пиримидин-7-он (4,12 г, 10 ммоль). К этой смеси прибавляли триэтиламин (7 мл, 50 ммоль) и перемешивали в течение ночи. Прибавляли воду (100 мл) и экстрагировали дихлорметаном, промывали рассолом и сушили над сульфатом магния. Фильтровали и концентрировали в вакууме, хроматографировали на силикагеле, элюируя с помощью 2% метанола в дихлорметане, и получали 1,0 г 6-(2,4-фторфенокси)-2-метансульфонил-8-(2-оксопропил)-8Н-пиридо[2,3-d]пиримидин-7-она (масс-спектр: М+1=410). Стадия b: Получение 6-(2,4-дифторфенокси)-2-((S)-2-гидрокси-1-метилэтиламино)-8-(2-оксопропил)-8Н-пиридо[2,3-d]пиримидин-7-она (соединение 45) К суспензии 6-(2,4-дифторфенокси)-2-метансульфонил-8-(2-оксопропил)-8Н-пиридо[2,3-d]пиримидин-7-она (412 мг, 1 ммоль) в ТГФ прибавляли (S)-2-амино-1-пропанол (0,39 мл, 5 ммоль) при КТ и перемешивали в течение ночи. Концентрировали в вакууме и хроматографировали на силикагеле, элюируя с помощью 2% метанола в дихлорметане, и после превращения в гидрохлорид получали 330 мг 6-(2,4-дифторфенокси)-2-((S)-2-гидрокси-1-метилэтиламино)-8-(2-оксопропил)-8Н-пиридо[2,3-d]пиримидин-7-она (масс-спектр: М+1=405, т.пл.=207,9-214,6°С). Пример 8: Получение 6-(2,4-дифторфенокси)-2-((R)-2-гидрокси-1-метилэтиламино)-8-(2-оксопропил)-8Н-пиридо[2,3-d]пиримидин-7-она (соединение 49) К суспензии 6-(2,4-дифторфенокси)-2-метансульфонил-8-(2-оксопропил)-8Н-пиридо[2,3-d]пиримидин-7-она (417 мг, 1 ммоль) в ТГФ (10 мл) прибавляли (R)-(-)-2-амино-1-пропанол (0,40 мл, 5 ммоль) при КТ и перемешивали в течение ночи. Концентрировали в вакууме и хроматографировали на силикагеле, элюируя с помощью 2% метанола в дихлорметане, и после превращения в гидрохлорид получали 330 мг 6-(2,4-дифторфенокси)-2-((R)-2-гидрокси-1-метилэтиламино)-8-(2-оксопропил)-8Н-пиридо[2,3-d]пиримидин-7-она (масс-спектр: М+1=405, т.пл.=207,8-216,4°С). Пример 9: Анализ In vitro Ингибирующую активность по отношению р38 АМП киназе для соединений, предлагаемых в настоящем изобретении, in vitro определяли путем измерения переноса Фосфорилированную форму рекомбинантной р38 АМП киназы экспрессировали совместно с SEK-1 и МЕКК в Е. coli (см. Khokhlatchev et al., J. Biol. Chem. 272:11057-11062 (1997)) и затем очищали с помощью афинной хроматографии с использованием колонки Nickel. Фосфорилированную р38 АМП киназу разводили в буфере для киназы (20 мМ 3-(N-морфолино)пропансульфоновая кислота, рН 7,2, 25 мМ С помощью описанного выше анализа показано, что соединения, предлагаемые в настоящем изобретении, являются ингибиторами р38 АМП киназы. Соединения, предлагаемые в настоящем изобретении, обладают для р38 значениями IC50, находящимися в диапазоне от менее 0,001 до 0,1 мкМ. Например, по данным описанного выше анализа 6-(2,4-дифторфенокси)-8-(3-гидроксипропил)-2-(тетрагидропиран-4-иламино)-8H-пиридо[2,3-d]пиримидин-7-он обладает значением IC50, равным 0,0008 мкМ. Пример 10: Анализ In vitro Этот пример иллюстрирует применение анализа цельной крови человека (ЦКЧ) in vitro (т.е. вызванного ЛПС продуцирования IL-1 Обработка с помощью ЛПС (липополисахарид) цельной крови человека индуцирует продуцирование IL-1 Растворы соединения Исходный раствор 6 мМ в ДМСО (выпускающийся фирмой Sigma) готовили растворением соединения в ДМСО в 449 мкл ДМСО. Из 6 мМ исходного раствора готовили 6 последовательных полулогарифмических серийных разведений в ДМСО и получали следующие концентрации: 1,9 мМ, 600, 190, 60, 19 и 6 мкМ. Нумеровали пробирки 1-7. Исходный раствор 6 мМ находился в пробирке 1.216 мкл ДМСО помещали во все пробирки 2-7. Из пробирки 1 в пробирку 3 переносили 100 мкл. Пробирку 2 взбалтывали и 100 мкл переносили из пробирки 2 в пробирку 3. Эти операции повторяли до пробирки 7. С использованием серийных разведений соединения в ДМСО, полученных выше, проводили дополнительное разведение 1/20 (10 мкл в 190 мкл среды RPMI 1640, выпускающейся фирмой Gibco-BRL) и получали набор конечных концентраций соединения, равных 30, 10, 2,9, 1, 0,3, 0,1, 0,03 мкМ. Растворы ЛПС Восстановление ЛПС: в сосуды, содержащие 10 мг ЛПС, прибавляли 10 мл 1х забуференного фосфатом физиологического раствора (т.е. 1×ЗФС, выпускающегося фирмой Gibco-BRL), тщательно перемешивали и переносили в пробирку объемом 50 мл. В сосуд с ЛПС прибавляли еще 10 мл, затем промывали и этот промывочный раствор прибавляли в пробирку объемом 50 мл и тщательно перемешивали. Этот раствор фильтровали и стерилизовали и отбирали аликвоты необходимого объема (аликвоты объемом 100 мкл было достаточно для 4 планшетов). Получали исходный раствор концентрации 0,5 мг/мл, который разводили в соотношении 1/100 для использования в соответствии с протоколом. Непосредственно перед использованием исходный раствор ЛПС разводили в соотношении 1/100 (100 мкл в 10 мл RPMI). Методика проведения анализа Анализ проводили в 96-луночном планшете с вогнутыми лунками (выпускающемся фирмой Costar). При каждом анализе использовали по 2 контрольных образца с прибавлением и без прибавления ЛПС при отсутствии соединения. Все образцы и контрольные образцы готовили в 3 экземплярах. Кровь человека (у доноров, которые не принимали лекарственных препаратов в течение по меньшей мере последних 14 дней и алкоголь в течение 48 ч) собирали в покрытие силиконом вакуумные пробирки, содержащие гепарин (19 Ед/мл). В контрольные лунки прибавляли аликвоты по 25 мкл 5% ДМСО в RPMI 1640 (контрольные лунки с прибавлением и без прибавления ЛПС). Аликвоты по 25 мкл всех концентраций соединения, полученные выше, помещали в пронумерованные лунки. В каждую лунку прибавляли 200 мкл цельной крови человека и инкубировали при 37°С и 5% CO2 в течение 30 мин. 25 мкл разведенного ЛПС помещали в каждую лунку кроме контрольных лунок без ЛПС. В контрольные лунки без ЛПС прибавляли 25 мкл RPMI. Планшеты инкубировали при 37°С и 5% CO2 в течение 18 ч. После инкубации планшеты центрифугировали при 400g в таблетированные клетки и собирали плазму, стараясь не взболтать таблетки. Плазму переносили в новый 96-луночный полипропиленовый планшет. Сразу же проводили анализ ELISA проводили и оставшуюся плазму хранили при -20°С для того, чтобы в случае необходимости провести повторный анализ. Протокол ELISA При анализе IL-1 Материалы Использовали рекомбинантный IL-1 Приготовление стандартов (готовить свежими непосредственно перед внесением в планшет) Для построения калибровочного графика использовали исходный раствор rhuIL-lp (2,5 мкг/мл). Концентрации для графика равнялись: 12500, 4167, 1389, 463, 154, 51 и 17 пг/мл. Нумеровали пробирки 1-8. Исходный раствор rhuIL-1 Образцы плазмы разводили в соотношении 1:4 в ПБЭ (20 мкл плазмы+60 мкл ПБЭ). Приготовление растворов антител Антитела IL Методика В 96-луночные планшеты EIA вносили по 50 мкл на лунку антител IL Таблетку ОФД растворяли в цитратном буфере (1 таблетка/12 мл цитратного буфера) и к ОФД/цитратному буферу прибавляли 12 мкл 30% Н2O2. Во все лунки прибавляли 50 мкл раствора субстрата ОФД и планшеты инкубировали в темноте в течение 30 мин при КТ для образования окраски. Планшеты считывали при двух длинах волн: фильтр для образца =450 нм / эталонный фильтр =650 нм. Значения для образцов, содержащих стандарт, использовали для построения калибровочного графика (зависимости поглощения от концентрации), применяющегося для определения концентраций для неизвестных образцов. Статистическая обработка Если график концентрация-ингибирование содержит точки, находящиеся только с одной стороны от 50%, то значения IC50 приводятся в виде > наибольшей концентрации или < наименьшей концентрации. В противном случае, если количество концентраций В этой модели принято, что минимальная и максимальная реакция составляет 0% и 100% соответственно и в ней определяется IC50 и наклон. Если нелинейная регрессия неприменима или если количество исследованных концентраций <5, то для оценки IC50 используют линейную регрессию по 2 точкам, находящимся по разные стороны от 50%. Если для оценки IC50 используют линейную регрессию, это отмечают в примечаниях к анализу и это также можно установить по наличию (нелинейная регрессия) или по отсутствию (линейная регрессия) стандартной погрешности IC50 и наклона. На основании данных описанного выше анализа показано, что соединения, предлагаемые в настоящем изобретении, ингибируют индуцированное ЛПС продуцирование IL-1 Согласно изобретению неожиданно оказалось, что ингибирование индуцированного ЛПС продуцирования IL-1 (IC50 ингибирования продуцирования IL-1 Как можно видеть из таблицы 2, соединения, в которых R2 обозначает гидроксиалкил, приводят к ингибированию индуцированного ЛПС продуцирования IL-1 Приведенное выше обсуждение настоящего изобретения представлено в целях иллюстрирования и описания. Подразумевается, что приведенное выше не ограничивает настоящее изобретение раскрытой формой или формами. Хотя описание настоящего изобретения включает описание одного или большего количества вариантов осуществления и некоторые изменения и модификации, в объем настоящего изобретения входят и другие изменения и модификации, например, как это могут понять специалисты в данной области техники после изучения приведенного раскрытия. Подразумевается приобретение прав, которые включают альтернативные варианты осуществления в допустимой степени, включая структуры, функции, диапазоны или стадии, альтернативные, взаимозаменяемые и/или эквивалентные раскрытым в настоящем изобретении и без намерений передать в общественное пользование какой-либо патентоспособный объект. Все публикации, патенты и заявки на патенты, цитированные в настоящем изобретении, во всей их полноте включены в настоящее изобретение в качестве ссылки для всех целей.
Формула изобретения
1. Соединение формулы I в которой X1 обозначает О; Ar1 обозначает арил, необязательно замещенный одним или несколькими атомами галогена; R1 обозначает алкоксиалкил, алкил, циклоалкил, циклоалкилалкил, гидроксиалкил, тетрагидропиранил или пиперидинил, необязательно замещенный группой -S(O)2 алкил; и R2 обозначает гидроксиалкил или оксоалкил. 2. Соединение формулы I по п.1, имеющее формулу II в которой m равно от 0 до 4; R3 обозначает галоген и R1 и R2 являются такими, как определено в п.1. 3. Соединение по п.1, предназначенное для использования в качестве терапевтически активного вещества для контроля или предотвращения заболевания, опосредованного киназой р38. 4. Композиция для контроля или предотвращения заболевания, опосредованного киназой р38, содержащая фармацевтически приемлемый наполнитель и соединение формулы I по п.1.
|
||||||||||||||||||||||||||


, р39
, р38
и р38
). Киназы р38, а также другие киназы ответственны за фосфорилирование и активирование факторов транскрипции, и они активируются механическим и химическим стрессом, вызывающими воспаление цитокинами и бактериальным липополисахаридом.
Гидроксиалкил” означает алкильный фрагмент, определенный в настоящем изобретении одним или большим количеством, предпочтительно – одной, двумя или тремя гидроксигруппами, при условии, что один и тот же атом углерода не содержит более одной гидроксигруппы. Типичные примеры включают, но не ограничиваются только ими, гидроксиметил, 2-гидроксиэтил, 2-гидроксипропил, 3-гидроксипропил, 1-(гидроксиметил)-2-метилпропил, 2-гидроксибутил, 3-гидроксибутил, 4-гидроксибутил, 2,3-дигидроксипропил, 2-гидрокси-1-гидроксиметилэтил, 2,3-дигидроксибутил, 3,4-дигидроксибутил и 2-(гидроксиметил)-3-гидроксипропил.






5, то для оценки IC50 данные аппроксимируют с помощью приведенной ниже 2-параметрической модели:





