|
|
(21), (22) Заявка: 2005136663/04, 22.04.2004
(24) Дата начала отсчета срока действия патента:
22.04.2004
(30) Конвенционный приоритет:
25.04.2003 FR 03 05213
(43) Дата публикации заявки: 20.03.2006
(46) Опубликовано: 10.03.2009
(56) Список документов, цитированных в отчете о поиске:
Lombardino et al. “Potent Antiinflammatory N-Heterocyclic 3-Carboxamides of 4-Hydroxy-2-metyl-2H-1,2-Dioxide” JOURNAL OF MEDICINAL CHEMISTRY, 1973, Vol.16, №5, 493-496. RU 2001105984, 27.01.2003. EP 0001727 A2, 02.05.1979. WO 02051397 A1, 04.07.2002. WO 0218335 A1, 07.03.2002. EP 0638553 A1, 15.02.1995.
(85) Дата перевода заявки PCT на национальную фазу:
25.11.2005
(86) Заявка PCT:
FR 2004/000981 (22.04.2004)
(87) Публикация PCT:
WO 2004/096798 (11.11.2004)
Адрес для переписки:
129090, Москва, ул. Б.Спасская, 25, стр.3, ООО “Юридическая фирма Городисский и Партнеры”, пат.пов. Е.Е.Назиной, рег. № 517
|
(72) Автор(ы):
КАРАЙОН Пьер (FR), САЗЕЛЛА Пьер (FR), ФЛУТАР Даниель (FR), ФРЕСС Пьер (FR), ЖЕГАМ Самир (FR), ЛАБЕВ Бернар (FR)
(73) Патентообладатель(и):
САНОФИ-АВЕНТИС (FR)
|
(54) ПРОИЗВОДНЫЕ 2-АЦИЛАМИНО-4-ФЕНИЛТИАЗОЛА, ИХ ПОЛУЧЕНИЕ И ИХ ПРИМЕНЕНИЕ В ТЕРАПИИ
(57) Реферат:
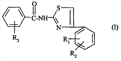
Изобретение относится к соединениям формулы (I) и их фармацевтически приемлемьм солям. Соединения настоящего изобретения обладают свойствами антагонистов хемокинов и могут найти применение для лечения иммунно-воспалительных заболеваний, таких как атеросклероз, аллергические заболевания. В общей формуле (I)

R1 означает атом водорода (С1С4)-алкил, (С1-С4)-алкоксил, циклопропилметоксигруппу, (C1-C4)-алкилтиогруппу; R2 означает атом галогена, (С1-С8)-алкил, перфтор-(С1-С4)-алкил, (С3-С10)-циклоалкил, фенил, (С1-С8)-алкоксил, значения остальных радикалов представлены в формуле изобретения. Изобретение также относится к способу получения соединений, к промежуточным соединениям, к лекарственному средству и фармацевтической композиции на основе соединений изобретения, и к применению соединений изобретения для получения лекарственного средства. 9 н. и 5 з.п. ф-лы, 7 табл.
Настоящее изобретение относится к производным 2-ациламино-4-фенилтиазола, их получению и их применению в терапии.
Объектом настоящего изобретения являются соединения, отвечающие формуле (I):

в которой
R1 означает атом водорода или галогена, (С1-С4)-алкил, трифторэтил, гидроксил, (С1-С4)-алкоксил, трифторметоксигруппу, трифторэтоксигруппу, (С3-С8)-циклоалкилоксигруппу, аллилоксигруппу, циклопропилметоксигруппу, (С1-С4)-алкилтиогруппу;
R2 означает атом водорода или галогена, (С1-С8)-алкил, трифторэтил, перфтор-(С1-С4)-алкил, (С3-С10)-циклоалкил, фенил, (С1-С8)-алкоксил, трифторметоксигруппу, трифторэтоксигруппу, аллилоксигруппу, (С3-С8)-циклоалкилметоксигруппу, (С3-С8)-циклоалкилоксигруппу, (С3-С8)-циклоалкилметил;
R3 означает группу, выбранную из:
а) а1) -О-(С2-С4)-alk-A;
a2) -O-(C1-C4)-alk-B;
a3) -O-E;
b) -(C1-C4)-alk-A;
c) -B;
d) d1) -(C1-C4)-alk-NR4-(C2-C3)-alk-A;
d2) -(C1-C4)-alk-NR4-(C1-C3)-alk-B;
e) e1) -CONR4-(C2-C4)-alk-A;
e2) -CONR4-(C1-C4)-alk-B;
e3) -CONR4-E;
f) f1) -CO-D-(C1-C2)-alk-A;
f2) -CO-G-A;
f3)
f4)
f5) 
f6) 
f7) 
R4 означает атом водорода или (С1-С4)-алкил;
А означает группу NR5R6;
В означает группу 
D означает группу 
Е означает формулу 
G означает группу 
R5 и R6, каждый, независимо друг от друга, означают атом водорода, (С1-С6)-алкил, аллил, (С2-С4)-alk-О-(С1-С4)-алкил, (С2-С4)-alk-OH, (C1-C3)-alk-CON(R4)2, (C2-C3)-alk-NHCO-(C1-C4)-алкил, (C3-C7)-циклоалкил, (С3-С7)-циклоалкилметил, -СО-(С1-С4)-алкил; пирролидинил, возможно замещенный -СО-(С1-С4)-алкилом; бензил, тетрагидропиранил, тетрагидропиранилметил, диметилтетрагидропиранил, тетрагидрофурил, тетрагидрофурилметил;
или R5 и R6 вместе с атомом азота, с которым они связаны, образуют гетероциклический радикал, выбранный из азиридинила, азетидинила, пирролидинила, пиперидинила, пергидроазепинила, морфолинила, пиперазинила, тропанила, хинуклидинила, 2-азабицикло[2,2,1]гептанила, 2-азабицикло[2,2,2]-октанила, причем вышеуказанные гетероциклические радикалы незамещены или замещены фенилом, галогенфенилом, триформетилфенилом, трифторметилом, гидроксилом, метоксигруппой, гидроксиметилом, метоксиметилом, формамидогруппой, трифторацетиламиногруппой, группой -NR4R7, тетрагидропиран-4-ил-аминогруппой, группой -CON(R4)2, -CONR4R’4, -CH2CON(R4)2, (C1-C4)-алкил-CONR4-, (С3-С8)-циклоалкил-CONR4-, (C1-C4)-алкил-OCONR4-, (C3-C8)-циклоалкил-OCONR4-, ((С1-С4)-алкил-ОСО)2-N-, (С1-С4)-алкил-СОО-; или замещены одной или несколькими метильными группами;
R’4 означает группу (СН2)s, связанную с атомом углерода-носителя -CONR4R’4;
R7 означает атом водорода, (С1-С4)-алкил, группу -SO2CH3; или
R4 и R7 вместе с атомом азота, с которым они связаны, образуют пирролидинильный или пиперидинильный радикал;
Р означает 1, 2, 3, 4 или 5;
Q означает 0, 1 или 2;
R означает 1 или 2;
S означает 2 или 3;
причем
р+q меньше или равно 5;
p+r меньше или равно 5;
alk означает алкилен;
при условии, что R1 и R2 одновременно не означают атом водорода.
Соединения формулы (I) могут включать один или несколько асимметрических атомов углерода. Следовательно, они могут находиться в форме энантиомеров или диастереоизомеров. Эти энантиомеры, диастереоизомеры, а также их смеси, включая рацемические смеси, входят в рамки изобретения. Точно также аксиальные и экваториальные стереоизомеры, эндо- и экзо-изомеры, также как их смеси, входят в рамки изобретения.
Соединения формулы (I) могут находиться в виде оснований или аддитивных солей кислот. Такие аддитивные соли входят в рамки изобретения.
Эти соли преимущественно получают с фармацевтически приемлемыми кислотами, однако соли других пригодных кислот, например, для очистки или выделения соединений формулы (I), также входят в рамки изобретения.
Соединения формулы (I) также могут находиться в форме гидратов или сольватов, а именно в форме ассоциатов или комбинаций с одной или несколькими молекулами воды или с растворителем. Такие гидраты и сольваты также входят в рамки изобретения.
В объеме настоящего изобретения
– под атомом галогена понимают атом фтора, хлора, брома или иода;
– под алкилом понимают одновалентную, линейную или разветвленную, алифатическую группу с 1-4 атомами углерода или, в случае необходимости, 1-8 атомами углерода. В качестве примеров можно назвать группы: метил, этил, пропил, изопропил, бутил, изобутил, трет-бутил, пентил, неопентил, трет-пентил и т.д.;
– под циклоалкилом понимают циклическую алкильную группу с 3-8 атомами углерода или, в случае необходимости, 3-10 атомами углерода, возможно соединенную мостиковой связью. В качестве примеров можно назвать группы: циклопропил, циклобутил, циклопентил, циклогексил, циклогептил, циклооктил, адамантил;
– под алкоксилом понимают -О-алкильный радикал, где алкил имеет вышеуказанное значение;
– под алкиленовой группой понимают двухвалентную, линейную или разветвленную, насыщенную алифатическую группу с 1-3 атомами углерода или, в случае необходимости, 2-3 или 2-4 атомами углерода.
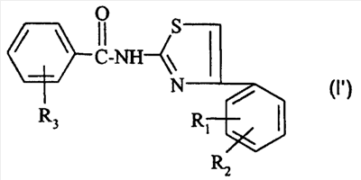
Из соединений формулы (I), являющихся объектами изобретения, можно назвать первую подгруппу соединений, которые отвечают общей формуле (I’):

в которой
R1 означает атом водорода или галогена, (С1-С4)-алкил, трифторэтил, гидроксил, (С1-С4)-алкоксил, трифторметоксигруппу, трифторэтоксигруппу, (С3-С8)-циклоалкилоксигруппу, аллилоксигруппу, циклопропилметоксигруппу, (С1-С4)-алкилтиогруппу;
R2 означает атом водорода или галогена, (С1-С8)-алкил, трифторэтил, перфтор-(С1-С4)-алкил, (С3-С10)-циклоалкил, фенил, (С1-С8)-алкоксил, трифторметоксигруппу, трифторэтоксигруппу, аллилоксигруппу, (С3-С8)-циклоалкилметоксигруппу, (С3-С8)-циклоалкилоксигруппу, (С3-С8)-циклоалкилметил;
R3 означает группу, выбранную из:
а) а1) -О-(С2-С4)-alk-A;
a2) -O-(C1-C4)-alk-B;
a3) -O-E;
b) -(C1-C4)-alk-A;
c) -B;
d) d1) -(C1-C4)-alk-NR4-(C2-C3)-alk-A;
d2) -(C1-C4)-alk-NR4-(C1-C3)-alk-B;
e) e1) -CONR4-(C2-C4)-alk-A;
e2) -CONR4-(C1-C4)-alk-B;
e3) -CONR4-E;
f) f1) -CO-D-(C1-C2)-alk-A;
f2) -CO-G-A;
f3) 
f4) 
f5) 
f6) 
R4 означает атом водорода или (С1-С4)-алкил;
А означает группу NR5R6;
В означает группу 
D означает группу 
Е означает группу 
G означает группу 
R5 и R6, каждый, независимо друг от друга, означают атом водорода, (С1-С6)-алкил, аллил, (С2-С4)-alk-О-(С1-С4)-алкил, (С2-С4)-alk-OH, (C1-C3)-alk-CON(R4)2, (C2-C3)-alk-NHCO-(C1-C4)-алкил, (C3-C7)-циклоалкил, (С3-С7)-циклоалкилметил, бензил, тетрагидропиранил, тетрагидропиранилметил, диметилтетрагидропиранил, тетрагидрофурил, тетрагидрофурилметил;
или R5 и R6 вместе с атомом азота, с которым они связаны, образуют гетероциклический радикал, выбранный из азиридинила, азетидинила, пирролидинила, пиперидинила, пергидроазепинила, морфолинила, пиперазинила, тропанила, хинуклидинила, 2-азабицикло[2,2,1]гептанила, 2-азабицикло[2,2,2]-октанила, причем вышеуказанные гетероциклические радикалы незамещены или замещены фенилом, галогенфенилом, триформетилфенилом, трифторметилом, гидроксилом, метоксигруппой, гидроксиметилом, метоксиметилом, формамидогруппой, трифторацетиламиногруппой, группой -NR4R7, тетрагидропиран-4-ил-аминогруппой, группой -CON(R4)2, -CONR4R’4, -CH2CON(R4)2, (C1-C4)-алкил-CONR4-, (C1-C4)-алкил-OCONR4-, (С1-С4)-алкил-СОО-; или замещены метильными группами;
R’4 означает группу (СН2)s, связанную с атомом углерода-носителя -CONR4R’4;
R7 означает атом водорода, (С1-С4)-алкил, или
R4 и R7 вместе с атомом азота, с которым они связаны, образуют пирролидинильный или пиперидинильный радикал;
Р означает 1, 2, 3, 4 или 5;
Q означает 0, 1 или 2;
R означает 1 или 2;
S означает 2 или 3;
причем
р+q меньше или равно 5;
p+r меньше или равно 5;
alk означает алкилен;
при условии, что R1 и R2 одновременно не означают атом водорода.
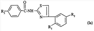
Из соединений формулы (I), являющихся объектами изобретения, можно назвать вторую подгруппу соединений, которые определяются следующим образом:
R1 находится в положении 2 фенила, и/или R2 находится в положении 5, и/или R3 находится в положении 4 другого фенила; также, более предпочтительно, можно назвать соединения формулы (Ia):

в которой R1, R2, R3 имеют указанные для формулы (I) значения.
Из этих соединений другую подгруппу соединений формулы (Ia) составляют такие соединения, в которой:
R1 означает атом галогена, (С1-С4)-алкил, гидроксил, (С1-С4)-алкоксил, (С3-С8)-циклоалкилоксигруппу, аллилоксигруппу, циклопропилметоксигруппу, (С1-С4)-алкилтиогруппу;
и/или R2 означает атом галогена, (С1-С8)-алкил, трифторметил, (С3-С8)-циклоалкил, фенил, (С1-С8)-алкоксил, аллилоксигруппу, (С3-С8)-циклоалкилметоксигруппу, (С3-С8)-циклоалкилоксигруппу, (С3-С8)-циклоалкилметил;
и/или R3 означает группу, выбранную из групп а), b), c), d), e), f), таких, как указанные выше для формулы (I).
В частности, из этих соединений можно назвать соединения, в которых:
R1 означает (C1-C4)-алкоксил, циклопропилметоксигруппу или (С1-С4)-алкилтиогруппу; и/или R2 означает атом галогена, (С1-С8)-алкил, трифторметил, (С3-С10)-циклоалкил или (С1-С8)-алкоксил;
и/или R3 означает группу f2 или e2.
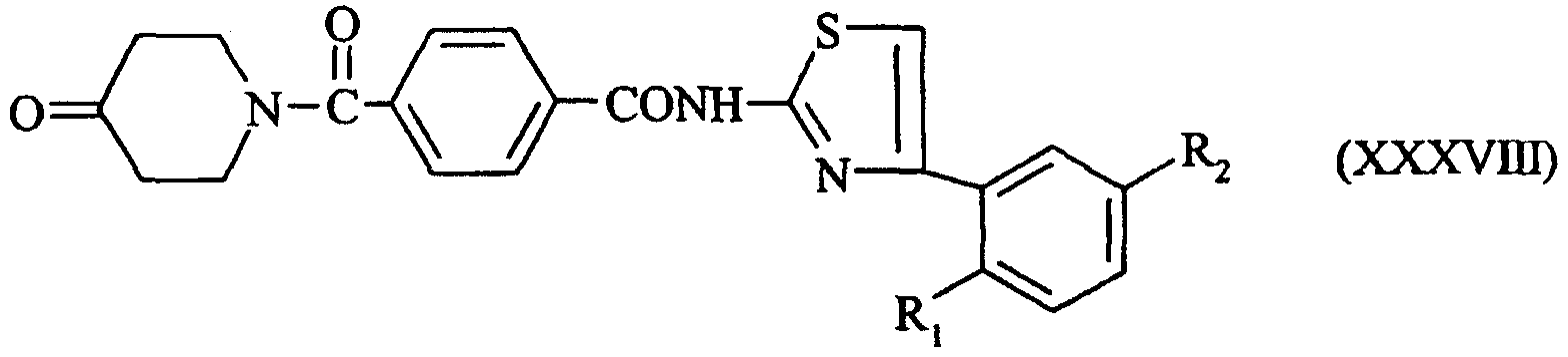
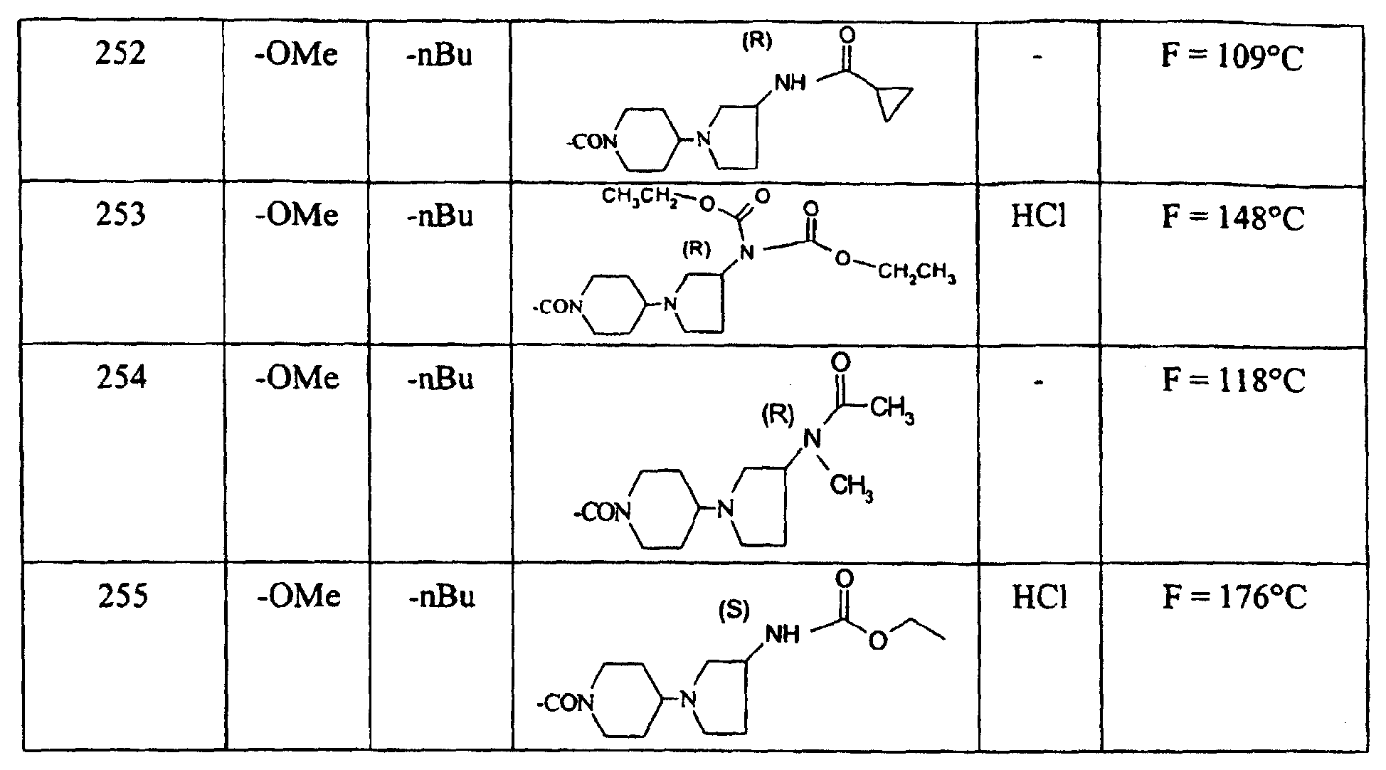
Из соединений формулы (I) согласно изобретению можно назвать, в частности, следующие соединения:
– 4-((4-[3-(R)-(ацетиламино)пирролидин-1-ил]пиперидин-1-ил)-карбонил)-N-[4-(5-бутил-2-метоксифенил)-1,3-тиазол-2-ил]бензамид;
– этиловый эфир (1-(1-(4-(4-(5-бутил-2-метоксифенил)тиазол-2-илкарбамоил)пиперидин-4-ил)пирролидин-3-ил)карбаминовой кислоты;
– N-(4-(5-бутил-2-метоксифенил)тиазол-2-ил)-4-(4-(3-(R)-ацетиламинопирролидин-1-ил)пиперидин-1-карбонил)бензамид;
– N-(4-(5-бутил-2-метоксифенил)тиазол-2-ил)-4-(4-(тетрагидропиран-4-иламино)пиперидин-1-карбонил)бензамид;
– N-(4-(5-циклогексил-2-метоксифенил)тиазол-2-ил)-4-(2-(тетрагидропиран-4-иламино)этокси)бензамид;
– N-(4-(5-этил-2-метоксифенил)тиазол-2-ил)-4-(3-(тетрагидропиран-4-иламино)пропил) бензамид;
– N-(4-(5-циклогексил-2-этоксифенил)тиазол-2-ил)-4-(4-(пирролидин-1-ил)пиперидин-1-карбонил)бензамид;
– N-(4-(5-циклогексил-2-метоксифенил)тиазол-2-ил)-N’-пирролидин-2-илметилтерефталамид;
– N-(4-(5-бутил-2-метоксифенил)тиазол-2-ил)-4-(4-(3-(R)-(циклопропанкарбониламино)пирролидин-1-ил)пиперидин-1-карбонил)бензамид;
– N-(4-(5-бутил-2-метоксифенил)тиазол-2-ил)-4-(4-(3-(R)-изобутириламинопирролидин-1-ил)пиперидин-1-карбонил)бензамид;
– N-(4-(5-циклогексил-2-метоксифенил)тиазол-2-ил)-4-(4-пирролидин-1-ил)пиперидин-1-карбонил)бензамид;
– N-(4-(5-бутил-2-метоксифенил)тиазол-2-ил)-4-(4-(3-(R)-гидроксипирролидин-1-ил)пиперидин-1-карбонил)бензамид;
– N-(4-(5-бутил-2-метоксифенил)тиазол-2-ил)-N’-((S)-(1-этилпирролидин-2-ил)метил)терефталамид;
– N-(4-(5-бутил-2-метоксифенил)тиазол-2-ил)-4-(4-(3-гидроксиазетидин-1-ил)пиперидин-1-карбонил)бензамид;
– N-(4-(5-бутил-2-метоксифенил)тиазол-2-ил)-4-(4-(3-(S)-ацетил-аминопирролидин-1-ил)пиперидин-1-карбонил)бензамид;
– N-(4-(5-этил-2-этоксифенил)тиазол-2-ил)-N’-пиперидин-3-ил-терефталамид;
– N-(4-(5-этил-2-этоксифенил)тиазол-2-ил)-4-(4-(3-(R)-гидроксипирролидин-1-ил)пиперидин-1-карбонил)бензамид;
– N-(4-(5-этил-2-этоксифенил)тиазол-2-ил)-N’-((S)-(1-этил-пирролидин-2-ил)метил)терефталамид;
– N-(4-(5-циклогексил-2-этоксифенил)тиазол-2-ил)-N’-((S)-(1-этилпирролидин-2-ил)метил)терефталамид;
– N-(4-(5-циклогексил-2-метоксифенил)тиазол-2-ил)-N’-((S)-(1-этилпирролидин-2-ил)метил)терефталамид;
– N-(4-(5-циклопентил-2-метоксифенил)тиазол-2-ил)-4-(4-(тетрагидропиран-4-иламино)пиперидин-1-карбонил)бензамид;
– N-(4-(5-гексил-2-метоксифенил)тиазол-2-ил)-4-(4-(тетрагидропиран-4-иламино)пиперидин-1-карбонил)бензамид;
– N-(4-(5-циклогексил-2-метоксифенил)тиазол-2-ил)-4-(4-(3-(R)-ацетиламинопирролидин-1-ил)пиперидин-1-карбонил)бензамид;
– N-(4-(5-бутил-2-метоксифенил)тиазол-2-ил)-4-(4-(3-(R)-формиламинопирролидин-1-ил)пиперидин-1-карбонил)бензамид;
– N-(4-(5-циклогексил-2-метоксифенил)тиазол-2-ил)-4-(4-(3-(S)-гидроксиметилпирролидин-1-ил)пиперидин-1-карбонил)бензамид;
– N-(4-(5-пропил-2-метоксифенил)тиазол-2-ил)-4-(4-(3-(R)-ацетиламинопирролидин-1-ил)пиперидин-1-карбонил)бензамид;
– N-(4-(5-циклопентил-2-метоксифенил)тиазол-2-ил)-4-(4-(3-(R)-ацетиламинопирролидин-1-ил)пиперидин-1-карбонил)бензамид;
– этиловый эфир 1-(1-(4-(4-(5-бутил-2-метоксифенил)тиазол-2-илкарбамоил)бензоил)пиперидин-4-ил)пирролидин-3-(R)-ил-пропионовой кислоты;
– N-(4-(5-циклогексил-2-метоксифенил)тиазол-2-ил)-4-(4-(3-(R)-пропиониламинопирролидин-1-ил)пиперидин-1-карбонил)бензамид;
– N-(4-(5-циклогексил-2-метоксифенил)тиазол-2-ил)-4-(4-(3-(R)-бутириламинопирролидин-1-ил)пиперидин-1-карбонил)бензамид;
– N-(4-(5-циклогексил-2-этоксифенил)тиазол-2-ил)-4-(4-(3-(R)-ацетиламинопирролидин-1-ил)пиперидин-1-карбонил)бензамид;
– N-(4-(5-этил-2-этоксифенил)тиазол-2-ил)-4-(4-пирролидин-1-ил)пиперидин-1-карбонил)бензамид;
– N-(4-(5-этил-2-этоксифенил)тиазол-2-ил)-N’-((R)-(1-этил-пирролидин-2-ил)метил)терефталамид;
– метиловый эфир 1-(1-(4-(4-(5-бутил-2-метоксифенил)тиазол-2-илкарбамоил)пиперидин-4-ил)пирролидин-3-ил)карбаминовой кислоты;
– N-(4-(5-циклопентил-2-метоксифенил)тиазол-2-ил)-4-(4-(3-(R)-пропиониламинопирролидин-1-ил)пиперидин-1-карбонил)бензамид;
– N-(4-(5-бутил-2-этоксифенил)тиазол-2-ил)-4-(4-(3-(R)-пропиониламинопирролидин-1-ил)пиперидин-1-карбонил)бензамид;
– N-(4-(5-циклопентил-2-этоксифенил)тиазол-2-ил)-4-(4-(3-(R)-пропиониламинопирролидин-1-ил)пиперидин-1-карбонил)бензамид;
– этиловый эфир 1-(1-(4-(4-(5-циклопентил-2-этоксифенил)тиазол-2-илкарбамоил)пиперидин-4-ил)пирролидин-3-ил)карбаминовой кислоты.
Некоторые из соединений формулы (I) также могут служить в качестве промежуточных продуктов для получения других соединений формулы (I), так, как представлено в нижеприводимых примерах.
В нижеследующем контексте под защитной группой Pg понимают группу, которая позволяет, с одной стороны, защищать реакционноспособную функциональную группу, такую, как гидроксил или аминогруппа, во время синтеза и, с другой стороны, регенерировать незатронутую реакционноспособную функциональную группу по окончании синтеза. Примеры защитных групп, а также способы защиты и удаления защитных групп представлены в “Protective Groups in Organic Synthesis”, Green и др., второе издание (John Wiley and Sons, Inc., Нью-Йорк).
Под удаляемой группой в нижеследующем контексте понимают группу, которая может быть легко отщеплена от молекулы путем разрыва гетеролитической связи с удалением электронной пары. Эта группа также может быть легко заменена другой группой, например, во время реакции замещения. Таким удаляемыми группами являются, например, галогены или активированная гидроксильная группа, такая, как мезил, тозил, трифлат, ацетил и т.д. Примеры удаляемых групп, а также ссылки на их получение представлены в “Advances in Organic Chemistry” J. March, третье издание, Wiley Interscience, c. 310-316.
Согласно изобретению можно получать соединения общей формулы (I) нижеследующим способом.
Этот способ отличается тем, что функциональное производное кислоты формулы (II):

в которой R’3 означает R3, такой, как указанный выше для формулы (I), или предшественник R3, обрабатывают производным 2-аминотиазола формулы (III):

в которой R’1 и R’2 означают соответственно R1 и R2 или предшественники R1 и R2, такие, как указанные для формулы (I);
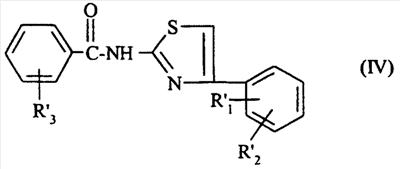
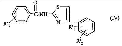
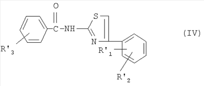
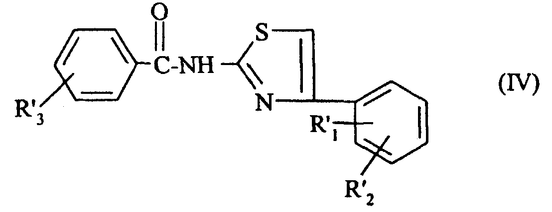
затем, в случае необходимости, таким образом полученное соединение формулы (IV):

в которой R’1, R’2 и R’3 означают соответственно R1, R2 или R3 или предшественники R1, R2 и R3, превращают в соединение формулы (I).
Под предшественником R1, R2 и, соответственно, R3 понимают заместитель, который может быть превращен в R1, R2 и, соответственно, R3 путем одной или нескольких химических реакций.
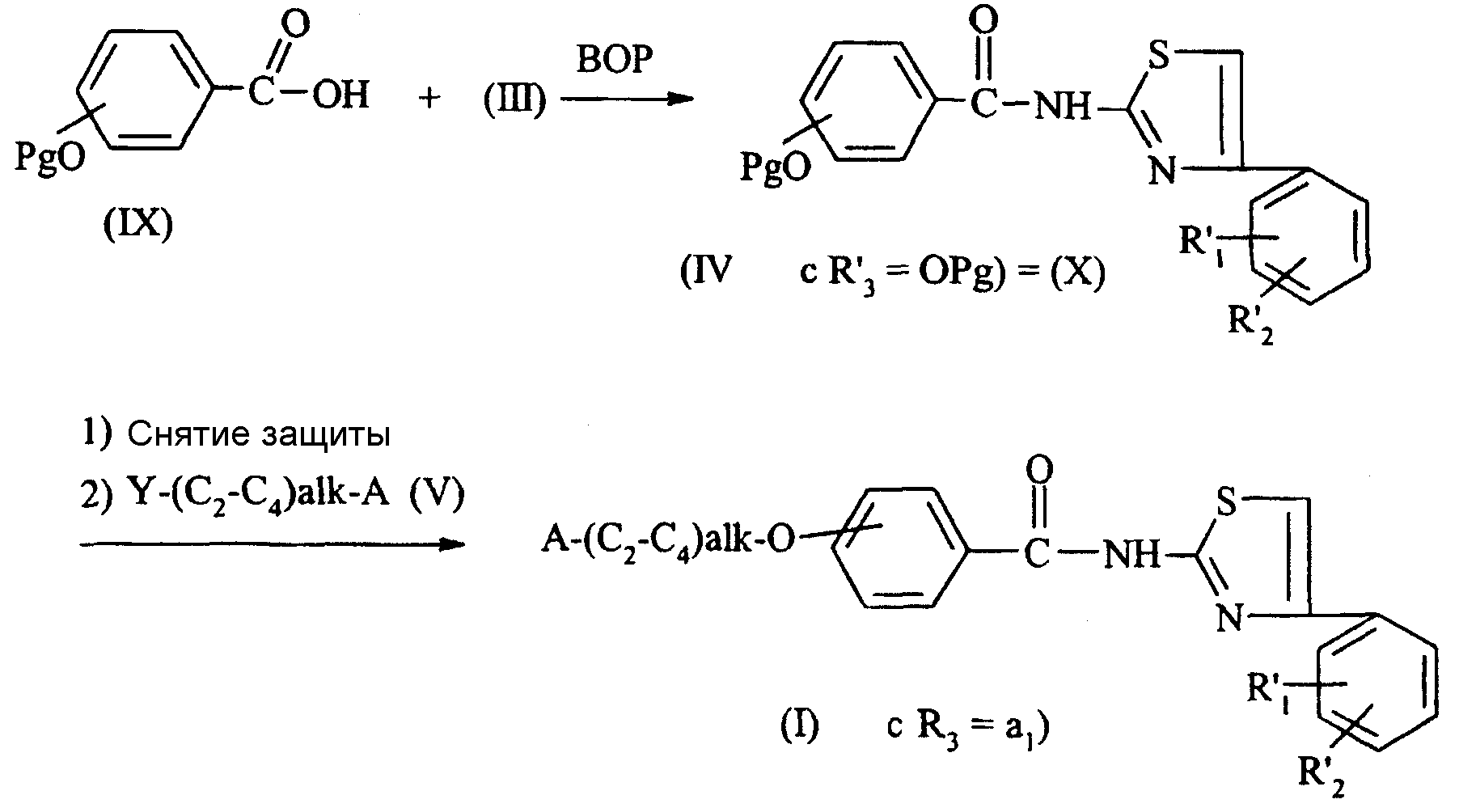
Под функциональным производным кислоты формулы (II) понимают хлорангидрид кислоты, смешанный или симметричный ангидрид или еще кислоту, надлежащим образом активированную, например, с помощью бензотриазол-1-илокситрис(диметиламино)фосфонийгексафторфосфата (ВОР) или О-бензотриазол-1-ил-N,N,N’,N’-тетраметилуронийгексафторфосфата (HBTU) или О-бензотриазол-1-ил-N,N,N’,N’-тетраметилуронийтетрафторбората (TBTU).
Первую стадию осуществляют в апротонном растворителе, таком, как дихлорметан, ацетонитрил, тетрагидрофуран или диметилформамид, в щелочной среде.
Соединения формулы (II) получают известными способами, которые изменяют в зависимости от значения заместителя R3 или R’3 в соединении формулы (II).
В нижеприводимых схемах учитывают, что группы R’1 и R’2, которые означают соответственно R1 и R2 или предшественник R1 и R2, на последующей стадии могут быть подвергнуты превращению путем использования известных специалисту реакций.
Когда один или несколько заместителей R’1, R’2 и/или R’3 означают группу, содержащую аминогруппу или гидроксил, эти функциональные группы могут быть промежуточно защищены: аминогруппа может быть защищена, например, алканоильной, бензильной, трет-бутоксикарбонильной (Вос), бензилоксикарбонильной или 9-флуоренилметоксикарбонильной (Fmoc) группой; гидроксил может быть защищен, например, в форме простого или сложного эфира.
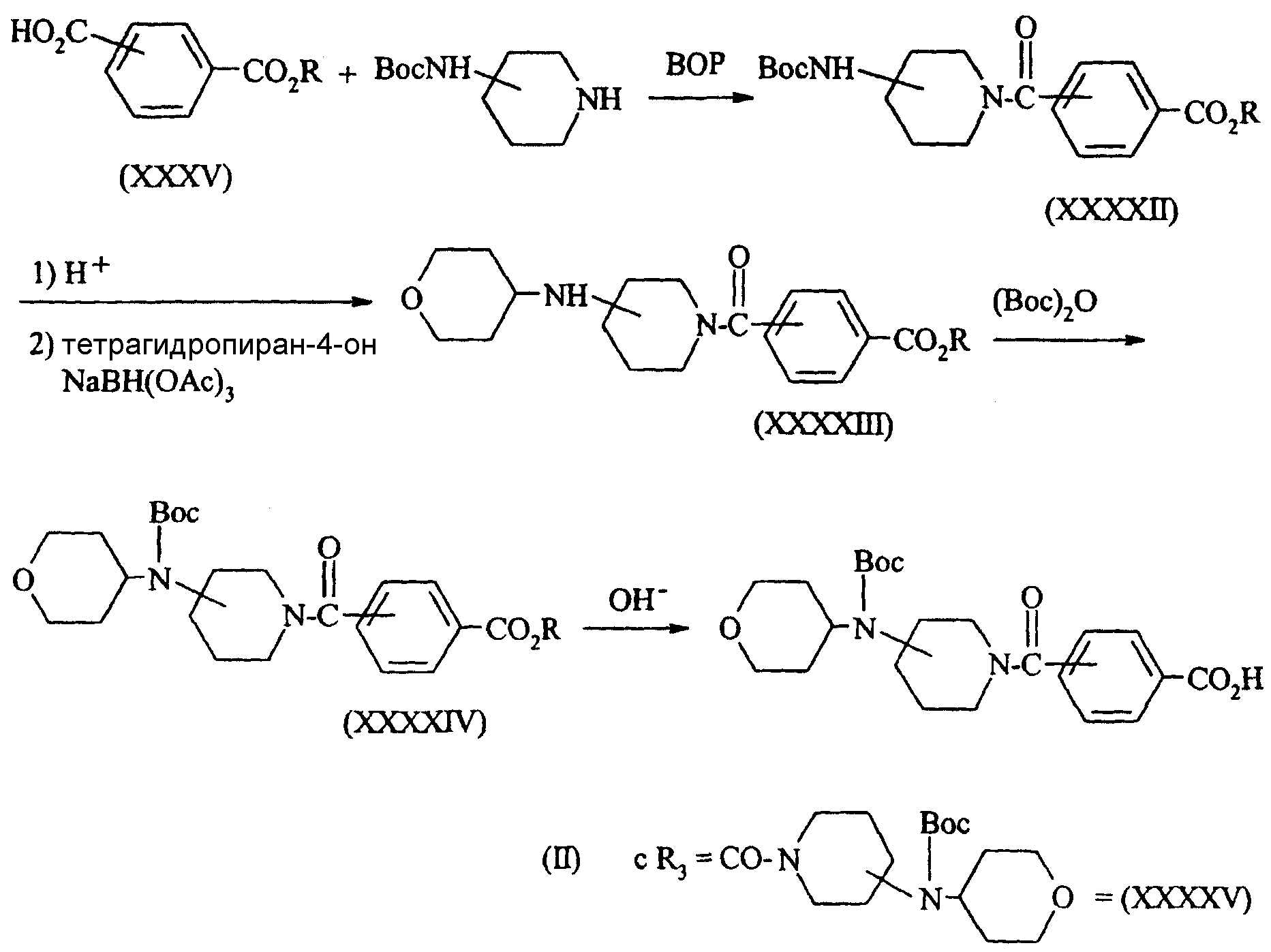
Для получения соединения формулы (I), в которой R3 означает группу а), такую, как указанная для формулы (I), можно получать соединение формулы (II), в которой R3 означает группу а), поступая согласно нижеприводимой схеме реакции, где приведен пример для а1), затем использовать способ согласно изобретению.
СХЕМА 1

Y – удаляемая группа;
R – (С1-С4)-алкил.
Можно также поступать согласно схеме 1, но заменяя в соединении формулы (V) удаляемую группу Y гидроксильной группой согласно реакции Mitsunobu, Bull. Chem. Soc. Japan, 40, 2380 (1967).
Альтернативно, для получения соединения формулы (I), в которой R3 означает группу а), можно получать соединение формулы (IV), содержащее группу R’3, предшественник R3, затем на последующей стадии превращать ее в группу R3 согласно следующей схеме реакции:
СХЕМА 2

Y – удаляемая группа;
Pg – защитная для кислорода группа, такая, как, например, трет-бутил, бензоил или арилсульфонил.
Заменяя соединение формулы (V) соединением формулы Y-E, в которой Е имеет вышеуказанное значение, причем заместитель R5 может быть замещен защитной для азота группой, получают соединение формулы (I), в которой R3=а3).
Соединение формулы (I), в которой R3 означает а), также можно получать из соединения, включающего группу R’3, предшественника R3, согласно нижеприводимой схеме реакции:
СХЕМА 3


На последней стадии присоединение амина осуществляют согласно Synth. Commun., 28 (10), 1897-1905 (1998); J. Org. Chem., 57 (11), 3218-3225 (1992); J. Org. Chem., 61, 3849-3862 (1996); Tetrahedron Lett., 31, 5595-5598 (1990).
Другой способ получения соединения формулы (I), в которой R3 означает группу а), исходя из соединения формулы (IV), содержащем R’3, предшественник R3, представлен на нижеприводимой схеме реакции:
СХЕМА 4


R’ – метил или толил;
ТНР – тетрагидропиран-2-ил.
Превращение соединения формулы (XVIII) путем окисления может быть осуществлено, например, окислением по Swern.
Пример получения соединения формулы (II), в которой R’3=а1), приводится ниже:
СХЕМА 5

Из таким образом полученного соединения формулы (XX) затем можно получать различные соединения формулы (II) путем замещения надлежащим образом первичного амина.
Для получения соединения формулы (I), в которой R3 означает группу а2) или а3), также можно воздействовать соединением формулы (II), в которой R3=а2) или а3), на соединение формулы (III); причем соединение формулы (II) получают согласно следующей схеме реакции, согласно приведенному примеру для а2):
СХЕМА 5BIS


Кислоты формулы:

позволяют получать соединения формулы (IV), в которой R’3=c), путем воздействия на аминотиазол формулы (III).
Для получения соединения формулы (I), в которой R3 означает группу b), можно воздействовать соединением формулы (II), в которой R3=b), на соединение формулы (III); причем соединение формулы (II) или его сложный эфир получают согласно следующей схеме реакции:
СХЕМА 6

Соединение формулы (I), в которой R3 означает группу b), также может быть получено следуя нижеприводимой схеме реакции, которая включает стадии схемы 3, адаптируя их к настоящему случаю:
СХЕМА 7


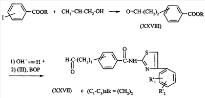
В конкретном случае, где получают соединение формулы (I), в которой R3 означает группу b), с (C1-C4)-alk = (CH2)3, соединение формулы (IV), в которой R’3 означает предшественник b), можно превращать в соединение формулы (I) согласно следующей схеме реакции:
СХЕМА 8


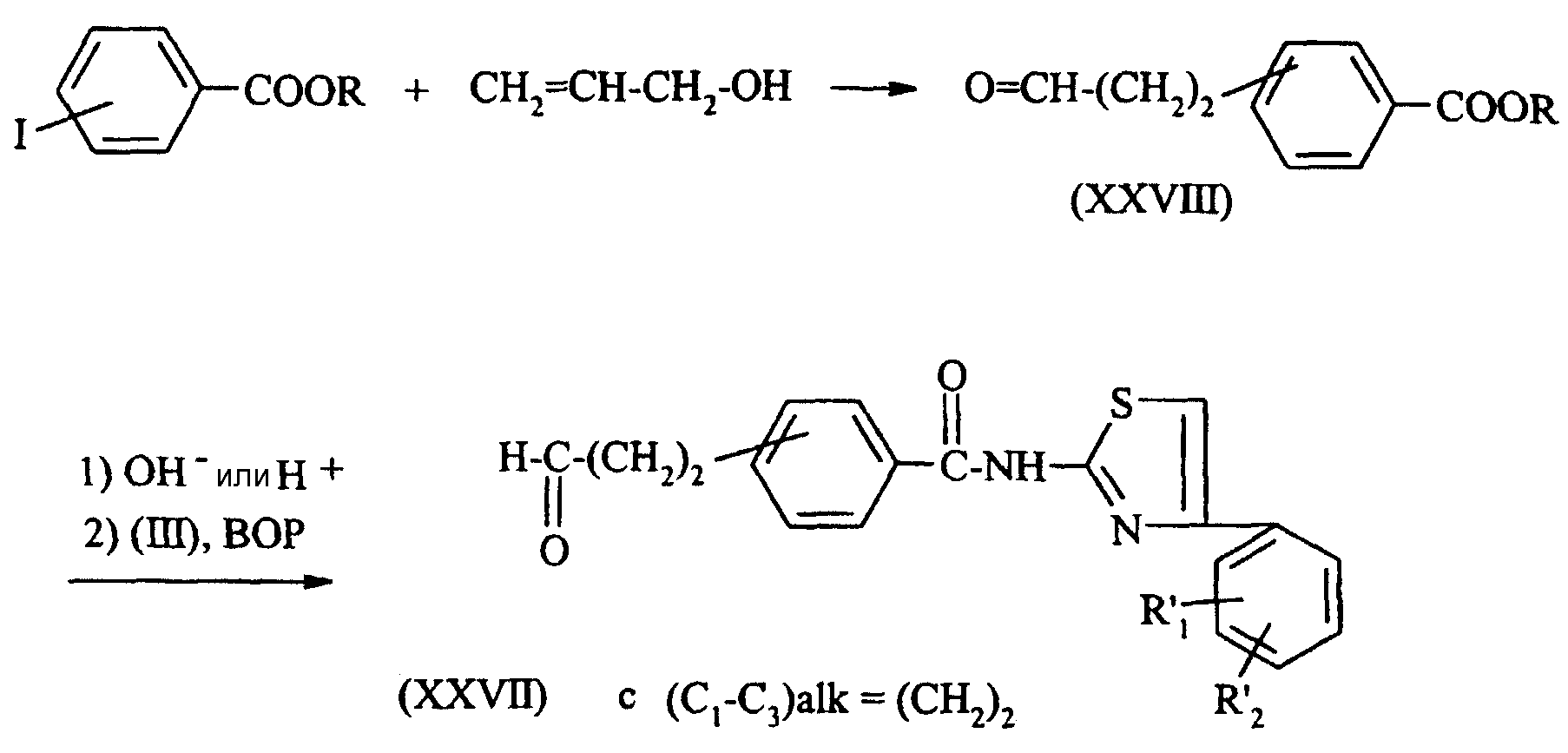
Соединение формулы (XXVII) также может быть получено путем воздействия иодбензойной кислоты на соединение формулы (III), затем путем воздействия проп-2-ен-1-ола на таким образом полученное соединение формулы (XXVIIbis):

Соединение формулы (I), в которой R3 означает b), также может быть получено согласно следующей схеме реакции:
СХЕМА 9

Hal – атом галогена, предпочтительно, хлора.
Подобным образом также можно получать соединение формулы (I), в которой R3=b), исходя из соединения формулы (II), получаемого согласно нижеприводимой схеме:
СХЕМА 10

Соединения формулы (II), в которой R3=c), могут быть получены согласно Syn. Lett., 4, 379-380 (1998).
Способы получения соединений формулы (I), в которой R3 означает группу d), осуществляют подобно таковым, описанным для получения соединений формулы (I), в которых R3=b).
Для получения соединения формулы (I), в которой R3 означает замещенную амидную группу (группы е) и f)), можно поступать согласно одной из нижеприводимых схем 11 или 12, которые иллюстрируют случай, где R3=e1):
СХЕМА 11


СХЕМА 12

Согласно этой методике при использовании в качестве исходного продукта соединения формулы (XXXIIIbis), которое вводят во взаимодействие с диамином формулы NHR4-(C2-C4)-alk-A, прямо получают соединение формулы (I) с R3 = е1).
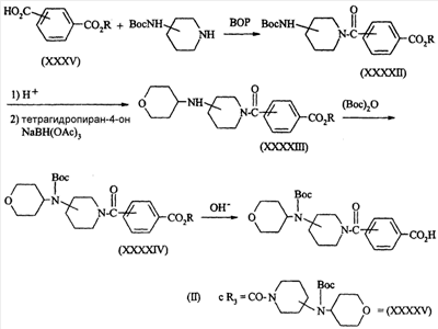
В конкретном случае, где R3 означает группу f2) и G означает пиперидиновую группу, можно поступать согласно нижеприводимой схеме:
СХЕМА 13

Таким образом полученные соединения затем могут быть превращены в соединения, в которых NR5R6 имеет указанное для общей формулы (I) значение, путем удаления защиты и функционализации амина NR’5R’6 согласно известным специалисту способам.
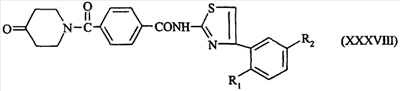
Соединения формулы (XXXVIII) также могут быть получены из соединений формулы (XXXIIIbis) согласно нижеприводимой схеме:

Для получения соединения формулы (I), в которой R3 означает группу f2) и G означает пиперидинил, также можно поступать согласно нижеприводимой схеме:
СХЕМА 14

Из таким образом полученного соединения формулы (XXXXI) затем можно получать различные соединения формулы (I), в которой R3=f2), путем соответствующего замещения первичной аминогруппы.
Например, путем воздействия тетрагидропиран-4-она получают соединение формулы (I), в которой R3 означает группу:

Для получения соединения формулы (I), в которой R3 = e) или f), можно поступать согласно нижеприводимой схеме, которая иллюстрирует случай, где R3 = f2) и G означает пиперидин:
СХЕМА 15

или, изменяя порядок первых стадий, поступают согласно следующей схеме:
СХЕМА 16

или согласно другой альтернативе:

Ph – фенил;
ТНР – тетрагидропиран-4-ил.
В способах, представленных на схемах 14, 15 и 16, в качестве защитной для азота группы можно использовать Вос, такой, как указанный, или любую другую защитную группу Gp, соответствующую, например, алканоильной группе, такой, как формил или ацетил, бензильной группе, 9-флуоренилметоксикарбонильной группе (Fmoc) или бензилоксикарбонильной группе или трет-бутоксикарбонильной группе (Вос).
Аминотиазолы формулы (III) получают известными способами, такими, как способы, описанные в документах: Европейский патент 518731, Европейский патент 611766 и Международная заявка на патент WO-99/15525.
В общем, тиомочевину вводят во взаимодействие с галогенсодержащим кетоном формулы 4 согласно следующей схеме реакции:
СХЕМА 17

Заместители R’1 и R’2 имеют вышеуказанные значения, то есть R’1 и R’2 означают соответственно R1 и R2, такие, как указанные для формулы (I), или группы-предшественники R1 и R2; Hal означает атом галогена, предпочтительно атом брома, хлора или иода.
Галогенсодержащие кетоны формулы 4 могут быть получены известными специалисту способами. Например, бромкетоны могут быть получены путем воздействия брома, бромида двухвалентной меди или фенилтриметиламмонийтрибромида (РТТ) на ацетофенон формулы 5:

в которой R’1 и R’2 имеют вышеуказанные значения, в органическом растворителе, таком, как этилацетат, хлорсодержащий растворитель или их смесь или еще спирт.
Когда производное ацетофенона формулы 5 является коммерчески недоступным, его можно получать различными способами:
– реакция по Фриделю-Крафтсу при использовании бензола, замещенного группами R’1 и R’2, который вводят во взаимодействие с ацетилхлоридом или уксусным ангидридом в присутствии кислоты Льюиса, такой, как, например, AlCl3 или TiCl4;
– воздействие ацетилхлорида в присутствии палладия на бензол, замещенный группами R’1 и R’2, после депротонирования бензола, например, путем воздействия бутиллития, затем добавления хлорида цинка или иодида марганца. Эту методику используют для получения производного ацетофенона формулы 5, в которой R’2 = R2 = (С1-С4)-перфторалкил;
– перегруппировка по Fries: из производного ацетоксибензола формулы 6:

путем воздействия кислоты Льюиса получают производное гидроксиацетофенона формулы 7:

Гидроксильная функциональная группа соответствует группе R’1, которую на последующей стадии можно превращать в группу -О-Z, такую, как (С1-С8)-алкоксил, трифторметоксигруппа, трифторэтоксигруппа, аллилоксигруппа, (С3-С8)-циклоалкилметоксигруппа, (С3-С8)-циклоалкилоксигруппа.
Превращение R’1 в R1 может быть осуществлено либо в случае аминотриазола формулы (III), либо в случае соединения формулы (I).
Производные бензола, замещенные группами R’1 и R’2, коммерчески доступны или их можно получать известными специалисту способами.
Например, для получения соединения, в котором R1 означает группу -О-Z, такую, как указанная выше, поступают следующим образом:
СХЕМА 18

Можно также замещать производное галогенбензола согласно нижеприводимой схеме:
СХЕМА 19

В конкретном случае, где R2 означает (С1-С4)-перфторалкил, можно также поступать согласно нижеприводимой схеме реакции:
СХЕМА 20

Кислоты формулы (II), в которой R’3 означает R3, представляющий собой простую эфирную группу, такую, как указанная для формулы (I) в виде а), описаны, в частности, в Arch. Pharm., 295, 292-304 (1962); Eur. J. Med. Chem., 26 (9), 675-686 (1994); J. Med. Chem., 45 (16), 3406-3417 (2002); и в документах: WO-02/53534; WO-01/00206; WO-96/21656; WO-00/39087; заявка на Европейский патент А-62504; заявка на Европейский патент А-393607; заявка на Европейский патент А-997465.
Кислоты формулы (II), в которой R’3 означает R3, представляющий собой группу b) или с), такую, как указанная для формулы (I), как правило, являются новыми. Эфиры 4-(1-метилпиперидин-4-ил)метилбензойной кислоты и 4-(1-этилпиперидин-4-ил)метилбензойной кислоты описываются в Pesticide Sciences, 44 (1), 96-102 (1995).
Таким образом, объектом настоящего изобретения являются также соединения формулы (IIb):

в которой R’3 означает R3, выбираемый из группы b): (С1-С4)-alk-A или с): В, где группы А и В имеют указанные для формулы (I) значения, при условии, что, когда (С1-С4)-alk означает метилен, В отличается от пиперидинила; или R’3 означает предшественник R3, в частности, группу, в которой возможно имеющиеся аминогруппы и/или гидроксильные группы защищены.
Эфиры, в частности, (С1-С4)-алифатические или бензиловые эфиры, незамещенные или замещенные по фенилу метоксигруппой, кислот формулы (IIb), также являются новыми и составляют часть изобретения.
Кислоты формулы (II), в которой R’3 означает R3, представляющий собой группу е) или f), такие, как указанные для формулы (I), являются, как правило, новыми. Соединения формулы (II), в которой R3 означает группу е1), описываются в документах: Международная заявка на патент WO-98/56760 и патент США 5411984.
Таким образом, объектом настоящего изобретения являются также соединения формулы (IIe):

в которой R’3 означает R3, выбираемый из группы, состоящей из е2), е3), f1), f2), f3), f4), f5), f6), таких, как указанные для формулы (I); или R’3 означает группу-предшественник R3, в частности, группу, в которой возможно присутствующие аминогруппы и/или гидроксильные группы защищены.
Эфиры, в частности, (С1-С4)-алифатические или бензиловые эфиры, незамещенные или замещенные по фенилу метоксигруппой, кислот формулы (IIe) также являются новыми и составляют часть изобретения.
В частности, кислоты формулы:

в которой G’p означает атом водорода или защитную для азота группу, такую, как Вос, Fmoc, бензилоксикарбонил, бензил или (С1-С4)-алканоил, а также их (С1-С4)-алкиловые эфиры формулы (XXXXIV) или их бензиловые эфиры, незамещенные или замещенные по фенилу метоксигруппой, являются новыми и составляют особый объект настоящего изобретения.
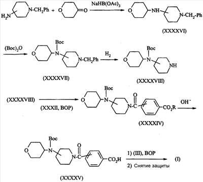
Промежуточные соединения формул (XXXXVI), (XXXXVII) и (XXXXVIII), пригодные для получения соединения формулы (XXXXV), также являются новыми.
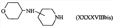
Так, объектом настоящего изобретения также является соединение формулы (XXXXVIIIbis):

в которой аминогруппы являются свободными или защищены защитной группой, такой, как, например, группа Fmoc, бензил, трет-бутоксикарбонил, бензилоксикарбонил или (С1-С4)-алканоил.
2-Аминотиазолы формулы (III), как правило, известны, в частности, из следующих документов: заявка на Европейский патент А-819681, заявка на Европейский патент А-44442 или Indian J. Chem., часть В, 26В (3), 287-289 (1987).
Промежуточные соединения формулы (IV), а именно соединения формулы Х, XIII, XIV, XVII, XVIII, XIX, XXVI, XXVII, XXVIIbis, XXIX, XXXIII, XXXIIIbis, XXXIV, XXXIVbis, XXXVIII, XXXX, XXXXIX, являются новыми и составляют другой объект настоящего изобретения.
Кроме того, промежуточные соединения формулы (IV), в которой группа R’3 включает защищенную аминогруппу, а именно группу -NGp вместо группы -NR5, также являются новыми.
Объектом изобретения также являются соединения формулы (IV):

в которой:
R’1 и R’2 означают соответственно R1 или R2 или предшественники R1 и R2, такие, как указанные для соединений формулы (I); в особенности R’1 и R’2 означают соответственно, R1 и R2;
R’3 означает группу, выбираемую среди:
– -OPg, причем Pg означает защитную группу, такую, как трет-бутил, бензоил или арилсульфонил (фенилсульфонил, толилсульфонил или нафтилсульфонил);
– -О-(С1-С3)-alk-Q, причем Q означает диметоксиметил, диэтоксиметил или формил;
– -О-(С2-С4)-alk-ОХ, причем Х означает атом водорода, тетрагидропиранил или группу SO2R’, где R’ является метилом или толилом;
– -(С1-С3)-alk-Q;
– -(C1-C4)-alk-Hal, причем Hal означает атом галогена;
– -I;
– -COOH; -COOR, где R означает атом водорода, (С1-С4)-алкил или бензил, незамещенный или замещенный по фенилу метоксигруппой;
– -CONH-(C1-C3)-alk-Q;
– 
– 
причем Gp означает защитную для азота группу, такую, как Fmoc, (С1-С4)-алканоил, бензил, бензилоксикарбонил, трет-бутоксикарбонил;
– 
– а) а1) -О-(С2-С4)-alk-A’;
a2) -O-(C1-C4)-alk-B’;
a3) -O-E’;
– b) -(C1-C4)-alk-A’;
– c) -B’;
– d) d1) -(C1-C4)-alk-NR4-(C2-C3)-alk-A’;
d2) -(C1-C4)-alk-NR4-(C1-C3)-alk-B’;
– e) e1) -CONR4-(C2-C4)-alk-A’;
e2) -CONR4-(C1-C4)-alk-B’;
e3) -CONR4-E’;
– f) f1) -CO-D-(C1-C2)-alk-A;
f2) -CO-G-A;
f3) 
f4) 
f5) 
где:
– A’, B’, E’ означают соответственно группы А, В, Е, такие, как указанные для формулы (I), в которых R5 замещен группой Gp;
– Gp означает защитную для азота группу, такую, как Вос, Fmoc, (С1-С4)-алканоил, бензилоксикарбонил или бензил.
Более конкретно, настоящее изобретение относится к соединениям формулы (IV), в которой:
– R’1 находится в положении 2 фенила и является таким, как R1, указанный для формулы (I);
– R’2 находится в положении 5 фенила и является таким, как R2, указанный для формулы (I);
– R’3 находится в положении 4 другой фенильной группы и является таким, как указанный выше.
Нижеследующие примеры Получения и примеры иллюстрируют получение некоторых соединений согласно изобретению. Эти примеры не ограничивают объема охраны изобретения, а только поясняют настоящее изобретение. Номера подтверждаемых примерами соединений соответствуют таковым, данным в нижеприводимых таблицах. В описании используют нижеуказанные аббревиатуры:
ТА: комнатная температура
dec.: разложение
DCM: дихлорметан
DMF: диметилформамид
NEt3: триэтиламин
ВОР: бензотриазол-1-илокситрис(диметиламино)фосфонийгексафторфосфат
Вос: трет-бутоксикарбонил
ether: диэтиловый эфир
МТВЕ: метил-трет-бутиловый эфир
Ме: метил
Et: этил
Pr: пропил
Bu: бутил
Pn: пентил
Нех: гексил
DIPEA: диизопропилэтиламин
ТНР: тетрагидропиран-4-ил
Соединения характерзуются следующим образом:
спектры протонного магнитного резонанса (1Н-ЯМР) регистрируют при 200 МГц в ДМСО-d6 (гексадейтеродиметилсульфоксид), используя пик ДМСО-d6 в качестве стандарта. Химсдвиги выражают в виде частей на миллион (м.д.). Наблюдаемые сигналы выражают таким образом: s: синглет (с); se: уширенный синглет (уш. с); d: дублет (д); d.d: развязанный дублет (дд); t: триплет (т); td: развязанный дублет (тд); q: квадруплет (к); m: массив; mt: мультиплет (м).
Для всех соединений, синтезированных согласно примерам Получения и примерам, которые следуют, подтверждается, что зарегистрированные спектры ЯМР согласуются с ожидаемой структурой.
Соединения согласно изобретению анализируют путем сочетания LC/UV/MS (жидкостная хроматография/УФ-детектирование /масс-спектрометрия). Определяют пик молекулярного иона (МН+) и время удерживания (t).
Используют прибор, выпускаемый фирмой Waters, и колонку 2,1 мм х 50 мм с частицами величиной 3,5 мкм, при комнатной температуре; расход составляет 0,4 мл в минуту.
Элюирование осуществляют следующим образом:
– растворитель А: 0,005% трифторуксусной кислоты (ТФУК) в воде;
– растворитель В: 0,005% ТФУК в ацетонитриле.
| Градиент |
Время (минуты) |
%В |
| |
0 |
0 |
| 10 |
90 |
| 15 |
90 |
| 15,5 |
0 |
| 20 |
0 |
УФ-детектирование осуществляют при длине волны 210 ± 8 нм и определение массы осуществляют после электроионизации (по-английски: ионизация электронным распылением, или ESI) по методу регистрации положительных ионов.
Получение промежуточных продуктов формулы (III)
Получение 1.1
4-(2-Метокси-5-пропоксифенил)-1,3-тиазол-2-амин
А) 1-(2-Гидрокси-5-пропоксифенил)этанон
В колбу емкостью 500 мл помещают 10 г 2,5 дигидроксиацетофенона в виде суспензии в 100 мл ацетона, добавляют 9,14 г безводного К2СО3, затем 12,4 г пропилиодида. Реакционную среду кипятят с обратным холодильником в течение 30 часов. После возврата к комнатной температуре среду фильтруют через Целит®, затем концентрируют. Полученное масло коричневого цвета обрабатывают этилацетатом, отфильтровывают, промывают водой, 2 М соляной кислотой, затем насыщенным раствором NaCl. Органическую фазу выпаривают, получая пастообразную массу черного цвета. Пастообразную массу обрабатывают хлороформом и отфильтровывают. Среду концентрируют, получая 11,4 г твердого вещества черного цвета. Это последнее обрабатывают абсолютным этанолом. Раствор помещают на 10 минут в холодильник, твердое вещество осаждается, его собирают фильтрацией. Фильтрат концентрируют, остаток обрабатывают этанолом, охлаждают в холодильнике, затем снова отфильтровывают. Эту операцию повторяют 4 раза, получая 8,35 г целевого соединения в виде порошка.
В) 1-(2-Метокси-5-пропоксифенил)этанон
К раствору 35 г вышеполученного твердого вещества в 350 мл диметилформамида добавляют 49,8 г К2СО3, затем 22,4 мл метилиодида. Реакционную среду нагревают в течение 12 часов при температуре 60°С. После возврата к комнатной температуре среду фильтруют через Целит®, разбавляют диэтиловым эфиром и промывают 2 М соляной кислотой. Водную фазу экстрагируют 2 раза диэтиловым эфиром. Объединенные органические фазы промывают разбавленным раствором гидроксида натрия, затем промывают 2 раза водой и насыщенным раствором NaCl. Органическую фазу сушат над сульфатом магния, затем выпаривают, получая 35,55 г масла коричневого цвета. Масло перегоняют при пониженном давлении при температуре 115°С, получая 32,8 г целевого соединения в виде масла.
С) 2-Бром-1-(2-метокси-5-пропоксифенил)этанон
К раствору 16,4 г полученного на предыдущей стадии масла в 100 мл метанола по каплям добавляют 4,8 мл брома. Среду перемешивают в течение 30 минут при комнатной температуре, затем выпаривают. Полученное масло обрабатывают дихлорметаном, промывают 3 раза водой, затем сушат над сульфатом магния и выпаривают, получая 24,5 г масла коричневого цвета.
D) 4-(2-Метокси-5-пропоксифенил)-1,3-тиазол-2-амин
К раствору 42 г полученного на предыдущей стадии бромкетона в 200 мл этанола добавляют 24,5 г тиомочевины. Среду кипятят с обратным холодильником в течение 1 часа 30 минут. Затем среду помещают в холодильник на 12 часов, после чего отфильтровывают. Таким образом собранное твердое вещество промывают небольшим количеством холодного этанола, затем диэтиловым эфиром. Получают 25 г гидробромида.
Твердое вещество суспендируют в смеси вода/дихлорметан и подщелачивают путем добавления гидроксида натрия. Водную фазу экстрагируют 2 раза дихлорметаном. Объединенные органические фазы сушат над сульфатом магния, затем выпаривают. Полученное масло хроматографируют на силикагеле, получая 12 г целевого продукта в виде порошка. Т.пл.=76°С.
Получение 1.2
4-(5-Бутил-2-метоксифенил)-1,3-тиазол-2-амин
А) 4-Бутилфенилацетат
Раствор 10 г 4-н-бутилфенола, 10 мл уксусного ангидрида и 8 мл пиридина в 10 мл дихлорметана кипятят с обратным холодильником. Спустя 2 часа среду охлаждают до комнатной температуры, разбавляют дихлорметаном, промывают водой, 1 М соляной кислотой, насыщенным раствором CuSO4, водой и сушат над сульфатом магния. После выпаривания получают 10,8 г целевого соединения в виде масла.
В) 1-(5-Бутил-2-гидроксифенил)этанон
К 5 г вышеполученного масла в колбе емкостью 100 мл добавляют несколькими порциями 3,22 г AlCl3. Среду нагревают при температуре 130°С в течение 1 часа. После возврата к комнатной температуре в необработанную реакционную среду выливают смесь воды со льдом, подкисленную с помощью 35%-ной HCl. Среду помещают в ультразвуковую баню. Добавляют этилацетат, достигая спустя 15 минут растворения среды. Водную фазу экстрагируют 3 раза этилацетатом, органические фазы промывают водой, затем насыщенным раствором NaCl. После высушивания над сульфатом магния и выпаривания получают 4,5 г масла желтого цвета.
С) 1-(5-Бутил-2-метоксифенил)этанон
К раствору 1 г вышеполученного масла в 10 мл диметилформамида добавляют 1,44 г К2СО3, затем 0,648 мл метилиодида. Среду нагревают при температуре 60°С в течение ночи. После возврата к комнатной температуре среду отфильтровывают через Целит®, разбавляют диэтиловым эфиром и промывают 2 М соляной кислотой. Водную фазу экстрагируют 2 раза диэтиловым эфиром. Объединенные органические фазы промывают разбавленным раствором гидроксида натрия, затем промывают 2 раза водой и насыщенным раствором NaCl. Органическую фазу сушат над сульфатом магния, затем выпаривают, получая 1,27 г масла коричневого цвета. Масло очищают хроматографией, получая 0,66 г целевого соединения.
D) 4-(5-Бутил-2-метоксифенил)-1,3-тиазол-2-амин
К раствору 0,66 г полученного на предыдущей стадии продукта в 10 мл метанола добавляютт 19 мл брома. Среду перемешивают в течение 10 минут, затем выпаривают и обрабатывают дихлорметаном. Органическую фазу промывают 3 раза водой, затем сушат над сульфатом магния. После выпаривания получают 0,79 г целевого продукта. Это соединение растворяют в 5 мл этанола в присутствии 0,46 г тиомочевины и среду кипятят с обратным холодильником в течение 2 часов 30 минут. Во время возврата к комнатной температуре осаждается твердое вещество. Таким образом полученное твердое вещество промывают небольшим количеством холодного этанола, затем диэтиловым эфиром. Таким образом получают 0,6 г гидробромида.
Твердое вещество суспендируют в смеси вода/дихлорметан и подщелачивают путем добавления гидроксида натрия. Водную фазу экстрагируют 2 раза дихлорметаном. Объединенные органические фазы сушат над сульфатом магния, затем выпаривают, получая 0,34 г масла желтого цвета, которое медленно кристаллизуется. Маточники воды выпаривают, затем перемешивают в смеси вода/дихлорметан и подщелачивают путем добавления гидроксида натрия. Водную фазу экстрагируют 2 раза дихлорметаном. Объединенные органические фазы сушат над сульфатом магния, затем выпаривают. Полученное масло хроматографируют на силикагеле, получая 0,18 г целевого соединения. Т.пл.=48°С.
Получение 1.3
4-(5-Циклогексил-2-метоксифенил)-1,3-тиазол-2-амин
А) 1-Циклогексил-4-метоксибензол
К раствору 5 г 4-циклогексилфенола в 60 мл диметилформамида добавляют 7,84 г К2СО3, затем 3,53 мл метилиодида. Среду нагревают при температуре 60°С в течение ночи. После возврата к комнатной температуре среду фильтруют через Целит®, затем разбавляют диэтиловым эфиром и гидролизуют водой. Водную фазу подкисляют, затем экстрагируют 3 раза по 50 мл диэтилового эфира. Объединенные органические фазы промывают разбавленным раствором гидроксида натрия, 2 раза водой и насыщенным раствором NaCl. Органическую фазу сушат над сульфатом магния, затем выпаривают, получая 4,31 г целевого соединения в виде твердого вещества. Т.пл.=67°С.
В) 1-(5-Циклогексил-2-метоксифенил)этанон
Суспензию 5,6 г AlCl3 в 40 мл дихлорметана охлаждают до температуры -10°С. Добавляют 3 мл ацетилхлорида и 4 г полученного на предыдущей стадии соединения. Среду перемешивают в течение 1 часа при температуре -10°С, затем выливают в стакан, содержащий лед, смешанный с 35%-ной HCl. После декантации объединенные органические фазы сушат над сульфатом магния, затем выпаривают, получая 4,54 г целевого продукта.
С) 4-(5-Циклогексил-2-метоксифенил)-1,3-тиазол-2-амин
К раствору 4,5 г полученного на предыдущей стадии продукта в 25 мл метанола по каплям добавляют 1,16 мл брома. Среду перемешивают в течение 30 минут при комнатной температуре, после чего она становится очень вязкой. Добавляют 5 мл метанола, затем 3,23 г тиомочевины. Среду кипятят с обратным холодильником в течение 2 часов. После возврата к комнатной температуре осаждается твердое вещество. Твердое вещество собирают, затем промывают небольшим количеством холодного метанола. Твердое вещество суспендируют в смеси вода/дихлорметан и подщелачивают путем добавления гидроксида натрия. Водную фазу экстрагируют 2 раза дихлорметаном. Объединенные органические фазы сушат над сульфатом магния, затем выпаривают, получая 3,33 г целевого соединения в виде твердого вещества. Т.пл.=113°С.
Получение 1.24
4-(5-Пентафторэтил-2-метоксифенил)тиазол-2-иламин
А) 1-Метокси-4-пентафторэтилбензол
В инертной атмосфере в трехгорлую колбу емкостью 500 мл, снабженную насадкой Дина-Старка и холодильником, вводят 8,3 г пентафторпропионата калия и 9,8 г CuI. Добавляют 90 мл диметилформамида и 110 мл толуола. Среду нагревают при температуре 140°С в атмосфере азота, отгоняют 80 мл толуола. Затем среду охлаждают до комнатной температуры, затем дезоксигенируют путем барботирования азота. После этого добавляют 6 г иоданизола, затем нагревают при температуре 155°С в течение 20 часов. После возврата к комнатной температуре среду разбавляют с помощью 200 мл смеси вода/диэтиловый эфир. Среду после этого фильтруют через Целит®. Органическую фазу промывают 3 раза водой, сушат над сульфатом магния, затем выпаривают, получая 4,3 г масла каштанового цвета.
B) 1-(2-Метокси-5-пентафторэтилфенил)этанон
К раствору 3,5 г 1-метокси-4-пентафторэтилбензола в 50 мл безводного тетрагидрофурана при температуре -70°С добавляют 7,4 мл 2,5 М раствора бутиллития в гексане. Среду перемешивают в течение 30 минут при температуре -70°С, затем в течение 45 минут при температуре 0°С. После этого добавляют 15,5 мл 1 М раствора хлорида цинка в диэтиловом эфире. После перемешивания в течение 10 минут при температуре 0°С, добавляют 1,33 мл ацетилхлорида. Среду затем дезоксигенируют азотом и вводят 332 мг бензил(хлор)бис(трифенилфосфин)палладия в 5 мл безводного тетрагидрофурана. Среду перемешивают в течение 2 часов 30 минут при температуре 0°С, затем в течение 72 часов при комнатной температуре. Среду выливают в 2,5 М HCl, затем экстрагируют диэтиловым эфиром. Органическую фазу промывают 5%-ным водным раствором NaHCO3, водой, затем насыщенным раствором NaCl. После высушивания над сульфатом магния и выпаривания сырое вещество очищают флэш-хроматографией на диоксиде кремния, получая 2,25 г твердого вещества белого цвета. Т.пл.=47°С.
С) 4-(2-Метокси-5-пентафторэтилфенил)тиазол-2-иламин
К раствору 2,25 г полученного на предыдущей стадии продукта в 10 мл метанола добавляют 0,5 мл брома в виде раствора в 8 мл метанола. Среду перемешивают в течение 10 минут, затем выпаривают и обрабатывают дихлорметаном. Органическую фазу промывают 3 раза водой, затем сушат над сульфатом магния. После выпаривания получают 2,63 г бромсодержащего продукта. Это соединение растворяют в 15 мл метанола в присутствии 1,25 г тиомочевины и среду кипятят с обратным холодильником в течение 2 часов. Во время возврата к комнатной температуре осаждается твердое вещество. Таким образом полученное твердое вещество промывают диэтиловым эфиром. Твердое вещество суспендируют в смеси вода/дихлорметан и подщелачивают путем добавления гидроксида натрия. Водную фазу экстрагируют 2 раза дихлорметаном. Объединенные органические фазы сушат над сульфатом магния, затем выпаривают, получая 1,63 г твердого вещества желтого цвета. Т.пл.=125°С.
Следуя вышеприведенным методикам получают соединения формулы (III), указанные в нижеследующей таблице.
| Таблица 1 |
 |
| Получение № |
R1 |
R2 |
Соль |
Характеристика |
| 1.1 |
-OMe |
-О-Пропил |
– |
Т.пл.=76°С |
| 1.2 |
-OMe |
-н-Бутил |
– |
Т.пл.=48°С |
| 1.2 bis |
-OMe |
-н-Бутил |
HBr |
Т.пл.=186°С |
| 1.3 |
-OMe |
 |
– |
Т.пл.=113°С |
| 1.4 |
-OMe |
-н-Пропил |
– |
Т.пл.=85°С |
| 1.5 |
-OEt |
-Этил |
– |
Т.пл.=83°С |
| 1.6 |
-OMe |
-Этил |
– |
Т.пл.=100°С |
| 1.7 |
-OEt |
 |
– |
Т.пл.=110°С |
| 1.8 |
-OMe |
 |
– |
Т.пл.=110°С |
| 1.9 |
-OEt |
-н-Бутил |
– |
Т.пл.=65°С |
| 1.10 |
-OMe |
CF3 |
– |
Т.пл.=144°С |
| 1.11 |
-OMe |
-изо-Пропил |
– |
Т.пл.=109°С |
| 1.12 |
-OMe |
-Метил |
– |
Т.пл.=121°С |
| 1.13 |
 |
-н-Бутил |
– |
Т.пл.=59°С |
| 1.14 |
-OMe |
 |
– |
Т.пл.=91-93°С |
| 1.15 |
-OMe |
фенил |
– |
Т.пл.=116°С |
| 1.16 |
-Cl |
CF3 |
– |
Т.пл.=110°С |
| 1.17 |
-OEt |
Метил |
– |
Т.пл.=124°С |
| 1.18 |
-SO2Et |
-н-Бутил |
– |
Т.пл.=121°С |
| 1.19 |
-OMe |
-CH(н-пропил)2 |
HCl |
МН+=305,4 t=7,61 |
| 1.20 |
-OnPr |
-н-Бутил |
– |
Т.пл.=63°С |
| 1.21 |
-OMe |
-н-Гексил |
– |
Т.пл.=43°С |
| 1.22 |
-OMe |
адамантил |
– |
Т.пл.=81-82°С |
| 1.23 |
-OEt |
-н-Гексил |
– |
Т.пл.=75°С |
| 1.24 |
-OMe |
CF3CF2 |
– |
Т.пл.=125°С |
| 1.25 |
-OEt |
CF3CF2 |
– |
МН+=338 t=7,88 |
| 1.26 |
-OEt |
-н-Пропил |
– |
Т.пл.=87°С |
| 1.27 |
-OEt |
циклопентил |
– |
Т.пл.=128°С |
| t: время удерживания |
Получение 2.1
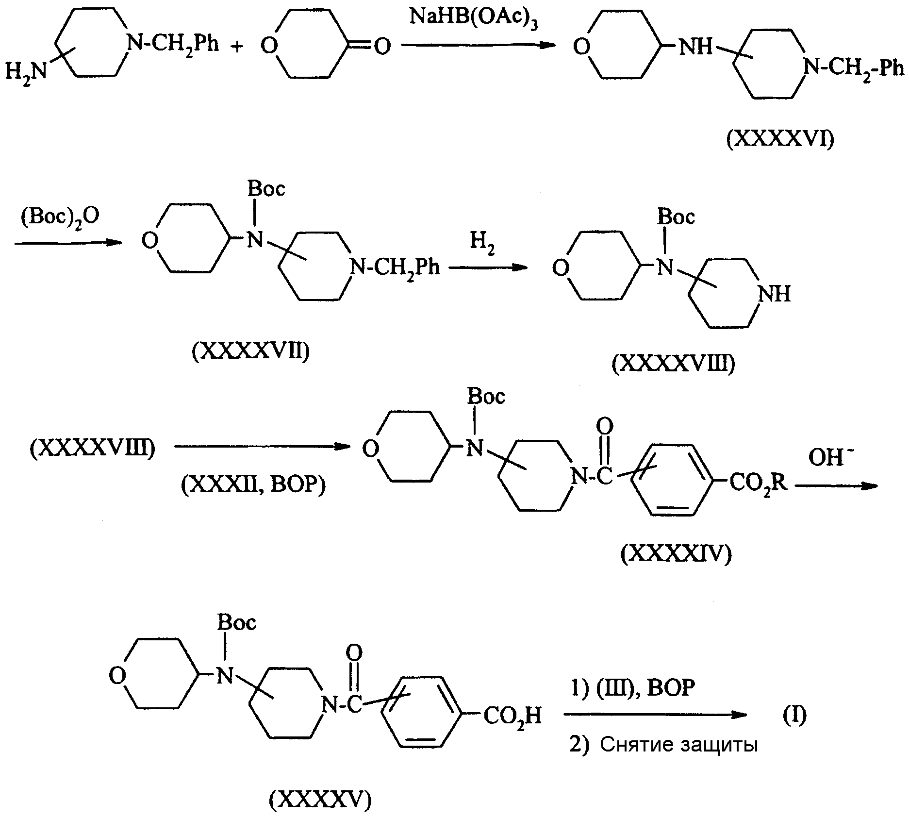
N-(Boc)N-(Тетрагидро-2Н-пиран-4-ил)пиперидин-4-амин
А) 1-Бензил-N-(тетрагидро-2Н-пиран-4-ил)пиперидин-4-амин (XXXXVI)
В атмосфере сухого азота 19 г 4-амино-1-бензилпиперидина вводят в 50 мл 1,2-дихлорэтана, добавляют 10 г тетрагидропиран-4-она в 20 мл 1,2-дихлорэтана; после перемешивания в течение 10 минут добавляют 29,6 г NaBH(OAc)3, затем выдерживают при перемешивании в течение дня. К реакционной среде добавляют 10%-ный раствор Na2CO3 и этилацетат, после чего декантируют. Органическую фазу промывают 10%-ным раствором Na2CO3, затем насыщенным раствором NaCl, после чего сушат над сульфатом магния и выпаривают в вакууме. Получают 23,4 г целевого соединения. Т.пл.=60°С.
В) 1-Бензил-N-Вос-N-(тетрагидро-2Н-пиран-4-ил)пиперидин-4-амин
14,92 г полученного на предыдущей стадии соединения вносят в 100 мл этилацетата, затем охлаждают на бане со льдом и добавляют 12,46 г (Вос)2О в 30 мл этилацетата. Нагревают при температуре 50°С в течение 4 дней, потом перемешивают в течение 2 дней при комнатной температуре. Реакционную среду промывают водой (3 раза), сушат над сульфатом магния, затем выпаривают. Полученное масло кристаллизуется, твердое вещество порошкуют в пентане, отфильтровывают и высушивают при температуре 60°С над Р2О5. Получают 15,9 г целевого соединения. Т.пл.=104°С.
С) N-(Boc)N-(Тетрагидро-2Н-пиран-4-ил)пиперидин-4-амин
15,8 г полученного на предыдущей стадии соединения вводят в 100 мл метанола вместе с 1 г 10%-ного палладия-на-угле и гидрируют при атмосферном давлении при температуре 30°С в течение дня. Среду фильтруют через Целит®, затем промывают метанолом. После выпаривания фильтрата получают 11,15 г целевого соединения, которое кристаллизуется. Т.пл.=125°С.
Получение промежуточных продуктов формулы (II)
Получение 3.1
4-(2,2-Диэтоксиэтокси)бензойная кислота
(II): R’3 = 4-ОСН2СН(OEt)2
А) Метиловый эфир 4-(2,2-диэтоксиэтокси)бензойной кислоты
При температуре 100°С в течение 5 минут нагревают смесь, содержащую 10 г метил-4-гидроксибензоата и 22,71 г К2СО3 в 100 мл тетрагидрофурана, возвращают смесь к комнатной температуре и добавляют 15,54 г 2-бром-1,1-диэтоксиэтана и выдерживают при перемешивании в течение 2 часов при комнатной температуре, затем в течение 32 часов при температуре 100°С, после чего оставляют стоять до возвращения к комнатной температуре. Неорганическую часть отфильтровывают, затем промывают диметилформамидом. Фильтрат выпаривают, после чего обрабатывают дихлорметаном, промывают водой (3 раза), затем насыщенным раствором NaCl, сушат над сульфатом магния и выпаривают. Получают 16,68 г целевого соединения (больше теоретически рассчитанной массы).
В) 4-(2,2-Диэтоксиэтокси)бензойная кислота
8,08 г полученного на предыдущей стадии сложного эфира вводят в 50 мл метанола с 16 мл 5н раствора NaOH и выдерживают при перемешивании в течение 6 часов. После выпаривания растворителя обрабатывают водой, затем добавляют 1,2 М HCl вплоть до рН 3; отфильтровывают и промывают водой, получая осадок, который высушивают в вакууме. Фильтрат экстрагируют 2 раза дихлорметаном, затем сушат над сульфатом магния. В целом получают 7,29 г целевого соединения.
Получение 3.2
Соль триэтиламина 4-((4-(N-Вос)тетрагидро-2Н-пиран-4-ил)амино)-пиперидин-1-ил)карбонил)бензойной кислоты

А) Метиловый эфир 4-((4-N-Вос-амино)пиперидин-1-илкарбонил)-бензойной кислоты
При комнатной температуре в течение 4 дней выдерживают при перемешивании смесь, содержащую 5,39 г монометилового эфира терефталевой кислоты, 40 мл CH3CN, 6 мл триэтиламина, 14,8 г ВОР и 5 г 4-(N-Вос-амино)пиперидина. Реакционную среду разбавляют этилацетатом, затем промывают 4 раза 10%-ным раствором Na2CO3, потом 4 раза водой. Сушат над сульфатом магния, затем концентрируют досуха и обрабатывают смесью диэтиловый эфир/циклогексан. Отфильтровывают, затем высушивают, получая 6,66 г целевого соединения. Т.пл.=128-130°С.
В) Гидрохлорид метилового эфира 4-((4-аминопиперидин-1-ил)-карбонил)бензойной кислоты
Выдерживают при перемешивании и при комнатной температуре в течение 2 часов 17,66 г полученного на предыдущей стадии соединения в 120 мл 4 М раствора HCl в диоксане. Добавляют диэтиловый эфир, затем продолжают перемешивание в течение 1 часа. Отфильтровывают, промывают диэтиловым эфиром, затем высушивают, получая 15 г целевого соединения. Т.пл.=236-238°С.
С) Метиловый эфир 4-((4-(тетрагидро-2Н-пиран-4-иламино)-пиперидин-1-ил)карбонил)бензойной кислоты
Выдерживают при перемешивании в течение ночи смесь, содержащую 15 г полученного на предыдущей стадии соединения в 50 мл диметилформамида, 5 г тетрагидро-4Н-пиран-4-она и 4 мл триэтил-амина. Добавляют 1,36 мл уксусной кислоты, 12,7 г NaBH(OAc)3 и 50 мл диметилформамида и выдерживают при перемешивании в течение 3 часов. Реакционную среду концентрируют досуха, затем обрабатывают дихлорметаном, промывают 10%-ным раствором Na2CO3. Декантируют, затем органическую фазу промывают водой (3 раза), сушат над сульфатом магния и концентрируют досуха. Получают 9,5 г целевого соединения в виде твердого вещества. Т.пл.=129°С.
D) Метиловый эфир 4-((4-((N-Вос)тетрагидро-2Н-пиран-4-иламино)-пиперидин-1-ил)карбонил)бензойной кислоты
В течение 10 часов кипятят с обратным холодильником смесь, содержащую 3,16 г полученного на предыдущей стадии соединения в 12 мл дихлорметана в присутствии 4,5 г Вос2О и 1,65 мл триэтиламина. После охлаждения реакционной среды ее промывают буферным раствором с рН 2 (3 раза), затем водой (3 раза). Органическую фазу сушат над сульфатом магния, затем концентрируют досуха, получая 4,63 г целевого продукта.
Е) Соль триэтиламина 4-((4-(N-Вос)тетрагидро-2Н-пиран-4-ил)амино)пиперидин-1-ил)карбонил)бензойной кислоты
В течение 48 часов выдерживают при перемешивании 4 г полученного на предыдущей стадии соединения в 100 мл 5н раствора NaOH в метаноле. Метанол удаляют путем выпаривания, сырой продукт обрабатывают водой, водную фазу промывают дихлорметаном, затем подкисляют с помощью HCl до рН 3. Отфильтровывают и промывают диэтиловым эфиром, после чего полученное твердое вещество обрабатывают дихлорметаном, водой, триэтиламином. Водную фазу экстрагируют дихлорметаном, затем сушат над сульфатом магния и концентрируют досуха, получая 700 мг целевого соединения в виде твердого вещества. МН+ = 433,3; t (время удерживания) = 6,71.
Получают соответствующую свободную кислоту: т.пл.=190°С; МН+=433,3; t=6,70.
Получение 3.3
4-(4-((R)-3-(N-Вос)пирролидин-1-ил)пиперидин-1-карбонил)-бензойная кислота

А) трет-Бутиловый эфир (1-(бензилпиперидин-4-ил)пирролидин-3-ил)карбаминовой кислоты
К раствору 4,6 г (3R)-3-(трет-бутоксикарбонил)амино)-пирролидина в 5 мл дихлорэтана добавляют 4,66 г 1-бензил-4-пиперидона в 6 мл дихлорэтана. После выдерживания в течение 20 минут при комнатной температуре добавляют 7,31 г NaBH(OAc)3, поддерживая среду при температуре ниже 20°С, затем 20 мл дихлор-этана для растворения среды, которая схватывается в массу. Среду перемешивают при комнатной температуре в течение 24 часов, гидролизуют путем добавления 10%-ного водного раствора Na2CO3 и разбавляют этилацетатом. После декантации органическую фазу промывают 10%-ным водным раствором Na2CO3, затем насыщенным раствором NaCl, после чего сушат над сульфатом магния, затем выпаривают. Сырой продукт порошкуют в диэтиловом эфире, отфильтровывают, промывают диэтиловым эфиром, затем высушивают, получая 7,38 г твердого вещества белого цвета. Т.пл.=118°С.
В) трет-Бутиловый эфир (1-(пиперидин-4-ил)пирролидин-3-ил)-карбаминовой кислоты
Раствор 7,37 г полученного на предыдущей стадии соединения в 50 мл метанола гидрируют при атмосферном давлении и при комнатной температуре в присутствии 1 г 10%-ного Pd/C в течение 12 часов. Среду фильтруют через Целит®, твердое вещество промывают метанолом. После выпаривания фильтрата получают 5,2 г масла, которое отверждается после порошкования, используемое таким, какое есть, на следующей стадии.
С) Метиловый эфир 4-(4-((R)-3-(N-Вос)пирролидин-1-ил)пиперидин-1-карбонил)бензойной кислоты
К раствору 4,75 г полученного на предыдущей стадии соединения в 35 мл ацетонитрила добавляют 3,8 г монометилового эфира терефталевой кислоты, затем 9,4 г ВОР, потом 2,2 г триэтиламина. Среду перемешивают при комнатной температуре в течение 24 часов, затем концентрируют. Сырой продукт обрабатывают этилацетатом, промывают два раза водой, затем два раза 10%-ным водным раствором Na2CO3, потом насыщенным раствором NaCl. После высушивания органической фазы над сульфатом магния и выпаривания получают 8,62 г сырого продукта, который порошкуют в смеси диэтилового эфира и этилацетата. После отфильтровывания получают 5,28 г целевого продукта.
D) 4-(4-((R)-3-(N-Вос)пирролидин-1-ил)пиперидин-1-карбонил)-бензойная кислота
К раствору 5,05 г полученного на предыдущей стадии сложного эфира в 20 мл метанола добавляют 1,17 г гидроксида натрия. Среду перемешивают при комнатной температуре в течение 12 часов, затем выпаривают и обрабатывают водой. Водную фазу промывают диэтиловым эфиром, затем подкисляют до рН 5 и экстрагируют два раза этилацетатом. Органическую фазу сушат над сульфатом магния, затем концентрируют. Водную фазу выпаривают, затем высушивают путем азеотропной перегонки с этанолом. Остаток обрабатывают этанолом, фильтруют через Целит® и фильтрат выпаривают. Оба сырых продукта объединяют, получая 3,65 г целевой кислоты. МН+=418 при t=4,7 минут.
Получение промежуточных продуктов формулы (IV)
Получение 4.1.1.

N-(4-(5-Бутил-2-метоксифенил)-1,3-тиазол-2-ил)-4-((4-оксо-пиперидин-1-ил)карбонил)бензамид
В течение 3 дней при комнатной температуре перемешивают суспензию, содержащую 0,86 г аминотиазола согласно Получению 1.2, 1 г 4-((4-оксопиперидин-1-ил)карбонил)бензойной кислоты и 0,6 мл триэтиламина в 8 мл ацетонитрила, и добавляют 1,9 г ВОР. Выпавший осадок отфильтровывают, затем промывают с помощью 0,3 мл CH3CN, затем 1 мл диэтилового эфира; получают 0,85 г целевого соединения. Т.пл.=184°С.
Соединение формулы (XXXVIII) также может быть получено согласно следующему способу:
к раствору 10,4 г кислоты, полученной способом, описанным в 4.2.1, в 50 мл ацетонитрила добавляют 4,7 г гидрохлорида моногидрата 4-пиперидона, затем 15,7 г ВОР. При температуре 0°С добавляют 13,3 мл DIPEA и оставляют температуру повышаться до комнатной. После перемешивания в течение 24 часов при комнатной температуре реакционную среду фильтруют, твердое вещество промывают ацетонитрилом, затем фильтрат концентрируют и остаток обрабатывают дихлорметаном. Органическую фазу промывают 10%-ным раствором Na2CO3, затем 0,5 M HCl, потом насыщенным раствором NaCl. После высушивания органической фазы над сульфатом магния получают 11,33 г целевого продукта.
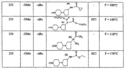
Следуя подобной методике, получают соединения, описанные в нижеприводимой таблице.
| Таблица 2 |
 |
| Получение № |
R1 |
R2 |
Характеристика |
| 4.1.1 |
MeO |
Н-Бутил |
Т.пл.=184°С |
| 4.1.2 (соединение № 242) |
MeO |
Н-Пропил-О |
Т.пл.=196°С |
| 4.1.3 |
MeO |
Метил |
Т.пл.=183°С |
| 4.1.4 |
MeO |
Этил |
Т.пл.=180°С |
| 4.1.5 |
MeO |
Н-Пропил |
Т.пл.=172°С |
| 4.1.6 (соединение № 243) |
MeO |
Циклогексил |
Т.пл.=186°С |
| 4.1.7 (соединение № 244) |
EtO |
Циклогексил |
Т.пл.=236°С |
| 4.1.8 |
EtO |
Этил |
Т.пл.=160°С |
| 4.1.9 |
MeO |
Циклопентил |
МН+=504,5 t=10,55 |
| 4.1.10 |
-OEt |
-н-Бутил |
МН+=506 t=10,3 |
| t: время удерживания |
Получение 4.2.1.
4-(((4-(5-Бутил-2-метоксифенил)-1,3-тиазол-2-ил)амино)-карбонил)бензойная кислота
(XXXIIIbis): R1=2-OMe; R2=5-н-Bu; R’3=4-COOH
Смешивают 5 г аминотиазола согласно Получению 1.2, 4,12 г метил-4-карбоксибензоата, затем 1,85 мл триэтиламина, 25 мл СН3CN и 10,13 г ВОР и перемешивают в течение 4 дней при комнатной температуре. Выпавший осадок отфильтровывают, затем промывают его ацетонитрилом. Осадок затем обрабатывают смесью этилацетата и насыщенного раствора Na2CO3. После декантации водную фазу экстрагируют дихлорметаном. Объединенные органические фазы сушат над сульфатом магния и концентрируют. Получают 3,18 г целевого соединения в форме сложного метилового эфира. Этот сложный эфир суспендируют в 34 мл метанола, затем добавляют 5,3 мл 5н раствора гидроксида натрия. После перемешивания в течение 5 дней при комнатной температуре реакционную среду концентрируют досуха. Полученный остаток растворяют в 5 мл воды, затем промывают 2 раза по 50 мл этилацетата. Водную фазу подкисляют с помощью 1 М HCl до рН 2, выпавший осадок отфильтровывают, затем промывают диэтиловым эфиром. После высушивания получают 2,78 г целевого соединения в виде смолоподобного вещества. Т.пл.=160°С.
Следуя вышеописанной методике, получают промежуточные соединения, указанные в нижеприводимой таблице.
| Таблица 3 |
 |
| Получения |
R1 |
R2 |
R |
Соль |
Характеристика |
| 4.2.1 |
MeO- |
н-Бутил |
Н |
– |
МН+=410 t=21,53 |
| 4.2.2 |
MeO- |
н-Пропил-О |
Метил |
– |
Т.пл.=180°С |
| 4.2.3 |
MeO- |
н-Пропил-О |
Н |
HCl |
МН+=412 t=6,11 |
| 4.2.4 |
MeO- |
н-Бутил |
Метил |
– |
МН+=424 t=21,35 |
| 4.2.5 |
MeO- |
н-Пропил |
Метил |
– |
– |
| 4.2.6 |
MeO- |
н-Пропил |
Н |
– |
МН+=396 t=8,17 |
| 4.2.7 |
EtO- |
Этил |
Н |
ТФУК |
МН+=396 t=14,45 Т.пл.250°С |
| 4.2.8 |
EtO- |
Этил |
т-Бутил |
– |
ЯМР |
| 4.2.9 |
MeO- |
Циклогексил |
Метил |
– |
МН+=440 t=8,11 |
| 4.2.10 |
MeO- |
Циклогексил |
Н |
– |
МН+=436 t=10,49 Т.пл.>260°С |
| 4.2.11 |
EtO- |
Циклогексил |
Метил |
– |
– |
| 4.2.12 |
EtO- |
Циклогексил |
Н |
– |
МН+=450 t=11,05 |
| 4.2.13 |
MeO- |
Этил |
Метил |
– |
ЯМР |
| 4.2.14 |
MeO- |
Этил |
Н |
– |
ЯМР |
| 4.2.15 |
MeO- |
н-Гексил |
Метил |
– |
МН+=453 t=11,9 |
| 4.2.16 |
MeO- |
н-Гексил |
Н |
– |
МН+=439 t=11,0 |
| 4.2.17 |
EtO- |
н-Бутил |
Метил |
– |
МН+=439 t=12,1 |
| 4.2.18 |
EtO- |
н-Бутил |
Н |
– |
МН+=425 t=8,6 |
| t: время удерживания |
ЯМР: Получение 4.2.8.: 1,2 м.д.: т: 3H; 1,6 м.д.: т: 3H; 1,7 м.д.: с: 9H; 2,7 м.д. м: 2H; 4,2 м.д.: кв: 2H; 7,0-7,2 м.д.: м: 2H; 7,8 м.д.: с: 1H; 8,0-8,3 м.д.: м: 5H ; 12,9 м.д.: уш.с.: 1H.
ЯМР: Получение 4.2.13.: 1,2 м.д.: т: 3H; 2,6 м.д.: кв: 2H; 3,9 м.д.: с: 6H; 7,0-7,2 м.д.: м: 2H; 7,7 м.д.: с: 1H; 8,0-8,4 м.д.: м: 5H; 12,8 м.д.: уш.с.: 1H.
ЯМР: Получение 4.2.14.: 1,2 м.д.: т: 3H; 2,7 м.д.: кв: 2H; 3,9 м.д.: с: 3H; 7,0-7,2 м.д.: м: 2H; 7,7 м.д.: с: 1H; 8,0-8,4 м.д.: м: 5H; 12,6-13 м.д.: уш.с.: 1H; 13,2-13,5 м.д.: уш.с.: 1H.
Получение 4.3.1.
N-(4-(5-Бутил-2-метоксифенил)-1,3-тиазол-2-ил)-4-(2-хлорэтил)-бензамид
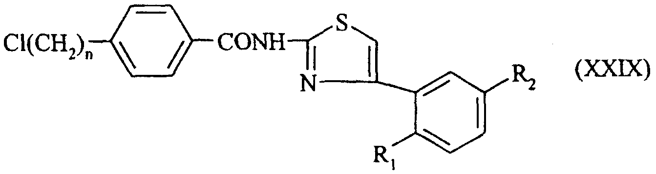
(XXIX): R1=2-OMe; R2=5-н-Bu; R’3=4-(CH2)2Cl
Приготавливают смесь, содержащую 3 г аминотиазола согласно Получению 1.2, 10 мл СН3CN, 2,54 г 4-(2-хлорэтил)бензойной кислоты, 1,11 мл триэтиламина и 6,1 г ВОР, и выдерживают при перемешивании в течение 48 часов. Реакционную среду разбавляют этилацетатом, затем промывают насыщенным раствором Na2CO3 (2 раза) и насыщенным раствором NaCl, потом сушат над сульфатом магния и концентрируют досуха. После порошкования в этаноле образовавшуюся нерастворимую часть удаляют фильтрацией, затем фильтрат концентрируют досуха, получая 7,7 г целевого соединения. Его очищают хроматографией на диоксиде кремния, элюируя градиентом толуол/циклогексан (9:1, объем/объем) вплоть до чистого толуола.
Следуя вышеописанной методике получают соединения формулы (XXIX), указанные в нижеприводимой таблице.
| Таблица 4 |
 |
| Получение № |
n |
R1 |
R2 |
Характеристика |
| 4.3.1 |
2 |
MeO- |
н-Бутил |
ЯМР |
| 4.3.2 |
2 |
MeO- |
Этил |
ЯМР |
| 4.3.3 |
2 |
MeO- |
н-Пропил-О |
МН+=431,2 t=9,91 |
| 4.3.4 |
1 |
MeO- |
н-Бутил |
|
| 4.3.5 |
1 |
MeO- |
Этил |
Т.пл.=141°С |
| t: время удерживания |
ЯМР: Получение 4.3.1.: 0,85 м.д.: т: 3H; 1,05-1,6 м.д.: м: 4H; 2,5-2,6 м.д.: м: 2H; 3,0 м.д.: м: 2H; 3,8-4,0 м.д.: м: 5H; 7,0 м.д.: м: 2H; 7,4-7,6 м.д.: д: 2H; 7,7 м.д.: с: 1H; 8,0 м.д.: м: 3H; 12,6 м.д.: уш.с.: 1H.
ЯМР: Получение 4.3.2.: 1,2 м.д.: т: 3H; 2,7 м.д.: кв: 2H; 3,2 м.д.: т: 2H; -4,0 м.д.: м: 5H; 7,0-7,2 м.д.: м: 2H; 7,6 м.д.: д: 2H; 7,8 м.д.: с: 1H; 8,0-8,3 м.д.: м: 3H; 12,7 м.д.: уш.с.: 1H.
Получение 4.4.1
N-(4-(5-Бутил-2-метоксифенил)-1,3-тиазол-2-ил)-4-(3-оксопропил)бензамид
R1 = 2-ОМе; R2 = 5-н-Bu; R’3 = 4-(СН2)2СНО
А) N-(4-(5-Бутил-2-метоксифенил)-1,3-тиазол-2-ил)-4-иодбензамид
В течение 8 часов при комнатной температуре перемешивают смесь, содержащую 6,62 г аминотиазола согласно Получению 1.2, 75 мл СН3CN, 7,53 г 4-иодбензойной кислоты, 4,2 мл триэтиламина и 13,45 г ВОР. Образовавшийся продукт отфильтровывают, затем промывают с помощью CH3CN. Осадок снова растворяют в дихлорметане, промывают 7%-ным раствором NaOH (2 раза), затем сушат над сульфатом магния и выпаривают. Параллельно фильтрат в CH3CN выпаривают, остаток обрабатывают дихлорметаном, затем промывают 4 раза 7%-ным раствором NaOH и сушат над сульфатом магния. Таким образом получают в целом 16,81 г целевого соединения. МН+=492; t=12,01 минут.
В) N-(4-(5-Бутил-2-метоксифенил)-1,3-тиазол-2-ил)-4-(3-оксопропил)бензамид
В атмосфере азота 2 г полученного на предыдущей стадии соединения в 15 мл диметилформамида смешивают с 0,79 г молекулярного сита 4A, 0,42 мл аллилового спирта, 1,31 г высушенного тетра(н-бутил)аммонийбромида и 0,85 г высушенного NaHCO3. После перемешивания в течение 2 часов при комнатной температуре добавляют 50 мг Pd(OAc)2 и перемешивают при комнатной температуре в течение 20 часов в атмосфере сухого азота. Фильтруют через Целит®, промывают диметилформамидом, затем добавляют воду и диэтиловый эфир. После декантации снова экстрагируют 3 раза диэтиловым эфиром. Сушат над сульфатом магния и упаривают в вакууме. Получают 2 г целевого соединения.
Следуя вышеописанной методике, получают соединения формулы (XXVII) и их иодсодержащие предшественники, такие, как описанные на стадии А вышеприведенного Получения.
| Таблица 5 |
 |
| Получения № |
R1 |
R2 |
R |
Характеристика |
| |
OMe |
н-Бутил |
I |
МН+=493,2 t=12,01 |
| 4.4.1 |
OMe |
н-Бутил |
-(CH2)2CHO |
– |
| |
OEt |
Этил |
I |
Т.пл.=180°С |
| 4.4.2 |
OEt |
Этил |
-(CH2)2CHO |
– |
| |
OMe |
Этил |
I |
МН+=465,1 t=11,35 |
| 4.4.3 |
OMe |
Этил |
-(CH2)2CHO |
– |
| t: время удерживания |
Получение 4.5
Гидрохлорид N-(4-(2-метокси-5-пропоксифенил)-1,3-тиазол-2-ил)-N’-(2-оксоэтил)терефталамида
(XXXIVbis), HCl: R1=2-OMe; R2=5-O-н-Pr; R’3=4-CONHCH2CHO
А) N-(2,2-Диметоксиэтил)-N’-(4-(2-метокси-5-пропоксифенил)-1,3-тиазол-2-ил)терефталамид
В течение трех с половиной часов при комнатной температуре перемешивают смесь, содержащую 2,6 г соединения согласно Получению 4.2.3, 30 мл СН3CN, 1,61 мл триэтиламина, 0,53 диметилацетальаминоацетальдегида и 2,56 г ВОР. После фильтрации промывают с помощью СН3CN, затем дихлорметана. Фильтрат выпаривают, остаток порошкуют с помощью СН3CN, отфильтровывают и получают 2 г целевого соединения.
В) Гидрохлорид N-(4-(2-метокси-5-пропоксифенил)-1,3-тиазол-2-ил)-N’-(2-оксоэтил)терефталамида
В атмосфере сухого азота 0,2 г полученного на предыдущей стадии соединения вводят в 2 мл диоксана, нагревают до температуры кипения с обратным холодильником для растворения и охлаждают до комнатной температуры, затем добавляют 3 мл 4 М раствора HCl в диоксане и выдерживают при перемешивании в течение 7 часов. Отфильтровывают в атмосфере азота выпавший осадок, получая 0,15 г целевого соединения.
Получение 4.6
4-(2-Гидроксиэтокси)-N-(4-(2-метокси-5-пропоксифенил)-1,3-тиазол-2-ил)бензамид
(XVIII): R1 = 2-OMe; R2 = 5-O-н-Pr; R’3 = 4-O-(CH2)2OH
А) Метил-4-(2-(тетрагидро-2Н-пиран-2-илокси)этокси)бензоат
Нагревают до температуры 100°С смесь, содержащую 40 г метил-4-гидроксибензоата и 90,84 г К2СО3 в 400 мл диметилформамида и медленно добавляют 71,47 г 2-(2-бромэтокси)тетрагидро-2Н-пирана, затем выдерживают при нагревании в течение 8 часов. Фильтрат выпаривают в вакууме, затем остаток обрабатывают дихлорметаном, промывают 3 раза водой, сушат над сульфатом магния, затем выпаривают. Получают 77,66 г целевого соединения.
В) 4-(2-(Тетрагидро-2Н-пиран-2-илокси)этокси)бензойная кислота
Выдерживают при перемешивании и при комнатной температуре, в атмосфере сухого азота, в течение одного дня смесь, содержащую 77,66 г продукта, полученного на предыдущей стадии, в 400 мл метанола и 135 мл 5 М раствора NaOH. Реакционную среду выпаривают, затем обрабатывают водой и устанавливают рН 5 путем добавления HCl. Отфильтровывают, затем промывают водой. Фильтрат экстрагируют 2 раза дихлорметаном, затем сушат над сульфатом магния и выпаривают. Получают 72 г целевого соединения.
С) N-(4-(2-Метокси-5-пропоксифенил)-1,3-тиазол-2-ил)-4-(тетрагидро-2Н-пиран-2-илокси)этокси)бензамид
(XVII): R’3=4-O-(CH2)2-OTHP
В течение 4 дней при комнатной температуре перемешивают смесь, содержащую 3,83 г соединения согласно Получению 1.1, 30 мл CH3CN, 4,63 г полученной на предыдущей стадии кислоты, 7,69 г ВОР и 2,4 мл триэтиламина. Выпавший осадок отфильтровывают, промывают с помощью СН3CN и высушивают над Р2О5 при температуре 60°С. Получают 5,5 г целевого соединения. Т.пл.=114°С.
D) 4-(2-Гидроксиэтокси)-N-(4-(2-метокси-5-пропоксифенил)-1,3-тиазол-2-ил)бензамид
5,41 г полученного на предыдущей стадии соединения вводят в 25 мл 4 М раствора HCl в диоксане и перемешивают в течение 30 минут. Выпавший осадок отфильтровывают, затем промывают диоксаном и диэтиловым эфиром и высушивают над Р2О5 при температуре 60°С. Получают 4,6 г целевого соединения.
Получение 4.7
N-(4-(2-Метокси-5-пропоксифенил)-1,3-тиазол-2-ил)-4-(2-оксоэтокси)бензамид
(XIV): R1=OMe; R2=О-н-Pr; R’3=4-ОСН2СНО
А) 4-(2,2-Диэтоксиэтокси)-N-(4-(2-метокси-5-пропоксифенил)-1,3-тиазол-2-ил)бензамид
В течение 3 дней перемешивают смесь, содержащую 4,56 г соединения согласно Получению 1.1, 5,26 г производного бензойной кислоты согласно Получению 3.1 в 40 мл СН3CN с 9,16 г ВОР и 2,9 мл триэтиламина. После выпаривания остаток обрабатывают дихлорметаном, затем промывают 3 раза водой, сушат над сульфатом магния и выпаривают. Полученный продукт хроматографируют на диоксиде кремния, элюируя смесью толуол/этилацетат (95:5; объем/объем). Обрабатывают диэтиловым эфиром, отфильтровывают, промывают, затем высушивают при температуре 60°С над Р2О5, получая 6,12 г целевого соединения. Т.пл.=107°С.
В) N-(4-(2-Метокси-5-пропоксифенил)-1,3-тиазол-2-ил)-4-(2-оксо-этокси)бензамид
1,52 г полученного на предыдущей стадии соединения вводят в 3,8 мл муравьиной кислоты и нагревают при температуре 50°С в течение 3 часов. После возврата к комнатной температуре добавляют воду, затем отфильтровывают, промывают водой и высушивают при температуре 60°С над Р2О5. Получают 1,25 г целевого продукта.
Получение 4.7bis
N-(4-(2-Метокси-5-пропоксифенил)-1,3-тиазол-2-ил)-4-(2-оксоэтокси)бензамид
В атмосфере сухого азота охлаждают до температуры -60°С смесь, содержащую 0,4 г соединения согласно Получению 4.6 в 0,36 мл диметилсульфоксида и 5 мл дихлорметана, и перемешивают в течение 2 часов. Добавляют 0,83 мл триэтиламина и оставляют стоять до повышения температуры до комнатной. Неорганическую часть отфильтровывают, затем промывают дихлорметаном. Фильтрат промывают водой, 10%-ным раствором Na2CO3, затем 2 раза насыщенным раствором NaCl. Сушат над сульфатом магнияи и выпаривают. Получают 0,39 г целевого соединения.
Получение 4.8
2-(4-(((4-(2-Метокси-5-пропоксифенил)-1,3-тиазол-2-ил)амино)-карбонил)фенокси)этилметансульфонат
Готовят смесь, содержащую 0,4 г соединения согласно Получению 4.6 в 5 мл дихлорметана, 0,28 мл триэтиламина и 120 мкл CH3SO2Cl. Перемешивают в течение полутора часов при охлаждении на бане со льдом. Отфильтровывают нерастворимую часть, которую промывают дихлорметаном. Фильтрат промывают 3 раза водой. Органическую фазу сушат над сульфатом магния, фильтруют, промывают дихлорметаном и выпаривают, получая 0,38 г целевого продукта.
ПРИМЕР 1: соединение 65
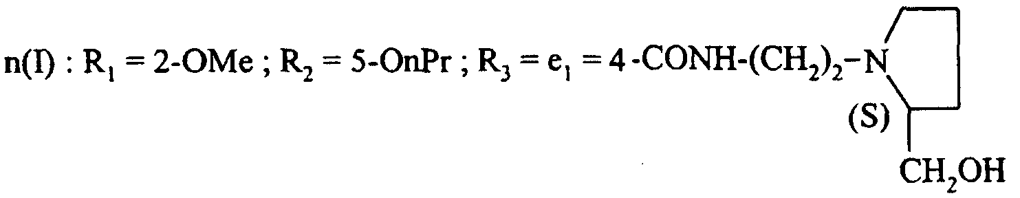
N-[4-(5-Бутил-2-метоксифенил)-1,3-тиазол-2-ил]-4-((4-[2-(S)-(гидроксиметил)пирролидин-1-ил]пиперидин-1-ил)карбонил)бензамид

В течение 30 минут перемешивают раствор, содержащий 82 мг соединения согласно Получению 4.1.1 и 45 мг (S)-пролинола в 2 мл дихлорметана и 5 капель СН3СО2Н, затем добавляют 100 мг NaBH(OAc)3 и перемешивают в течение 12 часов. Среду разбавляют с помощью 200 мл этилацетата, затем промывают 2 раза раствором Na2CO3, сушат над сульфатом магния и выпаривают. Полученный продукт перемешивают под воздействием ультразвука в присутствии 5 мл диэтилового эфира, затем отфильтровывают, получая 70 мг целевого соединения. Т.пл.=199°С.
ЯМР-спектр: 0,85 м.д.: т: 3H; 1,1-2 м.д.: м: 12H; 2,2-4,6 м.д.: м: 15H; 6,8-7,2 м.д.: дд: 2H; 7,45 м.д.: д: 2H; 7,65 м.д.: с: 1H; 7,95 м.д.: с: 1H; 8,1 м.д.: д: 2H; 12,6 м.д.: уш.с: 1H.
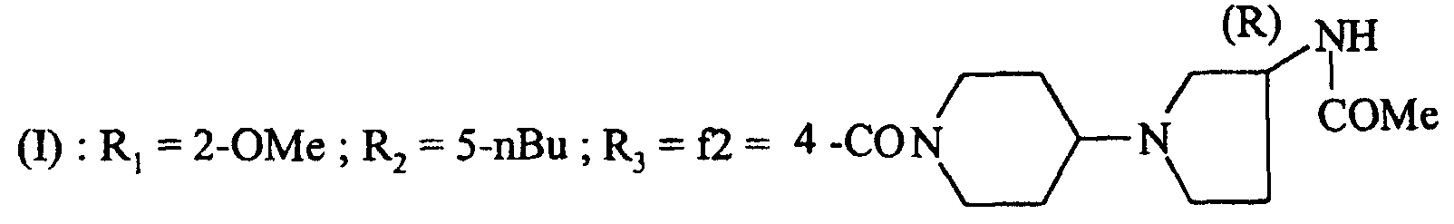
ПРИМЕР 2: соединение 120
4-((4-[3-(R)-(Ацетиламино)пирролидин-1-ил]пиперидин-1-ил)-карбонил)-N-[4-(5-бутил-2-метоксифенил)-1,3-тиазол-2-ил]-бензамид

В атмосферу сухого азота помещают смесь, содержащую 0,25 г соединения согласно Получению 4.1.1, 0,13 г (3R)-3-ацетамид-пирролидина и 2 мл дихлорметана, и перемешивают в течение 15 минут, затем добавляют 0,22 г NaBH(OAc)3 и 8 капель уксусной кислоты и выдерживают при перемешивании при комнатной температуре в течение 3 часов 50 минут. Добавляют 10%-ный раствор Na2CO3 и этилацетат. После декантации органическую фазу промывают 10%-ным раствором Na2CO3, затем сушат над сульфатом магния и выпаривают. Остаток порошкуют в диэтиловом эфире, затем отфильтровывают, промывают диэтиловым эфиром и высушивают при температуре 60°С над Р2О5. Получают 0,25 г целевого соединения. Т.пл. > 200°С (разложение).
ЯМР-спектр: 0,85 м.д.: т: 3H; 1-2,1 м.д.: м: 13H; 2,1-4,5 м.д.: м: 15H; 6,8-7,2 м.д.: дд: 1H; 7,45 м.д.: д: 2H; 7,65 м.д.: с: 1H; 7,85 м.д.: д: 1Н; 8,15 м.д.: д: 2H; 12,65 м.д.: уш.с.: 1H.
ПРИМЕР 3: соединение 107
Дигидрохлорид N-[4-(5-бутил-2-метоксифенил)-1,3-тиазол-2-ил]-4-((4-пирролидин-1-илпиперидин-1-ил)карбонил)бензамида

При комнатной температуре в течение 9 дней перемешивают смесь, содержащую 0,6 г соединения согласно Получению 4.2.1, 6 мл СН3CN, 0,31 мл этилдиизопропиламина, 0,27 г 4-(пирролидин-1-ил)пиперидина в 2 мл СН3CN и 0,78 г ВОР. После выпаривания растворителей среду обрабатывают этилацетатом, затем промывают 10%-ным водным раствором Na2CO3 (3 раза), потом насыщенным раствором NaCl, после чего сушат над сульфатом магния и выпаривают в вакууме. Остаток хроматографируют на диоксиде кремния, элюируя смесью дихлорметан/метанол (100:3; объем/объем), получая 0,43 г основания. Т.пл.=128°С; МН+=547,4; t=6,83.
Полученное основание обрабатывают дихлорметаном, затем добавляют солянокислый диэтиловый эфир. После фильтрации и высушивания получают 0,44 г целевого соединения.
ЯМР-спектр: 0,85 м.д.: т: 3H; 1,05-2 м.д.: м: 12H; 2,25 м.д.: м: 1H; 2,5 м.д.: т: 2H; 2,8-4,40 м.д.: м: 12H; 6,95 м.д.: д: 1H; 7,05 м.д.: дд: 1H; 7,5 м.д.: д: 2H; 7,65 м.д.: с: 1H; 7,95 м.д.: д: 1H; 8,15 м.д.: д: 1H; 12,55 м.д.: уш.с.: 1H.
ПРИМЕР 4: соединение 68
Дигидрохлорид N-[4-(5-бутил-2-метоксифенил)-1,3-тиазол-2-ил]-4-((4-(тетрагидро-2Н-пиран-4-иламино)пиперидин-1-ил)карбонил)-бензамида

0,3 г соединения согласно Получению 4.2.1 вводят в 3 мл СН3CN и добавляют 153 мкл этилдиизопропиламина, 0,25 г амина согласно Получению 2.1 и 0,39 г ВОР. Перемешивают при комнатной температуре в течение ночи, затем отфильтровывают, промывают диэтиловым эфиром и высушивают над Р2О5 при температуре 60°С. Получают 0,36 г целевого соединения. Т.пл.=152°С.
В)
0,35 г полученного на предыдущей стадии соединения вводят в 3 мл 4 М раствора HCl в диоксане и выдерживают в течение 35 минут при перемешивании при комнатной температуре. Добавляют диэтиловый эфир, отфильтровывают, промывают диэтиловым эфиром и высушивают над Р2О5 при температуре 60°С. Получают 0,32 г целевого соединения. Т.пл.=181°С.
ЯМР-спектр: 0,85 м.д.: т: 3H; 1,25 м.д.: секстет: 2H; 1,15-1,90 м.д.: м: 10H; 2,5 м.д.: т: 2H; 2,65-4,70 м.д.: м: 15H; 6,95 м.д.: д: 1H; 7,05 м.д.: дд: 1H; 7,45 м.д.: д: 2H; 7,65 м.д.: с: 1H; 7,95 м.д.: д: 1H; 8,1 м.д.: д: 2H; 9,3 м.д.: уш.с.: 1H; 12,65 м.д.: уш.с.: 1H.
Исходя из промежуточных соединений, указанных в нижеприводимой таблице, следуют методике примера 4, стадия В, путем обработки в кислой среде, для получения соединений формулы (I) согласно изобретению.
| Таблица 6 |
 |
| Получения |
R2 |
R’3 |
Характеристика |
| 5.1 |
-nBu |
 |
Т.пл.=152°С |
| 5.2 |
-Et |
 |
Т.пл.=221°С |
| 5.3 |
-OnPr |
 |
МН+=581,4 t=10,12 |
| 5.4 |
-OnPr |
 |
МН+=581,4 t=9,74 |
| 5.5 |
-nBu |
 |
МН+=566,4 t=12,11 |
| 5.6 |
-nBu |
 |
МН+=552,5 t=11,84 |
| 5.7 |
-nBu |
 |
МН+=566,5 t=12,37 |
| 5.8 |
-nBu |
 |
МН+=591,4 t=10,63 Т.пл.=115°С |
| 5.9 |
-nBu |
 |
Т.пл.=98°С |
| 5.10 |
Циклопентил |
 |
Т.пл.=180°С |
| 5.11 |
-nBu |
 |
Т.пл.=82°С |
| 5.12 |
-nPr |
 |
МН+=596,3 t=10,74 |
| 5.13 |
-nBu |
 |
МН+=579 t=10,6 |
| 5.14 |
-nBu |
 |
МН+=579 t=10,6 |
| t: время удерживания |
ПРИМЕР 4bis: соединение 68
Дигидрохлорид N-[4-(5-бутил-2-метоксифенил)-1,3-тиазол-2-ил]-4-((4-(тетрагидро-2Н-пиран-4-иламино)пиперидин-1-ил)карбонил)-бензамида

А)
При комнатной температуре в течение 48 часов перемешивают смесь, содержащую 370 мг соединения согласно Получению 1.2, 3 мл СН3CN, 378 мг ВОР и 151 мг соединения согласно Получению 3.2. Реакционную среду разбавляют этилацетатом, затем промывают 3 раза 10%-ным водным раствором Na2CO3, потом 3 раза водным раствором NaCl. Органическую фазу сушат над сульфатом магния, затем концентрируют досуха. Обрабатывают диизопропиловым эфиром, после чего отфильтровывают и высушивают, получая 325 мг целевого соединения. Т.пл.=152°С.
В)
Перемешивают в течение 1 часа 320 мг полученного на предыдущей стадии соединения в 3 мл 4 М раствора HCl в диоксане. Добавляют диэтиловый эфир, отфильтровывают, затем твердое вещество промывают диэтиловым эфиром и высушивают, получая 259 мг целевого соединения. Т.пл.=181°С.
ПРИМЕР 5: соединение 161
4-[3-(3-(Ацетиламино)пирролидин-1-ил)пропаноил]-N-[4-(5-бутил-2-метоксифенил)-1,3-тиазол-2-ил]бензамид

Перемешивают при температуре 50°С в течение 2 дней смесь, содержащую 0,3 г соединения согласно Получению 4.3.1, 0,12 г KI, 0,06 г NaHCO3 в 3 мл диметилформамида и 897,3 мг пирролидин-3-ацетамида. Среду концентрируют досуха, затем обрабатывают дихлорметаном. Органическую фазу промывают 2 раза насыщенным раствором NaCl, затем сушат над сульфатом магния и концентрируют досуха. Продукт кристаллизуется в присутствии метил-трет-бутилового эфира. После отфильтровывания и высушивания получают 0,02 г целевого соединения. Т.пл.=112°С.
ПРИМЕР 6: соединение 185
Тригидрохлорид N-[4-(5-этил-2-метоксифенил)-1,3-тиазол-2-ил]-4-[N-((1-этилпирролидин-2-ил)метил)глицил]бензамида

В течение пяти с половиной часов кипятят с обратным холодильником смесь, содержащую 0,25 г соединения согласно Получению 4.3.5 в 3 мл СН3CN и 0,21 г 2-аминометил-1-этилпирролидина в 1 мл СН3CN. После перемешивания в течение ночи при комнатной температуре выпаривают, обрабатывают дихлорметаном, затем промывают 3 раза водой, после чего сушат над сульфатом магния и выпаривают. Полученный продукт хроматографируют на диоксиде кремния, элюируя смесью дихлорметан/метанол (100:5; объем/объем).
Полученное соединение обрабатывают дихлорметаном, добавляют солянокислый диэтиловый эфир, затем выпавший осадок отфильтровывают и промывают диэтиловым эфиром. Высушивают над Р2О5 при температуре 60°С, получая 0,17 г целевого соединения. Т.пл.=163°С (разложение).
ПРИМЕР 7: соединение 182
N-[4-(5-Бутил-2-метоксифенил)-1,3-тиазол-2-ил]-4-[3-(тетрагидро-2Н-пиран-4-иламино)пропил]бензамид

Помещают в атмосферу азота смесь, содержащую 0,38 г соединения согласно Получению 4.4.1 в 3 мл дихлорметана и 0,15 г 4-аминотетрагидропирана в 1 мл дихлорметана. После перемешивания в течение 15 минут добавляют 0,31 г NaBH(OAc)3 и выдерживают при перемешивании в течение 6 часов. Добавляют 10%-ный раствор Na2CO3 и этилацетат, затем декантируют, промывают 10%-ным раствором Na2CO3, затем сушат над сульфатом натрия и выпаривают. Полученный продукт хроматографируют на диоксиде кремния, элюируя смесью дихлорметан/метанол (100:4; объем/объем). Получают 0,11 г целевого соединения.
ПРИМЕР 8: соединение 95
N-[4-(5-Этил-2-метоксифенил)-1,3-тиазол-2-ил]-N’-(2-пирролидин-1-илэтил)терефталамид

При комнатной температуре в течение 2 дней перемешивают смесь, содержащую 0,3 г соединения согласно Получению 4.2.14, 3 мл СН3CN, 0,25 мл этилдиизопропиламина, 98 мг 1-(2-аминоэтил)пирролидина в 2 мл СН3CN, 0,38 г ВОР и 1 мл диметилформамида. Отфильтровывают, промывают с помощью СН3CN, затем высушивают над Р2О5 при температуре 60°С. Получают 0,22 г целевого соединения. Т.пл.=170°С.
ПРИМЕР 9: соединение 9
4-[2-(2-(S)-(гидроксиметил)пирролидин-1-ил)этокси]-N-[4-(2-метокси-5-пропоксифенил)-1,3-тиазол-2-ил]бензамид

Перемешивают в течение 18 часов смесь, содержащую 0,2 г соединения согласно Получению 4.7, 3 мл дихлорметана, 112 мкл (S)-(+)-2-пирролидинметанола, 0,2 г NaBH(OAc)3 и 5 капель СН3СО2Н. К реакционной среде добавляют насыщенный раствор Na2CO3, воду, дихлорметан, затем декантируют. Органическую фазу промывают водой, затем сушат над сульфатом магния и выпаривают. Очищают хроматографией на диоксиде кремния, элюируя смесью дихлорметан/метанол (100:2; объем/объем). Получают 100 мг целевого соединения.
МН+=511; t=5,72 минут.
[ ]D 20=-11,2° (с=0,848; диметилсульфоксид).
ПРИМЕР 10: соединение 183
N-[4-(5-Бутил-2-метоксифенил)-1,3-тиазол-2-ил]-4-[(4-тетра-гидро-2Н-пиран-4-иламино)пиперидин-1-ил)метил]бензамид


В течение одного часа кипятят с обратным холодильником смесь, содержащую 0,25 г соединения согласно Получению 4.3.4 и 0,34 г соединения согласно Получению 2.1 в 1 мл СН3CN. Отфильтровывают, промывают с помощью СН3CN, затем диэтилового эфира и высушивают над Р2О5 при температуре 60°С. Получают 0,35 г целевого соединения.
В)
0,34 г полученного на предыдущей стадии соединения вводят в 3 мл 4 М раствора HCl в диоксане и перемешивают в течение 5 часов при комнатной температуре. Добавляют воду, отфильтровывают, затем промывают диэтиловым эфиром и высушивают над Р2О5 при температуре 60°С. Обрабатывают смесью этилацетат/10%-ный раствор Na2CO3. После декантации промывают 10%-ным раствором Na2CO3, затем водой и сушат над сульфатом магния, после чего выпаривают. Очищают хроматографией на диоксиде кремния, элюируя смесью дихлорметан/метанол (90:3; объем/объем). Получают 93 мг целевого соединения.
МН+=562; t=5,8 минут.
ПРИМЕР 11: соединение 17
N-[2-(2-(S)-(Гидроксиметил)пирролидин-1-ил)этил]-N’-[4-(2-метокси-5-пропоксифенил)-1,3-тиазол-2-ил]терефталамид

В атмосфере сухого азота смешивают 0,13 г соединения согласно Получению 4.5 в 2 мл дихлорметана с 54 мг (S)-(+)-2-пирролидинметанола. После перемешивания в течение 15 минут добавляют 107 мг NaBH(OAc)3 и 5 капель уксусной кислоты, затем перемешивают в течение 4 часов. К реакционной среде добавляют насыщенный раствор Na2CO3, воду и дихлорметан, затем декантируют. Снова экстрагируют дихлорметаном, затем промывают 2 раза насыщенным раствором NaCl. Органические фазы объединяют и сушат над сульфатом магния. После частичного выпаривания добавляют СН3CN и диэтиловый эфир, выпавший осадок отфильтровывают и высушивают над Р2О5 при температуре 45°С. Получают 57 мг целевого соединения в виде твердого вещества. Т.пл.=168°С (разложение).
ПРИМЕР 12: соединение 14
Дигидрохлорид N-(4-(2-метокси-5-пропоксифенил)-1,3-тиазол-2-ил)-4-(2-пиперидин-1-илэтокси)бензамид

В течение 2 часов 40 минут при температуре 80°С нагревают смесь, содержащую 0,19 г соединения согласно Получению 4.8, 62 мг К2СО3 и 38 мг пиперидина в 3 мл диметилформамида. Оставляют стоять до возврата к комнатной температуре, затем добавляют дихлорметан и воду. Реакционную среду промывают водой, затем разбавленным раствором NaOH. Сушат над сульфатом магния и выпаривают. Остаток хроматографируют на диоксиде кремния, элюируя смесью дихлорметан/метанол (100:2; объем/объем). Обрабатывают дихлорметаном, затем добавляют солянокислый диэтиловый эфир, отфильтровывают и промывают диэтиловым эфиром. После высушивания над P2O5 при температуре 60°С получают 54 мг целевого соединения.
ЯМР-спектр:: 0,97 м.д.: т: 3Н; 1,2-2, 0. м. д.: м: 8Н; 2,9-3,1 м.д.: м: 2Н; 3,4-3,6 м.д.: м: 4Н; 3,8-4,0 м.д.: м: 5Н; 4,49 м.д.: т: 2Н; 6,88 м.д.: дд: 1Н; 7,02 м.д.: д: 1Н; 7,13 м.д.: д: 2Н; 7,74 м.д.: с: 1Н; 7,77 м.д.: д: 1Н; 8,17 м.д.: д: 2Н; 10,4 м.д.: уш.с.: 1Н; 12,5 м.д.: уш.с.: 1Н.
ПРИМЕР 13: соединение №186
Этиловый эфир (1-(1-(4-(4-(5-бутил-2-метоксифенил)тиазол-2-ил-карбамоил)пиперидин-4-ил)пирролидин-3-ил)карбаминовой кислоты

А) трет-Бутиловый эфир (1-(1-(4-(4-(5-бутил-2-метоксифенил)-тиазол-2-ил-карбамоил)пиперидин-4-ил)пирролидин-3-ил)-карбаминовой кислоты
К раствору 0,4 г соединения согласно Получению 4.1.1 в 3 мл дихлорэтана добавляют 0,3 г (3R)-3-(трет-бутокси-карбониламино)пирролидина, затем 0,35 г NaHB(OAc)3. В реакционную среду добавляют 3 капли уксусной кислоты, среду затем перемешивают при комнатной температуре в течение 2 часов. Среду гидролизуют путем добавления воды, после чего разбавляют дихлорметаном и промывают 3 раза 1 М раствором гидроксида натрия. Органическую фазу промывают насыщенным раствором NaCl, сушат над сульфатом магния, затем выпаривают, получая 0,37 г целевого соединения. Таким образом полученный сырой продукт может быть использован таким, какой есть, на следующей стадии.
Т.пл.=104°С для доли сырого продукта, очищенной флэш-хроматографией.
В) 4-(4-(3-Аминопирролидин-1-ил)пиперидин-1-карбонил)-N-(4-(5-бутил-2-метоксифенил)тиазол-2-ил)бензамид
К раствору 2,7 г соединения № 151, растворенного в 9 мл дихлорметана, при температуре 0°С добавляют 3 мл трифторуксусной кислоты. Среду выдерживают до возврата к комнатной температуре. Спустя 2 часа выдерживания при комнатной температуре среду выпаривают, затем три раза обрабатывают дихлорметаном и выпаривают. Полученное масло обрабатывают дихлорметаном, затем 10%-ным раствором Na2CO3. Органическую фазу промывают 10%-ным раствором Na2CO3, затем насыщенным раствором NaCl, после чего сушат над сульфатом магния и выпаривают, получая 2,18 г твердого вещества бежевого цвета. Свободное основание очищают путем порошкования в смеси дихлорметан/метанол, получая 1,9 г целевого продукта.
Гидрохлорид получают путем медленного добавления 2 М раствора хлороводорода в диэтиловом эфире к раствору свободного основания в смеси хлороформ/метанол. Суспензию выпаривают, затем высушивают в вакууме, получая 2 г гидрохлорида. Т.пл.=188°С.
С) Этиловый эфир (1-(1-(4-(4-(5-бутил-2-метоксифенил)тиазол-2-илкарбамоил)пиперидин-4-ил)пирролидин-3-ил)карбаминовой кислоты
К раствору 2 г соединения № 152 в основной форме в 7 мл дихлорметана добавляют 0,46 г этилхлорформиата. Среду охлаждают до температуры 0°С. Затем добавляют по каплям 0,7 г диизопропилэтиламина. Среду перемешивают вплоть до возврата к комнатной температуре. Среду гидролизуют водой, затем разбавляют дихлорметаном. Органическую фазу промывают 1 М раствором гидроксида натрия, затем водой, потом насыщенным раствором NaCl. Органическую фазу сушат над сульфатом магния, затем выпаривают. Сырой продукт очищают флэш-хроматографией, получая 1,7 г целевого продукта. Т.пл.=126°С.
Полученное твердое вещество растворяют в дихлорметане, затем превращают в соль путем медленного добавления 2 М раствора хлороводорода в диэтиловом эфире. После выпаривания получают 1,72 г гидрохлорида. Т.пл.=178°С.
ПРИМЕР 14: соединение № 187
N-(4-(5-Бутил-2-метоксифенил)тиазол-2-ил)-4-(4-(3-метан-сульфониламинопирролидин-1-ил)пиперидин-1-карбонил)бензамид

К раствору 0,14 г соединения № 152 в основной форме в 2 мл смеси этилацетата и диметилформамида в соотношении 1:1 добавляют 57 мг метансульфонилхлорида и 0,14 мл триэтиламина. После выдерживания в течение 24 часов при комнатной температуре среду отфильтровывают, затем выпаривают и обрабатывают этилацетатом. Органическую фазу промывают два раза насыщенным раствором NaCl, сушат над сульфатом магния и выпаривают. Сырой продукт очищают флэш-хроматографией, получая 65 мг твердого вещества белого цвета. Т.пл.=125°С.
ПРИМЕР 15: соединение №153
N-(4-(5-Бутил-2-метоксифенил)тиазол-2-ил)-4-(4-(3-пропионил-аминопирролидин-1-ил)пиперидин-1-карбонил)бензамид

К раствору 0,1 г соединения № 152 в его основной форме в 0,5 мл этилацетата добавляют 0,04 г пропионового ангидрида и 0,05 мл триэтиламина. После выдерживания в течение 2 часов при комнатной температуре среду разбавляют дихлорметаном. Органическую фазу промывают водой, насыщенным раствором NaCl, сушат над сульфатом магния и выпаривают. Сырой продукт очищают флэш-хроматографией, получая 67 мг твердого вещества белого цвета. Т.пл.=128°С.
ПРИМЕР 16: соединение № 188
1-(1-(4-(4-(5-Бутил-2-метоксифенил)тиазол-2-илкарбамоил)-бензоил)пиперидин-4-ил)пирролидин-3-иловый эфир уксусной кислоты

К раствору 0,2 г соединения №66 в виде раствора в 1 мл дихлорметана добавляют 73 мг уксусного ангидрида. После выдерживания в течение 2 часов при комнатной температуре добавляют 73 мг уксусного ангидрида и перемешивают в течение 12 часов при комнатной температуре. Среду разбавляют дихлорметаном. Органическую фазу промывают 3 раза 10%-ным раствором Na2CO3, затем водой, потом насыщенным раствором NaCl, после чего сушат над сульфатом магния и выпаривают, получая 194 мг твердого вещества белого цвета. Т.пл.=99°С.
ПРИМЕР 17: соединение № 189
4-(4-(1-Ацетилпирролидин-3-иламино)пиперидин-1-карбонил)-N-4-(5-бутил-2-метоксифенил)тиазол-2-ил)бензамид (S)

А) трет-Бутиловый эфир 3-(1-(4-(4-(5-бутил-2-метоксифенил)-тиазол-2-илкарбамоил)бензоил)пиперидин-4-иламино)пирролидин-1-карбоновой кислоты
Раствор 0,23 г (S)-3-амино-1-N-Вос-пирролидина и 0,5 г соединения согласно Получению 4.1.1 в 2 мл дихлорметана перемешивают в течение 30 минут при комнатной температуре. К реакционной смеси добавляют 0,43 г NaHB(OAc)3 и 8 капель уксусной кислоты. Реакционную среду затем перемешивают при комнатной температуре в течение 4 часов. Среду гидролизуют путем добавления воды, затем разбавляют дихлорметаном и промывают 3 раза 1 М раствором гидроксида натрия. Органическую фазу промывают насыщенным раствором NaCl, сушат над сульфатом магния, затем выпаривают, получая 0,65 г целевого соединения. Таким образом полученный сырой продукт может быть использован таким, какой есть, на следующей стадии.
МН+=662; t=7,3 минут.
В) N-4-(5-Бутил-2-метоксифенил)тиазол-2-ил)-4-(4-(пирролидин-3-иламино)пиперидин-1-карбонил)бензамид
К раствору 0,61 г полученного на предыдущей стадии соединения в 2 мл дихлорметана добавляют 2 мл солянокислого диэтилового эфира. После выдерживания в течение 4 часов 30 минут при комнатной температуре среду выпаривают. Сырое вещество порошкуют в диэтиловом эфире, отфильтровывают, промывают диэтиловым эфиром и высушивают, получая 0,51 г целевого соединения.
МН+=562; t=5,83 минут.
С) 4-(4-(1-Ацетилпирролидин-3-иламино)пиперидин-1-карбонил)-N-4-(5-бутил-2-метоксифенил)тиазол-2-ил)бензамид
Суспензию 0,5 г полученного на предыдущей стадии соединения в смеси дихлорметан/этилацетат обрабатывают 10%-ным раствором Na2CO3. После декантации водную фазу экстрагируют этилацетатом, затем дихлорметаном. Объединенные органические фазы сушат над сульфатом магния, затем выпаривают.
Таким образом получают 0,37 г свободного основания, которое растворяют в 2 мл дихлорметана. Добавляют 0,062 мл уксусного ангидрида и перемешивают в течение 3 часов 30 минут при комнатной температуре. Среду выпаривают, затем хроматографируют на диоксиде кремния, получая 0,3 г целевого продукта.
МН+=604; t=6,68 минут.
В нижеследующих таблицах поясняются химические структуры и физические свойства некоторых примеров соединений согласно изобретению. В этих таблицах:
– в колонке “Соль” знак “-” означает, что соединение находится в форме свободного основания, тогда как “HCl” означает, что соединение находится в форме гидрохлорида;
– Me, Et, nPr, iPr, nBu, iBu, tBu, nHex означают соответственно группы: метил, этил, н-пропил, изопропил, н-бутил, изобутил, трет-бутил, н-гексил;
– Ph и Bn означают соответственно фенил и бензил;
– ТНР означает тетрагидропиран-4-ил.
Соединения характеризуются либо их спектром ядерного магнитного резонанса (ЯМР), представленным по окончании таблицы, либо их точкой плавления (F), либо их масс-спектром: МН+ и время удерживания (t), выраженное в минутах.
Таблица 7

























ЯМР-спектр: соединение 1: 0,98 м.д.: т: 3H; 1,24 м.д.: т: 6H; 1,72 м.д.: секстет: 2H; 3,1-3,3 м.д.: м: 4H; 3,4-3,6 м.д.: м: 2H; 3,8-4,0 м.д.: м: 5H; 4,50 м.д.: т: 2H; 6,87 м.д.: д.д: 1H; 7,04 м.д.: д: 1H; 7,16 м.д.: д: 2H; 7,7-7,8 м.д.: м: 2H; 8,16 м.д.: д: 2H; 10,6 м.д.: уш.с.: 1H; 12,5 м.д.: уш.с.: 1H.
ЯМР-спектр: соединение 33: 1,00 м.д.: т: 3H; 1,26 м.д.: т: 6H; 1,74 м.д.: секстет: 2H; 2,9-3,5 м.д.: м: 8H; 3,8-4,0 м.д.: м: 5H; 6,88 м.д.: д.д: 1H; 7,04 м.д.: д: 1H; 7,5 м.д.: д: 2H; 7,7-7,8 м.д.: м: 2H; 8,14 м.д.: д: 2H.
ЯМР-спектр: соединение 67: 0,80 м.д.: т: 3H; 0,95-1,95 м.д.: м: 12H; 2,45 м.д.: т: 2H; 2,55-4,4 м.д.: м: 13H; 6,95 м.д.: д: 1H; 7,05 м.д.: дд: 1H; 7,45 м.д.: д: 2H; 7,65 м.д.: с: 1H; 7,90 м.д.: с: 1H; 8,1 м.д.: д: 2H.
ЯМР-спектр: соединение 69: 1,1 м.д.: т: 3H; 1,15-1,90 м.д.: м: 4H; 2,20-4,50 м.д.: м: 17H; 6,95 м.д.: д: 1H; 7,05 м.д.: дд: 1H; 7,45 м.д.: д: 2H; 7,60 м.д.: с: 1H; 7,95 м.д.: с: 1H; 8,1 м.д.: д: 2H; 12,65 м.д.: уш.с.: 1H.
ЯМР-спектр: соединение 70: 0,85-1,95 м.д.: м: 11H; 2,30-4,4 м.д.: м: 15H; 6,95 м.д.: д: 1H; 7,05 м.д.: дд: 1H; 7,40 м.д.: д: 2H; 7,60 м.д.: с: 1Н; 7,90 м.д.: с: 1H; 8,1 м.д.: д: 2H.
Соединения согласно изобретению являлись объектом фармакологических испытаний, позволяющих определить их модулирующее действие на активность рецепторов для хемокинов.
Хемокины представляют собой протеины с низкой молекулярной массой, которые относятся к семейству провоспалительных цитокинов и принимают активное участие в хемотаксисе лейкоцитов и эндотелиальных клеток. Хемокины контролируют многочисленные биологические процессы и ассоциированы с воспалительными нарушениями, возникающими во время стрессовых состояний, во время ранений или инфекций; модуляция воздействий хемокинов позволяет предотвращать или лечить патологии, как астма, артрит, аллергии, аутоиммунные заболевания, атериосклероз или ангиогенез (C.D. Paavola и др., J. Biol. Chem., 273 (50), 33157-33165 (1998)).
Из хемокинов отличают hMCP-1 (по-английски: Human Monocyte Chemotactic Protein (человеческий моноцитарный хемотаксический протеин)), который относится к группе СС хемокинов и действия которого опосредуются рецептором ССR2b.
Определяли ингибирующую активность соединений согласно изобретению в отношении клеток, продуцирующих человеческий рецептор CCR2b. Концентрация природного агониста hMCP-1, которая ингибирует 50% (CI50) активности рецептора CCR2b, составляет 0,57 нМ. Соединения согласно изобретению имеют CI50 обычно ниже 0,1 мкМ.
Например, соединение № 12 имеет CI50, составляющую 0,081 мкМ; соединение № 244 имеет CI50, составляющую 0,088 мкМ; соединение № 203 имеет CI50, составляющую 0,093 мкМ.
Также определяли ингибирование хемотаксиса в случае моноцитарных ТНР-1 человеческих клеток (выпускаются фирмой DSMZ- Германия), используя приспособленный для этого способ, описываемый A. Albini и др., Cancer Res., 47, 3239-3245 (1987). В этих условиях hMCP-1 имеет CI50, составляющую 6 нМ. Соединения согласно изобретению имеют CI50 обычно ниже 1 мкМ.
Ингибирование хемотаксиса соединениями согласно изобретению является признаком их антагонистической активности в отношении рецепторов хемокинов и, в частности, CCR2b.
Следовательно, оказывается, что соединения согласно изобретению являются антагонистами действия хемокинов, в частности, hMCP-1.
Также определяли ингибирующую активность соединений согласно изобретению в отношении РВМС (мононуклеары периферической крови), инфицированных вирусом ВИЧ-1 Bal, согласно приспособленному для этого способу, описываемому V. Dolle и др., J. Med. Chem., 43, 3949, 3962 (2000). Согласно этому способу РВМС инфицировали с помощью ВИЧ-1 Bal, затем в культуральную среду в течение 5 дней добавляли тестируемые соединения. По окончании этой выдержки в супернатанте измеряют содержание обратной транскриптазы, которое коррелирует с уровнем вирусной репликации в клетках.
В этих условиях AZT, стандартная молекула, которая ингибирует вирусную репликацию, имеет CI50 ниже 0,1 мкМ. Соединения согласно изобретению также имеют CI50 обычно ниже 0,1 мкМ. Например, соединение № 104 показало CI50, равную 0,063 мкМ.
Соединения согласно изобретению, следовательно, могут быть использованы для получения лекарственных средств, в особенности лекарственных средств, антагонистических по отношению к действию хемокинов.
Таким образом, согласно другому из его аспектов объектом настоящего изобретения являются лекарственные средства, которые включают соединение формулы (I) или аддитивную соль этого последнего с фармацевтически приемлемой кислотой, или еще гидрат или сольват.
Эти лекарственные средства находят применение в терапии, в частности, для предотвращения и лечения различных патологий, таких, как:
– острые и хронические иммунно-воспалительные заболевания и синдромы, как атеросклероз, рестенозы, хронические легочные заболевания, в особенности COPD (по-английски: chronic obstructive pulmonary disease (хроническое обструктивное заболевание легких)); респираторный дистресс-синдром; гиперактивность бронхов; колиты; силикоз; фиброзные патологии, легочные фиброзы, кистозные фиброзы; вирусные или бактериальные инфекции, СПИД, менингит, малярия, проказа, туберкулез, герпес, инфекции за счет цитомегаловирусов; септические шоки, сепсис, эндотоксические шоки; отторжения трансплантатов; костные патологии, такие, как остеопороз, остеоартриты; конъюнктивиты; атипические или контактные дерматиты; экземы; гломерулонефриты; панкреатиты; язвенные колиты; аутоиммунные заболевания, как ревматоидный полиартрит, рассеянный склероз, боковой амиотрофический склероз, болезнь Крона, красная волчанка, склеродермия, псориаз; болезнь Паркинсона; болезнь Альцгеймера; диабет; кахексия; ожирение;
– лечение боли, в особенности невропатической и воспалительной;
– аллергические заболевания, такие, как аллергические респираторные заболевания, астма, риниты, легочная гиперчувствительность, аллергическая реакция замедленного типа;
– заболевания и нарушения, в случае которых принимают активное участие ангиогенные процессы, как злокачественные опухоли (внутриопухолевый ангиогенез), ретинальные заболевания (дегенерация желтого пятна, связанная с возрастом: DMLA);
– сердечные патологии: гемодинамический шок; сердечные ишемии; приступы пост-ишемической реинфузии; инфаркт миокарда, коронарный тромбоз, сердечная недостаточность, стенокардия.
Согласно другому из его аспектов настоящее изобретение относится к фармацевтическим композициям, включающим, в качестве действующего начала, соединение согласно изобретению. Эти фармацевтические композиции содержат эффективную дозу по меньшей мере одного соединения согласно изобретению или фармацевтически приемлемой соли, гидрата или сольвата вышеуказанного соединения, а также по меньшей мере один фармацевтически приемлемый эксципиент.
Вышеуказанные эксципиенты выбирают, в зависимости от фармацевтической формы и желательного способа введения, среди обычных эксципиентов, которые известны специалисту.
В фармацевтических композициях согласно настоящему изобретению для орального, подъязычного, подкожного, внутримышечного, внутривенного, локального, топического, интратрахеального, внутриносового, трансдермическиго или ректального введения действующее начало вышеприведенной формулы (I) или его соль, возможный сольват или гидрат, может быть введено в разовой форме введения, в смеси с классическими фармацевтическими эксципиентами, животным и людям для профилактики или лечения вышеуказанных нарушений или заболеваний.
Соответствующие разовые формы введения включают формы для орального введения, такие, как таблетки, мягкие или твердые желатиновые капсулы, порошки, гранулы и пероральные растворы или суспензии; подъязычные, буккальные, интратрахеальные, внутриглазные, внутринозальные формы введения путем ингаляции; локальные, чрескожные, подкожные, внутримышечные или внутривенные формы введения; ректальные формы введения и имплантаты. Для локального применения соединения согласно изобретению можно использовать в кремах, гелях, помадах или лосьонах.
В качестве примера разовая форма введения соединения согласно изобретению в виде таблетки может включать следующие компоненты, мг:
| соединение согласно изобретению |
50,0 |
| маннит |
223,75 |
| натрийкроскарамеллоза |
6,0 |
| кукурузный крахмал |
15,0 |
| гидроксипропилметилцеллюлоза |
2,25 |
| стеарат магния |
3,0 |
Доза действующего начала, вводимая в сутки, перорально может достигать 0,1-1000 мг/кг за один или несколько приемов.
Могут быть особые случаи, где используют более высокие или более незначительные дозировки; такие дозировки не выходят за рамки изобретения. Согласно обычной практике соответствующая дозировка для каждого пациента определяется врачом в зависимости от способа введения, массы и ответной реакции вышеуказанного пациента.
Согласно следующему из его аспектов настоящее изобретение относится также с способу лечения вышеуказанных патологий, который включает введение пациенту эффективной дозы соединения согласно изобретению или одной из его фармацевтически приемлемых солей, или гидратов, или сольватов.
Формула изобретения
1. Соединения, отвечающие формуле (I)

в которой
R1 означает атом водорода (С1-С4)-алкил, (С1-С4)-алкоксил, циклопропилметоксигруппу, (С1-С4)-алкилтиогруппу;
R2 означает атом галогена, (С1-С8)-алкил, перфтор-(С1-С4)-алкил, (С3-С10)-циклоалкил, фенил, (С1-С8)-алкоксил;
R2 означает группу, выбранную из:
a) a1) -O-(C2-C4)-alk-A;
а2) -O-(C1-C4)-alk-B;
а3) -O-Е;
b) -(C1-C4)-alk-A;
c) -В;
d) d1) -(C1-C4)-alk-NR4-(C2-C3)-alk-A;
d2)-(C1-C4)-alk-NR4-(C1-C3)-alk-B;
e) e1) -CONR4-(C2-C4)-alk-A;
e2) -CONR4-(C1-C4)-alk-B;
e3) -CONR4-E;
f) f1) -CO-D-(C1-C2)-alk-A;
f2) -CO-G-A;
f3) 
f4) 
f5) 
f6) 
f7) 
R4 означает атом водорода или (С1-С4)-алкил;
А означает группу NR5R6;
В означает группу 
D означает группу 
Е означает группу 
G означает группу 
R5 и R6 каждый независимо друг от друга означает атом водорода, (С1-С6)-алкил, (C2-C4)-alk-OH, (C1-C3)-alk-CON(R4)2, (C2-C3)-alk-NHCO-(C1-C4)-алкил, -СО-(С1-С4)-алкил; пирролидинил, возможно замещенный -СО-(С1-С4)-алкилом; тетрагидропиранил, тетрагидропиранилметил;
или R5 и R6 вместе с атомом азота, с которым они связаны, образуют гетероциклический радикал, выбранный из азетидинила, пирролидинила, пиперидинила, морфолинила, причем вышеуказанные гетероциклические радикалы незамещены или замещены фенилом, гидроксилом, гидроксиметилом, метоксиметилом, формамидогруппой, трифторацетиламиногруппой, группой -NR4R7, тетрагидропиран-4-ил-аминогруппой, (С1-С4)-алкил-CONR4-, (С3-С8)-циклоалкил-CONR4-, (C1-C4)-алкил-OCONR4-, (С1-С4)-алкил-OCO-N-, (С1-С4)-алкил-СОО-;
R7 означает атом водорода, группу -SO2СН3;
р означает 1, 2, 3, 4 или 5;
q означает 0, 1 или 2;
r означает 1 или 2;
причем
p+q меньше или равно 5;
p+r меньше или равно 5;
alk означает алкилен;
при условии, что R1 и R2 одновременно не означают атом водорода;
в виде фармацевтически приемлемой соли.
2. Соединения по п.1, отвечающие формуле (I ):

в которой
R1 означает атом водорода, (С1-С4)-алкил, (С1-С4)-алкоксил, циклопропилметоксигруппу, (С1-С4)-алкилтиогруппу;
R2 означает атом галогена, (C1-C8)-алкил, перфтор-(С1-С4)-алкил, (С3-С10)-циклоалкил, фенил, (С1-С8)-алкоксил;
R3 означает группу, выбранную из:
a) a1) -O-(C2-C4)-alk-A;
а2) -O-(C1-C4)-alk-B;
а3) -O-Е;
b) -(C1-C4)-alk-A;
c) -В;
d) d1) -(C1-C4)-alk-NR4-(C2-C3)-alk-A;
d2)-(C1-C4)-alk-NR4-(C1-C3)-alk-B;
f) e1) -CONR4-(C2-C4)-alk-A;
e2) -CONR4-(C1-C4)-alk-B;
e3) -CONR4-E;
g) f1) -CO-D-(C1-C2)-alk-A;
f2) -CO-G-A;
f3) 
f4) 
f5) 
f6) 
R4 означает атом водорода или (С1-С4)-алкил;
А означает группу NR5R6;
В означает группу 
D означает группу 
Е означает группу 
G означает группу 
R5 и R6 каждый независимо друг от друга означает атом водорода, (С1-С6)-алкил, (C2-C4)-alk-OH, (C1-C3)-alk-CON(R4)2, (С2-С3)-alk-NHCO-(С1-С4)-алкил, тетрагидропиранил, тетрагидропиранилметил;
или R5 и R6 вместе с атомом азота, с которым они связаны, образуют гетероциклический радикал, выбираемый из азетидинила, пирролидинила, пиперидинила, морфолинила, причем вышеуказанные гетероциклические радикалы незамещены или замещены фенилом, гидроксилом, гидроксиметилом, метоксиметилом, формамидогруппой, трифторацетиламиногруппой, группой -NR4R7, тетрагидропиран-4-ил-аминогруппой, (C1-C4)-алкил-CONR4-, (C1-C4)-алкил-OCONR4-, (С1-С4)-алкил-СОО-;
R7 означает атом водорода;
р означает 1, 2, 3, 4 или 5;
q означает 0, 1 или 2;
r означает 1 или 2;
причем
p+q меньше или равно 5;
p+r меньше или равно 5;
alk означает алкилен;
при условии, что R1 и R2 одновременно не означают атом водорода;
в виде фармацевтически приемлемой соли.
3. Соединения по п.1 или 2 формулы (Ia)

в которой R1, R2, R3 имеют указанные для формулы (I) значения; в виде фармацевтически приемлемой соли.
4. Соединения по п.3 формулы (Ia), в которой
R1 означает атом (С1-С4)-алкил, (С1-С4)-алкоксил, циклопропилметоксигруппу, (C1-C4)-алкилтиогруппу; и/или
R2 означает атом галогена, (C1-C8)-алкил, (С3-С10)-циклоалкил, фенил, (C1-C8)-алкоксил;
и/или
R3 означает группу, выбранную из групп а), b), с), d), e), f), таких, как указанные для формулы (I) по п.1.
5. Соединения по п.4 формулы (Ia), в которой
R1 означает (С1-С4)-алкоксил, циклопропилметоксигруппу или (С1-С4)-алкилтиогруппу;
и/или
R2 означает атом галогена, (С1-С8)-алкил, (С3-С10)-циклоалкил или (С1-С8)алкоксил; и/или
R3 означает группу f2 или е2;
в виде фармацевтически приемлемой соли.
6. Способ получения соединения формулы (I) по любому из пп.1-5, отличающийся тем, что
функциональное производное кислоты формулы (II)

в которой R’3 означает R3, такой, как указанный выше для формулы (I), или R’3 обозначает карбокси, (С1-С6)алкоксикарбонил, галоген, галогено(С1-С6)алкил, оксо(С1-С6)алкил, -CO-NH-(C1-С6)алкил-CHO, -O-(С1-С6)алкил-OH,
обрабатывают производным 2-аминотиазола формулы (III)

в которой R’1 и R’2 означают соответственно R1 и R2,
в апротонном растворителе в щелочной среде,
затем, в случае необходимости, таким образом полученное соединение формулы (IV)

в которой значения R’1, R’2 и R’3 указаны выше, превращают в соединение формулы (I).
7. Соединения формулы (IIe)

в которой R’3 означает R3, выбранный из группы, состоящей из е2), f1), f2), f4), f5), f6), таких, как указанные для формулы (I), и R3 находится в пара-положении.
8. Кислоты формулы

в которой G’p означает атом водорода или защитную для азота группу, выбранную из Boc, Fmoc, бензилоксикарбонила, бензила или (С1-С4)-алканоила;
а также их (С1-С4)-алкиловые эфиры формулы (XXXIV) или их бензиловые эфиры, незамещенные или замещенные по фенилу метоксигруппой.
9. Соединение формулы (XXXXVIIIbis)

в которой аминогруппы являются свободными или защищены защитной группой, такой, как группа Fmoc, бензил, трет-бутоксикарбонил, бензилоксикарбонил или (С1-С4)-алканоил.
10. Соединения формулы (IV)

в которой
R’1 и R’2 означают соответственно R1 или R2, указанные для соединений формулы (I);
R’3 означает группу, выбранную из
-O-(C1-C3)-alk-Q, причем Q означает формил;
-O-(C2-C4)-alk-OX, причем Х означает атом водорода;
-(C1-C3)-alk-Q, где Q означает формил;
-(C1-C4)-alk-Hal, причем Hal означает атом галогена;
-I;
-СООН; -COOR, где R означает (С1-С4)-алкил;
-CONH-(C1-C3)-alk-Q, где Q означает формил;



– a) a1) -O-(C2-C4)-alk-A’;
a2) -O-(C1-C4)-alk-B’;
a3)-O-E’;
b) -(C1-C4)-alk-A’;
c) -В’;
d) d1) -(C1-C4)-alk-NR4-(C2-C3)-alk-A’;
d2) -(C1-C4)-alk-NR4-(C1-C3)-alk-B’;
e) e1)-CONR4-(C2-C4)-alk-A’;
e2) -CONR4-(C1-C4)-alk-B’;
e3) -CONR4-E’;
f) f1) -CO-D-(C1-C2)-alk-A’;
f2) -CO-G-A’;
f3) 
f4) 
f5) 
где
A’, B’, E’ означают соответственно группы А, В, E, такие, как указанные для формулы (I), в которых R5 замещен группой Gp;
Gp означает защитную для азота группу, выбранную из Boc, Fmoc, (С1-С4)-алканоила, бензилоксикарбонила или бензила.
11. Соединения по п.10 формулы (IV), в которой
R’1 находится в положении 2 фенила и является таким, как R1, указанный для формулы (I);
R’2 находится в положении 5 фенила и является таким, как R2, указанный для формулы (I);
R’3 находится в положении 4 другой фенильной группы и является таким, как указанный по п.10.
12. Лекарственное средство, обладающее свойствами антагонистов хемокинов, отличающееся тем, что оно содержит соединение формулы (I) по любому из пп.1-5 или аддитивную соль этого соединения фармацевтически приемлемой кислоты в эффективном количестве.
13. Фармацевтическая композиция, обладающая свойствами антагонистов хемокинов, отличающаяся тем, что она включает эффективное количество соединения формулы (I) по любому из пп.1-5 или фармацевтически приемлемой соли, а также по меньшей мере один фармацевтически приемлемый эксципиент.
14. Применение соединения формулы (I) по любому из пп.1-5 для получения лекарственного средства, обладающего свойствами антагонистов хемокинов.
MM4A – Досрочное прекращение действия патента СССР или патента Российской Федерации на изобретение из-за неуплаты в установленный срок пошлины за поддержание патента в силе
Дата прекращения действия патента: 23.04.2009
Извещение опубликовано: 27.07.2010 БИ: 21/2010
|
|