Патент на изобретение №2347782
|
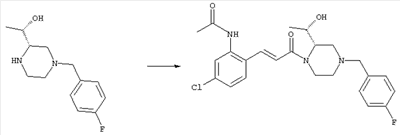
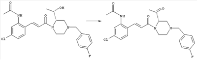
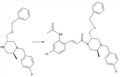
||||||||||||||||||||||||||
(54) ПРОИЗВОДНЫЕ 1-(4-БЕНЗИЛПИПЕРАЗИН-1-ИЛ)-3-ФЕНИЛПРОПЕНОНА И ИХ ПРИМЕНЕНИЕ, ФАРМАЦЕВТИЧЕСКАЯ КОМПОЗИЦИЯ И СПОСОБ ИНГИБИРОВАНИЯ РЕЦЕПТОРОВ ХЕМОКИНА (CCR-1)
(57) Реферат:
Изобретение относится к производным 1-(4-бензилпиперазин-1-ил)-3-фенилпропенона, которые являются антагонистами рецептора 1 хемокина (CCR-1), представленным общей формулой I, или к его фармацевтически приемлемой соли или сложному эфиру, где заместители определены в тексте описания. Заявленные соединения используются для получения фармацевтических композиций, а также для применения в фармацевтике для получения лекарственного средства, обладающего ингибирующей активностью в отношении рецепторов хемокина (CCR-1). 6 н. и 4 з.п. ф-лы.
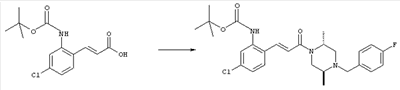
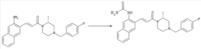
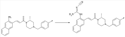
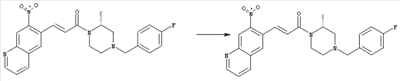
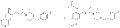
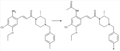
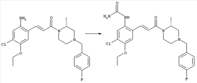
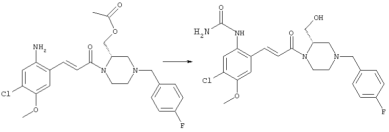
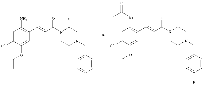
Настоящая заявка относится к производным 1-(4-бензилпиперазин-1-ил)-3-фенилпропенона, которые являются антагонистами рецептора 1 хемокина (CCR-1), и к их применению для лечения заболеваний или нарушений, связанных с миграцией и активацией моноцитов и Т-клеток, включая воспалительные заболевания. Настоящая заявка относится к соединению формулы I или к его фармацевтически приемлемой соли или сложному эфиру:
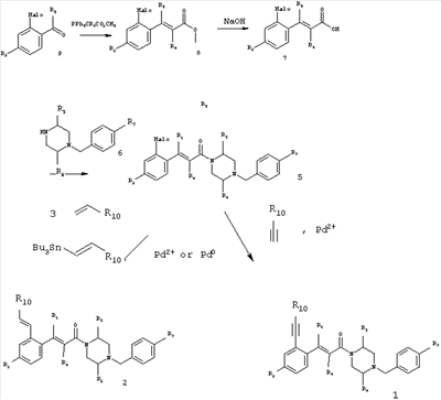
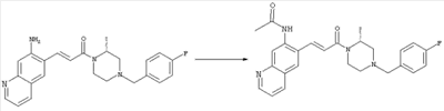
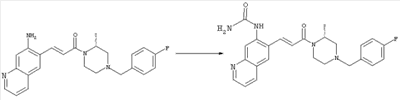
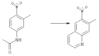
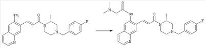
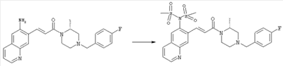
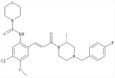
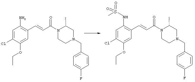
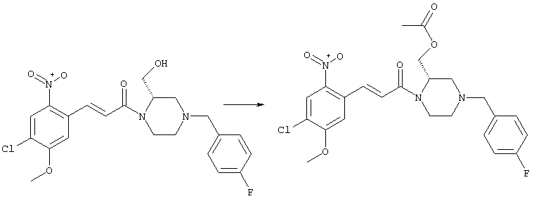
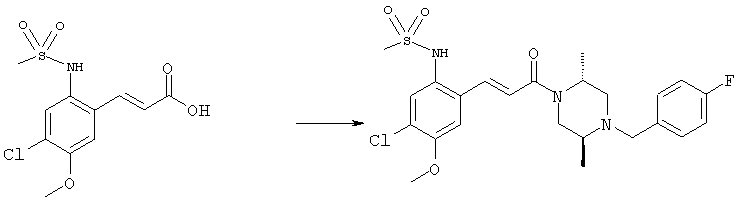
в котором R1 означает -Х-R10, -Х-(R10)2 или -NR11R12, где X означает связующее звено, содержащее 1 атом, или цепь, содержащую 2, 3 или 4 атома, выбранные из N, С, О или S, и где указанное связующее звено содержит 2 или более атомов углерода, причем связующее звено может содержать 1 или более связей С=С или С где любой из указанных атомов имеет до 2 необязательных заместителей, выбранных из ряда: водород, оксогруппа, цианогруппа, галоген, нитрогруппа или необязательно замещенные оксигруппу, (низш.)алкил, (низш.)алкенил, (низш.)алкинил, карбонил, серосодержащую аминогруппу; R10 означает заместитель, который независимо выбран из группы, включающей водород, цианогруппу, галоген, нитрогруппу или необязательно замещенные оксигруппу, (низш.)алкил, (низш.)алкенил, (низш.)алкинил, карбонил, аминогруппу, циклоалкил, гетероциклоалкил, арил, гетероарил; R11 и R12 каждый означает (низш.)алкил, присоединенный таким образом, что R1 означает необязательно замещенный гетероциклоалкил или гетероарил; R1 и R7 означают один или несколько заместителей, присоединенных к фенильному кольцу, выбранных из группы, включающей водород, цианогруппу, галоген, нитрогруппу или необязательно замещенные оксигруппу, (низш.)алкил, (низш.)алкенил, (низш.)алкинил, карбонил, аминогруппу, серу, циклоалкил, гетероциклоалкил, арил, гетероарил, или заместитель, образующий бициклическую систему, в которой фенильное кольцо, к которому этот заместитель присоединен, образует часть бицикла, например, бутадиен образует нафтил, или гетеробутадиен образует хинолинил, хиноксалинил или изохинолинил; R3 и R4 независимо выбраны из группы, включающей водород, цианогруппу, галоген, (низш.)алкил, (низш.)алкенил, (низш.)алкинил, карбонил, циклоалкил, гетероциклоалкил, арил; R5 и R6 независимо выбраны из группы, включающей водород, цианогруппу, (низш.)алкил, (низш.)алкенил, (низш.)алкинил, карбонил, циклоалкил, гетероциклоалкил, арил. Упомянутые выше и в любом фрагменте настоящего описания термины имеют следующие значения. Термин «низш.», использованный при описании органических радикалов или соединений, означает разветвленное или неразветвленное соединение или радикал, включающий до 7 атомов углерода. Группа (низш.)алкил является разветвленной или неразветвленной и содержит от 1 до 7 атомов углерода, предпочтительно от 1 до 4 атомов углерода. (Низш.)алкил означает, например, метил, этил, н-пропил, изо-пропил, н-бутил, изобутил, н-пентил, трет-бутил, н-гептил. (Низш.)алкил необязательно замещен группами: водород, циано, галоген, нитро, амино, окси, алкокси. Группа (низш.)алкенил является разветвленной или неразветвленной и содержит от 2 до 7 атомов углерода, предпочтительно от 2 до 6 атомов углерода и содержит по крайней мере одну двойную связь. (Низш.)алкенил необязательно замещен группами: водород, циано, галоген, нитро, амино. (Низш.)алкенил означает, например, этенил, проп-1-енил, бут-1-енил, пент-1-енил, пент-1,4-диенил. Группа (низш.)алкинил является разветвленной или неразветвленной и содержит от 2 до 7 атомов углерода, предпочтительно от 2 до 6 атомов углерода и содержит по крайней мере одну тройную связь. (Низш.)алкинил необязательно замещен группами: водород, циано, галоген, нитро, амино. (Низш.)алкинил означает, например, этинил, проп-1-инил, бут-1-инил, пент-1-инил, пент-3-инил. Термин «аминогруппа» означает радикалы -NH2 и =NH, которые необязательно замещены, например, группой (низш.)алкил. Термин «арил» означает карбоциклический арил и гетероциклический арил. Карбоциклический арил означает ароматический циклический углеводород, содержащий в цикле от 6 до 18 атомов. Карбоциклический арил означает моно-, би- или трициклическую систему. Карбоциклический арил означает, например, фенил, нафтил, бифенил. Карбоциклический арил необязательно включает вплоть до 4 заместителей. Карбонил означает радикал -С(O)-. Цианогруппа или нитрил означают радикал -CN. Циклоалкил означает циклический углеводород, содержащий в цикле от 3 до 12 атомов, предпочтительно от 3 до 7 атомов и означает моно-, би- или трициклическую систему, включая группу спиро. Циклоалкил означает, например, циклопропил, циклобутил, циклопентил или циклогексил. Циклоалкил необязательно замещен. Галоген означает хлор, фтор или бром, но также включает иод. Гетероциклический арил означает ароматический циклический углеводород, содержащий в цикле от 5 до 18 атомов, из которых один или несколько, предпочтительно от 1 до 3, являются гетероатомами, выбранными из О, N или S. Гетероциклический арил означает моно- или бициклическую систему. Гетероциклический арил необязательно замещен. Гетероциклический арил означает, например, пиридил, индолил, хиноксалинил, хинолинил, изохинолинил, бензотиенил, бензофуранил, бензопиранил, бензотиопиранил, фуранил, пирролил, тиазолил, оксазолил, изоксазолил, триазолил, тетразолил, пиразолил, имидазолил, тиенил. Гетероциклоалкил означает моно-, би- или трициклический углеводород, содержащий в цикле от 3 до 18 атомов, предпочтительно от 3 до 7 атомов, и содержащий один или несколько, предпочтительно от 1 до 3 гетероатомов, выбранных из О, N или S. Гетероциклоалкил необязательно замещен. Гетероциклоалкил означает, например, пирролидинил, пиперидинил, пиперазинил, морфолинил, индолинилметил, имидазолинилметил и 2-азабицикло[2.2.2]октанил. Нитрогруппа означает радикал -NO2. Оксогруппа означает заместитель =O. Оксигруппа означает радикал -О- и включает группу -ОН. Сера означает -S-, Необязательные заместители карбоциклической арильной, циклоалкильной, гетероциклической арильной, гетероциклоалкильной групп описаны ниже в качестве необязательных заместителей R10. Необязательные заместители группы Х представляют собой один или несколько, например, 1-3 заместителей, которые независимо выбраны из группы, включающей водород, оксогруппу, цианогруппу, галоген, нитрогруппу или необязательно замещенные оксигруппу, (низш.)алкил, (низш.)алкенил, (низш.)алкинил, аминогруппу, серу, сульфинил, сульфонил; причем необязательно замещенные заместители включают один или несколько необязательных заместителей, например, 1-6 заместителей, которые независимо выбраны из группы, включающей водород, оксогруппу, цианогруппу, галоген, нитрогруппугруппу, оксигруппу, (низш.)алкил, (низш.)алкенил, (низш.)алкинил, аминогруппу, серу, циклоалкил, гетероциклоалкил, арил. Необязательные заместители, например, 1-6 заместителей группы R10, включают один или несколько заместителей, независимо выбранных из группы, включающей водород, оксогруппу, цианогруппу, галоген, нитрогруппу или необязательно замещенные оксигруппу, (низш.)алкил, (низш.)алкенил, (низш.)алкинил, карбонил, аминогруппу, серу, циклоалкил, гетероциклоалкил, арил. Причем необязательно замещенные заместители включают один или несколько необязательных заместителей, например, 1-6 заместителей, которые независимо выбраны из группы, включающей водород, оксогруппу, цианогруппу, галоген, нитрогруппу, или необязательно замещенные оксигруппу, (низш.)алкил, (низш.)алкенил, (низш.)алкинил, карбонил, аминогруппу, серу, циклоалкил, гетероциклоалкил, арил. Причем необязательно замещенные заместители включают один или несколько необязательных заместителей, например, 1-6 заместителей, которые независимо выбраны из группы, включающей водород, оксогруппу, цианогруппу, галоген, нитрогруппу, или необязательно замещенные оксигруппу, (низш.)алкил, (низш.)алкенил, (низш.)алкинил, карбонил, аминогруппу, серу, циклоалкил, гетероциклоалкил, арил. Причем необязательно замещенные заместители включают один или несколько необязательных заместителей, например, 1-6 заместителей, которые независимо выбраны из группы, включающей водород, оксогруппу, цианогруппу, галоген, нитрогруппу, или оксигруппу, (низш.)алкил, (низш.)алкенил, (низш.)алкинил, карбонил, аминогруппу, серу, циклоалкил, гетероциклоалкил, арил. Необязательные заместители, например, 1-6 заместителей групп R2 и R7, включают один или несколько заместителей, которые независимо выбраны из группы, включающей водород, оксогруппу, цианогруппу, галоген, нитрогруппу или необязательно замещенные оксигруппу, (низш.)алкил, (низш.)алкенил, (низш.)алкинил, карбонил, аминогруппу, серу, циклоалкил, гетероциклоалкил, арил. Причем необязательно замещенные заместители включают один или несколько необязательных заместителей, например, 1-6 заместителей, которые независимо выбраны из группы, включающей водород, оксогруппу, цианогруппу, галоген, нитрогруппу, или необязательно замещенные оксигруппу, (низш.)алкил, (низш.)алкенил, (низш.)алкинил, карбонил, аминогруппу, серу, циклоалкил, гетероциклоалкил, арил. Причем необязательно замещенные заместители включают один или несколько необязательных заместителей, например, 1-6 заместителей, которые независимо выбраны из группы, включающей водород, оксогруппу, цианогруппу, галоген, нитрогруппу, или необязательно замещенные оксигруппу, (низш.)алкил, (низш.)алкенил, (низш.)алкинил, карбонил, аминогруппу, серу, циклоалкил, гетероциклоалкил, арил. Причем необязательно замещенные заместители включают один или несколько необязательных заместителей, например, 1-6 заместителей, которые независимо выбраны из группы, включающей водород, оксогруппу, цианогруппу, галоген, нитрогруппу, или необязательно замещенные оксигруппу, (низш.)алкил, (низш.)алкенил, (низш.)алкинил, карбонил, аминогруппу, серу, циклоалкил, гетероциклоалкил, арил. Причем необязательно замещенные заместители включают один или несколько необязательных заместителей, например, 1-6 заместителей, которые независимо выбраны из группы, включающей водород, оксогруппу, цианогруппу, галоген, нитрогруппу, или оксигруппу, (низш.)алкил, (низш.)алкенил, (низш.)алкинил, карбонил, аминогруппу, серу, циклоалкил, гетероциклоалкил, арил. Необязательные заместители, например, 1-6 заместителей групп R3 и R4, включают один или несколько заместителей, которые независимо выбраны из группы, включающей водород, оксогруппу, цианогруппу, галоген, нитрогруппу или необязательно замещенные оксигруппу, (низш.)алкил, (низш.)алкенил, (низш.)алкинил, карбонил, аминогруппу, серу, циклоалкил, гетероциклоалкил, арил. Причем необязательно замещенные заместители включают один или несколько необязательных заместителей, например, 1-6 заместителей, которые независимо выбраны из группы, включающей водород, оксогруппу, цианогруппу, галоген, нитрогруппу, или необязательно замещенные оксигруппу, (низш.)алкил, (низш.)алкенил, (низш.)алкинил, карбонил, аминогруппу, серу, циклоалкил, гетероциклоалкил, арил. Причем необязательно замещенные заместители включают один или несколько необязательных заместителей, например, 1-6 заместителей, независимо выбранных из группы, включающей водород, оксогруппу, цианогруппу, галоген, нитрогруппу, оксигруппу, (низш.)алкил, (низш.)алкенил, (низш.)алкинил, карбонил, аминогруппу, серу, циклоалкил, гетероциклоалкил, арил. Необязательные заместители, например, 1-6 заместителей групп R5 и R6, включают один или несколько заместителей, которые независимо выбраны из группы, включающей водород, оксогруппу, цианогруппу, гидрокси, необязательно замещенные оксигруппу, низш. алкил, низш. алкенил, низш. алкинил, карбонил, циклоалкил, гетероциклоалкил, арил, имино, оксим. Причем необязательно замещенные заместители включают один или несколько необязательных заместителей, например, 1-6 заместителей, которые независимо выбраны из группы, включающей водород, оксогруппу, гидрокси, цианогруппу, галоген, нитрогруппу, или необязательно замещенные оксигруппу, (низш.)алкил, (низш.)алкенил, (низш.)алкинил, карбонил, аминогруппу, серу, циклоалкил, гетероциклоалкил, арил. Причем необязательно замещенные заместители включают один или несколько необязательных заместителей, например, 1-6 заместителей, которые независимо выбраны из группы, включающей водород, оксогруппу, цианогруппу, галоген, нитрогруппу, или необязательно замещенные оксигруппу, (низш.)алкил, (низш.)алкенил, (низш.)алкинил, карбонил, аминогруппу, серу, циклоалкил, гетероциклоалкил, арил. Причем необязательно замещенные заместители включают один или несколько необязательных заместителей, например, 1-6 заместителей, которые независимо выбраны из группы, включающей водород, оксогруппу, цианогруппу, галоген, нитрогруппу, или необязательно замещенные оксигруппу, (низш.)алкил, (низш.)алкенил, (низш.)алкинил, карбонил, аминогруппу, серу, циклоалкил, гетероциклоалкил, арил. Причем необязательно замещенные заместители включают один или несколько необязательных заместителей, например, 1-6 заместителей, которые независимо выбраны из группы, включающей водород, оксогруппу, цианогруппу, галоген, нитрогруппу, или оксигруппу, (низш.)алкил, (низш.)алкенил, (низш.)алкинил, карбонил, аминогруппу, серу, циклоалкил, гетероциклоалкил, арил. В предпочтительном варианте воплощения настоящего изобретения предлагается также соединение формулы II или его фармацевтически приемлемая соль или сложный эфир, в котором R’1 означает-X’-R’10, где X’ означает связующее звено, которое независимо выбрано из необязательно замещенных -N-C-N-, -N-C-, -N-S-, -N-S-N-, -C-N-, -S-N-, -С где группы R2, R5, R6 и R7 определены выше. R’10 предпочтительно означает один или несколько заместителей, которые независимо выбраны из группы, включающей водород, галоген или необязательно замещенные карбонил, аминогруппу, гетероциклоалкил и арил. Если R’1 означает -N-C-N-R’10, то атом углерода предпочтительно замещен группами оксо, =N-C Если R’1 означает -N-C-N-R’10, то R’10 предпочтительно означает водород. Если R’1 означает -N-C-N-R’10, то R’10 предпочтительно необязательно замещен водородом. Примеры R’1, если X’ означает -N-C-N, включают мочевину или N-цианогуанидин. Если R’1 означает -N-C-R’10 или -C-N-R’10, то атом углерода предпочтительно замещен оксогруппой. Если R’1 означает -N-C-R’10 или -C-N-R’10, то R’10 означает необязательно замещенные метил, пиперидинил, имидазолидинил, пирролидинил, морфолино. Если R’1 означает -N-C-R’10 или -C-N-R’10, то R’10 замещен следующими группами: водород, метил, бензил, ацетил, оксо, диметиламино, изопропил, гидрокси, этиловый эфир муравьиной кислоты. Примеры R’1, если X’ означает -N-C- или -C-N-, включают ацетамид, N-метилацетамид, N-(1-метилпиперидин-4-ил)ацетамид, N-(1-бензилпиперидин-4-ил)ацетамид, этиловый эфир 4-формиламинопиперидин-1-карбоновой кислоты. Если R’1 означает -N-S-R’10 или Если R’1 означает -N-S-R’10 или Если R’1 означает -N-S-R’10 или Примеры группы R’1, если X’ означает -N-S-R’10 или Если R’1 означает -N-S-N-R’10, то атом S предпочтительно замещен двумя оксогруппами, а атом N независимо необязательно замещен метильной группой. Если R’1 означает -N-S-N-R’10, то R’10 предпочтительно означает водород или необязательно замещенный метил. Если R’1 означает -N-S-N-R’10, то R’10 предпочтительно необязательно замещен водородом. Примеры R’1, если X’ означает -N-S-N-, включают амид аминосульфоновой кислоты и диметиламид сульфоновой кислоты. Если R’1 означает -C Если R’1 означает -C Примеры группы R’1, если X’ означает -С Если R’1 означает -C=C-R’10, то R’10 предпочтительно означает необязательно замещенный пиперидинил. Если R’1 означает -C=C-R’10, то R’10 предпочтительно необязательно замещен группами гидрокси, метил. Примеры R’1, если X’ означает -С=С-, включают 4-гидрокси-(1-метилпиперидин-4-ил)винил. Если R’1 означает -N-C-S-R’10, то атом углерода предпочтительно замещен группой =N-C Если R’1 означает -N-C-S-R’10, то R’10 предпочтительно означает необязательно замещенный метил. Если R’1 означает -N-C-S-R’10, то R’10 предпочтительно необязательно замещен водородом. Примеры R’1, если X’ означает -N-C-S-, включают метилтио-N’-цианотиомочевину или метилтио-N’-(морфолин-4-илметиленамин)тиомочевину. Если R’1 означает -C-R’10, то атом углерода предпочтительно замещен оксогруппой. Если R’1 означает -C-R’10, то R’10 означает 3-окса-1-азаспиро[4.4]нонан-2-он, гидрокси, необязательно замещенные пирролидинил, морфолино, пиперазинил, метиловый эфир муравьиной кислоты, [1,2,4]триазол, имидазолидинил, тетразолил, -N(СН3)-ОСН3 или метокси. Если R’1 означает -C-R’10, то R’10 необязательно замещен группами водород, оксо, метил, ацетил, изопропил, метокси, гидрокси, метиловый эфир муравьиной кислоты, диметиламино или этанон. Примеры R’1, если X’ означает -С-, включают [1,2,4]триазол-1-илметил, пирролидин-2-онметил, морфолин-4-илметил, метиловый эфир уксусной кислоты. Необязательные заместители, например, 1-6 заместителей группы R10, включают один или несколько заместителей, которые независимо выбраны из группы, включающей водород или необязательно замещенные оксигруппу, (низш.)алкил, карбонил, аминогруппу. Причем необязательно замещенные заместители включают один или несколько необязательных заместителей, например, 1-6 заместителей, которые независимо выбраны из группы, включающей водород, или необязательно замещенную оксигруппу, причем необязательно замещенные заместители включают один или несколько раз необязательных заместителей, например, 1-6 заместителей, которые независимо выбраны из группы, включающей водород или необязательно замещенный (низш.)алкил. Причем указанные заместители определены выше или предпочтительно означают: (низш.)алкил, означающий метил, этил, изопропил, трет-бутил; (низш.)алкенил, означающий этенил; (низш.)алкинил, означающий этинил, проп-1-инил, бут-1-инил; гетероциклический арил, означающий триазолил; гетероциклоалкил, означающий пирролидинил, пиперидинил, пиперазинил или морфолинил. В другом предпочтительном варианте воплощения настоящего изобретения предлагается также соединение формулы IIa или его фармацевтически приемлемая соль или сложный эфир, в котором R”1 означает-NR”11R”12, где -NR”11R”12 в общем случае означает имидазолидинил-2,4-дион, необязательно замещенный одной или двумя (низш.)алкильными группами. В еще одном предпочтительном варианте воплощения настоящего изобретения предлагается также соединение формулы III или его фармацевтически приемлемая соль или сложный эфир, где R’1 определен выше. R’2 и R’7 означают водород, цианогруппу, галоген, бутадиенил, метокси, этокси, 2-метоксиэтокси, морфолино, трифторметокси, 2-метилпропокси, 2-пропокси. R’5 и R’6 независимо выбраны из группы, включающей водород и (низш.)алкил, ацетил; причем указанные заместители определены выше или предпочтительно означают (низш.)алкил, означающий метил. Настоящее изобретение прежде всего включает соединения, выбранные из группы, включающей: N-(5-хлор-2-[(Е)-3-[(R)-4-(4-фторбензил)-2-метилпиперазин-1-ил]-3-оксопропенил]фенил)-N’-цианогунидин, N-(5-хлор-2-[(Е)-3-[(R)-4-(4-фторбензил)-2-метилпиперазин-1-ил]-3-оксопропенил]фенил)ацетамид, N-(5-хлор-2-[(Е)-3-[(S)-4-(4-фторбензил)-2-метилпиперазин-1-ил]-3-оксопропенил]фенил)ацетамид, (5-хлор-2-[(Е)-3-[(R)-4-(4-фторбензил)-2-метилпиперазин-1-ил]-3-оксопропенил]фенил)мочевину, (5-хлор-2-[(Е)-3-[(S)-4-(4-фторбензил)-2-метилпиперазин-1-ил]-3-оксопропенил]фенил)мочевину, N-(5-хлор-2-[(Е)-3-[(R)-4-(4-фторбензил)-2-метилпиперазин-1-ил]-3-оксопропенил]фенил)-N,N-диметилсульфамид, N-(5-хлор-2-[(Е)-3-[(R)-4-(4-фторбензил)-2-метилпиперазин-1-ил]-3-оксопропенил]фенил)метансульфонамид, (5-хлор-2-{(Е)-3-[(R)-4-(4-фторбензил)-2-метилпиперазин-1-ил]-3-оксопропенил} фенил)амид 1-ацетилпиперидин-4-карбоновой кислоты, (5-хлор-2-[(Е)-3-[(R)-4-(4-фторбензил)-2-метилпиперазин-1-ил]-3-оксопропенил]фенил)амид 1-метил-1Н-имидазол-4-сульфоновой кислоты, N-[5-(5-хлор-2-[(Е)-3-[(R)-4-(4-фторбензил)-2-метилпиперазин-1-ил]-3-оксопропенил]фенилсульфамоил)тиазол-2-ил]ацетамид, (5-хлор-2-[(Е)-3-[(R)-4-(4-фторбензил)-2-метилпиперазин-1-ил]-3-оксопропенил]фенил)амид 2-оксоимидазолидин-1-карбоновой кислоты, N-(4-хлор-2-[(Е)-3-[4-(4-фторбензил)-2-метилпиперазин-1-ил]-3-оксопропенил]фенил)метилтио-N’-цианотиомочевина, N-(4-хлор-2-[(Е)-3-[4-(4-фторбензил)-2-метилпиперазин-1-ил]-3-оксопропенил]фенил)сульфонилмочевина, (5-хлор-2-[(Е)-3-[(2R,5S)-4-(4-фторбензил)-2,5-диметилпиперазин-1-ил]-3-оксопропенил]фенил)мочевина, (5-хлор-2-[(Е)-3-[(2R,5S)-4-(4-фторбензил)-2,5-диметилпиперазин-1-ил]-3-оксопропенил]фенил)мочевина, N-(5-хлор-2-[(Е)-3-[(2R,5S)-4-(4-фторбензил)-2,5-диметилпиперазин-1-ил]-3-оксопропенил]фенил)ацетамид, N-(5-хлор-2-[(Е)-3-[(2S,5R)-4-(4-фторбензил)-2,5-диметилпиперазин-1-ил]-3-оксопропенил]фенил)ацетамид, (5-хлор-2-[(Е)-3-[(2S,5R)-4-(4-фторбензил)-2,5-диметилпиперазин-1-ил]-3-оксопропенил]фенил)мочевина, N-(5-хлор-2-[(Е)-3-[4-(4-фторбензил)пиперазин-1-ил]-3-оксопропенил]фенил)ацетамид, (5-хлор-2-[(Е)-3-[4-(4-фторбензил)пиперазин-1-ил]-3-оксопропенил]фенил)мочевина, (Е)-3-[4-хлор-2-(4-гидрокси-1-метилпиперидин-4-илэтинил)фенил]-1-[(R)-4-(4-фторбензил)-2-метилпиперазин-1-ил]пропенон, (Е)-3-[4-хлор-2-(4-гидрокси-1-метилпиперидин-4-илэтинил)фенил]-1-[(S)-4-(4-фторбензил)-2-метилпиперазин-1-ил]пропенон, (Е)-3-[4-хлор-2-[(Е)-2-(4-гидрокси-1-метилпиперидин-4-ил)винил]фенил]-1-[(R)-4-(4-фторбензил)-2-метилпиперазин-1-ил]пропенон, (Е)-3-[4-хлор-2-[(Е)-2-(4-гидрокси-1-метилпиперидин-4-ил)винил]фенил]-1-[(S)-4-(4-фторбензил)-2-метилпиперазин-1-ил]пропенон, трет-бутиловый эфир 4-(5-хлор-2-[(Е)-3-[(R)-4-(4-фторбензил)-2-метилпиперазин-1-ил]-3-оксопропенил]фенилэтинил)-4-гидроксипиперидин-1-карбоновой кислоты, (Е)-3-[4-хлор-2-(4-гидроксипиперидин-4-илэтинил)фенил]-1-[(R)-4-(4-фторбензил)-2-метилпиперазин-1-ил]пропенон, (Е)-3-[2-(3-амино-3-метилбут-1-инил-4-хлорфенил]-1-[(R)-4-(4-фторбензил)-2-метилпиперазин-1-ил]пропенон, (Е)-3-[4-хлор-2-(3-диметиламинопроп-1-инил)фенил]-1-[4-(4-фторбензил)-2-метилпиперазин-1-ил]пропенон, (Е)-3-[4-хлор-2-(3-гидрокси-3-метилбут-1-инил)фенил]-1-[4-(4-фторбензил)-2-метилпиперазин-1-ил]пропенон, N-(3-[(Е)-3-[(R)-4-(4-фторбензил)-2-метилпиперазин-1-ил]-3-оксопропенил]нафтален-2-ил)ацетамид, (3-[(Е)-3-[(R)-4-(4-фторбензил)-2-метилпиперазин-1-ил]-3-оксопропенил]нафтален-2-ил)мочевина, N-(3-[(Е)-3-[(R)-4-(4-фторбензил)-2-метилпиперазин-1-ил]-3-оксопропенил]нафтален-2-ил)-N’-цианогуанидин, N-(4-хлор-2-[(Е)-3-[4-(4-фторбензил)-2-метилпиперазин-1-ил]-3-оксопропенил]фенил)-N’-цианогуанидин, N-(4-хлор-2-[(Е)-3-[4-(4-фторбензил)-2-метилпиперазин-1-ил]-3-оксопропенил]фенил)ацетамид, N-(6-[(Е)-3-[(R)-4-(4-фторбензил)-2-метилпиперазин-1-ил]-3-оксопропенил]хинолин-7-ил)ацетамид, (6-[(Е)-3-[(R)-4-(4-фторбензил)-2-метилпиперазин-1-ил]-3-оксопропенил]хинолин-7-ил)мочевина, N-(7-[(Е)-3-[(R)-4-(4-фторбензил)-2-метилпиперазин-1-ил]-3-оксопропенил]хинолин-6-ил)ацетамид, 2-диметиламино-N-(7-[(Е)-3-[(R)-4-(4-фторбензил)-2-метилпиперазин-1-ил]-3-оксопропенил]хинолин-6-ил)ацетамид, N-(7-[(E)-3-[(R)-4-(4-фторбензил)-2-метилпиперазин-1-ил]-3-оксопропенил]хинолин-6-ил)метансульфонамид, N-(5-хлор-2-[(Е)-3-[(2R,5S)-4-(4-фторбензил)-2,5-диметилпиперазин-1-ил]-3-оксопропенил]фенил)цианогуанидин, N-(5-хлор-2-[(Е)-3-[(2R,5S)-4-(4-фторбензил)-2,5-диметилпиперазин-1-ил]-3-оксопропенил]фенил)-2-метилацетамид, N-(5-хлор-2-[(Е)-3-[(2R,5S)-4-(4-фторбензил)-2,5-диметилпиперазин-1-ил]-3-оксопропенил]фенил)метансульфонамид, N-(5-хлор-2-[(Е)-3-[(2R,5S)-4-(4-фторбензил)-2,5-диметилпиперазин-1-ил]-3-оксопропенил]-4-метоксифенил)ацетамид, N-(5-хлор-2-[(Е)-3-[(2R,5S)-4-(4-фторбензил)-2,5-диметилпиперазин-1-ил]-3-оксопропенил]-4-метоксифенил)метансульфонамид, N-(5-хлор-2-[(Е)-3-(R)-4-(4-фторбензил)-2-метилпиперазин-1-ил]-3-оксопропенил)-4-(2-метоксиэтокси)фенил]ацетамид, N-(5-хлор-2-[(Е)-3-[(R)-4-(4-фторбензил)-2-метилпиперазин-1-ил]-3-оксопропенил]-4-морфолин-4-илфенил)ацетамид, N-(5-хлор-2-{(Е)-3-[(R)-2-этил-4-(4-фторбензил)пиперазин-1-ил]-3-оксопропенил}фенил)ацетамид, (5-хлор-2-{(Е)-3-[(R)-2-этил-4-(4-фторбензил)пиперазин-1-ил]-3-оксопропенил}фенил)мочевина, N-(5-хлор-4-этокси-2-{(Е)-3-[(R)-4-(4-фторбензил)-2-метилпиперазин-1-ил]-3-оксопропенил}фенил)ацетамид, (5-хлор-4-этокси-2-{(Е)-3-[(R)-4-(4-фторбензил)-2-метилпиперазин-1-ил]-3-оксопропенил}фенил)мочевина, N-(5-хлор-4-этокси-2-{(E)-3-[(R)-4-(4-фторбензил)-2-метилпиперазин-1-ил]-3-оксопропенил}фенил)метансульфонамид, (5-хлор-4-этокси-2-{(Е)-3-[(R)-4-(4-фторбензил)-2-метилпиперазин-1-ил]-3-оксопропенил}фенил)амид 5-оксопирролидин-2-карбоновой кислоты, N-(5-хлор-2-{(Е)-3-[(S)-4-(4-фторбензил)-2-гидроксиметилпиперазин-1-ил]-3-оксопропенил}-4-метоксифенил)ацетамид, N-(5-хлор-2-{(Е)-3-[(S)-4-(4-фторбензил)-2-гидроксиметилпиперазин-1-ил]-3-оксопропенил}-4-метоксифенил)метансульфонамид, (5-хлор-2-{(Е)-3-[(S)-4-(4-фторбензил)-2-гидроксиметилпиперазин-1-ил]-3-оксопропенил}-4-метоксифенил)мочевина, (5-хлор-2-{(Е)-3-[(S)-4-(4-фторбензил)-2-гидроксиметилпиперазин-1-ил]-3-пропенил}-4-метоксифенил)амид 5-оксопирролидин-2-карбоновой кислоты, N-(5-хлор-2-{(Е)-3-[(S)-4-(4-фторбензил)-2-гидроксиметилпиперазин-1-ил]-3-оксопропенил}фенил)ацетамид, N-(2-{(Е)-3-[(R)-2-аминометил-4-(4-фторбензил)пиперазин-1-ил]-3-оксопропенил}-5-хлорфенил)ацетамид, N-(5-хлор-2-{(Е)-3-[(S)-4-(4-фторбензил)-2-((S)-1-гидроксиэтил)пиперазин-1-ил]-3-оксопропенил}фенил)ацетамид, N-(2-{(Е)-3-[(S)-2-ацетил-4-(4-фторбензил)пиперазин-1-ил]-3-оксопропенил}-5-хлорфенил)ацетамид, N-{5-хлор-2-[(Е)-3-((S)-4-(4-фторбензил)-2-{1-[гидроксиимино]этил}пиперазин-1-ил]-3-оксопропенил}ацетамид, N-(2-{(Е)-3-[(2S,5S)-2-бензилоксиметил-4-(4-фторбензил)-5-метилпиперазин-1-ил]-3-оксопропенил}-5-хлорфенил)ацетамид, (5-хлор-2-{(Е)-3-[(R)-4-(4-фторбензил)-2-метилпиперазин-1-ил]-3-оксопропенил}-4-метоксифенил)амид (S)-1-ацетилпирролидин-2-карбоновой кислоты, (5-хлор-2-{(Е)-3-[(R)-4-(4-фторбензил)-2-метилпиперазин-1-ил]-3-оксопропенил}-4-метоксифенил)амид (S)-1-изопропилпирролидин-2-карбоновой кислоты, (5-хлор-2-{(Е)-3-[(R)-4-(4-фторбензил)-2-метилпиперазин-1-ил]-3-оксопропенил}-4-метоксифенил)амид (R)-1-изопропилпирролидин-2-карбоновой кислоты, (5-хлор-2-{(Е)-3-[(R)-4-(4-фторбензил)-2-метилпиперазин-1-ил]-3-оксопропенил}-4-метоксифенил)амид (2S,4R)-1-ацетил-4-гидроксипирролидин-2-карбоновой кислоты, (Е)-3-(4-хлор-2-морфолин-4-илметилфенил)-1-[4-(4-фторбензил)-2-метилпиперазин-1-ил]пропенон, 1-(5-хлор-2-{(Е)-3-[4-(4-фторбензил)-2-метилпиперазин-1-ил]-3-оксопропенил}бензил)пирролидин-2-он, (Е)-3-(4-хлор-2-[1,2,4]триазол-1-илметилфенил)-1-[4-(4-фторбензил)-2-метилпиперазин-1-ил] пропенон, (Е)-3-[4-хлор-2-(4-метилпиперазин-1-илметил)фенил]-1-[4-(4-фторбензил)-2-метилпиперазин-1-ил]пропенон, (Е)-3-[2-(4-ацетилпиперазин-1-илметил)-4-хлорфенил]-1-[4-(4-фторбензил)-2-метилпиперазин-1-ил]пропенон, (Е)-3-[4-хлор-2-(4-изопропилпиперазин-1-илметил)фенил]-1-[(R)-[4-(4-фторбензил)-2-метилпиперазин-1-ил]пропенон, 1-(5-хлор-2-{(Е)-3-[(R)-4-(4-фторбензил)-2-метилпиперазин-1-ил]-3-оксопропенил}бензил)-3-окса-1-азаспиро[4.4]нонан-2-он, 3-(5-хлор-2-{(Е)-3-[(R)-4-(4-фторбензил)-2-метилпиперазин-1-ил]-3-оксопропенил}бензил)-5,5-диметилимидазолидин-2,4-дион, 3-(5-хлор-2-{(Е)-3-[(R)-4-(4-фторбензил)-2-метилпиперазин-1-ил]-3-оксопропенил} бензил)-1-метилимидазолидин-2,4-дион, (Е)-3-[4-хлор-2-(5-метилтетразол-1-илметил)фенил]-1-[(R)-[4-(4-фторбензил)-2-метилпиперазин-1-ил]пропенон, 5-хлор-2-{(Е)-3-[(R)-4-(4-фторбензил)-2-метилпиперазин-1-ил]-3-оксопропенил}-N-метокси-N-метилбензамид, метиловый эфир 5-хлор-2-{(Е)-3-[4-(4-фторбензил)-2-метилпиперазин-1-ил]-3-оксопропенил}бензойной кислоты, метиловый эфир 5-хлор-2-{(Е)-3-[4-(4-фторбензил)-2-метилпиперазин-1-ил]-3-оксопропенил}фенил)уксусной кислоты, 5-хлор-2-{(Е)-3-[4-(4-фторбензил)-2-метилпиперазин-1-ил]-3-оксопропенил}бензойная кислота, 5-хлор-2-{(Е)-3-[(R)-4-(4-фторбензил)-2-метилпиперазин-1-ил]-3-оксопропенил}бензойная кислота, (Е)-3-[4-хлор-2-(4-метилпиперазин-1-карбонил)фенил]-1-[4-(4-фторбензил)-2-метилпиперазин-1-ил]пропенон, 5-хлор-2-{(Е)-3-[4-(4-фторбензил)-2-метилпиперазин-1-ил]-3-оксопропенил}-N-изопропилбензамид, 5-хлор-2-{(Е)-3-[4-(4-фторбензил)-2-метилпиперазин-1-ил]-3-оксопропенил}-N-(1-метилпиперидин-4-ил)бензамид, N-(1-бензилпиперидин-4-ил)-5-хлор-2-{(Е)-3-[4-(4-фторбензил)-2-метилпиперазин-1-ил]-3-оксопропенил}бензамид, этиловый эфир 4-(5-хлор-2-{(Е)-3-[4-(4-фторбензил)-2-метилпиперазин-1-ил]-3-оксопропенил}бензоиламино)пиперидин-1-карбоновой кислоты, метиловый эфир (2S,4R)-1-(5-хлор-2-{(Е)-3-[(R)-4-(4-фторбензил)-2-метилпиперазин-1-ил]-3-оксопропенил}бензоил)-4-гидроксипирролидин-2-карбоновой кислоты, (Е)-3-[4-хлор-2-((R)-3-диметиламинопирролидин-1-карбонил)фенил]-1-[(R)-4-(4-фторбензил)-2-метилпиперазин-1-ил]пропенон, (Е)-3-[4-хлор-2-((S)-3-диметиламинопирролидин-1-карбонил)фенил]-1-[(R)-4-(4-фторбензил)-2-метилпиперазин-1-ил]пропенон, (Е)-3-[2-(4-ацетилпиперазин-1-карбонил)-4-хлорфенил]-1-[(R)-[4-(4-фторбензил)-2-метилпиперазин-1-ил]пропенон, N-(5-хлор-2-{(Е)-3-[4-(4-хлорбензил)-2-метилпиперазин-1-ил]-3-оксопропенил}фенил)ацетамид, N-(5-хлор-2-{(Е)-3-[4-(3-фторбензил)-2-метилпиперазин-1-ил]-3-оксопропенил}фенил)ацетамид, N-(5-хлор-2-{(E)-3-[4-(2,4-дифторбензил)-2-метилпиперазин-1-ил]-3-оксопропенил}фенил)ацетамид, N-(5-хлор-2-{(E)-3-[4-(4-фторбензил)-2-метилпиперазин-1-ил]-3-оксопропенил}фенил)ацетамид, N-(5-хлор-2-{(Е)-3-[(R)-4-(4-фторбензил)-2-метилпиперазин-1-ил]-3-оксопропенил}-4-метоксифенил)ацетамид, N-(5-хлор-4-фтор-2-{(Е)-3-[(R)-4-(4-фторбензил)-2-метилпиперазин-1-ил]-3-оксопропенил}фенил)ацетамид, (5-хлор-2-{(Е)-3-[(R)-4-(4-фторбензил)-2-метилпиперазин-1-ил]-3-оксопропенил}-4-метоксифенил)мочевина, N-(5-хлор-4-фтор-2-{(Е)-3-[(R)-4-(4-фторбензил)-2-метилпиперазин-1-ил]-3-оксопропенил}фенил)метансульфонамид, (5-хлор-4-фтор-2-{(Е)-3-[(R)-4-(4-фторбензил)-2-метилпиперазин-1-ил]-3-оксопропенил}фенил)мочевина, N-(5-хлор-4-циано-2-{(Е)-3-[(R)-4-(4-фторбензил)-2-метилпиперазин-1-ил]-3-оксопропенил}фенил)ацетамид, N-(5-хлор-2-{(Е)-3-[(R)-4-(4-фторбензил)-2-метилпиперазин-1-ил]-3-оксопропенил}-4-трифторметоксифенил)ацетамид, (5-хлор-2-{(Е)-3-[(R)-4-(4-фторбензил)-2-метилпиперазин-1-ил]-3-оксопропенил}-4-трифторметоксифенил)мочевина, N-(5-хлор-2-{(Е)-3-[(R)-4-(4-фторбензил)-2-метилпиперазин-1-ил]-3-оксопропенил}-4-изобутоксифенил)ацетамид, N-(5-хлор-2-{(E)-3-[(R)-4-(4-фторбензил)-2-метилпиперазин-1-ил]-3-оксопропенил}-4-изопропоксифенил)ацетамид, 3-(5-хлор-2-{(Е)-3-[(R)-4-(4-фторбензил)-2-метилпиперазин-1-ил]-3-оксопропенил}-4-метоксифенил)-5,5-диметилимидазолидин-2,4-дион, 3-(5-хлор-2-{(Е)-3-[(R)-4-(4-фторбензил)-2-метилпиперазин-1-ил]-3-оксопропенил}-4-метоксифенил)имидазолидин-2,4-дион, 3-(5-хлор-2-{(Е)-3-[(R)-4-(4-фторбензил)-2-метилпиперазин-1-ил]-3-оксопропенил}-4-метоксифенил)-1,3-диазаспиро[4.4]нонан-2,4-дион, 3-(5-хлор-4-фтор-2-{(Е)-3-[(R)-4-(4-фторбензил)-2-метилпиперазин-1-ил]-3-оксопропенил}фенил)-1,3-диазаспиро[4.5]декан-2,4-дион, 3-(5-хлор-4-фтор-2-{(Е)-3-[(R)-4-(4-фторбензил)-2-метилпиперазин-1-ил]-3-оксопропенил}фенил)-5,5-диметилимидазолидин-2,4-дион, (5-хлор-2-{(Е)-3-[(R)-4-(4-фторбензил)-2-метилпиперазин-1-ил]-3-оксопропенил}-4-метоксифенил)амид морфолин-4-карбоновой кислоты, (5-хлор-2-{(Е)-3-[(R)-4-(4-фторбензил)-2-метилпиперазин-1-ил]-3-оксопропенил}-4-метоксифенил)амид пирролидин-1-карбоновой кислоты, метиловый эфир 5-хлор-2-{(Е)-3-[(R)-4-(4-фторбензил)-2-метилпиперазин-1-ил]-3-оксопропенил}-4-метоксибензойной кислоты, (Е)-3-[2-(4-ацетилпиперазин-1-карбонил)-4-хлор-5-метоксифенил]-1-[(R)-4-(4-фторбензил)-2-метилпиперазин-1-ил]пропенон, или их фармацевтически приемлемые соли или сложные эфиры. Соединения формул I, II и III и соединения, перечисленные выше, и далее по тексту упоминаются под названием «агенты по настоящему изобретению». Фармацевтически приемлемые соли кислотных агентов по настоящему изобретению включают соли, образованные в присутствии оснований, а именно катионные соли, такие как соли щелочных и щелочно-земельных металлов, таких как натрий, литий, калий, кальций, магний, а также соли аммония, такие как соли аммония, триметиламмония, диэтиламмония и трис(гидроксиметил)метиламмония. Аналогичным образом, кислотно-аддитивные соли, такие как соли неорганических кислот, органических карбоновых и органических сульфоновых кислот, например, хлористоводородной кислоты, метансульфоновой кислоты, малеиновой кислоты, содержат в структуре основные группы, такие как пиридил, пиперазинил и пиперидинил. Агенты по настоящему изобретению могут также существовать в форме оптических изомеров, например, как описано ниже в примерах. Таким образом, настоящее изобретение включает как индивидуальные изомеры, так и их смеси, например, рацемические смеси и диастереоизомерные смеси, если не указано иное. Настоящее изобретение включает соединения формулы I в форме очищенных изомеров, например, содержащей по крайней мере 90%, или предпочтительно по крайней мере 95% индивидуального изомера. Если агенты по настоящему изобретению существуют в форме изомеров, как описано выше, индивидуальные изомеры можно получить известными способами, например, с использованием оптически активных исходных соединений или выделением из полученных смесей, например, с использованием стандартных хроматографических методов. Агенты по настоящему изобретению, которые включают свободные гидроксильные группы, могут также существовать в форме фармацевтически приемлемых, расщепляющихся в физиологических условиях сложных эфиров, которые включены в объем настоящего изобретения. Такими фармацевтическими приемлемыми сложными эфирами предпочтительно являются пролекарства на основе сложных эфиров, которые превращаются в условиях сольволиза или расщепляются в физиологических условиях в соответствующие агенты по настоящему изобретению, которые включают свободные гидроксильные группы. Пригодными фармацевтически приемлемыми пролекарствами на основе сложных эфиров являются производные карбоновой кислоты, моноэфира карбоновой кислоты или карбаминовой кислоты, преимущественно сложные эфиры, полученные из необязательно замещенных (низш.)алкановых кислот или алкилкарбоновых кислот. Агенты по настоящему изобретению получают способами, описанными ниже. Способ А Соединение формулы 1 получают конденсацией соединения формулы 4
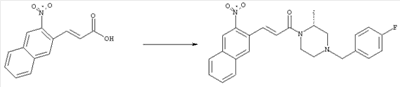
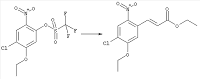
с соединением формулы 5
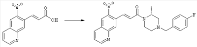
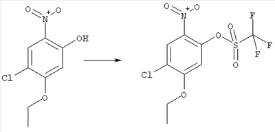
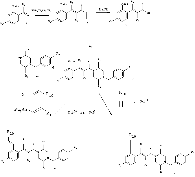
где заместители определены выше. Например, синтез проводят в присутствии пригодного катализатора, например, ацетата палладия в инертном растворителе, таком как диглим, и предпочтительно при повышенной температуре, например, при 140°С. Соединение формулы 2 получают конденсацией соединения формулы 3
с соединением формулы 5, например, в присутствии пригодного катализатора, например, ацетата палладия в инертном растворителе, таком как диглим и предпочтительно при повышенной температуре, например, при 140°С. Соединение формулы 5 получают при взаимодействии соединения формулы 6
с соединением формулы 7
например, в инертном растворителе, таком как дихлорметан. Соединение формулы 7 получают при взаимодействии соединения формулы
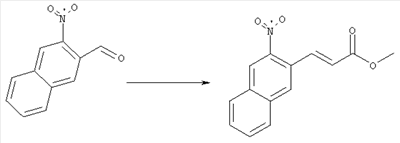
с соединением формулы PPh3CR4CO2СН3, например, в инертном растворителе, таком как толуол, и предпочтительно при повышенной температуре, например, при кипячении с обратным холодильником, при этом получают соединение формулы 8
которое гидролизуют, при этом получают соединение формулы 7, например, в инертном растворителе, таком как метанол, и при обработке основанием, например, гидроксидом натрия. Способ Б Соединение формулы 10 получают конденсацией соединения формулы 11
с соединением формулы 12
например, в присутствии катализатора, например, ацетата палладия, и основания, такого как триэтиламин, и предпочтительно в инертном растворителе, таком как ДМФА. Соединение формулы 12 получают конденсацией соединения формулы 13
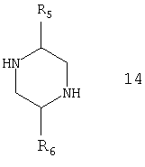
с соединением формулы 6
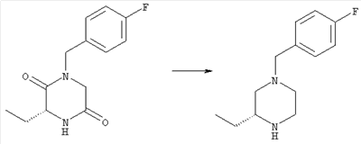
Соединение формулы 6 получают конденсацией соединения формулы 14а
с соединением формулы 14
например, согласно методике, описанной в WO 0236581. Способ В
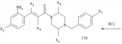
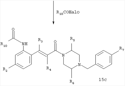
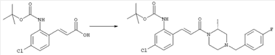
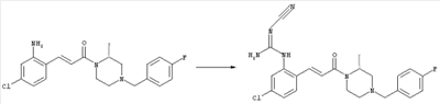
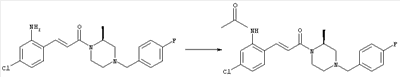
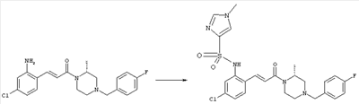
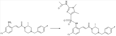
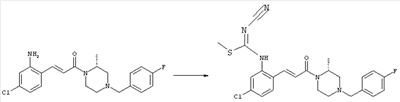
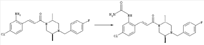
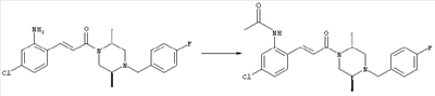
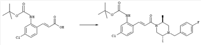
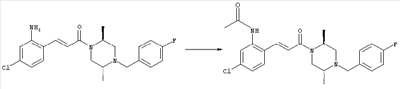
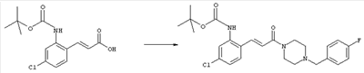
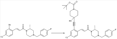
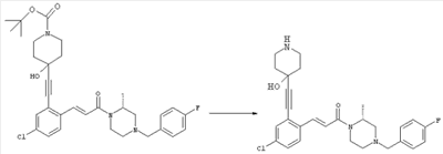
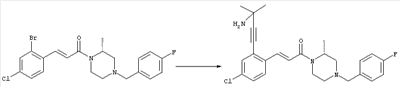
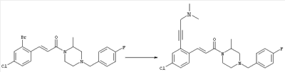
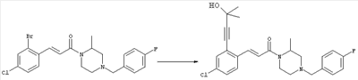
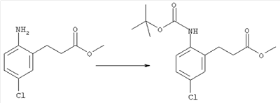
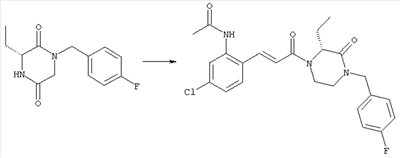
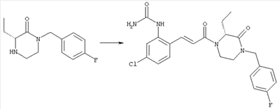
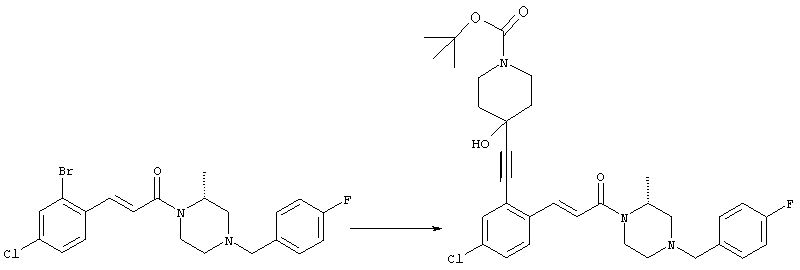
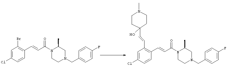
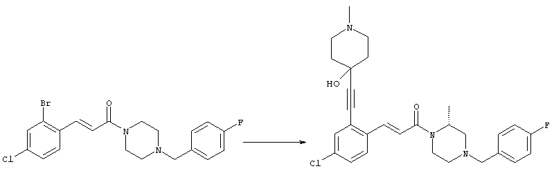
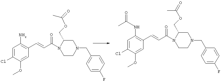
Соединение формулы 15с получают конденсацией соединения формулы 15b с пригодным соединением, например, карбоновой кислотой или активированной карбоновой кислотой, например, R10COCl или R10COOH, в присутствии пригодного конденсирующего агента, например, NH2 или гидрохлорида EDCl, предпочтительно в инертном растворителе, таком как дихлорметан. Соединение формулы 15b получают при удалении аминозащитной группы в соединении формулы 15а например, в кислотных условиях, например, в присутствии HCl. Содинение формулы 15а получают конденсацией соединения формулы 19
с соединением формулы 6
например, в присутствии пригодного конденсирующего агента, например, гидрохлорида EDCl, в инертном растворителе, таком как дихлорметан. Соединение формулы 6 получают конденсацией соединения формулы 14а
с соединением формулы 14
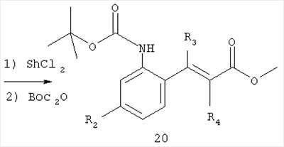
например, согласно методике, описанной в WO 0236581. Соединение формулы 19 получают при гидролизе соединения формулы 20
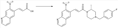
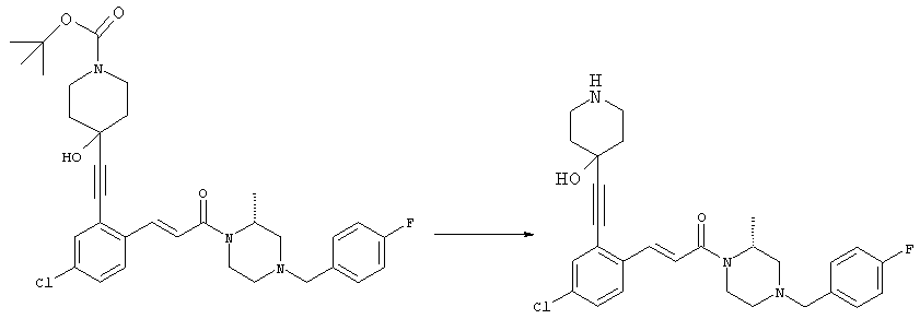
например, в присутствии гидроксида натрия в пригодном растворителе, таком как метанол, предпочтительно при повышенной температуре, например, 50°С. Соединение формулы 20 получают при восстановлении соединения формулы 21 с последующей обработкой реагентом Вос2О
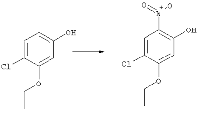
например, при восстановлении пригодным восстановителем, например, SnCl2, в инертном растворителе, таком как этанол, в присутствии кислоты, такой как HCl, затем обрабатывают Ас2О в инертном растворителе, таком как ТГФ, и предпочтительно при повышенной температуре, например, при кипячении с обратным холодильником. Соединение формулы 21 получают при обработке соединения формулы 22
с реагентом РР3CR4СО2СН3 в инертном растворителе, таком как толуол, предпочтительно при повышенной температуре, например, при кипячении с обратным холодильником. Соединение формулы 22 получают при окислении соединения формулы 23
например, в присутствии подходящего окислителя, такого как MnO2. В другом варианте воплощения настоящего изобретения предлагается способ получения соединения формул I, II или III. А. Способ, в котором соединение формул I, II или III получают конденсацией соединения формулы 4
с соединением формулы 5
где заместители определены выше. Например, синтез проводят в присутствии пригодного катализатора, например, ацетата палладия, в инертном растворителе, таком как диглим, и предпочтительно при повышенной температуре, например, при 140°С. Б. Способ, в котором соединение формул I, II или III получают конденсацией соединения формулы 3
с соединением формулы 5
например, в присутствии пригодного катализатора, например, ацетата палладия, в инертном растворителе, таком как диглим, и предпочтительно при повышенной температуре, например, при 140°С. В. Способ, в котором соединение формул I, II или III получают конденсацией соединения формулы 11
с соединением формулы 12
например, в присутствии катализатора, например, ацетата палладия, и основания, такого как триэтиламин, и предпочтительно в инертном растворителе, таком как ДМФА. Г. Способ, в котором соединение формулы I получают конденсацией соединения формулы 19
с соединением формулы 6
например, в присутствии пригодного конденсирующего агента, например, гидрохлорида EDCl, предпочтительно в инертном растворителе, таком как дихлорметан. Экспериментальная часть Сокращения Ас2О – ангидрид уксусной кислоты ВОС – трет-Бутоксикарбонил DCC – дициклогексилкарбодиимид ДХМ – дихлорметан DMAP – диметилпиридин-4-иламин ДМЭ – 1,2-диметоксиэтан ДМФА – N,N-диметилформамид EDCl – гидрохлорид (3-диметиламинопропил)этилкарбодиимида HCl – соляная кислота НОВТ – бензотриазол-1-ол NaOH – гидроксид натрия NEt3 – триэтиламин ТВМЕ – трет-бутилметиловый эфир ТФУ – трифторуксусная кислота ТГФ – тетрагидрофуран Примеры: Пример 1 N-(5-Хлор-2-[(Е)-3-[(R)-4-(4-фторбензил)-2-метилпиперазин-1-ил]-3-оксопропенил]фенил)-N’-цианогуанидин а) Метиловый эфир (Е)-3-(2-трет-бутоксикарбониламино-4-хлорфенил)акриловой кислоты Метиловый эфир (Е)-3-(2-амино-4-хлорфенил)акриловой кислоты (Carling, Robert W., и др., J. Med. Chem., т. 36(22), сс. 3397-408, (1993)) (3,3 г, 15,6 ммоля) в ТГФ (63 мл) смешивали с (ВОС)2О (6,8 г, 31,2 ммоля) и кипятили с обратным холодильником в течение 4 ч. ТГФ упаривали и добавляли вторую порцию (ВОС)2О (6,8 г, 31,2 ммоля). Полученную смесь нагревали при 100°С в течение 18 ч. После перекристаллизации из ТВМЕ/гексана получали указанное в заголовке соединение в виде бесцветных кристаллов (4,6 г, 94%). 1H ЯМР (400 МГц, ДМСО-d6): 1,46 (s, 9H), 3,72 (s, 3Н), 6,58 (d, 1H), 7,25 (dd, 1H), 7,47 (d, 1H), 7,72 (d, 1H), 7,82 (d, 1H), 9,33 (ушир.s, 1H, NH). MC (EI) m/z: 311 (M+, 20), 238 (10), 255 (20), 180 (70), 152 (65). б) (Е)-3-(2-трет-Бутоксикарбониламино-4-хлорфенил)акриловая кислота Метиловый эфир (Е)-3-(2-трет-бутоксикарбониламино-4-хлорфенил)акриловой кислоты (4,6 г, 14,7 ммоля) растворяли в МеОН (300 мл), добавляли 2н. NaOH (11 мл, 22 ммоля) и воду (147 мл), перемешивали при 50°С в течение 1 ч. Прозрачную реакционную смесь концентрировали до объема приблизительно 150 мл, подкисляли до рН 3 и дважды экстрагировали ТВМЕ. Объединенные органические фазы сушили над Na2SO4 и упаривали досуха, при этом получали указанное в заголовке соединение в виде бесцветных кристаллов (3,8 г, 87%). в) Трет-бутиловый эфир 5-хлор-2-[(Е)-3-[(R)-4-(4-фторбензил)-2-метилпиперазин-1-ил]-3-оксопропенил]фенилкарбаминовой кислоты (Е)-3-(2-трет-Бутоксикарбониламино-4-хлорфенил)акриловую кислоту (743 мг, 2,5 ммоля) и (R)-1-(4-фторбензил)-3-метилпиперазин (Hilger, Christoph-Stephan и др., WO 0236581) (520 мг, 2,5 ммоля) растворяли в СН2Cl2 (25 мл), смешивали с гидрохлоридом EDCl (480 мг, 2,5 ммоля) и перемешивали при комнатной температуре в течение 6 ч. Реакционную смесь очищали хроматографией (SiO2, элюент: EtOAc/гексан, градиент от 25:75 до 35:65), при этом получали указанное в заголовке соединение в виде бесцветной пены (1,0 г, 81%). 1Н ЯМР (400 МГц, ДМСО-d6): 1,26 (d, 3Н), 1,45 (s, 9H), 1,98 (dt, 1H), 2,13 (dd, 1H), 2,67 (d, 1H), 2,82 (d, 1H), 3,13 (ушир.t, 1H), 3,43 (d, 1H), 3,52 (d, 1H), 4,13 (ушир.d, 1H), 4,53 (ушир.s, 1H), 7,02 (d, 1H), 7,12 (dd, 2H), 7,19 (dd, 1H), 7,35 (dd, 2H), 7,45 (d, 1H), 7,60 (d, 1H), 7,73 (d, 1H), 8,81 (ушир.s, 1H). MC (ES+) m/z: 488,2 (МН+, 100). г) (Е)-3-(2-амино-4-хлорфенил)-1-[(R)-4-(4-фторбензил)-2-метилпиперазин-1-ил]пропенон Трет-бутиловый эфир 5-хлор-2-[(Е)-3-[(R)-4-(4-фторбензил)-2-метилпиперазин-1-ил]-3-оксопропенил]фенилкарбаминовой кислоты (1,0 г, 2,05 ммоля) растворяли в EtOH (4 мл) и конц. HCl (4 мл), а затем перемешивали при комнатной температуре в течение 30 мин. Реакционную смесь обрабатывали насыщенным раствором На2СО3 и трижды экстрагировали EtOAc. Объединенные органические фазы сушили над Na2SO4 и упаривали досуха, при этом получали указанное в заголовке соединение в виде кристаллов желтого цвета (630 мг, 80%). 1Н ЯМР (400 МГц, ДМСО-d6): 1,25 (ушир.s, 3Н), 1,95 (ушир.s, 1H), 2,10 (ушир.s, 1H), 2,68 (d, 1H), 2,83 (d, 1H), 3,10 (ушир.s, 1H), 3,43 (d, 1H), 3,53 (d, 1H), 4,20 (ушир.d, 1H), 4,60 (ушир.d, 1H), 5,75 (s, 2H, NH2), 6,55 (dd, 1H), 6,73 (d, 1H), 6,97 (d, 1H), 7,18 (dd, 2H), 7,39 (dd, 2H), 7,53 (d, 1H), 7,63 (d, 1H). MC (ES+) m/z: 388,2 (MH+, 100). д) N-(5-Хлор-2-[(Е)-3-[(R)-4-(4-фторбензил)-2-метилпиперазин-1-ил]-3-оксопропенил]фенил)-N’-цианогуанидин (Е)-3-(2-Амино-4-хлорфенил)-1-[(R)-4-(4-фторбензил)-2-метилпиперазин-1-ил]пропенон (116 мг, 0,3 ммоля) и NaN(CN)2 (178 мг, 2 ммоля) кипятили с обратным холодильником в этоксиэтаноле (3 мл), по каплям в течение 5 мин добавляли 2н. HCl (1 мл) и полученную реакционную смесь кипятили с обратным холодильником в течение еще 5 мин. Полученную реакционную смесь выливали в насыщенный раствор Na2СО3 и дважды экстрагировали EtOAc. Объединенные органические фазы сушили над Na2SO4, упаривали досуха и очищали хроматографией (SiO2, элюент: EtOAc/МеОН/конц.NH3, 95:4,5:0,5), при этом получали указанное в заголовке соединение в виде твердого вещества (40 мг, 30%). 1H ЯМР (400 МГц, ДМСО-d6): 1,28 (ушир.s, 3Н), 1,99 (ушир.s, 1H), 2,10 (ушир.s, 1H), 2,68 (d, 1H), 2,85 (d, 1H), 3,00 (ушир.s, 1H), 3,43 (d, 1H), 3,55 (d, 1H), 4,20 (ушир.d, 1H), 4,60 (ушир.d, 1H), 5,78 (s, 1H, NH), 7,16-7,28 (m, 4H), 7,33-7,42 (m, 2Н), 7,47 (d, 1H), 7,55 (d, 1H), 7,93 (d, 1H), 8,98 (s, 2Н, NH2). MC (ES+) m/z: 455,2 (MH+, 100). [ Пример 2 N-(5-Хлор-2-[(Е)-3-[(R)-4-(4-фторбензил)-2-метилпиперазин-1-ил]-3-оксопропенил]фенил)ацетамид (Е)-3-(2-Амино-4-хлорфенил)-1-[(R)-4-(4-фторбензил)-2-метилпиперазин-1 -ил]пропенон (78 мг, 0,2 ммоля), NEt3 (202 мг, 2 ммоля) и Ас2О (204 мг, 2 ммоля) кипятили с обратным холодильником в ТГФ (4 мл) в течение 8 ч. Полученную реакционную смесь упаривали досуха и очищали хроматографией (SiO2, элюент: EtOAc/МеОН/конц.NH3, 97:2,7:0,3), при этом получали указанное в заголовке соединение в виде пены белого цвета (60 мг, 70%). 1H ЯМР (400 МГц, ДМСО-d6, 100°С): 1,28 (ушир.s, 3Н), 1,97 (ушир.s, 1H), 2,10 (ушир.s, 1H), 2,11 (s, 3Н), 2,68 (d, 1H), 2,85 (d, 1H), 2,98 (ушир.s, 1H), 3,43 (d, 1H), 3,55 (d, 1H), 4,20 (ушир.d, 1H), 4,58 (ушир.d, 1H), 7,17-7,22 (m, 3Н), 7,30 (dd, 1H), 7,39 (d, 1H), 7,40 (d, 1H), 7.59 (d, 1H), 7,65 (d, 1H), 7,93 (d, 1H), 9,92 (s, 1H, NH). MC (ES+) m/z: 430,2 (MH+, 100). [ Пример 3 N-(5-Хлор-2-[((Е)-3-[(S)-4-(4-фторбензил)-2-метилпиперазин-1-ил]-3-оксопропенил]фенил)ацетамид (Е)-3-(2-Амино-4-хлорфенил)-1-[(S)-4-(4-фторбензил)-2-метилпиперазин-1-ил]пропенон, полученный по аналогичной методике, как описано выше для R-энантиомера, (78 мг, 0,2 ммоля), NEt3 (202 мг, 2 ммоля) и Ас2О (204 мг, 2 ммоля) кипятили с обратным холодильником в ТГФ (4 мл) в течение 8 ч. Полученную реакционную смесь упаривали досуха и очищали хроматографией (SiO2, элюент: EtOAc/МеОН/конц.NH3, 97:2,7:0,3), при этом получали указанное в заголовке соединение в виде пены белого цвета (50 мг, 58%). 1H ЯМР (400 МГц, ДМСО-d6, 120°С ): 1,30 (d, 3Н), 2,06 (dt. 1H), 2,10 (s, 3Н), 2,20 (dd, 1H), 2,70 (dd, 1H), 2,85 (dd, 1H), 3,20 (dt, 1H), 3,48 (d, 1H). 3,56 (d, 1H), 4,15 (ушир.d, 1H), 4,55 (ушир.s, 1H), 7,01 (d, 1H), 7,11 (dd, 2H), 7,23 (dd, 1H), 7,36 (dd, 2H), 7,59 (d, 1H), 7,60 (d, 1H), 7,75 (d, 1H), 9,38 (ушир.s, 1H, NH). MC (ES+) m/z: 430,2 (MH+, 100). [ Пример 4 (5-Хлор-2-[(Е)-3-[(R)-4-(4-фторбензил)-2-метилпиперазин-1-ил]-3-оксопропенил]фенил)мочевина (Е)-3-(2-Амино-4-хлорфенил)-1-[(R)-4-(4-фторбензил)-2-метилпиперазин-1-ил]пропенон (100 мг, 0,26 ммоля) и NaOCN (34 мг, 0,504 ммоля) перемешивали в НОАс (5 мл) и воде (10 мл) при комнатной температуре в течение 3 ч. Полученную реакционную смесь выливали в 1н. раствор NaOH и дважды экстрагировали EtOAc. Объединенные органические фазы сушили над Na2SO4, упаривали досуха и очищали хроматографией (SiO2, элюент: EtOAc/МеОН/конц.NH3, 95:4,5:0,5), при этом получали указанное в заголовке соединение в виде бесцветных кристаллов (70 мг, 63%). 1Н ЯМР (400 МГц, ДМСО-d6): 1,29 (ушир.d, 3Н), 1,85-2,20 (ушир.m, 2Н), 2,68 (d, 1Н), 2,83 (d, 1H), 3,10 (ушир.m, 1Н), 3,43 (ушир.t, 1H), 3,53 (ушир.t, 1Н), 4,20 (ушир.d, 1H), 4,60 (ушир.d, 1H), 6,28 (s, 2Н, NH2), 7,08 (dd, 1H), 7,12-7,21 (т, 3Н), 7,38 (d, 1H), 7,40 (d, 1H), 7,68 (d, 1H), 7,77 (d, 1H), 8,00 (d, 1H), 8,40 (s, 1H). MC (ES+) m/z: 431,2 (MH+, 100). [ Пример 5 (5-Хлор-2-[(Е)-3-[(S)-4-(4-фторбензил)-2-метилпиперазин-1-ил]-3-оксопропенил]фенил)мочевина (Е)-3-(2-Амино-4-хлорфенил)-1-[(S)-4-(4-фторбензил)-2-метилпиперазин-1-ил]пропенон, полученный по аналогичной методике, как описано выше для R-энантиомера, (100 мг, 0,26 ммоля) и NaOCN (53 мг, 0,75 ммоля) перемешивали в НОАс (5 мл) и воде (10 мл) при комнатной температуре в течение 1 ч. Полученную реакционную смесь выливали в насыщенный раствор Na2СО3 и дважды экстрагировали EtOAc. Объединенные органические фазы сушили над Na2SO4, упаривали досуха и твердое вещество очищали перекристаллизацией из ТВМЕ, при этом получали указанное в заголовке соединение в виде бесцветных кристаллов (70 мг, 63%). 1H ЯМР (400 МГц, ДМСО-d6): 1,20 (ушир.d, 3Н), 1,85-2,20 (ушир.m, 2Н), 2,68 (d, 1H), 2,83 (d, 1H), 3,10 (ушир.m, 1H), 3,43 (ушир.d, 1H), 3,53 (ушир.d, 1H), 4,20 (ушир.d, 1H), 4,60 (ушир.d, 1H), 6,28 (s, 2Н, NH2), 7,08 (dd, 1H), 7,12-7,21 (т, 3Н), 7,38 (d, 1H), 7,40 (d, 1H), 7,65 (d, 1H), 7,75 (d, 1H), 7,98 (d, 1H), 8,38 (s, 1H). MC (AP+) m/z: 431,2 (MH+, 90), 388,2 (50), 251,2 (100). [ Пример 6 N-(5-Хлор-2-[(Е)-3-[(R)-4-(4-фторбензил)-2-метилпиперазин-1-ил]-3-оксопропенил]фенил)-N,N-диметилсульфамид (Е)-3-(2-Амино-4-хлорфенил)-1-[(R)-4-(4-фторбензил)-2-метилпиперазин-1 -ил]пропенон (50 мг, 0,13 ммоля) и N,N-диметилсульфамоилхлорид (83 мкл, 0,77 ммоля) растворяли в пиридине (2 мл) и нагревали при 50°С в течение 12 ч. Реакционную смесь упаривали досуха, переносили в 2н. раствор NaOH и дважды экстрагировали ТВМЕ. Объединенные органические фазы сушили над Na2SO4, упаривали досуха и очищали хроматографией (элюент: ацетон/гексан, градиент от 2:8 до 3:7), при этом получали указанное в заголовке соединение в виде пены желтого цвета (10 мг, 15%). 1Н ЯМР (400 МГц, ДМСО-d6): 1,27 (ушир.s, 3Н), 1,98 (ушир.s, 1H), 2,12 (ушир.s, 1H), 2,67 (ушир.d, 1H), 2,72 (s, 6H), 2,85 (ушир.d, 1H), 3,00 (ушир.s, 1H), 3,44 (ушир.d, 1H), 3,55 (ушир.d, 1H), 4,22 (ушир.s, 1H), 4,60 (ушир.s, 1H), 7,15-7,25 (m, 3Н), 7,32 (ушир.s, 1H), 7,38-7,43 (m, 3Н), 7,90 (d, 1H), 7,93 (ушир.s, 1H), 9,80 (s, 1H, NH). MC (ES+) m/z: 495,2 (MH+, 100). Пример 7 N-(5-Хлор-2-[(Е)-3-[(R)-4-(4-фторбензил)-2-метилпиперазин-1-ил]-3-оксопропенил]фенил)метансульфонамид (Е)-3-(2-Амино-4-хлорфенил)-1-[(R)-4-(4-фторбензил)-2-метилпиперазин-1-ил]пропенон (100 мг, 0,26 ммоля) и NEt3 (0,22 мл, 1,54 ммоля) растворяли в ТГФ (4 мл) и при перемешивании в течение 10 мин при комнатной температуре обрабатывали MeSO2Cl (60 мкл, 0,77 ммоля). Реакционную смесь переносили в воду и дважды экстрагировали ТВМЕ. Объединенные органические фазы сушили над Na2SO4, упаривали и очищали хроматографией (SiO2, элюент: ТВМЕ), при этом получали промежуточный дисульфонамид (120 мг) в виде бесцветной пены. Полученное промежуточное соединение растворяли в EtOH (4,5 мл) и обрабатывали 2н. раствором NaOH (4,5 мл) в течение 2 мин при комнатной температуре. Смесь выливали в воду и трижды экстрагировали ТВМЕ. Объединенные органические фазы сушили над Na2SO4, упаривали досуха и очищали хроматографией (SiO2, элюент: ТВМЕ/МеОН, градиент от 10:0 до 9:1), при этом получали указанное в заголовке соединение в виде пены желтого цвета (50 мг, 38%). 1Н ЯМР (400 МГц, ДМСО-d6): 1,28 (ушир.s, 3Н), 1,98 (ушир.s, 1H), 2,11 (ушир.s, 1H), 2,68 (d, 1H), 2,85 (d, 1H), 3,03 (ушир.s, 1H), 3,05 (s, 3Н), 3,45 (d, 1H), 3,55 (d, 1H), 4,20 (ушир.d, 1H), 4,60 (ушир.d 1H), 7,15-7,23 (m, 3Н), 7,36-7,43 (m, 4H), 7,82 (d, 1H), 7,97 (d, 1H), 9,76 (ушир.s, 1H, NH). MC (ES+) m/z: 466,2 (МН+, 80). [ Пример 8 (5-Хлор-2-{(Е)-3-[(R)-4-(4-фторбензил)-2-метилпиперазин-1-ил]-3-оксопропенил}фенил)амид 1-ацетилпиперидин-4-карбоновой кислоты
Смесь 0,10 г (0,58 ммоля) 1-ацетилпиперидин-4-карбоновой кислоты, 0,25 г (0,64 ммоля) (Е)-3-(2-амино-4-хлорфенил)-1-[(R)-4-(4-фторбензил)-2-метилпиперазин-1-ил]пропенона, 0,13 г (0,70 ммоля) EDCI и 0,095 г (0,70 ммоля) HOBt в 10 мл ДМФА перемешивали при комнатной температуре в течение 16 ч. Неочищенный продукт, полученный после добавления воды и экстракции этилацетатом, очищали обращенно-фазовой ЖХВР и при этом получали требуемый амид (выход 68 мг, 22%). 1Н ЯМР (400 МГц, ДМСО-d6): 1,24 (ушир.s, 3Н), 1,45 (qd, 1H), 1,59 (qd, 1H), 1,78-2,15 (m, 4H), 2,01 (s, 3Н), 2,50-2,74 (m, 4H), 2,81 (d, 1H), 3,08 (td, 1H), 3,42 и 3,52 (AB-Sys., 2H), 3,87 (d, 1H), 4,05-4,70 (m, 3Н), 7,16 (t, 2H), 7,17 (d, 1H), 7,28 (dd, 1H), 7,35 (dd, 2H), 7,50 (d, 1H), 7,58 (d, 1H), 7,89 (d, 1H), 9,84 (s, 1H). MC (ESI+) m/z: 541 [M+H]+ Пример 9 (5-Хлор-2-[(Е)-3-[(R)-4-(4-фторбензил)-2-метилпиперазин-1-ил]-3-оксопропенил]фенил)амид 1-метил-1Н-имидазол-4-сульфоновой кислоты (Е)-3-(2-Амино-4-хлорфенил)-1-[(R)-4-(4-фторбензил)-2-метилпиперазин-1-ил]пропенон (100 мг, 0,26 ммоля) растворяли в пиридине (6 мл) и при перемешивании обрабатывали 1-метилимидазол-4-сульфонилхлоридом (51 мг, 0,284 ммоля) при 0°С. Реакционную смесь перемешивали при комнатной температуре в течение ночи, растворитель упаривали и реакционную смесь очищали препаративной ЖХВР (Waters XTerra, элюент: Н2О/ацетонитрил, градиент 20-100%), выход 32 мг. 1H ЯМР (400 МГц, ДМСО-d6, 396К): 1,28 (d, 3Н), 2,02 (td, 2H), 2,18 (dd, 1H), 2,68 (ушир.d, 1H), 3,16 (td, 1H), 3,48 (q, 2H), 3,66 (s, 3Н), 4,1 (ушир.d, 1H), 4,5 (ушир.m, 1H), 6,92 (d, 1H), 7,08 (т, 2H), 7,18 (d, 1H), 7,32 (т, 3Н), 7,55 (s, 1H), 7,58 (d, 1H), 7,64 (s, 1H), 7,66 (s, 1H), 9,8 (NH, 1H). MC (ES+) m/z: 532,1 (МН+, 100%). Пример 10 N-[5-(5-Хлор-2-[(Е)-3-[(R)-4-(4-фторбензил)-2-метилпиперазин-1-ил]-3-оксопропенил]фенилсульфамоил)тиазол-2-ил]ацетамид (Е)-3-(2-Амино-4-хлорфенил)-1-[(R)-4-(4-фторбензил)-2-метилпиперазин-1-ил]пропенон (99,69 мг, 0,26 ммоля) растворяли в пиридине (6 мл) и при перемешивании обрабатывали 2-ацетамидо-4-метил-5-тиазолсульфонилхлоридом (72 мг, 0,283 ммоля) при 0°С. Реакционную смесь перемешивали при комнатной температуре в течение ночи, растворитель упаривали и реакционную смесь очищали препаративной ЖХВР (Waters XTerra, элюент: Н2О/ацетонитрил, градиент 20-100%), выход 46 мг. 1H ЯМР (400 МГц, ДМСО-d6, 396 ): 1,28 (d, 3Н), 2,02 (td, 2H), 2,14 (s, 3H), 2,18 (dd, 1H), 2,28 (s, 3H), 2,68 (ушир.d, 1H), 2,82 (m, 1H,+H2O), 4,8 (q, 2H), 4,08 (ушир.d, 1H), 4,48 (ушир.m, 1H), 6,92 (d, 1H), 7,05 (m, 2H), 7,12 (m, 1H), 7,2-7,4 (m, 3Н), 7,6 (d, 1H), 7,77 (d, 1H). MC (ES+) m/z: 606,02 (MH+). Пример 11 (5-Хлор-2-[(Е)-3-[(R)-4-(4-фторбензил)-2-метилпиперазин-1-ил]-3-оксопропенил]фенил)амид 2-оксоимидазолидин-1-карбоновой кислоты (Е)-3-(2-Амино-4-хлорфенил)-1-[(R)-4-(4-фторбензил)-2-метилпиперазин-1-ил]пропенон (100,08 мг, 0,387 ммоля) растворяли в дихлорметане (5 мл) и при перемешивании обрабатывали 2-оксо-1-имидазолидинкарбонилхлоридом (89,8 мг, 0,580 ммоля) при 0°С. Реакционную смесь перемешивали при комнатной температуре в течение ночи, образовавшийся кристаллический продукт отфильтровывали, промывали дихлорметаном и сушили в вакууме, выход 172 мг (88%), tпл. 275-277°С (без поправки). 1Н ЯМР (400 МГц, ДМСО-d6, 396[К]): 1,38 (d, 3Н), 2,6 (ушир.s, 1H), 2,78 (ушир.s, 1H), 2,92 (m, 1H), 3,18 (ушир.s, 1H), 3,41 (m, 3Н), 3,8 (m, 2H), 3,98 (ушир.d, 2H), 4,25 (d, 1H), 4,68 (ушир.s, 1H), 7,0 (d, 1H), 7,12 (m, 3Н), 7,46 (ушир.s, 1H), 7,58 (m, 3Н), 7,65 (d, 1H), 8,0 (d, 1H), 10,58 (ушир.s, 1H, NH). MC (ES+) m/z: 500,2 (MH+, 58% ), 173,1 (100%). MC (ES–) m/z: 498,2 (M-H, 13% ), 534,2 (100%, M+Cl–), 612,3 (8%, М+CF3СО2 –). Пример 12 N-(4-Хлор-2-[(Е)-3-[4-(4-фторбензил)-2-метилпиперазин-1-ил]-3-оксопропенил]фенил)метилтио-N’-цианотиомочевина (Е)-3-(2-Амино-4-хлорфенил)-1-[4-(4-фторбензил)-2-метилпиперазин-1-ил]пропенон (200 мг, 0,51 ммоля) (рацемат, полученный по аналогичной методике, как описано выше для R-энантиомера из рацемата 1-(4-фторбензил)-3-метилпиперазина (см. статью Bolos Jordi и др., J. Med. Chem., т. 39(15), сс. 2962-2970, (1996)) в ТГФ (5 мл) при комнатной температуре при перемешивании обрабатывали NaH (55% в минеральном масле, 40 мг, 0,8 ммоля), а через 40 мин добавляли диметил-N-цианодитиоиминокарбонат (113 мг, 0,77 моля). Реакционную смесь кипятили с обратным холодильником в атмосфере аргона в течение 12ч, выливали в раствор NH4Cl и три раза экстрагировали ТВМЕ. Объединенные органические фазы сушили над Na2SO4, упаривали досуха и очищали хроматографией (SiO2, элюент: ТВМЕ/МеОН, градиент от 100:0 до 98:2), при этом получали указанное в заголовке соединение в виде пены (150 мг, 60%). 1H ЯМР (400 МГц, ДМСО-d6): 1,27 (ушир.s, 3Н), 1,98 (ушир.s, 1Н), 2,12 (ушир.s, 1Н), 2,66 (ушир.s, 3Н), 2,68 (ушир.d, 1Н), 2.84 (ушир.d, 1Н), 3,00 (ушир.s, 1Н), 3,45 (d, 1Н), 3,55 (ушир.d, 1Н), 4,22 (ушир.s, 1Н), 4,55 (ушир.s 1Н), 7,18 (t, 2H), 7,28 (d, 1Н), 7,36-7,53 (m, 5H), 8,03 (d, 1Н), 10,42 (ушир.s, 1Н, NH). МС (ES+ m/z: 486,3 (M+, 100). Пример 13 N-(4-Хлор-2-[(Е)-3-[4-(4-фторбензил)-2-метилпиперазин-1-ил]-3-оксопропенил]фенил)сульфонилмочевина К раствору хлорсульфонилизоцианата (22 мкл, 0,26 ммоля) в толуоле (0,25 мл) при перемешивании по каплям добавляли муравьиную кислоту (10 мкл, 0,26 ммоля, предварительно высушенную над В2О3 в течение 2 ч) в толуоле (0,5 мл). Смесь выдерживали в течение 12 ч, нагревали до 40°С в течение 5 мин, затем охлаждали до 0°С и добавляли (Е)-3-(2-амино-4-хлорфенил)-1-[4-(4-фторбензил)-2-метилпиперазин-1-ил]пропенон (200 мг, 0,51 ммоля) (рацемат, полученный по аналогичной методике, как описано выше для R-энантиомера из рацемата 1-(4-фторбензил)-3-метилпиперазина (см. статью Bolos Jordi и др., J. Med. Chem., т. 39(15), сс. 2962-2970 (1996)) в толуоле (0,5 мл) и 1н. NaOH (0,26 мл, 0,26 ммоля). Реакционную смесь перемешивали при 0°С в течение 1 ч, выливали в воду и три раза экстрагировали ТВМЕ. Объединенные органические фазы сушили над Na2SO4, упаривали и очищали хроматографией (препаративная ЖХВР, XTerra, RP18, 7 мкм, элюент: ацетонитрил/вода, затем SiO2, элюент: EtOAc/гексан, градиент от 8:2 до 10:0), при этом получали бесцветное стеклообразное вещество, которое перекристаллизовывали из ТВМЕ/гексана и при этом получали указанное в заголовке соединение в виде бесцветных кристаллов (19 мг, 16%). 1H ЯМР (400 МГц, ДМСО-d6): 1,28 (ушир.s, 3Н), 1,88-2,16 (ушир.m, 2Н), 2,68 (d, 1Н), 2,83 (d, 1H), 2,97 (ушир.s, 1H), 3,43 (d, 1H), 3,55 (d, 1H), 4,20 (ушир.d, 1H), 4,55 (ушир.d 1H), 7,13 (d, 1H), 7,16 (ушир.s, 2Н, NH2), 7,18 (t, 2Н), 7,28 (d, 1H), 7,39 (dd, 2Н), 7,53 (d, 1H), 7,81 (d, 1H), 7,90 (d, 1H), 9,30 (ушир.s, 1H, NH). MC (ES+) m/z: 467.2 (MH+, 100). Пример 14 (5-Хлор-2-[(Е)-3-[(2R,5S)-4-(4-фторбензил)-2,5-диметилпиперазин-1-ил]-3-оксопропенил]фенил)мочевина а) Трет-бутиловый эфир (5-хлор-2-[(Е)-3-[(2R,5S)-4-(4-Фторбензил)-2,5-диметилпиперазин-1-ил]-3-оксопропенил]фенил)карбаминовой кислоты (Е)-3-(2-трет-Бутоксикарбониламино-4-хлорфенил)акриловую кислоту (595 мг, 2,0 ммоля) и (2S,5R)-4-(4-фторбензил)-2,5-диметилпиперазин (Mavunkel Babu J., и др., WO 00/71535) (445 мг, 2,0 ммоля) растворяли в СН2Cl2, смешивали с гидрохлоридом EDCI (384 мг, 2,0 ммоля) и перемешивали при комнатной температуре в течение 3 ч. Реакционную смесь очищали хроматографией (SiO2, элюент: EtOAc/гексан, 2:8), при этом получали указанное в заголовке соединение в виде бесцветной пены (830 мг, 81%). 1H ЯМР (400 МГц, ДМСО-d6): 0,95 (ушир.s, 3Н), 1,25 (ушир.s, 3Н), 1,50 (s, 9Н), 2,30 (m, 1H), 2,55-2,80 (ушир.m, 2Н), 3,05 (ушир.s, 1H), 3,45 (ушир.d, 1H), 3,64 (ушир.d, 1H), 4,05 (ушир.s, 1H), 4,55 (ушир.s, 1H), 7,09-7,20 (т, 3Н), 7,15 (dd, 1H), 7,39-7,42 (т, 2Н), 7,45 (ушир.s, 1H), 7,66 (d, 1H), 7,89 (d, 1H), 9,25 (ушир.s, 1H, NH). MC (ES+) m/z: 502,3 (MH+, 100), 446,2 (90). б) (E)-3-(2-Амино-4-хлорфенил)-1-[(2R,5S)-4-(4-фторбензил)-2,5-диметилпиперазин-1-ил]пропенон Трет-бутиловыйэфир(5-хлор-2-[(Е)-3-[(2R,5S)-4-(4-фторбензил)-2,5-диметилпиперазин-1-ил]-3-оксопропенил]фенил)карбаминовой кислоты (830 мг, 1,65 ммоля) растворяли в EtOH (7 мл) и обрабатывали конц. HCl (7 мл) при комнатной температуре в течение 30 мин. Реакционную смесь выливали в насыщенный раствор Na2CO3 и дважды экстрагировали EtOAc. Объединенные органические фазы сушили над Na2SO4, упаривали досуха и очищали хроматографией (SiO2, элюент: EtOAc/гексан, градиент от 7:3 до 6:4), при этом получали указанное в заголовке соединение в виде пены (600 мг, 90%). 1Н ЯМР (400 МГц, ДМСО-d6): 0,95 (ушир.d, 3H), 1,23 (ушир.d, 3H), 2,25 (d, 1H), 2,55-2,70 (m, 2H), 3,03 (ушир.s, 1H), 3,45 (d, 1H), 3,63 (d, 1H), 4,05 (ушир.s, 1H), 4,55 (ушир.s, 1H), 5,73 (s, 2H, NH2), 6,57 (dd, 1H), 6,75 (d, 1H), 6,97 (d, 1H), 7,18 (t, 2H), 7,41 (dd, 2H), 7,53 (d, 1H), 7,68 (d, 1H). MC (ES+) m/z: 402,2 (MH+, 100). [ Пример 15 (5-Хлор-2-[(Е)-3-[(2R,5S)-4-(4-фторбензил)-2,5-диметилпиперазин-1-ил]-3-оксопропенил]фенил)мочевина (Е)-3-(2-Амино-4-хлорфенил)-1-[(2R,5S)-4-(4-фторбензил)-2,5-диметилпиперазин-1-ил]пропенон (101 мг, 0,25 ммоля) и NaOCN (34 мг, 0,504 ммоля) перемешивали в НОАс (5 мл) и воде (10 мл) при комнатной температуре в течение 3 ч. Реакционную смесь выливали в насыщенный раствор Na2CO3 и дважды экстрагировали EtOAc. Объединенные органические фазы сушили над Na2SO4, упаривали досуха и очищали хроматографией (SiO2, элюент: ТВМЕ/МеОН/конц.NH3, 97:2,7:0,5), при этом получали указанное в заголовке соединение в виде бесцветных кристаллов (60 мг, 54%). 1H ЯМР (400 МГц, ДМСО-d6, 120°С): 1.01 (d, 3Н), 1,30 (d, 3H), 2,33 (dd, 1H), 2,78 (dd, 1H), 3,05 (m, 1H), 3,41 (dd, 1H), 3,51 (d, 1H), 3,66 (d, 1H), 4,00 (d, 1H), 4,52 (ушир.m, 1H), 5,86 (ушир.s, 2Н, NH2), 7,00 (d, 1H), 7,05-7,14 (т, 3Н), 7,41 (dd, 2Н), 7,66 (d, 1H), 7,68 (d, 1H), 7,93 (d, 1H), 8,07 (ушир.s, 1H, NH). MC (ESI+) m/z: 445,2 (MH+, 100). [ Пример 16 N-(5-Хлор-2-[(Е)-3-[(2R,5S)-4-(4-фторбензил)-2,5-диметилпиперазин-1-ил]-3-оксопропенил]фенил)ацетамид (Е)-3-(2-Амино-4-хлорфенил)-1-[(2R,5S)-4-(4-фторбензил)-2,5-диметилпиперазин-1-ил]пропенон (101 мг, 0,25 ммоля), NEt3 (252 мг, 2,5 ммоля) и Ас2О (225 мг, 2,5 ммоля) кипятили с обратным холодильником в ТГФ (5 мл) в течение 5 ч. Полученную реакционную смесь упаривали досуха и очищали хроматографией (SiO2, элюент: ТВМЕ/МеОН/конц.NH3, 97:2,7:0,3), при этом получали указанное в заголовке соединение в виде пены желтоватого цвета (100 мг,90%). 1Н ЯМР (400 МГц, ДМСО-d6): 0,95 (ушир.s, 3Н), 1,28 (ушир.s, 3Н), 2,12 (s, 3Н), 2,28 (d, 1H), 2,64 (ушир.s, 1H), 3,05 (ушир.s, 1H), 3,30 (ушир.s, 1H), 3,50 (d, 1H), 3,65 (d, 1H), 4,05 (ушир.s, 1H), 4,60 (ушир.s, 1H), 7,18 (t, 3Н), 7,30 (dd, 1H), 7,42 (dd, 2Н), 7,60 (d, 1H), 7,68 (d, 1H), 7,94 (d, 1H), 9,92 (s, 1H, NH). MC (ES+) m/z: 444,2 (MH+, 100). [ Пример 17 N-(5-хлор-2-[(Е)-3-[(2S,5R)-4-(4-фторбензил)-2,5-диметилпиперазин-1-ил]-3-оксопропенил]фенил)ацетамид а) Трет-бутиловый эфир (5-хлор-2-[(Е)-3-[(2S,5R)-4-(4-фторбензил)-2,5-диметилпиперазин-1-ил]-3-оксопропенил]фенил)карбаминовой кислоты (Е)-3-(2-трет-Бутоксикарбониламино-4-хлорфенил)акриловую кислоту (595 мг, 2,0 ммоля) и (2R,5S)-1-(4-фторбензил)-2,5-диметилпиперазин (Mavunkel Babu J. и др., WO 00/71535) (445 мг, 2,0 ммоля) растворяли в CH2Cl2, смешивали с гидрохлоридом EDCI (384 мг, 2,0 ммоля) и перемешивали при комнатной температуре в течение 3 ч. Реакционную смесь очищали хроматографией (SiO2, элюент: EtOAc/гексан, 2:8), при этом получали указанное в заголовке соединение в виде бесцветной пены (840 мг, 81%). 1H ЯМР (400 МГц, ДМСО-d6): 0,95 (ушир.s, 3Н), 1,25 (ушир.s, 3Н), 1,50 (s, 9H), 2,30 (m, 1H), 2,55-2,80 (ушир.m, 2Н), 3,05 (ушир.s, 1Н), 3,45 (ушир.d, 1H), 3,64 (ушир.d, 1H), 4,05 (ушир.s, 1H), 4,55 (ушир.s, 1H), 7,09-7,20 (m, 3Н), 7,15 (dd, 1H), 7,39-7,42 (m, 2Н), 7,45 (ушир.s, 1H), 7,66 (d, 1H), 7,89 (d, 1H), 9,25 (ушир.s, 1H, NH). MC (ES+) m/z: 502,2 (MH+, 100), 446 (80). [ б) (Е)-3-(2-Амино-4-хлорфенил)-1-[(2S,5R)-4-(4-фторбензил)-2,5-диметилпиперазин-1-ил]пропенон Трет-бутиловый эфир (5-хлор-2-[(Е)-3-[(2S,5R)-4-(4-фторбензил)-2,5-диметилпиперазин-1-ил]-3-оксопропенил]фенил)карбаминовой кислоты (830 мг, 1,65 ммоля) растворяли в EtOH (7 мл) и обрабатывали конц. HCl (7 мл) при комнатной температуре в течение 30 мин. Реакционную смесь выливали в насыщенный раствор Na2CO3 и дважды экстрагировали EtOAc. Объединенные органические фазы сушили над Na2SO4, упаривали досуха и очищали хроматографией (SiO2, элюент: EtOAc/гексан, градиент от 7:3 до 6:4), при этом получали указанное в заголовке соединение в виде пены (580 мг, 87%). 1H ЯМР (400 МГц, ДМСО-d6): 0,95 (ушир.d, 3Н), 1,23 (ушир.d, 3Н), 2,25 (d, 1Н), 2,55-2,70 (m, 2H), 3,03 (ушир.s, 1H), 3,45 (d, 1H), 3,63 (d, 1H), 4,05 (ушир.s, 1H), 4.55 (ушир.s, 1H), 5,73 (s, 2H, NH2), 6,57 (dd, 1H), 6,75 (d, 1H), 6,97 (d, 1H), 7,18 (t, 2H), 7,41 (dd, 2H), 7,53 (d, 1H), 7,68 (d, 1H). MC (ES+) m/z: 402,2 (MH+, 100). [ в) N-(5-Хлор-2-[(Е)-3-[(2S,5R)-4-(4-фторбензил)-2,5-диметилпиперазин-1-ил]-3-оксопропенил]фенил)ацетамид (Е)-3-(2-Амино-4-хлорфенил)-1-[(2S,5R)-4-(4-фторбензил)-2,5-диметилпиперазин-1-ил]пропенон (101 мг, 0,25 ммоля), NEt3 (252 мг, 2,5 ммоля) и Ас2О (255 мг, 2,5 ммоля) кипятили с обратным холодильником в ТГФ (5 мл) в течение 5 ч. Полученную реакционную смесь упаривали досуха и очищали хроматографией (SiO2, элюент: ТВМЕ), при этом получали указанное в заголовке соединение в виде пены желтоватого цвета (100 мг, 90%). 1H ЯМР (400 МГц, ДМСО-d6): 0,95 (ушир.s, 3Н), 1,28 (ушир.s, 3Н), 2,12 (s, 3Н), 2,28 (d, 1H), 2,64 (ушир.s, H), 3,05 (ушир.s, 1H), 3,30 (ушир.s, 1H), 3,50 (d, 1H), 3,65 (d, 1H), 4,05 (ушир.s, 1H), 4,60 (ушир.s, 1H), 7,18 (t, 3Н), 7,30 (dd, 1H), 7,42 (dd, 2H), 7,60 (d, 1H), 7,68 (d, 1H), 7,94 (d, 1H), 9,92 (s, 1H, NH). MC (ES+) m/z: 444,2 (MH+, 100). [ Пример 18 (5-хлор-2-[(Е)-3-[(2S,5R)-4-(4-фторбензил)-2,5-диметилпиперазин-1-ил]-3-оксопропенил]фенил)мочевина (Е)-3-(2-Амино-4-хлорфенил)-1-[(2S,5R)-4-(4-фторбензил)-2,5-диметилпиперазин-1-ил]пропенон (101 мг, 0,25 ммоля) и NaOCN (34 мг, 0,504 ммоля) перемешивали в НОАс (5 мл) и воде (10 мл) при комнатной температуре в течение 3 ч. Реакционную смесь выливали в насыщенный раствор Na2CO3 и дважды экстрагировали EtOAc. Объединенные органические фазы сушили над Na2SO4, упаривали досуха и очищали хроматографией (SiO2, элюент: ТВМЕ/МеОН/конц.NH3, 97:2,7:0,5), при этом получали указанное в заголовке соединение в виде бесцветных кристаллов (80 мг, 70%). 1Н ЯМР (400 МГц, ДМСО-d6, 120°С): 1,01 (d, 3Н), 1,30 (d, 3H), 2,33 (dd, 1H), 2,78 (dd, 1H), 3,05 (m, 1H), 3,41 (dd, 1H), 3,51 (d, 1H), 3,66 (d, 1H), 4,00 (d, 1H), 4,52 (ушир.m, 1H), 5,86 (ушир.s 2H, NH2), 7,00 (d, 1H), 7,05-7,14 (т, 3Н), 7,41 (dd, 2H), 7,66 (d, 1H), 7,68 (d, 1H), 7,93 (d, 1H), 8,07 (ушир.s, 1H, NH). MC (ES+) m/z: 445,2 (MH+, 100). [ Пример 19 N-(5-Хлор-2-[(Е)-3-[4-(4-фторбензил)пиперазин-1-ил]-3-оксопропенил]фенил)ацетамид а) Трет-бутиловый эфир (5-хлор-2-[(Е)-3-[4-(4-фторбензил)пиперазин-1-ил]-3-оксопропенил]фенил)карбаминовой кислоты (Е)-3-(2-трет-Бутоксикарбониламино-4-хлорфенил)акриловую кислоту (150 мг, 0,5 ммоля), 1-(4-фторбензил)пиперазин (98 мг, 0,5 ммоля) и гидрохлорид EDCI (96 мг, 0,5 ммоля) растворяли в CH2Cl2 и перемешивали при комнатной температуре в течение 18 ч. Реакционную смесь очищали хроматографией (SiO2, элюент: EtOAc), при этом получали указанное в заголовке соединение в виде пены белого цвета (150 мг, 63%). 1Н ЯМР (400 МГц, ДМСО-d6): 1,48 (s, 9H), 2,38 (ушир.d, 4H), 3,51 (s, 2H), 3,60 (ушир.s, 2H), 3,71 (ушир.s, 2H), 7,13-7,21 (m, 3Н), 7,26 (dd, 1H), 7,37 (d, 1H), 7,39 (d, 1H), 7,48 (ушир.s, 1H), 7,64 (d, 1H), 7,89 (d, 1H), 9,23 (s, 1H, NH). MC (ES–) m/z: 472,2 (M-H, 100). б) (Е)-3-(2-Амино-4-хлорфенил)-1-[4-(4-фторбензил)пиперазин-1-ил]пропенон Трет-бутиловый эфир (5-хлор-2-[(Е)-3-[4-(4-фторбензил)пиперазин-1-ил]-3-оксопропенил]фенил)карбаминовой кислоты (330 мг, 0,7 ммоля) растворяли в EtOH (7 мл) и обрабатывали конц. HCl (7 мл) при комнатной температуре в течение 30 мин. Реакционную смесь выливали в насыщенный раствор Na2СО3 и дважды экстрагировали EtOAc. Объединенные органические фазы сушили над Na2SO4, упаривали досуха и при этом получали указанное в заголовке соединение в виде пены желтого цвета (240 мг, 91%). 1H ЯМР (400 МГц, ДМСО-d6): 2,38 (ушир.s, 4H), 3,51 (s, 2H), 3,59 (ушир.s, 2H), 3,68 (ушир.s, 2H), 5,75 (s, 2H, NH2), 6,55 (dd, 1H), 6,73 (d, 1H), 7,00 (d, 1H), 7,18 (t, 2H), 7,38 (dd, 2H), 7,53 (d, 1H), 7,64 (d, 1H). MC (ES–) m/z: 372,2 (M-H, 100). в) N-(5-Хлор-2-[(Е)-3-[4-[4-фторбензил)пиперазин-1-ил]-3-оксопропенил]фенил)ацетамид (Е)-3-(2-Амино-4-хлорфенил)-1-[4-(4-фторбензил)пиперазин-1-ил]пропенон (75 мг, 0,2 ммоля), NEt3 (202 мг, 2,0 ммоля) и Ас2О (204 мг, 2,0 ммоля) кипятили с обратным холодильником в ТГФ (4 мл) в течение 6 ч. Полученную реакционную смесь упаривали досуха и очищали хроматографией (SiO2, элюент: EtOAc/МеОН/конц.NH3, 95:4,5:0,5) при этом получали указанное в заголовке соединение в виде бесцветных кристаллов (40 мг, 48%). 1Н ЯМР (400 МГц, ДМСО-d6): 2,11 (s, 3Н), 2.40 (ушир.s, 4H), 3,53 (s. 2H), 3,60 (ушир.s, 2H), 3,70 (ушир.s, 2H), 7,15-7,25 (m, 3Н), 7,30 (dd, 1H), 7,38 (dd, 2H), 7,58 (d, 1H), 7,62 (d, 1H), 7,92 (d, 1H), 9,89 (s, 1H, NH). MC (ES+) m/z: 416,2 (MH+, 100). Пример 20 (5-Хлор-2-[(Е)-3-[4-(4-фторбензил)пиперазин-1-ил]-3-оксопропенил]фенил)мочевина (Е)-3-(2-Амино-4-хлорфенил)-1-[4-(4-фторбензил)пиперазин-1-ил]пропенон (80 мг, 0,215 ммоля) и NaOCN (29 мг, 0,43 ммоля) перемешивали в НОАс (5 мл) и воде (10 мл) при комнатной температуре в течение 2 ч. Реакционную смесь выливали в 2н. раствор NaOH и дважды экстрагировали EtOAc. Объединенные органические фазы сушили над Na2SO4, упаривали досуха и очищали хроматографией (SiO2, элюент: EtOAc/МеОН/конц. NH3, 95:4,5:0,5), при этом получали указанное в заголовке соединение в виде бесцветных кристаллов (40 мг, 50%). 1Н ЯМР (400 МГц, ДМСО-d6): 2,40 (m, 4H), 3,52 (s, 2Н), 3,60 (s, 2Н), 3,70 (s, 2Н), 6,26 (s, 2Н, NH2), 7,08 (dd, 1H), 7,13-7,20 (m, 3Н), 7,36 (dd, 2Н), 7,68 (d, 1H), 7,78 (d, 1H), 7,97 (d, 1H), 8,41 (s, 1H, NH). MC (ES+) m/z: 417,2 (MH+, 100). Пример 21 (Е)-3-[4-Хлор-2-(4-гидрокси-1-метилпиперидин-4-илэтинил)фенил]-1-[(R)-4-(4-фторбензил)-2-метилпиперазин-1-ил]пропенон а) Метиловый эфир (Е)-3-(2-бром-4-хлорфенил)акриловой кислоты 2-Бром-4-хлорбензальдегид (Boegesoe Klaus Р., и др., J. Med. Chem., т. 26(7), сс. 935-947, (1983)) (6,3 г, 28,7 ммоля) и метоксикарбонилметилентрифенилфосфоран (10,5 г, 31,6 ммоля) кипятили с обратным холодильником в толуоле (143 мл) в течение 1 ч. Полученную реакционную смесь охлаждали и очищали хроматографией (SiO2, элюент: ацетон/гексан, 5:95), при этом получали указанное в заголовке соединение в виде бесцветных кристаллов (4,8 г, 61%). 1H ЯМР (400 МГц, ДМСО-d6): 3,50 (s, 3Н), 6,48 (d, 1H), 7,30 (d, 1H), 7,60 (d, 1H), 7,65 (d, 1H), 7,72 (d, 1H). MC (EI) m/z: 276 (M+, 20), 245 (20), 195(100), 136 (55), 99 (50), 74 (80). б) (Е)-3-(2-Бром-4-хлорфенил)акриловая кислота Метиловый эфир (Е)-3-(2-Бром-4-хлорфенил)акриловой кислоты (6,8 г, 17,4 ммоля) растворяли в МеОН (175 мл), обрабатывали 2н. NaOH (13 мл, 26 ммолей) и водой (87 мл) при 50°С в течение 1 ч. Полученную смесь подкисляли 2н. HCl (15 мл) и дважды экстрагировали ТВМЕ. Объединенные органические фазы сушили над Na2SO4 и упаривали досуха, при этом получали указанное в заголовке соединение в виде твердого вещества, которое перекристаллизовывали из ТВМЕ/гексана, при этом получали указанное в заголовке соединение в виде бесцветных кристаллов (4,4 г, 90%). 1H ЯМР (400 МГц, ДМСО-d6): 6,62 (d, 1Н), 7,55 (dd, 1H), 7,80 (d, 1H), 7,90 (d, 1H), 7,95 (d, 1H), 12,8 (ушир.s, 1H). MC (ES–) m/z: 261 (M-H, 100). в) (Е)-3-(2-Бром-4-хлорфенил)-1-[(R)-4-(4-фторбензил)-2-метилпиперазин-1-ил]пропенон (Е)-3-(2-Бром-4-хлорфенил)акриловую кислоту (3,9 г, 15 ммолей), гидрохлорид EDCI (2,87 г, 15 ммолей) и (R)-1-(4-фторбензил)-3-метилпиперазин (Hilger Christoph-Stephan и др., WO 0236581, 3,12 г, 15 ммолей) растворяли в СН2Cl2 (150 мл) и перемешивали при комнатной температуре в течение 18 ч. Реакционную смесь очищали хроматографией (SiO2, элюент: EtOAc/гексан, 3:7), при этом получали указанное в заголовке соединение в виде желтоватых кристаллов (5,3 г, 78%). 1Н ЯМР (400 МГц, ДМСО-d6): 1,26 (ушир.s, 3H), 1,86-2,20 (ушир.d, 2Н), 2,65 (d, 1H), 2,82 (d, 1H), 2,98 (d, 1H), 3,42 (d, 1H), 3,53 (d, 1H), 4,08-4,20 (ушир.d, 1H), 4,43-4,68 (ушир.d, 1H), 7,17 (t, 2Н), 7,28 (d, 1H), 7,37 (dd, 2Н), 7,53 (dd, 1H), 7,70 (d, 1H), 7,83 (d, 1H), 8,03 (d, 1H). MC (АР+) m/z: 453,1 (100), 451,1 (MH+, 80). г) (Е)-3-[4-Хлор-2-(4-гидрокси-1-метилпиперидин-4-илэтинил)фенил]-1-[(R)-4-(4-фторбензил)-2-метилпиперазин-1-ил]пропенон (Е)-3-(2-Бром-4-хлорфенил)-1-[(R)-4-(4-фторбензил)-2-метилпиперазин-1-ил]пропенон (200 мг, 0,44 ммоля) растворяли в диглиме (1,5 мл), добавляли PdCl2(PPh3)2 (62 мг, 0,088 ммоля) и DIPEA (2 мл), затем 4-этинил-1-метилпиперидин-4-ол (Exploratory Library, 124 мг, 0,88 ммоля), CuI (68 мг, 0,35 ммоля) и Cs2СО3 (290 мг, 0,88 ммоля) и нагревали при 130°С в течение 25 мин. Полученную реакционную смесь упаривали, переносили в ТВМЕ, фильтровали и очищали хроматографией (SiO2, элюент: ТВМЕ/МеОН/конц. NH3, 95:5:0,5), при этом получали 230 мг пены желтого цвета, которую очищали препаративной ЖХВР (XTerra, RP18, 7 мкм, ацетонитрил/вода), при этом получали указанное в заголовке соединение (175 мг, 78%) в виде пены светло-желтого цвета. 1H ЯМР (400 МГц, ДМСО-d6, 120°С): 1,32 (d, 3Н), 1,84 (ушир.t, 2H), 1,94 (ушир.d, 2H), 2,08 (ушир.t, 1H), 2,22 (ушир.d, 1H), 2,24 (s, 3Н), 2,38 (ушир.t, 2Н), 2,60 (ушир.s, 2H), 2,70 (ушир.d, 1H), 2,85 (ушир.d, 1H), 3,20 (ушир.t, 1H), 3,47 (d, 1H), 3,56 (d, 1H), 4,13 (ушир.d, 1H), 4,54 (ушир.s, 1H), 5,06 (ушир.s, 1H, ОН), 7,12 (t, 2H), 7,20 (d, 1H), 7,38 (ушир.t, 2H), 7.43 (ушир.s, 1H), 7,47 (d, 1H), 7,79 (d, 1H), 7,81 (ушир.s, 1H). MC (ES+) m/z: 510,3 (MH+, 100). [ Пример 22 (Е)-3-[4-Хлор-2-(4-гидрокси-1-метилпиперидин-4-илэтинил)фенил]-1-[(S)-4-(4-фторбензил)-2-метилпиперазин-1-ил]пропенон Указанное в заголовке соединение в виде пены желтого цвета (88 мг, 78%) получали по методике, аналогично тому, как описано выше для R-энантиомера. 1H ЯМР (400 МГц, ДМСО-d6, 120°С): 1,32 (d, 3Н), 1,84 (ушир.t, 2H), 1,94 (ушир.d, 2H), 2,08 (ушир.t, 1H), 2,22 (ушир.d, 1H), 2,24 (s, 3Н), 2,38 (ушир.t, 2H), 2,60 (ушир.s, 2H), 2,70 (ушир-d, 1Н), 2,85 (ушир.d, 1H), 3,20 (ушир.t, 1Н), 3,47 (d, 1H), 3,56 (d, 1Н), 4.13 (ушир.d, 1Н), 4,54 (ушир.s, 1Н), 5,06 (ушир.s, 1Н, ОН), 7,12 (t, 2H), 7,20 (d, 1H), 7,38 (ушир.1, 2H), 7,43 (ушир.s, 1H), 7,47 (d, 1H), 7,79 (d, 1H), 7,81 (ушир.s, 1H). МС (ES+) m/z: 510,3 (MH+, 100). [ Пример 23 (Е)-3-[4-Хлор-2-[(Е)-2-(4-гидрокси-1-метилпиперидин-4-ил)винил]фенил]-1-[(R)-4-(4-фторбензил)-2-метилпиперазин-1-ил]пропенон а) 1-Метил-4-((Е)-2-трибутилстаннанилвинил)пиперидин-4-ол 4-Этинил-1-метилпиперидин-4-ол (Exploratory Library, 3,34 г, 24 ммоля) и PdCl2(PPh3)2 (337 мг, 0,48 ммоля) при перемешивании растворяли в ТГФ (100 мл), охлаждали на водяной бане до 18°С и по каплям в течение 3 мин добавляли Bu3SnH (7,6 мл, 28,8 ммоля). Полученную реакционную смесь перемешивали при комнатной температуре в течение 4 ч, наносили непосредственно на колонку с SiO2 и очищали хроматографией (элюент EtOAc/МеОН/NH3, 95:5:0,5), при этом получали указанное в заголовке соединение в виде зеленоватого масла (3,45 г, 33%). 1H ЯМР (400 МГц, ДМСО-d6): 0,88 (m, 15H), 1,30 (m, 6H), 1,40 (m, 2H), 1,50 (m, 6H), 1,60 (m, 2H), 2,15 (s, 3Н), 2,27 (ушир.t, 2H), 2,40 (m, 2H), 4,33 (s, 1H, ОН), 6,03 (d, 1H), 6.11 (d, 1H). МС (ES+) m/z: 432 (MH+, 100). б) (Е)-3-[4-Хлор-2-[(Е)-2-(4-гидрокси-1-метилпиперидин-4-ил)винил]фенил]-1-[(R)-4-(4-фторбензил)-2-метилпиперазин-1-ил]пропенон (Е)-3-(2-Бром-4-хлорфенил)-1-[(R)-4-(4-фторбензил)-2-метилпиперазин-1-ил]пропенон (200 мг, 0,44 ммоля) и 1-метил-4-((Е)-2-трибутилстаннанилвинил)пиперидин-4-ол (370 мг, 0,88 ммоля) растворяли в диглиме (5 мл) и нагревали до 140°С. Pd(OAc)2 (400 мг, 1,77 ммоля) растворяли в диглиме (26 мл) и по каплям при перемешивании в течение 15 мин добавляли к полученной смеси. Реакционную смесь нагревали при 140°С в течение 5 мин, фильтровали, упаривали и очищали хроматографией (SiO2, элюент: ТВМЕ/МеОН/конц. NH3, градиент от 90:10:1 до 80:20:2), при этом получали 230 мг пены коричневого цвета, которую затем очищали препаративной ЖХВР (XTerra, RP18, 7 мкм, элюент: ацетонитрил/вода), при этом получали указанное в заголовке соединение (43 мг, 19%) в виде пены светло-желтого цвета. 1Н ЯМР (400 МГц, ДМСО-d6, 120°С): 1,32 (d, 3Н), 1,62 (ушир.d, 2H), 1,78 (ушир.t, 2H), 2,08 (ушир.t, 1Н), 2,21 (ушир.d, 1H), 2,22 (s, 3Н), 2,40-2,51 (m, 4H), 2,70 (ушир.d, 1H), 2,86 (ушир.d, 1H), 3,21 (ушир.t, 1H), 3,48 (d, 1H), 3,57 (d, 1H), 4,14 (ушир.d, 1H), 4,16 (ушир.s, 1H, ОН), 4,53 (ушир.s, 1H), 6,29 (d, 1H), 6,87 (d, 1H), 6,94 (d, 1H), 7,12 (t, 2H), 7,28 (dd, 1H), 7,39 (dd, 2H), 7,48 (d, 1H), 7,66 (d, 1H), 7,71 (d, 1H). MC (ES+) m/z: 512,3 (MH+, 100). [ Пример 24 (Е)-3-[4-Хлор-2-[(Е)-2-(4-гидрокси-1-метилпиперидин-4-ил)винил]фенил]-1-[(S)-4-(4-фторбензил)-2-метилпиперазин-1-ил]пропенон Указанное в заголовке соединение в виде пены желтого цвета (49 мг, 29%) получали и очищали по методике, аналогично тому, как описано выше для R-энантиомера. 1Н ЯМР (400 МГц, ДМСО-d6, 120°С): 1,32 (d, 3Н), 1,62 (ушир.d, 2H), 1,78 (ушир.t, 2H), 2,08 (ушир.t, 1H), 2,21 (ушир.d, 1H), 2,22 (s, 3Н), 2,40-2,51 (m, 4H), 2,70 (ушир.d, 1H), 2,86 (ушир.d, 1H), 3,21 (ушир.t, 1H), 3,48 (d, 1H), 3,57 (d, 1H), 4,14 (ушир.d, 1H), 4,16 (ушир.s, 1H, ОН), 4,53 (ушир.s, 1H), 6,29 (d, 1H), 6,87 (d, 1H), 6,94 (d, 1H), 7,12 (t, 2H), 7,28 (dd, 1H), 7,39 (dd, 2H), 7,48 (d, 1H), 7,66 (d, 1H), 7,71 (d, 1H). MC (ES+) m/z: 512,3 (MH+, 100). [ Пример 25 Трет-бутиловый эфир 4-(5-хлор-2-[(Е)-3-[(R)-4-(4-фторбензил)-2-метилпиперазин-1-ил]-3-оксопропенил]фенилэтинил)-4-гидроксипиперидин-1-карбоновой кислоты (Е)-3-(2-Бром-4-хлорфенил)-1-[(R)-4-(4-фторбензил)-2-метилпиперазин-1-ил]пропенон (200 мг, 0,44 ммоля) растворяли в диглиме (1,5 мл), добавляли PdCl2(PPh3)2 (62 мг, 0,088 ммоля) и DIPEA (2 мл), затем 4-этинил-1-трет-бутоксикарбонилпиперидин-4-ол (Kath John Charles и др., WO 0044728) (150 мг, 0,66 ммоля), CuI (68 мг, 0,35 ммоля) и Cs2СО3 (290 мг, 0,88 ммоля), нагревали при 130°С в течение 25 мин. Полученную реакционную смесь упаривали, переносили в ТВМЕ, фильтровали и очищали хроматографией (SiO2, элюент: ацетон/гексан, градиент от 2:8 до 3:7), при этом получали 174 мг пены желто-коричневого цвета, которую затем очищали препаративной ЖХВР (XTerra, RP18, 7 мкм, элюент: ацетонитрил/вода), при этом получали указанное в заголовке соединение (106 мг, 39%) в виде пены светло-желтого цвета. 1H ЯМР (400 МГц, ДМСО-d6, 120°С): 1,30 (d, 3Н), 1,44 (s, 9H), 1,71-1,78 (m, 2H), 1,90-1,97 (m, 2H), 2,07 (ушир.t, 1H), 2,22 (dd, 1H), 2,70 (ушир.d, 1H), 2,82 (ушир.d, 1H), 3,21 (ушир.t, 1H), 2,28-3,37 (m, 2H), 3,48 (d, 1H), 3,56 (d, 1H), 3,63-3,71 (m, 2H), 4,14 (ушир.d, 1H), 4,55 (ушир.s, 1H), 5,34 (s, 1H, ОН), 7,12 (dd, 2H), 7,21 (d, 1H), 7,35-7,45 (m, 3Н), 7,51 (d, 1H), 7,79 (d, 1H), 7,80 (s, 1H). MC (ES+) m/z: 596,2 (MH+, 100). [ Пример 26 (Е)-3-[4-Хлор-2-(4-гидроксипиперидин-4-илэтинил)фенил]-1-[(R)-4-(4-фторбензил)-2-метилпиперазин-1-ил]пропенон Трет-бутиловый эфир 4-(5-хлор-2-[(Е)-3-[(R)-4-(4-фторбензил)-2-метилпиперазин-1-ил]-3-оксопропенил]фенилэтинил)-4-гидроксипиперидин-1-карбоновой кислоты (80 мг, 0,13 ммоля) растворяли в СН2Cl2/ТФУ (4 мл, 1:1) и перемешивали при 0°С в течение 30 мин. Полученную реакционную смесь упаривали, переносили в ТВМЕ и промывали 2н. NaOH. Органическую фазу сушили над Na2SO4, фильтровали, упаривали и при этом получали указанное в заголовке соединение в виде пены желтого цвета (63 мг, 95%). 1Н ЯМР (400 МГц, ДМСО-d6): 1,25 (ушир.s, 3Н), 1,58 (ушир.t, 2Н), 1,85 (ушир.d, 2Н), 1,95 (ушир.s, 1H), 2,07 (ушир.s, 1Н), 2,61-2,72 (m, 3Н), 2,79-2,90 (m, 3Н), 3,31 (ушир.s, 1H), 3,41 (d, 1H), 3,52 (d, 1H), 4,18 (ушир.s, 1H), 4,56 (ушир.s, 1H), 5,61 (s, 1H, ОН), 7,16 (t, 2Н), 7,33 (d, 1H), 7,38 (d, 1H), 7,46-7,50 (m, 2Н), 7,98 (d, 1H), 8,00 (d, 1H). MC (ES+) m/z: 496,2 (MH+, 100). [ Пример 27 (Е)-3-[2-(3-Амино-3-метилбут-1-инил)-4-хлорфенил]-1-[(R)-4-(4-фторбензил)-2-метилпиперазин-1-ил]пропенон (Е)-3-(2-Бром-4-хлорфенил)-1-[(R)-4-(4-фторбензил)-2-метилпиперазин-1-ил]пропенон (200 мг, 0,44 ммоля) растворяли в диглиме (1,5 мл), добавляли PdCl2(PPh3)2 (62 мг, 0,088 ммоля) и DIPEA (2 мл), затем 1,1-диметилпропаргиламин (0,5 мл, 4,4 ммоля), CuI (68 мг, 0,35 ммоля) и Cs2СО3 (290 мг, 0,88 ммоля), нагревали при 130°С в течение 25 мин. Полученную реакционную смесь упаривали, переносили в ТВМЕ, фильтровали и очищали хроматографией (SiO2, элюент: ТВМЕ/МеОН/конц. NH3, 95:5:5), при этом получали пену желто-коричневого цвета, которую затем очищали препаративной ЖХВР (XTerra, RP18, 7 мкм, элюент: ацетонитрил/вода), при этом получали указанное в заголовке соединение (156 мг, 78%) в виде пены светло-желтого цвета. 1Н ЯМР (400 МГц, ДМСО-d6): 1,23 (ушир.s, 3Н), 1,41 (s, 6H), 1,96 (ушир.s, 1Н), 2,07 (ушир.s, 1Н), 2,14 (ушир.s, 2H, NH2), 2,65 (ушир.d, 1H), 2,82 (ушир.d, 1H), 3,10 (m, 1Н), 3,42 (d, 1Н), 3,52 (d, 1Н), 4,20 (ушир.s, 1Н), 4,60 (ушир.s, 1Н), 7,17 (t, 2H), 7,31 (d, 1H), 7,38 (dd, 2H), 7,45 (m, 2H), 7,86 (d, 1H), 7,98 (d, 1H). MC (ES+) m/z: 454,3 (MH+, 100). [ Пример 28 (Е)-3-[4-Хлор-2-(3-диметиламинопроп-1-инил)фенил]-1-[4-(4-фторбензил)-2-метилпиперазин-1-ил]пропенон (Е)-3-(2-Бром-4-хлорфенил)-1-[4-(4-фторбензил)-2-метилпиперазин-1-ил]пропенон (полученный по методике, аналогично тому, как описано выше для R-энантиомера с использованием рацемического 1-(4-фторбензил)-3-метилпиперазина (Bolos Jordi и др., J. Med. Chem., т. 39(15), сс. 2962-2970, (1996)) (100 мг, 2,2 ммоля) растворяли в диглиме (2,0 мл), добавляли PdCl2(PPh3)2 (31 мг, 0,044 ммоля) и DIPEA (3 мл), затем 1-диметиламино-2-пропин (0,26 мл, 2,2 ммоля), CuI (34 мг, 0,17 ммоля) и Cs2CO3 (145 мг, 0,44 ммоля), нагревали при 130°С в течение 30 мин. Полученную реакционную смесь упаривали, переносили в ТВМЕ, фильтровали и очищали хроматографией (SiO2, элюент: ТВМЕ/МеОН/конц. NH3, 97:3:0,3), при этом получали пену желто-коричневого цвета, которую затем очищали препаративной ЖХВР (XTerra, RP18, 7 мкм, элюент: ацетонитрил/вода), при этом получали указанное в заголовке соединение (42 мг, 42%) в виде бесцветной пены. 1Н ЯМР (400 МГц, ДМСО-d6, 120°С): 1,30 (d, 3Н), 2,07 (ушир.t, 1H), 2,20 (dd, 1H), 2,32 (s, 6H), 2,70 (d, 1H), 2,85 (ушир.d, 1H), 3,20 (ушир.t, 1H), 3,48 (d, 1H), 3,55 (s, 2H), 3.57 (d, 1H), 4,13 (ушир.d, 1H), 4,53 (ушир.s, 1H), 7,12 (t, 2H), 7,19 (d, 1H), 7,35-7,45 (m, 3Н), 7,50 (d, 1H), 7,80 (d, 1H), 7,83 (s, 1H). MC (ES+) m/z: 454,3 (MH+, 100). Пример 29 (Е)-3-[4-Хлор-2-(3-гидрокси-3-метилбут-1-инил)фенил]-1-[4-(4-фторбензил)-2-метилпиперазин-1-ил]пропенон (Е)-3-(2-Бром-4-хлорфенил)-1-[4-(4-фторбензил)-2-метилпиперазин-1-ил]пропенон (полученный по методике, аналогично тому, как описано выше для R-энантиомера с использованием рацемического 1-(4-фторбензил)-3-метилпиперазина (Bolos Jordi и др., J. Med. Chem., т. 39(15), сс. 2962-2970, (1996)) (100 мг, 2,2 ммоля) растворяли в диглиме (2,0 мл), добавляли PdCl2(PPh3)2 (31 мг, 0,044 ммоля) и DIPEA (3 мл), затем 2-метил-3-бутин-2-ол (0,22 мл, 2,6 ммоля), CuI (34 мг, 0,17 ммоля) и Cs2CO3 (145 мг, 0,44 ммоля), нагревали при 130°С в течение 15 мин. Полученную реакционную смесь переносили в ТВМЕ, фильтровали и очищали хроматографией (SiO2, элюент: градиент ТВМЕ/гексан от 1:1 до 1:0, затем на второй колонке, элюент: ацетон/гексан, 3:7), при этом получали указанное в заголовке соединение (60 мг, 60%) в виде бесцветной пены. 1Н ЯМР (400 МГц, ДМСО-d6): 1,27 (ушир.s, 3Н), 1,52 (s, 6H), 1,97 (ушир.s, 1H), 2,12 (ушир.s, 1H), 2,68 (d, 1H), 2,83 (d, 1H), 3,00 (ушир.s, 1H), 3,45 (d, 1H), 3,54 (d, 1H), 4,20 (ушир.s, 1H), 4,59 (ушир.s, 1H), 5,59 (d, 1H, ОН), 7,18 (t, 2H), 7,33-7,41 (m, 3Н), 7,48-7,51 (m, 2H), 7,87 (d, 1H), 8,00 (d, 1H). MC (ES+) m/z: 455,3 (MH+, 50), 437,3 (100). Пример 30 N-(3-[(Е)-3-[(R)-4-(4-Фторбензил)-2-метилпиперазин-1-ил]-3-оксопропенил]нафталин-2-ил)ацетамид а) Метиловый эфир (Е)-3-(нитронафталин-2-ил)акриловой кислоты 3-Нитронафталин-2-карбальдегид (Kienzle Frank, Helv. Chim. Acta, т. 63(8), сс. 2364-2369, (1980)) (1,3 г, 6,46 ммоля) и метоксикарбонилметилентрифенилфосфоран (2,37 г, 7,1 ммоля) кипятили с обратным холодильником в толуоле (32 мл) в течение 1 ч. Полученную реакционную смесь очищали хроматографией (SiO2, элюент: ацетон/гексан, 10:90), при этом получали указанное в заголовке соединение в виде бесцветных кристаллов, которые перекристаллизовывали из ТВМЕ/гексана и при этом получали указанное в заголовке соединение (1,3 г, 78%). МС (EI) m/z: 257 (М, 15), 211 (100), 180 (20), 139 (25), 115 (40). б) (Е)-3-(Нитронафталин-2-ил)акриловая кислота Метиловый эфир (Е)-3-(нитронафталин-2-ил)акриловой кислоты (1,3 г, 5,05 ммоля) растворяли в МеОН (50 мл), обрабатывали 2н. NaOH (3,8 мл, 7,6 ммоля) и водой (25 мл) при 50° в течение 1 ч. Полученную смесь подкисляли 2н. HCl (4,2 мл, 8,33 ммоля), добавляли воду (100 мл) и отфильтровывали, при этом получали требуемую кислоту в виде кристаллов желтого цвета (1,05 г, 80%). 1H ЯМР (400 МГц, ДМСО-d6): 6,61 (d, 1H), 7,72-7,82 (m, 2Н), 7,98 (d, 1H), 8,13 (d, 1H), 8,22 (d, 1H), 8,53 (s, 1H), 8,85 (s, 1H), 12,80 (s, 1H). МС (EI) m/z: 243 (M+, 20), 197 (100), 170 (10), 152 (20), 115 (40). в) (Е)-1-[(R)-4-(4-Фторбензил)-2-метилпиперазин-1-ил]-3-(3-нитронафталин-2-ил)пропенон (Е)-3-(Нитронафталин-2-ил)акриловую кислоту (900 мг, 3,7 ммоля), гидрохлорид EDCI (710 мг, 3,7 ммоля) и (R)-1-(4-фторбензил)-3-метилпиперазин (Hilger Christoph-Stephan и др., WO 0236581) (770 мг, 3,7 ммоля) растворяли в ДМФА (18 мл) и перемешивали при комнатной температуре в течение 3 ч. Полученную реакционную смесь выливали в воду и экстрагировали три раза EtOAc. Объединенные органические фазы сушили над Na2SO4, фильтровали, упаривали досуха и очищали хроматографией (SiO2, TBME), при этом получали указанное в заголовке соединение (1,1 г, 69%) в виде пены желтого цвета. 1Н ЯМР (400 МГц, ДМСО-d6): 1,20-1,38 (ушир.s, 3Н), 1,88-2,22 (ушир.s, 2Н), 2,67 (d, 1H), 2,85 (d, 1H), 3,00 (ушир.s, 1H), 3,42 (d, 1H), 3,53 (d, 1H), 4,23 (ушир.s, 1H), 4,61 (ушир.s, 1H), 7,17 (t, 2Н), 7,30 (d, 1H), 7,38 (dd, 2Н), 7,73 (t, 1H), 7,77 (d, 1H), 7,83 (d, 1H), 8,10 (d, 1H), 8,20 (d, 1H), 8,55 (s, 1H), 8,80 (s, 1H). MC (ES+) m/z: 434 (MH+, 100), 257 (20). г) (Е)-3-(3-Аминонафталин-2-ил)-1-[(R)-4-(4-фторбензил)-2-метилпиперазин-1-ил]пропенон (Е)-1-[(R)-4-(4-Фторбензил)-2-метилпиперазин-1-ил]-3-(3-нитронафталин-2-ил)пропенон (1,1 г, 2,55 ммоля) растворяли в EtOH (26 мл) и конц. HCl (2,6 мл), обрабатывали SnCl2 (2,42 г, 12,75 ммоля) при 50°С в течение 5 мин. Полученную реакционную смесь выливали в 2н. Na2CO2 и экстрагировали три раза TBME. Объединенные органические фазы сушили над Na2SO4, фильтровали, упаривали досуха и очищали хроматографией (SiO2, элюент: ТВМЕ/МеОН/конц. NH3, 95:4,5:0,5), при этом получали указанное в заголовке соединение (850 мг, 82%) в виде пены желтого цвета. 1Н ЯМР (400 МГц, ДМСО-d6): 1,20-1,38 (ушир.s, 3Н), 1,88-2,22 (ушир.s, 2Н), 2,67 (d, 1H), 2,85 (d, 1H), 3,00 (ушир.s, 1H), 3,42 (d, 1H), 3,53 (d, 1H), 4,23 (ушир.s. 1H), 4,61 (ушир.s, 1H), 7,17 (t, 2Н), 7,30 (d, 1H), 7,38 (dd, 2Н), 7,73 (t, 1H), 7,77 (d, 1H), 7,83 (d, 1H), 8,10 (d, 1H), 8,20 (d, 1H), 8,55 (s, 1H), 8,80 (s, 1H). MC (ES+) m/z: 404,2 (MH+, 100). д) N-(3-[(Е)-3-[(R)-4-(4-Фторбензил)-2-метилпиперазин-1-ил]-3-оксопропенил]нафталин-2-ил)ацетамид (Е)-3-(3-Аминонафталин-2-ил)-1-[(R)-4-(4-фторбензил)-2-метилпиперазин-1-ил]пропенон (101 мг, 0,25 ммоля), NEt3 (252 мг, 2,5 ммоля) и Ас2О (255 мг, 2,5 ммоля) кипятили с обратным холодильником в ТГФ (5 мл) в течение 18 ч. Полученную реакционную смесь упаривали досуха и очищали хроматографией (SiO2, элюент: ТВМЕ/МеОН/конц. NH3, 95:4,5:0,5), при этом получали указанное в заголовке соединение (30 мг, 27%) в виде бесцветной пены. 1Н ЯМР (400 МГц, ДМСО-d6): 1,30 (ушир.s, 3Н), 1,95 (ушир.s, 1H), 2,10 (ушир.s, 1H), 2,15 (s, 3Н), 2,68 (ушир.d, 1H), 2,84 (ушир.d, 1H), 3,25 (m, 1H), 3,42 (ушир.d, 1H), 3,55 (ушир.d, 1H), 4.25 (ушир.s, 1H), 4,63 (ушир.s, 1H), 7,15 (t, 2H), 7,29 (d, 1H), 7,48 (dd, 2H), 7,50 (m, 2H), 7,77 (d, 1H), 7,83 (ушир.d, 1H), 7,92 (m, 2H), 8,44 (s, 1H), 9,87 (s, 1H, NH). MC (ES+) m/z: 446,2 (MH+, 100). [ Пример 31 (3-[(Е)-3-[(R)-4-(4-Фторбензил)-2-метилпиперазин-1-ил]-3-оксопропенил]нафталин-2-ил)мочевина (Е)-3-(3-Аминонафталин-2-ил)-1-[(R)-4-(4-фторбензил)-2-метилпиперазин-1-ил]пропенон (101 мг, 0,25 ммоля) и NaOCN (34 мг, 0,5 ммоля) перемешивали в НОАс (5 мл) и воде (10 мл) при комнатной температуре в течение 15 мин. Полученную реакционную смесь выливали в 2н. NaOH и дважды экстрагировали EtOAc. Объединенные органические фазы сушили над Na2SO4, упаривали досуха и очищали хроматографией (SiO2, элюент: ТВМЕ/МеОН/конц. NH3, 95:4,5:0,5), при этом получали указанное в заголовке соединение (70 мг, 62%) в виде бесцветной пены. 1Н ЯМР (400 МГц, ДМСО-d6): 1,20-1,38 (m, 3Н), 1,88-2,21 (m, 2H), 2,68 (d, 1H), 2,86 (d, 1H), 3,35 (ушир.s, 1H), 3,45 (d, 1H), 3,53 (d, 1H), 4,25 (ушир.d, 1H), 4,60 (ушир.d, 1H), 6,13 (s, 2H, NH2), 7,16 (t, 2H), 7,27 (d, 1H), 7,34-7,47 (m, 4H), 7,73-7,86 (m, 3Н), 8,20 (s, 1H), 8,26 (s, 1H), 8,30 (s, 1H). MC (ES+) m/z: 447,2 (MH+, 100). [ Пример 32 N-(3-[(Е)-3-[(R)-4-(4-Фторбензил)-2-метилпиперазин-1-ил]-3-оксопропенил]нафталин-2-ил)-N’-цианогуанидин (Е)-3-(3-Аминонафталин-2-ил)-1-[(R)-4-(4-фторбензил)-2-метилпиперазин-1-ил]пропенон (120 мг, 0,30 ммоля) и NaN(CN)2 (178 мг, 2 ммоля) кипятили с обратным холодильником в этоксиэтаноле (3 мл), в течение 5 мин по каплям добавляли 2н. HCl (1 мл) и реакционную смесь кипятили с обратным холодильником в течение еще 5 мин. Полученную реакционную смесь выливали в насыщенный раствор Na2СО3 и дважды экстрагировали EtOAc. Объединенные органические фазы сушили над Na2SO4, упаривали досуха и очищали хроматографией (SiO2, элюент: ТВМЕ/МеОН/конц. NH3, 95:4,5:0,5), при этом получали указанное в заголовке соединение (30 мг, 22%) в виде кристаллов желтого цвета. 1Н ЯМР (400 МГц, ДМСО-d6): 1,30 (ушир.s, 3Н), 2,00 (ушир.s, 1H), 2,12 (ушир.s, 1H), 2,68 (ушир.d, 1H), 2,86 (ушир.d, 1H), 2,98 (ушир.s, 1H), 3,43 (ушир.d, 1H), 3,55 (ушир.d, 1H), 4,23 (ушир.s, 1H), 4,60 (ушир.s, 1H), 7,05 (s, 2Н, NH2), 7,17 (t, 2Н), 7,32 (d, 1H), 7,38 (dd, 2Н), 7,53 (m, 2Н), 7,70 (d, 1H), 7,82 (s, 1H), 7,92 (m, 2Н), 8,46 (s, 1H), 9,02 (s, 1H, NH). MC (ES+) m/z: 471,2 (MH+, 100). [ Пример 33 N-(4-Хлор-2-[(Е)-3-[4-(4-фторбензил)-2-метилпиперазин-1-ил’]-3-оксопропенил]фенил)N’-цианогуанидин а) Метиловый эфир (Е)-3-(2-трет-бутилоксикарбониламино-5-хлорфенил)акриловой кислоты Метиловый эфир (Е)-3-(2-амино-5-хлорфенил)акриловой кислоты (Gonzalez-Zamora Eduardo, и др., Chem. Comm., т. (17), сс. 1684-1685, (2001)) (1,7 г, 8,0 ммоля) в ТГФ (6,5 мл) смешивали с (ВОС)2O (6,98 г, 32,0 ммоля) и кипятили с обратным холодильником в течение 4 ч. ТГФ выпаривали и остаток очищали хроматографией (SiO2, элюент: ацетон/гексан, 5:95), перекристаллизовывали из гексана, при этом получали указанное в заголовке соединение в виде кристаллов желтого цвета (1,8 г, 72%). 1H ЯМР (400 МГц, ДМСО-d6): 1,47 (s, 9H), 3,75 (s, 3Н), 6,68 (d, 1H), 7,38 (d, 1H), 7,46 (dd, 1H), 7,73 (d, 1H), 7,90 (d, 1H), 9,22 (ушир.s, 1H, NH). MC (ES–) m/z: 310,2(M-H, 100). б) (Е)-3-(2-Трет-бутилоксикарбониламино-5-хлорфенил)акриловая кислота Метиловый эфир (Е)-3-(2-трет-бутилоксикарбониламино-5-хлорфенил)акриловой кислоты (1,8 г, 5,77 ммоля) растворяли в МеОН (115 мл), добавляли 2н. NaOH (4,3 мл, 8,6 ммоля) и перемешивали при 60°С в течение 2 ч. Полученную реакционную смесь упаривали досуха, подкисляли добавлением воды (200 мл) и 2н. HCl (4,35 мл) до рН 3,5 и дважды экстрагировали ТВМЕ. Объединенные органические фазы сушили над Na2SO4 и упаривали досуха, при этом получали указанную в заголовке кислоту в виде твердого вещества, которое перекристаллизовывали из ТВМЕ/гексана, при этом получали указанное в заголовке соединение (1,0 г, 59%) в виде бесцветных кристаллов. 1H ЯМР (400 МГц, ДМСО-d6): 1,47 (s, 9H), 6,55 (d, 1H), 7,38 (d, 1H), 7,42 (dd, 1H), 7,68 (d, 1H), 7,83 (s, 1H), 9,28 (s, 1H, NH), 12,50 (s, 1H, COOH). MC (ES– m/z: 296 (M-H, 20), 222,0 (90), 178,0 (100). в) Трет-бутиловый эфир (4-хлор-2-[(Е)-3-[4-(4-фторбензил)-2-метилпиперазин-1-ил]-3-оксопропенил]фенил)карбаминовой кислоты (Е)-3-(2-Трет-бутилоксикарбониламино-5-хлорфенил)акриловую кислоту (1,0 г, 3,36 ммоля), гидрохлорид EDCI (645 мг, 3,36 ммоля) и рацемический 1-(4-фторбензил)-3-метилпиперазин (Bolos Jordi и др., J. Med. Chem., т. 39(15), сс. 2962-2970, (1996)) (770 мг, 3,7 ммоля) растворяли в СН2Cl2 (34 мл) и при комнатной температуре перемешивали в течение 4 ч. Полученную реакционную смесь очищали хроматографией (SiO2, элюент: EtOAc/гексан, 1:1), при этом получали указанное в заголовке соединение в виде бесцветной пены (1,2 г, 74%). 1H ЯМР (400 МГц, ДМСО-d6): 1,18-1,35 (m, 3Н), 1,47 (s, 9H), 1,83-2,20 (ушир.s, 2H), 2,68 (d, 1H), 2,85 (d, 1H), 3,00 (ушир.s, 1H), 3,43 (ушир.d, 1H), 3,53 (ушир.d, 1H), 4,22 (ушир.s, 1H), 4,63 (ушир.s, 1H), 7,18 (t, 2H), 7,23 (d, 1H), 7,40 (m, 4H), 7,62 (d, 1H), 7,97 (s, 1H), 9,10 (ушир.s, 1H, NH). MC (ES–) m/z: 486,3 (M-H, 100). г) (Е)-3-(2-Амино-5-хлорфенил)-1-[4-(4-фторбензил)-2-метилпиперазин-1-ил]пропенон Трет-бутиловый эфир (4-хлор-2-[(Е)-3-[4-(4-фторбензил)-2-метилпиперазин-1-ил]-3-оксопропенил]фенил)карбаминовой кислоты (1,2 г, 2,45 ммоля) растворяли в EtOH (10 мл) и обрабатывали конц. HCl (10 мл) при 50°С в течение 15 мин. Полученную реакционную смесь выливали в насыщенный раствор Na2СО3 и дважды экстрагировали EtOAc. Объединенные органические фазы сушили над Na2SO4 и упаривали досуха, при этом получали указанное в заголовке соединение (900 мг, 91%) в виде пены желтого цвета. 1Н ЯМР (400 МГц, ДМСО-d6): 1,25 (ушир.s, 3Н), 1,95 (ушир.s, 1H), 2,08 (ушир.s, 1H), 2,66 (d, 1H), 2,83 (d, 1H), 2,95 (ушир.s, 1H), 3,43 (d, 1H), 3,54 (d, 1H), 4,20 (ушир.s, 1H), 4,60 (ушир.s, 1H), 5,60 (s, 2H, NH2), 6,70 (d, 1H), 7,03-7,08 (m, 2H), 7,17 (t, 2H), 7,39 (dd, 2H), 7,57-7,66 (m, 2H). МС (ES+) m/z: 388,2 (MH+, 100), 209,2 (30). д) N-(4-Хлор-2-[(Е)-3-[4-(4-фторбензил)-2-метилпиперазин-1-ил]-3-оксопропенил]фенил)-N’-цианогуанидин (Е)-3-(2-Амино-5-хлорфенил)-1-[4-(4-фторбензил)-2-метилпиперазин-1-ил]пропенон (116 мг, 0,3 ммоля) и NaN(CN)2 (106 мг, 1,2 ммоля) кипятили с обратным холодильником в этоксиэтаноле (3 мл), затем по каплям в течение 5 мин добавляли 2н. HCl (0,6 мл) и полученную реакционную смесь кипятили с обратным холодильником в течение еще 15 мин. Полученную реакционную смесь выливали в насыщенный раствор Na2СО3 и дважды экстрагировали EtOAc. Объединенные органические фазы сушили над Na2SO4, упаривали досуха и очищали хроматографией (SiO2, элюент: ТВМЕ/МеОН/конц. NH3, 90:9:1), при этом получали указанное в заголовке соединение (40 мг, 30%) в виде твердого вещества желтого цвета. 1H ЯМР (400 МГц, ДМСО-d6): 1,16 (ушир.s, 3H), 1,86-2,21 (m, 2H), 2,68 (ушир.d, 1H), 2,83 (ушир.d, 1H), 3,00 (ушир.s, 1H), 3,46 (ушир.s, 1Н), 3,54 (ушир.s, 1H), 4,26 (ушир.s, 1H), 4,60 (ушир.s, 1H), 7,11 (s, 2H, NH2), 7,19 (t, 2H), 7,30-7,45 (m, 5H), 7,52 (d, 1H), 8,06 (s, 1H), 8,90 (s, 1H). МС (ES+) m/z: 453,3 (M-Н, 100). Пример 34 N-(4-Хлор-2-[(Е)-3-[4-(4-фторбензил)-2-метилпиперазин-1-ил]-3-оксопропенил]фенил)ацетамид (Е)-3-(2-Амино-5-хлорфенил)-1-[4-(4-фторбензил)-2-метилпиперазин-1-ил]пропенон (116 мг, 0,3 ммоля), NEt3 (303 мг, 3,0 ммоля) и Ас2О (306 мг, 3,0 ммоля) кипятили с обратным холодильником в ТГФ (6 мл) в течение 4 ч. Полученную реакционную смесь упаривали досуха и очищали хроматографией (SiO2, элюент: ТВМЕ/МеОН/конц. NH3, 98:1,8:0,2), при этом получали указанное в заголовке соединение (100 мг, 90%) в виде пены желтого цвета. 1Н ЯМР (400 МГц, ДМСО-d6): 1,25 (ушир.s, 3Н), 1,86-2,20 (m, 2H), 2,68 (d, 1H), 2,83 (d. 1H), 3,00 (ушир.s, 1H), 3.45 (d, 1H), 3,55 (d, 1H), 4,25 (ушир.s, 1H), 4,62 (ушир.s, 1H), 7,19 (t, 2H), 7,28 (d, 1H), 7,36-7,42 (m, 3Н), 7,47 (d, 1H), 7,61 (d, 1H), 8,02 (d, 1H), 9,83 (s, 1H, NH). MC (ES+) m/z: 430,2 (MH+, 100). Пример 35 N-(6-[(Е)-3-[(R)-4-(4-Фторбензил)-2-метилпиперазин-1-ил]-3-оксопропенил]хинолин-7-ил)ацетамид а) 7-Нитрохинолин-6-карбальдегид 6-Метил-7-нитрохинолин (Achvlediani R., и др., Izvestiya Akademii Nauk Gruzii, Seriya Khimicheskaya, т. 22 (1-4), сс. 43-47, (1996)) (14 г, 74 ммоля) растворяли в ДМФА (200 мл) и обрабатывали трет-бутокси-бис(диметиламино)метаном (64,5 мл, 313 ммолей) при 160°С в течение 30 мин. Реакционную смесь упаривали и очищали, растворяя в ТГФ (30 мл), добавляя ТВМЕ (1,5 л) и отфильтровывая от образовавшегося осадка коричневого цвета. Фильтрат упаривали досуха и растворяли в ТГФ (300 мл). NaIO4 (95,6 г, 446 ммолей) растворяли в воде (5 л) и добавляли при перемешивании в течение 45 мин. Реакционную смесь трижды экстрагировали EtOAc, объединенные органические фазы сушили над Na2SO4, упаривали досуха и очищали хроматографией (SiO2, элюент: толуол/ТВМЕ, 96:10), при этом получали указанное в заголовке соединение (9,5 г, 63%) в виде кристаллов желтоватого цвета, которые использовали на следующей стадии. б) Метиловый эфир (Е)-3-(7-нитрохинолин-6-ил)акриловой кислоты 7-Нитрохинолин-6-карбальдегид (370 мг, 1,83 ммоля) в толуоле (10 мл) обрабатывали (метоксикарбонилметилен)трифенилфосфораном (672 мг, 2,0 ммоля) в течение 1 ч при температуре кипения растворителя. После охлаждения реакционной смеси и добавления ТВМЕ после кристаллизации получали чистое указанное в заголовке соединение (470 мг, 78%). 1H ЯМР (400 МГц, ДМСО-d6): 3,80 (s, 3Н), 6,75 (d, 1Н), 7,82 (dd, 1H), 8,03 (d, 1H), 8,55 (d, 1H). 8,65 (s, 1H), 8,73 (s, 1H), 9,13 (d, 1H). MC (ES+) m/z: 259,1 (MH+, 100). в) (Е)-3-(7-Нитрохинолин-6-ил)акриловая кислота Метиловый эфир (Е)-3-(7-нитрохинолин-6-ил)акриловой кислоты (470 мг, 1,82 ммоля) в EtOH (9 мл) обрабатывали 2н. NaOH (1,38 мл, 2,76 ммоля) при 50°С в течение 30 мин, затем реакционную смесь подкисляли 2н. HCl до рН 3,5 и трижды экстрагировали EtOAc/EtOH, 10:1. Объединенные органические фазы промывали водой, сушили над Na2SO4 и упаривали досуха, при этом получали указанное в заголовке соединение (430 мг, 90%) в виде бесцветных кристаллов. 1H ЯМР (400 МГц, ДМСО-d6): 6,62 (d, 1H), 7,81 (dd, 1H), 7,96 (dd, 1H), 8,57 (d, 1H), 8,65 (s, 1H), 8,72 (s, 1H), 9,13 (d, 1H). MC (ES+) m/z: 245,2 (MH+, 100). г) (Е)-1-[(R)-4-(4-Фторбензил)-2-метилпиперазин-1-ил]-3-(7-нитрохинолин-6-ил)пропенон (Е)-3-(7-Нитрохинолин-6-ил)акриловую кислоту (540 мг, 2,2 ммоля), (R)-1-(4-фторбензил)-3-метилпиперазин (Hilger Christoph-Stephan и др., WO 0236581) (462 мг, 2,2 ммоля) и гидрохлорид EDCI (424 мг, 2,2 ммоля) растворяли в ДМФА (11 мл), перемешивали при комнатной температуре в течение 18 ч. Полученную реакционную смесь выливали в воду и экстрагировали три раза EtOAc. Объединенные органические фазы сушили над Na2SO4, упаривали и очищали хроматографией (SiO2, элюент: EtOAc/МеОН/конц.NH3, градиент от 100:0:0 до 98:1,8:0,2), при этом получали указанное в заголовке соединение (500 мг, 57%) в виде бесцветной пены. 1H ЯМР (400 МГц, ДМСО-d6): 1,22-1,42 (m, 3Н), 1,91-2,28 (m, 2H), 2,70 (ушир.d, 1H), 2,87 (ушир.d, 1H), 3,05 (m, 1H), 3,45 (ушир.d, 1H), 3,56 (ушир.d, 1H), 4,12-4,38 (m, 1H), 4,53-4,73 (m, 1H), 7,19 (dd, 2H), 7,35 (d, 1H), 7,40 (m, 2H), 7,80 (d, 1H), 7,82 (dd, 1H), 8,52 (d, 1H), 8,65 (s, 1H), 8,68 (s, 1H), 9,10 (dd, 1H). MC (ES+) m/z: 435,2 (MH+, 100). д) (Е)-3-(7-Аминохинолин-6-ил)-1-[(R)-4-(4-фторбензил)-2-метилпиперазин-1-ил]пропенон (Е)-1-[(R)-4-(4-Фторбензил)-2-метилпиперазин-1-ил]-3-(7-нитрохинолин-6-ил)пропенон (500 мг, 1,15 ммоля) растворяли в EtOH/конц.HCl (20 мл, 1:1), добавляли одной порцией SnCl2 (1,3 г, 6,9 ммоля) и перемешивали в течение 5 мин, затем добавляли еще одну порцию SnCl2 (654 мг, 3,95 ммоля) и перемешивали в течение еще 5 мин. Реакционную смесь выливали в насыщенный раствор Na2CO3 и три раза экстрагировали ТВМЕ. Объединенные органические фазы промывали 2н. Na2СО3, сушили над Na2SO4, упаривали досуха и очищали хроматографией (SiO2, элюент: ТВМЕ/МеОН/конц.NH3, градиент от 100:0:0 до 90:9:1), при этом получали указанное в заголовке соединение (420 мг, 90%) в виде пены желтого цвета. 1Н ЯМР (400 МГц, ДМСО-d6): 1,18-1,39 (m, 3Н), 1,87-2,22 (m, 2H), 2,70 (ушир.d, 1H), 2,85 (ушир.d, 1H), 2,97 (ушир.s, 1H), 3,46 (ушир.d, 1H), 3,55 (ушир.d, 1H), 4,10-4,40 (ушир.d, 1H), 4,46-4,75 (ушир.d, 1H), 5,83 (s, 2H, NH2), 7,10-7,23 (m, 5H), 7,40 (m, 2H), 7,80 (m, 1H), 8,04 (d, 1H), 8,11 (s, 1H), 8,62 (dd, 1H). MC (ES+) m/z: 405,2 (MH+, 100). е)N-(6-[(E)-3-[(R)-4-(4-Фторбензил)-2-метилпиперазин-1-ил]-3-оксопропенил]хинолин-7-ил)ацетамид (Е)-3-(7-Аминохинолин-6-ил)-1-[(R)-4-(4-фторбензил)-2-метилпиперазин-1-ил]пропенон (61 мг, 0,15 ммоля) и NEt3 (0,065 мл, 0,5 ммоля) растворяли в ТГФ (2 мл) и обрабатывали ацетилхлоридом (0,036 мл, 0,5 ммоля) при комнатной температуре в течение 30 мин. Реакционную смесь выливали в воду и три раза экстрагировали EtOAc. Объединенные органические фазы промывали водой и 2н. Na2СО3, сушили над Na2SO4, упаривали и очищали хроматографией (SiO2, элюент: ТВМЕ/МеОН/конц.NH3, 95:4,5:0,5), при этом получали указанное в заголовке соединение (35 мг, 47%) в виде пены желтого цвета. 1Н ЯМР (400 МГц, ДМСО-d6): 1,23-1,40 (m, 3Н), 1,90-2,12 (m, 2Н), 2,15 (s, 3Н), 2,70 (ушир.d, 1H), 2,88 (ушир.d, 1H), 3,05 (ушир.s, 1H), 3,45 (ушир.d, 1H), 3,55 (ушир.d, 1H), 4,13-4,47 (m, 1H), 4,50-4,75 (m, 1H), 7,20 (dd, 2Н), 7,33 (d, 1H), 7,39 (dd, 2Н), 7,52 (dd, 1H), 7,82 (d, 1H), 8,12 (s, 1H), 8,33 (d, 1H), 8,50 (s, 1H), 8,90 (dd, 1H), 9,97 (s, 1H). MC (ES+) m/z: 447,2 (MH+, 100). Пример 36 (6-[(Е)-3-[(R)-4-(4-Фторбензил)-2-метилпиперазин-1-ил]-3-оксопропенил]хинолин-7-ил)мочевина (Е)-3-(7-Аминохинолин-6-ил)-1-[(R)-4-(4-фторбензил)-2-метилпиперазин-1-ил]пропенон (61 мг, 0,15 ммоля) растворяли в НОАс (3 мл) и воде (6 мл), нагревали до 70°С, четырьмя порциями в течение 20 мин добавляли NaOCN (315 мг, 4,5 ммоля). Реакционную смесь выливали в 3н. раствор Na2CO3 и три раза экстрагировали EtOAc. Объединенные органические фазы очищали хроматографией (элюент: ТВМЕ/МеОН/конц.NH3, градиент от 90:9:1 до 80:18:2), при этом получали указанное в заголовке соединение (18 мг, 27%). 1Н ЯМР (400 МГц, ДМСО-d6): 1,20-1,40 (ушир.s, 3Н), 1,85-2,25 (m, 2H), 2,70 (ушир.d, 1Н), 2,85 (ушир.d, 1Н), 3,00 (ушир.s, 1Н), 3,33-3,62 (m, 2H), 4,10-4.40 (m, 1Н), 4,50-4,80 (m, 1Н), 6,30 (ушир.s, 1Н), 6,78 (ушир.s, 2H), 7,18 (dd, 2H), 7,30 (d, 1Н), 7,40 (m, 2H), 7,86 (d, 1Н), 8,30 (s, 1Н), 8,40 (s, 1Н), 8,47 (d, 2H), 8,81 (d, 1Н). MC (ES+) m/z: 448,2 (MH+, 100). Пример 37 N-(7-[(Е)-3-[(R)-4-(4-Фторбензил)-2-метилпиперазин-1-ил]-3-оксопропенил]хинолин-6-ил)ацетамид а) 7-Метил-6-нитрохинолин
4-Ацетамидо-2-метилнитробензол (4,5 г, 23,2 ммоля), глицерин (9 г, 100 ммолей), конц. Н2SO4 (6,75 г) и As2O5·H2O (3,6 г, 46,4 ммоля) нагревали при 130°С в течение 20 ч. Полученную реакционную смесь выливали в воду, подкисляли добавлением конц. NH3 до рН 7-8 и три раза экстрагировали EtOAc. Объединенные органические фазы сушили над Na2SO4, упаривали и очищали хроматографией (SiO2, элюент: ТВМЕ/гексан, 70:30), при этом получали указанное в заголовке соединение (1,5 г, 34%). При этом сначала элюируется указанное в заголовке соединение, а затем изомер 5-метил-6-нитрохинолин (850 мг,19%). 1H ЯМР (400 МГц, ДМСО-d6): 2,64 (s, 3Н), 7,65 (dd, 1Н), 8,10 (s, 1Н), 8,58 (d, 1Н), 8,79 (s, 1Н), 9,05 (ушир.d, 1Н). Соотношение региоизомеров согласуется с данными спектров ROESY. MC (EI) m/z: 188 (М+, 40), 171 (100), 141 (40), 116 (60). б) 6-Нитрохинолин-7-карбальдегид
7-Метил-6-нитрохинолин (1,22 г, 6,5 ммоля) и трет-бутокси-бис(диметиламино)метан (5,2 мл, 27,3 ммоля) в ДМФА (13 мл) нагревали на масляной бане, предварительно нагретой до 160°С, в течение 15 мин. Реакционную смесь упаривали досуха, переносили в ТГФ (26 мл), при комнатной температуре в течение 1,5 ч добавляли NaIO4 (8,3 г, 39 ммолей) в воде (520 мл), перемешивали в течение 1 ч и затем дважды экстрагировали EtOAc. Объединенные органические фазы сушили над Na2SO4, упаривали и очищали хроматографией (SiO2, элюент: ТВМЕ), при этом получали указанное в заголовке соединение (920 мг, 70%) в виде пены желтого цвета. 1H ЯМР (400 МГц, ДМСО-d6): 7,87 (dd, 1Н), 8,51 (s, 1H), 8,73 (d, 1H), 8,97 (s, 1H), 9,22 (dd, 1H), 10,36 (s, 1H). MC (EI) m/z: 202 (M+, 20), 172 (40), 144 (25), 127(70), 116 (100), 89 (60). в) Метиловый эфир (Е)-3-(6-нитрохинолин-7-ил)акриловой кислоты 6-Нитрохинолин-7-карбальдегид (920 мг, 4,55 ммоля) в толуоле (46 мл) и (метоксикарбонилметилен)трифенилфосфоран (1,67 г, 5,0 ммоля) кипятили с обратным холодильником в течение 1 ч. Указанное в заголовке соединение получали кристаллизацией при охлаждении и отфильтровывали. После перекристаллизации из горячего EtOAc (250 мл) получали очищенное указанное в заголовке соединение (700 мг). Маточный раствор очищали хроматографией (SiO2, элюент: ацетон/гексан, 30:70), при этом получали еще одну порцию очищенного указанного в заголовке соединения (300 мг). Общий выход 1 г, 85%. 1H ЯМР (400 МГц, ДМСО-d6): 3,80 (s, 3Н), 6,79 (d, 1H), 7,75 (dd, 1H), 8,07 (d, 1H), 8,50 (s, 1H), 8,66 (d, 1H), 8,95 (s, 1H), 9,16 (dd, 1H). MC (EI) m/z: 258 (M+, 20), 212 (100), 181 (25), 143 (50), 116 (40). г) (Е)-3-(6-Нитрохинолин-7-ил)акриловая кислота Метиловый эфир (Е)-3-(6-нитрохинолин-7-ил)акриловой кислоты (1 г, 3,9 ммоля) суспендировали в 2н. NaOH (2,9 мл, 5,8 ммоля) и МеОН (39 мл), затем перемешивали при 55°С в течение 1 ч. Прозрачный раствор охлаждали, обрабатывали 2н. HCl (3,2 мл, 6,4 ммоля), разбавляли водой (70 мл) и образовавшийся осадок указанного в заголовке соединения отфильтровывали и сушили (900 мг, 94%). 1Н ЯМР (400 МГц, ДМСО-d6): 6,68 (d, 1Н), 7,75 (dd, 1H), 7,97 (d, 1H), 8,45 (s, 1H), 8,65 (d, 1H), 8,93 (s, 1H), 9,15 (dd, 1H), 13,30 (s, 1H). MC (EI) m/z: 244 (M+, 10), 198 (100), 171 (20), 143 (50), 116 (60). д) (Е)-1-[(R)-4-(4-Фторбензил)-2-метилпиперазин-1-ил]-3-(6-нитрохинолин-7-ил)пропенон (Е)-3-(6-Нитрохинолин-7-ил)акриловую кислоту (122 мг, 0,5 ммоля), (R)-1-(4-фторбензил)-3-метилпиперазин (Hilger Christoph-Stephan и др., WO 0236581) (104 мг, 0,5 ммоля) и гидрохлорид EDCI (96 мг, 0,5 ммоля) растворяли в ДМФА (5 мл) и перемешивали при комнатной температуре в течение 18 ч. Полученную реакционную смесь выливали в воду и экстрагировали три раза EtOAc. Объединенные органические фазы сушили над Na2SO4, упаривали и очищали хроматографией (SiO2, элюент: ацетон/гексан, 40:60), при этом получали указанное в заголовке соединение (150 мг, 69%) в виде бесцветного масла. 1Н ЯМР (400 МГц, ДМСО-d6): 1,21-1,48 (m, 3Н), 1,90-2,23 (m, 2Н), 2,66 (ушир.d, 1H), 2,83 (ушир.d, 1H), 3,00 (m, 1H), 3,44 (ушир.d, 1H), 3,53 (ушир.d, 1H), 4,28 (ушир.s, 1H), 4,63 (ушир.s, 1H), 7,17 (dd, 2Н), 7,38 (dd, 2Н), 7,44 (d, 1H), 7,72 (dd, 1H), 7,83 (d, 1H), 8,62 (dd, 2Н), 8,88 (s, 1H), 9,13 (dd, 1H). MC (ES+) m/z: 435,2 (MH+). е) (Е)-3-(6-Аминохинолин-7-ил)-1-[(R)-4-(4-фторбензил)-2-метилпиперазин-1-ил]пропенон (Е)-1-[(R)-4-(4-Фторбензил)-2-метилпиперазин-1-ил]-3-(6-нитрохинолин-7-ил)пропенон (150 мг, 0,36 ммоля) растворяли в EtOH/конц.HCl (6 мл, 1:1), одной порцией добавляли SnCl2 (387 мг, 2,04 ммоля) и перемешивали в течение 5 мин. Реакционную смесь выливали в насыщенный раствор Na2CO3 и экстрагировали три раза ТВМЕ. Объединенные органические фазы промывали 2н. Na2СО3, сушили над Na2SO4, упаривали досуха и очищали хроматографией (SiO2, элюент: ацетон/гексан, 40:60), при этом получали указанное в заголовке соединение (110 мг, 82%) в виде пены желтого цвета. 1Н ЯМР (400 МГц, ДМСО-d6): 1,18-1,38 (m, 3Н), 1,90-2,23 (m, 2Н), 2,67 (ушир.d, 1Н), 2,83 (ушир.d, 1Н), 2,98 (ушир.s, 1H), 3,42 (ушир.d, 1H), 3,53 (ушир.d, 1H), 4,12-4,38 (ушир.d, 1H), 4,50-4,75 (ушир.d, 1H), 5,66 (ушир.s, 2Н, NH2), 6,94 (s, 1H), 7,18 (dd, 2Н), 7,28 (m, 2Н), 7,38 (m, 2Н), 7,80 (d, 1H), 7,91 (d, 1H), 8,17 (s, 1H), 8,52 (dd, 1H). MC (ES+) m/z: 405,2 (MH+, 100). ж) N-(7-[(Е)-3-[(R)-4-(4-Фторбензил)-2-метилпиперазин-1-ил]-3-оксопропенил]хинолин-6-ил)ацетамид (Е)-3-(6-Аминохинолин-7-ил)-1-[(R)-4-(4-фторбензил)-2-метилпиперазин-1-ил]пропенон (81 мг, 0,2 ммоля) и NEt3 (0,2 мл, 1,6 ммоля) растворяли в ТГФ (5 мл) и при 55°С в течение 2 ч обрабатывали ацетилхлоридом (0,087 мл, 1,2 ммоля). Реакционную смесь выливали в воду и экстрагировали три раза EtOAc. Объединенные органические фазы промывали водой и 2н. Na2СО3, сушили над Na2SO4, упаривали и очищали хроматографией (SiO2, элюент: ацетон/гексан, 50:50), при этом получали указанное в заголовке соединение (60 мг, 66%) в виде твердого вещества желтого цвета. 1H ЯМР (400 МГц, ДМСО-d6): 1,20-1,48 (m, 3H), 1,88-2,23 (m, 2H), 2,15 (s, 3Н), 2,68 (ушир.d, 1H), 2,83 (ушир.d, 1Н), 3,00 (ушир.s, 1H), 3,45 (d, 1H), 3,53 (ушир.d, 1H), 4,28 (ушир.s, 1H), 4,66 (ушир.s, 1H), 7,18 (dd, 2H), 7,37 (dd, 2H), 7,41 (d, 1H), 7,50 (dd, 1H), 7,80 (d, 1H), 8,04 (s, 1H), 8,30 (d, 1H), 8,53 (s, 1H), 8,88 (dd, 1H), 9,95 (s, 1H). MC (ES–) m/z: 445,3 (M-H–). Пример 38 2-Диметиламино-N-(7-[(Е)-3-[(R)-4-(4-фторбензил)-2-метилпиперазин-1-ил]-3-оксопропенил]хинолин-6-ил)ацетамид (Е)-3-(6-Аминохинолин-7-ил)-1-[(R)-4-(4-фторбензил)-2-метилпиперазин-1-ил]пропенон (121 мг, 0,3 ммоля) и хлорацетилхлорид (45 мг, 0,4 ммоля) в СН2Cl2 (6 мл) перемешивали при комнатной температуре в течение 1 ч, выливали в 2н. Na2СО3 и экстрагировали три раза EtOAc. Объединенные органические фазы промывали водой, сушили над Na2SO4 и упаривали досуха, при этом получали промежуточный хлорацетамид (110 мг, 77%) в виде пены желтоватого цвета. Промежуточный хлорацетамид (48 мг, 0,1 ммоля) растворяли в ТГФ (6 мл) и обрабатывали 6 каплями диметиламина, перемешивали при комнатной температуре в течение 2 ч, выливали в 2н. Na2СО3 и экстрагировали три раза EtOAc. Объединенные органические фазы промывали водой, сушили над Na2SO4 упаривали досуха и очищали хроматографией (SiO2, элюент: ТВМЕ/МеОН/конц.NH3, 95:4,5:0,5), при этом получали указанное в заголовке соединение (20 мг, 45%) в виде слегка окрашенной пены. 1H ЯМР (400 МГц, ДМСО-d6): 1,20-1,38 (m, 3Н), 1,88-2,23 (m, 2H), 2,35 (s, 6Н), 2,68 (ушир.d, 1H), 2,83 (ушир.d, 1H), 3,00 (ушир.s, 1H), 3,15 (s, 2H), 3,43 (ушир.d, 1H), 3,53 (ушир.d, 1H), 4,28 (ушир.s, 1H), 4,63 (ушир.s, 1H), 7,18 (dd, 2H), 7,38 (dd, 2H), 7,41 (d, 1H), 7,51 (dd, 1H), 7,78 (d, 1H), 8,13 (s, 1H), 8,32 (d, 1H), 8,52 (d, 1H), 8,88 (d, 1H), 9,90 (s, 1H). MC (ES+) m/z: 490,2 (MH+, 100). Пример 39 N-(7-[(Е)-3-[(R)-4-(4-Фторбензил)-2-метилпиперазин-1-ил]-3-оксопропенил]хинолин-6-ил)метансульфонамид a) N,N-(7-[(Е)-3-[(R)-4-(4-Фторбензил)-2-метилпиперазин-1-ил]-3-оксопропенил]хинолин-6-ил)бис-метансульфонамид (Е)-3-(6-Аминохинолин-7-ил)-1-[(R)-4-(4-фторбензил)-2-метилпиперазин-1-ил]пропенон (81 мг, 0,2 ммоля) в ТГФ (4 мл) и NEt3 (0,17 мл, 1,2 ммоля) и при комнатной температуре в течение 1 ч обрабатывали метансульфонилхлоридом (0,047 мл, 0,6 ммоля). Реакционную смесь выливали в воду и экстрагировали три раза EtOAc. Объединенные органические фазы промывали водой, сушили над Na2SO4, упаривали досуха и очищали хроматографией (SiO2, элюент: ацетон/гексан, 30:70), при этом получали указанное в заголовке соединение (100 мг, 89%) в виде пены желтого цвета. б) N-(7-[(Е)-3-[(R)-4-(4-Фторбензил)-2-метилпиперазин-1-ил]-3-оксопропенил]хинолин-6-ил)метансульфонамид N,N-(7-[(Е)-3-[(R)-4-(4-Фторбензил)-2-метилпиперазин-1-ил]-3-оксопропенил]хинолин-6-ил)бис-метансульфонамид (100 мг, 0,17 ммоля) растворяли в EtOH (3,4 мл) и при комнатной температуре в течение 30 мин обрабатывали 2н. NaOH (3,4 мл). Реакционную смесь выливали в воду и экстрагировали три раза EtOAc. Объединенные органические фазы промывали водой, сушили над Na2SO4, упаривали досуха и очищали хроматографией (SiO2, элюент: ТВМЕ/МеОН/конц.NH3, 90:10:1), при этом получали указанное в заголовке соединение (55 мг, 54%) в виде пены желтого цвета. 1Н ЯМР (400 МГц, ДМСО-d6): 1,20-1,37 (m, 3Н), 1,90-2,22 (m, 2Н), 2,67 (ушир.d, 1H), 2,83 (ушир.d, 1Н), 2,97 (s, 3Н), 3,00 (ушир.s, 1Н), 3,42 (ушир.d, 1H), 3,53 (ушир.d, 1H), 4,27 (ушир.s, 1H), 4,62 (ушир.s, 1H), 7,15 (dd, 2Н), 7,35 (dd, 2Н), 7,39 (dd, 1H), 7,42 (dd, 1H), 7,78 (s, 1H), 8,02 (d, 1H), 8,22 (d, 1H), 8,43 (s, 1H), 8,78 (dd, 1H). MC (ES+) m/z: 483,1 (M+, 100). Пример 40 N-(5-Хлор-2-[(Е)-3-[(2R,5S)-4-(4-фторбензил)-2,5-диметилпиперазин-1-ил]-3-оксопропенил]фенил)цианогуанидин (Е)-3-(2-Амино-4-хлорфенил)-1-[(2R,5S)-4-(4-фторбензил)-2,5-диметилпиперазин-1-ил]пропенон (60 мг, 0,15 ммоля), этоксиэтанол (2,6 мл), воду (2,6 мл), 2н. HCl (1,5 мл) и NaN(CN)2 (534 мг, 6,0 ммоля) в течение 2 мин выдерживали на масляной бане, предварительно нагретой до 150°С. Реакционную смесь выливали в 2н. раствор Na2CO3 и экстрагировали три раза СН2Cl2/EtOH (10:1). Объединенные органические фазы упаривалии, очищали ЖХВР (XTerra, RP16, элюент: ацетонитрил/вода), при этом получали указанное в заголовке соединение (8 мг, 10%) в виде бесцветной пены. 1Н ЯМР (400 МГц, ДМСО-d6): 0,95 (ушир.d, 3Н), 1,25 (ушир.s, 3H), 2,25 (ушир.d, 1H), 2,65 (ушир.s, 1H), 3,00 (ушир.s, 1H), 3,43 (m, 2Н), 3,60 (ушир.d, 1H), 4,03 (ушир.s. 1H), 4,50 (ушир.s, 1H), 7,08-7,22 (m, 4H), 7,28 (d, 1H), 7,38 (m, 2Н), 7,53 (d, 1H), 7,88 (d, 1H), 9,2 (ушир.s, 1H, NH). MC (ES+) m/z: 469 (MH+, 100). Пример 41 N-(5-Хлор-2-[(Е)-3-[(2R,5S)-4-(4-фторбензил)-2,5-диметилпиперазин-1-ил]-3-оксопропенил]фенил)-2-диметилацетамид (Е)-3-(2-Амино-4-хлорфенил)-1-[(2R,5S)-4-(4-фторбензил)-2,5-диметилпиперазин-1-ил]пропенон (50 мг, 0,125 ммоля) обрабатывали хлорацетилхлоридом и диметиламином, как описано для соединения APF697, при этом получали указанное в заголовке соединение (45 мг, 75%) в виде бесцветной пены. 1Н ЯМР (400 МГц, ДМСО-d6): 0,93 (ушир.d, 3Н), 1,24 (ушир.d, 3H), 2,25 (ушир.d, 1Н), 2,33 (s, 6H), 2,65 (ушир.s, 1H), 3,03 (m, 2H), 3,12 (s, 2H), 3,46 (d, 1H), 3,62 (d, 1H), 4,04 (ушир.s, 1H), 4,55 (ушир.s, 1H), 7,13 (m, 3Н), 7,28 (dd, 1H), 7,38 (dd, 2H), 7,59 (d, 1H), 7,63 (d, 1H), 7,90 (d, 1H), 9,80 (s, 1H). MC (ES+) m/z: 487,2 (МН+, 100). Пример 42 N-(5-Хлор-2-[(Е)-3-[(2R,5S)-4-(4-фторбензил)-2,5-диметилпиперазин-1-ил]-3-оксопропенил]фенил)метансульфонамид (Е)-3-(2-Амино-4-хлорфенил)-1-[(2R,5S)-4-(4-фторбензил)-2,5-диметилпиперазин-1-ил]пропенон (61 мг, 0,15 ммоля) в пиридине (1,5 мл) при комнатной температуре в течение 30 мин обрабатывали метансульфонилхлоридом (0,035 мл, 0,45 ммоля). Реакционную смесь выливали в 2н. раствор Na2СО3 и экстрагировали три раза EtOAc. Объединенные органические фазы промывали водой, сушили над Na2SO4, упаривали досуха и очищали хроматографией (SiO2, элюент: ТВМЕ/МеОН/конц.NH3, 90:10:1, EtOAc/EtOH, 90:10), при этом получали указанное в заголовке соединение (50 мг, 69%) в виде пены желтого цвета. 1H ЯМР (400 МГц, ДМСО-d6): 0,92 (ушир.d, 3Н), 1,24 (m, 3Н), 2,23 (ушир.d, 1H), 2,64 (ушир.s, 1H), 2,99 (s, 3Н), 3,03 (d, 2H), 3.43 (d, 1H), 3,60 (d, 1H), 4,03 (ушир.s, 1H), 4,50 (ушир.s, 1H), 7,08-7,19 (m, 4H), 7,25-7,35 (m, 1H), 7,49 (m, 2H), 7,80 (d, 1H), 7,90 (ушир.d, 1H), 9,80 (ушир.s, 1H, NH). MC (ES+) m/z: 480 (MH+, 100). Пример 43 N-(5-Хлор-2-[(Е)-3-[(2R,5S)-4-(4-фторбензил)-2,5-диметилпиперазин-1-ил]-3-оксопропенил]-4-метоксифенил)ацетамид (Е)-3-(2-Ацетиламино-4-хлор-5-метоксифенил)акриловую кислоту (100 мг, 0,37 ммоля), (2R,5S)-1-(4-фторбензил)-2,5-диметилпиперазин (Mavunkel Babu J. и др., WO 00/71535) (83 мг, 0,37 ммоля) и гидрохлорид EDCI (85 мг, 0,44 ммоля) растворяли в ДМФА (3 мл) и перемешивали в течение ночи. Реакционную смесь упаривали, переносили в 2н. Na2СО3 и три раза экстрагировали EtOAc. Объединенные органические фазы упаривали и очищали хроматографией (SiO2, элюент: ацетон/гексан, градиент от 3:7 до 4:6), при этом получали указанное в заголовке соединение в виде бесцветных кристаллов (97 мг, 55%). 1H ЯМР (400 МГц, ДМСО-d6): 0,93 (ушир.d, 3Н), 1,25 (ушир.s, 3Н), 2,08 (s, 3Н), 2,16 (ушир.d, 1H), 2,50 (ушир.s, 1H), 2,68 (ушир.s, 1H), 3,02 (ушир.s, 1H), 3,45 (d, 1H), 3,61 (ушир.d, 1H), 3,93 (s, 3Н), 4,05 (ушир.s, 1H), 4,56 (ушир.s, 1H), 7,11-7,27 (m, 3Н), 7,36-7,50 (m, 4H), 7,58 (d, 1H), 9,68 (s, 1H, NH). MC (ES+) m/z: 474 (MH+, 100). Пример 44 N-(5-Хлор-2-[(Е)-3-[(2R,5S)-4-(4-фторбензил)-2,5-диметилпиперазин-1-ил]-3-оксопропенил]-4-метоксифенил)метансульфонамид а) Этиловый эфир (Е)-3-(2-амино-4-хлор-5-метоксифенил)акриловой кислоты Этиловый эфир (Е)-3-(2-нитро-4-хлор-5-метоксифенил)акриловой кислоты (2 г, 7 ммолей) и SnCl2 (7 г, 36 ммолей) растворяли в ТГФ/воде (60 мл, 5:1), кипятили с обратным холодильником в течение 2 мин, затем выдерживали при комнатной температуре в течение 20 мин. Реакционную смесь выливали в 2н. Na2CO3 и три раза экстрагировали TBME/EtOH. Объединенные органические фазы сушили над Na2SO4 и упаривали досуха, при этом получали полукристаллический неочищенный материал, который растирали в ТВМЕ/гексане, 1:1, при этом получали указанное в заголовке соединение в виде кристаллов желтого цвета (1 г, 56%). 1Н ЯМР (400 МГц, ДМСО-d6): 1,35 (t, 3Н), 3,85 (s, 3Н), 4,28 (q, 2H), 6,33 (d, 1H), 6,78 (s, 1H), 6,93 (s, 1H), 7,73 (d, 1H). MC (EI) m/z: 255 (M+, 50), 210 (100), 194(40), 182(30), 166(30). б) Этиловый эфир (Е)-3-(4-хлор-2-метансульфониламино-5-метоксифенил)акриловой кислоты Этиловый эфир (Е)-3-(2-амино-4-хлор-5-метоксифенил)акриловой кислоты (250 мг, 0,98 ммоля) в пиридине (2 мл) при комнатной температуре в течение 15 мин обрабатывали метансульфонилхлоридом (0,15 мл, 2 ммоля). Реакционную смесь выливали в воду и три раза экстрагировали ТВМЕ. Объединенные органические фазы упаривали досуха и очищали хроматографией (SiO2, элюент: ацетон/гексан, 2:8), при этом получали указанное в заголовке соединение в виде кристаллов светло-желтого цвета (216 мг, 66%). в) (Е)-3-(4-Хлор-2-метансульфониламино-5-метоксифенил)акриловая кислота Этиловый эфир (Е)-3-(4-хлор-2-метансульфониламино-5-метоксифенил)акриловой кислоты (320 мг, 0,96 ммоля) кипятили с обратным холодильником в 2н. NaOH/EtOH (1:10) в течение 10 мин. Полученную суспензию охлаждали до 0°С, фильтровали, переносили в воду, подкисляли 2н. HCl и три раза экстрагировали ТВМЕ. Объединенные органические фазы сушили над Na2SO4 и упаривали досуха, при этом получали указанное в заголовке соединение в виде кристаллов желтоватого цвета (114 мг, 39%). 1H ЯМР (400 МГц, ДМСО-в6): 2,97 (s, 3Н), 3,93 (s, 3Н), 6,68 (d, 1H), 7,40 (s, 1H), 7,51 (s, 1H), 7,90 (s, 1H). MC (ES–) m/z: 304 (M–, 100). г) N-(5-Хлор-2-[(Е)-3-[(2R,5S)-4-(4-фторбензил)-2,5-диметилпиперазин-1-ил]-3-оксопропенил]-4-метоксифенил)метансульфонамид (Е)-3-(4-Хлор-2-метансульфониламино-5-метоксифенил)акриловую кислоту (100 мг, 0,32 ммоля), (2R,5S)-1-(4-фторбензил)-2,5-диметилпиперазин (Mavunkel Babu J., и др., WO 00/71535) (73 мг, 0,32 ммоля), гидрохлорид EDCI (75 мг, 0,39 ммоля) и HOBt (5 мг, 0,03 ммоля) растворяли в ДМФА (2 мл), перемешивали в течение ночи. Реакционную смесь упаривали, переносили в 2н. Na2СО3 и три раза экстрагировали EtOAc. Объединенные органические фазы упаривали и очищали хроматографией (SiO2, элюент: ацетон/гексан, 3:7), при этом получали указанное в заголовке соединение в виде пены желтого цвета (135 мг, 81%). 1Н ЯМР (400 МГц, ДМСО-d6): 0,93 (ушир.d, 3Н), 1,23 (ушир.s, 3H), 2,23 (ушир.d, 1Н), 2,67 (ушир.s, 2Н), 2,94 (s, 3Н), 3,00 (ушир.s, 1H), 3,45 (ушир.d, 1H), 3,61 (ушир.d, 1H), 3,95 (s, 3Н), 4.05 (ушир.s, 1H), 4,55 (ушир.s, 1H), 7,13 (dd, 2Н), 7,20 (ушир.d, 1H), 7,36 (s, 1H), 7,38 (dd, 2Н), 7,50 (s, 1H), 7,78 (d, 1H), 9,40 (s, 1H). MC (ES+) m/z: 510 (MH+, 100). Пример 45 N-[5-Хлор-2-[(Е)-3-(R)-4-(4-фторбензил)-2-метилпиперазин-1-ил]-3-оксопропенил-4-(2-метоксиэтокси)фенил]ацетамид а) 1-Хлор-2-(2-метоксиэтокси)-4-метил-5-нитробензол К раствору натрия (115 мг, 5,01 ммоля) в 2-метоксиэтаноле (15 мл) добавляли 1,2-дихлор-4-метил-5-нитробензол (R.J, De Lang и др., Tetrahedron, т. 54(12), сс. 2953-2966, (1998)) (860 мг, 4,17 ммоля). Полученную реакционную смесь коричневого цвета перемешивали при 100°С в течение 1 ч, выливали в солевой раствор (50 мл) и три раза экстрагировали ТВМЕ. Объединенные органические фазы упаривали и очищали хроматографией (SiO2, элюент: ацетон/гексан, 1:9), при этом получали указанное в заголовке соединение в виде кристаллов оранжевого цвета (640 мг, 63%). 1H ЯМР (400 МГц, CDCl3): 2,55 (s, 3Н), 3,41 (s, 3Н), 3,77 (t, 2H), 4,18 (t 2H), 6,75 (s, 1H),8,10(s, 1H). б) Метиловый эфир (Е)-3-[4-хлор-5-(2-метоксиэтокси)-2-нитрофенил]акриловой кислоты 1-Хлор-2-(2-метоксиэтокси)-4-метил-5-нитробензол (300 мг, 1,22 ммоля) в ДМФА (3 мл) при 160°С в течение 20 мин обрабатывали трет-бутокси-бис-(диметиламино)метаном (1,06 мл, 5,1 ммоля) в ДМФА (13 мл). Реакционную смесь упаривали досуха и переносили в ТГФ (6 мл). При комнатной температуре в течение 0,5 ч добавляли NaIO4 (1,6 г, 7,3 ммоля) в воде (25 мл), перемешивали в течение 1 ч и реакционную смесь дважды экстрагировали EtOAc. Объединенные органические фазы сушили над Na2SO4, упаривали досуха и при этом получали промежуточный 4-хлор-5-(2-метоксиэтокси)-2-нитробензальдегид в виде твердого вещества коричневого цвета (360 мг, выход количественный). Полученный 4-хлор-5-(2-метоксиэтокси)-2-нитробензальдегид (360 мг, 1,22 ммоля) и (метоксикарбонилметилен)трифенилфосфоран (449 мг, 1,34 ммоля) кипятили с обратным холодильником в толуоле (20 мл) в течение 1 ч. После охлаждения реакционной смеси добавляли толуол (100 мл), образовавшиеся кристаллы отфильтровывали и очищали хроматографией (SiO2, элюент: ТВМЕ/гексан, 1:1), при этом получали указанное в заголовке соединение в виде смеси цис-транс-изомеров (290 мг). После перекристаллизации из горячего ТВМЕ получали чистый транс-изомер (180 мг, 47%) в виде кристаллов светло-желтого цвета. 1Н ЯМР (400 МГц, CDCl3): 3,70 (s, 3Н), 4,08 (m, 5H), 4,55 (dd, 2H), 6,53 (d 1H), 7,31 (s, 1H), 8,41 (d, 1H), 8,43 (s, 1H). в) (Е)-3-[2-Ацетиламино-4-хлор-5-(2-метоксиэтокси)фенил]акриловая кислота Метиловый эфир (Е)-3-[4-хлор-5-(2-метоксиэтокси)-2-нитрофенил]акриловой кислоты (910 мг, 2,88 ммоля) растворяли в МеОН (160 мл)/конц.HCl (50 мл), добавляли SnCl2 (7,4 г, 39 ммолей) и полученную реакционную смесь перемешивали при комнатной температуре в течение 1 ч, выливали в насыщенный раствор Na2СО4 и три раза экстрагировали ТВМЕ. Объединенные органические фазы сушили над Na2SO4 и упаривали досуха, при этом получали промежуточный метиловый эфир (Е)-3-[2-амино-4-хлор-5-(2-метоксиэтокси)фенил]акриловой кислоты (740 мг, 90%). Метиловый эфир (Е)-3-[2-амино-4-хлор-5-(2-метоксиэтокси)фенил]акриловой кислоты (740 мг, 2,6 ммоля) растворяли в пиридине (20 мл) и обрабатывали ацетилхлоридом (1 мл, 13 ммолей), который при комнатной температуре добавляли 5 порциями. Полученную реакционную смесь перемешивали в течение 10 мин, выливали в воду и три раза экстрагировали EtOAc. Объединенные органические фазы сушили над Na2SO4 и упаривали досуха, при этом получали промежуточный метиловый эфир (E/Z)-3-[2-ацетиламино-4-хлор-5-(2-метоксиэтокси)фенил]акриловой кислоты (730 мг, 87%) в виде кристаллов желтого цвета. Метиловый эфир (Е/7)-3-[2-ацетиламино-4-хлор-5-(2-метоксиэтокси)фенил]акриловой кислоты (730 мг, 2,23 ммоля) растворяли в МеОН (30 мл) и при 60°С в течение 1 ч обрабатывали 2н. NaOH (1,7 мл, 3,34 ммоля), добавляли 2н. HCl (10 мл) и воду (20 мл), три раза экстрагировали EtOAc. Объединенные органические фазы сушили над Na2SO4 и упаривали досуха, при этом получали указанную в заголовке (Е)-3-[2-ацетиламино-4-хлор-5-(2-метоксиэтокси)фенил]акриловую кислоту в виде кристаллов желтого цвета (570 мг, 82%). 1Н ЯМР (400 МГц, ДМСО-d6): 2,07 (s, 3Н), 3,31 (s, 3Н), 3,70 (dd, 2H), 4,27 (dd, 2H), 6,62 (d, 1H), 7,43 (s, 1H), 7,47 (s, 1H), 7,62 (d, 1H), 9,72 (s, 1H, NH), 12,2 (ушир.s, 1H, COOH). MC (EI) m/z: 313 (M+, 70), 271 (35), 213 (50), 168 (30). г) N-[5-Хлор-2-[(Е)-3-(R)-4-(4-фторбензил)-2-метилпиперазин-1-ил]-3-оксопропенил)-4-(2-метоксиэтокси)фенил]ацетамид (АТQ503) (Е)-3-[2-Ацетиламино-4-хлор-5-(2-метоксиэтокси)фенил]акриловую кислоту (100 мг, 0,32 ммоля), (R)-1-(4-фторбензил)-3-метилпиперазин (Hilger Christoph-Stephan и др., WO 0236581) (66 мг, 0,32 ммоля), гидрохлорид EDCI (73 мг, 0,38 ммоля) и HOBt (58 мг, 0,38 моля) растворяли в ДМФА (4 мл) и перемешивали при комнатной температуре в течение 18 ч. Полученную реакционную смесь выливали в воду и три раза экстрагировали ТВМЕ. Объединенные органические фазы сушили над Na2SO4, упаривали и очищали хроматографией (SiO2, элюент: ацетон/гексан, градиент от 2:8 до 1:1), при этом получали указанное в заголовке соединение в виде кристаллов светло-желтого цвета (65 мг, 38%). 1H ЯМР (400 МГц, ДМСО-d6): 1,08-1,31 (m, 3Н), 1,85-2,22 (m, 2H), 2,03 (s, 3Н), 2,68 (ушир.d, 1H), 2,83 (ушир.d, 1H), 3,00 (ушир.s, 1H), 3,31 (s, 3Н), 2,93 (ушир.d, 1H), 3,53 (ушир.d, 1H), 3,71 (dd, 2H), 4,17 (ушир.s, 1H), 4,28 (dd, 2H), 4,60 (ушир.s, 1H), 7,15 (dd, 2H), 7,20 (d, 1H), 7,35 (dd, 2H), 7,43 (s, 1H), 7,48 (s, 1H), 7,55 (d, 1H), 9,68 (s, 1H, NH). MC (E+) m/z: 504,2 (MH+, 100). Пример 46 N-[5-Хлор-2-[(Е)-3-[(R)-4-(4-фторбензил)-2-метилпиперазин-1-ил]-3-оксопропенил]-4-морфолин-4-илфенил)ацетамид а) 4-(2-Хлор-5-метил-4-нитрофенил)морфолин 1,2-Дихлор-4-метил-5-нитробензол (R.J. De Lang и др., Tetrahedron, т. 54(12), сс. 2953-2966 (1998)) (1 г, 4,8 ммоля), морфолин (1 мл) и 1,2-диэтоксиэтан (1 мл) нагревали в микроволновой установке при 160°С в течение 2 ч. Полученную реакционную смесь выливали в воду/2н. HCl (10:1, 50 мл) и три раза экстрагировали ТВМЕ. Объединенные органические фазы сушили над Na2SO4, упаривали и перекристаллизовывали из горячего ТВМЕ, при этом получали указанное в заголовке соединение в виде кристаллов желтого цвета (670 мг, 54%). 1H ЯМР (400 МГц, CDCl3): 2,52 (s, 3Н), 3,11 (t, 4H), 3,82 (t, 4H), 6,78 (s, 1H), 8,08 (s, 1H). MC (EI) m/z: 256 (M+, 100), 198 (80), 181 (90). б) N-(5-Хлор-2-[(Е)-3-[(R)-4-(4-фторбензил)-2-метилпиперазин-1-ил]-3-оксопропенил]-4-морфолин-4-илфенил)ацетамид 4-(2-Хлор-5-метил-4-нитрофенил)морфолин превращали в N-[5-хлор-2-[(E)-3-[(R)-4-(4-фторбензил)-2-метилпиперазин-1-ил]-3-оксопропенил]-4-морфолин-4-илфенил)ацетамид аналогично тому, как описано выше для N-[5-хлор-2-[(E)-3-(R)-4-(4-фторбензил)-2-метилпиперазин-1-ил]-3-оксопропенил)-4-(2-метоксиэтокси)фенил]ацетамида. 1Н ЯМР (400 МГц, ДМСО-d6): 1,18-1,33 (m, 3Н), 1,85-2,20 (m, 2H), 2,05 (s, 3Н), 2,68 (ушир.d, 1H), 2,83 (ушир.d, 1H), 3,03 (ушир.t, 5H), 3,42 (ушир.d, 1H), 3,53 (ушир.d, 1H), 3,75 (ушир.t, 4H), 4,18 (ушир.s, 1H), 4,58 (ушир.s, 1H), 7,12-7,20 (m, 3Н), 7,35 (dd, 2H), 7,47 (s, 1H), 7,49 (s, 1H), 7,56 (d, 1H), 9,72 (1H, NH). MC (E+) m/z: 515,3 (M+, 100). Пример 47 N-(5-Хлор-2-{(Е)-3-[(R)-2-этил-4-(4-фторбензил)пиперазин-1-ил]-3-оксопропенил}фенил)ацетамид а) Этиловый эфир (4-фторбензиламино)уксусной кислоты 4-Фторбензиламин (13,86 г, 110 ммолей) растворяли в 25 мл ТГФ и раствор охлаждали до 0°С, по каплям добавляли этиловый эфир бромуксусной кислоты (8,35 г, 50 ммолей), растворенный в 25 мл ТГФ и охлажденный до 0°С. Полученную смесь перемешивали при комнатной температуре в течение 2 ч, твердое вещество отфильтровывали, фильтрат упаривали, очищали хроматографией (SiO2, элюент: гексан/этилацетат, 2:1), при этом получали указанное в заголовке соединение в виде масла желтого цвета (10,35 г, 98%). 1H ЯМР (400 МГц, ДМСО-d6): 1,20 (t, 3H), 3,30 (s, 2H), 3,70 (s, 2H), 4,10 (qa, 2H), 7,15 (dd, 2H), 7,35 (dd, 2H). MC (ES+) m/z: 212,1 (MH+) 100). б) Этиловый эфир [((R)-2-трет-бутоксикарбониламинобутирил)(4-фторбензил)амино]уксусной кислоты Boc-D-Abu-OH (4,06 г, 20 ммолей), EDCI (4,20 г, 22 ммоля) и НОВТ (2,97 г, 22 ммоля) растворяли в 100 мл ТГФ. К смеси при комнатной температуре добавляли амин (4,20 г, 20 ммолей) указанного в заголовке соединения (стадия а)) и полученную смесь перемешивали при комнатной температуре в течение 4 ч. После упаривания остаток растворяли в ДХМ и три раза промывали водой, один раз насыщенным раствором хлорида натрия, очищали хроматографией (SiO2, элюент: гексан/этилацетат, 2:1), при этом получали указанное в заголовке соединение в виде масла желтого цвета (6,41 г, 80%). 1Н ЯМР (400 МГц, ДМСО-d6, 120°С): 0,90 (t, 3H), 1,20 (t, 3H), 1,40 (s, 9H), 1,55-1,80 (m, 2H), 4,05-4,15 (m, 4H), 4,35 (ушир.s, 1H), 4,65 (ушир.s, 2H), 6,20 (ушир.s, 1H), 7,10 (ушир.t, 2H), 7,35 (ушир.t, 2H). MC (ES+) m/z: 419,2 (M+, 100). в) (R)-3-Этил-1-(4-фторбензил)пиперазин-2,5-дион Указанное в заголовке соединение (стадия б)) (6,0 г, 15,1 ммоля) растворяли в 20 мл 4н. HCl в диоксане и перемешивали при комнатной температуре в течение 2 ч. После упаривания остаток растворяли в 200 мл воды и добавляли 1н. NaOH до рН 10. Раствор экстрагировали этилацетатом, сушили над сульфатом натрия и упаривали. Остаток растворяли в 20 мл этилацетата и выдерживали в течение ночи, очищали хроматографией (SiO2, элюент: этилацетат/МеОН/конц.NH3, 95:5:0,5), при этом получали указанное в заголовке соединение в виде твердого вещества желтого цвета (2,98 г, 79%). 1H ЯМР (400 МГц, ДМСО-d6): 0,85 (t, 3H), 1,65-1,85 (m, 2H), 3,82 (dd, 2H), 3,90-3,95 (m, 1Н), 4,45 (d, 1Н), 4,60 (d, 1Н), 7,20 (dd, 2H), 7,35 (dd, 2H), 8,35 (ушир.s, 1NH). MC (ES+) m/z: 251,1 (МН+, 100). г) (R)-3-Этил-1-(4-фторбензил)пиперазин Указанное в заголовке соединение (стадия в)) (1,0 г, 4 ммоля) растворяли в 50 мл ТГФ, и к раствору при 0°С по каплям добавляли 15 мл (34,5 ммоля) литий-алюминий гидрида (2,3 М раствор в ТГФ). После перемешивания смеси при 60°С в течение 5 ч по каплям при 0°С добавляли насыщенный раствор сульфата натрия (100 мл). Указанное в заголовке соединение получали экстракцией из этилацетата, очищали хроматографией (SiO2, элюент: этилацетат/МеОН/конц.NH3, 7:3:0,3), при этом получали указанное в заголовке соединение в виде масла желтого цвета (0,77 г, 86%). 1Н ЯМР (400 МГц, ДМСО-d6): 0,82 (t, 3H), 1,35 (m, 1Н), 1,55 (t, 1Н), 1,85 (m, 1Н), 2,40-2,50 (m, 1Н), 2,55-2,70 (m, 4Н), 2,77-2,85 (m, 1Н), 3,35-3,45 (m, 3H), 7,15 (dd, 2H), 7,35 (dd, 2H). MC (ES+) m/z: 223,2 (MH+, 100). д) N-(5-Хлор-2-{(Е)-3-[(R)-2-этил-4-(4-фторбензил)пиперазин-1-ил]-3-оксопропенил}фенил)ацетамид (R)-3-Этил-1-(4-фторбензил)пиперазин (44,4 мг, 0,2 ммоля), EDCI (76 мг, 0,4 ммоля), НОВТ (55 мг, 0,4 ммоля) и (Е)-3-(2-ацетиламино-4-хлорфенил)акриловую кислоту (47,8 мг, 0,2 ммоля) растворяли в 5 мл ДХМ и полученную смесь перемешивали при комнатной температуре в течение ночи, разбавляли 50 мл ДХМ, три раза экстрагировали водой и один раз насыщенным раствором хлорида натрия, очищали хроматографией (SiO2, элюент: этилацетат/МеОН/конц.NH3, 98:2:0,2), при этом получали указанное в заголовке соединение в виде твердого вещества грязно-белого цвета (81 мг, 91%). 1H ЯМР (400 МГц, ДМСО-d6): 0,75 (t, 3Н), 1,60-1,75 (m, 2H), 1,80-2,00 (m, 2H), 2,07 (s, 3Н), 2,70-2,95 (m, 2H), 3,25-3,30 (m, 1H), 3,35-3,60 (m, 2H), 4,05-4,45 (ушир.d x ушир.dd, 2H), 7,10-7,20 (m, 3Н), 7,25 (ушир.d, 1H), 7,30-7,38 (m, 2H), 7,55 (ушир.s, 1H), 7,55-7,65 (m, 2H), 7,90 (ушир.d, 1H), 9,85 (ушир.s, 1NH). MC (ES+) m/z: 466,2 (MNa+, 100). Пример 48 (5-Хлор-2-{(Е)-3-[(R)-2-этил-4-(4-фторбензил)пиперазин-1-ил]-3-оксопропенил}фенил)мочевина (R)-3-Этил-1-(4-фторбензил)пиперазин (88,8 мг, 0,4 ммоля), EDCI (152 мг, 0,8 ммоля), НОВТ (110 мг, 0,8 ммоля) и (Е)-3-(4-хлор-2-уреидофенил)акриловую кислоту (96 мг, 0,4 ммоля) растворяли в 5 мл ДХМ, полученную смесь перемешивали при комнатной температуре в течение ночи. Смесь разбавляли 50 мл ДХМ, экстрагировали 3 раза водой и 1 раз насыщенным раствором хлорида натрия. Указанное в заголовке соединение очищали хроматографией (SiO2, элюент: этилацетат/МеОН/конц. NH3, 98:2:0,2), при этом получали твердое вещество грязно-белого цвета (60 мг, 34%). 1Н-ЯМР (400 МГц, ДМСО-d6): 0,75 (t, 3Н), 1,60-1,75 (m, 2H), 1,80-2,00 (m, 2H), 2,75-2,95 (m, 2H), 3,23-3,30 (m, 1H), 3,35-3,45 (m, 1H), 3,45-3,55 (m, 1H), 4,05-4,45 (bdxbdd, 2H), 6,25 (ушир. s, 2NH), 7,05 (ушир. d, 1H), 7,10-7,18 (m, 3Н), 7,30-7,38 (m, 2H), 7,55-7,65 (m, 2H), 7,95 (ушир. s, 1H), 8,45 (ушир. s, 1NH). МС (ES+) m/z: 445,2 (MH+, 100). Пример 49 N-(5-Хлор-4-этокси-2-{(Е)-3-[(R)-4-(4-фторбензил)-2-метилпиперазин-1-ил]-3-оксопропенил}фенил)ацетамид а) 4-Хлор-3-этоксифенол
3-Метоксифенол (14,9 г, 120,0 ммоля) растворяли в 60 мл хлороформа. Затем в течение 1 ч при 0°С по каплям добавляли 17,12 г (126,0 ммоля) сульфурилхлорида и перемешивали при 0°С в течение 2 ч, затем добавляли 100 мл воды и 50 мл ДХМ. Органический слой отделяли, промывали водой и насыщенным раствором хлорида натрия. Указанное в заголовке соединение очищали хроматографией (SiO2, элюент: этилацетат/циклогексан, 2:8), при этом получали продукт в виде жидкости желтого цвета (7,50 г, 39%). 1H-ЯМР (400 МГц, ДМСО-d6): 1,37 (t, 3Н), 4,02 (qa, 2H), 6,30 (dd, 1H), 6,48 (d, 1H), 7,15 (d, 1H), 9,70 (ушир. s, 1OН). МС (EI) m/z: 172 (М+, 100). б) 4-Хлор-5-этокси-2-нитрофенол Соединение, полученное на стадии а) (15,8 г, 91,5 ммоля), растворяли в 180 мл хлороформа, затем при 0°С по каплям добавляли 3,8 мл (91,5 ммоля) 100% дымящей азотной кислоты и перемешивали в течение 20 мин при 0°С, затем добавляли 100 мл ДХМ. Органический слой промывали 2 раза водой и 1 раз насыщенным раствором хлорида натрия. Указанное в заголовке соединение очищали хроматографией (SiO2, элюент: этилацетат/циклогексан, 2:8), при этом получали твердое вещество желтого цвета (10,17 г, 51%). 1H-ЯМР (400 МГц, ДМСО-d6): 1,36 (t, 3H), 4,17 (qa, 2H), 6,75 (s, 1H), 8,03 (s, 1H), 11,05 (ушир. s, 1OН). MC (EI) m/z: 217 (M+, 100). в) 4-Хлор-5-этокси-2-нитрофениловый эфир трифторметансульфоновой кислоты Соединение, полученное на стадии б) (10,2 г, 46,8 ммоля), растворяли в 250 мл ДХМ и добавляли 7,71 мл (56,2 ммоля) NEt3. Затем при 0°С по каплям добавляли 5,44 мл (51,5 ммоля) хлорангидрида трифторметансульфоновой кислоты и перемешивали при 0°С в течение 90 мин. Полученный раствор промывали 2 раза водой и 1 раз насыщенным раствором хлорида натрия. Указанное в заголовке соединение очищали хроматографией (SiO2, элюент: этилацетат/циклогексан, 2:8), при этом получали масло желтого цвета (15,98 г, 97%). 1Н-ЯМР (400 МГц, ДМСО-d6): 1,40 (t, 3H), 4,35 (qa, 2H), 7,48 (s, 1H), 8,50 (s, 1H). MC (EI) m/z: 349 (M+, 100). г) Этиловый эфир (Е)-3-(4-хлор-5-этокси-2-нитрофенил)акриловой кислоты Соединение, полученное на стадии в) (3,0 г, 8,58 ммоля), и 4,0 г (10,3 ммоля) этилового эфира (Е)-3-трибутилциннанилакриловой кислоты растворяли в 75 мл ДМФА и добавляли 120 мг дихлорида бис(трифенилфосфин)палладия (II). Полученную смесь перемешивали при 140°С в течение 20 мин и упаривали. Указанное в заголовке соединение очищали хроматографией (SiO2, элюент: этилацетат/циклогексан, 2:8), при этом получали твердое вещество грязно-белого цвета (1,53 г, 59%). 1H-ЯМР (400 МГц, ДМСО-d6): 1,27 (t, 3Н), 1,38 (t, 3Н), 4,20 (qa, 2H), 4,35 (qa, 2H), 6,75 (d, 1H), 7,45 (s, 1H), 7,95 (d, 1H), 8,22 (s, 1H). MC (ES+) m/z: 322,1 (MNa+, 100). д) (Е)-3-(4-Хлор-5-этокси-2-нитрофенил)акриловая кислота Соединение, полученное на стадии г) (1,40 г, 4,77 ммоля), растворяли в 50 мл EtOH и добавляли 2,1 мл 2н. NaOH, полученную смесь нагревали при 95°С в течение 20 мин. Раствор охлаждали до комнатной температуры и подкисляли добавлением 2н. HCl до рН 1. Полученное твердое вещество промывали EtOH, водой, диэтиловым эфиром и сушили в течение 8 ч при 60°С, при этом получали указанное в заголовке соединение в виде твердого вещества грязно-белого цвета (1,1 г, 84%). 1Н-ЯМР (400 МГц, ДМСО-d6): 1,40 (t, 3Н), 4,35 (qa, 2Н), 6,62 (d, 1H), 7,45 (s, 1H), 7,87 (d, 1H), 8,20 (s, 1H), 12,80 (ушир. s, 1OН). MC (ES–) m/z: 270 (M-H–, 45), 197(75), 169(100). е) N-(5-Хлор-4-этокси-2-{(Е)-3-[(R)-4-(4-фторбензил)-2-метилпиперазин-1-ил]-3-оксопропенил}фенил)ацетамид (Е)-3-(2-Амино-4-хлор-5-этоксифенил)-1-[(R)-4-(4-фторбензил)-2-метилпиперазин-1-ил]пропенон (полученный при конденсации и восстановлении амида, с использованием SnCl2, как описано в примере 30) (0,1 г, 0,23 ммоля) растворяли в 10 мл ТГФ, затем добавляли 38,7 мкл (0,28 ммоля) Net3 и 16,5 мкл (0,23 ммоля) хлорангидрида уксусной кислоты. Полученную смесь перемешивали в течение 20 мин при комнатной температуре. Затем смесь разбавляли 10 мл насыщенного раствора карбоната натрия и экстрагировали этилацетатом. Указанное в заголовке соединение очищали хроматографией (SiO2, элюент: этилацетат/МеОН/конц. NH3, 95:5:0,5), при этом получали твердое вещество грязно-белого цвета (89 мг, 81%). 1H-ЯМР (400 МГц, ДМСО-d6): 1,25 (m, 3Н), 1,35 (t, 3Н), 1,90-2,15 (m, 5H), 2,65-2,70 (m, 1H), 2,82 (ушир. d, 1Н), 2,90-3,15 (m, 1H), 3,40-3,50 (m, 2H), 4,10-4,25 (m, 3Н), 4,50-4,65 (m, 1H), 7.10-7,20 (m, 3Н), 7,35-7,40 (m, 2H), 7,43 (d, 2H), 7,55 (d, 1H), 9,65 (s, 1NH). MC (ES+) m/z: 474,2 (MH+, 100%). Пример 50 (5-Хлор-4-этокси-2-{(Е)-3-[(R)-4-(4-фторбензил)-2-метилпиперазин-1-ил]-3-оксопропенил}фенил)мочевина (Е)-3-(2-Амино-4-хлор-5-этоксифенил)-1-[(R)-4-(4-фторбензил)-2-метилпиперазин-1-ил]пропенон (0,1 г, 0,23 ммоля) растворяли в 1 мл уксусной кислоты и 1 мл воды, затем добавляли 30 мг (0,46 ммоля) изоцианата натрия. Полученную смесь перемешивали при комнатной температуре в течение 30 мин, затем смесь разбавляли 10 мл насыщенного раствора карбоната натрия и экстрагировали этилацетатом. Указанное в заголовке соединение очищали хроматографией (SiO2, элюент: этилацетат/МеОН/конц. NH3, 95:5:0,5), при этом получали твердое вещество грязно-белого цвета (55 мг, 50%). 1Н-ЯМР (400 МГц, ДМСО-d6): 1,20-1,30 (m, 3Н), 1,35 (t, 3Н), 1,85-2,15 (m, 2H), 2,60-2,70 (m, 1H), 2,83 (ушир. d, 1H), 2,90-3,05 (m, 1H), 3,40-3,60 (m, 2H), 4,13 (qa, 2H), 4,15-4,30 (m, 1H), 4,45-4,65 (m, 1H), 6,00 (ушир. s, 2NH), 7,10-7,17 (m, 3Н), 7,30-7,38 (m, 3Н), 7,60 (d, 1H), 7,70 (s, 1H), 8,15 (ушир. s, 1NH). MC (ES+) m/z: 475,2 (MH+, 100%). Пример 51 N-(5-Хлор-4-этокси-2-{(E)-3-[(R)-4-(4-фторбензил)-2-метилпиперазин-1-ил]-3-оксопропенил}фенил)метансульфонамид (Е)-3-(2-Амино-4-хлор-5-этоксифенил)-1-[(R)-4-(4-фторбензил)-2-метилпиперазин-1-ил]пропенон (0,1 г, 0,23 ммоля) растворяли в 15 мл ТГФ, затем при -78°С добавляли 38,7 мкл (0,03 ммоля) NEt3 и 17,7 мкл (0,23 ммоля) метансульфонилхлорида, перемешивали в течение 4 ч при -78°С, смесь нагревали до комнатной температуры и упаривали. Указанное в заголовке соединение очищали хроматографией (SiO2, элюент: этилацетат/МеОН/конц. NH3, 95:5:0,5), при этом получали твердое вещество грязно-белого цвета (60 мг, 51%). 1Н-ЯМР (400 МГц, ДМСО-d6): 1,20-1,30 (m, 3Н), 1,37 (t, 3H), 1,90-2,15 (m, 2H), 2,65-2,70 (m, 1H), 2,80 (ушир. d, 1H), 2,94 (s, 3Н), 3,00-3,25 (m, 1H), 3,40-3,60 (m, 2H), 4,10-4,30 (m, 3Н), 4,50-4,65 (m, 1H), 7,15 (dd, 2H), 7,18 (d, 1H), 7,30-7,35 (m, 3Н), 7,50 (s, 1H), 7,75 (d, 1H), 9,38 (ушир. s, 1NH). МС (ES+) m/z: 510,1 (MH+, 100%). Пример 52 (5-Хлор-4-этокси-2-{(Е)-3-[(R)-4-(4-фторбензил)-2-метилпиперазин-1-ил]-3-оксопропенил}фенил)амид 5-оксопирролидин-2-карбоновой кислоты (Е)-3-(2-Амино-4-хлор-5-этоксифенил)-1-[(R)-4-(4-фторбензил)-2-метилпиперазин-1-ил]пропенон (0,1 г, 0,23 ммоля), EDCI (97 мг, 0,28 ммоля), НОВТ (34,4 мг, 0,28 ммоля) и 30 мг (0,23 ммоля) пироглютаминовой кислоты растворяли в 20 мл ТГФ. Полученную смесь перемешивали при комнатной температуре в течение ночи, затем упаривали. Указанное в заголовке соединение очищали хроматографией (SiO2, элюент: этилацетат/МеОН/конц. NH3, 95:5:0,5), при этом получали твердое вещество грязно-белого цвета (25 мг, 20%). 1H-ЯМР (400 МГц, ДМСО-d6): 1,20-1,30 (m, 3Н), 1,37 (t, 3H), 1,90-2,25 (m, 5H), 2,30-2,40 (m, 1H), 2,60-2,70 (m, 1H), 2,83 (ушир. d, 1H), 2,90-3,10 (m, 1H), 3,40-3,60 (m, 2H), 4,10-4,30 (m, 4H), 4,45-4,65 (m, 1H), 7,12 (dd, 2H), 7,18 (d, 1H), 7,30-7,38 (m, 2H), 7,40 (s, 1H), 7,45 (s, 1H), 7,52 (d, 1H), 7,83 (ушир. s, 1NH), 9,80 (ушир. s, 1H). MC (ES+) m/z: 543,2 (MH+, 100). Пример 53 N-(5-Хлор-2-{(Е)-3-[(S)-4-(4-фторбензил)-2-гидроксиметилпиперазин-1-ил]-3-оксопропенил}-4-метоксифенил)ацетамид а) (Е)-3-(4-Хлор-5-метокси-2-нитрофенил)-1-[(S)-4-(4-фторбензил)-2-гидроксиметилпиперазин-1-ил]пропенон (Е)-3-(4-Хлор-5-метокси-2-нитрофенил)акриловую кислоту (полученную аналогично тому, как описано в примере 49) (2,0 г, 7,76 ммоля), EDCI (1,6 г, 8,54 ммоля), НОВТ (1,2 г, 8,54 ммоля) и 1,7 г (7,76 ммоля) [(S)-4-(4-фторбензил)пиперазин-2-ил]метанола (полученного, как описано в примере 47) растворяли в 60 мл ТГФ и перемешивали в течение 2 ч при комнатной температуре. После упаривания указанное в заголовке соединение очищали хроматографией (SiO2, элюент: этилацетат/МеОН/конц. NH3, 90:10:1), при этом получали твердое вещество грязно-белого цвета (0,86 г, 24%). 1Н-ЯМР (400 МГц, ДМСО-d6, 120°С): 2,05 (td, 1H), 2,15 (dd, 1H), 2,95 (ушир. d, 1H), 3,10 (ушир. t, 1H), 3,48 (s, 2H), 3,65-3,75 (m, 2H), 4,05 (s, 3Н), 4,18 (ушир. d, 1H), 4,27-4,35 (m, 2H), 7,05-7,10 (m, 3Н), 7,32 (ушир. t, 2H), 7,40 (s, 1H), 7,72 (d, 1H), 8,10 (s, 1H). MC (ES+) m/z: 464,0 (MH+, 100%). б) (S)-1-[(Е)-3-(4-Хлор-5-метокси-2-нитрофенил)акрилоил]-4-(4-фторбензил)пиперазин-2-илметиловый эфир уксусной кислоты Соединение, полученное на стадии а) (0,5 г, 1,08 ммоля), растворяли в 10 мл ТГФ, добавляли 1,5 мл NEt3, затем при комнатной температуре добавляли хлорангидрид уксусной кислоты (0,85 г, 10,8 ммоля). Через 20 мин раствор разбавляли 100 мл насыщенного раствора карбоната натрия и экстрагировали этилацетатом. Указанное в заголовке соединение очищали хроматографией (SiO2, элюент: этилацетат/МеОН/конц. NH3, 90:10:1), при этом получали твердое вещество грязно-белого цвета (0,50 г, 91%). 1Н-ЯМР (400 МГц, ДМСО-d6, 120°С): 1,92 (s, 3Н), 2,05-2,15 (m, 2H), 2,20-2,25 (m, 1H), 2,90-2,95 (m, 1H), 3,15 (ушир. t, 1H). 3,50 (dd, 2H), 4,06 (s, 3Н), 4,15-4,25 (m, 2H), 4,45 (ушир. t, 1H), 4,60 (ушир. s, 1H), 7,00-7,10 (m, 3Н), 7,30 (dd, 2H), 7,40 (s, 1H), 7,75 (d, 1H), 8,10 (s, 1H). MC (ES+) m/z: 506,0 (MH+, 100%). в) (S)-1-[(Е)-3-(2-Амино-4-хлор-5-метоксифенил)акрилоил]-4-(4-фторбензил)пиперазин-2-илметиловый эфир уксусной кислоты Соединение, полученное на стадии б) (0,5 г, 0,99 ммоля), растворяли в 12,5 мл ТГФ, 2,5 мл воды и добавляли 1,5 г (7,0 ммоля) безводного дихлорида олова. Полученную смесь перемешивали при 80°С в течение 20 мин, затем смесь разбавляли 100 мл насыщенного раствора карбоната натрия и экстрагировали этилацетатом. Указанное в заголовке соединение очищали хроматографией (SiO2, элюент: этилацетат/МеОН/конц. NH3, 95:5:0,5), при этом получали твердое вещество грязно-белого цвета (0,35 г, 74%). 1H-ЯМР (400 МГц, ДМСО-d6): 1,85-2,05 (m, 6H), 2,90-2,75 (m, 3H), 3,45 (ушир. s, 2H), 3,77 (s, 3H), 4,10-4,30 (m, 2H), 4,45-4,55 (m, 1H), 5,25 (ушир. s, 2NH), 6,75 (s, 1H), 6,95 (ушир. d, 1H), 7,05-7,15 (m, 3H), 7,25-7,35 (m, 2H), 7,60 (ушир. d, 1H). MC (ES+) m/z: 476,2 (MH+, 100%). г) (S)-1-[(Е)-3-(2-Ацетиламино-4-хлор-5-метоксифенил)акрилоил]-4-(4-фторбензил)пиперазин-2-илметиловый эфир уксусной кислоты Соединение, полученное на стадии в) (0,2 г, 0,42 ммоля), растворяли в 20 мл ТГФ, 0,58 мл (4,2 ммоля) Net3 и добавляли 0,3 мл (4,2 ммоля) хлорангидрида уксусной кислоты. Полученную смесь перемешивали в течение 20 мин при комнатной температуре. Затем смесь разбавляли 100 мл насыщенного раствора карбоната натрия и экстрагировали этилацетатом. Указанное в заголовке соединение очищали хроматографией (SiO2, элюент: этилацетат/МеОН/конц. NH3, 98:2:0,2), при этом получали твердое вещество грязно-белого цвета (40 мг, 19%). 1Н-ЯМР (400 МГц, ДМСО-d6): 1,85-1,95 (m, 5H), 2,02 (s, 3H), 2,75-2,95 (m, 2H), 3,35-3,55 (m, 4H), 3,90 (s, 3H), 4,10-4,25 (m, 2H), 4,45-4,55 (m, 1H), 7,05-7,15 (m, 3H), 7,25-7,35 (m, 2H), 7,40 (s, 1H), 7,45-7,60 (m, 2H), 9,65 (s, 1NH). MC (ES+) m/z: 540,2 (MNa+, 100%). д) N-(5-Хлор-2-{(Е’)-3-[(S)-4-(4-фторбензил)-2-гидроксиметилпиперазин-1- Соединение, полученное на стадии г) (110 мг, 0,21 ммоля), растворяли в 10 мл МеОН и добавляли 1 мл 1н. NaOH. Полученный раствор перемешивали при комнатной температуре в течение 4 ч. Затем смесь разбавляли 100 мл воды и экстрагировали этилацетатом. Указанное в заголовке соединение очищали хроматографией (SiO2, элюент: этилацетат/МеОН/конц. NH3, 95:5:0,5), при этом получали твердое вещество грязно-белого цвета (44 мг, 40%). 1Н-ЯМР (400 МГц, ДМСО-d6, 120°С): 1,95-2,15 (m, 6H), 2,95 (ушир. d, 1H), 3,05 (ушир. t, 1H), 3,45 (ушир. s, 2H), 3,65 (ушир. s, 2H), 3,90 (s, 3H), 4,15-4,35 (m, 3H), 6,95-7,05 (m, 3H), 7,25-7,30 (m, 3H), 7,40 (s, 1H), 7,45 (d, 1H), 9,10 (s, 1NH). MC (ES+) m/z: 476,2 (MH+, 100%). Пример 54: N-(5-Хлор-2-{(Е)-3-[(S)-4-(4-фторбензил)-2-гидроксиметилпиперазин-1-ил]-3-оксопропенил}-4-метоксифенил)метансульфонамид Соединение, полученное на стадии в) (пример 53, 200 мг, 0,42 ммоля), растворяли в 30 мл ТГФ, затем при -78°С добавляли 0,07 мл (0,5 ммоля) NEt3, 0,03 мл (0,42 ммоля) метансульфонилхлорида и перемешивали в течение 4 ч при -78°С, затем смесь нагревали до комнатной температуры и упаривали. Затем неочищенный продукт гидролизовали, как описано в примере 53, стадия д). Указанное в заголовке соединение очищали хроматографией (SiO2, элюент: этилацетат/МеОН/конц. NH3, 95:5:0,5), при этом получали твердое вещество грязно-белого цвета (58 мг, 27%). 1H-ЯМР (400 МГц, ДМСО-d6, 120°С): 2,05 (ушир. t, 1H). 2,15 (ушир. d, 1H), 2,90-2,95 (m, 4H), 3,05-3,15 (ушир. t, 1H), 3,45 (ушир. s, 2H), 3,70 (ушир. d, 2H), 3,95 (s, 3H), 4,15-4,35 (m, 3H), 7,05-7,10 (m, 3H), 7,30-7,40 (m, 4H), 7,70 (d, 1H), 8,95 (ушир. s, 1NH). MC (ES+) m/z: 512,2 (MH+, 100%). Пример 55 (5-Хлор-2-{(Е)-3-[(S)-4-(4-фторбензил)-2-гидроксиметилпиперазин-1-ил]-3-оксопропенил}-4-метоксифенил)мочевина Соединение, полученное на стадии в) (пример 53, 160 мг, 0,34 ммоля), растворяли в 1,5 мл уксусной кислоты, 1,5 мл воды и добавляли 44 мг (0,68 ммоля) изоцианата натрия. Полученную смесь перемешивали при комнатной температуре в течение 30 мин, затем смесь разбавляли 10 мл насыщенного раствора карбоната натрия и экстрагировали этилацетатом. Затем неочищенный продукт гидролизовали, как описано в примере 53, стадия д). Указанное в заголовке соединение очищали хроматографией (SiO2, элюент: этилацетат/МеОН/конц. NH3, 95:5:0,5), при этом получали твердое вещество грязно-белого цвета (30 мг, 18%). 1Н-ЯМР (400 МГц, ДМСО-d6): 1,85-2,15 (m, 2H), 2,75-3,05 (m, 3H), 3,45 (ушир. s, 2H), 3,55-3,70 (m, 2H), 3,85 (s, 3H), 4,30-4,80 (m, 2H). 6,00 (ушир. s, 2NH), 7,05-7,15 (m, 3H), 7,30-7,35 (m, 3H), 7,60 (d, 1H), 7,70 (ушир. s, 1H), 8,13 (ушир. s, 1NH). MC (ES+) m/z: 477,0 (MH+, 100%). Пример 56 (5-Хлор-2-{(Е)-3-[(S)-4-(4-фторбензил)-2-гидроксиметилпиперазин-1-ил]-3-пропенил}-4-метоксифенил)амид 5-оксопирролидин-2-карбоновой кислоты Соединение, полученное на стадии в) (пример 53, 220 мг, 0,46 ммоля), EDCI (97 мг, 0,5 ммоля), НОВТ (69 мг, 0,5 ммоля) и 60 мг (0,46 ммоля) пироглютаминовой кислоты растворяли в 20 мл ДМФА. Полученную смесь перемешивали при комнатной температуре в течение ночи и упаривали. Затем неочищенный продукт гидролизовали, как описано в примере 53, стадия д). Указанное в заголовке соединение очищали хроматографией (SiO2, элюент: этилацетат/МеОН/конц. NH3, 90:10:1), при этом получали твердое вещество грязно-белого цвета (56 мг, 22%). 1H-ЯМР (400 МГц, ДМСО-d6): 1,85-2,25 (m, 5H), 2,30-2,40 (m, 1H), 2,77 (ушир. d, 1H), 2,85-3,05 (m, 2H), 3,45 (ушир. s, 2Н), 3,55-3,75 (m, 2H), 3,92 (s, 3Н), 4,22 (dd, 1H), 4,30-4,80 (m, 2H), 7,12 (ушир. t, 2H), 7,20 (ушир. d, 1H), 7,30-7,35 (m, 2H), 7,40 (s, 1H), 7,41-7,50 (m, 1H), 7,53 (d, 1H), 7,80 (ушир. s, 1H), 9,80 (ушир. s, 1NH). МС (ES+) m/z: 545,0 (MH+, 100%). Пример 57 N-(5-Хлор-2-{(Е)-3-[(S)-4-(4-фторбензил)-2-гидроксиметилпиперазин-1-ил]-3-оксопропенил} фенил)ацетамид (Е)-3-(2-Ацетиламино-4-хлорфенил)акриловую кислоту (2,2 г, 9,36 ммоля), EDCI (3,6 г, 18,7 ммоля), НОВТ (2,5 г, 18,7 ммоля) и 2,1 г (9,36 ммоля) [(S)-4-(4-фторбензил)пиперазин-2-ил]метанола растворяли в 200 мл ТГФ и перемешивали в течение 20 ч при комнатной температуре. Затем полученную смесь экстрагировали 3 раза водой и 1 раз насыщенным раствором хлорида натрия. Указанное в заголовке соединение очищали хроматографией (SiO2, элюент: этилацетат/МеОН/конц. NH3, 90:10:1), при этом получали твердое вещество грязно-белого цвета (1,6 г, 39%). 1H-ЯМР (400 МГц, ДМСО-d6, 120°С): 1,95-2,15 (m, 5H), 2,70-2,85 (m, 3Н), 2,95 (ушир. d, 1H), 3,10 (ушир. t, 1H), 3,70-3,80 (m, 2H), 4,30-4,50 (m, 2H), 7,00 (d, 1H), 7,05-7,15 (m, 2H), 7,25 (ушир. d, 1H), 7,35-7,45 (m, 2H), 7,55-7,65 (m, 2H), 7,70 (d, 1H), 9,30 (ушир. s, 1NH). МС (ES+) m/z: 468,1 (MNa+, 100%). Пример 58 N-(2-{(Е)-3-[(R)-2-Аминометил-4-(4-фторбензил)пиперазин-1-ил]-3-оксопропенил}-5-хлорфенил)ацетамид Соединение, указанное в заголовке примера 9 (0,5 г, 1,1 ммоля), растворяли в 5 мл ДХМ, затем при -70°С медленно добавляли к смеси 0,29 мл (2,8 ммоля) оксалилхлорида, 0,39 мл (5,6 ммоля) диметилсульфоксида в 13 мл ДХМ и перемешивали при -70°С в течение 3 ч, смесь нагревали до -50°С, добавляли 1,5 мл (11,0 ммоля) Net3 и 20 мл воды, затем смесь экстрагировали ДХМ. Органический слой упаривали, остаток непосредственно использовали на следующей стадии. Неочищенный альдегид растворяли в 8 мл МеОН, затем добавляли 1,0 г (13,5 ммоля) ацетата аммония и 62,8 мг (0,95 ммоля) цианоборгидрида натрия. Полученную смесь перемешивали при комнатной температуре в течение ночи, затем добавляли 2 мл 1н. HCl и перемешивали в течение 30 мин, подщелачивали добавлением 2н. NaOH, смесь экстрагировали ДХМ. Указанное в заголовке соединение очищали хроматографией (SiO2, элюент: этилацетат/МеОН/конц. NH3, 90:10:1), при этом получали твердое вещество грязно-белого цвета (25 мг, 5%). 1H-ЯМР (400 МГц, ДМСО-d6, 120°С): 1,95-2,15 (m, 5H), 2,85 (m, 1Н), 2,95 (ушир. d, 1Н), 3,08 (ушир. t, 1Н), 3,45 (ушир. s, 2Н), 3,72 (d, 2Н), 4,20-4,35 (m, 2Н), 6,95 (d, 1Н), 7,05-7,15 (m, 2Н), 7,18-7,22 (m, 1Н), 7,30-7,40 (m, 2Н), 7,55-7,60 (m, 2Н), 7,70 (d, 1Н), 9,30 (ушир. s, 1NH). МС (ES+) m/z: 446,0 (MH+, 100%). Пример 59 N-(5-Хлор-2-{(Е)-3-[(S)-4-(4-фторбензил)-2-((S)-1-гидроксиэтил)пиперазин-1-ил]-3-оксопропенил}фенил)ацетамид (Е)-3-(2-Ацетиламино-4-хлорфенил)акриловую кислоту (2,1 г, 8,8 ммоля), EDCI (3,4 г, 17,6 ммоля), НОВТ (2,4 г, 17,6 ммоля) и 2,1 г (8,8 ммоля) (S)-1-[(S)- 4-(4-фторбензил)пиперазин-2-ил]этанола растворяли в 180 мл ТГФ и перемешивали в течение 20 ч при комнатной температуре. Затем полученную смесь экстрагировали 3 раза водой и 1 раз насыщенным раствором хлорида натрия. Указанное в заголовке соединение очищали хроматографией (SiO2, элюент: этилацетат/МеОН/конц. NH3, 90:10:1), при этом получали твердое вещество грязно-белого цвета (2,5 г, 62%). 1Н-ЯМР (400 МГц, ДМСО-d6): 0,95 (ушир. d, 3Н), 1,85-2,10 (m, 5H), 2,65-2,90 (m, 2H), 2,95 (ушир. t, 1H), 3,45 (m, 2H), 3,85 (ушир. d, 1H), 4,05-4,15 (m, 1H), 4,35 (ушир. d, 1H), 4,75 (ушир. d, 10H), 7,05-7,15 (m, 3Н), 7,25-7,35 (m, 3Н), 7,50-7,60 (m, 2H), 7,73 (ушир. d, 1H), 9,80 (ушир. s, 1NH). MC (ES+) m/z: 460,1 (MH+, 100%). Пример 60 N-(2-{(Е)-3-[(S)-2-Ацетил-4-[4-фторбензил)пиперазин-1-ил]-3-оксопропенил}-5-хлорфенил)ацетамид Указанное в заголовке соединение (пример 11, 1,5 г, 3,2 ммоля) растворяли в 15 мл ДХМ, затем при -70°С медленно добавляли к смеси 0,7 мл (8,0 ммоля) оксалилхлорида и 1,2 мл (16,0 ммоля) диметилсульфоксида в 45 мл ДХМ и перемешивали при -70°С в течение 3 ч, смесь нагревали до -50°С, добавляли 4,5 мл (32,0 ммоля) NEt3, 60 мл воды и смесь экстрагировали ДХМ. Указанное в заголовке соединение очищали хроматографией (SiO2, элюент: этилацетат/МеОН/конц. NH3, 95:5:0,5), при этом получали твердое вещество грязно-белого цвета (1,02 г, 69%). 1Н-ЯМР (400 МГц, ДМСО-d6): 1,90-2,30 (m, 8H), 3,25 (ушир. d, 1H), 3,20-3,60 (m, 4H), 4,20 (bdd, 1H), 5,05 (ушир. d, 1H), 6,95-7,35 (m, 6H), 7,55 (dd, 1H), 7,60 (dd, 1H), 7,90 (dd, 1H), 9,85 (m, 1NH). MC (ES+) m/z: 480,2 (MNa+, 100%). Пример 61 N-{5-Хлор-2-[(Е)-3-((S)-4-(4-фторбензил)-2-{1-[гидроксиимино]этил}пиперазин-1-ил)-3-оксопропенил} ацетамид N-(2-{(Е)-3-[(S)-2-Ацетил-4-(4-фторбензил)пиперазин-1-ил]-3-оксопропенил}-5-хлорфенил)ацетамид (250 мг, 0,55 ммоля) растворяли в 8 мл МеОН и добавляли 83,5 мг (1,2 ммоля) гидрохлорида гидроксиламина. Полученную смесь перемешивали при нагревании с обратным холодильником в течение 16 ч, затем упаривали. Указанное в заголовке соединение очищали хроматографией (SiO2, элюент: этилацетат/МеОН/конц. NH3, 95:5:0,5), при этом получали твердое вещество грязно-белого цвета (30 мг, 12%). 1Н-ЯМР (400 МГц, ДМСО-d6): 1,55-1,65 (2 ушир. s, 3Н), 1,95-2,20 (m, 5H), 2,80 (ушир. d, 1Н), 2,95-3,15 (m, 2H), 3,35-3,60 (m, 2H), 4,15 (bdd, 1H), 5,00 (ушир. d, 1H), 6,95-7.35 (m 6H), 7,50 (ушир. s, 1H), 7,65 (ушир. d, 1H), 7,85 (bdd, 1H), 9,85 (m, 1NH), 10,50-10,65 (2 ушир. s, 1OН). МС (ES+) m/z: 473,0 (MH+, 100%). Пример 62 N-(2-{(E)-3-[(2S,5S)-2-Бензилоксиметил-4-(4-фторбензил)-5-метилпиперазин-1-ил]-3-оксопропенил}-5-хлорфенил)ацетамид (Е)-3-(2-Ацетиламино-4-хлорфенил)акриловую кислоту (168 мг, 0,7 ммоля), EDCI (269 мг, 1,4 ммоля), НОВТ (190 мг, 1,4 ммоля) и 230 мг (0,7 ммоля) (2S, 5S)-5-бензилоксиметил-1-(4-фторбензил)-2-метилпиперазина (полученного, как описано в примере 47) растворяли в 10 мл ТГФ и перемешивали в течение 28 ч при комнатной температуре. Затем полученную смесь экстрагировали 3 раза водой и 1 раз насыщенным раствором хлорида натрия. Указанное в заголовке соединение очищали хроматографией (SiO2, элюент: этилацетат/МеОН/конц. NH3, 90:10:1), при этом получали твердое вещество грязно-белого цвета (180 мг, 47%). 1Н-ЯМР (400 МГц, ДМСО-d6, 120°С): 0,95 (d, 3Н), 2,10 (s, 3H), 2,55 (dd, 1H), 2,75 (dd, 1H), 2,95-3,05 (m, 1H), 3,25-3,35 (m, 1H), 3,45 (d, 1H). 3,60 (d, 1H), 3,70-3,80 (m, 2H), 4,00-4,05 (m, 1H), 4,45 (s, 2H), 4,45-4,55 (m, 1H), 6,95-7,05 (m, 3H), 7,20-7,30 (m, 5H), 7,30-7,35 (m, 3H), 7,60-7,70 (m, 3H), 9,85 (ушир. s, 1H). MC (ES+) m/z: 550,1 (MH+, 100%). Пример 63 (5-Хлор-2-{(Е)-3-[(R)-4-(4-фторбензил)-2-метилпиперазин-1-ил]-3-оксопропенил}-4-метоксифенил)амид(S)-1-ацетилпирролидин-2-карбоновой кислоты а) (Е)-3-(4-Хлор-5-метокси-2-нитрофенил)-1-[(R)-4-(4-фторбензил)-2-метилпиперазин-1-ил]пропенон Смесь 1,70 г (8,2 ммоля) (R)-1-(4-фторбензил)-3-метилпиперазина и 2,00 г (7,8 ммоля) (Е)-3-(4-хлор-5-метокси-2-нитрофенил)акриловой кислоты обрабатывали, как описано в примере 8, при этом получали 3,00 г (6,7 ммоля, 86%) указанного в заголовке соединения. 1H-ЯМР (400 МГц, ДМСО-d6): 1,25 (ушир. s, 3Н), 1,87-2,24 (m, 2H), 2,67 (d, 1H), 2,84 (d, 1H), 2,90-3,40 (m, 1H), 3,44 и 3,53 (AB-Sys., 2H), 4,07 (s, 3H), 4,08-4,70 (m, 2H), 7,15 (t, 2H), 7,24 (d, 1H), 7,35 (dd, 2H), 7,46 (s, 1H), 7,78 (d, 1H), 8,21 (s, 1H). MC (ESI+) m/z: 448 [M+H]+. б) (Е)-3-(2-Амино-4-хлор-5-метоксифенил)-1-[(R)-4-(4-фторбензил)-2-метилпиперазин-1-ил]пропенон Восстановление аминосоединения (2,50 г, 5,60 ммоля) проводили аналогично тому, как описано в примере 30, используя SnCl2, при этом получали 2,30 г (98%) соответствующего анилина. 1H-ЯМР (400 МГц, ДМСО-d6): 1,24 (ушир. s, 3Н), 1,86-2,18 (m, 2H), 2,66 (d, 1H), 2,82 (d, 1H), 3,42 и 3,51 (AB-Sys., 2H), 3,77 (s, 3Н), 4,03-4,65 (m, 2H), 5,22 (s, 2H), 6,79 (s, 1H), 7,98 (d, 1H), 7,15 (t, 2H), 7,19 (s, 1H), 7,34 (dd, 2H), 7,59 (d, 1H). MC (ESI+) m/z: 418 [M+H]+. в) (5-Хлор-2-{(Е)-3-[(R)-4-(4-фторбензил)-2-метилпиперазин-1-ил]-3-оксопропенил)-4-метоксифенил)амид (S)-1-ацетилпирролидин-2-карбоновой кислоты Смесь (Е)-3-(2-Амино-4-хлор-5-метоксифенил)-1-[(R)-4-(4-фторбензил)-2-метилпиперазин-1-ил]пропенона (0,15 г, 0,36 ммоля), 0,062 г (0,40 ммоля) N-ацетил-L-пролина, 0,083 г (0,43 ммоля) EDCI и 0,058 г (0,43 ммоля) HOBt перемешивали в 5 мл ДМФА при комнатной температуре в течение 16 ч. После стандартной обработки продукт очищали методом обращенно-фазовой ЖХВР, при этом получали 0,090 г (0,16 ммоля, 45%) указанного в заголовке соединения. 1H-ЯМР (400 МГц, ДМСО-d6): 1,25 (ушир. s, 3Н), 1,78-2,20 (m, 6H), 2,00 (s, 3Н), 2,66 (ушир. d, 1H), 2,83 (d, 1H), 3,30-3,65 (m, 5H), 3,92 (s, 3Н), 4,08-4,27 (m, 1H), 4,40 (dd, 1H), 4,50-4,66 (m, 1H), 7,15 (t, 2H), 7,18 (d, 1H), 7,32 (s, 1H), 7,35 (dd, 2H), 7,46 (s, 1H), 7,51 (d, 1H), 9,62 (s, 1H). MC (ESI+) m/z: 557 [M+H]+. Следующие соединения получали аналогично тому, как описано выше: Пример 64 (5-Хлор-2-{(Е)-3-[(R)-4-(4-фторбензил)-2-метилпиперазин-1-ил]-3-оксопропенил}-4-метоксифенил)амид (S)-1-изопропилпирролидин-2-карбоновой кислоты 1Н-ЯМР (400 МГц, ДМСО-d6): 1,04 (d, 3Н), 1,06 (d, 3Н), 1,24 (ушир. s, 3Н), 1,42-1,51 (m, 3Н), 1,68-2,16 (m, 4H), 2,60-2,71 (m, 1H), 2,74-2,88 (m, 2H), 3,08-3,13 (m, 1H), 3,20-3,30 (m, 1H), 3,37-3,60 (m, 3Н), 3,92 (s, 3Н), 4,08-4,25 (m, 1H), 4,50-4,68 (m, 1H), 7,15 (t, 2H), 7,20 (d, 1H), 7,35 (dd, 2H), 7,45 (s, 1H), 7,54 (d, 1H), 7,68 (s, 1H), 9,83 (s, 1H). MC (ESI+) m/z: 556 [M+H]+. Пример 65 (5-Хлор-2-{(Е)-3-[(R)-4-(4-фторбензил)-2-метилпиперазин-1-ил]-3-оксопропенил}-4-метоксифенил)амид (R)-1-изопропилпирролидин-2-карбоновой кислоты 1H-ЯМР (400 МГц, ДМСО-d6): 1,04 (d, 3Н), 1,06 (d, 3Н), 1,24 (ушир. s, 3Н), 1,42-1,51 (m, 3Н), 1,68-2,16 (m, 4H), 2,60-2,71 (m, 1H), 2,74-2,88 (m, 2H), 3,08-3,13 (m, 1H), 3,27 (t, 1H), 3,37-3,60 (m, 3Н), 3,91 (s, 3Н), 4,08-4,25 (m, 1H), 4,50-4,68 (m, 1H), 7,14 (t, 2H), 7,20 (d, 1H), 7,35 (dd, 2H), 7,44 (s, 1H), 7,54 (d, 1H), 7,66 (s, 1H), 9,83 (s, 1H). MC (ESI+) m/z: 556 [M+H]+. Пример 66 (5-Хлор-2-{(Е)-3-[(R)-4-(4-фторбензил)-2-метилпиперазин-1-ил]-3-оксопропенил}-4-метоксифенил)амид(2S,4R)-1-ацетил-4-гидроксипирролидин-2-карбоновой кислоты 1H-ЯМР (400 МГц, ДМСО-d6, 120°С): 1,28 (d, 3Н), 1,93, (s, 3Н), 1,98-2,21 (m, 3Н), 2,68 (dt, 1H), 2,78-2,87 (m, 2H), 3,19 (td, 1H), 3,38-3,75 (m, 4H), 3,92 (s, 3Н), 4,12 (ушир. d, 1H), 4,34-4,42 (m, 1H), 4,50-4,70 (m, 3Н), 7,01 (d, 1H), 7,08 (t, 2H), 7,34 (dd, 2H), 7,38 (s, 1H), 7,40 (s, 1H), 7,46 (d, 1H), 9,27 (ушир. s, 1H). MC (ESI+) m/z: 573 [M+H]+. Пример 67 (Е)-3-(4-Хлор-2-морфолин-4-илметилфенил)-1-[4-(4-фторбензил)-2-метилпиперазин-1-ил]пропенон а) 1-[4-(4-Фторбензил)-2-метилпиперазин-1-ил]пропенон 1-(4-Фторбензил)-3-метилпиперазин (3,00 г, 14,4 ммоля) и 2,0 мл (14,4 ммоля) триэтиламина растворяли в 50 мл дихлорметана. Раствор охлаждали до 0°С, добавляли по каплям 1,19 мл (14,4 ммоля) акрилоилхлорида и перемешивали в течение еще 4 ч. Затем растворитель выпаривали, остаток распределяли между раствором бикарбоната натрия и этилацетатом. Продукт экстрагировали этилацетатом, органическую фазу промывали водой и солевым раствором, при этом получали 3,60 г (13,6 ммоля, 95%) акрилоиламида. 1Н-ЯМР (400 МГц, ДМСО-d6): 1,20 (ушир. s, 3Н), 1,84-2,14 (m, 2H), 2,62 (d, 1Н), 2,79 (d, 1H), 3,41 и 3,50 (AB-Sys., 2H), 3,72-4,68 (m, 3Н), 5,66 (dd, 1H), 6,09 (dd, 1H), 6,76 (dd, 1H), 7,15 (t, 2H), 7,35 (dd, 2H). MC (ESI+) m/z: 263 [M+H]+. 1-[(R)-4-(4-Фторбензил)-2-метилпиперазин-1-ил]пропенон (выход 71%) получали аналогично тому, как описано выше, из оптически чистого 4-фторбензилпиперазина. б) 4-(2-Бром-5-хлорбензил)морфолин Смесь 0,50 г (1,76 ммоля) 1-бром-2-бромметил-4-хлорбензола, 0,17 г (1,94 ммоля) морфолина и 0,29 мл (210 ммолей) триэтиламина в 20 мл ДМФА перемешивали в течение ночи при комнатной температуре, затем добавляли 200 мл этилацетата, раствор экстрагировали бикарбонатом натрия, водой и солевым раствором, при этом получали 0,47 г (1,62 ммоля, 92%) указанного в заголовке соединения в виде вязкого масла. 1Н-ЯМР (400 МГц, ДМСО-d6): 2,43 (t, 4Н), 3,54 (s, 2H), 3.60 (t, 4H), 7,29 (dd, 1H), 7,52 (d, 1H), 7,64 (d, 1H). MC (ESI+) m/z: 290 [M+H]+. в) (Е)-3-(4-Хлор-2-морфолин-4-илметилфенил)-1-[4-(4-фторбензил)-2-метилпиперазин-1-ил]пропенон 4-(2-Бром-5-хлорбензил)морфолина (0,20 г, 0,69 ммоля), 0,20 г (0,76 ммоля) 1-[4-(4-фторбензил)-2-метилпиперазин-1-ил]пропенона и 0,29 мл (2,07 ммоля) триэтиламина растворяли в 7 мл ДМФА. Затем добавляли 21 мг три(ортотолил)фосфина и 16 мг ацетата палладия (II), реакционную смесь нагревали при 100°С в течение 16 ч. Затем добавляли 100 мл этилацетата, органическую фазу промывали раствором бикарбоната натрия, водой и солевым раствором, упаривали. Затем неочищенный продукт очищали методом препаративной ЖХВР (элюент: ацетонитрил/вода), при этом получали 0,13 г (0,27 ммоля, 39%) указанного в заголовке соединения. 1Н-ЯМР (400 МГц, ДМСО-d6): 1,26 (d, 3Н), 1,88-2,00 (m, 1H), 2,04-2,13 (m, 1H), 2,34-2,40 (m, 4H), 2,66 (d, 1H), 2,82 (d, 1H), 3,42 и 3,52 (AB-Sys., 2H), 3,54 (ушир. s, 4H), 4,08-4,29 (m, 1H), 4,45-4,64 (m, 1H), 7,10 (d, 1H), 7,16 (t, 2H), 7,34-7,40 (m, 3Н), 7,42 (d, 1H), 7,82 (d, 1H), 7,83 (d, 1H). MC (ESI+) m/z: 472 [M+H]+. Следующие соединения получали аналогично тому, как описано выше: Пример 68 1-(5-Хлор-2-{(Е)-3-[4-(4-фторбензил)-2-метилпиперазин-1-ил]-3-оксопропенил}бензил)пирролидин-2-он а) 1-(2-Бром-5-хлорбензил)пирролидин-2-он
1Н-ЯМР (400 МГц, ДМСО-d6): 1,97 (квинтет, 2H), 2,32 (t, 2H), 3,30 (t, 2H), 4,41 (s, 2H), 7,25 (d, 1H), 7,33 (dd, 1H), 7,67 (d, 1H). MC (ESI+): 310 [M+Na]+. б) 1-(5-Хлор-2-{(Е)-3-[4-(4-фторбензил)-2-метилпиперазин-1-ил]-3-оксопропенил}бензил)пирролидин-2-он 1Н-ЯМР (400 МГц, ДМСО-d6): 1,24 (d, 3Н), 1,87-2,13 (m, 4H), 2,28 (t, 2H), 2,64 (d, 1H), 2,83 (d, 1H), 2,90-3,05 (m, 1H), 3,19 (t, 2H), 3,42 и 3,53 (AB-Sys., 2H), 4,00-4,67 (m, 2H), 4,48 (s, 2H), 7,09 (d, 1H), 7,16 (t, 2H), 7,26 (s, 1H), 7,32-7,43 (m, 3Н), 7,64 (d, 1H), 7,33 (d, 1H). MC (ESI+): 471 [M+H]+. Пример 69 (Е)-3-(4-Хлор-2-[1,2,4]триазол-1-илметилфенил)-1-[4-(4-фторбензил)-2-метилпиперазин-1-ил]пропенон а) 1-(2-Бром-5-хлорбензил)-1Н-[1,2,4]триазол
1H-ЯМР (400 МГц, ДМСО-d6): 5,50 (s, 2Н), 7,21 (d, 1Н), 7,39 (dd, 1H), 7,70 (d, 1H), 8,04 (s, 1H), 8,68 (s, 1H). MC (ESI+): 272 [M+H]+. б) (Е)-3-(4-Хлор-2-[1,2,4]триазол-1-илметилфенил)-1-[4-(4-фторбензил)-2-метилпиперазин-1-ил]пропенон 1H-ЯМР (400 МГц, ДМСО-d6): 1,24 (d, 3Н), 1,87-2,16 (m, 2Н), 2,66 (d, 1H), 2,82 (d, 1H), 2,88-3,05 (m, 1H), 3,42 и 3,53 (AB-Sys., 2Н), 4,02-4,68 (m, 2Н), 5,59 (s, 2Н), 7,12 (d, 1H), 7,17 (t, 2Н), 7,28 (d, 1H), 7,36 (dd, 2Н), 7,45 (dd, 1H), 7,70 (d, 1H), 7,87 (d, 1H), 7,98 (s, 1H), 8,59 (s, 1H). MC (ESI+): 454 [M+H]+. Пример 70 (Е)-3-[4-Хлор-2-(4-метилпиперазин-1-илметил)фенил]-1-[4-(4-фторбензил)-2-метилпиперазин-1-ил]пропенон а) 1-(2-Бром-5-хлорбензил)-4-метилпиперазин
1Н-ЯМР (400 МГц, ДМСО-d6): 2,17 (s, 3Н), 2,22-2,50 (m, 8H), 3,50 (s, 2H), 7,28 (d, 1H), 7,48 (s, 1H), 7,62 (d, 1H). MC (ESI+): 303 [M+H]+. б) (Е)-3-[4-Хлор-2-(4-метилпиперазин-1-илметил)фенил]-1-[4-(4-фторбензил)-2-метилпиперазин-1-ил]пропенон 1H-ЯМР (400 МГц, ДМСО-d6): 1,25 (d, 3H), 1,88-2,00 (m, 1H), 2,04-2,17 (m, 1H), 2,20-2,46 (m, 9H), 2,66 (d, 1H), 2,82 (d, 1H), 3,43 и 3,52 (AB-Sys; 2H), 3,52 (s, 2H), 4,10-4,28 (m, 1H), 4,45-4,65 (m, 1H), 7,08 (d, 1H), 7,16 (t, 2H), 7,33-7,40 (m, 4H), 7,29 (d, 1H), 7,30 (d, 1H). MC (ESI+): 485 [М+Н]+. Пример 71 (Е)-3-[2-(4-Ацетилпиперазин-1-илметил)-4-хлорфенил]-1-[4-(4-фторбензил)-2-метилпиперазин-1-ил]пропенон а) 1-[4-(2-Бром-5-хлорбензил)пиперазин-1-ил]этанон
1H-ЯМР (400 МГц, ДМСО-d6): 1,98 (s, 3H), 2,35-2,41 (m, 2H), 2,43-2,48 (m, 2H), 3,40-3,49 (m, 4H), 3,55 (s, 2H), 7,30 (d, 1H), 7,53 (s, 1H), 7,64 (d, 1H). MC (ESI+): 331 [M+H]+. б) (Е)-3-[2-(4-Ацетилпиперазин-1-илметил)-4-хлорфенил]-1-[4-(4-фторбензил)-2-метилпиперазин-1-ил]пропенон 1Н-ЯМР (400 МГц, ДМСО-d6): 1,24 (d, 3H), 1,90-2,00 (m, 1H), 1,98 (s, 3H), 2,04-2,14 (m, 1H), 2,32 (t, 2H), 2,39 (t, 2H), 2,66 (d, 1H), 2,82 (d, 1H), 3,40 (ушир. s, 4H), 3,43 и 3,52 (AB-Sys., 2H), 3,57 (s, 2H), 4,09-4,28 (m, 1H), 4,43-4,67 (m, 1H), 7,10 (d, 1H), 7,16 (t, 2H), 7,33-7,41 (m, 3H), 7,42 (s, 1H), 7,82 (d, 1H), 7,83 (d, 1H). MC (ESI+): 513 [M+H]+. Пример 72 (Е)-3-[4-Хлор-2-(4-изопропилпиперазин-1-илметил)фенил]-1-[(R)-4-(4-фторбензил)-2-метилпиперазин-1-ил]пропенон а) 1-(2-Бром-5-хлорбензил)-4-изопропилпиперазин
1Н-ЯМР (400 МГц, ДМСО-d6): 0,97 (d, 6H), 2,38-2,50 (m, 8H), 2,62 (септет, 1Н), 3,49 (s, 2H), 7,27 (dd, 1H), 7,47 (d, 1H), 7,60 (d, 1H). MC (ESI+): 331 [M+H]+. б) (Е)-3-[4-Хлор-2-(4-изопропилпиперазин-1-илметил)фенил]-1-[(R)-4-(4-фторбензил)-2-метилпиперазин-1-ил]пропенон 1Н-ЯМР (400 МГц, ДМСО-d6): 0,94 (d, 6H), 1,24 (ушир. s, 3Н), 1,88-2,15 (m, 2H), 2,28-2,46 (m, 8H), 2,59 (септет, 1H), 2,66 (d, 1H), 2,78-2,86 (m, 1H), 3,35-3,55 (m, 3Н), 3,49 (s, 2H), 4,06-. MC (ESI+): 513 [M+H]+. Пример 73 1-(5-Хлор-2-{(Е)-3-[(R)-4-(4-фторбензил)-2-метилпиперазин-1-ил]-3-оксопропенил) бензил-3-окса-1-азаспиро[4,4]нонан-2-он а) 1-(2-Бром-5-хлорбензил)-3-окса-1-азаспиро[4,4]нонан-2-он
1Н-ЯМР (400 МГц, ДМСО-d6): 1,48-1,76 (m, 8H), 3,68 (s, 2H), 5,18 (s, 2H), 7,37 (dd, 1H), 7,68 (d, 1H), 7,72 (d, 1H), 7,81 (s, 1H). MC (EI) m/z: 263 [N-Br]+. б) 1-(5-Хлор-2-{(Е)-3-[(R)-4-(4-фторбензил)-2-метилпиперазин-1-ил]-3-оксопропенил} бензил]-3-окса-1-азаспиро[4,4]нонан-2-он 1H-ЯМР (400 МГц, ДМСО-d6): 1,18-1,33 (m, 5Н), 1,43-1,79 (m, 6H), 1,84-2,18 (m, 2H), 2,66 (d, 1H), 2,78-3,05 (m, 2H), 3,42 и 3,51 (AB-Sys., 2H), 4,02-4,68 (m, 2H), 4,21 (s, 2H), 4,43 (s, 2H), 7,10 (d, 1H), 7,14 (t, 2H), 7,27 (d, 1H), 7,23-7,39 (m, 3Н), 7,70 (d, 1H), 7,78 (d, 1H). MC (ESI+) m/z: 526 [М+Н]+. Пример 74 3-(5-Хлор-2-{(Е)-3-[(R)-4-(4-фторбензил)-2-метилпиперазин-1-ил]-3-оксопропенил}бензил)-5,5-диметилимидазолидин-2,4-дион а) 3-(2-Бром-5-хлорбензил)-5,5-диметилимидазолидин-2,4-дион
1H-ЯМР (400 МГц, ДМСО-d6): 1,88 (s, 3Н), 2,01 (s, 3Н), 4,73 (s, 2H), 7,28 (dd, 1H), 7,44 (d, 1H), 7,62 (d, 1H), 10,0 (ушир. s, 1H). MC (ESI+) m/z: 353 [M+Na]+. б) 3-(5-Хлор-2-{(Е)-3-[(R)-4-(4-фторбензил)-2-метилпиперазин-1-ил]-3-оксопропенил}бензил)-5,5-диметилимидазолидин-2,4-дион 1H-ЯМР (400 МГц, ДМСО-d6): 1,24 (ушир. s, 3Н), 1,30 (s, 6H), 1,87-2,16 (m, 2H), 2,64 (d, 1H), 2,81 (d, 1H), 2,88-3,06 (m, 1H), 3,35-3,56 (m, 2H), 3,95-4,55 (m, 2H), 4,62 (s, 2H), 7,06-7,18 (m, 4H), 7,35 (d, 1H), 7,37 (dd, 2H), 7,70-7,82 (m, 2H), 8,41 (s, 1H). MC (ESI+) m/z: 513 [M+H]+, 535 [M+Na]+. Пример 75 3-(5-Хлор-2-{(Е)-3-[(R)-4-(4-фторбензил)-2-метилпиперазин-1-ил]-3-оксопропенил}бензил)-1-метилимидазолидин-2,4-дион а) 3-(2-Бром-5-хлорбензил)-1-метилимидазолидин-2,4-дион
1Н-ЯМР (400 МГц, ДМСО-d6): 2,90 (s, 3Н), 4,08 (s, 2H), 4,54 (s, 2H), 7,26 (d, 1H), 7,33 (dd, 1H), 7,68 (d, 1H). MC (ESI+) m/z: 337 [2M+Ca]2+. б) 3-(5-Хлор-2-{(Е)-3-[(R)-4-(4-фторбензил)-2-метилпиперазин-1-ил]-3-оксопропенил}бензил)-1-метилимидазолидин-2,4-дион 1H-ЯМР (400 МГц, ДМСО-d6): 1,24 (ушир. s, 3Н), 1,87-2,18 (m, 2H), 2,65 (d, 1Н), 2,82 (d, 1H), 2,88 (s, 3Н), 2,90-3,04 (m, 1H), 3,42 и 3,52 (AB-Sys, 2H), 4,04 (s, 2H), 4,02-4,58 (m, 2H), 4,63 (s, 2H), 7,09 (d, 1H), 7,14 (t, 2H), 7,23 (s, 1H), 7,32-7,41 (m, 3Н), 7,78 (d, 1H), 7,80 (d, 1H). MC (ESI+) m/z: 499 [M+H]+, 521 [M+Na]+. Пример 76 (Е)-3-[4-Хлор-2-(5-метилтетразол-1-илметил)фенил]-1-[(R)-4-(4-фторбензил)-2-метилпиперазин-1-ил]пропенон а) 1-(2-Бром-5-хлорбензил)-5-метил-1Н-тетразол
1Н-ЯМР (400 МГц, ДМСО-d6): 2,59 (s, 3Н), 5,61 (s, 2H), 7,39 (d, 1H), 7,43 (dd, 1H), 7,72 (d, 1H). MC (ESI+) m/z: 287 [M+H]+. б) (Е)-3-[4-Хлор-2-(5-метилтетразол-1-илметил)фенил]-1-[(R)-4-(4-фторбензил)-2-метилпиперазин-1-ил]пропенон 1Н-ЯМР (400 МГц, ДМСО-d6): 1,22 (ушир. s, 3Н), 1,84-2,18 (m, 2H), 2,58 (s, 3Н), 2,64 (d, 1H), 2,81 (d, 1H), 2,86-3,05 (m, 1H), 3,37-3,56 (m, 2H), 3,96-4,18 (m, 2H), 5,74 (s, 2H), 7,10 (d, 1H), 7,15 (t, 2H), 7,29 (d, 1H), 7,35 (dd, 2H), 7,49 (dd, 1H), 7,67 (d, 1H), 7,88 (d, 1H). MC (ESI+) m/z: 469 [M+H]+. Пример 77 5-Хлор-2-{(Е)-3-[(R)-4-(4-фторбензил)-2-метилпиперазин-1-ил]-3-оксопропенил}-N-метокси-N-метилбензамид а) 2-Бром-5-хлор-N-метокси-N-метилбензамид
1H-ЯМР (400 МГц, ДМСО-d6): 3,28 (s, 3Н), 3,46 (s, 3H), 7,42 (dd, 1H), 7,59 (d, 1H), 7,68 (d, 1H). MC (EI) m/z: 277 [M]+. б) 5-Хлор-2-{(Е)-3-[(R)-4-(4-фторбензил)-2-метилпиперазин-1-ил]-3-оксопропенил}-N-метокси-N-метилбензамид 1H-ЯМР (400 МГц, ДМСО-d6): 1,24 (ушир. s, 3Н), 1,87-2,18 (m, 2H), 2,16 (d, 1H), 2,82 (d, 1H), 2,90-3,15 (m, 1H), 3,31 (s, 3Н), 3,33 (s, 3Н), 3,36-3,58 (m, 2H), 4,02-4,30 (m, 1H), 4,35-4,70 (m, 1H), 7,15 (t, 2H), 7,23 (d, 1H), 7,30-7,38 (m, 3Н), 7,50 (s, 1H), 7,53 (d, 1H), 8,01 (d, 1H). MC (ESI+) m/z: 460 [M+H]+, 482 [M+Na]+. Пример 78 Метиловый эфир 5-хлор-2-{(Е)-3-[4-(4-фторбензил)-2-метилпиперазин-1-ил]-3-оксопропенил}бензойной кислоты 1Н-ЯМР (400 МГц, ДМСО-d6): 1,25 (ушир. s, 3Н), 1,86-2,19 (m, 2H), 2,66 (d, 1H), 2,83 (d, 1H), 2,87-3,08 (m, 1H), 3,43 и 3,52 (AB-Sys., 2H), 3,88 (s, 3Н), 4,04-4,72 (m, 2H), 7,12-7,20 (m, 3Н), 7,38 (t, 2H), 7,70 (d, 1H), 7,84 (s, 1H), 7,95-8,04 (m, 2H). MC (ESI+): 431 [M+H]+. Пример 79 Метиловый эфир (5-хлор-2-{(Е)-3-[4-(4-фторбензил)-2-метилпиперазин-1-ил]-3-оксопропенил}фенил)уксусной кислоты 1Н-ЯМР (400 МГц, ДМСО-d6): 1,24 (ушир. s, 3Н), 1,88-2,17 (m, 2H), 2,65 (d, 1Н), 2,82 (d, 1H), 2,87-3,13 (m, 1H), 3,43 и 3,52 (AB-Sys., 2H), 3,61 (s, 3Н), 3,88 (s, 2H), 4,05-4,68 (m, 2H), 7,12 (d, 1H), 7,16 (t, 2H), 7,33-7,40 (m, 3Н), 7,42 (d, 1H), 7,54 (d, 1H), 7,86 (d, 1H). MC (ESI+): 467 [M+Na]+. Пример 80 5-Хлор-2-{(Е)-3-[4-(4-фторбензил)-2-метилпиперазин-1-ил]-3-оксопропенил}бензойная кислота Метиловый эфир 5-хлор-2-{(Е)-3-[4-(4-фторбензил)-2-метилпиперазин-1-ил]-3-оксопропенил}бензойной кислоты (1,56 г, 3,6 ммоля, пример 78) суспендировали в 20 мл смеси метанол/вода (1:1), затем добавляли 0,5 мл 10н. NaOH и смесь перемешивали в течение ночи. Смесь подкисляли добавлением 6,5 мл 1н. HCl, при этом получали продукт в виде осадка. Осадок отделяли фильтрованием и сушили, при этом получали 1,32 г (3,2 ммоля, 87%) требуемой кислоты. 1H-ЯМР (400 МГц, ДМСО-d6): 124 (ушир. s, 3Н), 1,88-2,17 (m, 2H), 2,65 (d, 1H), 2,82 (d, 1H), 2,86-3,06 (m, 1H), 3,43 и 3,52 (AB-Sys., 2H), 4,02-4,70 (m, 2H), 7,05 (d, 1H), 7,17 (t, 2H), 7,38 (dd, 2H), 7,42-7,53 (m, 1H), 7,64 (ушир. s, 1H), 7,84 (d, 1H), 8,12 (d, 1H), COOH не наблюдается. MC (ESI+): 417 [M+H]+. Пример 81 5-Хлор-2-{(Е)-3-[(R)-4-(4-фторбензил)-2-метилпиперазин-1-ил]-3-оксопропенил}бензойная кислота 5-Хлор-2-{(Е)-3-[(R)-4-(4-фторбензил)-2-метилпиперазин-1-ил]-3-оксопропенил}бензойную кислоту получали из (R)-1-(4-фторбензил)-3-метилпиперазина аналогично тому, как описано выше. Данные спектроскопического анализа соответствовали рацемической смеси. Пример 82 (Е)-3-[4-Хлор-2-(4-метилпиперазин-1-карбонил)фенил]-1-[4-(4-фторбензил)-2-метилпиперазин-1-ил]пропенон Бензойную кислоту (0,15 г, 0,36 ммоля, пример 80), 43 мг N-метилпиперазина (0,43 ммоля), 83 мг EDCI (0,43 ммоля) и 58 мг HOBt (0,43 ммоля) растворяли в 5 мл ДМФА. Реакционную смесь перемешивали в течение ночи, затем распределяли между этилацетатом и раствором бикарбоната натрия. Затем органическую фазу промывали водой и солевым раствором, растворитель удаляли, при этом получали неочищенный продукт, который очищали перекристаллизацией из ацетонитрила, при этом получали 75 мг (0,15 ммоля, 42%) требуемого амида. 1Н-ЯМР (400 МГц, ДМСО-d6): 1,24 (ушир. s, 3Н), 1,87-2,14 (m, 4H), 2,21-2,35 (m, 2H), 2,65 (d, 1H), 2,82 (d, 1H), 2,91-3,18 (m, 3Н), 3,37-3,56 (m, 3Н), 3,77-3,88 (m, 1H), 4,00-4,68 (m, 2H), 7,17 (t, 2H), 7,24 (d, 1H), 7,35 (d, 1H), 7,36 (dd, 2H), 7,40 (d, 1H), 7,53 (dd, 1H), 8,02 (d, 1H). MC (ESI+): 499 [М+Н]+. Следующие продукты получали аналогично тому, как описано выше: Пример 83 5-Хлор-2-{(Е)-3-[4-(4-фторбензил)-2-метилпиперазин-1-ил]-3-оксопропенил}-N-изопропилбензамид 1Н-ЯМР (400 МГц, ДМСО-d6): 11,5 (d, 6H), 1,24 (ушир. s, 3Н), 1,87-2,15 (m, 2H), 2,65 (d, 1H), 2,82 (d, 1H), 2,88-3,08 (m, 1H), 3,42 и 3,52 (AB-Sys., 2H), 4,04 (септет, 1H), 4,08-4,68 (m, 2H), 7,17 (t, 2H), 7,19 (d, 1H), 7,37 (dd, 2H), 7,40 (d, 1H), 7,53 (dd, 1H), 7,62 (d, 1H), 7,97 (d, 1H), 8,40 (d, 1H). MC (ESI+): 458 [M+H]+. Пример 84 5-Хлор-2-{(Е)-3-[4-(4-фторбензил)-2-метилпиперазин-1-ил)-3-оксопропенил} -N-(1-метилпиперидин-4-ил)бензамид 1H-ЯМР (400 МГц, ДМСО-d6): 1,23 (ушир. s, 3Н), 1,45-1,57 (m, 2H), 1,74-1,83 (m, 2H), 1,87-2,15 (m, 5H), 2,17 (s, 3Н), 2,60-2,86 (m, 4H), 3,42 и 3,57 (АВ-Sys., 2H), 3,63-3,75 (m, 1H), 4,00-4,68 (m, 2H), 7,17 (t, 2H), 7,19 (d, 1H), 7,36 (dd, 2H), 7,41 (d, 1H), 7,54 (dd, 1H), 7,61 (d, 1H), 7,96 (d, 1H), 8,46 (d, 1H). MC (ESI+): 513 [M+H]+. Пример 85 N-(1-Бензилпиперидин-4-ил)-5-хлор-2-{(Е)-3-[4-(4-фторбензил)-2-метилпиперазин-1-ил]-3-оксопропенил}бензамид 1Н-ЯМР (400 МГц, ДМСО-d6): 1,23 (ушир. s, 3Н), 1,44-1,57 (m, 2H), 1,76-1,84 (m, 2H), 1,87-2,15 (m, 4H), 2,64 (d, 1H), 2,73-2,85 (m, 3Н), 3,42 и 3,51 (АВ-Sys., 2H), 3,47 (s, 2H), 3,68-3,79 (m, 1H), 4,00-4,65 (m, 2H), 7,17 (t, 2H), 7,19 (d, 1H), 7,22-7,39 (m, 7H), 7,40 (d, 1H), 7,53 (dd, 1H), 7,60 (d, 1H), 7,97 (d, 1H), 8,46 (d, 1H). MC (ESI+): 589 [M+H]+. Пример 86 Этиловый эфир 4-(5-хлор-2-{(Е)-3-[4-(4-фторбензил)-2-метилпиперазин-1-ил]-3-оксопропенил}бензоиламино)пиперидин-1-карбоновой кислоты 1H-ЯМР (400 МГц, ДМСО-d6): 1,18 (t, 3Н), 1,24 (ушир. s, 3H), 1,30-1,44 (m, 2H), 1,79-2,03 (m, 4H), 2,66 (d, 1H), 2,82 (d, 1H), 2,88-3,06 (m. 2H), 3,42 и 3,52 (AB-Sys; 2H), 3,85-3,98 (m, 3Н), 4,04 (q, 2H), 4,06-4,73 (m, 2H), 7,18 (t, 2H), 7,21 (d, 1H), 7,37 (dd, 2H), 7.44 (d, 1H), 7,54 (dd, 1H), 7,62 (d, 1H), 7,98 (d, 1H), 8,51 (d, 1H). МС (ESI+): 571 [M+H+], 593 [M+Na]+. Пример 87 Метиловый эфир (2S,4R)-1-(5-хлор-2-{(Е)-3-[(R)-4-(4-фторбензил)-2-метилпиперазин-1-ил]-3-оксопропенил}бензоил)-4-гидроксипирролидин-2-карбоновой кислоты 1H-ЯМР (400 МГц, ДМСО-d6): 1,18-1,32 (m, 3Н), 188-2,28 (m, 4H), 2,62-2,69 (m, 1H), 2,82 (d, 1H), 3,02 (d, 1H), 3,30-3,56 (m, 4H), 3,72 (s, 3Н), 3,98-4,66 (m, 3Н), 5,16 (d, 1H), 7,15 (t, 2H), 7,22 (d, 1H), 7,31 (d, 1H), 7,35 (dd, 2H), 7,46 (d, 1H), 7,54 (dd, 1H), 8,02 (d, 1H). МС (ESI+): 544 [M+H]+. Пример 88 (Е)-3-[4-Хлор-2-((R)-3-диметиламинопирролидин-1-карбонил)фенил]-1-[(R)-4-(4-фторбензил)-2-метилпиперазин-1-ил]пропенон 1Н-ЯМР (400 МГц, ДМСО-d6): 1,24 (ушир. s, 3Н), 1,60-1,80 (m, 1H), 1,84-2,13 (m, 3Н), 2,04 (s, 3Н), 2,16 (s, 3Н), 2,62-2,93 (m, 4H), 3,05-3,22 (m, 2H), 3,35-3,56 (m, 3Н), 3,62-3,80 (m, 1H), 3,98-4,67 (m, 2H), 7,15 (t, 2H), 7,20 (dd, 1H), 7.31 (d, 1H), 7,35 (dd, 2H), 7,43 (s, 1H), 7.50 (d, 1H), 7,97 (d, 1H). МС (ESI+): 513 [M+H]+. Пример 89 (Е)-3-[4-Хлор-2-((S)-3-диметиламинопирролидин-1-карбонил)фенил]-1-[(R)-4-(4-фторбензил)-2-метилпиперазин-1-ил]пропенон 1Н-ЯМР (400 МГц, ДМСО-d6): 1,24 (ушир. s, 3Н), 1,62-1,78 (m, 1H), 1,84-2,13 (m, 3Н), 2,04 (s, 3Н), 2,17 (s, 3Н), 2,62-2,91 (m, 4H), 3,05-3,22 (m, 2H), 3,38-3,55 (m, 3Н), 3,62-3,80 (m, 1H), 3,98-4,67 (m, 2H), 7,15 (t, 2H), 7,20 (dd, 1H), 7,29-7,48 (m, 3Н), 7,43 (s, 1H), 7,50 (d, 1H), 7,97 (d, 1H). MC (ESI+): 513 [M+H]+. Пример 90 (Е)-3-[2-(4-Ацетилпиперазин-1-карбонил)-4-хлорфенил]-1-[(R)-4-(4-фторбензил)-2-метилпиперазин-1-ил]пропенон 1H-ЯМР (400 МГц, ДМСО-d6, 120°С): 1,27 (d, 3Н), 2,00 (s, 3Н), 2,03 (dd, 1H), 2,17 (dd, 1H), 2,68 (d, 1H), 2,74-2,85 (m, 1H), 3,10-3,22 (m, 1H), 3,30-3,64 (m, 8H), 4,04-4,11 (m, 2H), 4,42-4,51 (m, 1H), 7,04 (d, 1H), 7,08 (t, 2H), 7,30-7,38 (m, 4H), 7,46 (d, 1H), 7,83 (d, 1H). MC (ESI+): 527 [M+H]+. Пример 91 N-(5-Хлор-2-{(Е)-3-[4-(4-хлорбензил)-2-метилпиперазин-1-ил]-3-оксопропенил} фенил)ацетамид а) 1-(4-Хлорбензил)-3-метилпиперазин 3,49 г (17,0 ммоля) 4-Хлорбензилбромида по каплям добавляли к смеси 2,04 г (20,4 ммоля) 2-метилпиперазина и 2,40 мл (17 ммолей) триэтиламина в 60 мл ДМФА при комнатной температуре. Реакционную смесь перемешивали при комнатной температуре в течение 16 ч, выливали в водный раствор бикарбоната натрия и экстрагировали этилацетатом. После очистки неочищенного продукта экспресс-хроматографией получали 2,26 г (10,1 ммоля, 59%) 1-(4-хлорбензил)-3-метилпиперазина в виде бесцветного масла. 1Н-ЯМР (400 МГц, ДМСО-d6): 0,91 (d, 3Н), 1,56 (t, 1H), 1,90 (td, 1H), 1,91-2,03 (m, 1H), 2,56-2,74, m, 4H), 2,79 (dt, 1H), 3,40 и 3,44 (AB-Sys., 2H), 7,33 (d, 2H), 7,40 (d, 2H). MC (ESI+): 225 [M+H]+. б) N-(5-Хлор-2-{(Е)-3-[4-(4-хлорбензил)-2-метилпиперазин-1-ил]-3-оксопропенил} фенил)ацетамид 0,10 г (0,42 ммоля) (Е)-3-(2-Ацетиламино-4-хлорфенил)акриловой кислоты, 85 мг 1-(4-хлорбензил)-3-метилпиперазина (0,38 ммоля), 87 мг EDCI (0,45 ммоля) и 61 мг HOBt (0,45 ммоля) растворяли в 5 мл ДМФА. Реакционную смесь перемешивали в течение ночи, затем распределяли между этилацетатом и водным раствором бикарбоната натрия. Органическую фазу затем промывали водой и солевым раствором. После удаления растворителя получали неочищенный продукт, который затем очищали препаративной ЖХВР (колонка Waters XT, элюент: ацетонитрил/вода), при этом получали 0,11 мг (0,24 ммоля, 63%) указанного в заголовке соединения в виде твердого вещества бледно-желтого цвета. 1Н-ЯМР (400 МГц, ДМСО-d6): 1,25 (d, 3Н), 1,83-2,15 (m, 2H), 2,66 (d, 1H), 2,82 (d, 1H), 2,88-3,08 (m, 1H), 3,43 и 3,54 (AB-Sys., 2H), 4,04-4,72 (m, 2H), 7,18 (d, 1H), 7,28 (dd, 1H), 7,33-7,43 (m, 4H), 7,58 (d, 1H), 7,63 (d, 1H), 7,89 (d, 1H), 9,88 (s, 1H). MC (ESI+): 446 [M+H]+. Следующие соединения получали аналогично тому, как описано выше: Пример 92 N-(5-Хлор-2-{(Е’)-3-[4-(3-фторбензил)-2-метилпиперазин-1-ил]-3-оксопропенид} фенил)ацетамид а) 1-(3-Фторбензил)-3-метилпиперазин 1H-ЯМР (400 МГц, ДМСО-d6): 0,92 (d, 3Н), 1,60 (t, 1H), 1,93 (td, 1H), 2,55-2,76 (m, 5H), 2,81 (dt, 1H), 3,45 (s, 2H), 7,04-7,17 (m, 3Н), 7,38 (q, 1H). MC (ESI+): 209 [M+H]+. б) N-(5-Хлор-2-{(Е)-3-[4-(3-фторбензил)-2-метилпиперазин-1-ил]-3-оксопропенил}фенил)ацетамид 1H-ЯМР (400 МГц, ДМСО-d6): 1,27 (ушир. s, 3H), 1,88-2,22 (m, 2H), 2,08 (s, 3Н), 2,67 (d, 1H), 2,84 (d, 1H), 2,90-3,12 (m, 1H), 3,46 и 3,57 (AB-Sys., 2H), 4,95-4,70 (m, 2H), 7,09 (td, 1H), 7,13-7,21 (, 3Н), 7,28 (dd, 1H), 7,34-7,43 (m, 1H), 7,57 (d, 1H), 7,62 (d, 1H), 7,89 (d, 1H), 9,88 (s, 1H). MC (ESI+): 430 [M+H]+. Пример 93 N-(5-Хлор-2-{(Е)-3-[4-(2,4-дифторбензил)-2-метилпиперазин-1-ил]-3-оксопропенил} фенил)ацетамид а) 1-(2,4-Дифторбензил)-3-метилпиперазин 1H-ЯМР (400 МГц, ДМСО-d6): 0,91 (d, 3Н), 1,59 (t, 1H), 1,82-1,97 (m, 2H), 2,56-2,70 (m, 4H), 2,78 (dt, 1H), 3,46 (s, 2H), 7,07 (td, 1H), 7,19 (td, 1H), 7,44 (q, 1H). MC (ESI+): 227 [M+H]+. б) N-(5-Хлор-2-{(Е)-3-[4-(2,4-дифторбензил)-2-метилпиперазин-1-ил]-3-оксопропенил}фенил)ацетамид 1Н-ЯМР (400 МГц, ДМСО-d6): 1,23 (ушир. s, 3Н), 1,88-2,22 (m, 2H), 2,08 (s, 3Н), 2,68 (d, 1H), 2,82 (d, 1H), 2,88-3,40 (m, 1H), 3,53 (s, 2H), 4,04-4,70 (m, 2H), 7,08 (td, 1H), 7,17 (d, 1H), 7,22 (dd, 1H), 7,27 (d, 1H), 7,49 (q, 1H), 7,57 (s, 1H), 7,61 (d, 1H), 7,89 (d, 1H), 9,88 (s, 1H). MC (ESI+): 448 [M+H]+. Пример 94 N-(5-Хлор-2-{(Е)-3-[4-(4-цианобензил)-2-метилпиперазин-1-ил]-3-оксопропенил}фенил)ацетамид а) 4-(3-Метилпиперазин-1-илметил)бензонитрил 1H-ЯМР (400 МГц, ДМСО-d6): 0,91 (d, 3Н), 1,60 (t, 1H), 1,87-1,97 (m, 2H), 2,57-2,74 (m, 4H), 2,80 (dt, 1H), 3,54 (s, 2H), 7,52 (d, 2H), 7,80 (d, 2H). MC (ESI+): 216 [M+H]+. б) N-(5-Хлор-2-{(Е)-3-[4-(4-цианобензил)-2-метилпиперазин-1-ил]-3-оксопропенил}фенил)ацетамид 1H-ЯМР (400 МГц, ДМСО-d6): 1,28 (ушир. d, 3H), 1,89-2,24 (m, 2H), 2,08 (s, 3Н), 2,65 (d, 1H), 2,83 (d, 1H), 2,92-3,43 (m, 1H), 3,54 и 3,64 (AB-Sys., 2H), 4,05-4,70 (m, 1H), 7,18 (d, 1H), 7,27 (dd, 1H), 7,53-7,59 (m, 3Н), 7,3 (d, 1H), 7,83 (d, 2H), 7,89 (d, 1H), 9,88 (s, 1H). MC (ESI+): 437 [M+H]+. Пример 95 N-(5-Хлор-2-{(Е)-3-[(R)-4-(4-фторбензил)-2-метилпиперазин-1-ил]-3-оксопропенил}-4-метоксифенил)ацетамид а) 2-Бром-5-хлор-4-метоксианилин 5,0 г (32 ммоля) 3-Хлор-пара-анизидина растворяли в 50 мл ТГФ. При комнатной температуре добавляли 5,65 г (32 ммоля) N-бромсукцинимида. Смесь перемешивали при комнатной температуре в течение 16 ч, переносили в 400 мл этилацетата, промывали Na2S2О3, NaHCO3 и солевым раствором. После удаления растворителя получали 6,36 г (85%) требуемого бромированного продукта. 1Н-ЯМР (400 МГц, ДМСО-d6): 3,72 (s, 3Н), 5,05 (s, 2H), 6,88 (s, 1H), 7,14 (s, 1H). MC (EI) m/z: 235 [M]+. б) N-(2-Бром-5-хлор-4-метоксифенил)ацетамид 4,40 г (18,6 ммоля) 2-бром-5-хлор-4-метоксианилина и 3,1 мл (22,0 ммоля) триэтиламина растворяли в 50 мл ТГФ и к раствору при комнатной температуре по каплям добавляли 1,42 мл (20,0 ммоля) ацетилхлорида. Реакционную смесь перемешивали при комнатной температуре в течение еще 2 ч, добавляли насыщенный раствор NaHCO3 и смесь экстрагировали этилацетатом. После удаления растворителя и кристаллизации из эфира получали 3,6 г (12,9 ммоля, 69%) указанного в заголовке соединения. 1Н-ЯМР (400 МГц, ДМСО-d6): 2,04 (s, 3Н), 3,87 (s, 3Н), 7,40 (s, 1H), 7,59 (s, 1H), 9,47 (ушир. s, 1H). MC (EI) m/z: 277 [M]+. в) N-(5-Хлор-2-{(Е)-3-[(R)-4-(4-фторбензил)-2-метилпиперазин-1-ил]-3-оксопропенил}-4-метоксифенил)ацетамид Указанное в заголовке соединение (26 мг, 0,057 ммоля, 10%) получали по реакции конденсации над палладиевым катализатором, как описано в примере 67. 1H-ЯМР (400 МГц, ДМСО-d6): 1,24 (ушир. s, 3H), 1,87-2,21 (m, 2H), 2,04 (s, 3Н), 2,68 (d, 1H), 2,84 (d, 1H), 2,90-3,08 (m, 1H), 3,38-3,58 (m, 2H), 3,92 (s, 3H), 4,07-4,30 (m, 1H), 4,43-4,68 (m, 1H), 7,16 (t, 2H), 7,20 (d, 1H), 7,36 (dd, 2H), 7,43 (s, 1H), 7,47 (s, 1H), 7,55 (d, 1H), 9,69 (s, 1H). MC (ESI+) m/z: 460 [M+H]+. Следующие соединения получали аналогично тому, как описано выше: Пример 96 N-(5-Хлор-4-фтор-2-{(Е)-3-[(R)-4-(4-фторбензил)-2-метилпиперазин-1-ил]-3-оксопропенил}фенил)ацетамид а) 2-Бром-5-хлор-4-фторанилин 1Н-ЯМР (400 МГц, ДМСО-d6): 5,42 (s, 2H), 6,90 (d, 1H), 7,49 (d, 1H). MC (EI) m/z: 223 [M]+. б) N-(2-Бром-5-хлор-4-фторфенил)ацетамид 1Н-ЯМР (400 МГц, ДМСО-d6): 2,07 (s, 3Н), 7,80 (d, 1H), 7,88 (d, 1H), 9,60 (s, 1H). MC (ESI–) m/z: 264 [M-H]–. в) N-(5-Хлор-4-фтор-2-{(Е)-3-[(R)-4-(4-фторбензил)-2-метилпиперазин-1-ил]-3-оксопропенил}фенил)ацетамид 1Н-ЯМР (400 МГц, ДМСО-d6): 1,25 (d, 3Н), 1,84-2,18 (m, 2H), 2,08 (s, 3Н), 2,66 (d, 1H), 2,82 (d, 1H), 2,88-3,04 (m, 1H). 3,36-3,58 (m, 2H), 4,09-4,30 (m, 1H), 4,45-4,69 (m, 1H), 7,15 (t, 2H), 7,26 (d, 1H), 7,35 (dd, 2H), 7,54 (d, 1H), 7,62 (d, 1H), 8,00 (d, 1H), 9,86 (s, 1H). MC (ESI+) m/z: 448 [M+H]+, 470 [M+Na]+. Пример 97 (5-Хлор-2-{(Е)-3-[(R)-4-(4-фторбензил)-2-метилпиперазин-1-ил]-3-оксопропенил)-4-метоксифенил)мочевина а) (2-Бром-5-хлор-4-метоксифенил)мочевина К раствору 2,0 г (8,5 ммоля) 2-бром-5-хлор-4-метоксианилина в 20 мл уксусной кислоты и 20 мл воды небольшими порциями добавляли 1,37 г (17 ммолей) цианата калия. Смесь перемешивали при комнатной температуре в течение 2 ч, нейтрализовали 2н. NaOH и продукт экстрагировали этилацетатом. После удаления растворителя и кристаллизации из эфира получали 0,69 г (29%) требуемой мочевины. 1H-ЯМР (400 МГц, ДМСО-d6): 3,81 (s, 3Н), 6,32 (s, 2Н), 7,32 (s, 1H), 7,79 (s, 1H), 8,03 (s, 1H). MC (EI) m/z: 278 [M]+. б) (5-Хлор-2-{(Е)-3-[(R)-4-(4-фторбензил)-2-метилпиперазин-1-ил]-3-оксопропенил}-4-метоксифенил)мочевина 1Н-ЯМР (400 МГц, ДМСО-d6): 1,26 (d, 3Н), 1,85-2,20 (m, 2Н), 2,68 (d, 1H), 2.83 (d, 1H), 2,88-3,05 (m, 1H), 3,34-3,59 (m, 2Н), 4,08-4,31 (m, 1H), 4,42-4,69 (m, 1H), 6,02 (s, 2Н), 7,15 (t, 2Н), 7,17 (d, 1H), 7,35 (dd, 2Н), 7,37 (s, 1H), 7,61 (d, 1H), 7,70 (s, 1H), 8,14 (s, 1H). MC (ESI+) m/z: 461 [M+H]+. Пример 98 N-(5-Хлор-4-фтор-2-{(Е)-3-[(R)-4-(4-фторбензил)-2-метилпиперазин-1-ил]-3-оксопропенил}фенил)метансульфонамид а) N-(2-Бром-5-хлор-4-фторфенил)метансульфонамид 1H-ЯМР (400 МГц, ДМСО-d6): 2,98 (s, 3Н), 7,57 (d, 1H), 7,81 (d, 1H), 9,59 (s, 1H). MC (EI) m/z: 301 [M]+. б) N-(5-Хлор-4-фтор-2-{(Е)-3-[(R)-4-(4-фторбензил)-2-метилпиперазин-1-ил]-3-оксопропенил}фенил)метансульфонамид 1H-ЯМР (400 МГц, ДМСО-d6): 1,25 (ушир. s, 3Н), 1,83-2,20 (m, 2Н), 2,66 (d, 1H), 2,82 (d, 1H), 3,00 (s, 3Н), 3,36-3,58 (m, 2Н), 4,10-4,29 (m, 1H), 4,45-4,68 (m, 1Н), 7,15 (t, 2H), 7,27 (d, 1H), 7,35 (dd, 2H), 7,51 (d, 1H), 7,74 (d, 1H), 8,08 (d, 1H), 9,66 (ушир. s, 1H). MC (ESI+) m/z: 484 [M+H]+. Пример 99 (5-Хлор-4-фтор-2-{(Е)-3-[(R)-4-(4-фторбензил)-2-метилпиперазин-1-ил]-3-оксопропенил}фенил)мочевина а) (2-Бром-5-хлор-4-фторфенил)мочевина 1Н-ЯМР (400 МГц, ДМСО-d6): 6,49 (s, 2H), 7,77 (d, 1H), 7,96 (s, 1H), 8,23 (d, 1H). MC (EI) m/z: 266 [M]+. б) (5-Хлор-4-фтор-2-{(Е)-3-[(R)-4-(4-фторбензил)-2-метилпиперазин-1-ил]-3-оксопропенил}фенил)мочевина 1H-ЯМР (400 МГц, ДМСО-d6): 1,26 (d, 3Н), 1,85-2,18 (m, 2H), 2,66 (d, 1H), 2,72 (d, 1H), 2,89-3,03 (m, 1H), 3,33-3,60 (m, 2H), 4,07-4,32 (m, 1H), 4,44-4,68 (m, 1H), 6,17 (s, 2H), 7,15 (t, 2H), 7,21 (d, 1H), 7,34 (dd, 2H), 7,59 (d, 1H), 7,88 (d, 1H), 7,94 (d, 1H), 8,34 (s, 1H). MC (ESI+) m/z: 449 [M+H]+ Пример 100 N-(5-Хлор-4-циано-2-{(Е)-3-[(R)-4-(4-фторбензил)-2-метилпиперазин-1-ил]-3-оксопропенил} фенил)ацетамид 1Н-ЯМР (400 МГц, ДМСО-d6): 1,26 (d, 3Н), 1,85-2,08 (m, 2H), 2,14 (s, 3Н), 2,60-2,72 (m, 1H), 2,84 (d, 1H), 2,89-3,04 (m, 1H), 3,32-3,60 (m, 2H), 4,10-4,32 (m, 1H), 4.45-4,69 (m, 1H), 7,15 (t, 2H), 7,32 (d, 1H), 7,35 (dd, 2H), 7,63 (d, 1H), 8,03 (s, 1H), 8,49 (s, 1H), 10,15 (s, 1H). MC (ESI+) m/z: 455 [M+H]+. Пример 101 N-(5-Хлор-2-{(Е)-3-[(R)-4-(4-фторбензил)-2-метилпиперазин-1-ил]-3-оксопропенил}-4-трифторметоксифенил)ацетамид а) N-(2-Бром-5-хлор-4-трифторметоксифенил)ацетамид 1Н-ЯМР (400 МГц, ДМСО-d6): 2,12 (s, 3Н), 7,97 (s, 1Н), 8,08 (s, 1H), 9,93 (s, 1H). MC (ESI+) m/z: 332 [M+H]+. б) N-(5-Хлор-2-{(Е)-3-[(R)-4-(4-фторбензил)-2-метилпиперазин-1-ил]-3-оксопропенил}-4-трифторметоксифенил)ацетамид 1Н-ЯМР (400 МГц, ДМСО-d6): 1,25 (ушир. d, 3Н), 1,80-2,22 (m, 2H), 2,11 (s, 3Н), 2,61-2,71 (m, 1H), 2,83 (ушир. d, 1H), 2,88-3,60 (m, 3Н), 4,05-4,32 (m, 1H), 4,42-4,68 (m, 1H), 7,14 (t, 2H), 7,28 (d, 1H), 7,34 (dd, 2H), 7,57 (d, 1H), 7,79 (s, 1H), 8,06 (s, 1H), 9,98 (s, 1H). MC (ESI+) m/z: 514 [M+H]+. Пример 102 (5-Хлор-2-{(Е)-3-[(R)-4-(4-фторбензил)-2-метилпиперазин-1-ил]-3-оксопропенил}-4-трифторметоксифенил)мочевина а) (2-Бром-5-хлор-4-трифторметоксифенил)мочевина 1Н-ЯМР (400 МГц, ДМСО-d6): 6,64 (s, 2H), 7,84 (s, 1H), 8,11 (s, 1H), 8,41 (s, 1H). MC (EI) m/z: 332 [M]+. б) (5-Хлор-2-{(Е)-3-[(R)-4-(4-фторбензил)-2-метилпиперазин-1-ил]-3-оксопропенил}-4-трифторметоксифенил)мочевина 1H-ЯМР (400 МГц, ДМСО-d6): 1,26 (ушир. d, 3Н), 1,82-2,18 (m, 2H), 2,60-2,72 (m, 1H), 2,83 (d, 1H), 2,90-3,55 (m, 3Н), 4,08-4,33 (m, 1H), 4,43-4,70 (m, 1H), 6,29 (s, 2H), 7,15 (t, 2H), 7.24 (d, 1H), 7,34 (dd, 2H), 7,59 (d, 1H), 7,92 (s, 1H), 8,15 (s, 1H), 8,48 (s, 1H). MC (ESI+) m/z: 514 [M+H]+. Пример 103 N-(5-Хлор-2-{(Е)-3-[(R)-4-(4-фторбензил)-2-метилпиперазин-1-ил]-3-оксопропенил}-4-изобутоксифенил)ацетамид а) 2-Хлор-1-изобутокси-4-нитробензол 5,00 г (28,5 ммоля) 3-Хлор-4-фторнитробензола, 7,90 мл (75 ммолей) изобутанола и 19,7 г (125 ммолей) карбоната калия в 200 мл ДМФА нагревали при 70°С в течение 48 ч. После добавления воды, экстракции этилацетатом и удаления растворителя получали 5,9 г (25,7 ммоля, 90%) неочищенного изобутилового эфира. 1H-ЯМР (400 МГц, ДМСО-d6): 1,01 (d, 6Н), 2,04-2,15 (m, 1Н), 3,99 (d, 2H), 7,33 (d, 1Н), 8,18 (dd, 1Н), 8,28 (d, 1Н). MC (EI) m/z: 229 [M]+. б) N-(2-Бром-5-хлор-4-изобутоксифенил)ацетамид 5,5 г (27,4 ммоля) 2-Хлор-1-изобутокси-4-нитробензола растворяли в 150 мл ТГФ и 30 мл воды. После добавления 36,4 г (192 ммоля) SnCl2 реакционную смесь кипятили с обратным холодильником в течение 15 мин, добавляли раствор NaHCO3, реакционную смесь экстрагировали этилацетатом, сушили и концентрировали. Неочищенный анилин (5,2 г, 95%) использовали без дальнейшей очистки. 2,0 г (10,0 ммоля) анилина обрабатывали 1,78 г (10,0 ммоля) NBS в 60 мл ТГФ при комнатной температуре в течение 20 ч. После экстракции этилацетатом, промывания Na2S2O3 и Na2СО3, высушивания органической фазы и удаления растворителя получали 2,75 г требуемого 2-бром-5-хлор-4-изобутоксианилина. После обработки 1,0 г (3,6 ммоля) анилина ацетилхлоридом в ТГФ с использованием Net3 в качестве основания, как описано в примере 95, получали 1,04 г (3,2 ммоля, 90%) указанного в заголовке соединения. 1Н-ЯМР (400 МГц, ДМСО-d6): 0,99 (d, 6Н), 1,98-2,10 (m, 1Н), 2,04 (s, 3H), 3,85 (d, 2H), 7,38 (s, 1Н), 7,57 (s, 1Н), 9,45 (s, 1Н). MC (ESI+) m/z: 320 [M+H]+. в) N-(5-Хлор-2-{(Е)-3-[(R)-4-(4-фторбензил)-2-метилпиперазин-1-ил]-3-оксопропенил}-4-изобутоксифенил)ацетамид Указанное в заголовке соединение (выход 12%) получали по реакции Хека над палладиевым катализатором, как описано в примере 95. 1H-ЯМР (400 МГц, ДМСО-d6): 1,04 (d, 6H), 1,25 (ушир. s, 3H), 1,88-2,17 (m, 3Н), 2,63-2,72 (m, 1H), 2,84 (ушир. d, 1H), 3,18-3,60 (m, 3H), 3,92 (d, 2H), 4,03-4,28 (m, 1H), 4,38-4,70 (m, 1H), 7,10-7,20 (m, 3Н), 7,36 (dd, 2H), 7,42 (s, 1H), 7,44 (s, 1H), 7,53 (d, 1H), 9,67 (s, 1H). MC (ESI+) m/z: 502 [M+H]+. Пример 104 N-(5-Хлор-2-{(Е)-3-[(R)-4-(4-фторбензил)-2-метилпиперазин-1-ил]-3-оксопропенил}-4-изопропоксифенил)ацетамид Указанное в заголовке соединение получали аналогично тому, как описано в примере 103. 1H-ЯМР (400 МГц, ДМСО-d6): 1,24 (ушир. s, 3Н), 1,28 (d, 3Н), 1,29 (d, 3Н), 1,85-2,18 (m, 2H), 2,03 (s, 3Н), 2,67 (d, 1H), 2,83 (d, 1H), 2,88-3,25 (m, 1H), 3,43 и 3,53 (AB-Sys., 2H), 4,05-4,30 (m, 1H), 4,42-4,70 (m, 1H), 4,81 (септет, 1H), 7,15 (t, 2H), 7,17 (d, 1H), 7,36 (dd, 2H), 7,42 (s, 1H), 7,51 (s, 1H), 7,53 (d, 1H), 9,67 (s, 1H). MC (ESI+) m/z: 488 [M+H]+. Пример 105 3-(5-Хлор-2-{(Е)-3-[(R)-4-(4-фторбензил)-2-метилпиперазин-1-ил]-3-оксопропенил}-4-метоксифенил)-5,5-диметилимидазолидин-2,4-дион а) 3-(2-Бром-5-хлор-4-метоксифенил)-5,5-диметилимидазолидин-2,4-дион К раствору 0,60 г (2,54 ммоля) 2-бром-5-хлор-4-метоксианилина и 0,88 мл (6,35 ммоля) триэтиламина в 20 мл хлороформа добавляли 0,30 г (1,0 ммоля) трифосгена при комнатной температуре. Реакционную смесь перемешивали при комнатной температуре в течение 5 ч, затем добавляли 0,47 г (3,0 ммоля) гидрохлорида метилового эфира 2-амино-2-метилпропионовой кислоты и реакционную смесь перемешивали при 60°С в течение ночи. Реакцию останавливали раствором NaHCO3, смесь экстрагировали этилацетатом. Органическую фазу сушили, упаривали и продукт очищали обращенно-фазовой ЖХВР, при этом получали 0,41 г (47%) требуемого гидантоина. 1Н-ЯМР (400 МГц, ДМСО-d6): 1,41 (s, 3Н), 1,42 (s, 3Н), 3,93 (s, 3H), 7,52 (s, 1Н), 7,70 (s, 1H), 8,54 (s, 1H). МС (ESI+) m/z: 347 [M+H]+, 369 [M+Na]+. б) 3-(5-Хлор-2-{(Е)-3-[(R)-4-(4-фторбензил)-2-метилпиперазин-1-ил]-3-оксопропенил}-4-метоксифенил)-5,5-диметилимидазолидин-2,4-дион 1Н-ЯМР (400 МГц, ДМСО-d6): 1,22 (ушир. s, 3Н). 1,41, (s, 3Н), 1,43 (s, 3Н), 1,87-2,15 (m, 2Н), 2,60-3,03 (m, 3Н), 3,35-3,57 (m, 2H), 3,98 (s, 3Н), 4,10-4,20 (m, 1H), 4,50-4,61 (m, 1H), 7,10-7,19 (m, 3Н), 7,29 (d, 1H). 7,34 (dd, 2H), 7,55 (s, 1H), 7,61 (s, 1H), 8,58 (s, 1H). МС (ESI+) m/z: 529 [M+H]+. Следующие соединения получали аналогично тому, как описано выше: Пример 106 3-(5-Хлор-2-{(Е)-3-[(R)-4-(4-фторбензил)-2-метилпиперазин-1-ил]-3-оксопропенил}-4-метоксифенил)имидазолидин-2,4-дион 1H-ЯМР (400 МГц, ДМСО-d6, 100°С): 1,27 (d, 3Н), 2,02 (td, 1H), 2,17 (dd, 1H), 2,68 (d, 1H), 2,84 (ушир. d, 1H), 3,18 (t, 1H), 3,46 и 3,53 (AB-Sys., 2H), 3,99 (s, 3Н), 4,06-4,16 (m, 3Н), 4,47-4,56 (m, 1H), 7,06-7,15 (m, 3Н), 7,19 (d, 1H), 7,35 (dd, 2H), 7,40 (s, 1H), 7,54 (s, 1H), 8,00 (s, 1H). МС (ESI+) m/z: 501 [M+H]+. Пример 107 3-(5-Хлор-2-{(Е)-3-[(R)-4-(4-фторбензил)-2-метилпиперазин-1-ил]-3-оксопропенил}-4-метоксифенил)-1,3-диазаспиро[4.4]нонан-2,4-дион 1H-ЯМР (400 МГц, ДМСО-d6): 1,24 (ушир. s, 3Н), 1,72-2,14 (m, ЮН), 2,67 (d, 1H), 2,83 (d, 1H), 2,90-3,10 (m, 1H), 3,38-3,58 (m, 2H), 3,99 (s, 3Н), 4,11-4,23 (m, 1H), 4,50-4,62 (m, 1H), 7,14 (d, 1H), 7,15 (t, 2H), 7,28 (d, 1H), 7,35 (dd, 2H), 7,53 (s, 1H), 7,61 (s, 1H), 8,76 (s, 1H). MC (ESI+) m/z: 555 [M+H]+. Пример 108 3-(5-Хлор-4-фтор-2-{(Е)-3-[(R)-4-(4-фторбензил)-2-метилпиперазин-1-ил]-3-оксопропенил}фенил)-1,3-диазаспиро[4.5]декан-2,4-дион а) 3-(2-Бром-5-хлор-4-фторфенил)-1,3-диазаспиро[4.5]декан-2,4-дион MC (EI) m/z: 374 [М]+ б) 3-(5-Хлор-4-фтор-2-{(Е)-3-[(R)-4-(4-фторбензил)-2-метилпиперазин-1-ил]-3-оксопропенил} фенил)-1,3-диазаспиро[4.5]декан-2,4-дион 1Н-ЯМР (400 МГц, ДМСО-d6): 1,15-1,38 (m, 5H), 1,52-1,85 (m, 10Н), 2,60-2,70 (m, 1H), 2,82 (ушир. d, 1H), 3,33-3,58 (m, 3Н), 4,12-4,22 (m, 1H), 4,50-4,60 (m, 1H), 7,10 (ушир. d, 1H), 7,15 (t, 2H), 7,31-7,40 (m, 3Н), 7,78 (d, 1H), 8,21 (ушир. d, 1H), 9,08 (s, 1H). MC (ESI+) m/z: 557 [M+H]+. Пример 109 3-(5-Хлор-4-фтор-2-{(Е)-3-[(R)-4-(4-фторбензил)-2-метилпиперазин-1-ил]-3-оксопропенил}фенил)-5,5-диметилимидазолидин-2,4-дион а) 3-(2-Бром-5-хлор-4-фторфенил)-5,5-диметилимидазолидин-2,4-дион 1Н-ЯМР (400 МГц, ДМСО-d6): 1,41 (s, 3Н), 1,43 (s, 3Н), 7,96 (d, 1H), 8,03 (d, 1H), 8,62 (s, 1H). MC (EI) m/z: 334 [M]+ б) 3-(5-Хлор-4-фтор-2-{(Е)-3-[(R)-4-(4-фторбензил)-2-метилпиперазин-1-ил]-3-оксопропенил)фенил)-5,5-диметилимидазолидин-2,4-дион 1H-ЯМР (400 МГц, ДМСО-d6): 1,16-1,32 (m, 3Н), 1,43 (s, 3H), 1,44 (s, 3H), 1,82-2,18 (m, 2H), 2,57-2,70 (m, 1H), 2,81 (d, 1H), 2,86-3,57 (3Н), 4,12-4,24 (m, 1H), 4,48-4,62 (m, 1H), 7,12 (ушир. d, 1H), 7,15 (t, 2H), 7,31-7,41 (m, 3H), 7,79 (d, 1H), 8,22 (ушир. d, 1H), 8,68 (s, 1H). MC (ESI+) m/z: 517 [M+H]+ Пример 110 (5-Хлор-2-{(Е)-3-[(R)-4-(4-фторбензил)-2-метилпиперазин-1-ил]-3-оксопропенил}-4-метоксифенил)амид морфолин-4-карбоновой кислоты а) (2-Бром-5-хлор-4-метоксифенил)амид морфолин-4-карбоновой кислоты Соединение получали аналогично тому, как описано в примере 105. 1Н-ЯМР (400 МГц, ДМСО-d6): 3,40 (t, 4Н), 3,60 (t, 4H), 7,38 (s, 1H), 7,47 (s, 1H), 8,19 (s, 1H). MC (ESI+) m/z: 349 [M+H]+ б) (5-Хлор-2-{(Е)-3-[(R)-4-(4-фторбензил)-2-метилпиперазин-1-ил]-3-оксопропенил}-4-метоксифенил)амид морфолин-4-карбоновой кислоты 1Н-ЯМР (400 МГц, ДМСО-d6): 1,25 (ушир. s, 3Н), 1,88-2,17 (m, 2H), 2,67 (d, 1H), 2,84 (d, 1H), 3,32-3,56 (m, 7H), 3,61 (t, 4H), 3,92 (s, 3Н), 4,08-4,25 (m, 1H), 4,50-4,65 (m, 1H), 7,08 (m, 3Н), 7,26 (s, 1H), 7,35 (dd, 2H), 7,46 (s, 1H), 7,52 (d, 1H), 8,35 (s, 1H). MC (ESI+) m/z: 531 [M+H]+ Пример 111 (5-Хлор-2-{(Е)-3-[(R)-4-(4-фторбензил)-2-метилпиперазин-1-ил]-3-оксопропенил}-4-метоксифенил)амид пирролидин-1-карбоновой кислоты а) (2-Бром-5-хлор-4-метоксифенил)амид пирролидин-1-карбоновой кислоты 1Н-ЯМР (400 МГц, ДМСО-d6): 1,82-1,90 (m, 4H), 3,32-3,39 (m, 4H), 3,86 (s, 3Н), 7,38 (s, 1H), 7,59 (s, 1H), 7,64 (s, 1H). MC (ESI+) m/z: 333 [M+H]+ б) (5-Хлор-2-{(Е)-3-[(R)-4-(4-фторбензил)-2-метилпиперазин-1-ил]-3-оксопропенил}-4-метоксифенил)амид пирролидин-1-карбоновой кислоты 1H-ЯМР (400 МГц, ДМСО-d6): 1,25 (ушир. s, 3Н), 1,80-2,15 (m, 6H), 2,64-2,70 (m, 1H), 2,83 (d, 1H), 3,30-3,57 (m, 7H), 3,92 (s, 3Н), 4,11-4,26 (m, 1H), 4,48-4,65 (m, 1H), 7,13 (d, 1H), 7,14 (t, 2H), 7,30 (s, 1H), 7,35 (dd, 2H), 7,44 (s, 1H), 7,57 (d, 1H), 7,96 (s, 1H). MC (ESI+) m/z: 515 [M+H]+ Пример 112 Метиловый эфир 5-хлор-2-{(Е)-3-[(R)-4-(4-фторбензил)-2-метилпиперазин-1-ил]-3-оксопропенил}-4-метоксибензойной кислоты а) Метиловый эфир 5-хлор-2-гидрокси-4-метоксибензойной кислоты 5,00 г (27,4 ммоля) Метилового эфира 2-гидрокси-4-метоксибензойной кислоты и 4,03 г (30,2 ммоля) N-хлорсукцинимида в 100 мл ацетонитрила кипятили с обратным холодильником в течение 16 ч. Реакцию останавливали добавлением водного раствора NaHCO3 и смесь экстрагировали этилацетатом. После упаривания растворителя и кристаллизации из эфира получали 4,68 г (78%) требуемого соединения. 1H-ЯМР (400 МГц, ДМСО-d6): 3,86 (s, 3Н), 3,89 (s, 3Н), 6,72 (s, 1H), 7,71 (s, 1H), 10,68 (s, 1H). MC (EI) m/z: 216 [M]+ б) Метиловый эфир 5-хлор-2-{(Е)-3-[(R)-4-(4-фторбензил)-2-метилпиперазин-1-ил]-3-оксопропенил}-4-метоксибензойной кислоты Смесь 0,02 г (0,92 ммоля) метилового эфира 5-хлор-2-гидрокси-4-метоксибензойной кислоты, 0,33 г (0,92 ммоля) N-фенил-бис-трифторметансульфонамида и 0,38 г (2,7 ммоля) К2СО3 в 30 мл ТГФ кипятили с обратным холодильником в течение 16 ч. После экстракции водным раствором NaHCO3 и этилацетатом получали 0,26 г (80%) трифлата, который использовали без дальнейшей очистки. Требуемый продукт (выход 20%) получали по реакции Хека с использованием описанного выше трифлата, 1-[(R)-4-(4-фторбензил)-2-метилпиперазин-1-ил]пропенона и катализатора PdCl2(PPh3)2, как описано в примере 67. 1Н-ЯМР (400 МГц, ДМСО-d6): 1,25 (ушир. s, 3Н), 1,90-2,22 (m, 2H), 2,67 (d, 1H), 2,83 (d, 1H), 2,90-3,20 (m, 1H), 3,43 и 3,52 (AB-Sys., 2H), 3,81 (s, 3Н), 4,02 (s, 3Н), 4,05-4,68 (m, 2H), 7,14 (t, 2H), 7,15 (d, 1H), 7,36 (dd, 2H), 7,46 (s, 1H), 7,89 (s, 1H),8,10(d, 1H). MC (ES+) m/z: 461 ((M+H)+, 100). Пример 113 (Е)-3-[2-(4-Ацетилпиперазин-1-карбонил)-4-хлор-5-метоксифенил]-1-[(R)-4-(4-фторбензил)-2-метилпиперазин-1-ил]пропенон Указанное соединение (выход 82%) получали омылением эфира (пример 112) и конденсацией с N-ацетилпиперазином в стандартных условиях (сравни пример 80/82). 1H ЯМР (400 МГц, ДМСО-d6, 120°С): 1,28 (d, 3Н), 2,01 (s, 3Н), 2,05 (dd, 1H), 2,19 (dd, 1H), 2,69 (dt, 1H), 2,74-2,93 (m, 8H), 3,19 (td, 1H), 3.35-3,57 (m, 3Н), 3,99 (s, 3Н), 4,10 (ушир.d, 1H), 4,50 (ушир.d, 1H), 7,08 (d, 1H), 7,10 (t, 2H), 7,30-7,38 (m, 4H), 7,48 (s, 1H). MC (ESI+) m/z: 557 (M+H)+. Методы анализа Получение мембранной фракции из клеток СНО, экспрессирующих hCCRl Мембранную фракцию выделяли из клеток СНО-К1, устойчиво трансфектированных плазмидой, кодирующей полную цепь CCR1 человека. Клетки культивировали в больших чашках петри (30×30 см) до слияния от 80 до 90% (30×10 клеток), в одном эксперименте клетки культивировали до слияния без потери плотности рецептора в мембранной фракции. Все следующие стадии получения мембранной фракции проводили при 4°С или на ледяной бане. После удаления среды к клеткам добавляли 30 мл ледяного ФСБ, содержащего 1 мМ EDTA, и клетки удаляли из чашек с помощью скребка. После центрифугирования при 10000 об/мин при 40°С в течение 10 мин в роторе SS34 супернатант отбрасывали и клетки ресуспендировали в 10 мл буферного раствора А (20 мМ HEPES, 10 мМ EDTA, рН 7,4), содержащего полную смесь ингибиторов протеаз (Complete, фирмы Roche). Клеточную суспензию гомогенизировали на гомогенизаторе Polytron при 28000 об/мин в два цикла, каждый в течение 30 с. Для выделения мембранной фракции гомогентат центрифугировали при 18000 об/мин при 4°С в течение 20 мин на роторе SS34. Супернатант отбрасывали и осадок ресуспендировали при перемешивании на мешалке типа Vortex в 10 мл буферного раствора Б (20 мМ HEPES, 0,1 мМ EDTA, рН 7,4), содержащего смесь ингибиторов протеаз, затем смесь повергали второму циклу гомогенизации (2×30 с при 28000 об/мин, Polytron). После центрифугирования (20 мин при 4°С, 18000 об/мин) осадок ресуспендировали в 5 мл буферного раствора Б при перемешивании на мешалке Vortex и снова гомогенизировали (Polytron, 10 с). Содержание белка в мембранной фракции определяли с использованием набора для определения белка фирмы BioRad и IgG человека в качестве стандарта. Содержание белка в мембранной фракции доводили до 1-3 мг/мл, аликвотные части разливали в пробирки эппендорф и быстро замораживали в жидком азоте или в другом варианте мембранную фракцию добавляли по каплям с помощью перистальтического насоса в жидкий азот, при этом мембранная фракция собиралась на дне сосуда Дьюара в виде замороженных капель (50-100 мкл). Мембранную фракцию хранили при -80°С. Анализ связывания с SPA 125 мкг Мембранной фракции hCCR1 размораживали и разбавляли в 340 мкл ледяного буферного раствора 2 (75 мМ HEPES, рН 7,4, 300 мМ NaCl, 6 мМ CaCl2, 15 мМ MgCl2, 1,5% БСА, смесь ингибиторов протеаз (Complete Mini, фирмы Roche, номер по каталогу 61540601), 1 таблетка в 10 мл). Конечный объем доводили до 1 мл ледяным буферным раствором 3 (20 мМ HEPES, 0,1 мМ EDTA, рН 7,4). Суспензию гомогенизировали в три цикла и хранили во льду. Конечный объем реакционной смеси составлял 200 мкл, анализ проводили в 96-луночных планшетах OptiPlate следующим образом: 50 мкл мембранной фракции CCR1 (2,5 мкг/лунка), разбавленной, как описано выше, 50 мкл гранул WGA-SPA (1 мг/лунка) в буферном растворе 1 (HBSS (1х), фирмы Gibco, номер по каталогу 4025-050), 10 мМ HEPES, рН 7,4, 0,1% БСА (фирмы Fluka, номер по каталогу 05480), ингибитор, разбавленный в буферном растворе 1: 50 мкл 80 пМ [125I]MIP-1 После добавления всех компонентов планшет закрывали пленкой Top-Seal и инкубировали при КТ в течение 120 мин при непрерывном встряхивании. Затем планшеты центрифугировали в течение 10 мин при 3000 об/мин и измеряли радиоактивность в течение 10 ч, по 3 мин на каждую лунку, на счетчике Тор Count (фирмы Packard). Соединения по настоящему изобретению ингибируют связывание MIP1 Приток кальция Клетки ТНР-1 культивировали в среде RPMI 1640, содержащей 10% FCS. Клетки собирали, центрифугировали и ресуспендировали при плотности приблизительно 2×106 в мл буферного раствора HBSS, содержащего 20 мМ HEPES в отсутствие БСА. Клетки нагружали в присутствии 2 мкМ Fluo-4 в течение 30 мин при 37°С на водяной бане. После двухкратной промывки буферным раствором HBSS, 20 мМ HEPES, клетки ресуспендировали при плотности 0,67×106 клеток в мл в указанном буферном растворе, содержащем 0,1% БСА, и добавляли по 150 мкл, содержащих 105 клеток, в каждую лунку 96-луночного черного планшета с прозрачным дном. Исследуемые соединения разбавляли из концентрированного 20 мМ раствора в чистом ДМСО до конечной концентрации в диапазоне от 10-5 М до 10-11 М в 20 мМ растворе HEPES, содержащем 0,1% БСА. Агонист rh-MIP-1 Ответную реакцию (приток кальция) выражали в виде зависимости максимальной флуоресценции в относительных единицах флуоресценции от концентрации соединения, при этом определяли величину IC50. Соединения по настоящему изобретению ингибировали приток Са2+ в ответ на действие MIP1 По данным указанных выше анализов агенты по настоящему изобретению в значительной степени блокируют действие MIP1 Агенты по настоящему изобретению можно использовать для профилактики и лечения заболеваний или патологических состояний, опосредованных CCR1 или MIP1 К заболеваниям или состояниям, которые можно лечить агентами по настоящему изобретению, относятся воспалительные процессы или аллергические состояния, включая респираторные аллергические заболевания, такие как астма, аллергический ринит, хроническое обструктивное заболевание легких, гиперчувствительные заболевания легких, гиперчувствительный пневмонит, интерстициальный легочный процесс (ИЛП) (например, идиопатический легочный фиброз или ассоциированные с ИЛП аутоиммунные заболевания, такие как ревматоидный артрит, системная красная волчанка и т.п.); анафилакисия или гиперчувствительная ответная реакция, аллергия на лекарственные средства (например, к пенициллинам или цефалоспоринам) и аллергия на укусы насекомых, воспалительные заболевания кишечника, такие как болезнь Крона и язвенный колит; спондилоартропатия, склерома; псориаз и воспалительные дерматозы, такие как дерматит, экзема, диффузный нейродерматит, аллергический контактный дерматит, крапивница, васкулит; аутоиммунные заболевания, прежде всего заболевания с этиологией, включающей воспалительный компонент, такие как артрит (например, ревматоидный артрит, хронический прогрессирующий артрит, псориазный артрит и деформирующий артрит) и ревматические заболевания, включающие воспалительные состояния и ревматические заболевания, включая потерю костной ткани, воспалительную боль, гиперчувствительность (включая гиперчувствительность дыхательных путей и кожных покровов) и аллергии. К специфическим аутоиммунным заболеваниям, которые можно лечить агентами по настоящему изобретению, относятся аутоиммунные гематологические нарушения (включая гемолитическую анемию, апластичную анемию, истинную эритроцитарную анемию и идиопатическую тромбоцитопению), системная красная волчанка, полихондрия, склерома, гранулематоз Вегенера, дерматомиозит, хронический активный гепатит, астенический бульбарный паралич, псориаз, синдром Стивенса-Джонсона, идиопатический спру, аутоиммунное воспалительное заболевание кишечника (включая, например, язвенный колит, болезнь Крона и синдром раздраженного кишечника), аутоиммунный тиреоидит, болезнь Бехчета, эндокринная офтальмопатия, базедова болезнь, саркоидоз, рассеянный склероз, билиарный первичный цирроз печени, юношеский диабет (сахарный диабет, тип I), увеит (передний и задний), сухой кератоконъюктивит и весенний кератоконъюктивит, интерстициальный фиброз легких и гломерулонефрит (сопровождается нефротическим синдромом или без него, например, включая идиопатический нефротический синдром или нефропатию с минимальными изменениями); отторжение трансплантата (например, при пересадке сердца, легкого, совместной пересадке легкого-сердца, печени, почки, поджелудочной железы, кожи или роговицы глаза), включая отторжение аллотрансплантата или ксенотрансплантата, или заболевание, связанное с реакцией хозяина на трансплантат, и артериосклероз, связанный с пересадкой органа; атеросклероз; онкологическое заболевание с инфильтрацией лейкоцитов в кожу или органы; стеноз или рестеноз сосудов, прежде всего артерий, например, коронарной артерии, включая стеноз или рестеноз после операции на сосудах, а также неоинтимальная гиперплазия; и другие заболевания или состояния, включая воспалительные ответные реакции, включая повреждения при реперфузии, гематологические онкологические заболевания, индуцированная цитокинами токсичность (например, септический шок или эндотоксический шок),полимиозит, дерматомиозит и гранулематозные заболевания, включая саркоидоз. Термин «лечение», использованный в данном описании, означает как терапевтический, так и профилактический тип лечения, например, при лечении неоплазии – лечение для предотвращения начальных клинических или доклинических признаков неоплазии, или для предотвращения роста злокачественных клеток или для остановки или снижения превращения предраковых клеток в злокачественные клетки, а также профилактика или подавление развития неоплазии или метастазирования. В данном контексте настоящее изобретение включает прежде всего применение соединений по настоящему изобретению для подавления или предотвращения развития рака кожи, например, плоскоклеточной или базально-клеточной карциномы, вызванной УФ-облучением, например, в результате постоянного облучения солнечными лучами. Агенты по настоящему изобретению прежде всего можно использовать для лечения заболеваний, связанных с нарушениями метаболизма костной ткани и хрящей, включая остеоартрит, остеопороз и другие воспалительные артриты, например, потерю костной ткани при старении и прежде всего периодонтальные заболевания. Агенты по настоящему изобретению можно также использовать в офтальмологии, включая лечение отальмологических нарушений, прежде всего офтальмологических воспалительных нарушений, глазной боли, включая боль, связанную с офтальмологической хирургией, такой как PRK или операция по удалению катаракты, лечение офтальмологической аллергии, фотофобии различной этиологии, повышенного внутриглазного давления (при глаукоме), причем указанное лечение осуществляется за счет подавления образования белка глюкокортикоидной ответной реакции, индуцированного трабекулярной сеточкой (TIGR), и болезни сухих глаз. Соответствующая дозировка для лечения указанных выше показаний зависит, например, от используемого конкретного агента по настоящему изобретению, субъекта, нуждающегося в лечении, способа введения, природы и тяжести состояния, которое требуется вылечить. Однако, при использовании в профилактических целях удовлетворительные результаты в основном получают при использовании доз от приблизительно 0,05 мг до приблизительно 10 мг на кг массы тела. Агент по настоящему изобретению обычно вводят пероральным, парентеральным, внутривенным способом, например, в локтевую вену или другую периферическую вену, внутримышечным или подкожным способом. Например, лечение обычно включает введение агента по настоящему изобретению от одного раза до трех раз в сутки. Фармацевтические композиции по настоящему изобретению можно получить стандартным способом. Агенты по настоящему изобретению можно вводить любым стандартным способом, например, пероральным способом, например, в форме растворов для приема внутрь, таблеток или капсул, или парентеральным способом, например, в форме растворов или суспензий для инъекции. Обычно при системном введении предпочтительны пероральные лекарственные формы, хотя при некоторых показаниях агенты по настоящему изобретению вводят местным или дермальным способом, например, в форме крема или геля для кожи или аналогичного препарата, или при введении в глаз, в форме глазного крема, геля или глазных капель, или агенты можно вводить ингаляцией, например, при лечении астмы. Пригодные стандартные лекарственные формы для перорального введения составляют, например, от 25 до 1000 мг агента по настоящему изобретению на одну стандартную дозу. В связи с изложенным выше, в настоящем изобретении предлагается также ряд вариантов воплощения изобретения: А. Способ ингибирования рецептора 1 хемокинов (CCR-1) или снижение интенсивности воспаления у субъекта (то есть у млекопитающего, прежде всего человека), нуждающегося в таком лечении, причем способ включает введение указанному субъекту эффективного количества агента по настоящему изобретению, или способ лечения любого из указанных выше состояний, прежде всего способ лечения воспалительного или аутоиммунного заболевания или состояния, например, ревматоидного артрита, или снижение интенсивности одного или более симптомов любого из указанных выше состояний. Б. Агент по настоящему изобретению для применения в качестве фармацевтического препарата, например, для применения в качестве иммунодепрессанта или противовоспалительного агента или для применения при профилактике, снижении интенсивности или лечении любого описанного выше заболевания или состояния, например, аутоиммунного или воспалительного заболевания или состояния. В. Фармацевтическая композиция, включающая агент по настоящему изобретению в смеси с фармацевтически приемлемым разбавителем или носителем, например, для применения в качестве иммунодепрессанта или противовоспалительного агента или для применения при профилактике, снижении интенсивности или лечении любого заболевания или состояния, описанного выше, например, аутоиммунного или воспалительного заболевания или состояния. Г. Применение агента по настоящему изобретению для получения лекарственного средства, предназначенного для применения в качестве иммунодепрессанта или противовоспалительного агента или для применения при профилактике, снижении интенсивности или лечении любого заболевания или состояния, описанного выше, например, аутоиммунного или воспалительного заболевания или состояния.
Формула изобретения
1. Соединение формулы I или его фармацевтически приемлемая соль, или сложный эфир
в котором R1 означает -X-R10, -X-(R10)2 или -NR11R12, где Х означает связующее звено, содержащее 1 атом, или цепь, содержащую 2, 3 или 4 атома, выбранные из N, С, О или S, и где указанное связующее звено содержит 2 или более атомов углерода, причем связующее звено может содержать 1 или более связей С=С или С где любой из указанных атомов имеет до 2 необязательных заместителей, выбранных из ряда: водород, оксогруппа, цианогруппа, необязательно замещенная метокси- или гидроксигруппами оксигруппа, (низш.)алкил, карбонил или серосодержащая группа; R10 означает заместитель, который независимо выбран из группы, включающей водород, цианогруппу, оксигруппу, необязательно замещенную (низш.)алкилом, (низш.)алкил, карбонил, замещенный (низш.)алкилом или аминогруппой, аминогруппу, моно- или бициклический 5- и/или 6-членный гетероциклоалкил, содержащий 1-3 атома N и/или О, необязательно замещенный одним или несколькими заместителями, выбранными из ацетила, оксогруппы, (низш.)алкила, (низш.)алкилоксикарбонила, бензила, гидроксила или (низш.)алкиламиногруппы, или моноциклический 5-членный гетероарил, содержащий 1-3- атома N и/или S, необязательно замещенный (низш.)алкилом или ацетиламиногруппой; R11 и R12 каждый означает (низш.)алкил, соединенные таким образом, что R1 представляет собой моноциклический 5-членный гетероциклоалкил, содержащий 1-3 атома N, или моноциклический 5-членный гетероарил, содержащий 1-3 атома N, необязательно замещенный (низш.)алкилом или необязательно спиро-сконденсированные с циклопентилом или циклогексилом; R2 и R7 означают один или несколько заместителей, присоединенных к фенильному кольцу, выбранных из группы, включающей водород, цианогруппу, галоген, оксигруппу, необязательно замещенную (низш.)алкилом, который необязательно может быть замещен одним или несколькими галогенами, гетероциклоалкил, содержащий 6 атомов в цикле и 1 или 2 гетероатома, выбранных из N и/или S, или заместитель, образующий бициклическую систему, в которой фенильное кольцо, к которому этот заместитель присоединен, образует часть бицикла, например, бутадиен образует нафтил, или гетеробутадиен образует хинолинил или изохинолинил; R3 и R4 обозначают водород; R5 и R6 независимо выбраны из группы, включающей водород, (низш.)алкил, необязательно замещенный оксогруппой, гидроксилом, аминогруппой, бензилоксигруппой, N-гидроксииминогруппой. 2. Соединение формулы I или его фармацевтически приемлемая соль, или сложный эфир
в котором R1 означает мочевину или N-цианогуанидин, -N-C-R10 или -C-N-R10, где атом углерода замещен оксогруппой, a R10 означает незамещенные метил, пиперидинил, имидазолидинил, пирролидинил или морфолино, либо метил, пиперидинил, имидазолидинил, пирролидинил или морфолино, замещенные водородом, метилом, бензилом, ацетилом, оксо, диметиламино, изопропилом, гидрокси или этиловым эфиром муравьиной кислоты, -N-S-R10 или -S-N-R10, где атом или атомы S замещены двумя оксогруппами, a R10 означает незамещенные метил, имидазолил, тиазолил, либо метил, имидазолил, тиазолил, замещенные водородом, метилом или ацетамидилом, -N-S-N-R10, где атом S замещен двумя оксогруппами, а атом N независимо необязательно замещен метильной группой и R10 означает водород или метил, -C -C=C-R10, где R10 означает незамещенный пиперидинил, либо пиперидинил, замещенный гидроксилом или метилом, -C-R10, где атом углерода необязательно замещен оксогруппой, a R10 означает 3-окса-1-азаспиро[4.4]нонан-2-он, гидроксигруппу, необязательно замещенные пирролидинил, морфолино, пиперазинил, метиловый эфир муравьиной кислоты, [1,2,4]триазол, имидазолидинил, тетразолил, -N(СН3)-ОСН3 или метоксигруппу, причем необязательно заместители означают водород, оксо, метил, ацетил, изопропил, метокси, гидрокси, метиловый эфир муравьиной кислоты, диметиламино или этанон, а также другие заместители, определенные в п.1. 3. Соединение по п.1 или 2, в котором R2 и R7 означают водород, цианогруппу, галоген, бутадиенил, метокси, этокси, 2-метоксиэтокси, морфолино, трифторметокси, 2-метилпропокси или 2-пропоксигруппу. 4. Соединение по п.1 или 2, в котором R5 и R6 независимо выбраны из группы, включающей водород, (низш.)алкил и ацетил. 5. Соединение формулы IIa или его фармацевтически приемлемая соль или сложный эфир
в котором R”1 означает -NR”11R”12, где -NR”11R”12 в общем случае означает имидазолидинил-2,4-дион, необязательно замещенный одной или двумя (низш.)алкильными группами, R2, R5, R6 и R7 определены в п.1. 6. Соединение формулы I по п.1, выбранное из группы, включающей N-(5-хлор-2-[(Е)-3-[(R)-4-(4-фторбензил)-2-метилпиперазин-1-ил]-3-оксопропенил]фенил)-N’-цианогуанидин, N-(5-хлор-2-[(Е)-3-[(R)-4-(4-фторбензил)-2-метилпиперазин-1-ил]-3-оксопропенил]фенил)ацетамид, N-(5-хлор-2-[(Е)-3-[(S)-4-(4-фторбензил)-2-метилпиперазин-1-ил]-3-оксопропенил]фенил)ацетамид, (5-хлор-2-[(Е)-3-[(R)-4-(4-фторбензил)-2-метилпиперазин-1-ил]-3-оксопропенил]фенил)мочевину, (5-хлор-2-[(Е)-3-[(S)-4-(4-фторбензил)-2-метилпиперазин-1-ил]-3-оксопропенил]фенил)мочевину, N-(5-хлор-2-[(Е)-3-[(R)-4-(4-фторбензил)-2-метилпиперазин-1-ил]-3-оксопропенил]фенил)-N,N-диметилсульфамид, N-(5-хлор-2-[(Е)-3-[(R)-4-(4-фторбензил)-2-метилпиперазин-1-ил]-3-оксопропенил]фенил)метансульфонамид, (5-хлор-2-{(Е)-3-[(R)-4-(4-фторбензил)-2-метилпиперазин-1-ил]-3-оксопропенил}фенил)амид 1-ацетилпиперидин-4-карбоновой кислоты, (5-хлор-2-[(Е)-3-[(R)-4-(4-фторбензил)-2-метилпиперазин-1-ил]-3-оксопропенил]фенил)амид 1-метил-1Н-имидазол-4-сульфоновой кислоты, N-[5-(5-хлор-2-[(Е)-3-[(R)-4-(4-фторбензил)-2-метилпиперазин-1-ил]-3-оксопропенил]фенилсульфамоил)тиазол-2-ил]ацетамид, (5-хлор-2-[(Е)-3-[(R)-4-(4-фторбензил)-2-метилпиперазин-1-ил]-3-оксопропенил]фенил)амид 2-оксоимидазолидин-1-карбоновой кислоты, N-(4-хлор-2-[(Е)-3-[4-(4-фторбензил)-2-метилпиперазин-1-ил]-3-оксопропенил]фенил)метилтио-N’-цианотиомочевина, N-(4-хлор-2-[(Е)-3-[4-(4-фторбензил)-2-метилпиперазин-1-ил]-3-оксопропенил]фенил)сульфонилмочевина, (5-хлор-2-[(Е)-3-[(2R,5S)-4-(4-фторбензил)-2,5-диметилпиперазин-1-ил]-3-оксопропенил]фенил)мочевина, N-(5-хлор-2-[(Е)-3-[(2R,5S)-4-(4-фторбензил)-2,5-диметилпиперазин-1-ил]-3-оксопропенил]фенил)ацетамид, N-(5-хлор-2-[(E)-3-[(2S,5R)-4-(4-фторбензил)-2,5-диметилпиперазин-1-ил]-3-оксопропенил]фенил)ацетамид, (5-хлор-2-[(Е)-3-[(2S,5R)-4-(4-фторбензил)-2,5-диметилпиперазин-1-ил]-3-оксопропенил]фенил)мочевина, N-(5-хлор-2-[(Е)-3-[4-(4-фторбензил)пиперазин-1-ил]-3-оксопропенил]фенил)ацетамид, (5-хлор-2-[(Е)-3-[4-(4-фторбензил)пиперазин-1-ил]-3-оксопропенил]фенил)мочевина, (Е)-3-[4-хлор-2-(4-гидрокси-1-метилпиперидин-4-илэтинил)фенил]-1-[(R)-4-(4-фторбензил)-2-метилпиперазин-1-ил]пропенон, (Е)-3-[4-хлор-2-(4-гидрокси-1-метилпиперидин-4-илэтинил)фенил]-1-[(S)-4-(4-фторбензил)-2-метилпиперазин-1-ил]пропенон, (Е)-3-[4-хлор-2-[(Е)-2-(4-гидрокси-1-метилпиперидин-4-ил)винил]фенил]-1-[(R)-4-(4-фторбензил)-2-метилпиперазин-1-ил]пропенон, (Е)-3-[4-хлор-2-[(Е)-2-(4-гидрокси-1-метилпиперидин-4-ил)винил]фенил]-1-[(S)-4-(4-фторбензил)-2-метилпиперазин-1-ил]пропенон, трет-бутиловый эфир 4-(5-хлор-2-[(Е)-3-[(R)-4-(4-фторбензил)-2-метилпиперазин-1-ил]-3-оксопропенил]фенилэтинил)-4-гидроксипиперидин-1-карбоновой кислоты, (Е)-3-[4-хлор-2-(4-гидроксипиперидин-4-илэтинил)фенил]-1-[(R)-4-(4-фторбензил)-2-метилпиперазин-1-ил]пропенон, (Е)-3-[2-(3-амино-3-метилбут-1-инил-4-хлорфенил]-1-[(R)-4-(4-фторбензил)-2-метилпиперазин-1-ил]пропенон, (Е)-3-[4-хлор-2-(3-диметиламинопроп-1-инил)фенил]-1-[4-(4-фторбензил)-2-метилпиперазин-1-ил]пропенон, (Е)-3-[4-хлор-2-(3-гидрокси-3-метилбут-1-инил)фенил]-1-[4-(4-фторбензил)-2-метилпиперазин-1-ил]пропенон, N-(3-[(Е)-3-[(R)-4-(4-фторбензил)-2-метилпиперазин-1-ил]-3-оксопропенил]нафтален-2-ил)ацетамид, (3-[(Е)-3-[(R)-4-(4-фторбензил)-2-метилпиперазин-1-ил]-3-оксопропенил]нафтален-2-ил)мочевина, N-(3-[(Е)-3-[(R)-4-(4-фторбензил)-2-метилпиперазин-1-ил]-3-оксопропенил]нафтален-2-ил)-N’-цианогуанидин, N-(4-хлор-2-[(Е)-3-[4-(4-фторбензил)-2-метилпиперазин-1-ил]-3-оксопропенил]фенил)-N’-цианогуанидин, N-(4-хлор-2-[(Е)-3-[4-(4-фторбензил)-2-метилпиперазин-1-ил]-3-оксопропенил]фенил)ацетамид, N-(6-[(Е)-3-[(R)-4-(4-фторбензил)-2-метилпиперазин-1-ил]-3-оксопропенил]хинолин-7-ил)ацетамид, (6-[(Е)-3-[(R)-4-(4-фторбензил)-2-метилпиперазин-1-ил]-3-оксопропенил]хинолин-7-ил)мочевина, N-(7-[(Е)-3-[(R)-4-(4-фторбензил)-2-метилпиперазин-1-ил]-3-оксопропенил]хинолин-6-ил)ацетамид, 2-диметиламино-N-(7-[(Е)-3-[(R)-4-(4-фторбензил)-2-метилпиперазин-1-ил]-3-оксопропенил]хинолин-6-ил)ацетамид, N-(7-[(Е)-3-[(R)-4-(4-фторбензил)-2-метилпиперазин-1-ил]-3-оксопропенил]хинолин-6-ил)метансульфонамид, N-(5-хлор-2-[(Е)-3-[(2R,5S)-4-(4-фторбензил)-2,5-диметилпиперазин-1-ил]-3-оксопропенил]фенил)цианогуанидин, N-(5-хлор-2-[(Е)-3-[(2R,5S)-4-(4-фторбензил)-2,5-диметилпиперазин-1-ил]-3-оксопропенил]фенил)-2-диметилацетамид, N-(5-хлор-2-[(Е)-3-[(2R,5S)-4-(4-фторбензил)-2,5-диметилпиперазин-1-ил]-3-оксопропенил]фенил)метансульфонамид, N-(5-хлор-2-[(Е)-3-[(2R,5S)-4-(4-фторбензил)-2,5-диметилпиперазин-1-ил]-3-оксопропенил]-4-метоксифенил)ацетамид, N-(5-хлор-2-[(Е)-3-[(2R,5S)-4-(4-фторбензил)-2,5-диметилпиперазин-1-ил]-3-оксопропенил]-4-метоксифенил)метансульфонамид, N-(5-хлор-2-[(Е)-3-(R)-4-(4-фторбензил)-2-метилпиперазин-1-ил]-3-оксопропенил)-4-(2-метоксиэтокси)фенил]ацетамид, N-(5-хлор-2-[(Е)-3-[(R)-4-(4-фторбензил)-2-метилпиперазин-1-ил]-3-оксопропенил]-4-морфолин-4-илфенил)ацетамид, N-(5-хлор-2-{(Е)-3-[(R)-2-этил-4-(4-фторбензил)пиперазин-1-ил]-3-оксопропенил}фенил)ацетамид, (5-хлор-2-{(Е)-3-[(R)-2-этил-4-(4-фторбензил)пиперазин-1-ил]-3-оксопропенил}фенил)мочевина, N-(5-хлор-4-этокси-2-{(Е)-3-[(R)-4-(4-фторбензил)-2-метилпиперазин-1-ил]-3-оксопропенил}фенил)ацетамид, (5-хлор-4-этокси-2-{(Е)-3-[(R)-4-(4-фторбензил)-2-метилпиперазин-1-ил]-3-оксопропенил}фенил)мочевина, N-(5-хлор-4-этокси-2-{(Е)-3-[(R)-4-(4-фторбензил)-2-метилпиперазин-1-ил]-3-оксопропенил}фенил)метансульфонамид, (5-хлор-4-этокси-2-{(Е)-3-[(R)-4-(4-фторбензил)-2-метилпиперазин-1-ил]-3-оксопропенил}фенил)амид 5-оксопирролидин-2-карбоновой кислоты, N-(5-хлор-2-{(Е)-3-[(S)-4-(4-фторбензил)-2-гидроксиметилпиперазин-1-ил]-3-оксопропенил}-4-метоксифенил)ацетамид, N-(5-хлор-2-{(Е)-3-[(S)-4-(4-фторбензил)-2-гидроксиметилпиперазин-1-ил]-3-оксопропенил}-4-метоксифенил)метансульфонамид, (5-хлор-2-{(Е)-3-[(S)-4-(4-фторбензил)-2-гидроксиметилпиперазин-1-ил]-3-оксопропенил}-4-метоксифенил)мочевина, (5-хлор-2-{(Е)-3-[(S)-4-(4-фторбензил)-2-гидроксиметилпиперазин-1-ил]-3-пропенил}-4-метоксифенил)амид 5-оксопирролидин-2-карбоновой кислоты, N-(5-хлор-2-{(Е)-3-[(S)-4-(4-фторбензил)-2-гидроксиметилпиперазин-1-ил]-3-оксопропенил}фенил)ацетамид, N-(2-{(Е)-3-[(R)-2-аминометил-4-(4-фторбензил)пиперазин-1-ил]-3-оксопропенил}-5-хлорфенил)ацетамид, N-(5-хлор-2-{(Е)-3-[(S)-4-(4-фторбензил)-2-((S)-1-гидроксиэтил)пиперазин-1-ил]-3-оксопропенил}фенил)ацетамид, N-(2-{(Е)-3-[(S)-2-ацетил-4-(4-фторбензил)пиперазин-1-ил]-3-оксопропенил}-5-хлорфенил)ацетамид, N-{5-хлор-2-[(Е)-3-((S)-4-(4-фторбензил)-2-{1-[гидроксиимино]этил}пиперазин-1-ил]-3-оксопропенил}ацетамид, N-(2-{(Е)-3-[(2S,5S)-2-бензилоксиметил-4-(4-фторбензил)-5-метилпиперазин-1-ил]-3-оксопропенил}-5-хлорфенил)ацетамид, (5-хлор-2-{(Е)-3-[(R)-4-(4-фторбензил)-2-метилпиперазин-1-ил]-3-оксопропенил}-4-метоксифенил)амид(S)-1-ацетилпирролидин-2-карбоновой кислоты, (5-хлор-2-{(Е)-3-[(R)-4-(4-фторбензил)-2-метилпиперазин-1-ил]-3-оксопропенил}-4-метоксифенил)амид(S)-1-изопропилпирролидин-2-карбоновой кислоты, (5-хлор-2-{(Е)-3-[(R)-4-(4-фторбензил)-2-метилпиперазин-1-ил]-3-оксопропенил}-4-метоксифенил)амид(R)-1-изопропилпирролидин-2-карбоновой кислоты, (5-хлор-2-{(Е)-3-[(R)-4-(4-фторбензил)-2-метилпиперазин-1-ил]-3-оксопропенил}-4-метоксифенил)амид(2S,4R)-1-ацетил-4-гидроксипирролидин-2-карбоновой кислоты, (Е)-3-(4-хлор-2-морфолин-4-илметилфенил)-1-[4-(4-фторбензил)-2-метилпиперазин-1-ил]пропенон, 1-(5-хлор-2-{(Е)-3-[4-(4-фторбензил)-2-метилпиперазин-1-ил]-3-оксопропенил}бензил)пирролидин-2-он, (Е)-3-(4-хлор-2-[1,2,4]триазол-1-илметилфенил)-1-[4-(4-фторбензил)-2-метилпиперазин-1-ил]пропенон, (Е)-3-[4-хлор-2-(4-метилпиперазин-1-илметил)фенил]-1-[4-(4-фторбензил)-2-метилпиперазин-1-ил]пропенон, (Е)-3-[2-(4-ацетилпиперазин-1-илметил)-4-хлорфенил]-1-[4-(4-фторбензил)-2-метилпиперазин-1-ил]пропенон, (Е)-3-[4-хлор-2-(4-изопропилпиперазин-1-илметил)фенил]-1-[(R)-[4-(4-фторбензил)-2-метилпиперазин-1-ил]пропенон, 1-(5-хлор-2-{(Е)-3-[(R)-4-(4-фторбензил)-2-метилпиперазин-1-ил]-3-оксопропенил}бензил)-3-окса-1-азаспиро[4.4]нонан-2-он, 3-(5-хлор-2-{(Е)-3-[(R)-4-(4-фторбензил)-2-метилпиперазин-1-ил]-3-оксопропенил}бензил)-5,5-диметилимидазолидин-2,4-дион, 3-(5-хлор-2-{(Е)-3-[(R)-4-(4-фторбензил)-2-метилпиперазин-1-ил]-3-оксопропенил}бензил)-1-метилимидазолидин-2,4-дион, (Е)-3-[4-хлор-2-(5-метилтетразол-1-илметил)фенил]-1-[(R)-[4-(4-фторбензил)-2-метилпиперазин-1-ил]пропенон, 5-хлор-2-{(Е)-3-[(R)-4-(4-фторбензил)-2-метилпиперазин-1-ил]-3-оксопропенил}-N-метокси-N-метилбензамид, Метиловый эфир 5-хлор-2-{(Е)-3-[4-(4-фторбензил)-2-метилпиперазин-1-ил]-3-оксопропенил}бензойной кислоты, Метиловый эфир 5 -хлор-2-{(Е)-3-[4-(4-фторбензил)-2-метилпиперазин-1-ил]-3-оксопропенил}фенил)уксусной кислоты, 5-хлор-2-{(Е)-3-[4-(4-фторбензил)-2-метилпиперазин-1-ил]-3-оксопропенил}бензойная кислота, 5-хлор-2-{(Е)-3-[(R)-4-(4-фторбензил)-2-метилпиперазин-1-ил]-3-оксопропенил}бензойная кислота, (Е)-3-[4-хлор-2-(4-метилпиперазин-1-карбонил)фенил]-1-[4-(4-фторбензил)-2-метилпиперазин-1-ил]пропенон, 5-хлор-2-{(Е)-3-[4-(4-фторбензил)-2-метилпиперазин-1-ил]-3-оксопропенил}-N-изопропилбензамид, 5-хлор-2-{(Е)-3-[4-(4-фторбензил)-2-метилпиперазин-1-ил]-3-оксопропенил}-N-(1-метилпиперидин-4-ил)бензамид, N-(1-бензилпиперидин-4-ил)-5-хлор-2-{(Е)-3-[4-(4-фторбензил)-2-метилпиперазин-1-ил]-3-оксопропенил}бензамид, Этиловый эфир 4-(5-хлор-2-{(Е)-3-[4-(4-фторбензил)-2-метилпиперазин-1-ил]-3-оксопропенил}бензоиламино)пиперидин-1-карбоновой кислоты, Метиловый эфир (2S,4R)-1-(5-хлор-2-{(Е)-3-[(R)-4-(4-фторбензил)-2-метилпиперазин-1-ил]-3-оксопропенил}бензоил)-4-гидроксипирролидин-2-карбоновой кислоты, (Е)-3-[4-хлор-2-((R)-3-диметиламинопирролидин-1-карбонил)фенил]-1-[(R)-4-(4-фторбензил)-2-метилпиперазин-1-ил]пропенон, (Е)-3-[4-хлор-2-((S)-3-диметиламинопирролидин-1-карбонил)фенил]-1-[(R)-4-(4-фторбензил)-2-метилпиперазин-1-ил]пропенон, (Е)-3-[2-(4-ацетилпиперазин-1-карбонил)-4-хлорфенил]-1-[(R)-[4-(4-фторбензил)-2-метилпиперазин-1-ил]пропенон, N-(5-хлор-2-{(Е)-3-[4-(4-хлорбензил)-2-метилпиперазин-1-ил]-3-оксопропенил}фенил)ацетамид, N-(5-хлор-2-{(Е)-3-[4-(3-фторбензил)-2-метилпиперазин-1-ил]-3-оксопропенил}фенил)ацетамид, N-(5-хлор-2-{(Е)-3-[4-(2,4-дифторбензил)-2-метилпиперазин-1-ил]-3-оксопропенил}фенил)ацетамид, N-(5-хлор-2-{(Е)-3-[4-(4-цианобензил)-2-метилпиперазин-1-ил]-3-оксопропенил}фенил)ацетамид, N-(5-хлор-2-{(Е)-3-[(R)-4-(4-фторбензил)-2-метилпиперазин-1-ил]-3-оксопропенил}-4-метоксифенил)ацетамид, N-(5-хлор-4-фтор-2-{(Е)-3-[(R)-4-(4-фторбензил)-2-метилпиперазин-1-ил]-3-оксопропенил}фенил)ацетамид, (5-хлор-2-{(Е)-3-[(R)-4-(4-фторбензил)-2-метилпиперазин-1-ил]-3-оксопропенил}-4-метоксифенил)мочевина, N-(5-хлор-4-фтор-2-{(Е)-3-[(R)-4-(4-фторбензил)-2-метилпиперазин-1-ил]-3-оксопропенил}фенил)метансульфонамид, (5-хлор-4-фтор-2-{(Е)-3-[(R)-4-(4-фторбензил)-2-метилпиперазин-1-ил]-3-оксопропенил}фенил)мочевина, N-(5-хлор-4-циано-2-{(Е)-3-[(R)-4-(4-фторбензил)-2-метилпиперазин-1-ил]-3-оксопропенил}фенил)ацетамид, N-(5-хлор-2-{(Е)-3-[(R)-4-(4-фторбензил)-2-метилпиперазин-1-ил]-3-оксопропенил}-4-трифторметоксифенил)ацетамид, (5-хлор-2-{(Е)-3-[(R)-4-(4-фторбензил)-2-метилпиперазин-1-ил]-3-оксопропенил}-4-трифторметоксифенил)мочевина, N-(5-хлор-2-{(Е)-3-[(R)-4-(4-фторбензил)-2-метилпиперазин-1-ил]-3-оксопропенил}-4-изобутоксифенил)ацетамид, N-(5-хлор-2-{(Е)-3-[(R)-4-(4-фторбензил)-2-метилпиперазин-1-ил]-3-оксопропенил}-4-изопропоксифенил)ацетамид, 3-(5-хлор-2-{(Е)-3-[(R)-4-(4-фторбензил)-2-метилпиперазин-1-ил]-3-оксопропенил}-4-метоксифенил)-5,5-диметилимидазолидин-2,4-дион, 3-(5-хлор-2-{(Е)-3-[(R)-4-(4-фторбензил)-2-метилпиперазин-1-ил]-3-оксопропенил}-4-метоксифенил)имидазолидин-2,4-дион, 3-(5-хлор-2-{(Е)-3-[(R)-4-(4-фторбензил)-2-метилпиперазин-1-ил]-3-оксопропенил}-4-метоксифенил)-1,3-диазаспиро[4.4]нонан-2,4-дион, 3-(5-хлор-4-фтор-2-{(Е)-3-[(R)-4-(4-фторбензил)-2-метилпиперазин-1-ил]-3-оксопропенил}фенил)-1,3-диазаспиро[4.5]декан-2,4-дион, 3-(5-хлор-4-фтор-2-{(Е)-3-[(R)-4-(4-фторбензил)-2-метилпиперазин-1-ил]-3-оксопропенил}фенил)-5,5-диметилимидазолидин-2,4-дион, (5-хлор-2-{(Е)-3-[(R)-4-(4-фторбензил)-2-метилпиперазин-1-ил]-3-оксопропенил}-4-метоксифенил)амид морфолин-4-карбоновой кислоты, (5-хлор-2-{(Е)-3-[(R)-4-(4-фторбензил)-2-метилпиперазин-1-ил]-3-оксопропенил}-4-метоксифенил)амид пирролидин-1-карбоновой кислоты, Метиловый эфир 5-хлор-2-{(Е)-3-[(R)-4-(4-фторбензил)-2-метилпиперазин-1-ил]-3-оксопропенил}-4-метоксибензойной кислоты, (Е)-3-[2-(4-ацетилпиперазин-1-карбонил)-4-хлор-5-метоксифенил]-1-[(R)-4-(4-фторбензил)-2-метилпиперазин-1-ил]пропенон, или их фармацевтически приемлемые соли или сложные эфиры. 7. Способ ингибирования рецепторов хемокина (CCR-1), включающий введение нуждающемуся в этом субъекту эффективного количества соединения по одному из пп.1-6. 8. Соединение по любому из пп.1-6, обладающее ингибирующей активностью в отношении рецепторов хемокина (CCR-1). 9. Фармацевтическая композиция, обладающая ингибирующей активностью в отношении рецепторов хемокина (CCR-1), содержащая соединение по одному из пп.1-6 в эффективном количестве, в смеси с фармацевтически приемлемым разбавителем или носителем. 10. Применение соединения по одному из пп.1-6 для получения лекарственного средства, обладающего ингибирующей активностью в отношении рецепторов хемокина (CCR-1).
|
||||||||||||||||||||||||||



С;



то атом или атомы S предпочтительно замещены двумя оксогруппами.
то R’10 предпочтительно означает необязательно замещенные метил, имидазолил, тиазолил.
то R’10 предпочтительно необязательно замещен группами водород, метил, ацетамидил.
включают N-метансульфонилметансульфонамид.
.







































]D=-66,2°; c=0,5 в МеОН.











































































































































































