Патент на изобретение №2348629
|
||||||||||||||||||||||||||||||||||||||||||||||||||||||||||||||||||||||||||||||||||||||||||||||||||||||||||||||||||||||||||||||||||||
(54) ПРОИЗВОДНЫЕ БЕНЗОТИАЗОЛА И ИХ ПРИМЕНЕНИЕ ПРИ ЛЕЧЕНИИ ЗАБОЛЕВАНИЙ, СВЯЗАННЫХ С АДЕНОЗИНОВЫМИ A2A-РЕЦЕПТОРАМИ
(57) Реферат:
Изобретение относится к производным бензотиазола общей формулы (I) и их фармацевтически приемлемым солям в качестве лигандов рецептора аденозина А2A и к лекарственному средству на их основе. Соединения могут найти применение для лечения и профилактики заболеваний, опосредованных рецепторами аденозина А2A, например болезни Альцгеймера, некоторых депрессивных состояний, токсикомании, болезни Паркинсона. В общей формуле (I)
R1 представляет собой С5-С6-циклоалкил, замещенный группой CF3, низший алкил, -(СН2)nОН или -(СН2)n-O-низший алкил, или означает 1-бицикло[2,2,1]гепт-2-ил, 1-(7-окса-бицикло[2,2,1]гепт-2-ил, 1-(5-экзо-гидроксибицикло[2,2,1]гепт-2-экзо-ил, 1-(5-экзо-гидроксибицикло[2,2,1]гепт-2-эндо-ил, или означает 1-адамантан-1-ил; R2 представляет собой низший алкил; или R1 и R2 вместе с атомом N образуют группу 8-окса-3-аза-бицикло [3,2,1] октан, n означает 0 или 1. 2 н. и 7 з.п. ф-лы.
Настоящее изобретение относится к соединениям общей формулы
в которой R1 представляет собой С5-С6-циклоалкил, замещенный группой CF3, низший алкил, -(СН2)nОН или -(СН2)n-O-низший алкил, или представляет собой 1-бицикло[2,2,1 ]гепт-2-ил, 1-(7-окса-бицикло[2,2,1]гепт-2-ил, 1-(5-экзо-гидроксибицикло[2,2,1]гепт-2-экзо-ил, 1-(5-экзо-гидроксибицикло[2,2,1]гепт-2-эндо-ил или представляет собой 1-адамантан-1-ил; R2 представляет собой низший алкил или R1 и R2 вместе с атомом N образуют группу 8-окса-3-аза-бицикло[3,2,1]октан; n означает 0 или 1; и к их фармацевтически приемлемым кислотно-аддитивным солям. Неожиданно было обнаружено, что соединения общей формулы I представляют собой лиганды аденозинового рецептора. А именно, соединения согласно настоящему изобретению обладают значительным сродством к А2А-рецептору и высокой селективностью по отношению к А1– и А3-рецепторам. Аденозин является модулятором большого числа физиологических функций, что осуществляется посредством взаимодействия со специфическими рецепторами поверхности клетки. Обзор, посвященный возможному использованию аденозиновых рецепторов в качестве мишеней для лекарственных средств, был впервые выполнен в 1982 году. Аденозин связан как структурно, так и метаболически с биологически активными нуклеотидами аденозинтрифосфатом (АТФ), аденозиндифосфатом (АДФ), аденозинмонофосфатом (АМФ) и циклическим аденозинмонофосфатом (цАМФ); с биохимическим метилирующим агентом S-аденозил-L-метионом (SAM); и структурно – с коферментами NAD, FAD и коферментом А; и с РНК. Аденозин и родственные ему соединения играют важную роль в регулировании многих аспектов клеточного метаболизма и в модулировании различных видов активности центральной нервной системы. Аденозиновые рецепторы классифицируют как А1-, А2A-, А2B– и А3-рецепторы, принадлежащие к семейству рецепторов, сопряженных с G-белками. Активация аденозиновых рецепторов аденозином инициирует систему передачи сигнала. Эти механизмы опосредованы G-белком, ассоциированным с рецептором. Каждый подтип аденозинового рецептора обычно характеризуется аденилатциклазной эффекторной системой, в которой в качестве вторичного мессенджера используется цАМФ. А1– и А3-рецепторы, связанные с Gi-белками, ингибируют аденилатциклазу, что приводит к снижению содержания цАМФ в клетках, в то время как А2А– и А2B-рецепторы сопряжены с Gs-белками и активируют аденилатциклазу, что приводит к повышению содержания цАМФ в клетках. Известно, что система А1-рецептора включает активацию фосфолипазы С и модулирование как калиевых, так и кальциевых ионных каналов. Подтип А3, в дополнение к ассоциации с аденилатциклазой, также стимулирует фосфолипазы С и таким образом активирует кальциевые ионные каналы. Клонирован А1-рецептор (326-328 аминокислот) различных видов (семейства псовых, человека, крысы, собаки, цыпленка, крупного рогатого скота, морской свинки), при этом у млекопитающих наблюдается 90-95%-ная идентичность последовательности. Клонирован А2А-рецептор (409-412 аминокислот) семейства псовых, крысы, человека, морских свинок и мышей. Клонирован А2В-рецептор (332 аминокислоты) человека и мыши, при этом наблюдается 45%-ная гомологичность последовательности рецептора А2В человека по отношению к А1– и А2А-рецепторам человека. Клонирован А3-рецептор (317-320 аминокислоты) человека, крысы, собаки, кролика и овцы. Предполагается, что подтипы рецептора А1 и А2А дополняют друг друга при регуляции аденозином процесса обеспечения энергией. Аденозин, который является продуктом метаболической трансформации АТФ, диффундирует из клетки и локально воздействует на активацию аденозиновых рецепторов, снижая потребность в кислороде (A1) или увеличивая снабжение кислородом (А2A) и таким образом поддерживая равновесие между обеспечением энергией и ее потреблением в тканях. Действие обоих подтипов заключается в увеличении количества доступного для тканей кислорода и в защите клеток от повреждения, вызванного кратковременным дисбалансом в поступлении кислорода. Одной из важных функций эндогенного аденозина является предупреждение повреждения при травмах, таких как гипоксия, ишемия, гипотензия и эпилептические припадки. Кроме того, известно, что связывание агониста аденозинового рецептора с тучными клетками, экспрессирующими рецептор А3 крысы, приводит к увеличению уровня инозиттрифосфата и концентрации кальция внутри клетки, что усиливает антигениндуцируемую секрецию медиаторов воспалительной реакции. Следовательно, рецептор А3 играет важную роль в качестве медиатора в случае приступов астмы и других аллергических реакций. Аденозин является также нейромодулятором, способным модулировать различные аспекты физиологической деятельности мозга. Эндогенный аденозин, центральное связующее звено между энергетическим обменом и нейрональной активностью, изменяется в соответствии с поведенческим состоянием и (пато)физиологическими состояниями. В условиях повышения потребности и снижения доступности энергии (таких как гипоксия, гипогликемия и/или чрезмерная активность нейронов), аденозин обеспечивает эффективный защитный механизм обратной связи. Взаимодействие с аденозиновыми рецепторами является многообещающим направлением терапевтического воздействия в случае разнообразных неврологических и психиатрических заболеваний, таких как эпилепсия, расстройства и нарушения сна и двигательной активности (болезнь Паркинсона или болезнь Хантингтона (Huntington), болезнь Альцгеймера, депрессия, шизофрения или привыкание. Увеличение скорости высвобождения нейромедиатора происходит при травме, такой как гипоксия, ишемия и эпилептические припадки. Эти нейромедиаторы в конечном счете отвечают за дегенерацию и гибель нейронов, что влечет за собой повреждение мозга или смерть организма. Таким образом, агонисты аденозинового рецептора А1, имитирующие ингибиторные процессы в центральной нервной системе (ЦНС), вызываемые аденозином, могут найти применение в качестве нейропротекторных агентов. Аденозин предполагается использовать в качестве эндогенного противосудорожного агента, ингибирующего высвобождение глутамата из возбужденных нейронов и ингибирующего возбуждение нейронов. Таким образом, агонисты аденозина могут быть использованы в качестве противоэпилептических агентов. Антагонисты аденозина стимулируют активность ЦНС и, как установлено, являются эффективными усиливающими агентами в отношении познавательных (когнитивных) способностей. Селективные А2а антагонисты обладают терапевтическим потенциалом в отношении лечения различных форм деменции, например, в случае болезни Альцгеймера и при нейродегенеративных заболеваниях, например, при нарушении мозгового кровообращения. Антагонисты аденозинового А2а-рецептора модулируют активность стриатальных GABA-эргических нейронов и регулируют плавные движения и координацию, таким образом предоставляют возможность для лечения симптомов, наблюдающихся при паркинсонизме. Аденозин также принимает участие в ряде физиологических процессов, лежащих в основе седативного эффекта, гипноза, шизофрении, беспокойства и тревоги, боли, дыхания, депрессии, наркомании и лекарственного привыкания (амфетамин, кокаин, опиоиды, этанол, никотин, каннабиноиды). Следовательно, лекарственные средства, воздействующие на аденозиновые рецепторы, обладают терапевтическим потенциалом в качестве седативных агентов, мышечных релаксантов, антипсихотических средств, транквилизаторов, анальгетиков, стимуляторов дыхания и антидепрессантов и при лечении наркомании и лекарственного привыкания. Они также могут быть использованы для лечения нарушений и расстройств, связанных с дефицитом внимания и гиперактивностью (ADHD). В сердечно-сосудистой системе аденозин выполняет важную функцию в качестве кардиопротектора (кардиозащитного средства). Уровень эндогенного аденозина повышается как реакция на ишемию и гипоксию, что защищает ткани сердца при травме и после травмы (стабилизация). Посредством воздействия на А1-рецептор, агонисты аденозинового А1-могут осуществлять защиту от повреждений, вызываемых ишемией миокарда и реперфузией. Модулирование воздействия А2а-рецепторов на адренергическую функцию может иметь большое значение в случае различных заболеваний, например, таких как заболевания коронарной артерии и сердечная недостаточность. А2а-антагонисты могут представлять интерес для терапии при таких ситуациях, когда необходима повышенная адренергическая реакция, например, при остром инфаркте миокарда. Селективные антагонисты по отношению к А2а-рецепторам также могут повышать эффективность аденозина при непериодической наджелудочковой (суправентрикулярной) аритмии. Аденозин является модулятором множества аспектов функционирования почек, включая высвобождение ренина, скорость гломерулярной (клубочковой) фильтрации и почечный кровоток. Соединения, которые противодействуют воздействию аденозина на почки, являются защитными агентами для почек. Кроме того, антагонисты аденозиновых рецепторов А3 и/или А2B могут быть полезны при лечении астмы и других аллергических реакций или при лечении сахарного диабета и ожирения. Современное состояние исследований в области аденозиновых рецепторов отражает множество опубликованных документов, например, следующие публикации: Bioorganic & Medicinal Chemistry, 6, (1998), 619-641, Bioorganic & Medicinal Chemistry, 6, (1998), 707-719, J.Med.Chem., (1998), 41, 2835-2845, J.Med.Chem., (1998), 41, 3186-3201, J.Med.Chem., (1998), 41, 2126-2133, J.Med.Chem., (1999), 42, 706-721, J.Med.Chem., (1996), 39, 1164-1171, Arch.Pharm.Med. Chem., 332, 39-41, (1999), Am.J.Physiol, 276, H1113-1116, (1999) или Naunyn Schmied, Arch. Pharmacol. 362, 375-381, (2000). Целью настоящего изобретения является получение соединений формулы I самих по себе, применение соединений формулы I и их фармацевтически приемлемых солей для получения лекарственных средств, предназначенных для лечения заболеваний, связанных с аденозиновым А2 рецептором, их получение, лекарственные средства на основе соединения согласно настоящему изобретению и их получение, а также применение соединений формулы I для контроля или профилактики заболеваний, связанных с работой аденозиновой системы, например, таких как болезнь Альцгеймера, болезнь Паркинсона, болезнь Хантингтона, нейропротективное действие, шизофрения, беспокойство, боль, дефицит дыхания, депрессия, привыкание к наркотическим и лекарственным средствам, таким как амфетамин, кокаин, опиоиды, этанол, никотин, каннабиноиды или применение при астме, аллергических реакциях, гипоксии, ишемии, припадках и злоупотреблении алкоголем или наркотиками. Кроме того, соединения согласно настоящему изобретению могут быть полезны в качестве седативных средств, мышечных релаксантов, антипсихотических средств, противоэпилептических средств, противосудорожных средств и кардиопротекторных средств при таких заболеваниях, как, например, заболевания коронарной артерии и сердечная недостаточность. Наиболее предпочтительными показаниями в соответствии с настоящим изобретением являются такие, которые основаны на антагонистической активности в отношении А2А-рецептора и которые включают расстройства центральной нервной системы, например, лечение или профилактику болезни Альцгеймера, некоторые депрессивные нарушения или расстройства, наркоманию, лекарственное привыкание, нейропротективное действие и болезнь Паркинсона, а также нарушения и расстройства, связанные с дефицитом внимания и гиперактивностью (ADHD). При использовании в тексте настоящей заявки термин “низший алкил” означает насыщенную алкильную группу с линейной или разветвленной цепью, содержащую от 1 до 6 атомов углерода, например, такую как метил, этил, пропил, изопропил, н-бутил, изобутил, 2-бутил, трет-бутил и подобные группы. Термин “фармацевтически приемлемые кислотно-аддитивные соли” включает соли с неорганическими и органическими кислотами, такими как хлороводородная кислота, азотная кислота, серная кислота, фосфорная кислота, лимонная кислота, муравьиная кислота, фумаровая кислота, малеиновая кислота, уксусная кислота, янтарная кислота, винная кислота, метансульфоновая кислота, n-толуолсульфоновая кислота и подобными им кислотами. Предпочтительными соединениями являются такие соединения, где R1 представляет собой С5-С6-циклоалкил, замещенный группой CF3, низший алкил, -(СН2)nОН или -(СН2)n-О-низший алкил, например, следующие соединения: 3-(4-метокси-7-морфолин-4-ил-бензотиазол-2-ил)-1-метил-1-(4-трифторметилциклогексил)мочевина, (транс)-3-(4-метокси-7-морфолин-4-ил-бензотиазол-2-ил)-1-метил-1-(4-метилциклогексил)мочевина, (транс)-1-(4-гидроксиметилциклогексил)-3-(4-метокси-7-морфолин-4-ил-бензотиазол-2-ил)-1-метилмочевина, (транс)-1-(4-метоксиметилцикпогексил)-3-(4-метокси-7-морфолин-4-ил-бензотиазол-2-ил)-1-метилмочевина или (рац),(цис)-1-(3-гидроксиметилциклопентил)-3-(4-метокси-7-морфолин-4-ил-бензотиазол-2-ил)-1-метилмочевина. Кроме того, предпочтительными являются такие соединения, где R1 представляет собой 1-бицикло[2,2,1]гепт-2-ил, 1-(7-окса-бицикло[2,2,1]гепт-2-ил, 1-(5-экзо-гидроксибицикло[2,2,1]гепт-2-экзо-ил, 1-(5-экзо-гидроксибицикло[2,2,1]гепт-2-эндо-ил или 1-адамантан-1-ил, например, следующие соединения: 1-(эндо)-(рац)-бицикло[2,2,1]гепт-2-ил-3-(4-метокси-7-морфолин-4-ил-бензотиазол-2-ил)-1-метилмочевина, (экзо)-(+)-3-(4-метокси-7-морфолн-4-ил-бензотиазол-2-ил)-1-метил-1-(7-окса-бицикло[2,2,1]гепт-2-ил)мочевина, (экзо)-(-)-3-(4-метокси-7-морфолин-4-ил-бензотиазол-2-ил)-1-метил-1-(7-окса-бицикло[2,2,1]гепт-2-ил)мочевина, (рац)(эндо)-3-(4-метокси-7-морфолин-4-ил-бензотиазол-2-ил)-1-метил-1-(7-окса-бицикло[2,2,1]гепт-2-ил)мочевина, (рац)-1-(5-экзо-гидроксибицикло[2,2,1]гепт-2-экзо-ил)-3-(4-метокси-7-морфолин-4-ил-бензотиазол-2-ил)-1-метилмочевина, (рац)-1-(5-экзо-гидроксибицикло[2,2,1]гепт-2-эндо-ил)-3-(4-метокси-7-морфолин-4-ил-бензотиазол-2-ил)-1-метилмочевина или 1-адамантан-1-ил-3-(4-метокси-7-морфолин-4-ил-бензотиазол-2-ил)-1-метилмочевина. Примером соединений, в которых R1 и R2 вместе с атомом N образуют группу 8-окса-3-аза-бицикло [3,2,1] октан, является соединение (4-метокси-7-морфолин-4-ил-бензотиазол-2-ил)амид 8-окса-3-азабицикло[3,2,1]октан-3-карбоновой кислоты. Соединения формулы I согласно настоящему изобретению и их фармацевтически приемлемые соли могут быть получены в соответствии с методиками, хорошо известными из предшествующего уровня техники, например, с использованием способа, описанного ниже, этот способ включает: а) взаимодействие соединения формулы
с соединением формулы
с получением соединения формулы
где R1 и R2 имеют значения, приведенные выше, или б) взаимодействие соединения формулы
с соединением формулы
с получением соединения формулы
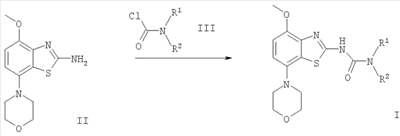
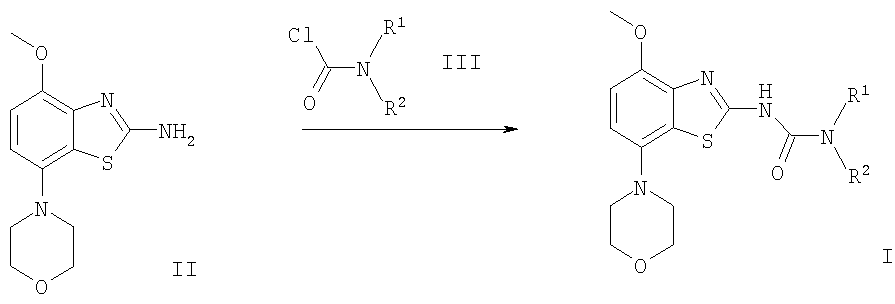
где R1 и R2 являются такими, как определено выше, L означает уходящую группу, такую как галоген, -O-фенил или O-низший алкил, и, если необходимо, превращение полученных соединений в фармацевтически приемлемые кислотно-аддитивные соли. В примерах 1-13 и на приведенных ниже схемах 1 и 2 получение соединений формулы I описано более подробно. Исходные вещества, которые представляют собой известные соединения, могут быть получены в соответствии с методиками, известными из предшествующего уровня техники. Получение соединений формулы I Промежуточное соединение 7-(морфолин-4-ил)-4-метоксибензотиазол-2-иламин (II) может быть получено в соответствии с методиками, раскрытыми в опубликованной международной заявке WO 01/97786. Получение соединений формулы (I) с использованием промежуточного соединения формулы (II) также описано в опубликованной международной заявке WO 01/97786. Один из способов получения соединений формулы (I) осуществляют в соответствии со схемой 1 следующим образом: к раствору соединения формулы (II) в дихлорметане последовательно добавляют основание, например, такое как пиридин или диизопропилэтиламин, и соединение формулы (III), затем полученный раствор перемешивают в течение приблизительно 45 мин при температуре окружающей среды. Добавляют насыщенный водный раствор бикарбоната натрия, полученную органическую фазу разделяют и высушивают. Схема 1 R1 и R2 являются такими, как описано выше. Другой способ получения соединений формулы (I) осуществляют следующим образом: к раствору производного соединения формулы (IV), которое может быть получено в соответствии с методиками, хорошо известным из предшествующего уровня техники и которые описаны в опубликованной международной заявке WO 01/97786, в инертном растворителе, например, таком как дихлорметан, последовательно добавляют основание, например, такое как пиридин или диизопропилэтиламин, и соединение формулы (V), затем полученный раствор перемешивают в течение приблизительно 45 минут при 45°С. После охлаждения до температуры окружающей среды добавляют насыщенный водный раствор бикарбоната натрия, полученную органическую фазу отделяют и высушивают. Схема 2 R1 и R2 являются такими, как описано выше, L означает уходящую группу, такую как галоген, -O-фенил или -O-низший алкил. Выделение и очистка соединений Выделение и очистка соединений и промежуточных соединений, описанных в тексте настоящей заявки, могут быть выполнены, если необходимо, с использованием любой подходящей методики разделения или очистки, например, такой как фильтрация, экстракция, кристаллизация, колоночная хроматография, тонкослойная хроматография, хроматография в толстом слое, препаративная хроматография низкого или высокого разрешения или жидкостная хроматография при высоком давлении, или с использованием комбинации этих методик. Конкретные иллюстрации использования подходящих методик разделения и выделения можно найти в разделе, посвященном синтезу и примерам конкретного выполнения ниже в тексте настоящей заявки. Однако, безусловно, могут быть использованы и другие эквивалентные методики разделения и выделения. Соли соединений формулы I Соединения формулы I могут быть основного характера, например, в тех случаях, когда остаток R содержит группу основного характера, например такую, как фрагмент алифатического или ароматического амина. В таких случаях соединения формулы I могут быть превращены в соответствующую аддитивную соль с кислотой (продукт присоединения кислоты). Превращение осуществляют посредством обработки по меньшей мере стехиометрическим количеством соответствующей кислоты, например, такой как хлороводородная кислота, бромоводородная кислота, серная кислота, азотная кислота, фосфорная кислота и подобные кислоты, и такой как органическая кислота, например, уксусная кислота, пропионовая кислота, гликолевая кислота, пировиноградная кислота, щавелевая кислота, яблочная кислота, малоновая кислота, янтарная кислота, малеиновая кислота, фумаровая кислота, винная кислота, лимонная кислота, бензойная кислота, коричная ( Аддитивные соли с кислотами соединений основного характера формулы I могут быть превращены в соответствующие свободные основания посредством обработки по меньшей мере стехиометрическим эквивалентом подходящего основания, например, такого как гидроксид натрия или калия, карбонат калия, бикарбонат натрия, аммиак, и тому подобного основания. Соединения формулы I и их фармацевтически приемлемые аддитивные соли с кислотами обладают ценными фармакологическими свойствами. А именно, было показано, что соединения согласно настоящему изобретению являются лигандами аденозинового рецептора и обладают высоким сродством по отношению к аденозиновому А2А-рецептору. Соединения были исследованы в соответствии с приведенными ниже методиками тестирования. Аденозиновый А2A-рецептор человека Аденозиновый А2А-рецептор человека рекомбинантно экспрессируют в клетках яичника китайского хомячка (СНО) с использованием системы экспрессии вируса semliki forest. Клетки собирают, дважды промывают посредством центрифугирования, гомогенизируют и снова промывают посредством центрифугирования. Промытый осадок мембранной фракции суспендируют в трис-буферном растворе (50 мМ), содержащем 120 мМ NaCl, 5 мМ KCl, 2 мМ CaCl2 и 10 мМ MgCl2 (pH 7,4) (буфер А). Исследование связывания [3H]-SCH-58261 (Dionisotti et al., 1997, Br. J. Pharmacol. 121, 353; 1 нМ) проводят в 96-луночных планшетах в присутствии 2,5 мкг мембранного белка, 0,5 мг Ysi-поли-1-лизин-SPA гранул и 0,1 Ед аденозиндеаминазы в конечном объеме буфера А, составляющем 200 мкл. Неспецифическое связывание определяют с использованием соединения того же класса – ксантинамина (ХАС; 2 мкМ). Соединения анализируют при 10 концентрациях от 10 мкМ до 0,3 нМ. Все исследования проводят в двух параллельных сериях, и анализ повторяют по меньшей мере два раза. Планшеты, в которых проводят исследование, инкубируют в течение 1 часа при комнатной температуре перед центрифугированием, и затем связанный лиганд определяют с использованием сцинтилляционного счетчика «Packard Topcount». Значения IC50 рассчитывают с использованием программы нелинейной аппроксимации, а значения Ki рассчитывают по уравнению Ченга-Прусоффа. Значения pKi для соединений согласно настоящему изобретению находятся в интервале от 7,3 до 8,5, как показано в приведенной ниже таблице.
Соединения формулы I и фармацевтические соли соединений формулы I могут быть использованы в качестве лекарственных средств, например, в виде фармацевтических препаратов. Фармацевтические препараты могут быть введены перорально, например, в виде таблеток, таблеток с покрытием, драже, твердых и мягких желатиновых капсул, растворов, эмульсий или суспензий. Кроме того, введение эффективно может быть осуществлено ректально, например, в виде суппозиториев, парентерально, например, в виде растворов для инъекций. Соединения формулы I могут быть использованы вместе с фармацевтически инертными, неорганическими или органическими носителями для получения фармацевтических композиций. В качестве носителей для таблеток, таблеток с покрытием, драже и твердых желатиновых капсул могут быть использованы, например, лактоза, кукурузный крахмал или его производные, тальк, стеариновые кислоты или их соли и тому подобные соединения. Подходящие носители для мягких желатиновых капсул представляют собой, например, растительные масла, воски, жиры, полутвердые и жидкие полиолы и тому подобные соединения. Однако в зависимости от природы активного соединения в случае мягких желатиновых капсул носитель может и не использоваться. Подходящие носители для получения растворов и сиропов представляют собой, например, воду, полиолы, глицерин, растительное масло и тому подобные соединения. Подходящие носители для суппозиториев представляют собой, например, природные или отвержденные масла, воски, жиры, полужидкие или жидкие полиолы и тому подобные соединения. Фармацевтические композиции, кроме того, могут содержать консерванты, солюбилизаторы, стабилизаторы, агенты, улучшающие смачиваемость, эмульгаторы, подсластители, подкрашивающие вещества, агенты, улучшающие вкус и запах, соли для регулирования осмотического давления, буферы, маскирующие агенты или антиоксиданты. Также они могут содержать и другие терапевтически значимые соединения. Лекарственные средства, содержащие соединение формулы I или его фармацевтически приемлемую соль и терапевтически инертный носитель, также являются объектом настоящего изобретения, так же как и способ их получения, который включает введение одного или более соединения формулы I и/или фармацевтически приемлемой аддитивной соли с кислотой и, если необходимо, одного или более терапевтически значимого вещества в состав лекарственного препарата, вместе с одним или более терапевтически инертным носителем. В соответствии с настоящим изобретением соединения формулы I, а также их фармацевтически приемлемые соли можно использовать для контроля или профилактики заболеваний, связанных с агонистической активностью в отношении аденозинового рецептора, например, таких как болезнь Альцгеймера, болезнь Паркинсона, болезнь Хантингтона, нейропротективное действие, шизофрения, беспокойство, боль, дефицит дыхания, депрессия, астма, аллергические реакции, гипоксия, ишемия, припадки и злоупотребление алкоголем или наркотиками. Кроме того, соединения согласно настоящему изобретению могут быть полезны в качестве седативных средств, мышечных релаксантов, антипсихотических средств, противоэпилептических средств, противосудорожных средств и кардиопротекторных средств и для получения соответствующих лекарственных средств. Наиболее подходящие показания согласно настоящему изобретению – это показания, которые включают нарушения или расстройства центральной нервной системы, например, такие показания как лечение или профилактика некоторых депрессивных нарушений или расстройств, нейропротективное действие и болезнь Паркинсона. Дозировка может варьироваться в широких пределах и будет, безусловно, регулироваться в зависимости от индивидуальных требований в каждом конкретном случае. В случае перорального введения дозировка для взрослых может варьироваться от приблизительно 0,01 мг до приблизительно 1000 мг в день соединения общей формулы I или соответствующего количества его фармацевтически приемлемой соли. Дневная дозировка может быть введена в виде одной дозы или разделенной на несколько доз и, в дополнение к этому, может быть превышен верхний предел, если обнаружится, что это необходимо по показаниям. Изготовление таблеток (влажное гранулирование)
Методика получения 1. Смешивают соединения по позициям 1, 2, 3 и 4 и проводят гранулирование, используя очищенную воду. 2. Высушивают гранулы при 50°С. 3. Пропускают гранулы через подходящее устройство для размола. 4. Добавляют вещество согласно позиции 5 и перемешивают в течение трех минут, затем прессуют, используя подходящий пресс. Получение капсул
Методика приготовления 1. Смешивают соединения по позициям 1, 2 и 3 в подходящем смесителе в течение 30 минут. 2. Добавляют соединения согласно позициям 4 и 5 и смешивают в течение 3 минут. 3. Помещают в подходящие капсулы. Приведенные ниже подготовительные примеры и примеры служат только для иллюстрации изобретения и, как предполагается, не ограничивают объем настоящего изобретения. Пример 1 3-(4-Метокси-7-морфолин-4-ил-бензотиазол-2-ил)-1-метил- 1-(4-трифторметилциклогексил)мочевина 4-Метокси-7-морфолин-4-ил-бензотиазол-2-иламин сначала подвергают взаимодействию с фенилхлороформиатом таким образом, как описано в отношении бензилового эфира (4-метокси-7-фенил-бензотиазол-2-ил)карбаминовой кислоты в опубликованной международной заявке WO 01/97786 и затем с метил-(4-трифторметилциклогексил)амином. После обычного выделения, экспресс-хроматографии (силикагель, элюент – смесь дихлорметан/метанол) и окончательного упаривания растворителя получают указанное в заголовке соединение в виде белых кристаллов (выход 96%), т.пл. 157-167°С. Масс-спектр: m/e=473(M+H+). В соответствии с общей методикой, описанной в примере 1, получают соединения согласно примерам 2-12. Пример 2 (транс)-3-(4-Метокси-7-морфолин-4-ил-бензотиазол-2-ил)-1-метил-1-(4-метилциклогексил)мочевина Используя 4-метокси-7-морфолин-4-ил-бензотиазол-2-иламин, фенилхлороформиат и (транс)-метил-(4-метилциклогексил)амин, указанное в заголовке соединение получают в виде не совсем белых кристаллов (выход 70%), т.пл. 171-173°С. Масс-спектр: m/e=420(M+H+). Пример 3 (транс)-1-(4-Гидроксиметилциклогексил)-3-(4-метокси-7-морфолин-4-ил-бензотиазол-2-ил)-1-метилмочевина Используя 4-метокси-7-морфолин-4-ил-бензотиазол-2-иламин, фенилхлорформиат и (транс)-(4-гидроксиметилциклогексил)метиламин, указанное в заголовке соединение получают в виде светло-коричневых кристаллов (выход 42%). Масс-спектр: m/e=436(M+H+), т.пл. 190°С (с разл.). Пример 4 (транс)-1-(4-Метоксиметилциклогексил)-3-(4-метокси-7-морфолин-4-ил-бензотиазол-2-ил)-1-метилмочевина Используя 4-метокси-7-морфолин-4-ил-бензотиазол-2-иламин, фенилхлорформиат и (транс)-(4-метоксиметилциклогексил)метиламин, указанное в заголовке соединение получают в виде белого твердого вещества (выход 73%), т.пл. 141-143°С. Масс-спектр: m/е=450(M+H+). Пример 5 (рац),(цис)-1-(3-Гидроксиметилциклопентил)-3-(4-метокси-7-морфолин-4-ил-бензотиазол-2-ил)-1-метилмочевина Используя 4-метокси-7-морфолин-4-ил-бензотиазол-2-иламин, фенилхлорформиат и (рац)-(цис)-(3-метиламиноциклопентил)метанол, указанное в заголовке соединение получают в виде светло-желтого твердого вещества (выход 58%), т.пл. 115-118°С. Масс-спектр: m/е=421(М+Н+). Пример 6 1-(эндо)-(рац)-Бицикло[2,2,1]гепт-2-ил-3-(4-метокси-7-морфолин-4-ил-бензотиазол-2-ил)-1-метилмочевина Используя 4-метокси-7-морфолин-4-ил-бензотиазол-2-иламин, фенил хлороформиат и (эндо)-(рац)-(бицикло[2,2,1]гепт-2-ил)метиламин, указанное в заголовке соединение получают в виде белого твердого вещества (выход 65%), т.пл. 199-202°С. Масс-спектр: m/е=417(M+H+). Пример 7 (экзо)-(+)-3-(4-Метокси-7-морфолин-4-ил-бензотиазол-2-ил)-1-метил-1-(7-окса-бицикло[2,2,1]гепт-2-ил)мочевина Используя 4-метокси-7-морфолин-4-ил-бензотиазол-2-иламин, фенилхлорформиат и (-)-(экзо)метил-(7-оксабицикло[2,2,1]гепт-2-ил)амин, указанное в заголовке соединение получают в виде светло-желтых кристаллов (выход 82%), т.пл. 202-204°С. Масс-спектр: m/e=419(M+H+). Пример 8 (экзо)-(-)-3-(4-Метокси-7-морфолин-4-ил-бензотиазол-2-ил)-1-метил-1-(7-окса-бицикло[2,2,1]гепт-2-ил)мочевина Используя 4-метокси-7-морфолин-4-ил-бензотиазол-2-иламин, фенилхлороформиат и (+)-(экзо)метил-(7-оксабицикло[2,2,1]гепт-2-ил)амин, указанное в заголовке соединение получают в виде светло-желтых кристаллов (выход 82%), т.пл. 202-203°С. Масс-спектр: m/e=419(M+H+). Пример 9 (рац)-(эндо)-3-(4-Метокси-7-морфолин-4-ил-бензотиазол-2-ил)-1-метил-1-(7-окса-бицикло[2,2,1]гепт-2-ил)мочевина Используя 4-метокси-7-морфолин-4-ил-бензотиазол-2-иламин, фенилхлорформиат и (рац)-(эндо)метил-(7-оксабицикло[2,2,1]гепт-2-ил)амин, указанное в заголовке соединение получают в виде белых кристаллов (выход 47%), т.пл. 191-193°С. Масс-спектр: m/e=419(M+H+). Пример 10 (рац)-1-(5-экзо-Гидрокси-бицикло[2,2,1]гепт-2-экзо-ил)-3-(4-метокси-7-морфолин-4-ил-бензотиазол-2-ил)-1-метилмочевина Используя 4-метокси-7-морфолин-4-ил-бензотиазол-2-иламин, фенилхлорформиат и 5-(экзо)метиламино-бицикло[2,2,1]гептан-2-(экзо)-ол, указанное в заголовке соединение получают в виде белых кристаллов (выход 10%). Масс-спектр: m/e=433(М+Н+), т.пл. 189°С. Пример 11 (рац)-1-(5-экзо-Гидроксибицикло[2,2,1]гепт-2-эндо-ил)-3-(4-метокси-7-морфолин-4-ил-бензотиазол-2-ил)-1-метилмочевина Используя 4-метокси-7-морфолин-4-ил-бензотиазол-2-иламин, фенилхлорформиат и 5-(эндо)метиламинобицикло[2,2,1]гептан-2-(экзо)-ол, указанное в заголовке соединение получают в виде белых кристаллов (выход 12%). Масс-спектр: m/e=433(М+Н+), т.пл. 189°С. Пример 12 1-Адамантан-1-ил-3-(4-метокси-7-морфолин-4-ил-бензотиазол-2-ил)-1-метилмочевина Используя 4-метокси-7-морфолин-4-ил-бензотиазол-2-иламин, фенил хлороформиат и адамантан-1-ил-метиламин, указанное в заголовке соединение получают в виде белых кристаллов (выход 76%), т.пл. 165-176°С. Масс-спектр: m/е=458(M+H+). Пример 13 8-Окса-3-аза-бицикло[3,2,1]октан-3-карбоновой кислоты (4-метокси-7-морфолин-4-ил-бензотиазол-2-ил)амид Используя 4-метокси-7-морфолин-4-ил-бензотиазол-2-иламин, фенил хлороформиат и 8-окса-3-аза-бицикло[3,2,1]октан, указанное в заголовке соединение получают в виде белых кристаллов (выход 67%), т.пл. 229-231°С. Масс-спектр: m/e=405(М+Н+). Промежуточные соединения: Пример 14 Метил-(4-трифторметилциклогексил)амин Указанное в заголовке соединение получают из трифторметилциклогексиламина (патент DE 2630562) посредством введения этоксикарбонильной группы в стандартных условиях (этилхлорформиат/диизопропилэтиламин) и заключительного восстановления с использованием алюмогидрида лития в тетрагидрофуране в стандартных условиях, получая при этом указанное в заголовке соединение в виде светло-желтого маслянистого вещества. Масс-спектр: m/e=168(М+Н+). Указанное в заголовке соединение может быть получено в виде его кристаллического гидрохлорида при использовании этанольного раствора хлороводорода. Белые кристаллы, т.пл. 202-204°С. Пример 16 1-Метил-4-(цис)метиламино-циклогексанол
Указанное в заголовке соединение может быть получено из (цис)-4-амино-1-метилциклогексанола (WO 9607657) в соответствии с точно такой же методикой, как описано в отношении метил-(4-трифторметилциклогексил)амина. Белые кристаллы, т.пл. 123-124°С, масс-спектр: m/е=144(М+Н+). Пример 15 (-)-(экзо)-Метил-(7-оксабицикло[2,2,1]гепт-2-ил)амингидрохлорид
Указанное в заголовке соединение получают из (рац)-(экзо)метил-(7-окса-бицикло[2,2,1]гепт-2-ил)амина (J.Med.Chem. 1971, 14, 698) посредством бензилирования в стандартных условиях (бензилбромид/диизопропил-эталамин) с последующим хиральным разделением посредством препаративной хиральной ЖХВР (жидкостная хроматография высокого разрешения («Chiralpak AD», элюент – 2% изопропанола в гептане) и заключительным удалением защитной группы в стандартных условиях (хлорэтилхлороформиат/метанол), получая при этом указанное в заголовке соединение в виде белого твердого вещества. [ Энантиомер (+)-(экзо)метил-(7-окса-бицикло[2,2,1]гепт-2-ил)амин гидрохлорид получают из ранее элюированных фракций этого же процесса разделения.
Формула изобретения
1. Соединения общей формулы
в которой R1 представляет собой С5-С6-циклоалкил, замещенный группой CF3, низший алкил, -(СН2)nОН или -(СН2)n-O-низший алкил, или означает 1-бицикло[2,2,1]гепт-2-ил, 1-(7-окса-бицикло[2,2,1]гепт-2-ил, 1-(5-экзо-гидроксибицикло[2,2,1]гепт-2-экзо-ил, 1-(5-экэо-гидроксибицикло[2,2,1]гепт-2-эндо-ил, или означает 1-адамантан-1-ил; R2 представляет собой низший алкил; или R1 и R2 вместе с атомом N образуют группу 8-окса-3-аза-бицикло [3,2,1] октан, n означает 0 или 1; и фармацевтически приемлемые соли этих соединений. 2. Соединения формулы I по п.1, где R1 представляет собой С5-С6 циклоалкил, замещенный группой CF3, низший алкил, -(CH2)nОН или -(СН2)nО-низший алкил. 3. Соединения формулы I по п.2, которые представляют собой следующие соединения: 3-(4-метокси-7-морфолин-4-ил-бензотиазол-2-ил)-1-метил-1-(4-трифторметилциклогексил)мочевина, (транс)-3-(4-метокси-7-морфолин-4-ил-бензотиазол-2-ил)-1-метил-1-(4-метилциклогексил)мочевина, (транс)-1-(4-гидроксиметилциклогексил)-3-(4-метокси-7-морфолин-4-ил-бензотиазол-2-ил)-1-метилмочевина, (транс)-1-(4-метоксиметилциклогексил)-3-(4-метокси-7-морфолин-4-ил-бензотиазол-2-ил)-1-метилмочевина или (рац),(цис)-1-(3-гидроксиметилциклопентил)-3-(4-метокси-7-морфолин-4-ил-бензотиазол-2-ил)-1-метилмочевина. 4. Соединения формулы I по п.1, где R1 представляет собой 1-бицикло[2,2,1]гепт-2-ил, 1-(7-окса-бицикло[2,2,1]гепт-2-ил, 1-(5-экзо-гидроксибицикло[2,2,1]гепт-2-экзо-ил), 1-(5-экзо-гидроксибицикло[2,2,1]гепт-2-эндо-ил) или 1-адамантан-1-ил. 5. Соединения формулы I по п.4, которые представляют собой следующие соединения: 1-(эндо)-(рац)-бицикло[2,2,1]гепт-2-ил-3-(4-метокси-7-морфолин-4-ил-бензотиазол-2-ил)-1-метилмочевина, (экзо)-(+)-3(4-метокси-7-морфолин-4-ил-бензотиазол-2-ил)-1-метил-1-(7-оксабицикло[2,2,1]гепт-2-ил)мочевина, (экзо)-(-)-3-(4-метокси-7-морфолин-4-ил-бензотиазол-2-ил)-1-метил-1-(7-окса-бицикло[2,2,1]гепт-2-ил)мочевина, (рац)-(эндо)-3-(4-метокси-7-морфолин-4-ил-бензотиазол-2-ил)-1-метил-1-(7-окса-бицикло[2,2,1]гепт-2-ил)мочевина, (рац)-1-(5-экзо-гидроксибицикло[2,2,1]гепт-2-экзо-ил)-3-(4-метокси-7-морфолин-4-ил-бензотиазол-2-ил)-1-метилмочевина, (рац)-1-(5-экзо-гидроксибицикло[2,2,1]гепт-2-эндо-ил)-3-(4-метокси-7-морфолин-4-ил-бензотиазол-2-ил)-1-метилмочевина или 1-адамантан-1-ил-3-(4-метокси-7-морфолин-4-ил-бензотиазол-2-ил)-1-метилмочевина. 6. Соединения формулы I по п.1, где R1 и R2 вместе с атомом N образуют группу 8-окса-3-азабицикло[3,2,1]октан. 7. Соединения формулы I по п.6, где соединение представляет собой (4-метокси-7-морфолин-4-ил-бензотиазол-2-ил)амид 8-окса-3-аза-бицикло[3,2,1]октан-3-карбоновой кислоты. 8. Лекарственное средство, обладающее свойствами лиганда аденозинового рецептора А2А, содержащее одно или более соединение по любому из пп.1-7 и фармацевтически приемлемые наполнители. 9. Лекарственное средство по п.8 для лечения заболеваний, связанных с аденозиновым рецептором А2А.
|
||||||||||||||||||||||||||||||||||||||||||||||||||||||||||||||||||||||||||||||||||||||||||||||||||||||||||||||||||||||||||||||||||||











-фенилакриловая) кислота, миндальная кислота, метансульфоновая кислота, этансульфоновая кислота, n-толуолсульфоновая кислота, салициловая кислота и подобные кислоты. Обычно свободное основание растворяют в инертном органическом растворителе, например, таком как диэтиловый эфир, этилацетат, хлороформ, этанол или метанол и подобном им, и добавляют кислоту в подобном растворителе. Температуру поддерживают в интервале от 0°С до 50°С. Полученная соль выпадает в осадок спонтанно или может быть выделена из раствора с использованием менее полярного растворителя.


]D=-6,2 (с=0,23, дихлорметан).