Патент на изобретение №2348609
|
|||||||||||||||||||||||||||||||||||||||||||||||||||||||||||||||||||||||||||||||||||||||||||||||||||||||||||||||||||||||||||||||||
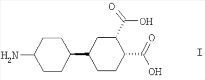
(54) (1R*2S*4R*)-4-(4-АМИНОФЕНИЛ)-ЦИКЛОГЕКСАН-1,2-ДИКАРБОНОВАЯ КИСЛОТА
(57) Реферат:
Изобретение относится к области органической химии. Предлагается новое соединение, а именно (1R*2S*4R*)-4-(4-аминофенил)-циклогексан-1,2-дикарбоновая кислота формулы I, которая может быть использована в химической промышленности для получения полиимидов. Такие полиимиды находят применение в производстве жидких кристаллов, оптически нелинейных буферных слоев, материалов с низкой диэлектрической проницаемостью. 3 табл.
Изобретение относится к области получения новых полуароматических аминодикарбоновых кислот, которые могут быть использованы в химической промышленности для получения гомополиконденсацией, а также сополиконденсацией неописанных ранее полиимидов. Такие полиимиды находят применение в производстве жидких кристаллов, оптически нелинейных буферных слоев, материалов с низкой диэлектрической проницаемостью. Известны полиимиды на основе диангидридов цис- и транс-1,2,3,4-циклогексантетракарбоновой кислоты и ароматических диаминов.
Все полученные полиимиды термически устойчивы при температуре более 415°С (5% потеря веса). Полиимидные пленки имеют модуль растяжения 2,1-3,6 гПа, прочность на разрыв 42-116 мПа, полностью бесцветны, транс-полиимиды имеют более низкие температуры стеклования (Frang X. et al. Polymer. 2004. Vol.45. P.2539-2549). Необходимым условием образования высокомолекулярных полимеров при линейной полимеризации является эквивалентность реагирующих между собой исходных соединений. Задачей, решаемой настоящим изобретением, является получение (1R*2S*4R*)-4-(4-аминофенил)-циклогексан-1,2-дикарбоновой кислоты как мономера для получения полуароматических полиимидов, содержащей в своей структуре различные функциональные группы, способные взаимодействовать друг с другом. Цвиттер-ионная структура мономера позволяет проводить высокотемпературную поликонденсацию без выделения промежуточных преполимеров, что существенно упрощает технологическую схему производства полиимидов. Заявляется (1R*2S*4R*)-4-(4-аминофенил)-циклогексан-1,2-дикарбоновая кислота формулы:
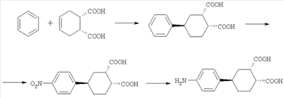
Данное соединение получают реакцией алкилирования бензола (1R*2S*)-4-циклогексен-1,2-дикарбоновой кислотой, нитрованием полученной (1R*2S*4R*)-4-фенилциклогексан-1,2-дикарбоновой кислоты или смеси (1R*2S*4R*) и (1R*2S*4S*)-4-фенилциклогексан-1,2-дикарбоновых кислот, получающейся после алкилирования, азотной кислотой с последующим восстановлением образующейся (1R*2S*4R)-4-(4-нитрофенил)-циклогексан-1,2-дикарбоновой кислоты по схеме: Алкилирование бензола (1R*2S*)-4-циклогексен-1,2-дикарбоновой кислотой проводят в присутствии безводного хлористого алюминия при 45-75°С. Нитрование (1R*2S*4R*)-4-фенилциклогексан-1,2-дикарбоновой кислоты или смеси (1R*2S*4R*) и (1R*2S*4S*)-4-фенилциклогексан-1,2-дикарбоновых кислот, получающейся после алкилирования, проводится 100%-ной азотной кислотой в ледяной уксусной кислоте при температуре 70°С. Восстановление (1R*2S*4R*)-4-(4-нитрофенил)-циклогексан-1,2-дикарбоновой кислоты проводят гидразином на катализаторе Ni-Ренея. Изобретение иллюстрируется следующими примерами. Пример 1. К 50 г (0,64 моль) осушенного бензола прибавляют при комнатной температуре 17 г (0,1 моль) (1R*2S*)-4-циклогексен-1,2-дикарбоновой кислоты и 33,5 г (0,25 моль) безводного хлористого алюминия и нагревают в течение трех часов при 45°С при постоянном перемешивании. Затем к реакционной массе при охлаждении прибавляют 50 мл соляной кислоты (1,098 г/см3) и отгоняют бензол с водяным паром. Выпавшую кислоту фильтруют и промывают несколько раз холодной водой. Высушенный осадок представляет собой смесь (1R*2S*4R*) и (1R*2S*4S*)-4-фенилциклогексан-1,2-дикарбоновых кислот, которая без дополнительной очистки может быть использована для получения (1R*2S*4R*)-4-(4-нитрофенил)-циклогексан-1,2-дикарбоновой кислоты. Для получения чистой (1R*2S*4R*)-4-фенилциклогексан-1,2-дикарбоновой кислоты смесь кристаллизуют из 70% водной уксусной кислоты. Выпавший осадок фильтруют, несколько раз промывают небольшими количествами 70% уксусной кислоты и сушат при температуре 70-80°С. Получают 16,3 г (0,066 моль) (1R*2S*4R*)-4-фенилциклогексан-1,2-дикарбоновой кислоты. Выход 66%. Температура плавления 173-176°С. 1Н ЯМР ([2Н6] ДМСО) ИК, см-1: 2648, 2575 (ОН), 1710, 1698 (С=O), 1598, 1493, 1450 (Ar), 1255 (C-O), 937 (ОН), 743 (Ar). Примеры 2-4. Алкилирование бензола (1R*2S*)-4-циклогексен-1,2-дикарбоновой кислотой осуществляют аналогично примеру 1. Условия и результаты реакций приведены в таблице 1. Пример 5. К 38 мл ледяной уксусной кислоты прибавляют 12 мл азотной кислоты (d=1,513 г/см3) и перемешивают в течение одной минуты, при этом смесь разогревается до 40°С. Вносят 2,5 г (0,01 моль) (1R*2S*4R*)-4-фенилциклогексан-1,2-дикарбоновой кислоты, нагревают до 70°С и перемешивают в течение шести часов. Затем реакционную массу охлаждают. Выпавший осадок фильтруют и промывают на фильтре 10 мл ледяной уксусной кислоты и 100 мл воды. Полученный осадок растворяют в 200 мл 1% водного раствора гидроксида калия, нагревают до 50°С и фильтруют от нерастворившегося осадка. Фильтрат нагревают до 90°С и добавляют 5 мл соляной кислоты (1,198 г/см3). Выпавший осадок фильтруют горячим (80-90°С), промывают горячей водой и сушат при 50-60°С. Получают 1,96 г (0,0067 моль) (1R*2S*4R*)-4-(4-нитрофенил)-циклогексан-1,2-дикарбоновой кислоты. Выход 67%. Температура плавления 203-205°С. 1Н ЯМР ([2Н6] ДМСО) ИК, см-1: 2666 (ОН), 1696 (С=0), 1595 (Ar), 1516 (NO2), 1345 (NO2), 1260 (C-O), 939 (OH). Примеры 6-13. Нитрование (1R*2S*4R)-4-фенилциклогексан-1,2-дикарбоновой кислоты осуществляют аналогично примеру 5. Условия и результаты реакций приведены в таблице 2. Пример 14. К 39 мл ледяной уксусной кислоты прибавляют 11 мл азотной кислоты (d=1,513 г/см3) и перемешивают в течение одной минуты, при этом смесь разогревается до 40°С. Вносят 5 г (0,02 моль) смеси (1R*2S*4R*) и (1R*2S*4S*)-4-фенилциклогексан-1,2-дикарбоновых кислот, получающейся после алкилирования, нагревают до 70°С и перемешивают в течение пяти часов. Затем реакционную массу охлаждают. Выпавший осадок фильтруют и промывают на фильтре 10 мл ледяной уксусной кислоты и 100 мл воды. Полученный осадок растворяют в 150 мл 1% водного раствора гидроксида калия, нагревают до 50°С и фильтруют от нерастворившегося осадка. Фильтрат нагревают до 90°С и добавляют 4 мл соляной кислоты (1,198 г/см3). Выпавший осадок фильтруют горячим (80-90°С), промывают горячей водой и сушат при 50-60°С. Получают 1,11 г (0,0038 моль) (1R*2S*4R*)-4-(4-нитрофенил)-циклогексан-1,2-дикарбоновой кислоты. Выход 38%. Примеры 15-19. Нитрование смеси (1R*2S*4S*) и (1R*2S*4R*)-4-фенилциклогексан-1,2-дикарбоновых кислот осуществляют аналогично примеру 14. Условия и результаты реакций приведены в таблице 3. Пример 20. В 100 мл воды растворяют 4,78 г (0,085 моль) гидроксида калия и 10 г (0,034 моль) (1R*2S*4R*)-4-(4-нитрофенил)-циклогексан-1,2-дикарбоновой кислоты и фильтруют от не растворившегося осадка. Фильтрат переносят в колбу и нагревают до 60°С. Реакцию проводят в течение трех часов, периодически добавляя по 0,5 г катализатора Ni-Ренея и 2 мл 70%-ного раствора гидразингидрата. Затем смесь охлаждают и фильтруют от катализатора. Полученный раствор подкисляют 5% раствором HCl до тех пор, пока выпавший продукт не начнет растворяться. Выпавший осадок быстро фильтруют и сушат на воздухе в течение суток. Полученный продукт растворяют в минимальном количестве соляной кислоты (d=1,018 г/см3) и фильтруют от не растворившегося осадка. Фильтрат подщелачивают 10%-ным раствором ацетата натрия до нейтрализации всей соляной кислоты. Осадок сушат при температуре 50°С. Получают 7,78 г (0,03 моль) (1R*2S*4R*)-4-(4-аминофенил)-циклогексан-1,2-дикарбоновой кислоты. Выход 87%. Температура плавления >300°С. 1Н ЯМР ([2Н6] ДМСО) ИК, см-1: 3378, 3303 (NH2), 2622 (OH), 1717 (C=O), 1626 (NH2), 1513 (Ar), 1191 (C-O), 933 (OH), 821 (Ar).
Формула изобретения
(1R*2S*4R)-4-(4-аминофенил)-циклогексан-1,2-дикарбоновая кислота формулы
|
|||||||||||||||||||||||||||||||||||||||||||||||||||||||||||||||||||||||||||||||||||||||||||||||||||||||||||||||||||||||||||||||||





, J (Гц): 1,4 (1Н, m); 1,7 (2Н, m); 2,0 (2Н, m); 2,2 (1Н, m); 2,6 (1Н, m); 3,1 (1Н, m); 3,4 (1Н, m); 7,2 (2Н, t, J=8); 7,3 (3H, d, J=8); 12,1 (2Н, s).