|
|
(21), (22) Заявка: 2006132759/09, 12.09.2006
(24) Дата начала отсчета срока действия патента:
12.09.2006
(43) Дата публикации заявки: 20.03.2008
(46) Опубликовано: 27.02.2009
(56) Список документов, цитированных в отчете о поиске:
RU 2239941 С2, 10.11.2004. RU 99120097 А, 27.08.2001. SU 231219, 15.11.1968. GB 2039447, 06.08.1980. GB 1116092, 06.06.1968. E 0624000 A2, 27.04.1994.
Адрес для переписки:
394018, г.Воронеж, ул. Плехановская, 14, ОАО “Концерн “Созвездие”
|
(72) Автор(ы):
Сулимов Виктор Семенович (RU), Лукьянчиков Виктор Дмитриевич (RU)
(73) Патентообладатель(и):
Открытое акционерное общество “Концерн “Созвездие” (RU)
|
(54) СПОСОБ ПЕРЕДАЧИ ДИСКРЕТНОЙ ИНФОРМАЦИИ
(57) Реферат:
Изобретение относится к радиосвязи и может быть использовано в системах передачи дискретной информации, функционирующих в неблагоприятной помеховой обстановке. Достигаемый технический результат – увеличение пропускной способности линий радиосвязи и простота реализации. Способ предусматривает введение избыточности в исходную двоичную последовательность (ДП) на передающей стороне, а на приемной стороне – восстановление исходной ДП. Избыточность вводят путем формирования символов троичного кода, несущих информацию о позиции текущего бита в блоке нулей или блоке единиц. Если символ троичного кода определяет нечетную позицию бита в блоке единиц или в блоке нулей, то несущее колебание модулируют параметром, отличающимся значением для блока единиц и для блока нулей. Если он определяет четную позицию – третьим значением. Два первых значения параметра переносят информацию о единице и нуле соответственно. Третье значение – о повторении текущего бита исходной ДП. Демодулируют поступающие сигналы способом, соответствующим виду модуляции. Определяют значения параметров модуляции. По значениям параметров восстанавливают символы троичного кода. Для чего каждый символ троичного кода преобразуют в три бита, из битов соответствующих позиций формируют три ДП. Единицы первой и второй ДП соответствуют битам исходной ДП, стоящим на нечетных позициях. Единицы третьей ДП соответствуют битам, стоящим на четных позициях. По битам двух первых ДП восстанавливают исходную ДП. Биты третьей ДП служат для синхронизации процесса приема. 1 ил., 1 табл.
Изобретение относится к области радиосвязи и может быть использовано в системах передачи информации, функционирующих в неблагоприятной помеховой обстановке.
Помехоустойчивые способы передачи дискретной информации базируются на том, что в двоичные сообщения различным образом вводятся избыточные биты, а на приемной стороне по известным алгоритмам избыточные биты используются для обнаружения и коррекции ошибок, вызываемых воздействием разного рода помех. При этом чем больше вводимая битовая избыточность, тем эффективнее корректируются ошибки на приемной стороне.
Известны способы передачи дискретной информации, например [Д.Д.Кловский. Теория передачи сигналов. – M.: Связь, 1973, стр.200-231; Заявка на изобретение №99120097/09 от 07.12.1998 – МПК7 Н03М 7/00], где на приемной стороне по заданному алгоритму осуществляют преобразование информационной последовательности бит в последовательность кодовых комбинаций с некоторым количеством избыточных бит, при этом на приемной стороне известен алгоритм, с помощью которого избыточные биты в принятых кодовых комбинациях используются для обнаружения и коррекции ошибок в принятых кодовых комбинациях, вызываемых воздействием помех в канале связи. Основным недостатком этих способов является то, что при их использовании повышение корректирующей способности влечет за собой увеличение количества избыточных (корректирующих) бит в кодовых комбинациях, что приводит к снижению пропускной способности линий радиосвязи.
Наиболее близким по технической сущности к предлагаемому является способ передачи дискретной информации по патенту RU 2239941 С2, Н03М 13/00, 10.11.2004, принятый за прототип.
В способе-прототипе корректирующая способность вводимой битовой избыточности может возрастать не только за счет увеличения количества корректирующих бит в дискретном сообщении, но и за счет формирования корректирующих бит специальным образом. При этом ошибки, обнаруженные на приемной стороне, оказываются в сильной степени коррелированными в соседних кодовых комбинациях, что повышает корректирующие свойства вводимой битовой избыточности, как если бы количество корректирующих бит в сообщении было увеличено по сравнению с их действительным количеством.
Способ-прототип заключается в следующем.
На передающей стороне исходная двоичная последовательность в виде единиц и нулей (бит) разбивается на группы по n бит.
К каждой такой группе информационных бит добавляется по k контрольных (корректирующих или избыточных) бит, комбинацию которых определяют в зависимости от комбинации n информационных бит: k контрольных бит выбирают в соответствии с символом i, определяемым путем сложения по модулю P=2k символа i, соответствующего комбинации из k выбранных информационных бит, с символом i-1, соответствующим комбинации из k контрольных бит предыдущей кодовой комбинации из n+k бит сообщения i= i-1+ i (mod P).
На приемной стороне по известному алгоритму осуществляется восстановление исходной двоичной информационной последовательности по принятым кодовым комбинациям из n+k бит: для каждой кодовой комбинации формируют корректирующий символ для выбранной комбинации из k информационных бит путем сложения по mod P символа i, соответствующего принятой комбинации контрольных бит, с сопряженным символом , соответствующим комбинации контрольных бит предыдущей кодовой комбинации сообщения , где .
Сравнивают сформированные корректирующие символы , с символами i, соответствующими комбинации из k выбранных и принятых информационных бит.
Если нет искажений в двух смежных сравниваемых символах, то заменяют все искаженные комбинации из k выбранных информационных бит i на комбинации, соответствующие корректирующим символам для комбинации из k выбранных информационных бит.
Если имеются искажения в двух смежных сравниваемых символах i, и i+1, , то формируют корректирующие символы для комбинации контрольных бит путем сложения по mod Р символа i, соответствующего комбинации из k выбранных и принятых информационных бит со всеми предыдущими символами, соответствующими комбинациям из k выбранных и принятых информационных бит этого сообщения .
Сравнивают символы с символами i, соответствующими комбинации из k принятых контрольных бит, и корректируют искаженные смежные комбинации из k выбранных и принятых информационных бит, если возникли расхождения в последующих сравниваемых комбинациях контрольных бит.
Анализ способа-прототипа показывает, что ему присущи следующие недостатки:
– сложность введения избыточности, а особенно сложность алгоритма коррекции ошибок в передаваемом сообщении на приемной стороне;
– глубина корреляционных связей ошибок в смежных кодовых комбинациях, которая определяет дополнительное увеличение корректирующих свойств вводимой битовой избыточности, зависит от величины этой избыточности, то есть в конечном итоге увеличение эффективности способа-прототипа также связано с увеличением вводимой избыточности, но в меньшей степени, чем в аналогичных способах.
Для устранения указанных недостатков в способе передачи дискретной информации, включающем на передающей стороне введение избыточности в исходную двоичную последовательность, а на приемной стороне – восстановление исходной двоичной последовательности, согласно изобретению на передающей стороне логическими операциями над битами исходной двоичной последовательности формируют символы троичного кода, несущие информацию о позиции текущего бита в блоке нулей или блоке единиц; если символ троичного кода определяет нечетную позицию бита в блоке единиц или в блоке нулей, то несущее колебание модулируют параметром, отличающимся значением для блока единиц и для блока нулей; если символ троичного кода определяет четную позицию бита в блоке единиц или в блоке нулей – третьим значением параметра, отличным от первых двух его значений, при этом два первых значения параметра модуляции являются переносчиками информации о единице и нуле соответственно а третье значение – о повторении текущего бита исходной двоичной последовательности; несущее колебание, модулированное троичным кодом, поступает в канал связи; на приемной стороне поступающие сигналы демодулируют способами, соответствующими виду модуляции сигналов, и определяют значения параметра модуляции, по этим значениям параметра модуляции восстанавливают соответствующие символы троичного кода, которые преобразуют в три бита и, таким образом, одновременно получают три двоичные последовательности, причем единицы первой и второй последовательностей соответствуют битам исходной двоичной последовательности, стоящим на нечетных позициях в блоках единиц и нулей соответственно, а единицы третьей последовательности – битам, стоящим на четных позициях в этих блоках; с помощью логических операций над битами двух первых двоичных последовательностей восстанавливают исходную двоичную последовательность, биты третьей полученной двоичной последовательности используют для синхронизации процесса приема.
Предлагаемый способ передачи дискретной информации заключается в следующем.
На передающей стороне. В исходную двоичную последовательность вводят избыточность следующим образом. На произвольном такте (промежутке времени, равном длительности бита Т) бит исходной двоичной последовательности i сравнивают с предыдущим битом (задержанным на такт)

результат сравнения (1) логически умножают на промежуточный результат предыдущего такта Ii-1 (i=1, 2, …, n, где n – длина исходной последовательности)

результат логического умножения (2) сравнивают с поступившим битом i

и результат второго сравнения (3) суммируют по модулю 2 (mod 2) с поступившим битом i. При этом получают промежуточный результат данного такта, который используют при аналогичных операциях следующего такта

Как видно из (4), промежуточный результат текущего такта получен в виде рекуррентного соотношения. Далее одновременно логически перемножают поступивший на данном такте бит i и промежуточный результат данного такта Ii (4), инвертируют поступивший на данном такте бит i, и логически перемножают результат инверсии с промежуточным результатом данного такта Ii (4), инвертируют промежуточный результат данного такта Ii (4):

Правильная работа рекуррентного механизма (1)-(5) обеспечивается при начальных значениях

Таким образом, на каждом такте формируется одна из трех комбинаций (троичных символов или символов троичного кода)

Здесь i={100}, i={010} или i={001}, где – элементы троичного символа; индекс р=Е, Z или R у элемента троичного символа показывает, какая из операций (5) его определяет. Каждый из трех возможных символов троичного кода несет информацию о позиции текущего бита в блоке единиц или блоке нулей исходной двоичной последовательности. Как видно из (5) и (7), у символа {100} , , , значит, этот символ несет информацию о том, что текущий бит исходной двоичной последовательности занимает нечетную позицию в блоке единиц и ему будет соответствовать признак единицы. Соответственно символ {010} несет информацию о том, что текущий бит исходной двоичной последовательности занимает нечетную позицию в блоке нулей, а символ троичного кода {001} несет информацию о том, что текущий бит исходной двоичной последовательности занимает четную позицию в блоке единиц или в блоке нулей.
Для логических операций использованы следующие обозначения и терминология: символ « » означает логическое суммирование (дизъюнкция – ИЛИ), символ « » – логическое умножение (конъюнкция – И), символ « » – суммирование по модулю два (исключающее ИЛИ), символ « » – отрицание (инверсия – НЕ) и символ « » – сравнение (последовательность операций: исключающее ИЛИ-НЕ).



Параметры модуляции могут быть амплитудными, частотными или фазовыми (параметр модуляции будет отличаться значениями амплитуд, несущих частот или фаз высокочастотного заполнения).
В случае амплитудной модуляции генерируют несущее колебание cos( t), где =2 f -, f – несущая частота и модулируют его амплитудами в соответствии с поступающими символами троичного кода:

В случае использования фазовой модуляции несущее колебание модулируют фазами в соответствии с поступающими символами троичного кода:

В случае использования частотной модуляции генерируют три ортогональных несущих колебания: cos( Et), cos( Zt) или cos( Rt) таких, что

и в канал связи поступит сигнал, у которого несущая частота выбрана в соответствии с поступившим символом троичного кода:

На приемной стороне. С использованием стандартных способов, соответствующих виду модуляции приходящих сигналов [А.Г.Зюко, Ю.Ф.Коробов. Теория передачи сигналов. – М.: Связь, 1972, стр.136, рис.5.8 – когерентная демодуляция многопозиционных сигналов; стр.139, рис.5.9 – некогерентная демодуляция многопозиционных сигналов], определяют значение параметра модуляции

По значению параметра модуляции восстанавливают соответствующий символ троичного кода

Далее преобразуют символы троичного кода в двоичные символы (биты), для чего из каждого символа троичного кода выделяют его элементы , , , представляющие собой биты, из которых одновременно формируют три двоичные последовательности , , , …, , …, , , , …, , … и , , , …, , …. Единицы в первой и второй двоичных последовательностях соответствуют битам исходной двоичной последовательности, стоящим на нечетных позициях в блоках единиц и нулей соответственно; единицы в третьей двоичной последовательности соответствуют битам исходной двоичной последовательности, стоящим на четных позициях в блоках единиц и в блоках нулей. Две первые двоичные последовательности используют для восстановления исходной двоичной информации. Для этого над битами из двоичных последовательностей , , , …, , … и , , , …, , … осуществляют следующие операции. На произвольном такте текущий бит первой полученной двоичной последовательности логически суммируют с исходным информационным битом, восстановленным на предыдущем такте i-1

результат логического суммирования (13) подвергают операции отрицания

текущий бит второй полученной двоичной последовательности ai Z, логически суммируют с результатом операции отрицания (14)

значение восстановленного на текущем такте информационного бита исходной двоичной последовательности находят как отрицание результата логического суммирования (15)

Полученное соотношение (16) представляет собой рекуррентный алгоритм восстановления исходной двоичной последовательности при начальном значении 0=0. Биты третьей сформированной двоичной последовательности , , , …, , … используются для синхронизации процесса приема сигналов.
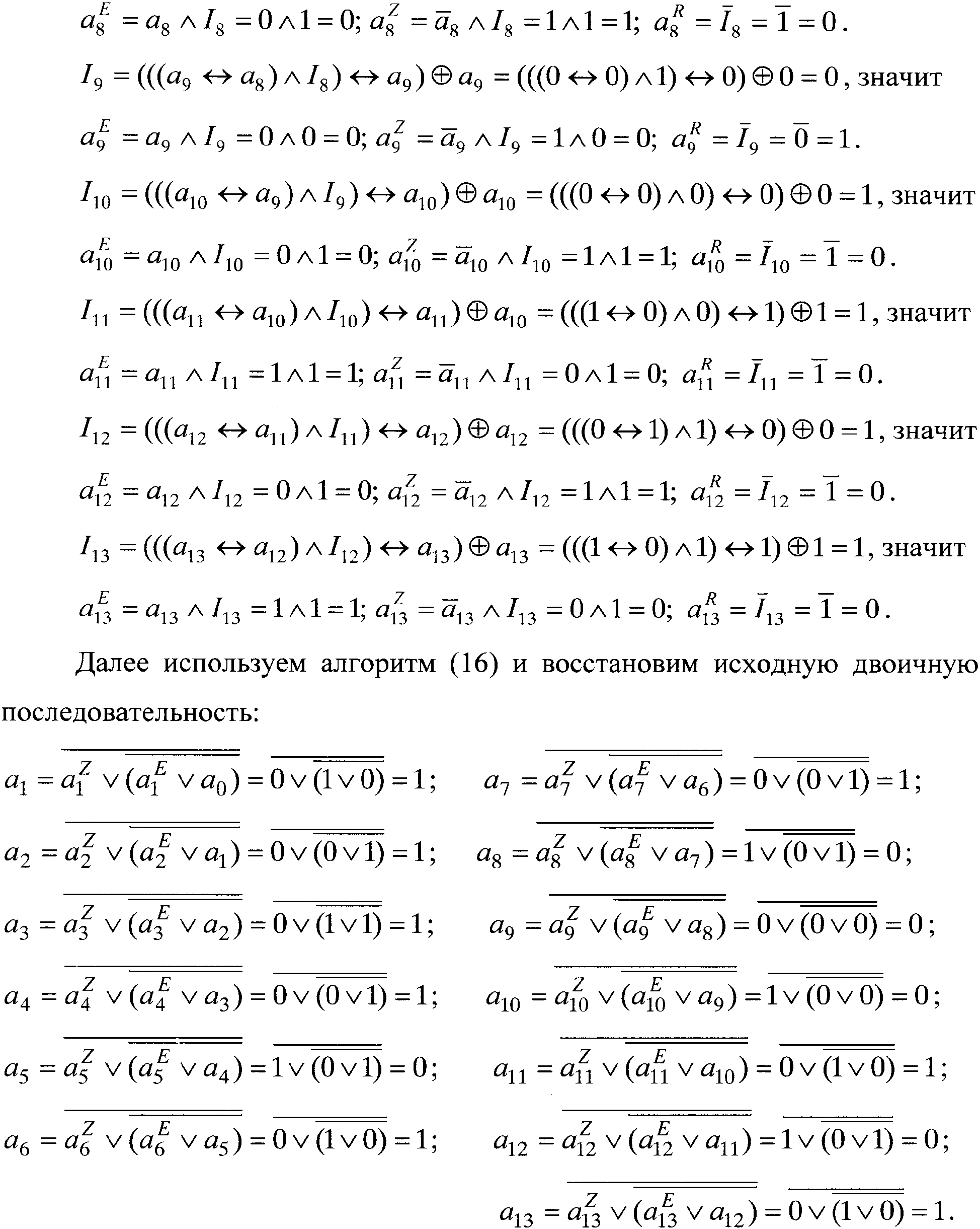
Например, используя рекуррентный алгоритм (4)-(5), для исходной двоичной последовательности (третья строка в таблице, приведенной ниже) сформируем соответствующие символы троичного кода:
 
В приведенной выше таблице в 4, 5 и 6 строках отражены результаты работы рекуррентного алгоритма (1)-(5), а в последней строке даны результаты работы рекуррентного алгоритма (16).
Анализ работы алгоритма (16) в приведенном примере показывает, что восстановление бит исходной двоичной последовательности в блоках единиц будет осуществляться по первым битам в этих блоках, независимо от того, какие значения будут у последующих бит в этих блоках на приемной стороне, при том условии, что на всех тактах восстановления блока во второй последовательности будут нули. Точно так же восстановление бит исходной двоичной последовательности в блоках нулей будет осуществляться по первым битам в этих блоках, независимо от того, какие значения будут у последующих бит в этих блоках на приемной стороне, при том условии, что на всех тактах восстановления блока в первой последовательности будут нули. Как видно из таблицы, эти условия всегда выполняются. Кроме того, ошибки в битах исходной двоичной последовательности, соответствующих битам третьей полученной последовательности , совершенно не влияют на качество восстановления исходной информации, что эквивалентно коррекции такого же количества ошибочных бит при использовании способа-прототипа.
Источник информации на передающей стороне выдает единицы и нули с равной вероятностью p=0,5. Согласно теории вероятностей средняя длина блока единиц или блока нулей будет равна . Учитывая, что при n>>1 n-1 n, получим, что . Следовательно, предлагаемый способ восстановит в среднем до половины ошибочных бит в исходном сообщении. При этом, как показано выше, алгоритм введения избыточности (механизм преобразования двоичных символов в символы троичного кода) несложен, а восстановление исходной двоичной последовательности на приемной стороне осуществляется совсем просто.
При использовании способа-прототипа в сообщении, к примеру, содержащем 30 кодовых комбинаций (n=4, k=3), то есть 210 бит, может быть исправлено до 60 бит, которые могут исказиться в 20 кодовых комбинациях. При этом битовая избыточность составит 44%. Предлагаемый способ может исправить те же 60 бит, но длина сообщения составит всего 120 бит (параметрическая избыточность 33%, то есть третья амплитуда, третья частота или третья фаза).
Как видно, при одинаковой скорости передачи пропускная способность линий радиосвязи, использующих предлагаемый способ, почти в два раза выше.
Таким образом, предлагаемый способ передачи дискретной информации реализует такую же помехоустойчивость, как и способ-прототип, но обеспечивает повышенную пропускную способность линий связи и гораздо проще в реализации.
Укрупненная функциональная схема устройства для осуществления предлагаемого способа представлена на чертеже, где обозначено:
1 – блок динамической памяти на один двоичный символ;
2 – блок промежуточных операций Ii с начальным состоянием I0=0;
3 – блок формирования символов троичного кода (в нем принимается решение о четности или нечетности позиции текущего бита исходной двоичной последовательности в блоке нулей или единиц);
4 – модулятор;
5 – демодулятор;
6 – блок операций восстановления бит исходной двоичной последовательности.
Устройство, с помощью которого реализуется предлагаемый способ, содержит на передающей стороне блок формирования символов троичного кода 3, модулятор 4, последовательно соединенные блок динамической памяти на один двоичный символ 1 и блок промежуточных операций 2, причем вход блока 1, первый вход блока 2 и второй вход блока 3 являются входами для символов исходной двоичной последовательности, второй вход блока 2 соединен с выходом блока 1, а его выход соединен с первым входом блока 3, три выхода которого соединены с соответствующими входами блока 4, выход которого является выходом передающей стороны.
На приемной стороне – демодулятор 5 и блок операций восстановления бит исходной последовательности 6, выход которого является выходом приемной стороны устройства. Демодулятор 5 имеет три выхода, причем второй и третий выходы соединены с соответствующими входами блока операций восстановления бит исходной последовательности 6, а вход является входом для полезных сигналов.
Устройство работает следующим образом. На передающей стороне.
Бит исходной двоичной последовательности с единичной амплитудой и длительностью Т поступает на вход блока 1, на первый вход блока 2 и на второй вход блока 3. Одновременно с выхода блока 1 на второй вход блока 2 поступает хранящееся там начальное значение и с выхода блока 2 на первый вход блока 3 поступает результат операции (4). В блоке 3 с использованием текущего бита исходной двоичной последовательности и результата операции (4) осуществляется операция (5) и с его выходов на соответствующие входы модулятора 4 поступает символ троичного кода (7). При этом, если на вход устройства поступит двоичная единица и значение результата (4) равно единице, то одновременно с первого выхода блока 3 на соответствующий вход модулятора 4 поступит нуль, со второго выхода блока 3 на соответствующий вход модулятора 4 поступит единица и с третьего выхода блока 3 на соответствующий вход модулятора 4 поступит нуль. Если на вход устройства поступит двоичная единица и значение результата (4) равно нулю, то одновременно с первого выхода блока 3 на соответствующий вход модулятора 4 поступит единица, со второго выхода блока 3 на соответствующий вход модулятора 4 поступит нуль и с третьего выхода блока 3 на соответствующий вход модулятора 4 поступит нуль. Если на вход устройства поступит двоичный нуль и значение результата (4) равно единице, то одновременно с первого выхода блока 3 на соответствующий вход модулятора 4 поступит нуль, со второго выхода блока 3 на соответствующий вход модулятора 4 поступит нуль и с третьего выхода блока 3 на соответствующий вход модулятора 4 поступит единица. Наконец, если на вход устройства поступит двоичный нуль и значение результата (4) равно нулю, то одновременно с первого выхода блока 3 на соответствующий вход модулятора 4 поступит единица, со второго выхода блока 3 на соответствующий вход модулятора 4 поступит нуль и с третьего выхода блока 3 на соответствующий вход модулятора 4 поступит нуль. Таким образом, на каждом такте на входы модулятора 4 поступает символ троичного кода (7), элементы которого формируются на выходах блока 3. Этот символ несет информацию о позиции текущего бита исходной двоичной последовательности в блоке нулей или блоке единиц. В модуляторе 4 в соответствии с поступившим символом троичного кода (7) модулируется несущее колебание, и в канал связи поступает высокочастотный сигнал, несущий информацию о позиции соответствующего бита исходной двоичной последовательности в блоке единиц или нулей. На приемной стороне.
На вход демодулятора 5 поступают сигналы (8), (9) или (10), которые обрабатывают стандартными способами, соответствующими виду модуляции приходящих сигналов, и восстанавливают троичные символы (12). Из соответствующих элементов полученных символов троичного кода одновременно формируют двоичные последовательности (последовательности бит) , , , …, , …, , , , …, , … и , , , …, , …. Со второго и третьего выходов демодулятора 5 на соответствующие входы блока 6 поступают двоичные последовательности , , , …, , …, , , , …, , …, где в соответствии с алгоритмом (16) осуществляется восстановление бит исходной двоичной последовательности, которая с выхода блока 6 поступает на оконечное устройство. В то же время с первого выхода демодулятора 5 биты третьей двоичной последовательности , , , …, , … поступают на вход устройства синхронизации.
Реализация устройства, осуществляющего предлагаемый способ передачи дискретной информации, не вызывает затруднений, так как логические элементы и функциональные узлы, входящие в блоки устройства, общеизвестны, широко используются в отечественных и зарубежных патентах, а также описаны в технической литературе.
Формула изобретения
Способ передачи дискретной информации, включающий на передающей стороне введение избыточности в исходную двоичную последовательность, а на приемной стороне – восстановление исходной двоичной последовательности, отличающийся тем, что на передающей стороне введение избыточности осуществляется путем формирования символов троичного кода, несущих информацию о позиции текущего бита в блоке нулей или блоке единиц; если символ троичного кода определяет нечетную позицию бита в блоке единиц или в блоке нулей, то несущее колебание модулируют параметром, отличающимся значением для блока единиц и для блока нулей; если он определяет четную позицию бита в блоке единиц или в блоке нулей – третьим значением параметра, отличным от первых двух его значений, при этом два первых значения параметра модуляции являются переносчиками информации о единице и нуле соответственно, а третье значение – о повторении текущего бита исходной двоичной последовательности; несущее колебание, модулированное в соответствии с троичным кодом, поступает в канал связи; на приемной стороне поступающие сигналы демодулируют способом, соответствующим виду модуляции сигналов, и определяют значения параметров модуляции, по этим значениям параметров восстанавливают соответствующие символы троичного кода; каждый символ троичного кода преобразуют в три бита, из битов соответствующих позиций формируют три двоичные последовательности, причем единицы первой и второй двоичных последовательностей соответствуют битам исходной двоичной последовательности, стоящим на нечетных позициях в блоках единиц и нулей соответственно, а единицы третьей двоичной последовательности – битам, стоящим на четных позициях в этих блоках; с помощью логических операций над битами двух первых двоичных последовательностей восстанавливают исходную двоичную последовательность, биты третьей полученной двоичной последовательности используют для синхронизации процесса приема.
РИСУНКИ
|
|