Патент на изобретение №2348166
|
||||||||||||||||||||||||||||||||||||||||||||||||
(54) СПОСОБ ВЫДЕЛЕНИЯ БЕЛКОВ ИЗ МОЛОЧНОЙ СЫВОРОТКИ
(57) Реферат:
Способ включает введение в молочную сыворотку флокулянта – исходного полиакриламида (ПАА) или полиакриламида, модифицированного глицином, с последующим перемешиванием смеси и отделением образовавшегося осадка. Количество добавляемого флокулянта 0,2-0,4% от массы сыворотки. Изобретение позволяет увеличить полноту выделения белковых веществ, снизить расход добавляемого реагента и сократить длительность процесса. 2 табл.
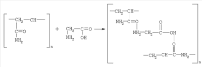
Изобретение относится к молочной промышленности, в частности к способам выделения белковых веществ из молочной сыворотки. Известен способ выделения белков молочной сыворотки с применением в качестве реагента поли-N,N-диметил-N,N-диаллиламмоннийхлорида (ПДМДААХ), выпускаемый в промышленных масштабах под торговой маркой ВПК-402 [1]. Недостатком данного способа является низкая степень выделения белка (70%); предварительный нагрев сыворотки, что приводит к дополнительным затратам. Наиболее близким к предлагаемому способу является способ выделения белковых веществ из молочной сыворотки путем введения в нее железосодержащей полиакриловой кислоты в количестве 0,3-1% от веса смеси, с последующим выдерживанием смеси и отделением образовавшегося осадка (прототип) [2]. Недостатком данного способа является низкое количество выделенного белка (50-70%), значительная длительность процесса (30-90 мин), большой расход малодоступного реагента. Задачей предлагаемого изобретения является увеличение полноты выделения белковых веществ с целью их дальнейшего использования; сокращение длительности процесса; снижение расхода добавляемого реагента. Поставленная задача достигается путем введения в молочную сыворотку водорастворимых полимеров – исходного высокоанионного полиакриламида (ПАА) или этого же полиэлектролита, модифицированного глицином, с последующим перемешиванием смеси и отделением образовавшегося осадка. Процесс модификации осуществляется: следующим образом: готовится 0,5% раствор исходного флокулянта и к нему добавляется 0,15% глицина в сухом виде. Смесь перемешивается 20 минут при скорости 40 об/мин, и выдерживается в течение 24 часов. Наличие в глицине двух химически активных функциональных групп (карбоксильная и аминная) способствует их взаимодействию с функциональными группами флокулянта. Процесс сшивки флокулянта молекулами глицина условно можно представить следующей схемой: Свойства исходного и модифицированного полиэлектролитов приведены в таблице 1.
Эксперимент проводят с натуральной творожной сывороткой при комнатной температуре (рН 4,2-4,6). Количество добавляемого флокулянта 0,2-0,4% от массы сыворотки. Образующийся комплекс белок-полимер выпадает в виде хлопьевидного осадка, который легко отделяется фильтрованием. Степень извлечения белка составляет при этом 90-95%. Высокая степень извлечения белковых веществ связана с большой молекулярной массой полиакриламида и особенностями химического строения его макромолекул. Пример 1. К 100 мл молочной сыворотки со значением рН 4,2-4,6, содержащей 0,8 г белка, при комнатной температуре вводят 0,2-0,4 мл водного 0,05%-ного раствора исходного полиакриламида. Образовавшийся хлопьевидный осадок отделяют фильтрованием. Степень извлечения белка при этом составляет 90%. Пример 2. К 100 мл молочной сыворотки, аналогичной примера 1, и в условиях примера 1 вносят 0,2-0,4 мл водного 0,05%-ного раствора полиакриламида, модифицированного глицином в количестве 0,15% от массы флокулянта. Образовавшийся хлопьевидный осадок отделяют фильтрованием. Степень извлечения белка при этом составляет 95%. Результаты испытаний представлены в таблице 2.
Как следует из таблицы предлагаемый способ по сравнению с известным позволяет увеличить степень извлечения белка на 10-15%, снизить расход реагента, сократить продолжительность процесса выделения в 15-30 раз. ЛИТЕРАТУРА 1. Коагуляция сывороточных белков водорастворимыми полимерами. Пищевая технология, 2005, №2, с.57-58. 2. Авторское свидетельство №1011101, кл. А23J 1/20.
Формула изобретения
Способ выделения белков из молочной сыворотки путем введения в нее флокулянта в качестве водорастворимого полимера, отличающийся тем, что в качестве флокулянта используют исходный полиакриламид или полиакриламид, модифицированный глицином, вводимые в сыворотку в количестве 0,2-0,4% от массы сыворотки.
|
||||||||||||||||||||||||||||||||||||||||||||||||

