|
|
(21), (22) Заявка: 2005128956/15, 08.10.2003
(24) Дата начала отсчета срока действия патента:
08.10.2003
(30) Конвенционный приоритет:
25.03.2003 EP PCT/EP03/03096
(43) Дата публикации заявки: 27.04.2006
(46) Опубликовано: 10.03.2009
(56) Список документов, цитированных в отчете о поиске:
RU 2169727 С2, 27.06.2001. WO 94/14780 A1, 07.07.1994. WO 95/31987 A1, 30.11.1995.
(85) Дата перевода заявки PCT на национальную фазу:
25.10.2005
(86) Заявка PCT:
EP 03/011138 (08.10.2003)
(87) Публикация PCT:
WO 2004/084906 (07.10.2004)
Адрес для переписки:
191186, Санкт-Петербург, а/я 230, “АРС-ПАТЕНТ”, пат.пов. С.В.Новоселовой
|
(72) Автор(ы):
ДОБЛЬХОФЕР Роберт (DE), ТЕГТМАЙЕР Франк (DE)
(73) Патентообладатель(и):
ВАЗОФАРМ ГмбХ (DE)
|
(54) ПРИМЕНЕНИЕ ПРОИЗВОДНЫХ ПТЕРИДИНА ДЛЯ ЛЕЧЕНИЯ ПОВЫШЕННОГО ВНУТРИЧЕРЕПНОГО ДАВЛЕНИЯ, ВТОРИЧНОЙ ИШЕМИИ И ЗАБОЛЕВАНИЙ, СВЯЗАННЫХ С ПОВЫШЕННЫМ УРОВНЕМ ЦИТОТОКСИЧЕСКИХ РЕАКЦИОННОСПОСОБНЫХ СОЕДИНЕНИЙ КИСЛОРОДА
(57) Реферат:
Изобретение относится к области медицины и фармацевтики и касается применения соединения общей формулы 1a, 1b для получения фармацевтической композиции для лечения повышенного внутричерепного давления и вторичного повреждения головного мозга. Изобретение позволяет реализовать указанное назначение. 4 н. и 9 з.п. ф-лы, 3 ил., 4 табл.


Область техники
Настоящее изобретение относится к применению производных птеридина для лечения повышенного внутричерепного давления и/или вторичной ишемии. В частности, эти производные птеридина предложены для эффективного лечения повышенного внутричерепного давления, вызванного закрытой черепно-мозговой травмой (ЧМТ). Изобретение также относится к применению производных птеридина для лечения расстройства, связанного с повышенным уровнем цитотоксических реакционно-способных соединений кислорода.
Уровень техники
Травматическое повреждение головного мозга (ТПГМ) остается важной проблемой здравоохранения в глобальном масштабе. В США среди населения, обратившихся в больницы, распространенность закрытых черепно-мозговых травм составляет примерно 200 на 10000 человек, а распространенность проникающего повреждения головы составляет примерно 12 на 10000 человек. Это дает примерно 500000 новых случаев ежегодно, значительная доля которых сопровождается довольно длительной нетрудоспособностью.
С диагностической точки зрения различают открытые и закрытые ЧМТ. Открытой ЧМТ считают повреждение, при котором мозговые оболочки (Dura mater) подвергаются механическому разрушению, и головной мозг находится в контакте с окружающей средой через это отверстие. Часто открытая ЧМТ связана с выходом ликвора и продуктов разрушения ткани головного мозга. При закрытой ЧМТ свод черепа остается неповрежденным, и первичное повреждение головного мозга (травма) характеризуется местными поражениями, такими как контузии или гематомы, и/или диффузным повреждением ткани головного мозга. Это первичное повреждение головного мозга вместе с возможным угнетением сердечно-сосудистой и дыхательной системы сопровождается вторичными повреждениями, в частности некрозом, апоптозом, отеком (сосудистого и/или клеточного происхождения), вторичным кровотечением, изменениями объема циркулирующей крови головного мозга, нарушенной саморегуляцией кровообращения головного мозга и ишемией. Отек, кровотечение и увеличение объема циркулирующей крови головного мозга как процессы, требующие пространства, приводят к повышению внутричерепного давления в связи с отсутствием компенсации объема вследствие того, что свод черепа не поврежден. Это повышение внутричерепного давления (ПВД) может, в свою очередь, приводить в результате к возможному острому угнетению дыхания и поэтому само по себе представляет угрозу для жизни. Кроме того, повышение внутричерепного давления может также приводить к последующим вторичным повреждениям головного мозга, таким как разрушение аксонов и дендритов нервных клеток вследствие сдвигающих усилий в результате ПВД и, следовательно, к необратимым перманентным расстройствам функции головного мозга сенсорного, моторного и умственного типа.
Вплоть до настоящего времени неизвестны лекарства, которые можно применять для снижения внутричерепного давления или для уменьшения вредных эффектов, связанных с повышением внутричерепного давления. Фармацевтические подходы, которые описаны в связи с черепно-мозговыми травмами, относятся исключительно к предупреждению гибели клеток, в частности, гибели нейронов, которая встречается как вторичное повреждение головного мозга.
Например, в патенте США 5409935 описано применение производных ксантина для лечения вторичного повреждения нервных клеток и функциональных расстройств после черепно-мозговых травм посредством ингибирования образования свободных радикалов, повреждающих клетки. В этом патенте США раскрыты производные ксантина, которые осуществляют эффективное ингибирование образования свободных радикалов в периферических макрофагах и в культурах активированных клеток микроглии головного мозга, то есть именно в тех двух типах клеток, активацию которых наблюдали при множестве нейропатологических процессов, которые сопровождаются гибелью мозговой ткани в процессе посттравматического повреждения головного мозга.
В немецких выложенных патентных заявках 19740785 и 19754573, а также в заявке РСТ WO 99/29346 раскрыто комбинированное применение антагонистов рецепторов 5-HT1A и антагонистов кальциевых каналов для лечения апоплексии головного мозга и черепно-мозговой травмы. Благодаря этому подходу защитный эффект антагонистов рецепторов 5-HT1A, таких как дигидропиридины, и антагонистов кальциевых каналов, таких как 2-аминометилхроманы, которые блокируют кальциевые каналы L-типа нейронов, улучшен согласно этим публикациям. В WO 02/069972 раскрыты соединения, представляющие собой триазолы, которые также указаны как специфичные антагонисты рецептора 5-HT1A и, следовательно, полезны при профилактике и терапии нейродегенеративных заболеваний, травмы головного мозга и ишемии головного мозга.
В патентах США 6469054 и 6462074 соответственно раскрыты арилсульфонамиды и замещенные альфа, бета-аннелированные бутиролактоны, которые должны быть направлены на рецептор СВ1, чтобы быть эффективными для лечения повреждения нейронов, вызванного различными причинами, например, ишемией головного мозга, спазмами сосудов головного мозга или атеросклеротическими изменениями.
Кроме того, в патенте США 6448270 раскрыты аналоги 4-замещенного пиперидина, включая гидроксипиперидин и тетрагидропиридин, которые указаны как избирательно активные в качестве антагонистов подтипов рецепторов N-метил-D-аспартата (NDMA). Согласно патенту США 6448270 эти соединения ингибируют экситотоксическое действие стимулирующих глутаматных и аспартатных аминокислот на N-метил-D-аспартатном рецепторе (NDMA), причем это экситотоксическое действие считают ответственным за повреждение нейронов при цереброваскулярных расстройствах, которые являются результатом состояний, таких как спазмы сосудов головного мозга, гипогликемия или травма головного мозга.
Однако, как упомянуто выше, еще не было предпринято попыток, чтобы преодолеть повышение внутричерепного давления фармакологически. Вплоть до настоящего времени это повышение можно лишь предупреждать либо путем хирургического вскрытия свода черепа пораженного пациента, чтобы обеспечить компенсацию объема путем хирургического дренажа желудочков, либо путем применения осмотерапевтических агентов, таких как маннит или сорбит. Эти осмотерапевтические агенты инфузируют в кровоток, где они обеспечивают разность осмотического давления между кровотоком и участком внутричерепной паренхимы. Этот градиент приводит к снижению внутричерепного давления (см., например, McGraw CP, Alexander E Jr, Howard G Surg Neurol 1978, Aug. 10 (2): 127-30 или McGraw CP, Howard G., Neurosurgery 1983 Sep. 13 (3): 269-71).
Однако оба способа страдают серьезными недостатками. Вскрытие свода черепа является тяжелым хирургическим вмешательством, которое может иметь очевидный риск для жизни, особенно для пациентов с тяжелыми закрытыми ЧМТ, повышает риск серьезных бактериальных инфекций и требует специальных мер для предупреждения сепсиса. Кроме того, эта операция требует послеоперационного лечения специально подготовленным персоналом, так что ее проводят только в избранных клиниках.
Введение осмотерапевтических агентов дает только кратковременный преходящий эффект, за которым следует новое последующее повышение внутричерепного давления, которое иногда наблюдается уже через 10-15 минут после введения. Осмотерапевтический подход дополнительно осложнен тем фактом, что первоначальное применяемое количество осмолита, например, маннита, сильно влияет на размер последующих доз осмолита. Первоначальное введение большего количества осмолита, чем абсолютно необходимо, будет приводить к большим дозам, требующимся для борьбы с ПВД. Следовательно, должна поддерживаться самая низкая возможная первоначальная доза, которая ограничивает осмотерапевтический подход. И, поскольку разность осмотического давления крови и головного мозга становится меньше при каждом применении, осмотерапевтические агенты обычно можно вводить только два или три раза. Наконец, это неоперативное лечение несет риск ишемии головного мозга и эффектов рецидива внутричерепного давления. Кроме того, считают, что это лечение повреждает целостность гематоэнцефалического барьера и вызывает вторичное воспаление головного мозга вследствие инфильтрации мозговой паренхимы кровяными элементами.
Раскрытие изобретения
Задачей изобретения является создание лекарства, которое снижает внутричерепное давление, вызванное травматическим повреждением головного мозга, и которое облегчает патофизиологические состояния, связанные с повышенным внутричерепным давлением.
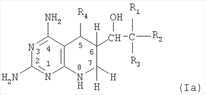
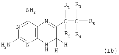
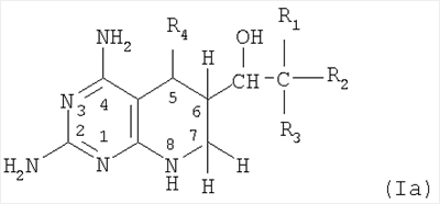
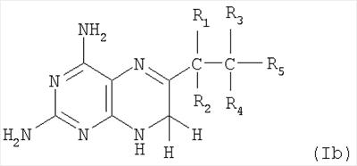
Эта задача решена посредством применения производного птеридина одной из общих формул (Ia)-(Ie). Известно, что соединения формул (Ia)-(Ie) являются ингибиторами синтазы оксида азота (NO) (см., например, патент США 5902810; WO 95/31987; WO 95/32203; WO 01/21619 или патент США 5922713).
На молекулярном уровне настоящее изобретение основано на открытии, что способность соединений согласно формулам (Ia)-(Ie) быть ингибиторами синтаз оксида азота (NO) можно использовать для ингибирования продуцирования NO преимущественно в областях повышенной активности NO, в частности, активности эндотелиальной синтазы NO (e-NOS), которая повышенно активирована в участке травмы.
Таким путем предупреждается вазодилататорный эффект NO в отношении церебральных кровеносных сосудов. В случае черепно-мозговой травмы это приводит к такому эффекту, что кровеносные сосуды головного мозга не набухают, а наоборот сохраняют постоянный объем или даже снова сужаются, посредством чего уже развившаяся дилатация может быть частично преодолена. Соответственно, создается дополнительное внутричерепное пространство, которое может быть заполнено поврежденной мозговой тканью, что сопровождается снижением (при повышении) внутричерепного давления. К удивлению авторов изобретения некоторые из соединений птеридина, применяемые в настоящем изобретении, обладают только небольшой или совсем не обладают тенденцией к пересечению гематоэнцефалического барьера. Это свойство в сочетании со специфичностью к синтазам NO дает возможность вводить соединения формул (Ia)-(Ie) в высоких дозах, что делает их идеальными кандидатами для применения в критических ситуациях и, следовательно, для снижения критически повышенного внутричерепного давления, которое обычно встречается после закрытой черепно-мозговой травмы или нетравматического повреждения головного мозга. С другой стороны, в результате отдаленного эффекта закрытой черепно-мозговой травмы или нетравматического повреждения головного мозга обычно гематоэнцефалический барьер становится проницаемым. Это, в свою очередь, дает возможность производным птеридина, применяемым в настоящем изобретении, проходить (проникать через) гематоэнцефалический барьер и направленно действовать на синтазы NO (нейронные NOS, индуцибельные NOS, митохондриальные NOS), в частности, экспрессируемые в паренхиме головного мозга. Следовательно, благодаря применению производных птеридина, описанных здесь, можно бороться с вторичным повреждением головного мозга, таким как воспалительные процессы, острая гибель клеток посредством некроза и апоптоза и образование отека (см. фиг.1).
Таким образом, соединения, раскрытые в настоящем изобретении, полезны для лечения повышенного внутричерепного давления, в частности, повышенного внутричерепного давления, которое вызвано закрытой черепно-мозговой травмой. В частности, эти соединения можно вводить в случае критически повышенного внутричерепного давления, а также вторичной ишемии. Применение соединений формул (Ia)-(Ie) для лечения повышенного внутричерепного давления, которое вызвано нетравматическим повреждением головного мозга, например, ударом или повреждением холодом, также является объектом настоящего изобретения.
Кроме того, известно, что тетрагидробиоптерин нестабилен при физиологическом рН и склонен к разрушению в кислородсодержащих растворах. Потеря связанного с ферментом тетрагидробиоптеринового кофактора приводит к мономеризации и инактивации NOS. Хотя механизм, лежащий в основе стабилизации тетрагидробиоптерином димерного комплекса NOS, неясен и кажется специфичным для изоформы, тетрагидробиоптерин может действовать в качестве молекулярного “зажима” для предотвращения диссоциации субъединиц NOS (см. Crane et al., (1998) Science 279: 2121-2126). Очевидно, тетрагидробиоптерин индуцирует большое конформационное изменение при связывании с оксигеназным доменом NOS. Нарушение структуры (диссоциация) NO-синтазы может происходить, когда ее кофактор тетрагидробиоптерин окислен или снижено его количество, и показано, что нарушение структуры NO-синтазы происходит в головном мозге после ТПГМ и подобных патофизиологии, таких как ишемия головного мозга. Этот механизм также является важным при эндотелиальной дисфункции и связанных с ней заболеваниях.
Как превращение аргинина в N-гидрокси-L-аргинин (NHA), так и превращение NHA в L-цитруллин и NO зависят от присутствия тетрагидробиоптерина. В отсутствие достаточного количества тетрагидробиоптерина NOS будет переключаться с синтеза NO на образование супероксидного аниона (Knowles, R.G. and Moncada, S. (1994) Biochem. J. 298: 249-258; Pou. S. et al., (1992) J. Biol. Chem. 267: 24173-24176), последовательно приводящее к сокращению количества NO и аккумуляции оксидантов (Bookman, J.S. et al., Methods of Enzymology, Vol.233, Part С: Oxygen Radicals in Biological Systems. L. Packer (Ed.), Academic Press, Inc., San Diego, CA 229-240), что вызывает дальнейшее нарушение структуры NOS. Этот цикл приводит к выделению реакционно-способных соединений кислорода (ROS), таких как супероксид.
Супероксид, основной продукт NOS с нарушенной структурой, быстро взаимодействует с NO с образованием даже более высоко цитотоксического и стабильного пероксинитрита, который, вероятно, ответственен за большинство клеточных повреждений, которые происходят в поврежденном головном мозге. Это взаимодействие происходит даже быстрее, чем взаимодействие супероксидного аниона с супероксиддисмутазой с образованием пероксида водорода и О2. Любой продуцируемый пероксинитрит при протонировании образует надазотистую кислоту, которая обычно претерпевает изомеризацию с образованием катиона водорода и аниона нитрата. Кроме того, надазотистая кислота может претерпевать гомолиз до свободного гидроксильного радикала и свободного радикала диоксида азота или гетеролиз до катиона нитрония и аниона гидроксида. Три из этих продуктов расщепления (свободный гидроксильный радикал, катион нитрония и свободный радикал оксида азота) входят в число наиболее реакционно-способных и разрушительных соединений в биологических системах.
Катализируемое NOS образование супероксидного аниона и его последующее превращение в продукты расщепления надазотистой кислоты или его дисмутация в пероксид водорода и свободный гидроксильный радикал играет центральную роль в эндотелиальной дисфункции и окислительном повреждении кровеносных сосудов, описанном при ряде сосудистых заболеваний.
В дополнение к их способности ингибировать образование NO NO-синтазами птеридины формул (Ia)-(Ie) могут ингибировать продуцирование NO-синтазой с нарушенной структурой цитотоксических реакционно-способных соединений кислорода, таких как супероксид. Птеридины формул (Ia)-(Ie) действуют как антагонисты эндогенного тетрагидробиоптерина. Подобно тетрагидробиоптерину они обладают способностью стабилизировать гомодимеры NOS, но, в противоположность эндогенному кофактору, они ингибируют образование NO. С другой стороны, посредством стабилизации димерной структуры фермента птеридины также ингибируют нарушение структуры NO-синтазы, а следовательно, продуцирование цитотоксического пероксинитрита. Этот двойной механизм действия приводит к полезным эффектам этих соединений как на сосудистом, так и на клеточном уровне.
Соединения, раскрытые в настоящем изобретении, таким образом, не только полезны для лечения повышенного внутричерепного давления, в частности, повышенного внутричерепного давления, которое вызвано закрытой черепно-мозговой травмой. Также их можно применять при лечении других расстройств, которые связаны с повышенным уровнем цитотоксических реакционно-способных соединений кислорода, продуцируемых NO-синтазой с нарушенной структурой. Соответственно, применение соединений формул (Ia)-(Ie) для лечения повышенного внутричерепного давления, которое вызвано нетравматическим повреждением головного мозга, например, ударом или повреждением холодом, и для облегчения окислительного стресса, порожденного NO-синтазой с нарушенной структурой, также рассматривается в настоящем изобретении.
В соединениях формул (Ia)-(Ie), используемых в настоящем изобретении, применяют приведенные ниже определения, если не указано иное.
Если группы заместителей встречаются более одного раза в соединениях приведенных ниже формул (Ia)-(Ie), они могут все, независимо друг от друга, иметь указанные значения и могут быть в каждом случае одинаковыми или различными.
Алкильные радикалы в соединениях, используемых в настоящем изобретении, могут быть прямыми или разветвленными. Это также применимо, если они присутствуют в разных группах, например, в алкоксигруппах, алкоксикарбонильных группах или в аминогруппах, либо если они замещены. Алкильные радикалы как правило содержат от одного до двенадцати атомов углерода, предпочтительно от одного до десяти атомов углерода. Примерами алкильных групп являются метил, этил, пропил, бутил, пентил, гексил, гептил, октил, нонил, децил, н-изомеры этих радикалов, изопропил, изобутил, изопентил, втор-бутил, трет-бутил, неопентил, 3,3-диметилбутил.
Примерами алкенильных радикалов являются прямые или разветвленные углеводородные радикалы, которые содержат одну или более чем одну двойную связь. Алкенильные радикалы как правило содержат от двух до двенадцати атомов углерода и одну или две двойные связи, предпочтительно от двух до десяти атомов углерода и одну двойную связь.
Примерами алкинильных радикалов являются прямые или разветвленные углеводородные радикалы, которые содержат одну или более чем одну тройную связь. Алкинильные радикалы как правило содержат от двух до двенадцати атомов углерода и одну или две тройные связи, предпочтительно от двух до десяти атомов углерода и одну тройную связь.
Примерами алкенильных радикалов являются виниловый радикал, 2-пропениловый радикал (аллиловый радикал), 2-бутениловый радикал и 2-метил-2-пропениловый радикал.
Примерами алкинильных радикалов являются этиниловый радикал, 2-пропиниловый радикал (пропаргиловый радикал) или 3-бутиниловый радикал.
Циклоалкильные радикалы представляют собой насыщенные циклические углеводороды, которые как правило содержат от трех до восьми кольцевых атомов углерода, предпочтительно пять или шесть кольцевых атомов углерода. Цикпоалкильные радикалы могут, в свою очередь, быть замещенными.
Примерами циклоалкильных радикалов являются циклопропил, цикпобутил, циклопентил, циклогексил, циклогептил и циклооктил, все из которых могут быть также замещены, например, одним или более чем одним из одинаковых или различных (С1-С4)-алкильных радикалов, в частности, метилом. Примерами таких замещенных циклоалкильных радикалов являются 4-метилциклогексил или 2,3-диметилциклогексил.
Циклоалкенильные радикалы представляют собой ненасыщенные циклические углеводороды, которые как правило содержат от трех до восьми кольцевых атомов углерода, предпочтительно пять или шесть кольцевых атомов углерода. Циклоалкенильны радикалы предпочтительно имеют двойную связь в кольцевой системе. Циклоалкенильные радикалы могут, в свою очередь, быть замещенными.
Циклоалкилалкильные радикалы представляют собой насыщенные углеводороды, которые образованы алкильной группой, замещенной циклоалкильной группой. Циклоалкильная группа как правило имеет от пяти до шести кольцевых атомов углерода. Примерами цикпоалкилалкильных радикалов являются циклопентилметил, циклопентилэтил, циклогексилэтил и, в частности, циклогексилметил. Циклоалкилалкильные радикалы могут, в свою очередь, быть замещенными.
Арил представляет собой карбоциклический или гетероциклический ароматический радикал, предпочтительно фенил, нафтил или гетероарил. Арильные радикалы могут быть незамещенными или замещенными. Заместителями являются один или более чем один из одинаковых или различных одновалентных органических радикалов, выбранных из группы, включающей галоген, алкил, фенил, -ОН, -O-алкил, алкилендиокси, -NR8R9, -NO2, -СО-(С1-С5)-алкил, -CF3, -CN, -CONR8R9, -СООН, -СО-O-(С1-С5)-алкил, -S(O)n-(С1-С5)-алкил, -SO2-NR8R9.
Алкиларил представляет собой алкил-замещенный арильный радикал, предпочтительно (С1-С3)-алкиларил, в частности, метилфенил.
Арилалкил представляет собой арил-замещенный алкильный радикал, в частности, фенилметил или 2-фенилэтил.
Гетероарил или гетероциклический ароматический радикал предпочтительно представляет собой 5-7-членный ненасыщенный гетероцикл, который имеет один или более чем один гетероатом из группы О, N, S.
Примерами гетероарилов, из которых могут быть образованы радикалы, встречающиеся в соединениях формулы (I), являются пиррол, фуран, тиофен, имидазол, пиразол, 1,2,3-триазол, 1,2,4-триазол, 1,3-оксазол, 1,2-оксазол, 1,3-тиазол, 1,2-тиазол, тетразол, пиридин, пиридазин, пиримидин, пиразин, пиран, тиопиран, 1,4-диоксин, 1,2-оксазин, 1,3-оксазин, 1,4-оксазин, 1,2-тиазин, 1,3-тиазин, 1,4-тиазин, 1,2,3-триазин, 1,2,4-триазин, 1,3,5-триазин, 1,2,4,5-тетразин, азепин, 1,2-диазепин, 1,3-диазепин, 1,4-диазепин, 1,3-оксазепин или 1,3-тиазепин.
Радикалы, образованные их гетероциклов, могут быть связаны через любой подходящий атом углерода. Азотсодержащие гетероциклы, которые имеют атом водорода (или заместитель) на кольцевом атоме азота, например, пиррол, имидазол и т.д., могут также быть связаны через кольцевой атом азота, особенно если соответствующий азотсодержащий гетероцикл связан с атомом углерода. Тиениловый радикал может, например, находиться в форме 2-тиенилового или 3-тиенилового радикала, фурановый радикал может находиться в форме 2-фурилового радикала или 3-фурилового радикала, пиридиловый радикал – в форме 2-пиридилового радикала, 3-пиридилового радикала или 4-пиридилового радикала.
Галоген представляет собой фтор, хлор, бром или йод, предпочтительно фтор или хлор.
В предпочтительных воплощениях изобретения применение производных птеридина, имеющих незамещенную или замещенную аминогруппу, в 2- и/или 4-положении кольцевой системы является предпочтительным.
В одном из этих предпочтительных воплощений изобретение относится к применению производных птеридина формулы (Ia)

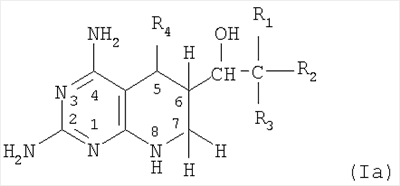
для лечения повышенного внутричерепного давления и/или вторичной ишемии, где в формуле (Ia) R1, R3 независимо выбраны из Н или ОН, R4 представляет собой Н, СН3, CH2OH, СНО, R2 представляет собой Н, СН3, СН2OH, СНО или низший C1-С9алкильный радикал с прямой или разветвленной цепью, а также (CH(OH))n-Y или (CH(OH))n-(CH2)m-W, где Y представляет собой водород или низший алкил, W представляет собой водород или гидроксильную группу и n и m независимо друг от друга равны 1-20.
Соединения формулы (Ia) могут быть получены, как описано в патенте США 5922713 или в Wemer, Ernst R. et al, Biochem. J., Vol.320, Nov. 1996, 193-196. Кроме того, эти соединения также имеются в продаже и, например, могут быть получены от Schircks Laboratories, Jona, Switzerland.
В особенно предпочтительном воплощении соединений формулы (Ia) R1 и R4 (Ia) представляют собой водород, R2 представляет собой метил и R3 представляет собой гидроксил. Соединение, которое предпочтительно применяют в настоящем изобретении, представляет собой 2,4-диамино-5,6,7,8-тетрагидро-6-(L-эритро-1,2-дигидроксипропил)-птеридин.
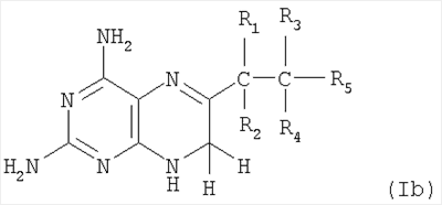
В другом предпочтительном воплощении изобретение относится к применению 2,4-диамино-замещенных производных птеридина формулы (Ib)

для лечения повышенного внутричерепного давления и/или вторичной ишемии, где в формуле (Ib) R1, R2, R3 и R4 независимо выбраны из Н или ОН, R5 представляет собой Н, СН3, СН2OH, СНО или низший C1-C9алкильный радикал, который может представлять собой нормальную или разветвленную цепь, а также (CH(OH))n-Y или (CH(OH))n-(CH2)m-W, где Y представляет собой водород или низший алкильный радикал, W представляет собой водород или гидроксильную группу и n и m независимо друг от друга равны 1-20.
В предпочтительном соединении формулы (Ib) R5 представляет собой метил, R3 представляет собой водород, R2 и R4 оба представляют собой водород и R1 представляет собой либо водород, либо гидроксил. Соединения формулы (Ib) могут быть получены, как описано в ЕР 0906913.
В следующем воплощении настоящее изобретение относится к применению производных 4-аминоптеридина общей формулы (Ic)

для лечения повышенного внутричерепного давления и/или вторичной ишемии, где в формуле (Ic)
А представляет собой мостиковое звено формы
или 
R1 представляет собой водород, (C1-С20)алкил, (С1-С20)-алкенил, (C1-С20)-алкинил, предпочтительно (С1-С10)-алкил, циклоалкил, циклоалкенил, предпочтительно (С3-С8)-циклоалкил, циклоалкилалкил, арил, алкиларил, предпочтительно (С1-С3)-алкиларил или арилалкил, где органические радикалы, предпочтительно алкильные радикалы, могут быть замещены одним или более чем одним заместителем, предпочтительно заместителем R6,
R2 независимо от R1 представляет собой водород, (С1-С20)-алкил, (С1-С20)-алкенил, (С1-С20)-алкинил, предпочтительно (С1-С10)-алкил, циклоалкил, циклоалкенил, предпочтительно (С3-С8)-циклоалкил, циклоалкилалкил, арил, алкиларил, предпочтительно (С1-С3)-алкиларил или арилалкил, где органические радикалы, предпочтительно алкильные радикалы, могут быть замещены одним или более чем одним заместителем, предпочтительно заместителем R6,
R1 и R2 вместе с атомом азота, к которому они присоединены, образует 3-8-членное кольцо, которое может содержать 0, 1 или 2 дополнительных гетероатома из группы N, О, S и которое может быть замещено одним или более чем одним радикалом, предпочтительно радикалом R6,
R3 представляет собой водород, -СО-алкил, предпочтительно -CO-(C1-C7)-алкил, -СО-алкиларил, более предпочтительно -СО-(С1-С3)-алкиларил или -СО-арил,
R4 представляет собой алкил, алкенил, алкинил, предпочтительно (C1-С10)-алкил, циклоалкил, циклоалкенил, предпочтительно (С3-С8)-циклоалкил, циклоалкилалкил, арил или алкиларил, предпочтительно (С1-С3)-алкиларил, арилалкил, -СО-O-алкил, предпочтительно -СО-O-(С1-С5)-алкил, -СО-O-арил, -СО-алкил, предпочтительно -СО-(С1-С5)-алкил или -СО-арил, где органические радикалы, предпочтительно алкильные радикалы, могут быть замещены одним или более чем одним заместителем, предпочтительно заместителем R7,
R5 независимо от R3 представляет собой водород, -СО-алкил, предпочтительно -СО-(С1-С7)-алкил, -СО-алкиларил, предпочтительно -СО-(С1-С3)-алкиларил или -СО-арил,
R6 представляет собой -F, -ОН, -O-(С1-С10)-алкил, -O-фенил, -O-CO-(C1-C10)-алкил, -O-СО-арил, -NR8R9, оксо, фенил, -СО-(С1-С6 )-алкил, -CF3, -CN, -CONR8R9, -СООН, -СО-O-(С1-С5)-алкил, -СО-O-арил, -S(O)n-(С1-С5)-алкил, -SO2-NR8R9,
R7 имеет независимо от R6 одно из значений R6,
R8 представляет собой водород или (С1-С20)-алкил, предпочтительно (С1-С5)-алкил,
R9 представляет собой водород, (С1-С20)-алкил, предпочтительно (C1-C5)-алкил, или арил, предпочтительно фенил,
R10 представляет собой водород, (С1-С20)-алкил, предпочтительно (С1-С5)-алкил, алкокси или арил,
арил предпочтительно представляет собой фенил, нафтил или гетероарил, каждый из которых может быть незамещенным или замещенным, например, может быть замещен одним или более чем одним из одинаковых или различных заместителей из группы, включающей галоген, (С1-С20)-алкил, предпочтительно (С1-С5)-алкил или фенил, -ОН, -O-(С1-С20)-алкил, предпочтительно -O-(С1-С5)-алкил, (C1-С20)-алкилендиокси, предпочтительно (С1-С2)-алкилендиокси, -NR8R9, -NO2, -CO-(C1-С5)-алкил, -CF3, -CN, -CONR8R9, -СООН, -СО-O-(С1-С5)-алкил, -S(O)n-(С1-С5)-алкил, -SO2-NR8R9,
гетероарил представляет собой 5-7-членный ненасыщенный гетероцикл, который содержит один или более чем один гетероатом из группы О, N, S.
n равно 0, 1 или 2,
во всех их стереоизомерных и таутомерных формах и их смесях во всех соотношениях, и их физиологически приемлемых солей, гидратов и эфиров. Соединения формулы (Ic) можно синтезировать, как описано в WO 01/21619 или в WO 00/39129. Производные 2,4-диаминоптеридина формулы (Ic) могут быть также получены способом, описанным в WO 97/21711, используя, например, 2,4,5,6-тетрааминопиримидин-дигидрохлорид в качестве исходного вещества, который подвергают взаимодействию с соответствующим производным оксимина согласно формуле (II) WO 97/21711.
В предпочтительных воплощениях формулы (Ic):
R1 предпочтительно представляет собой водород, (С2-С4)-алкил, который может быть замещен одним или более чем одним заместителем R6, или (C1-C2)-алкиларил, и R1 особенно предпочтительно представляет собой арилметил,
R2 предпочтительно представляет собой (С2-С4)-алкил, который может быть замещен одним или более чем одним заместителем R6, или (С1-С2)-алкиларил, и R2 особенно предпочтительно представляет собой арилметил,
кроме того, R1 и R2 предпочтительно образуют вместе с атомом азота, к которому они присоединены, 5-7-членное кольцо, которое предпочтительно не содержит или содержит только один гетероатом из группы N, О, S. В частности, весьма предпочтительными кольцами данного типа являются пирролидин, пиперидин, морфолин, диметилморфолин, тиоморфолин или N-(C1-C2)-алкилпиперазин, где эти кольца сами по себе могут быть также замещены, например, -ОН, -O-(С1-С3)-алкилом, -NR8R9 или -СООН.
R3 предпочтительно представляет собой водород, СО-(С1-С3)-алкил или СО-арил, и, в частности, весьма предпочтительно R3 представляет собой водород.
R4 предпочтительно представляет собой арил, (С1-С3)-алкил, который может быть замещен одним или более чем одним заместителем R7, или -СО-O-арил. Особенно предпочтительными радикалами R4 являются арил и 1,2-дигидроксипропил.
R5 предпочтительно представляет собой водород.
R6 предпочтительно представляет собой -ОН, -O-(С1-С3)-алкил, -NR8R9 или -СООН.
R7 предпочтительно представляет собой -ОН, -O-(С1-С10)-алкил, фенокси, оксо, особенно предпочтительно -ОН, децилокси и фенокси.
R10 предпочтительно представляет собой водород или метил.
арил предпочтительно представляет собой фенил, тиофенил, фурил и пиридил, причем фенил является особенно предпочтительным, все из которых могут быть замещены, как описано. Предпочтительными заместителями являются (С1-С3)-алкил, галоген и (С1-С3)-алкилокси и (С1-С2)-алкилендиокси. Предпочтительное число заместителей на арильных радикалах составляет 0, 1 или 2; заместители фенила предпочтительно находятся в мета- или пара-положении, и в случае двух заместителей в положениях 3 и 4.
n предпочтительно равно 0 или 2.
Особенно предпочтительным является применение производных 5,6,7,8-тетрагидроптеридина формулы (Ic), в которых R1 и R2 оба представляют собой метил, этил, пропил, либо R1 и R2 образуют вместе с атомом азота, к которому они присоединены, 5- или 6-членное кольцо, которое предпочтительно не содержит или содержит только один другой гетероатом из группы N, О, S, и где R4 представляет собой бензил или тиофенил, который возможно замещен (С1-С3)-алкилом, галогеном и (С1-С3)-алкилокси и (С1-С2)-алкилендиокси.
В следующем аспекте изобретение относится к применению соединений общей формулы (Id)

для лечения повышенного внутричерепного давления и/или вторичной ишемии, где в формуле (Id)
Х представляет собой О или NH;
R1 представляет собой водород, метил, (С1-С5)-алканоил, никотиноил или (1-метил-3-пиридинио)карбонил;
R2 представляет собой водород или метил;
R3 представляет собой водород, метил, этил, бензил, (С1-С5)-алканоил, незамещенный бензоил, замещенный бензоил, пиридоил, тиенилкарбонил, один из радикалов
, , или

радикал R9R9aN-CO-, радикал R9R9aN-CS-, феноксиккарбонил или бензилоксикарбонил;
R4 представляет собой водород, (С2-С5)-алкил, незамещенный фенил, замещенный фенил или радикал R4a-CH2-;
R4a представляет собой водород, (С1-С4)-алкилмеркапто, радикал -S(O)mR10, где m представляет собой число 1 или 2, радикал -NR11R12 или радикал -OR13, либо
R3 и R4a вместе представляют собой группу -СО-O-, карбонильный атом которой соединен с молекулой птеридина в 5-положении;
R5 представляет собой водород или фенил;
R6 представляет собой водород;
R7 представляет собой водород или метил;
R8 представляет собой (С1-С10)-алкил или бензил;
R9 представляет собой водород, (С1-С6)-алкил, циклогексил, фенил или бензоил;
R9a представляет собой водород, метил или этил;
R10 представляет собой метил;
R11 и R12 независимо друг от друга представляют собой водород или метил;
R13 представляет собой водород, (С1-С10)-алкил, 2-метоксиэтил, фенил, 3-фенилпропил, 3-циклогексилпропил, (С1-С5)-алканоил, гидроксиацетил, 2-амино-(С2-С6)-алканоил, который является незамещенным или замещен в алкильной группировке фенильным радикалом, или ((С1-С2)алкокси)карбонил;
А представляет собой физиологически приемлемый анион;
а также их таутомерных форм и их фармакологически приемлемых солей.
Предпочтительными соединениями формулы (Id) являются соединения, в которых Х=О, R1, R2, R5 и R6 представляют собой Н, R3 представляет собой Н, метил или этил и R4 представляет собой CH2NH2, CH2NHMe или CH2NMe2.
Еще в одном воплощении изобретение относится к применению соединений общей формулы (Ie)

для лечения повышенного внутричерепного давления и/или вторичной ишемии, где в формуле (Ie)
Х представляет собой О, NH или N-(С1-С5)-алканоил;
R представляет собой водород и
R1 представляет собой водород или (С1-С5)-алканоил, либо R и R1 вместе с атомом азота, к которому они присоединены, образуют диметиламинометиленаминовую группу;
R2 представляет собой водород, метил, фенил, гидроксил, метокси или амино;
R3 представляет собой радикал -OR4, -NR5R6 или -S(O)mR7, где m представляет собой числа 0, 1 или 2;
R4 представляет собой водород, (С1-С10)-алкил, циклогексил, бензил, фенил, который является незамещенным или замещен хлором или радикалом -COR8, аминокарбонилметил, который является незамещенным или замещен на атоме азота одним или двумя одинаковыми или различными (С1-С4)алкильными радикалами, 2-метоксиэтил, (2,2-диметил-1,3-диоксолан-4-ил)метил или -COR9;
R5 представляет собой водород, метил, этил, 2-гидроксиэтил, 2-хлорэтил, бензил, пиридилметил, фенилэтил, пиридилэтил или ацетил;
R6 независимо от значения R5 имеет значения, указанные для R5, либо, если R5 представляет собой водород или метил, также представляет собой циклогексил-1,3-(2-этоксиэтокси)-пропил, бензил, фенильное кольцо которого замещено одним или двумя атомами хлора или радикалом -COR10, (С1-С5)-алканоил, -COR10 или -(CH2)4-COR10;
R7 представляет собой (С1-С4)-алкил, бензил, фенил, который является незамещенным или замещен хлором, -COR8 или -СО-O-СО-(С1-С4)-алкил, или нафтил;
R8 представляет собой водород, метокси, амино или R10;
R9 представляет собой (С1-С4)-алкил, гидроксиметил, трифторметил, (C1-C2)-алкокси или R11; R10 представляет собой радикал

R11 представляет собой радикал

R12 представляет собой гидроксил или (С1-С2)-алкокси;
R13 представляет собой (С1-С4)-алкил или бензил;
R14 представляет собой водород или бензилоксикарбонил;
а также их таутомерных форм и их фармакологически приемлемых солей.
В предпочтительных воплощениях применение соединений, где R представляет собой водород, а Х представляет собой О или NH, являются предпочтительными. Кроме того, применение соединений формулы (Ie), где R1 и/или R2 представляют собой водород, также являются предпочтительными.
Как упомянуто выше, настоящее изобретение также охватывает применение соответствующих физиологически или токсикологически приемлемых солей, в частности, фармацевтически применимых солей соединений, соответствующих формулам (Ia)-(Ie). Таким образом, соединения любой из формул (Ia)-(Ie), которые содержат кислотные группы, могут, например, находиться в форме солей щелочных металлов, щелочноземельных металлов или солей аммония, и эти соли можно использовать в соответствии с изобретением. Примерами таких солей являются соли натрия, соли калия, соли кальция, соли магния или соли с аммиаком или органическими аминами, такими как, например, этиламин, этаноламин, триэтаноламин или аминокислоты. Соединения формул (Ia)-(Ie), которые содержат одну или более чем одну основную группу, которая является протонируемой, можно использовать в форме их солей присоединения кислоты с физиологическими приемлемыми неорганическими или органическими кислотами и применять в соответствии с изобретением, например, в виде солей с соляной кислотой, бромисто-водородной кислотой, фосфорной кислотой, серной кислотой, азотной кислотой, метансульфоновой кислотой, пара-толуолсульфоновой кислотой, нафталиндисульфоновыми кислотами, щавелевой кислотой, уксусной кислотой, винной кислотой, молочной кислотой, салициловой кислотой, бензойной кислотой, муравьиной кислотой, пропионовой кислотой, пивалиновой кислотой, диэтилуксусной кислотой, малоновой кислотой, янтарной кислотой, пимелиновой кислотой, фумаровой кислотой, малеиновой кислотой, яблочной кислотой, сульфамовой кислотой, фенилпропионовой кислотой, глюконовой кислотой, аскорбиновой кислотой, изоникотиновой кислотой, лимонной кислотой, адипиновой кислотой и т.д.
В дополнение к описанным выше солевым формам в изобретение также включены внутренние соли или бетаины (цвиттерионы) соединений формул (Ia)-(Ie), содержащих как кислую, так и основную группу.
Соли могут быть получены из соединений формулы I общепринятыми способами, известными специалистам в данной области техники, например, путем объединения с органической или неорганической кислотой или основанием в растворителе или в диспергаторе, либо иначе путем анионообмена или катионообмена с другими солями. Кроме того, настоящее изобретение охватывает применение всех сольватов соединений формул (Ia)-(Ie), например, гидратов или аддуктов со спиртами, и производных соединений формулы I, таких как, например, эфиры, а также пролекарства и активные метаболиты.
В соответствии с приведенным выше описанием настоящее изобретение также направлено на способ лечения субъекта, страдающего повышенным внутричерепным давлением и вторичной ишемией, при котором этому субъекту вводят терапевтически достаточное количество соединения любой из общих формул (Ia)-(Ie). Применение соединения, описанное здесь, является предпочтительным, когда повышенное внутричерепное давление вызвано закрытой черепно-мозговой травмой.
В другом аспекте настоящее изобретение направлено на способ лечения субъекта, страдающего заболеванием, связанным с повышенным уровнем цитотоксических реакционно-способных соединений кислорода, продуцируемых NO-синтазой с нарушенной структурой. Например, эти цитотоксические реакционно-способные соединения кислорода включают супероксидный анион, пероксинитрил, свободный гидроксильный радикал, свободный радикал диоксида азота и катион нитрония. Заболевания, которые связаны с повышенным уровнем цитотоксических реакционно-способных соединений кислорода, продуцируемых NO-синтазой с нарушенной структурой, включают, но не ограничены ими, повышенное внутричерепное давление, которое вызвано закрытой черепно-мозговой травмой или нетравматическим повреждением головного мозга. Эти расстройства также включают любое расстройство, которое связано с эндотелиальной дисфункцией. Примерами такого расстройства являются гиперхолестеринемия, повреждение эндотелия вследствие механических или химических повреждений, заболевание периферических артерий и сердечно-сосудистые заболевания, такие как атеросклероз, болезнь сердца, коронарная болезнь сердца, диабетическая микро- и макроангиопатия, сердечная недостаточность, удар, стенокардия, гипертензия, ишемическое/реперфузионное повреждение и инсулинрезистентный диабет. Термин “эндотелиальная дисфункция” используют здесь в соответствии с его обычным значением, как приведено, например, Widlansky M.E. et al., J. Am. Coll. Cardiol. 2003 Oct 1; 42(7): 1149-60. Таким образом, эндотелиальная дисфункция означает, что эндотелий кровеносных сосудов больше не может функционировать нормально, например, вследствие окислительной нагрузки (присутствия реакционно-способных соединений кислорода).
Соединения общих формул (Ia)-(Ie) проявляют свою функцию посредством ингибирования нарушения структуры NO-синтазы, а следовательно, продуцирования цитотоксического пероксинитрила, супероксида и подобных реакционно-способных соединений кислорода. В одном из этих воплощений ингибированию подвергается эндотелиальная NO-синтаза.
Субъекты, подлежащие лечению по настоящему изобретению, предпочтительно представляют собой млекопитающих, таких как люди, обезьяны, кошки, собаки, мыши или крысы, причем предпочтительными являются люди.
Для снижения (повышенного) внутричерепного давления соединения формул (Ia)-(Ie) можно вводить перорально, например, в форме пилюль, таблеток, таблеток, покрытых оболочкой, таблеток, покрытых сахарной оболочкой, гранул, твердых и мягких желатиновых капсул, водных, спиртовых или масляных растворов, сиропов, эмульсий или суспензий, либо ректально, например, в форме суппозиториев. Введение также может иметь место парентерально, например, подкожно, внутримышечно или внутривенно, в форме инъекционных растворов или инфузионных растворов. Дополнительными пригодным формами введения являются чрескожное или местное введение, например, в форме мазей, настоек, спреев или трансдермальных терапевтических систем, или ингаляционное введение в форме назальных спреев или аэрозольных смесей, либо, например, микрокапсул, имплантатов или палочек. Одним из предпочтительных режимов введения, особенно в случае экстренной помощи, является инъекция или инфузия в водном фармацевтически приемлемом растворе.
Соответствующие фармацевтические композиции, которые применяют согласно изобретению, могут быть получены стандартными способами, известными для изготовления фармацевтических продуктов.
С этой целью одно или более чем одно соединение формул (Ia)-(Ie) и/или их физиологически приемлемые соли, эфиры и гидраты вместе с одним или более чем одним твердым или жидким фармацевтическим носителем и/или добавкой или эксципиентом и, если желательно, в комбинации с другими активными фармацевтическими ингредиентами с терапевтическим или профилактическим действием превращают в подходящую форму введения или лекарственную форму, которую можно затем применять в качестве фармацевтического средства в медицине или ветеринарии. Эти фармацевтические продукты содержат терапевтически или профилактически эффективную дозу соединений формул (Ia)-(Ie) и/или их физиологически приемлемых солей, эфиров и гидратов, которая как правило составляет от 0,5 до 90 мас.% от массы фармацевтического продукта.
Для получения, например, пилюль, таблеток, таблеток, покрытых сахарной оболочкой, и твердых желатиновых капсул возможно использование лактозы, крахмала, например, кукурузного крахмала, или производных крахмала, талька, стеариновой кислоты или ее солей и т.д. Носителями для мягких желатиновых капсул и суппозиториев являются, например, жиры, воски, полутвердые и жидкие полиолы, природные или гидрогенизированные масла и т.д. Примерами носителей, пригодных для получения растворов, например, инъекционных растворов, либо эмульсий, либо сиропов являются вода, физиологический раствор, спирты, такие как этанол, глицерин, полиолы, сахароза, инвертированный сахар, глюкоза, маннит, циклодекстрин, растительные масла и т.д. Соединения формул (Ia)-(Ie) и/или их физиологически приемлемые соли, эфиры и гидраты могут быть также лиофилизированы, и полученные лиофилизаты можно применять вместе с раствором-разбавителем, например, для получения продуктов для инъекции или инфузии. Примерами носителей, пригодных для микрокапсул, имплантатов или полочек являются сополимеры гликолевой кислоты и молочной кислоты.
Фармацевтические продукты, кроме активных ингредиентов и носителей, также содержат общепринятые добавки, например, наполнители, разрыхлители, связующие агенты, смазывающие агенты, увлажняющие агенты, стабилизаторы, эмульгаторы, диспергаторы, консерванты, подсластители, красители, корригирующие или ароматизирующие агенты, загустители, разбавители, буферные вещества, а также растворители или солюбилизаторы, либо средства для достижения эффекта депо, соли для изменения осмотического давления, агенты для покрытия оболочкой или антиоксиданты.
Вводимая доза активного ингредиента формулы I и/или его физиологически приемлемой соли, эфира или гидрата зависит от индивидуального случая и должна быть адаптирована общепринятым путем для индивидуальных обстоятельств для получения оптимального эффекта. Таким образом, она зависит от природы и тяжести заболевания, подлежащего лечению, и от пола, возраста, массы тела и индивидуальной реакции человека или животного, подлежащего лечению, от эффективности и продолжительности действия применяемых соединений или от того, вводят ли другие активные ингредиенты в дополнение к соединениям формулы I. Как правило, суточная доза, составляющая примерно 0,01 до 100 мг/кг, предпочтительно от 0,1 до 10 мг/кг, в частности, от 0,3 до 5 мг/кг (в каждом случае мг на кг массы тела), пригодна при введении взрослому человеку, весящему примерно 75 кг, для достижения желаемого эффекта. Суточную дозу можно вводить в однократной дозе или, особенно при введении больших количеств, разделить ее на множество, например, на две, три или четыре однократных дозы. В зависимости от индивидуальных характеристик может быть необходимо изменить дозу в большую или меньшую сторону от установленной суточной дозы. Фармацевтические продукты в норме содержат от 0,2 до 500 мг, предпочтительно от 1 до 200 мг активного ингредиента любой из формул (Ia)-(Ie) и/или их физиологически приемлемых солей.
Далее настоящее изобретение проиллюстрировано прилагаемыми графическими материалами и приведенным ниже примерами, не ограничивающими рамки изобретения.
Краткое описание графических материалов
Фиг.1 представляет собой схему, которая иллюстрирует течение болезни при лечении повышенного внутричерепного давления и вторичной ишемии, как описано здесь. Обычно в пределах первых 6 часов после травмы головного мозга, такой как ЧМТ, или нетравматического повреждения головного мозга внутричерепное давление поднимается до критически повышенного уровня, то есть до уровня, который становится угрожающим для жизни, например в связи с тем, что он приводит к возможному острому угнетению дыхания и потере сознания. Как открыто авторами изобретения, введение производных птеридина, описанных здесь, приводит к ингибированию эндотелиальной NO синтазы (e-NOS), в частности, в участке головного мозга, где произошла травма, и активность e-NOS повышена. Это, в свою очередь, сопровождается сужением кровеносного сосуда в головном мозге и, следовательно, приводит к снижению ВЧД в течение этих первых часов после травмы. Как вторичный эффект, как только гематоэнцефалический барьер становится проницаемым как следующий результат травмы, птеридины, применяемые в настоящем изобретении, способны проходить гематоэнцефалический барьер и ингибировать нейронную NO синтазу (n-NOS), индуцибельную NO синтазу (i-NOS) и митохондриальную NO синтазу (m-NOS), активности которых повышаются после травмы и при вторичной ишемии. Таким образом, острую гибель клеток посредством некроза, воспалительные процессы, гибель клеток посредством некроза и апоптоза, а также образование отека можно предупреждать или лечить. Кроме того, синтез NO в паренхиме головного мозга блокирован. Это, в свою очередь, антагонизирует расширение кровеносных сосудов, направляемое NO, поступающей из паренхимы головного мозга.
На фиг.2 показан сократительный эффект 2,4-диамино-5,6,7,8-тетрагидро-6-(L-эритро-1,2-дигидроксипропил)-птеридина на изолированных базилярных артериях (БА, пустые кружки) и средних церебральных артериях (СЦА, сплошные кружки) крысы, протестированного, как описано в Примере 4. Сокращение (изменение силы натяжения) измеряли в мН и выражали в процентах сокращения относительно сокращения артерий, вызванного 124 мМ раствором К+-Кребса. Концентрация 2,4-диамино-5,6,7,8-тетрагидро-6-(L-эритро-1,2-дигидроксипропил)-птеридина приведена на полулогарифмической шкале.
На фиг.3 показаны значения внутричерепного давления (ВЧД) после травмы коры головного мозга у мышей через 6 часов и 24 часа после обработки дозой 560 мг/кг 4-амино-7,8-тетрагидро-L-биоптерина или плацебо (n=8-9/среднее по группе±стандартное отклонение) [TV-NOS23].
Описание примеров осуществления изобретения
Пример 1
Получение 2,4-диамино-5,6,7,8-тетрагидро-6-(L-эритро-1,2-дигидрокси-пропил)-птеридина(Н4-аминобиоптерина)
2,4-Диамино-5,6,7,8-тетрагидро-6-(L-эритро-1,2-дигидроксипропил)-птеридин синтезировали, как описано ниже:
Этиловый эфир азодикарбоновой кислоты добавляли по каплям к смеси N2,1’2′-триацетилбиоптерина (7,9 г), 2-(4-нитрофенил)этанола (5,1 г) и трифенилфосфана (8,4 г) в диоксане (150 мл), а затем перемешивали при комнатной температуре в течение 20 часов. Этот раствор выпаривали на роторном испарителе, затем остаток растворяли в CHCl3 и помещали на колонку силикагеля (18×6 см). Для удаления оксида трифенилфосфана этот раствор сначала подвергали хроматографии, используя EtOAc/н-гексан (1:1) и EtOAc/н-гексан (4:1), а затем для хроматографии использовали EtOAc (1,5 л), чтобы элюировать продукт реакции. В результате концентрирования раствора получили чистый продукт 8,63 г (75%) N2,1′,2′-триацетил-O4-2-(4-нитрофенил)этилбиоптерин.
N2,1′,2′-триацетил-O4-2-(4-нитрофенил)этилбиоптерин (9,0 г) суспендировали в смеси метанола (90 мл) и концентрированного аммиака (90 мл), а затем полученный в результате раствор перемешивали при комнатной температуре в течение 36 часов. Этот раствор концентрировали до половины объема, экстрагировали, используя CH2Cl2, а затем водную фазу дополнительно концентрировали. Остаток обрабатывали теплым этанолом. После охлаждения, сбора осадка и промывания эфиром продукт высушивали над Р4O10 в вакуумном эксикаторе. Выход: 3,3 г (77%) 4-амино-4-дезоксибиоптерина. Дальнейшую очистку можно возможно осуществить путем перекристаллизации, используя большое количество этанола.
PtO2 (0,15 г) предварительно подвергали гидрогенизации в растворе трифторуксусной кислоты (50 мл), помещали в шейкер в атмосфере водорода. Затем добавляли 4-амино-4-дезоксибиоптерин (1,0 г) и процесс восстановления продолжали при встряхивании. Через 3 часа поглощение Н2 (200 мл, показания бюретки) было завершено. Катализатор отсасывали в атмосфере азота, раствор концентрировали досуха и к сиропообразному остатку добавляли диоксан/газ HCl (10 мл) и эфир (100 мл), и полученный в результате раствор перемешивали в течение нескольких часов, в течение которых накопился бесцветный осадок. Этот осадок отсасывали, промывали эфиром и высушивали над твердым КОН и Р4O10 в вакуумном эксикаторе. Выход: 1,23 г (90%) 4-амино-4-дезокси-5,6,7,8-тетрагидробиоптерина.
С9Н16N6О2×2HCl×2Н2O (348,3); теоретически: С 31,03, Н 6,37, N 24,13; определено: С 31,23, Н 6,18, N 23,95.
Пример 2
Определение специфичности связывания H4-аминобиоптерина путем радиоактивных тестов на связывание
Поведение H4-аминобиоптерина при связывании с различными рецепторами физиологической релевантности определяли в конкурентных анализах связывания, используя радиоактивно меченый лиганд. Определение IC50 для NO синтазы проводили в соответствии с протоколом, опубликованным в POLLOCK, J.S.. FORSTERMANN, U., MITCHELL, J.A., WARMER, T.D., SCHMTOT, H.H.H., NAKANE, M. and MURAD, F. (1991) Proc. Natl. Acad. Sci. USA, 88 10480-10484 (см. также тест №ссылки 766-с каталога Cerep, Paris, France, издание 2002).
Определение значения IC50 для каждого из других рецепторов, которые были выбраны для определения специфичности связывания H4-аминобиоптерина, проводили, как описано также в каталоге Cerep, Paris, France, издание 2002.
Результаты приведены в Таблице 1. Как видно из Таблицы 1, H4-аминобиоптерин не обладает какой-либо измеримой связывающей аффинностью в отношении любых других исследованных физиологически значимых рецепторов, в частности, в отношении рецепторов, таких как рецепторы типа 5-НТ, рецептор N-метил-D-аспартата (NDMA) или GABA-рецептор, которые вовлечены в гибель нейронов после ЧМТ. Это ясно свидетельствует о том, что птеридиновые соединения, использованные в настоящем изобретении, проявляют свою активность преимущественно в отношении связывания с NOS.
Таблица 1 Эффекты Н4-аминобиоптерина в отношении специфичного связывания радиоактивного лиганда с исследованными рецепторами и значения IC50 для соединений сравнения с известной связывающей аффинностью к данному рецептору |
| Каталог Cerep № ссылки/страница |
Рецептор |
Н4-аминобиоптерин |
Соединение сравнения |
| 10 мкМ |
|
IC50 (нМ) |
(нН) |
| 802-1а/35 |
1 (неизбирательный) |
– |
Празозин |
0,31 |
(1,2) |
| 802-1b/36 |
2 (неизбирательный) |
– |
Йохимбин |
74 |
(0,8) |
| 802-2ah/38 |
1 (h) |
– |
Атенолол |
1,30 |
(0,9) |
| 802-2bh/38 |
2 (h) |
– |
ICN 118551 |
2,3 |
(1,6) |
| 821-1h/39 |
AT1 (h) |
– |
Саралазин |
1,9 |
(1,0) |
| 821-2h/40 |
AT2 (h) |
16 |
Саралазин |
0,69 |
(0,9) |
| 803-1h/45 |
D1 (h) |
– |
SCH 23390 |
0,78 |
(1,1) |
| 803-2h/45 |
D2 (h) |
– |
(+) |
5,5 |
(1,1) |
| |
|
|
бутакламол |
|
|
| 825-1h/47 |
ЕТA (h) |
– |
Эндотелин-1 |
0,13 |
(1,0) |
| 825-2h/47 |
ЕТB (h) |
– |
Эндотелин-3 |
0,12 |
(1,4) |
| 804/48 |
GABA (неизбирательный) |
– |
GABA |
27 |
(1,3) |
| 804-1/48 |
GABAA |
– |
Мусцимол |
7,2 |
(0,8) |
| 804-2/48 |
САВАB |
– |
Баклофен |
108 |
(1,1) |
| 895-1/49 |
AMPA |
– |
L-глутамат |
850 |
(0,8) |
| 895-2/50 |
Каинат |
– |
Каиновая кислота |
26 |
(1,0) |
| 895-3/50 |
NMDA |
– |
CGS 19755 |
222 |
(0,9) |
| 882-h/51 |
EGF (h) |
10 |
EGF |
3,1 |
(1,5) |
| 881/51 |
PDGF |
– |
PDGF ВВ |
0,10 |
(1,9) |
| 805-1c/54 |
H1 (центральный) |
– |
Пириламин |
1,8 |
(1,3) |
| 805-2/55 |
H2 |
– |
Циметидин |
781 |
(0,6) |
| 861-5/56 |
IP3 |
– |
D-(1,4,5)IP3 |
33 |
(1,0) |
| 806-1h/60 |
M1 (h) |
– |
Пирензепин |
11 |
(1,0) |
| 806-2h/61 |
М2 (h) |
– |
Метоктрамин |
24 |
(0,8) |
| 806-3h/61 |
М3 (h) |
10 |
4-DAMP |
1,5 |
(1,4) |
| 830/68 |
PAF |
– |
WEB 2086 |
8,9 |
(1,0) |
| 808-1b/71 |
5-HT1B |
– |
Серотонин |
14 |
(0,9) |
| 808-1d/71 |
5-НТ1D |
– |
Серотонин |
2,8 |
(0,9) |
| 808-2h/71 |
5-HT2A (h) |
– |
Кетансерин |
2,9 |
(1,1) |
| 808-2bh/72 |
5-НТ2B (h) |
– |
Серотонин |
42 |
(0,8) |
| 813/78 |
Эстроген (ER) |
– |
17- – |
1,8 |
(1,3) |
| |
|
|
эстрадиол |
|
|
| 848-h/79 |
Витамин D3 (h) |
– |
1 ,25- |
4,2 |
(1,8) |
| |
|
|
(ОН)2D3 |
|
|
| 861-L1/82 |
Ca2+ канал |
– |
Нитрендипин |
1,4 |
(1.4) |
| |
(L, сайт DHP) |
|
|
|
|
| 861-L2/82 |
Ca2+ канал |
– |
Дилтиазем |
27 |
(0,8) |
| |
(L, сайт дилтиазема) |
|
|
|
|
| 861-L3/83 |
Ca2+ канал |
– |
D600 |
12 |
(0,9) |
| |
(L, сайт |
|
|
|
|
| |
Верапамила) |
|
|
|
|
| 863-1/83 |
К+ ATP канал |
– |
Глибенкламид |
1,3 |
(1,4) |
| 863-2/84 |
К+ V канал |
– |
– |
0,50 |
(1,0) |
| |
|
|
дендротоксин |
|
|
| 863-3/84 |
SK+ Ca канал |
– |
– |
0,50 |
(1,0) |
| |
|
|
дендротоксин |
|
|
| Для H4-аминобиоптерина результаты выражены как процент ингибирования специфичного связывания контроля (средние значения; n=2). Символ “-” указывает на ингибирование менее чем 10%. |
|
|
Пример 3
Специфичность H4-аминобиоптерина in vitro
Физиологический эффект H4-аминобиоптерина в отношении NO синтаз дополнительно исследовали в тестах на культуре клеток, экспрессирующих релевантные рецепторы, используя протокол, описанный в каталоге Cerep, Paris, France, edition 2002 (см. таблицу 2). Определение значения IC50 для каждого из других рецепторов, которые были выбраны для определения специфичности связывания Н4-аминобиоптерина, снова проводили, как описано также в каталоге Cerep, Paris, France, edition 2002. Кроме того, модуляторный эффект H4-аминобиоптерина в отношении связывания -адреноцептора-G белка (таблица 3) исследовали с помощью анализа, описанного в ссылке 758-2а (с.134) и 758-2b (с.134) издания 2002 каталога Cerep.
Результаты этих экспериментов суммированы в таблицах 2 и 3. Эти данные также подтверждают, что H4-аминобиоптерин обладает преимущественной связывающей аффинностью в отношении NOS.
Таблица 2 Эффекты Н4-аминобиоптерина в биологических испытаниях клеток и значения IC50 для соединений сравнения |
| Каталог Cerep |
Анализы |
Н4-аминобиоптерин |
Соединение сравнения |
| № ссылки/ стр. |
10 мкМ |
|
IC50 (нМ) |
(nH) |
| 766-i1/112 |
индуцибельная NOS |
– |
L-NMMA |
185 |
(1,0) |
| |
(целые клетки/спектрофото.) |
|
|
|
|
| 766-С/112 |
NOS конститутивная (h) |
76 |
L-NMMA |
0,14 |
(2,7) |
| |
(эндотелиальная) |
|
|
|
|
| 752-ch/114 |
Фосфодиэстераза III (h) |
– |
Милринон |
0,31 |
(1,0) |
| 752-е/114 |
Фосфодиэстераза V (h) |
– |
Дипиридамол |
0,35 |
(1,0) |
| 735/122 |
Са2+ АТФаза (помпа) |
– |
Тапсигаргин |
0,087 |
(>3) |
| 740-1/123 |
Са2+ канал L-типа |
– |
Нитрендипин |
0,0038 |
(0,8) |
| |
(стимулированный) |
|
|
|
|
| 739-1/123 |
Na+ канал (h) |
12 |
Тетродотоксин |
0,0068 |
(0,9) |
| |
(стимулированный) |
|
|
|
|
| 734/124 |
Na+/К+ АТФаза (помпа) |
– |
Уабаин |
76 |
(0,8) |
| 706-2/127 |
Протеинкиназа А |
– |
Н89 |
0,10 |
(0,6) |
| |
(стимулированная) |
|
|
|
|
| 705-dh/128 |
Протеинкиназа С- (h) |
– |
Стауроспорин |
|
|
| 711/141 |
Захват NE |
– |
Протриптилин |
0,0019 |
|
| 712/141 |
Захват DA |
– |
GBR12909 |
0,0018 |
|
| 710/141 |
Захват 5-НТ |
– |
Имипрамин |
0,044 |
|
| 791-4/146 |
Пролиферация клеток |
23 |
Стауроспорин |
0,0025 |
|
| |
(h) (стимулированные EGF |
|
|
|
|
| |
А-431) |
|
|
|
|
| 791-3/146 |
Пролиферация клеток(h) (стимулированные PDGF Balb/c 3T3) |
– |
Циклогексимид |
0,19 |
|
| 760/155 |
Na+/K+ АТФаза (помпа) |
– |
Уабаин |
0,28 |
(1,3) |
| 761-h/156 |
Ацетилхолинэстераза (h) |
– |
Неостигмин |
0,056 |
(1,0) |
Для VAS 203 результаты выражены как процент ингибирования контрольной активности (средние значения; n=2). Символ “-” указывает на ингибирование менее чем 10%. |
| Таблица 3а |
| Эффекты Н4-аминобиоптерина в биологических испытаниях клеток и значения IC50 или ЕС50 для соединений сравнения |
Каталог Cerep № ссылки/ стр. |
Анализы |
Н4-аминобиоптерин |
Соединение сравнения |
| 10 мкМ |
|
ЕС50 (мкМ) |
| 758-2а/134 |
Связывание -адреноцептора G белка (агонистический эффект) |
11 |
Изопротеренол |
2,4 |
| Для Н4-аминобиоптерина результаты выражены как стимуляция контрольной активности (средние значения; n=2) |
Таблица 3b Эффекты Н4-аминобиоптерина в биологических испытаниях клеток и значения IC50 или ЕС50 для соединений сравнения |
Каталог Cerep № ссылки/ стр. |
Анализы |
Н4-аминобиоптерин |
Соединение сравнения |
| 10 мкМ |
|
IC50 (мкМ) |
(нН) |
| 758-2b/134 |
Связывание -адреноцептора G белка (антагонистический эффект) |
31 |
ICI 89406 |
21 |
(0,7) |
| Для Н4-аминобиоптерина результаты выражены как процент ингибирования контрольной активности (средние значения; n=2) |
Пример 4
Характеристика сократительного действия H4-аминобиоптерина в изолированных церебральных артериях крысы
Сократительный эффект 2,4-диамино-5,6,7,8-тетрагидро-6-(L-эритро-1,2-дигидроксипропил)-птеридина на изолированных базилярных артериях (БА) и средних церебральных артериях (СЦА) крысы тестировали, как описано Shilling с соавторами, Peptides 21 (2000), 91-99.
Для этих экспериментов препараты кольцевых сегментов церебральных кровеносных сосудов из взрослых самцов крыс Sprague-Dawley (300-450 г) готовили, как описано в Schilling et al., 2000, см. выше. После умерщвления животных путем кровотечения из сонных артерий головной мозг быстро извлекали и погружали в предварительно охлажденный модифицированный раствор Кребса-Хегештета, имеющий состав (мМ): NaCl, 119; KCl, 3,0; Na2HPO4 1,2; CaCl2×2H2O, 1,5; MgCl2×6Н2О, 1,2; NaHCO3, 20, глюкоза, 10. С помощью бинокулярного микроскопа соответствующую артерию метикулярно отсекали и разрезали на четыре кольцевых сегмента, которые закрепляли на двух L-образных проволоках из нержавеющей стали (70 мкм) в ванночке для органов объемом 5 мл. Одну проволоку прочно прикрепляли к стенке ванночки, а другую присоединяли к динамометрическому датчику, прикрепленному к микроприводу (М33, MarzhSuser, Wetzlar, Germany). Изменения изометрической силы измеряли с помощью датчика, соединенного с усилителем (усилитель Q11 и усилитель QT233, каждый от Hottinger Baldwin, Darmstadt, Germany) и визуализировали на графике с помощью самописца.
После закрепления сегментам давали 90 минутный период аккомодации при постепенном повышении температуры в ванночке до 37°С. Раствор в ванночке постоянно барботировали увлажненной газовой смесью 93% O2/7% СО2 с получением в результате рН около 7,35 при 37°С.
В процессе аккомодации сегменты несколько раз натягивали и натяжение покоя доводили до 2,5-3,5 милли-Ньютонов (мН). Затем получали контрольное сокращение путем замены раствора в ванночке на 124 мМ К+-раствор Кребса (NaCl заменяли на KCl). Сегменты, которые давали менее 2,5 мН, отбрасывали. Функциональное состояние эндотелия тестировали при кумулятивном применении ацетилхолина (от 10-8 до 10-4 М) после предварительного сокращения серотонином (5-НТ, 10-6 М) с последующей заменой раствора в ванночке снова модифицированным раствором Кребса-Хегештета, как описано выше. Как описано Schilling et al., 2000, см. выше, только сегменты, в которых релаксация превышала 25% от предварительного сокращения, считали несущими функциональный эндотелий и включали в анализ. Затем в каждом сегменте кумулятивно добавляли Н4-аминобиоптерин (от 10-10 до 10-3 М в первом эксперименте с целью определения эффективной концентрации, затем в более узком интервале концентрации) в раствор в ванночке, где сегменты инкубировали при натяжении покоя для характеристики сокращения. Сокращение (изменение силы натяжения) измеряли в мН и выражали в процентах от контрольного сокращения (сокращения, вызванного 124 мМ K+-раствором Кребса, см. выше).
Результаты представлены на фиг.2. Как видно из фиг.2, Н4-аминобиоптерин вызывал явное зависимое от концентрации сокращение как базилярных артерий, так и средних церебральных артерий крысы. Соответственно, эти результаты ясно указывают на сосудосуживающий эффект H4-аминобиоптерина в отношении кровеносных сосудов головного мозга и, следовательно, на его пригодность для снижения внутричерепного давления посредством сокращения расширенных кровеносных сосудов головного мозга.
Эффекты 4-амино-7,8-тетрагидро-L-биоптерина на внутричерепное давление (ВЧД)
В этом тесте исследовали снижение ВЧД и нейрозащитный эффект (уменьшение объема поражения) 4-амино-7,8-тетрагидро-L-биоптерина на модели травмы коры головного мозга у мышей. Группе из девяти животных внутривенно вводили по 560 мг 4-амино-7,8-тетрагидро-L-биоптерина или плацебо (носитель) в течение 6 часов, начиная через 10 минут после травмы. В группе, получавшей 4-амино-7,8-тетрагидро-L-биоптерин, ВЧД было значительно (р 0,001) меньше через 6 часов после травмы (10,4±1,9 мм рт.ст.), чем в группе, получавшей плацебо (14,1±1,8 мм рт.ст.), однако через 24 часа после травмы значительного различия не наблюдалось между группами, получавшими 4-амино-7,8-тетрагидро-L-биоптерин и плацебо (10,3±1,7 мм рт.ст. для 4-амино-7,8-тетрагидро-L-биоптерина и 10,7±2,3 мм рт.ст. для плацебо). Значения ВЧД после обработки 4-амино-7,8-тетрагидро-L-биоптерином в сравнении со значениями ВЧД после обработки плацебо показаны на фиг.3.
Ингибирование рекомбинантной синтазы NO (NOS) человека и грызунов
Целью данного исследования являлось изучение ингибирующих свойств 4-амино-7,8-тетрагидро-L-биоптерина на две изоморфы синтазы NO (i-NOS и nNOS) человека и грызунов. Ингибирование изоформ синтазы NO измеряли in vitro с использованием анализов активности фермента. Превращение L-аргинина в L-цитруллин и NO оценивали с помощью хромогенного анализа для определения цитруллина (Knipp et al., 2000). В качестве контроля использовали N-нитро-L-аргинин и ингибитор 1400W, специфичный к iNOS [Alderton et al., 2001]. Изоморфы синтазы NO человека и грызунов ингибировали 4-амино-7,8-тетрагидро-L-биоптерином в одинаковой степени (Таблица 4).
| Таблица 4. |
| Ингибирование рекомбинантной синтазы NO человека и грызунов 4-амино-7,8-тетрагидро-L-биоптерином в присутствии 2 мкмоль/л тетрагидробиоптерина |
| |
IC50 (iNOS) [мкмоль/л]a |
IC50 (nNOS) [мкмоль/л]a |
| |
человек |
Грызунb |
человек |
Грызунc |
| N-нитро-L-аргинин |
>100 |
49,0±11,7 |
14,8±8,4 |
н.о. |
| 1400W |
1,6±0,1 |
1,9±0,2 |
>100 |
>100 |
| 4-амино-7,8-тетрагидро-L-биоптерин |
12,0±2,7 |
5,5±2,4 (n=3) |
9,1±1,8 |
н.о. |
| а – среднее±стандартное отклонение,b – мыши, c – крысы, н.о. – не определено |
Формула изобретения
1. Применение соединения общей формулы (Ia)

для изготовления фармацевтической композиции для лечения повышенного внутричерепного давления, где в формуле (Ia) R1 представляет собой водород, R3 представляет собой гидроксил, R4 представляет собой водород, R2 представляет собой низший C1-C9 алкил, который может представлять собой прямую или разветвленную цепь.
2. Применение по п.1, где R2 представляет собой метил.
3. Применение по п.2, где соединение представляет собой 2,4-диамино-5,6,7,8-тетрагидро-6-(L-эритро-1,2-дигидроксипропил)-птеридин.
4. Применение соединения общей формулы (Ib)

для изготовления фармацевтической композиции для лечения повышенного внутричерепного давления, где в формуле (Ib) R1 представляет собой гидроксил, R2 представляет собой водород, R3 представляет собой водород, и R4 представляет собой гидроксил, R5 представляет собой низший C1-C9 алкил, который может представлять собой прямую или разветвленную цепь.
5. Применение по п.4, где R5 представляет собой метил.
6. Применение по любому из пп.1-5, где повышенное внутричерепное давление вызвано закрытой черепно-мозговой травмой или нетравматическим повреждением головного мозга.
7. Применение соединения общей формулы (Ia)

для изготовления фармацевтической композиции для лечения вторичного повреждения головного мозга, где вторичное повреждение головного мозга представляет собой воспалительный процесс, где в формуле (Ia) R1 представляет собой водород, R3 представляет собой гидроксил, R4 представляет собой водород, R2 представляет собой низший C1-C9 алкил, который может представлять собой прямую или разветвленную цепь.
8. Применение по п.7, где R2 представляет собой метил.
9. Применение по п.8, где соединение представляет собой 2,4-диамино-5,6,7,8-тетрагидро-6-(L-эритро-1,2-дигидроксипропил)-птеридин.
10. Применение соединения общей формулы (Ib)

для изготовления фармацевтической композиции для лечения вторичного повреждения головного мозга, где вторичное повреждение головного мозга представляет собой воспалительный процесс, где в формуле (Ib) R1 представляет собой гидроксил, R2 представляет собой водород, R3 представляет собой водород, R4 представляет собой гидроксил, R5 представляет собой низший C1-C9 алкил, который может представлять собой прямую или разветвленную цепь.
11. Применение по п.10, где R5 представляет собой метил.
12. Применение по любому из пп.7-11, где воспалительный процесс вызван закрытой черепно-мозговой травмой или нетравматическим повреждением головного мозга.
13. Применение по любому из пп.1-12 для лечения млекопитающего, особенно человека.
РИСУНКИ
|
|