Патент на изобретение №2162688
|
||||||||||||||||||||||||||
(54) КОМПОЗИЦИЯ В ФОРМЕ ЖИДКОЙ ЭМУЛЬСИИ ТИПА МАСЛО-В-ВОДЕ ДЛЯ НАРУЖНОГО НАНЕСЕНИЯ
(57) Реферат: Настоящее изобретение относится к новой композиции в форме жидкой эмульсии типа масло-в-воде (М/В) для топического нанесения, содержащей 30 – 50 мас.% в расчете на общую массу композиции по крайней мере одного гликоля, соответствующую эмульгирующую систему и по крайней мере один активный агент. Жидкая композиция согласно изобретению имеет предпочтительно вязкость от 3 до 10 Па с (3000 – 1000 сПз), причем вязкость определяют с помощью вискозиметра Брукфилда, модель LVDV 11+ двигатель N 4, при скорости вращения 30 об/мин в течение 30 с и при температуре 25 3oC. Композиция облегчает наружное нанесение активного агента, обладает клейкой способностью при сохранении свойств гликоля, благоприятствующих впитыванию. 14 з.п.ф-лы.
Изобретение относится к новой композиции в форме жидкой эмульсии типа масло-в-воде (М/В) для наружного нанесения, содержащей значительное количество по крайней мере одного гликоля, способствующего впитыванию, соответствующую эмульгирующую систему и активный агент. В настоящее время имеются многочисленные композиции для наружного нанесения, содержащие активный агент и значительное количество гликоля, который благоприятствует проникновению активного агента в кожу. Учитывая высокое содержание такого гликоля, эти композиции получают в виде эмульсий с высоким содержанием жировой фазы, которые также обычно называют “липокремами”, или в виде безводных композиций, которые называют “мази”, или в виде жидких составов с высоким содержанием летучих растворителей, таких как этанол или изопропанол, предназначенных для нанесения на волосяной покров, называемых также “лосьоны для ухода за волосами”, или в форме вязких эмульсий М/В, которые называют также “кремы М/В”. Известны, например, кремы М/В, содержащие кортикоид и высокий процент пропиленгликоля (47,5%), выпускаемые в продажу под названием TEMOVATE фирмой GLAXO. Однако стабилизация состава, включающего такое количество гликоля, требует использования в эмульсии эмульгаторов и стабилизаторов типа глицерилстеарата или ПЭГ-100-стеарата, а также стабилизаторов или агентов вязкости типа белого воска или кетостеарилового спирта, которые приводят к образованию вязкого крема, то есть вязкость которого выше 10 Па с (10000 сПз, измеряемая с помощью вискозиметра Брукфилда, модель LVDV 11+ двигатель N 4, со скоростью вращения 30 оборотов в минуту в течение 30 секунд и при температуре 25oC 3oC).
Для облегчения нанесения композиций для наружного нанесения, содержащих высокий процент гликоля, представляется полезным иметь новую стабильную препаративную форму типа эмульсии М/В, вязкость которой является промежуточной между слишком жидкими капиллярными лосьонами, имеющими ограниченное использование, и слишком вязкими кремами М/В, которая обладала бы жировым характером и клейкой способностью при сохранении свойств гликоля, благоприятствующих впитыванию.
Настоящее изобретение, следовательно, относится к новой композиции в форме жидкой эмульсии типа масло-в-воде для наружного нанесения, содержащей 30-50 мас.%, в расчете на общую массу композиции по крайней мере одного гликоля, соответствующую эмульгирующую систему и по крайней мере один активный агент.
Под жидкой эмульсией понимают предпочтительно эмульсию, вязкость которой составляет 3-10 Па с (3000-10000 сПз), причем вязкость определяют с помощью вискозиметра Брукфилда, модель LVDV 11+ двигатель N 4, со скоростью вращения 30 оборотов в минуту в течение 30 секунд и при температуре 25oC 3oC.
Стабильную эмульсию согласно изобретению предпочтительно получают, выбирая в качестве соответствующей эмульгирующей системы по крайней мере один полимерный эмульгатор. Полимерные эмульгаторы описываются, в частности, Clymans и Brand в публикации “Cosmetics and Toiletries”, 1995, стр. 119-125.
Речь идет, в частности, об анионных амфифильных полимерах, более конкретно, о полимерах, содержащих по крайней мере одно гидрофильное звено типа ненасыщенной олефиновой карбоновой кислоты и по крайней мере одно гидрофобное звено типа сложного алкилового эфира с 10-30 атомами углерода.
Согласно изобретению, под акриловыми звеньями понимают звенья формулы![]() в которой R1 означает водород или метил или этил, то есть звенья акриловой кислоты, метакриловой кислоты или этакриловой кислоты. Также под алкилакрилатными звеньями понимают звенья структуры ![]() в которой R1 означает водород или метил или этил, то есть акрилатные, метакрилатные или этакрилатные звенья; R2 означает алкильный радикал с 10-30 атомами углерода, предпочтительно с 12-22 атомами углерода. Акрилаты согласно изобретению включают, например, лаурилакрилат, стеарилакрилат, децилакрилат, изодецилакрилат, додецилакрилат и соответствующие метакрилаты, такие как лаурилметакрилат, стеарилметакрилат, децилметакрилат, изодецилметакрилат и додецилметакрилат. Вышеуказанные анионные амфифильные полимеры предпочтительно являются сшитыми с помощью полимеризуемого сшивающего мономера, содержащего группу CH2 = C < с по крайней мере одной другой полимеризуемой группой, ненасыщенные связи которых не сопряжены одна по отношению к другой. Полимеризуемые сшивающие мономеры представляют собой, например и предпочтительно, простые полиаллиловые эфиры, такие как полиаллилсахароза и полиаллилпентаэритритол. Сшитые полимеры этого типа являются хорошо известными; они описываются, в частности, в патентах США 3915921 и 4509949. Согласно изобретению, в качестве анионных амфифильных полимеров можно использовать полимеры, которые состоят из 95-60 мас.% акриловых звеньев, от 4 до 40 мас.% акрилатных звеньев и от 0,1 до 6 мас.% звеньев сшивающего мономера или из 98-96 мас.% акриловых звеньев, 1-4 мас.% акрилатных звеньев и 0,1-0,6 мас.% звеньев сшивающего мономера. Из вышеуказанных сшитых полимеров согласно изобретению особенно предпочтительны продукты, выпускаемые в продажу фирмой GOODRICH под торговыми названиями PEMULEN TR1, PEMULEN TR2, CARBOPOL 1342 или CARBOPOL 1382. Композиция согласно изобретению преимущественно содержит до 1 мас.% соответствующей эмульгирующей системы, предпочтительно, 0,2-0,4 мас.%, в расчете на общую массу композиции. Гликоль, способствующий впитыванию, предпочтительно выбирают среди пропиленгликоля, дипропиленгликоля, пропиленгликольдипеларгоната, лаурилгликоля или этоксидигликоля. Композиция согласно изобретению предпочтительно содержит 40-50 мас.% гликоля, способствующего впитыванию. Из активных агентов в качестве примера можно назвать агенты, вызывающие дифференциацию и/или пролиферацию и/или пигментацию кожи, такие как ретиноевая кислота и ее изомеры, ретинол и его сложные эфиры, ретиналь, ретиноиды, в частности, те, которые описаны в заявке на патент Франции 2570377, европейских заявках на патент 199636, 325540, 402072, витамин Д и его производные, эстрогены, такие как эстрадиол, койевая кислота или гидрохинон; антибактериальные агенты, такие как клиндамицинфосфат, эритромицин или антибиотики класса тетрациклинов; противопаразитарные агенты, в частности метронидазол, кротамитон или пиретриноиды; противогрибковые агенты, в частности соединения, принадлежащие к классу имидазолов, такие как эконазол, кетоконазол или миконазол или их соли; полиеновые соединения, такие как амфотерицин Б; соединения группы аллиламинов, такие как тербинафин или оксопирокс; противовоспалительные агенты стероидного типа, такие как гидрокортизон, антралины (диоксиантранол), антраноиды, бетаметазонвалерат или клобетазолпропионат; или же противовоспалительные агенты нестероидного типа, такие как ибупрофен и его соли, диклофенак и его соли, ацетилсалициловая кислота, ацетаминофен или глицирретиновая кислота; анестезирующие агенты, такие как лидокаингидрохлорид и его производные; противозудные агенты, как теналдин, тримепразин или кипрогептадин; противовирусные агенты, такие как ацикловир; кератолитические агенты, такие как – и -гидроксикарбоновые кислоты или – кетокарбоновые кислоты, их соли, амиды или сложные эфиры и более конкретно, гидроксикислоты, такие как гликолевая кислота, молочная кислота, яблочная кислота, салициловая кислота, лимонная кислота и вообще плодовые кислоты, и н-октаноил-5-салициловая кислота; агенты против свободных радикалов, такие как альфа-токоферол или его сложные эфиры, дисмутазпероксиды, некоторые металлхелатирующие агенты или аскорбиновая кислота и ее эфиры; противосеборейные агенты, такие как прогестерон; агенты против перхоти, такие как октопирокс или пиритион цинка; агенты против акне, как ретиноевая кислота, бензилпероксид или адапален; антиметаболисы; агенты для борьбы против выпадения волос, как моноксидил; антисептики.
Композиция согласно изобретению предпочтительно содержит 0,0001-20 мас. %, в расчете на общую массу композиции, активного агента, предпочтительно 0,025-15 мас.%.
Разумеется, количество активного агента в композиции зависит от типа активного ингредиента. Так, при использовании противовоспалительных стероидов предлагаемая композиция может содержать менее 1 мас.% активного агента, предпочтительно 0,025-0,05 мас.%. При использовании гидрохиноновых агентов композиция предпочтительно содержит 2-5% активного агента. В случае антибактериальных или противогрибковых агентов, как эконазол, композиция может содержать предпочтительно 8-10 мас.% активного агента.
Жировая фаза эмульсии согласно изобретению может содержать жировые вещества, обычно используемые в данной области.
Из них можно назвать силиконовые жировые вещества, такие как силиконовые масла, а также несиликоновые жировые вещества, такие как растительные, минеральные, животные или синтетические масла.
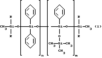
Из силиконовых жировых веществ можно назвать-(i) поли- (C1-C20) алкилсилоксаны, в частности те, которые содержат триметилсилиловые концевые группы, и предпочтительно, те, вязкость которых ниже 0,06 м2/с, из которых можно назвать линейные полидиметилсилоксаны и алкилметилполисилоксаны, например цетилдиметикон (название CTFA); – (ii) летучие силиконовые масла, такие как – летучие циклические силиконы с 3-8 атомами кремния и предпочтительно 4-5 атомами кремния. Речь идет, например, о циклотетрадиметилсилоксане, циклопентадиметилсилоксане или циклогексадиметилсилоксане; – циклосополимеры типа диметилсилоксан/метилалкилсилоксан, такие как СИЛИКОН FZ 3109, выпускаемый в продажу фирмой ЮНЬОН КАРБИД, который представляет собой циклосополимер диметилсилоксана с метилоктилсилоксаном; – летучие линейные силиконы с 2-9 атомами кремния. Речь идет, например, о гексаметилдисилоксане, гексилгептаметилтрисилоксане или октилгептаметилтрисилоксане; – (iii) фенилсодержащие силиконовые масла, в частности формулы ![]() в которой R означает алкильный радикал с 1-30 атомами углерода, арильный радикал или арилалкильный радикал; n означает целое число от 0 до 100; m означает целое число от 0 до 100, при условии, что сумма составляет от 1 до 100. Из жировых несиликоновых веществ можно назвать обычные масла, такие как парафиновое масло, вазелин, миндальное масло, пергидросквален, абрикосовое масло; масло из проросших зерен пшеницы, сладкого миндаля, калофилла; пальмовое масло, касторовое масло, масло авокадо, масло жожоба, оливковое масло или масло из проросших зерен зерновых культур; сложные эфиры жирных кислот и жирных спиртов, такие как октилдодецилмиристат, или (C12-C15) – алкилбензоаты спиртов; ацетилглицериды; октаноаты, деканоаты или рицинолеаты спиртов или многоатомных спиртов; триглицериды жирных кислот; глицериды; гидрированный полиизобутилен; гидрированные, твердые при 25oC, масла; ланолины; твердые при 25oC жирные сложные эфиры. Эти жировые вещества могут быть выбраны специалистом различным образом, чтобы получить композицию, обладающую желаемыми характеристиками, например, по консистенции или по структуре. Жировая фаза эмульсии согласно изобретению может находиться в количестве, составляющем 5-50 мас. %, в расчете на общую массу композиции, и предпочтительно 15-20 мас.%. Водная фаза эмульсии согласно изобретению может содержать воду, цветочную воду, такую как васильковая вода, или лечебную или минеральную природную воду, например, выбираемую среди воды Vittel, вод бассейна Vichy, воды Uriage, воды Roche Posay, воды Bourboule, воды Enghien-les-Bains, воды Saint Gervais-les-Bains, воды Neris-les-Bains, воды Allevard-les-Bains, воды Digne, воды Maizieres, воды Neyrac-les-Bains, воды Lons-le-Saunier, Eaux Bonnes, воды Rochefort, воды Saint Christau, воды Fumades и воды Tercis-les-bains, воды Avene или воды Aix les Bains. Вышеуказанная водная фаза может присутствовать в количестве от 10 до 70 мас.%, в расчете на общую массу композиции, предпочтительно от 20 до 40 мас. %. Значение pH композиции согласно изобретению предпочтительно составляет 5-7, предпочтительно 5,5-6,5. Его можно доводить до желаемого значения путем добавления обычных оснований или кислот, как минеральных, так и органических. Кроме того, композиция согласно изобретению может содержать 0-3 мас.%, предпочтительно 0-2 мас.%, в расчете на общую массу композиции, по крайней мере одного соэмульгатора, который может быть выбран среди сложных эфиров жирных кислот насыщенных или ненасыщенных, природных или синтетических, например, олеиновой кислоты или (изо) стеариновой кислоты, таких как сложные эфиры полиглицерина с изостеариновой кислотой, выпускаемые в продажу под названием LAMEFORM TGI фирмой SIDOBRE-SINNOVA HENKEL; сорбитанизостеарат, выпускаемый в продажу под названием ARLACEL 987 фирмой IСI; сорбитансесквиолеат, выпускаемый в продажу под названием ARLACEL 83 фирмой IСI; сложные эфиры гликоля с изостеариновой кислотой, например ПЭГ-6-изостеарат, выпускаемый в продажу под названием OLEPAL ISOSTEARIQUE фирмой GATTEFOSSE; сложные эфиры сорбитола с олеиновой кислотой, например полисорбаты, выпускаемые в продажу под названием TWEEN фирмой IСI; простые эфиры жирных спиртов, например олеинового спирта, в частности эфиры гликоля и олеинового спирта, например простые олеиновые эфиры, выпускаемые в продажу под названием BRIJ фирмой ICI; оксиэтиленированный сорбисанмоностеарат; жирные спирты, такие как стеариловый спирт или цетиловый спирт. Кроме того, в композицию согласно изобретению можно вводить по крайней мере один агент гелеобразования и/или загуститель в предпочтительных концентрациях, составляющих 0-5 мас.% в расчете на общую массу композиции. Агент гелеобразования и/или загуститель может быть выбран среди следующих агентов: – полисахаридные биополимеры, такие как ксантановая смола, смола плода рожкового дерева, гуаровая смола, альгинаты, модифицированные целлюлозы, такие как гидроксиэтилцеллюлоза, метилцеллюлоза, гидроксипропилцеллюлоза, гидроксипропилметилцеллюлоза и карбоксиметилцеллюлоза; – синтетические полимеры, такие как полиакриловые кислоты, например полимеры глицерил(мет)акрилатов, как HISPAGEL, или LUBRAGEL, выпускаемые фирмами HISPANO QUIMICA или GARDIAN, поливинилпирролидон, поливиниловый спирт, сшитые полимеры на основе акриламида и акрилата аммония, такие как PAS 5161 или BOZEPOL С фирмы ХЕХСТ, сшитые полимеры на основе акриламида и 2-акриламидо-2-метилпропансульфокислоты, частично или полностью нейтрализованной, такие как SEPIGEL 305 фирмы SEPPIC, сшитые полимеры на основе акриламида и метакрилоилоксиэтилтриметиламмонийхлорида, такие как SALCARE SC 92 фирмы ALLIED COLLOIDS, сшитые полимеры на основе акриловой кислоты и простых алкиловых эфиров сахарозы или пентаэритрита (карбомеры), такие как CARBOPOL 910-934 фирмы GOODRICH. Эмульсия может содержать, кроме того, любую добавку, обычно используемую в области косметики или фармацевтики, такую как антиоксиданты, красители, отдушки, эфирные масла, консерванты, косметически активные вещества, гидратанты, витамины, летучие жирные кислоты, сфинголипиды, агенты для искусственного загара, такие как дегидрацетовая кислота, солнечные фильтры, жирорастворимые полимеры, в частности углеводородные, такие как полибутилен, полиалкилены, полиакрилаты и кремнийорганические полимеры, совместимые с жировыми веществами. Разумеется, специалист должен выбрать эти дополнительно вводимые соединения и их количество таким образом, чтобы свойства композиции согласно изобретению не ухудшались или существенно не ухудшались при их введении. Эти добавки могут находиться в композиции в количестве 0-10 мас.% в расчете на общую массу композиции. Ниже приведены примеры получения препаративных форм, иллюстрирующие композицию согласно изобретению, но не ограничивающие изобретение. Количества компонентов выражены в мас.% в расчете на общую массу композиции. Пример 1: Пример композиции согласно изобретению, мас.%: очищенная вода до общего количества – 100 гидроксипропилметилцеллюлоза – 0,10 пропиленгликоль – 47,50 активный агент – 0,05 жидкий парафин 110-230 – 20,00 сшитый полимер на основе акрилата и (C10-C30)-алкилакрилата (выпускаемый в продажу под названием PEMULEN TR-2 фирмой GOODRICH) – 0,30 ПЭГ-6-изостеарат – 2,00 10%-ный раствор гидроксида натрия – до pH 6. В этой композиции активный агент сохраняет стабильность в течение по крайней мере трех месяцев при температуре 40oC. Пример 2: Активность композиции с клобетазолпропионатом. Готовят композицию согласно примеру 1, используя клобетазолпропионат в качестве активного агента. Были осуществлены сравнительные тесты на сосудосуживающее действие согласно модифицированной методике Stoughton с данной композицией и с соответствующим кремом М/В, выпускаемым в продажу под названием TEMOVATE фирмой GLAXO. Результаты показали активность, идентичную для обоих составов, что подтверждает тот факт, что, несмотря на изменение вязкости состава согласно изобретению и использование другой эмульгирующей системы, гликоль, благоприятствующий впитываемости, сохраняет эти свойства в предложенной композиции. Формула изобретения
с (3000 – 10000 сПз), причем вязкость определяют с помощью вискозиметра Брукфилда, модель LVDV 11+ двигатель N4, при скорости вращения 30 об/минуту в течение 30 с и при температуре 25 3oC.
3. Композиция по п.1 или 2, отличающаяся тем, что эмульгирующая система содержит по крайней мере один полимерный эмульгатор.
4. Композиция по п.3, отличающаяся тем, что полимерным эмульгатором является анионный амфифильный полимер, более конкретно, амфифильный анионный полимер, содержащий по крайней мере одно гидрофильное звено типа ненасыщенной олефиновой карбоновой кислоты и по крайней мере одно гидрофобное звено типа сложного (С10 – С30)-алкилового эфира.
5. Композиция по п.4, отличающаяся тем, что анионные амфифильные полимеры сшиты с помощью сшивающих полимеризуемых мономеров, содержащих группу СН2 С < и по крайней мере одну другую полимеризуемую группу, ненасыщенные связи которых не сопряжены одна по отношению к другой, в частности, с помощью простых полиаллиловых эфиров, таких, как полиаллилсахароза и полиаллилпентаэритрит.
6. Композиция по п.4 или 5, отличающаяся тем, что анионный амфифильный полимер выбран среди полимеров, которые состоят из 95 – 60 мас.% акриловых звеньев, 4 – 40 мас.% акрилатных звеньев и 0,1 – 6 мас.% звеньев сшивающего мономера, или таких, которые состоят из 96 – 98 мас.% акриловых звеньев, 1 – 4 мас.% акрилатных звеньев и 0,1 – 0,6 мас.% звеньев сшивающего мономера.
7. Композиция по пп.1 – 6, отличающаяся тем, что она содержит до 1 мас.% соответствующей эмульгирующей системы, предпочтительно 0,2 – 0,4 мас.%.
8. Композиция по пп.1 – 7, отличающаяся тем, что гликоль, благопрятствующий впитыванию, выбран из пропиленгликоля, дипропиленгликоля, пропиленгликольдипеларгоната, лаурилгликоля и этоксидигликоля.
9. Композиция по пп.1 – 8, отличающаяся тем, что она содержит 40 – 40 мас.% гликоля.
10. Композиция по пп.1 – 9 отличающаяся тем, что активный агент выбран из агентов, модулирующих дифференциацию, и/или пролиферацию, и/или пигментацию кожи, антибактериальных агентов, противопаразитарных агентов, противогрибковых агентов, противовоспалительных агентов стероидного или нестероидного типа, анестезирующих агентов, противозудных агентов, противовирусных агентов, кератолитических агентов, агентов против свободных радикалов, противосеборейных агентов, противоперхотных агентов, агентов против акне, антиметаболитов, агентов для борьбы против выпадения волос и антисептиков.
11. Композиция по пп.1 – 10, отличающаяся тем, что она содержит 0,0001 – 20 мас.%, в расчете на общую массу композиции, по крайней мере одного активного агента, предпочтительно 0,025 – 15 мас.%.
12. Композиция по пп.1 – 11, отличающаяся тем, что масляная фаза присутствует в количестве 5 – 50 мас.%, в расчете на общую массу композиции, предпочтительно 15 – 25 мас.%.
13. Композиция по пп. 1 – 12, отличающаяся тем, что водная фаза присутствует в количестве 10 – 75 мас.%, в расчете на общую массу композиции, предпочтительно 20 – 40 мас.%.
14. Композиция по пп. 1 – 13, отличающаяся тем, что она содержит до 3 мас. %, в расчете на общую массу композиции, по крайней мере одного соэмульгатора, предпочтительно до 2 мас.%.
15. Композиция по пп. 1 – 14, отличающаяся тем, что она дополнительно содержит по крайней мере один агент гелеобразования и/или загуститель в концентрациях до 5 мас.%, в расчете на общую массу композиции.
PD4A – Изменение наименования обладателя патента Российской Федерации на изобретение
(73) Новое наименование патентообладателя:
Извещение опубликовано: 10.08.2005 БИ: 22/2005
PC4A – Регистрация договора об уступке патента Российской Федерации на изобретение
Прежний патентообладатель:
(73) Патентообладатель:
Дата и номер государственной регистрации перехода исключительного права: 02.11.2005 № РД0003677
Извещение опубликовано: 20.01.2006 БИ: 02/2006
|
||||||||||||||||||||||||||

с (3000 – 1000 сПз), причем вязкость определяют с помощью вискозиметра Брукфилда, модель LVDV 11+ двигатель N 4, при скорости вращения 30 об/мин в течение 30 с и при температуре 25
3oC. Композиция облегчает наружное нанесение активного агента, обладает клейкой способностью при сохранении свойств гликоля, благоприятствующих впитыванию. 14 з.п.ф-лы.
фирмой GLAXO. Однако стабилизация состава, включающего такое количество гликоля, требует использования в эмульсии эмульгаторов и стабилизаторов типа глицерилстеарата или ПЭГ-100-стеарата, а также стабилизаторов или агентов вязкости типа белого воска или кетостеарилового спирта, которые приводят к образованию вязкого крема, то есть вязкость которого выше 10 Па

– и
-гидроксикарбоновые кислоты или 