Патент на изобретение №2347781
|
||||||||||||||||||||||||||||||||||||||||||||||||||||||||||||||||||||||||||||||||||||||||||||||||||||||||||||||||||||||||||||||||||||||||||||||||||||||||||||||||||||||||||||||||||||||||||||||||||||||||||||||||||||
(54) ПРОИЗВОДНОЕ ПРОПАН-1,3-ДИОНА ИЛИ ЕГО СОЛЬ
(57) Реферат:
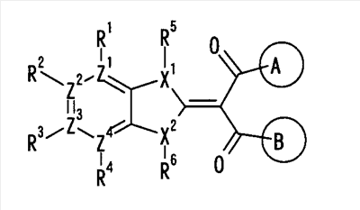
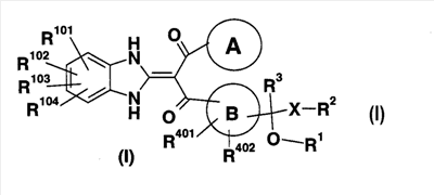
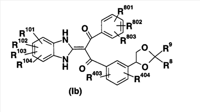
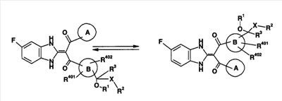
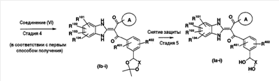
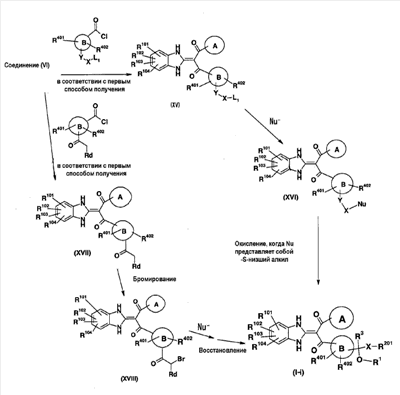
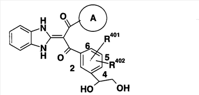
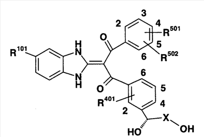
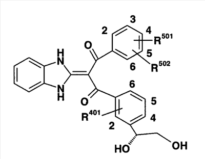
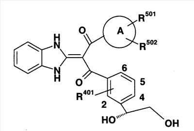
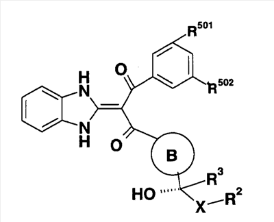
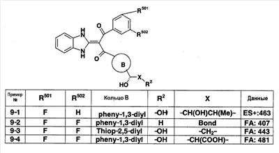
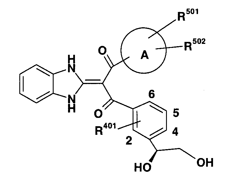
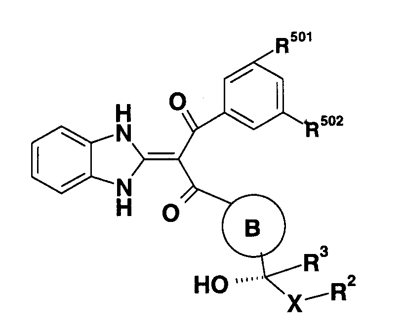
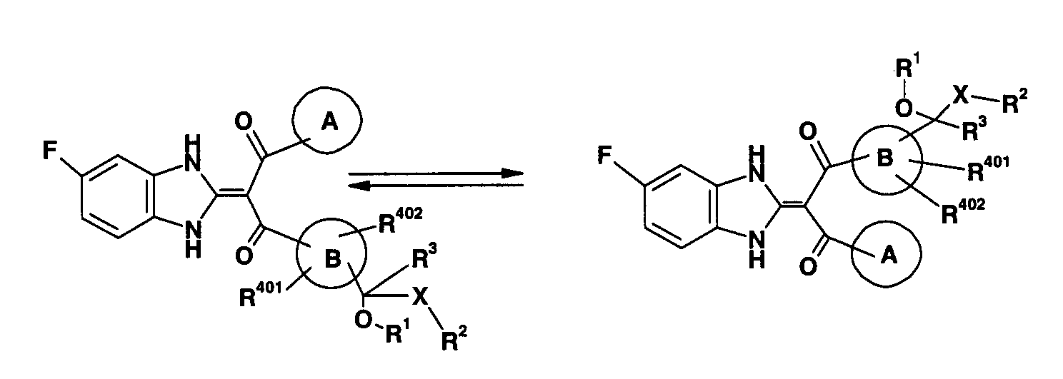
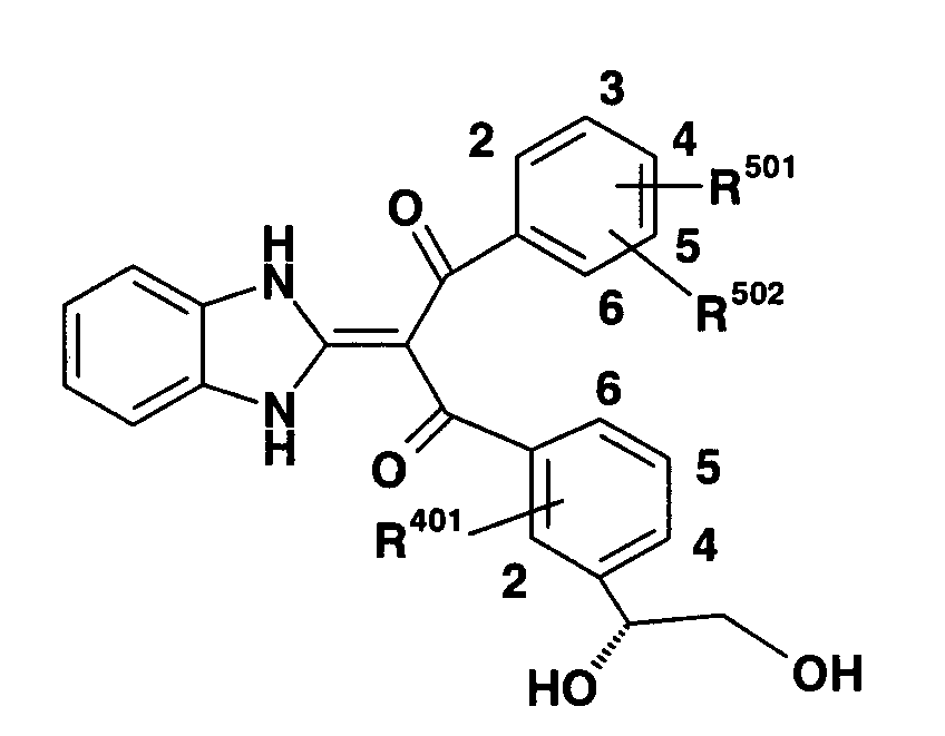
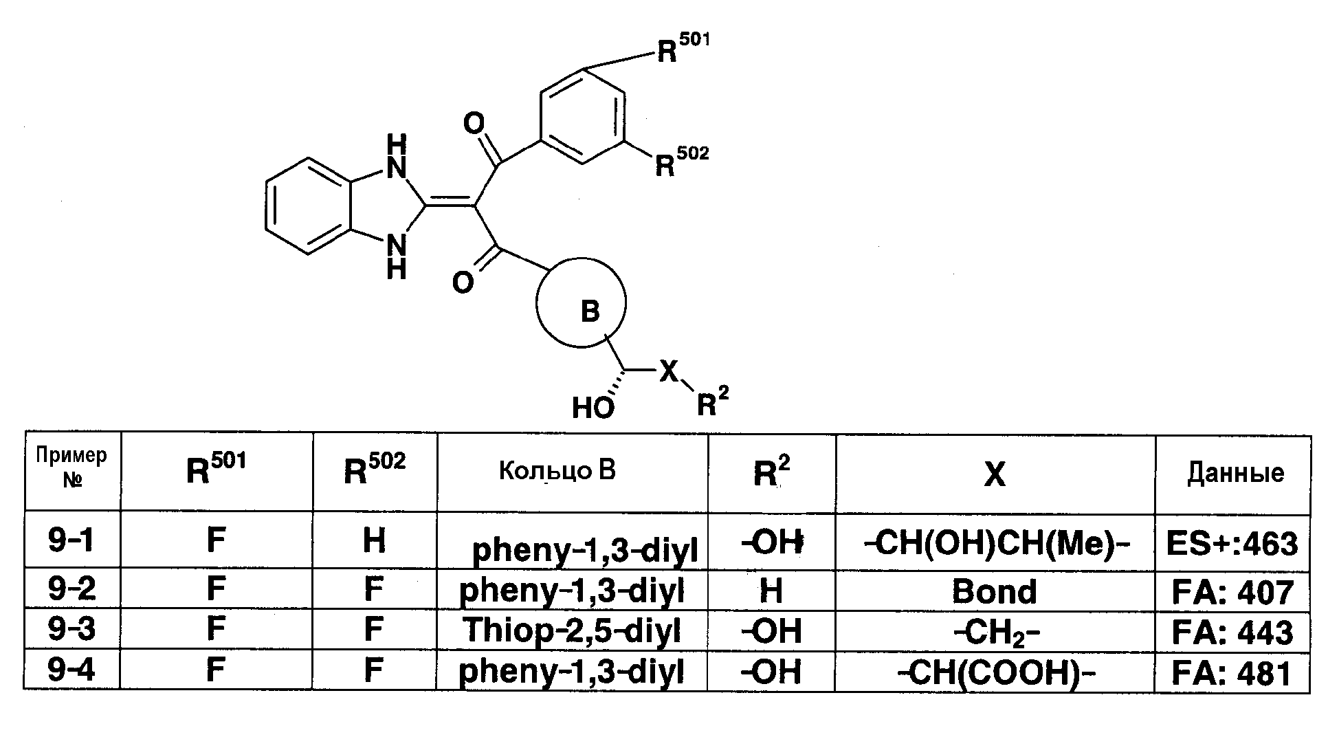
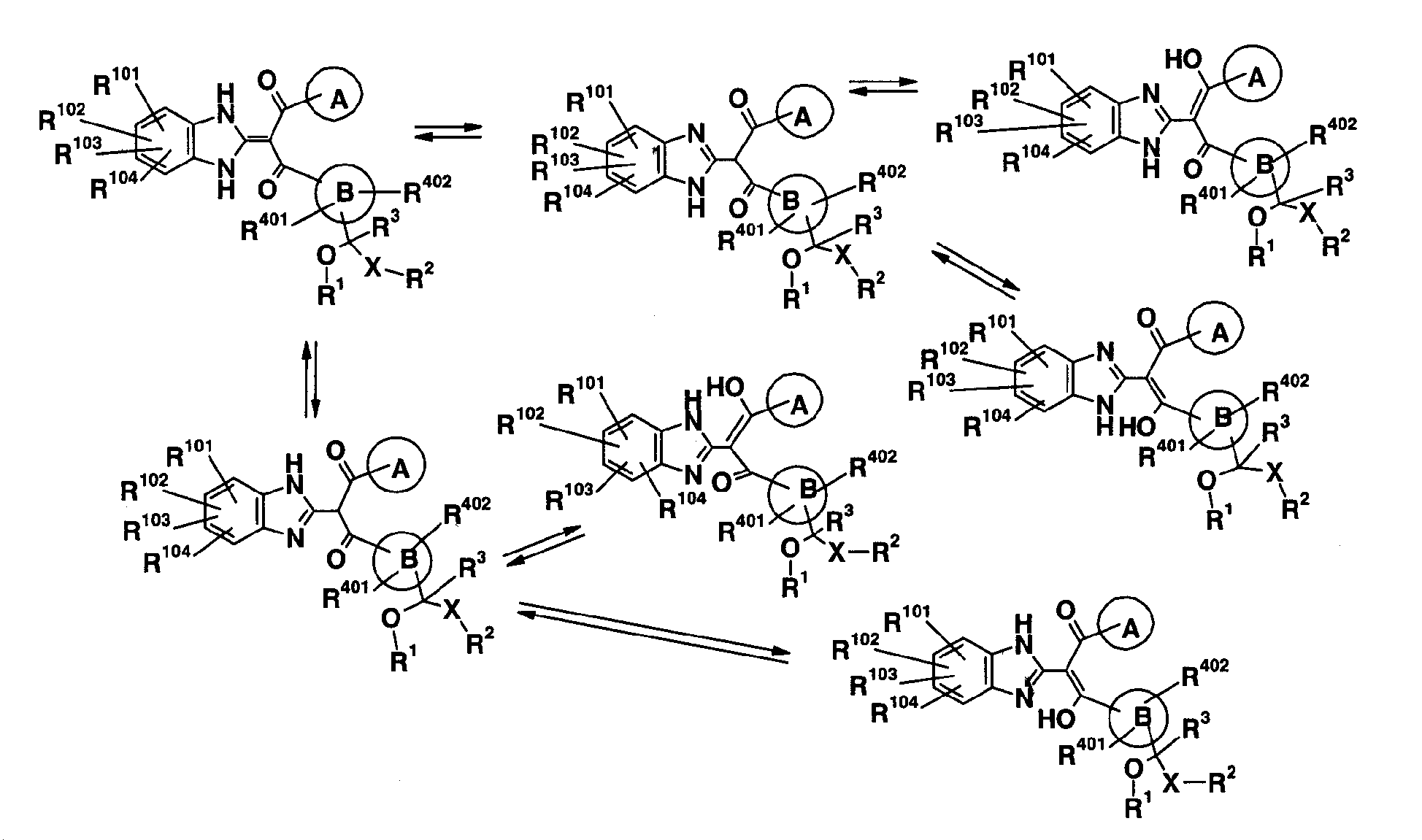
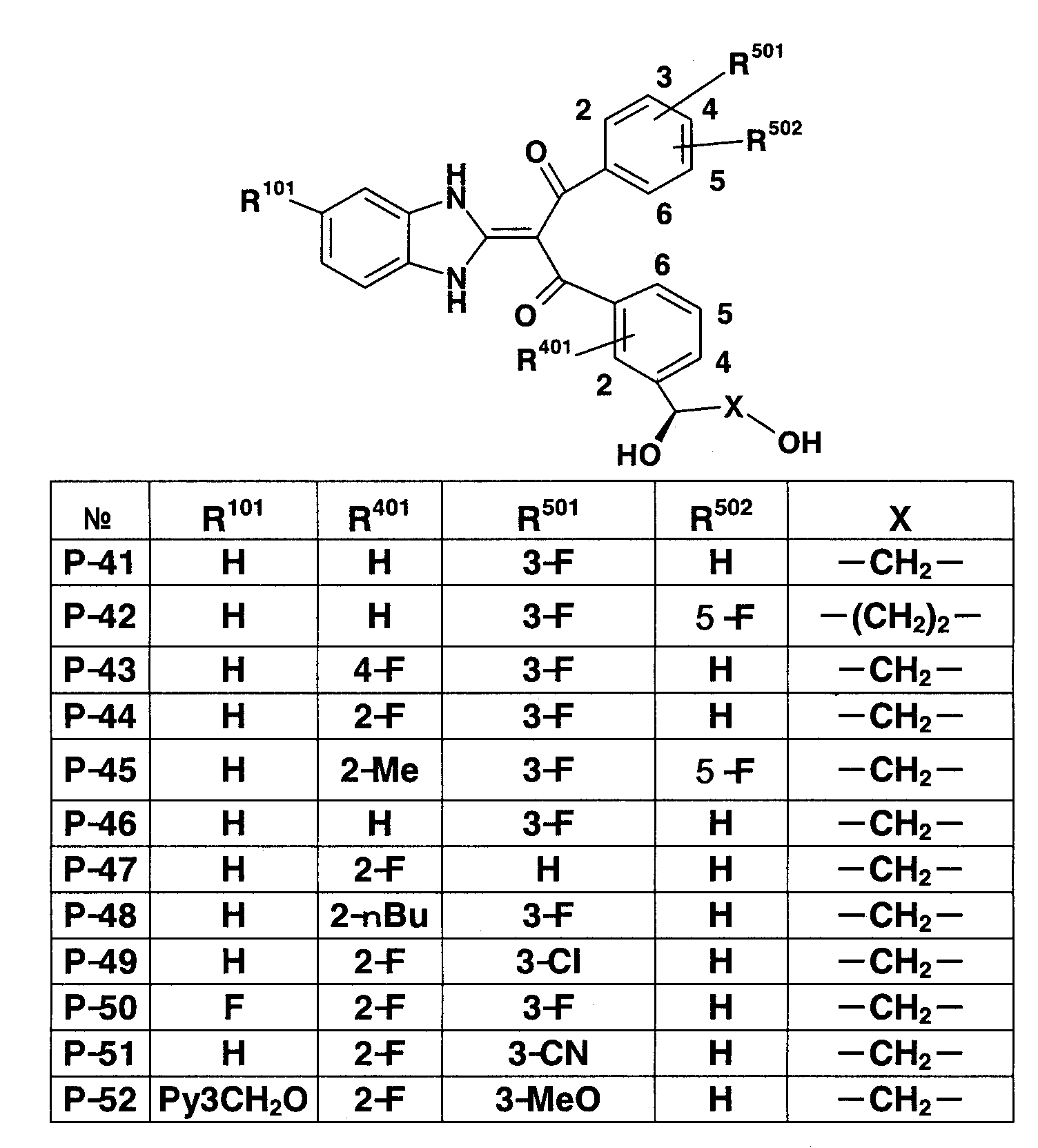
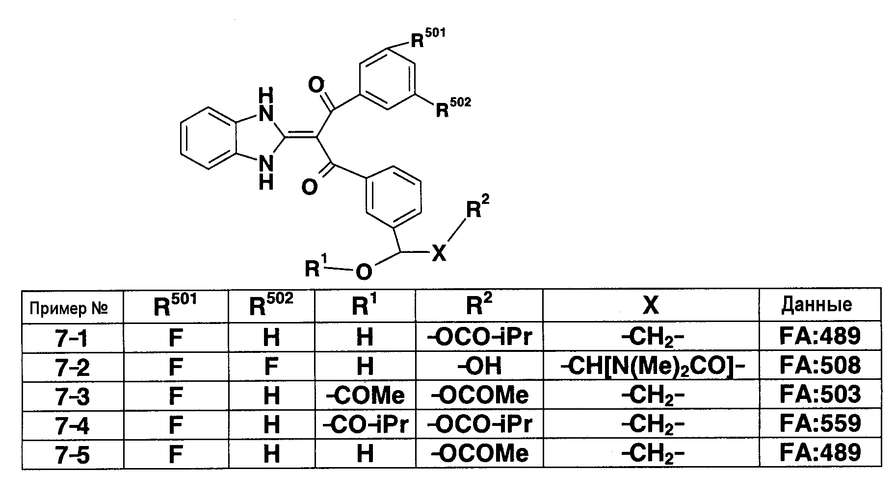
Описывается производное пропан-1,3-диона общей формулы (I) или его фармацевтически приемлемая соль, в которой символы обозначают следующее: кольцо А: бензол, который может быть замещен, пиридин, который может быть замещен, или тиофеновое кольцо; кольцо В: бензольное или тиофеновое кольцо; R1: Н или -СО-низший алкил; R2: H, -O-R5, -N(R6)R7, -N3, -S(O)m-низший алкил, пиридил или имидазолил, которые могут быть замещены; R3: Н или низший алкил; X: связь, низший алкилен, который может быть замещен, или циклоалкандиил. Описываются также производные пропан-1,3-диона формул (Ia) и (Ib) и фармацевтическая композиция. Предложенные соединения полезны в качестве антагонистов рецептора GnRH и полезны при лечении заболеваний, зависящих от половых гормонов, таких как рак простаты, рак груди, эндометриоз, маточная лейомиома и доброкачественная гипертрофия предстательной железы. 4 н. и 6 з.п. ф-лы, 26 табл.
Область техники Настоящее изобретение относится к новому производному пропан-1,3-диона, которое полезно в качестве лекарственного средства, в частности в качестве терапевтического агента для заболеваний, зависящих от половых гормонов. Уровень техники Известно, что гормон гипоталамуса или гормон гипофиза связан с механизмом, контролирующим выделение периферических гормонов. В общем случае секреция гормонов передней доли гипофиза контролируется с помощью ускоряющего секрецию гормона или ингибирующего секрецию гормона, выделяемых из его дальнего центрального гипоталамуса, или с помощью периферического гормона, выделяемого из органа-мишени соответствующего гормона. Гонадотропин – высвобождающий гормон (который обозначается далее как GnRH, и GnRH также называют фактором, высвобождающим лютеинизирующий гормон, LHRH) известен как гормон, который контролирует секрецию половых гормонов при наиболее высоком положении и контролирует секрецию гормонов передней доли гипофиза лютеинизирующего гормона (далее обозначаемый как LH) и фолликулостимулирующего гормона (далее обозначаемый FSH), а также половых гормонов в половых железах, посредством рецептора, который присутствует в передней доле гипофиза (далее называемый рецептором GnRH) (Hormone To Rinsho (Hormone and Clinics), специальный номер источника, 46, 46-57 (1998)). Так как антагонисты, специфические и селективные для такого рецептора GnRH, регулируют действие GnRH и контролируют секрецию подчиненных LH и FSH, а также половых гормонов, они рассматриваются как профилактические или терапевтические агенты для заболеваний, зависящих от половых гормонов (см. приведенный выше Hormone and Clinics, специальный номер источника (1998)). На сегодняшний день в качестве антагонистов рецептора GnRH на рынке представлены пептидные соединения цетрореликс (непатентная ссылка 1) и абареликс (непатентная ссылка 2). Альтернативно в качестве непептидных соединений, обладающих антагонизмом в отношении рецепторов GnRH, в настоящее время клинические испытания проходят производное тиенопиримидина ТАК-013 (непатентная ссылка 3) и производное урацила NBI-42902 (непатентная ссылка 4). Кроме того, в патентной ссылке 1 раскрыто, что производное пропан-1,3-диона обладает антагонистическим действием в отношении рецептора GnRH. (В формуле А и В могут быть одинаковыми или отличаются друг от друга и каждый представляет собой арил, который может быть замещен, или гетероарил, который может быть замещен. Подробнее см. приведенный выше официальный орган печати). Несмотря на то, что соединение, содержащее 1-гидроксиалкильную группу в качестве замещающей группы в кольце А или в кольце В, включено в объем типичного концептуального производного пропан-1,3-диона, содержащего группу d в качестве замещающей группы в кольцах, в патентной ссылке 1 отсутствует иллюстративное описание для указанного соединения. [Непатентная ссылка 1] Proc. Natl. Acad. Sci., USA, 85, 1637-1641, 1988. [Непатентная ссылка 2] J. Urol., 167, 1670-1674, 2002. [Непатентная ссылка 3] J. Clin. Endocrinol. Metab., 88, 1697-1704, 2003. [Непатентная ссылка 4] J. Med. Chem., 2005, 48, 1169-1178. [Патентная ссылка 1] International Piblication WO 02/02533. Описание изобретения Проблемы, которые решает настоящее изобретение Целью настоящего изобретения является разработка лекарственного средства, которая проявляет прекрасное антагонистическое действие в отношении рецептора GnRH в живом организме, в особенности разработка нового соединения, которое полезно в качестве терапевтического агента при раке простаты, доброкачественной предстательной гипертрофии и т.д. Способы решения проблемы Авторами исследованы производные пропан-1,3-диона, и в результате подтверждено, что соединение, которое содержит бензольное или тиофеновое кольцо, замещенное группой, являющейся производной 1-гидроксиалкила, в структуре пропан-1,3-диона, содержащем 2-(1,3-дигидро-2Н-бензимидазол-2-илиден), неожиданно проявляет превосходную доступность при пероральном введении в дополнение к прекрасному антагонистическому действию в отношении рецепторов GnRH, за счет чего реализуется настоящее изобретение. То есть, изобретение относится к производному пропан-1,3-диона, представленному общей формулой (I), или к его соли. Изобретение также относится к лекарственному средству, в особенности к антагонисту рецептора GnRH, в котором указанное производное используется в качестве активного ингредиента. [Символы в формуле означают следующее: кольцо А: бензол, который может быть замещен, пиридин, который может быть замещен, или тиофеновое кольцо; кольцо В: бензольное или тиофеновое кольцо; R1: Н или -СО-низший алкил; R2: Н, -O-R5, -N(R6)R7, -N3, -S(O)m-низший алкил, -S(O)m-N(R6)R7, атом галогена, пиридил или имидазолил, которые могут быть замещены; R5: Н, низший алкил, -СО-низший алкил, который может быть замещен, или -СО-О-низший алкил, который может быть замещен; R6 и R7: могут быть одинаковыми или отличаются друг от друга и каждый из них представляет собой Н, низший алкил или -СО-низший алкил при условии, что R1 и R2 вместе могут образовывать диоксолан, который может быть замещен; m: 0, 1 или 2; R3: Н или низший алкил; R401 и R402: могут быть одинаковыми или отличаются друг от друга и каждый из них представляет собой Н, атом галогена, ОН, -О-низший алкил или низший алкил; Х: связь, низший алкилен, который может быть замещен, или циклоалкандиил; R101, R102, R103 и R104: могут быть одинаковыми или отличаются друг от друга и каждый из них представляет собой Н, атом галогена, ОН или -О-низший алкил, который может быть замещен (арилом или гетероарилом). Такие же значения будут использоваться в данном описании и далее]. Кроме того, настоящее изобретение представляет собой фармацевтическую композицию, содержащую в качестве активного ингредиента пропан-1,3-дионовое соединение, представленное приведенной выше общей формулой (I), или его фармацевтически приемлемую соль, и фармацевтически приемлемый носитель, предпочтительно фармацевтическую композицию, которая является антагонистом рецептора GnRH; и более предпочтительно фармацевтическую композицию, где антагонист рецептора GnRH представляет собой агент для лечения связанных с GnRH заболеваний, таких как рак простаты, рак груди, эндометриоз, маточная лейомиома и доброкачественная гипертрофия предстательной железы. Более того, настоящее изобретение предлагает способ лечения пациента, страдающего от связанных с GnRH заболеваний, который включает введение пациенту эффективного количества пропан-1,3-дионового соединения, представленного приведенной выше формулой (I), или его фармацевтически приемлемой соли, предпочтительно способ лечения связанных с GnRH заболеваний, где связанные с GnRH заболевания представляют собой рак простаты, рак груди, эндометриоз, маточную лейомиому и доброкачественную гипертрофию предстательной железы. Кроме того, настоящее изобретение включает применение пропан-1,3-дионового соединения для получения антагониста рецептора GnRH, содержащего в качестве активного ингредиента пропан-1,3-дионовое соединение, представленное приведенной выше общей формулой (I), или его фармацевтически приемлемую соль и фармацевтически приемлемый носитель. Преимущества изобретения Так как соединение настоящего изобретения имеет прекрасную доступность при пероральном введении, в дополнение к сильному антагонизму в отношении GnRH рецепторов можно ожидать, что это соединение будет оказывать сильное лекарственное действие в живом организме и что оно будет полезно при лечении заболеваний, зависящих от половых гормонов, в особенности GnRH-связанных заболеваний, таких как рак простаты, рак груди, эндометриоз и маточная лейомиома (С. Huddins & C.V. Hogdes, Cancer Res., 1, 293-297 (1941); L. Bokser et al., Proc. Natl. Acad. Sci, USA, 87, 7100-7104 (1990)), доброкачественная гипертрофия предстательной железы (J. Clin. Endocrinol. Metab., 83, 3826-3931, 1998) и т.д. Кроме того, так как соединение настоящего изобретения обладает прекрасной метаболической стабильностью в организме человека и имеет незначительные свойства лекарственного взаимодействия, указанное соединение имеет более желаемые свойства в качестве лекарственного средства, которое используется в случае перечисленных выше заболеваний. Наилучший способ осуществления изобретения Предпочтительные варианты осуществления изобретения представлены ниже. (1) Производное пропан-1,3-диона или его фармацевтически приемлемая соль, где в общей формуле (I) кольцо А представляет собой бензольное кольцо, которое может быть замещено атомом галогена или низшим алкилом, кольцо В представляет собой бензольное кольцо, R1 представляет собой Н, R2 представляет собой ОН, R3 представляет собой Н и Х представляет собой низший алкилен, который может быть замещен. (2) Производное пропан-1,3-диона формулы (I) или его фармацевтически приемлемая соль, где Х представляет собой метилен, который может быть замещен. (3) Производное пропан-1,3-диона, представленное общей формулой (Ia), или его фармацевтически приемлемая соль: (символы в формуле имеют следующие значения, R801, R802 и R803: могут быть одинаковыми или отличаются друг от друга и каждый из них представляет собой атом галогена или низший алкил, и R403 и R404: могут быть одинаковыми или отличаются друг от друга и каждый из них представляет собой Н, атом галогена или низший алкил; такие же значения будут использоваться в данном описании и далее). (4) Производное пропан-1,3-диона или его фармацевтически приемлемая соль по п.4, которые представляют собой, по меньшей мере, одно соединение, выбранное из группы, включающей: 2-(1,3-дигидро-2Н-бензимидазол-2-илиден)-1-[3-(1,2-дигидроксиэтил)фенил]-3-(3,4,5-трифторфенил)пропан-1,3-дион; 1-{2-бутил-3-[(1R)-1,2-дигидроксиэтил]фенил}-2-(1,3-дигидро-2Н-бензимидазол-2-илиден)-3-(3-фторфенил)пропан-1,3-дион; 1-(3,5-дифторфенил)-2-(1,3-дигидро-2Н-бензимидазол-2-илиден)-3-[5-(1,2-дигидроксиэтил)-2-фторфенил]пропан-1,3-дион; 1-(3,5-дифторфенил)-2-(1,3-дигидро-2Н-бензимидазол-2-илиден)-3-{3-[(1R)-1,2-дигидроксиэтил]-2-метилфенил}пропан-1,3-дион; 2-(1,3-дигидро-2Н-бензимидазол-2-илиден)-1-{3-{(1R)-1,2-дигидроксиэтил]-2-метилфенил}-3-(2-фторфенил)пропан-1,3-дион; 2-(1,3-дигидро-2Н-бензимидазол-2-илиден)-1-[3-(1,2-дигидроксиэтил)фенил]-3-(2,3,5-трифторфенил)пропан-1,3-дион; 2-(1,3-дигидро-2Н-бензимидазол-2-илиден)-1-{3-[(1R)-1,2-дигидроксиэтил]-2-метилфенил}-3-(3-метилфенил)пропан-1,3-дион; 1-{2-хлор-3-[(1R)-1,2-дигидроксиэтил]фенил}-2-(1,3-дигидро-2Н-бензимидазол-2-илиден)-3-(3-фторфенил)пропан-1,3-дион); 2-(1,3-дигидро-2Н-бензимидазол-2-илиден)-1-{3-[(1R)-1,2-дигидроксиэтил]фенил}-3-(3-фторфенил)пропан-1,3-дион; 1-(3,5-дифторфенил)-2-(1,3-дигидро-2Н-бензимидазол-2-илиден)-3-[3-(1,2-дигидроксиэтил)-2-фторфенил]пропан-1,3-дион; 1-(3,5-дифторфенил)-2-(1,3-дигидро-2Н-бензимидазол-2-илиден)-3-[3-(1,2-дигидроксиэтил)-4-фторфенил]пропан-1,3-дион; 1-{2-хлор-3-[(1R)-1,2-дигидроксиэтил]фенил}-3-(3,5-дифторфенил)-2-(1,3-дигидро-2Н-бензимидазол-2-илиден)пропан-1,3-дион); 2-(1,3-дигидро-2Н-бензимидазол-2-илиден)-1-{3-[(1R)-1,2-дигидроксиэтил]-2-фторфенил}-3-(3-фторфенил)пропан-1,3-дион; 1-{2-хлор-3-[(1R)-1,2-дигидроксиэтил]фенил}-3-(3-хлорфенил)-2-(1,3-дигидро-2Н-бензимидазол-2-илиден)пропан-1,3-дион). (5) Производное пропан-1,3-диона, представленное общей формулой (Ib), или его фармацевтически приемлемая соль: (символы в формуле означают следующее: R8 и R9: могут быть одинаковыми или отличаются друг от друга и каждый из них представляет собой Н, низший алкил, низший алкенил или -О-низший алкил; такие же значения будут использоваться в данном описании и далее). (6) Производное пропан-1,3-диона общей формулы (Ib) или его фармацевтически приемлемая соль, где R801, R802 и R803 могут быть одинаковыми или отличаются друг от друга и каждый представляет собой Н или атом галогена. (7) Производное пропан-1,3-диона или его фармацевтически приемлемая соль, которое представляет собой, по меньшей мере, одно соединение, выбранное из группы, включающей: 2-(1,3-дигидро-2Н-бензимидазол-2-илиден)-1-(3-фторфенил)-3-[3-(2-метокси-1,3-диоксолан-4-ил)фенил]пропан-1,3-дион; 2-(1,3-дигидро-2Н-бензимидазол-2-илиден)-1-(3-фторфенил)-3-[3-(2-метокси-2-метил-1,3-диоксолан-4-ил)фенил]пропан-1,3-дион, или его фармацевтически приемлемую соль. Далее изобретение описано подробно. В качестве примера «атома галогена» можно назвать атомы фтора, хлора, брома или йода. «Низший алкил» представляет собой линейный или разветвленный насыщенный С1-6алкил, предпочтительно метил, этил, изопропил, гексил или т.п. «Низший алкилен» представляет собой линейный или разветвленный насыщенный С1-6алкилен, предпочтительно метилен, этилен, изопропилен или т.п. «Бензол, который может быть замещен» или «пиридин, который может быть замещен» представляют собой бензольное кольцо или пиридиновое кольцо, которые могут быть замещены 1-3 замещающими группами, где замещающие группы представляют собой атом галогена, CN, низший алкил, который может быть замещен галогеном, -О-низший алкил, -СО-О-низший алкил или аминогруппу, предпочтительно атом галогена или низший алкил, который может быть замещен атомом галогена. «Имидазолил, который может быть замещен», представляет собой имидазолил, который может быть замещен 1 или 2 замещающими группами, и в качестве замещающей группы предпочтителен низший алкил. «Диоксолан, который может быть замещен», представляет собой диоксолан, который может быть замещен 1 или 2 замещающими группами, и в качестве замещающей группы предпочтителен низший алкил, низший алкенил, -О-низший алкил или морфолино-низший алкил. «Низший алкил, который может быть замещен», представляет собой низший алкил, который может быть замещен 1 или 2 замещающими группами, и в качестве замещающей группы предпочтительны аминогруппа или моно- или ди(низший алкил)аминогруппа. «Низший алкилен, который может быть замещен» представляет собой алкилен, который может быть замещен 1 или 2 замещающими группами, и примерами предпочтительных замещающих групп могут быть ОН, СООН, -СО-О-низший алкил, атом галогена, CN, фенил, -О-низший алкил, -О-СО-низший алкил, аминогруппа, моно- или ди(низший алкил)аминогруппа, -CO-NH2, -CO-моно- или ди(низший алкил)аминогруппа и циклоалкил. «Циклоалкил» означает С3-6-моноциклическую насыщенную углеводородную кольцевую группу и предпочтительно представляет собой циклопропил, циклобутил, циклопентил или циклогексил. «Циклоалкандиил» означает двухвалентную группу, производную С3-6-моноциклического насыщенного углеводородного кольца, и предпочтительно представляет собой циклопропандиил, циклобутандиил, циклопентандиил, циклогександиил или т.п., из которых особенно предпочтителен циклопропандиил. Определение «доступность» означает свойство, при котором перорально введенный агент абсорбируется пищеварительным трактом, проявляет эффект начального прохождения через печень и затем поступает в кровь. Соединение, в котором гидроксильная группа заменена группой, образующей пролекарство, также относится к соединению настоящего изобретения. Примерами образующей пролекарство группы являются группы, описанные в публикации Prog. Med., 5, 2157-2161 (1985) и “Iyakuhin no Kaihatsu (Development of Medicaments)” vol.7 (Hirokawa Shoten, 1990) Bunshi Sekkei (Molecular Desing), pp.163-198. В соединениях настоящего изобретения присутствуют таутомеры. Их можно описать, например, следующим образом. Отдельные формы указанных изомеров или их смеси также входят в настоящее изобретение. Кроме того, соединения настоящего изобретения могут иметь асимметричный атом или аксиальную асимметрию, зависящие от типа группы-заместителя, так что могут быть получены изомеры на основе асимметричного атома или т.п. Смеси указанных оптических изомеров и их отдельные формы также включены в настоящее изобретение. Кроме того, соединения, в которых соединения настоящего изобретения мечены радиоактивными изотопами, также входят в изобретение. Также соединение, в котором геометрическая изомерия, связанная с двойной связью в положении 2 пропана, как показано ниже, может претерпевать взаимные превращения через таутомерию, показанную выше, присутствует среди соединений настоящего изобретения. Пример представлен ниже. Кроме того, соединение настоящего изобретения иногда образует кислотно-аддитивную соль или в зависимости от типа группы-заместителя соль с основанием, и такая соль входит в объем настоящего изобретения при условии, что она является фармацевтически приемлемой солью. Иллюстративными примерами соли являются кислотно-аддитивная соль с хлористоводородной кислотой, бромистоводородной кислотой, йодистоводородной кислотой, серной кислотой, азотной кислотой, фосфорной кислотой и подобными неорганическими кислотами, или с муравьиной кислотой, уксусной кислотой, пропионовой кислотой, щавелевой кислотой, малоновой кислотой, янтарной кислотой, фумаровой кислотой, малеиновой кислотой, молочной кислотой, яблочной кислотой, винной кислотой, лимонной кислотой, метансульфоновой кислотой, этансульфоновой кислотой, п-толуолсульфоновой кислотой, аспарагиновой кислотой, глутамовой кислотой и подобными органическими кислотами, соли с натрием, калием, магнием, кальцием, алюминием и подобными неорганическими основаниями, или с метиламином, этиламином, этаноламином, лизином, орнитином и подобными органическими основаниями, аммонийная соль и т.д. Различные гидраты и сольваты и вещества, проявляющие полиморфизм, соединения настоящего изобретения и его фармацевтически приемлемой соли также входят в настоящее изобретение. Способы получения Соединение настоящего изобретения и его фармацевтически приемлемая соль могут быть получены с использованием различных общеизвестных способов синтеза, исходя из характеристик его основного ядра или типа замещающих групп. В некоторых случаях в зависимости от типа функциональной группы с точки зрения методик получения эффективно заменять указанную функциональную группу подходящей защитной группой (группой, которая легко превращается в указанную функциональную группу) на стадии от исходных до промежуточных соединений. Примерами такой функциональной группы являются аминогруппа, гидроксильная группа, карбоксильная группа и т.п., и защитные группы, описанные в “Protective groups in Organic Synthesis (3-rd Edition)” (Ed. Greene and Wuts, JOHN WILEY & SONS, 1991), и подобные группы, могут быть приведены в качестве защитных групп, которые необязательно могут быть выбраны с учетом реакционных условий. С помощью таких способов рассматриваемые соединения могут быть получены путем проведения реакции после введения указанной защитной группы и затем снятием защитной группы, как того требуют обстоятельства. Конкретные способы получения соединения настоящего изобретения описаны ниже. Однако способы получения настоящего изобретения не ограничены примерами, представленными ниже. Используемые в данном описании сокращения имеют следующие значения: ДМФА – N,N-диметилформамид; ДМСО – диметилсульфоксид; ТГФ – тетрагидрофуран; Tol – толуол; ДХЭ – 1,2-дихлорэтан; ТЭА – триэтиламин; Диглим – диметиловый эфир диэтиленгликоля; LiTMP – 2,2,6,6-тетраметилпиперидат лития; LDA – диизопропиламид лития; WSCHCl – гидрохлорид 3-(3-диметиламинопропил)-1-этилкарбодиимида; OHBt – 1-гидроксибензотриазол; CDI – 1,1′-карбонилдиимидазол. Способы получения Первый способ получения (Символы на реакционной схеме имеют следующие значения. R: низший алкил; R401, R402, R101, R102, R103 и R104 необязательно могут быть защищены защитной группой. (Такие же значения будут использоваться в данном описании и далее.) Данный способ получения представляет собой способ получения соединения (I) настоящего изобретения. Способом, который основан на способе получения 4, описанном в патентной ссылке 1, из 1,2-диаминобензольного соединения (II) получают 2-метилимидазольное соединение (III); указанное соединение (III) подвергают взаимодействию с ацильным соединением (IV), и полученную в результате реакционную смесь обрабатывают при комнатной температуре при нагревании в присутствии морфолина или подобного органического основания в инертном для реакции растворителе, получая таким образом имидазольное соединение (VI). Указанное ацильное соединение (IV) может быть получено, например, путем хлорирования соответствующей карбоновой кислоты тионилхлоридом, хлорангидридом щавелевой кислоты или подобным хлорирующим агентом, в дихлорметане или подобном растворителе, инертном в реакции, при комнатной температуре или при нагревании в присутствии или в отсутствие ДМФА или подобного катализатора. Тионилхлорид или т.п. могут быть непосредственно использованы в качестве растворителя. Полученную в результате реакционную смесь можно очистить азеотропной обработкой с толуолом или подобным растворителем, и дополнительную очистку можно проводить или не проводить. Кроме того, промежуточное соединение (V) и т.п. может быть выделено или его можно не выделять. Далее, промежуточное соединение (VIIIa) и подобное соединение получают, подвергая имидазольное соединение (VI) и ацильное соединение (VII) реакции ацилирования в диглиме или подобном инертном в реакции растворителе в присутствии или в отсутствие ТЭА или аналогичного основания при температуре от комнатной температуры до нагревания; и затем соединение (I) настоящего изобретения получают добавлением карбоновой кислоты (VIIa) в количестве, соответствующем реакции с указанным соединением (VIIIa), или соответствующего реакции количества воды и нагреванием смеси. Ацильное соединение (VII) может быть получено способом, аналогично способу получения соединения (IV). Кроме того, промежуточные соединения (VIIIa) и аналогичные соединения могут быть выделены или их можно не выделять. Второй способ получения Приведенный способ получения представляет собой способ особенно подходящий для получения соединений (Ia) и (Ia-i) настоящего изобретения. По данному способу оптически активные соединения настоящего изобретения могут быть получены селективно при использовании в качестве исходных соединений оптически активных соединений (VIId) и (VIIe). Стадия 1: Указанная стадия представляет собой общеизвестный способ, относящийся к защите 1,2- или 1,3-дигидрокси-соединения. В зависимости от условий реакции необязательно могут быть выбраны защитные группы, описанные в “Protective groups in Organic Synthesis (3-rd Edition)” (Ed. Greene and Wuts, JOHN WILEY & SONS, 1991), и подобные группы. В этом случае, когда оптически активные 1,2-дигидрокси-соединения (VIId) и (VIIe) используются в качестве исходных веществ вместо соединения (VIIb), указанные соединения (VIId) и (VIIe) могут быть получены известным способом согласно приведенной ниже реакции. (1): Данная стадия представляет собой способ, общеизвестный как реакция сочетания по Стиле (например, J.K. Stille at al., J. Org. Chem., 52, 422-424, 1987). Более конкретно, реакцию проводят, подвергая галогенарильное соединение или арилтрифталатное соединение, предпочтительно бромарильное соединение (XI) или йодарильное соединение, взаимодействию с соответствующим реакции количеством трибутил(винил)олова или подобного оловоорганического реагента в толуоле или подобном инертном в реакции растворителе при температуре от комнатной температуры до нагревания, в присутствии трис(дибензилиденацетон)дипалладия или подобного палладиевого катализатора и три(трет-бутил)фосфина или подобного фосфинового соединения, также предпочтительно в атмосфере аргона. (2) Данная стадия представляет собой общеизвестный способ асимметричного дигидроксилирования олефинового соединения (XII). Например, реакцию проводят способом, описанным “Sharpless K.B., et al., Chem. Rev., 94, 1994, 2483-2547″, например, путем окисления олефинового соединения с помощью AD-mix (Aldrich, USA) в смешанном растворителе (трет-бутанол)-вода или подобном инертном в реакции растворителе. Реакцию проводят при температуре от охлаждения льдом до нагревания, предпочтительно от 0°C до комнатной температуры. Оптически активные 1,2-дигидрокси-соединения (VIId) и (VIIe), имеющие желаемую абсолютную конфигурацию, могут быть соответственно получены при использовании реагентов AD-mix-альфа и AD-mix-бета. См. приведенную ниже схему химической реакции. Стадия 2: Данная стадия представляет собой общеизвестную реакцию гидролиза, которую осуществляют путем проведения реакции в ТГФ, метаноле или подобном инертном в реакции растворителе в присутствии гидроксида натрия или подобного органического основания предпочтительно при комнатной температуре. Стадия 3: Данную стадию проводят общеизвестным способом (K.G. Akamanchi et al., Synlett, 1999, 11, 1763-1785). Например, реагент, образующий хлорангидрид кислоты, получают из тионилхлорида и 1Н-бензотриазола в дихлорметане или подобном инертном в реакции растворителе; и ацильное соединение (Х) получают, подвергая указанный реагент взаимодействию с соответствующей карбоновой кислотой (IX), растворенной в дихлорметане или подобном инертном в реакции растворителе, при охлаждении льдом, при комнатной температуре или при нагревании. Полученное в результате соединение (X) может быть очищено азеотропной обработкой с толуолом или подобным растворителем, и дополнительную очистку можно проводить или не проводить. Стадия 4: Данную стадию проводят в соответствии с первым способом получения. Стадия 5: Данная стадия представляет собой способ получения дигидрокси-соединения (Ia-i) путем проведения общеизвестной реакции снятия защиты с защищенного ацетонидом соединения (Ib-i) 1,2- или 1,3-дигидрокси-соединения. Указанный способ может быть проведен в условиях реакции и т.д., описанных в “Protective groups in Organic Synthesis (3-rd Edition)”, Ed. Greene and Wuts (JOHN WILEY & SONS, 1991). Кроме того, когда винильная группа олефинового соединения (XII) расположена в ортоположении к атому фтора, как в случае этилового эфира 3-винил-2-фторбензойной кислоты, или расположена в ортоположении к замещающей группе, обладающей способностью к расщеплению, винильная группа указанного соединения также может быть введена с помощью металларильного соединения. Например, такое соединение также может быть синтезировано путем получения металларильного соединения обработкой этилового эфира 2-фторбензойной кислоты LiTMP, LDA или подобным металлорганическим основанием в ТГФ или подобном инертном в реакции растворителе при низкой температуре, предпочтительно при -78°С, с последующим получением этилового эфира 3-формил-2-фторбензойной кислоты, подвергая указанное соединение взаимодействию с соединением, которое используется как источник ДМФА или подобной формильной группы, при низкой температуре, предпочтительно при -78°С, и затем превращением формильной группы в винильную группу общеизвестной реакцией Виттига. Более конкретно, реакцию Виттига проводят взаимодействием альдегидного соединения и соответствующего реакции количества реагента, фосфониевой соли, в ТГФ или подобном инертном в реакции растворителе в присутствии гидрида натрия, алкиллития, трет-бутоксида калия или подобного основания предпочтительно при температуре от охлаждения льдом до комнатной температуры и также предпочтительно в атмосфере аргона. Третий способ получения (В реакционной схеме заместители Ra и Rb могут быть одинаковыми или отличаются друг от друга и каждый представляет собой Н или низший алкил, CH2NMe2, СН2ОМе, CN, Ph, CO2Et, CF3 или циклоалкил, или Ra и Rb вместе могут образовывать циклоалкил, и Rc представляет собой Н или низший алкил. Такие же определения будут использоваться в данном описании и далее). Имидазольное соединение (XIV), полученное из соединения (VI), полученного в первом способе получения, и ацильного соединения (XIII) в соответствии с первым способом получения может быть превращено в соединение (Ia-ii) общеизвестным способом дигидроксилирования олефинового соединения (ed. J. March, “ADVANCED ORGANIC CHEMISTRY” (JOHN WILEY & SONS, 1992). Более предпочтительно, указанную реакцию проводят окислением олефинового соединения тетраоксидом осмия в смеси ТГФ-вода или подобном инертном в реакции растворителе в присутствии N-метилморфолин-N-оксида или подобного соокислителя. Реакцию проводят при температуре от охлаждения льдом до нагревания предпочтительно при комнатной температуре. Соединение (Ia-ii) в качестве 1,2-гидрокси-соединения может быть превращено в кеталь (Ib-ii) или сложный ортоэфир общеизвестным способом с использованием эквивалентного кетону соединения или ортоэфирного соединения. Такую реакцию можно рассматривать как защитную реакцию 1,2-дигидрокси-соединения, и она может быть проведена с использованием условий реакций и т.п., описанных в приведенной выше “Protective groups in Organic Synthesis (3-rd Edition)”. Четвертый способ получения (Символы на схеме имеют следующие значения. L1: атом галогена или подобная уходящая группа; Nu: нуклеофильный реагент; Y: кетон или -С(R3)(OR1)-; Rd: замещающая группа на низшем алкилене, соответствующая Х в общей формуле (I); и R201: -S(O)m-низший алкил; -N3, N(R6)R7, -OCO-низший алкил или атом галогена. Такие же значения будут использоваться в данном описании и далее). Данный способ получения проводят, подвергая соединение (XV), имеющее уходящую группу L1, полученное из соединения (VI) в соответствии с первым способом получения, и соответствующее реакции количество нуклеофильного реагента реакции замещения Sn2-типа в ТГФ, ацетоне, ДМФА, ацетонитриле, дихлорметане, метаноле, ДМСО или подобном инертном в реакции растворителе в присутствии карбоната калия или подобного неорганического основания или ТЭА или подобного органического основания в зависимости от обстоятельств в условиях охлаждения, от комнатной температуры до нагревания или при кипении с обратным холодильником. В качестве примеров нуклеофильного реагента можно назвать ацетат калия, азид натрия, тиометоксид натрия и подобные анионные соединения или аминные соединения и подобные основные соединения, хлорид-ионы и т.п. Когда Y в соединении (XV) представляет собой кетон, соединение кетона (XVII), полученное из соединения (VI) в соответствии с первым способом получения, подвергают взаимодействию с бромом или бромистым водородом в уксусной кислоте или подобном инертном в реакции растворителе с превращением в Когда нуклеофильный реагент представляет собой группу S-низший алкил, тиоалкильная группа полученного соединения может быть окислена до сульфоксидного соединения или сульфонового соединения с использованием окисляющего агента в соответствии с 10-м способом получения патентной ссылки 1. В качестве окисляющего агента более предпочтительно использовать м-хлорнадбензойную кислоту или перекись водорода. Пятый способ получения (В реакционной схеме Х2 представляет собой атом галогена, и кольцо D означает пиридин или имидазол, которые могут быть замещены.) Данный способ получения представляет собой способ, в котором гидрокси-соединение (I-ii) получают, подвергая соответствующее реакции количество альдегидного соединения (XIX) взаимодействию с литийорганическим соединением (XXI), полученным из азотсодержащего галогенарильного соединения (ХХ) с использованием н-бутиллития или подобного органического основания в ТГФ или подобном инертном в реакции растворителе при температуре от -78°С до комнатной температуры. Шестой способ получения Данный способ получения проводят, подвергая дитиоацеталь (XXII) и диаминное соединение (XXIII) реакции конденсации в EtOH или подобном инертном в реакции растворителе при температуре от комнатной температуры до нагревания, предпочтительно нагревания в условиях кипячения с обратным холодильником. (В реакционной схеме R111 и R112 представляют собой низший алкил, или R111 и R112 вместе образуют цикл, и замещающая группа в кольце В может быть защищена соответствующей защитной группой). Кроме того, соединения настоящего изобретения и его фармацевтически приемлемые соли могут быть получены путем использования следующих общеизвестных способов превращения замещающей группы, учитывая типы замещающей группы. 1. Реакция восстановления Восстановление кетогруппы до гидроксильной группы, восстановление азидогруппы в аминогруппу, восстановление ненасыщенной алкильной группы до насыщенной алкильной группы и аналогичные реакции могут быть проведены в соответствии с 4 способом получения патентной ссылки 1. Примерами более подходящих способов являются способ, в котором используют боргидрид натрия, боргидрид лития, диизобутилалюминийгидрид, литийалюминийгидрид или подобный восстанавливающий агент, и способ, в котором каталитическое восстановление проводят с использованием палладия (Pd), платины (Pt), никеля (Ni) или т.п. в атмосфере водорода или формиата аммония или подобного донора водорода. 2. Реакция ацилирования гидроксильной группы или аминогруппы Реакцию ацилирования гидроксильной группы или аминогруппы проводят, подвергая гидрокси-соединение или амино-соединение взаимодействию с соответствующим реакции количеством хлорангидрида кислоты или ангидрида кислоты в дихлорметане, ДХЭ, пиридине, ТГФ, толуоле или подобном инертном в реакции растворителе в присутствии или в отсутствие диметиламинопиридина или т.п. при температуре от комнатной температуры до нагревания. Альтернативно реакция также может быть проведена, подвергая взаимодействию гидрокси-соединение и соответствующее реакции количество карбоновой кислоты в ДМФА или подобном инертном в реакции растворителе в присутствии или в отсутствие WSCHCl, OHBt, CDI или подобного конденсирующего агента, диметиламинопиридина или подобного ускорителя реакции и ТЭА или подобного органического основания в условиях от комнатной температуры до нагревания. Когда присутствуют две или несколько гидроксильных групп, реакция может быть проведена селективно по желаемому положению путем необязательного использования защитной группы. Дигидрокси-соединение также может быть превращено в соединение циклической угольной кислоты (циклический карбонат) путем использования CDI или т.п. В случае соединения, имеющего две или несколько гидроксильных групп и аминогрупп, могут быть ацилированы все такие группы или часть указанных групп. 3. Реакция гидролиза Реакция гидролиза сложноэфирного соединения до гидрокси-соединения и карбоновой кислоты может быть проведена в соответствии с 8-м способом получения патентной ссылки 1. В качестве более предпочтительного способа реакцию проводят в ТГФ с использованием гидроксида натрия, гидроксида калия или подобного основания. 4. Превращение 1,2-дигидрокси-соединения в альдегид Реакцию превращения 1,2-дигидрокси-соединения в альдегид проводят окислительным расщеплением 1,2-дигидроксиэтильной группы в ТГФ, воде, метаноле или подобном инертном в реакции растворителе с использованием перйодноватой кислоты или ее соли, тетраацетата свинца или подобного окисляющего агента. Полученное таким образом альдегидное соединение может быть превращено в амино-соединение в дихлорметане или подобном инертном в реакции растворителе в соответствии с 5-м способом получения патентной ссылки 1. Соединения настоящего изобретения могут быть выделены и очищены в качестве свободных соединений, их фармацевтически приемлемых солей, гидратов, сольватов или полиморфных веществ. Фармацевтически приемлемая соль соединения (I) настоящего изобретения может быть также получена, подвергая соединение обычной реакции солеобразования. Выделение и очистку проводят путем использования обычных химических методик, таких как экстракция, фракционная кристаллизация, различные типы фракционной хроматографии и т.д. Различные изомеры могут быть разделены за счет выбора соответствующих исходных соединений или за счет использования различия физико-химических свойств между изомерами. Например, оптический изомер может быть превращен в стереохимически чистый изомер путем выбора соответствующего исходного соединения или методом разделения рацемических соединений (например, метода, в котором соединения превращают в диастереоизомерные соли с помощью обычного оптически активного основания или кислоты и затем проводят оптическое разделение; или способом, при котором соединения фракционируют с использованием хиральной колонки или т.п.). В дополнение к соединениям примеров, которые описаны ниже, соединения из приведенных ниже таблиц могут быть получены аналогичным образом, как и в способах получения настоящего изобретения. В этом контексте в описании используют следующие сокращения. FA: FAB-MS (M+H)+; FN: FAB-MS (M-H)–; FAB-MS – величина, измеренная с помощью масс-спектрометрии с ионизацией бомбардировкой быстрыми атомами; ES+ представляет собой ESI+; ES – представляет собой ESI-; EI: EI-MS; EI-MS – величина, измеренная с помощью масс-спектрометрии при ионизации бомбардировкой атомами; N1: характеристический пик Таблица 1 Таблица 2 Таблица 3 Таблица 4 Активный ингредиент настоящего изобретения и соединение настоящего изобретения или его фармацевтически приемлемая соль могут быть использованы отдельно в качестве лекарственного средства, но обычно они могут быть получены из одного или нескольких активных ингредиентов с использованием фармацевтических носителей, наполнителей и других материалов, обычно используемых в данной области, обычными способами. Введение лекарственных средств может быть осуществлено путем перорального введения с помощью таблеток, пилюль, капсул, гранул, порошков, растворов и т.п., или парентерального введения с помощью внутрисуставных, внутривенных, внутримышечных и подобных инъекций, свечей, глазных капель, глазных мазей, чрезкожных растворов, мазей, чрезкожных клеевых препаратов, чрезслизистых растворов, чрезслизистых клеевых препаратов, ингаляций и т.п. Твердая композиция для применения при пероральном введении в соответствии с настоящим изобретением используется в форме таблеток, порошков, гранул и т.д. В такой твердой композиции один или несколько активных ингредиентов смешивают, по меньшей мере, с одним инертным разбавителем, таким как лактоза, маннит, глюкоза, гидроксипропилцеллюлоза, микрокристаллическая целлюлоза, крахмал, поливинилпирролидон и/или алюмосиликат магния. Обычно композиция может содержать другие вспомогательные вещества, отличные от инертного разбавителя, такие как стеарат магния или подобные смазывающие вещества, натриевая соль гликолата целлюлозы или подобный диспергирующий агент, стабилизирующий агент и способствующий солюбилизации агент. В зависимости от обстоятельств таблетки или пилюли могут быть покрыты сахарным покрытием или пленкой желудочного или энтерального вещества, такого как сахароза, желатин, гидроксипропилцеллюлоза, фталат гидроксипропилметилцеллюлозы или т.п. Жидкая композиция для перорального введения содержит фармацевтически приемлемые эмульсии, растворы, суспензии, сиропы, эликсиры и т.п. и содержит обычно используемый инертный разбавитель, такой как очищенная вода или этанол. Помимо инертного разбавителя указанная композиция также может содержать солюбилизирующий агент, увлажняющий агент, суспендирующий агент и подобные вспомогательные агенты, а также подслащивающие вещества, вкусовые вещества, ароматизаторы и антисептики. Инъекции для парентерального введения представляют собой асептические водные или неводные растворы, суспензии и эмульсии. Примерами разбавителя для применения в водных растворах и суспензиях являются дистиллированная вода для инъекции и физиологической раствор. Примерами разбавителя для применения в неводных растворах и суспензиях являются пропиленгликоль, полиэтиленгликоль, оливковое масло или другие растительные масла, этанол или подобные спирты, Polysorbate 80 (торговое название) и т.п. Такая композиция может дополнительно содержать тонизирующий агент, антисептик, увлажняющий агент, эмульгирующий агент, диспергирующий агент, стабилизирующий агент или способствующий солюбилизации агент. Стерилизация, например, возможна путем фильтрования через удерживающий бактерии фильтр, смешения с гермицидом или облучения. Альтернативно могут быть сначала получены стерильные твердые композиции с последующим их растворением в стерильной воде или в стерильном растворителе для инъекций перед их применением. Чрезслизистые препараты, такие как трансназальные препараты, используют в твердом, жидком или полужидком состоянии, и они могут быть получены в соответствии с известными способами. Например, обычные известные агенты, регулирующие рН, антисептики, загустители и наполнители необязательно добавляют и преобразуют в твердое, жидкое или полутвердое состояние. Трансназальные препараты вводят с использованием обычного распылителя, контейнера для капель для носа, тюбика, устройства для вставки в носовую полость или т.п. В случае перорального введения подходящая суточная доза обычно составляет приблизительно от 0,001 до 100 мг/кг, предпочтительно от 0,1 до 30 мг/кг, более предпочтительно от 0,1 до 10 мг/кг, и эту дозу вводят одной порцией или разделенной на две-четыре дозы. В случае внутривенного введения подходящая суточная доза составляет приблизительно от 0,0001 до 10 мг/кг массы тела, и эту дозу вводят один раз в день или поделенной на две или несколько доз. Кроме того, чрезслизистые препараты вводят в дозе приблизительно от 0,001 до 100 мг/кг массы тела один раз в сутки или разделенной на две или несколько доз. Дозу необязательно выбирают в зависимости от каждого случая с учетом симптомов, возраста, пола и т.д. ПРИМЕРЫ Далее изобретение описано подробно с помощью примеров. Соединения настоящего изобретения не ограничены соединениями, описанными в приведенных ниже примерах. Также в справочных примерах представлены способы получения исходных соединений. Соединение справочного примера 1-1 является известным соединением. Справочный пример 1-2 Порцию в 4 г 1-метил-1Н-бензимидазола и 13,9 мл ТЭА растворяют в 40 мл диглима и порциями добавляют 17,5 г хлорангидрида 2-хлорбензойной кислоты. Реакционную смесь перемешивают при 100°С в течение 3 час. После охлаждения до комнатной температуры реакционную смесь смешивают с водой, экстрагируют хлороформом, сушат над безводным сульфатом натрия и затем концентрируют, получая оранжевое маслянистое вещество. Полученное масло растворяют в 60 мл метанола, смешивают с 7,9 мл морфолина и затем нагревают при кипячении с обратным холодильником в течение 3,5 час. Реакционную смесь охлаждают до комнатной температуры, смешивают с водой и затем перемешивают 1 час. Полученный в результате осадок отфильтровывают, промывают холодной водой и затем сушат, получая 6,1 г (выход 75%) 1-(2-хлорфенил)-2-(1,3-дигидро-2Н-бензимидазол-2-илиден)этанола (справочный пример 1-2) в виде светло-желтых порошкообразных кристаллов. ES+: 271. Соединения, представленные в таблице 5 и в таблице 6, получены аналогичным способом. Таблица 5 Таблица 6 Справочный пример 2-1 Порцию в 3,8 г хлорангидрида щавелевой кислоты постепенно по каплям добавляют к 30 мл раствора в метиленхлориде, содержащего 1,54 г 3-винилбензойной кислоты и каталитически эффективное количество ДМФА; полученную смесь перемешивают при комнатной температуре приблизительно 2 час, затем в смесь выливают подходящее количество толуола и упаривают при пониженном давлении, получая хлорангидрид 3-винилбензойной кислоты. Хлорангидрид растворяют в небольшом количестве диглима и постепенно по каплям добавляют к 5 мл раствора в диглиме, содержащего 0,82 г 1-(3,5-дифторфенил)-2-(1,3-дигидро-1Н-бензимидазол-2-илиден)этанона, который отдельно получен заранее, и 1,4 мл ТЭА при нагревании при 70°С. По окончании добавления температуру реакционной смеси повышают до 100°С, реакционную смесь нагревают в течение приблизительно 25 мин, смешивают с 0,1 мл очищенной воды и снова повышают температуру до 175°С и нагревают в течение приблизительно 25 мин. Реакционную смесь смешивают с водным раствором бикарбоната натрия, экстрагируют несколько раз этилацетатом, сушат безводным сульфатом магния и концентрируют; полученный таким образом осадок очищают колоночной хроматографией на силикагеле, получая 0,83 г (справочный пример 2-1) (выход 68%) 1-(3,5-дифторфенил)-2-(1,3-дигидро-2Н-бензимидазол-2-илиден)-3-(3-винилфенил)пропан-1,3-диона в виде желтой пены из элюата в смеси этилацетат-гексан (1:3). FA: 403. Таблица 7 Таблица 8 Таблица 9 Справочный пример 3 Порцию 4,96 г этилортоацетата, растворенного в 10 мл этанола, добавляют к 50 мл раствора в этаноле, содержащего 4,68 г 4-хлор-5-фторбензол-1,2-диамина, и реакционную смесь нагревают при кипячении с обратным холодильником 4 часа. После концентрирования реакционной жидкости полученный в результате остаток очищают колоночной хроматографией на силикагеле, получая 2,10 г (выход 39%) 5-хлор-6-фтор-2-метил-1Н-бензимидазола из элюата в смеси хлороформ-метанол (10:1). ES+: 185. Справочный пример 4-1 К 100 мл раствора в ТГФ, содержащего 4,73 мл тетраметилпиперидина, добавляют по каплям при -78°С 17,62 мл 1,59 М раствора н-бутиллития в ТГФ. Полученную смесь перемешивают при -10°С в течение 10 минут, охлаждают до -78°С, смешивают с 5,00 г трет-бутил 2,4-дифторбензоата, растворенного в 20 мл ТГФ, и затем перемешивают 1 час. Затем к смеси по каплям добавляют 7,23 мл ДМФА и смесь перемешивают 1 час, смешивают с 5,34 мл уксусной кислоты и поднимают температуру до комнатной. Смесь смешивают с соответствующим количеством очищенной воды, экстрагируют этилацетатом и сушат над безводным сульфатом магния. После концентрирования полученный таким образом остаток очищают колоночной хроматографией на силикагеле, получая 5,65 г (выход 100%) трет-бутил 2,4-дифтор-3-формилбензоата (справочный пример 4-1) из элюата в смеси гексан-этилацетат (20:1-10:1). N2: 1,60 (9Н, с); 7,04 (1Н, м); 8,14 (1Н, м); 10,38 (1Н, с). Соединения, представленные в справочных примерах 4-2 и 4-3, получены аналогичным образом. Справочный пример 4-2: трет-Бутил 2-фтор-3-формилбензоат. FA: 225. N2: 1,62 (9H, c), 7,32 (1H, т, J=8 Гц), 8,08 (2Н, м), 10,42 (1Н, с). Справочный пример 4-3: 3-(2,2-Диметил-1,3-диоксолан-4-ил)-2-фторбензальдегид. FA: 225. Справочный пример 5-1 К 90 мл раствора в ТГФ, содержащего 8,13 г метилтрифенилфосфониййодида, добавляют по каплям при -78°С 9,50 мл 1,59 М раствора н-бутиллития в ТГФ. Полученную смесь перемешивают при 0°С в течение 10 минут, охлаждают до -78°С и затем смешивают с 2,44 г трет-бутил 2,4-дифтор-3-формилбензоата, растворенного в 10 мл ТГФ. Через 40 мин полученную смесь перемешивают при комнатной температуре 1 час, смешивают с соответствующими количествами насыщенного водного раствора хлорида аммония и очищенной воды, экстрагируют этилацетатом и затем сушат над безводным сульфатом магния. После концентрирования полученный в результате остаток очищают колоночной хроматографией на силикагеле, получая 1,20 г (выход 50%) трет-бутил 2,4-дифтор-3-винилбензоата (справочный пример 5-1) из элюата в смеси гексан-этилацетат (50:1). ES-: 239. Соединения приведенных ниже справочных примеров от 5-2 до 5-5, которые представлены в таблице 10, получены аналогичным образом. Справочный пример 5-2: трет-Бутил 2-фтор-3-проп-1-ен-1-илбензоат. EI: 236. Справочный пример 5-3: Метил 3-(циклопропилиденметил)бензоат. FA: 189. Справочный пример 5-4: Метил 2-метокси-3-винилбензоат. FA: 193. Справочный пример 5-5: 1-Бром-2-фтор-3-винилбензол. FA: 202. Таблица 10 Справочный пример 6-1 Порцию в 4,27 мл трифторуксусной кислоты добавляют к 30 мл раствора в дихлорметане, содержащего 1,33 г трет-бутил 2,4-дифтор-3-винилбензоата, и перемешивают 5 час. После выпаривания растворителя добавляют соответствующие количества очищенной воды и насыщенного водного раствора бикарбоната натрия, и водный слой промывают диэтиловым эфиром. Водный слой доводят до рН 1 с помощью 1М водного раствора хлористоводородной кислоты, экстрагируют диэтиловым эфиром и затем сушат над безводным сульфатом магния. После концентрирования получают 964 мг (выход 95%) 2,4-дифтор-3-винилбензойной кислоты (справочный пример 6-1). N2: 7,93 (м, 1H), 6,98 (м, 1H), 6,74 (дд, 1H, J=12 Гц, 18 Гц), 6,11 (дд, 1H, J=1 Гц, 18 Гц), 5,68 (дд, 1H, J=1 Гц, 12 Гц). 2-Фтор-3-проп-1-ен-1-илбензойную кислоту (справочный пример 6-2) получают аналогичным образом. FN: 179. Справочный пример 7-1 К 10 мл раствора в ТГФ, содержащего 300 мг 3-[2-(1,3-дигидро-2Н-бензимидазол-2-илиден)-3-(3-фторфенил)-3-оксопропаноил]бензальдегида и 69 мкл ацетона и перемешивают в течение 15 минут. Полученную смесь смешивают с соответствующими количествами насыщенного водного раствора хлорида аммония и очищенной воды, экстрагируют этилацетатом и сушат над безводным сульфатом магния. После концентрирования полученный в результате остаток очищают колоночной хроматографией на силикагеле, получая 184 мг (выход 53%) 2-(1,3-дигидро-2Н-бензимидазол-2-илиден)-1-(3-фторфенил)-3-[3-(1-гидрокси-3-оксобутил)фенил]пропан-1,3-диона (справочный пример 7-1) из элюата в смеси гексан-этилацетат (2:1-1:2). ES+: 445. Аналогичным образом получают 1-{3-[2-(1,3-дигидро-2Н-бензимидазол-2-илиден)-3-(3-фторфенил)-3-оксопропаноил]бензоил}-2-гидроксипропилацетат (справочный пример 7-2). ES+: 459. Справочный пример 8 Порцию в 0,57 мл брома постепенно по каплям добавляют к 80 мл раствора в уксусной кислоте, содержащего 4,18 г 1-(3-ацетилфенил)-3-(3,5-дифторфенил)-2-(1,3-дигидро-2Н-бензимидазол-2-илиден)пропан-1,3-диона, и затем к смеси добавляют 5 мл 25%-ного раствора (бромистый водород)-(уксусная кислота) и перемешивают смесь при комнатной температуре приблизительно 1 час. Растворитель упаривают при пониженном давлении, полученный таким образом остаток смешивают с соответствующим количеством водного раствора бикарбоната натрия и экстрагируют несколько раз этилацетатом, полученный в результате органический слой сушат над безводным сульфатом магния и концентрируют, получая промежуточный Справочный пример 9 Порцию в 25 мл раствора в ТГФ, содержащего 7,8 г тетрабутиламмонийфторида и 24 г молекулярных сит 4А, перемешивают при комнатной температуре 12 часов в атмосфере аргона. После охлаждения до 0°С к смеси по каплям добавляют 20 мл раствора в ТГФ, содержащего 300 мг 3-[2-(1,3-дигидро-2Н-бензимидазол-2-илиден)-3-(3-фторфенил)-3-оксопропаноил]бензальдегида и 1,7 г дифенил(2,2,2-трифторэтил)фосфиноксида. Полученную смесь перемешивают при комнатной температуре 5 часов. Реакционную смесь фильтруют, фильтрат промывают водой, сушат над безводным сульфатом натрия и концентрируют, затем полученный в результате остаток очищают колоночной хроматографией на силикагеле, получая 201 мг (выход 57%) 2-(1,3-дигидро-2Н-бензимидазол-2-илиден)-1-(3-фторфенил)-3-{3-{(1Z)-3,3,3-трифторпроп-1-ен-1-ил]фенил}пропан-1,3-диона в виде желтого порошка из элюата в смеси этилацетат-гексан (1:3). FA: 463. Справочный пример 10-1 Порцию в 13,55 г диоксида марганца добавляют порциями к 20 мл раствора в дихлорметане, содержащего 2,11 г 1-(3,5-дифторфенил)-2-(1,3-дигидро-2Н-бензимидазол-2-илиден)-3-[3-(гидроксиметил)фенил]пропан-1,3-диона, и перемешивают 4,5 часа. После фильтрования через целит и концентрирования полученный в результате остаток кристаллизуют из смеси гексан-этилацетат, получая 1,09 г (выход 52%) 3-[3-(3,5-дифторфенил)-2-(1,3-дигидро-2Н-бензимидазол-2-илиден)-3-оксопропаноил]бензальдегида (справочный пример 10-1). FA: 405. Аналогичным образом получают 1-[3-(2,2-диметил-1,3-диоксолан-4-ил)]-2-(фторфенил)-3-пиридин-3-илпропан-1,3-дион (справочный пример 10-2). FA: 344. Справочный пример 11-1 Порцию в 5,46 г этил 3-(2,2-диметил-1,3-диоксолан-4-ил)-2-фторбензоата растворяют в 100 мл ТГФ, охлаждают до 0°С и затем медленно добавляют 40,8 мл 1 н. водного раствора гидроксида натрия. Повышают температуру смеси до комнатной температуры и дополнительно перемешивают 17 часов. После упаривания ТГФ остаток охлаждают до 0°С и медленно добавляют уксусную кислоту до тех пор, пока рН не достигнет 3-4. Полученную смесь экстрагируют диэтиловым эфиром, сушат над сульфатом натрия и концентрируют, затем три раза подвергают азеотропной обработке с толуолом, получая 4,66 г (выход 95%) 3-(2,2-диметил-1,3-диоксолан-4-ил)-2-фторбензойной кислоты (справочный пример 11-1). FN: 239. Аналогичным образом получают соединение справочного примера 11-2 и справочного примера 11-13, которые представлены в таблице 11. Кроме того, соединения справочных примеров (11-6)-(11-12) получены с использованием соответствующих оптически активных соединений. Справочный пример 12-1 После добавления 35 мг ацетата калия к 2 мл раствора в ДМСО, содержащего 100 мг 1-[3-(хлорметил)фенил]-3-(3,5-дифторфенил)-2-(1,3-дигидро-2Н-бензимидазол-2-илиден)пропан-1,3-диона, смесь перемешивают при комнатной температуре приблизительно 2 дня. Реакционную жидкость смешивают с соответствующим количеством насыщенного водного раствора хлорида аммония, экстрагируют несколько раз этилацетатом, сушат над безводным сульфатом магния и концентрируют, затем полученный в результате остаток очищают колоночной хроматографией на силикагеле, получая 90 мг желтого маслянистого вещества из элюата в смеси этилацетат:гексан (1:2). Кристаллизацией полученного вещества из небольшого количества смеси этилацетат:гексан (1:3) при 0°С получают 68 мг (выход 64%) 3-[3-(3,5-дифторфенил)-2-(1,3-дигидро-2Н-бензимидазол-2-илиден)-3-оксопропаноил]бензилацетата (справочный пример 12-1) в виде желтых кристаллов. FA: 449. Аналогичным образом получают 3-[2-(1,3-дигидро-2Н-бензимидазол-2-илиден)-3-(3-фторфенил)-3-оксопропаноил]бензилацетат (справочный пример 12-2). FA: 431. Справочный пример 13 Порцию в 25 мл раствора в ТГФ, содержащего 1,2 г этил 3-{3-[3-(3,5-дифторфенил)-2-(1,3-дигидро-2Н-бензимидазол-2-илиден)-3-оксопропаноил]фенил}акрилата, охлаждают до -78°С в токе газообразного аргона, постепенно по каплям добавляют 5,5 мл 1,0 М раствор в толуоле диизобутилалюминийгидрида и затем смесь перемешивают при 0°С приблизительно 2 часов. Смесь снова охлаждают до -78°С и добавляют по каплям такое же количество восстанавливающего агента, затем температуру смеси постепенно повышают до комнатной температуры и перемешивают приблизительно 40 минут. Реакционную жидкость охлаждают до -30°С или ниже, добавляют небольшое количество метанола и очищенной воды и полученное в результате нерастворимое вещество отфильтровывают и промывают соответствующим количеством этилацетата. Органический слой, полученный путем разделения слоев фильтрата, промывают водой, сушат над безводным сульфатом магния и концентрируют, затем полученный в результате остаток очищают колоночной хроматографией на силикагеле, получая 0,58 г (выход 53%) 1-(3,5-дифторфенил)-2-(1,3-дигидро-2Н-бензимидазол-2-илиден)-3-[3-(3-гидрокси-проп-1-ен-1-ил)фенил]пропан-1,3-диона в виде желтой пены из элюата в смеси этилацетат-гексан (1:1). FA: 433. Справочный пример 14 Порцию в 104 мг ацетата палладия и 5 мл ТЭА добавляют один за другим к 50 мл раствора в ацетонитриле, содержащего 7,44 г 3-йодбензойной кислоты и 3,9 мл этилакрилата, смесь герметично закрывают в пробирке и нагревают при 100°С приблизительно 12 часов. После самопроизвольного охлаждения катализатор отфильтровывают с промывкой соответствующими количествами метанола и этилацетата и фильтрат упаривают при пониженном давлении. Полученные в результате неочищенные кристаллы перекристаллизовывают из небольшого количества этанола, получая 5,82 г (выход 88%) 3-(3-этокси-3-оксопроп-1-ен-1-ил)бензойной кислоты в виде белых кристаллов. FA: 221. Справочный пример 15-1 Порцию в 1 г 4-(3-бромфенил)-2,2-диметил-1,3-диоксана растворяют в 18 мл ТГФ и охлаждают до -78°С, затем в течение 1 часа по каплям добавляют 2,35 мл раствора в гексане, содержащего 1,57 М н-бутиллития. По окончании добавления полученную смесь дополнительно перемешивают 30 минут. После добавления избыточного количества диоксида углерода при -78°С температуру смеси повышают до комнатной температуры. Реакционный раствор смешивают с водным раствором хлорида аммония и экстрагируют 10 раз смесью хлороформ-метанол (5:1), органический слой сушат над сульфатом натрия и концентрируют, затем полученный в результате остаток очищают колоночной хроматографией на силикагеле (гексан:этилацетат=1:1), получая 550 мг (выход 63%) 3-(2,2-диметил-1,3-диоксан-4-ил)бензойной кислоты (справочный пример 15-1). FA: 237. Аналогичным образом получают 2-бутил-3-(2,2-диметил-1,3-диоксан-4-ил)бензойную кислоту (выход 5%) (справочный пример 15-2) из 4-(3-бром-2-фторфенил)-2,2-диметил-1,3-диоксана. FN: 277. Справочный пример 16-1 Порцию в 5,71 г этил 3-[(1R)-1,2-дигидроксиэтил]-2-фторбензоата растворяют в 30 мл 2,2-диметоксипропана, смешивают с 476 мг моногидрата п-толуолсульфоновой кислоты и перемешивают при комнатной температуре 30 минут. Полученную смесь смешивают с насыщенным водным раствором бикарбоната натрия и экстрагируют этилацетатом, органический слой промывают насыщенным рассолом, сушат над сульфатом натрия и концентрируют, затем полученный в результате остаток очищают колоночной хроматографией на силикагеле (гексан:этилацетат=10:1), получая 5,46 г (выход 81%) этил 3-[(4R)-2,2-диметил-1,3-диоксолан-4-ил]-2-фторбензоата (справочный пример 16-1). FA: 269. Аналогичным образом с использованием соответствующих оптически активных соединений получают соединения справочного примера 16-9 и справочных примеров (16-2)-(16-8), представленных в таблице 11. Справочный пример 16-9: (4R)-4-(3-Бром-2-фторфенил)-2,2-диметил-1,3-диоксолан. FA: 276. Справочный пример 17-1 Порцию в 12,76 г этил 3-бром-2-фторбензоата растворяют в 50 мл толуола, к раствору по порядку добавляют 15,8 мл трибутил(винил)олова, 236 мг трис(дибензилиденацетон)дипалладия, 1,25 мл три-трет-бутилфосфина (раствор в гексане, 10 мас.%) и перемешивают при комнатной температуре 13 часов в атмосфере аргона. Смесь разбавляют 300 мл диэтилового эфира, смешивают с 25 г фторида калия и 5 мл очищенной воды и перемешивают 30 минут, нерастворимое вещество отфильтровывают с использованием воронки Кирияма, затем концентрируют маточную жидкость. Остаток очищают колоночной хроматографией на силикагеле (гексан:этилацетат=40:1), получая 10,3 г (выход 97%) этил-2-фтор-3-винилбензоата (справочный пример 17-1). Аналогичным образом получают соединения справочных примеров (17-2)-(17-5), представленных в таблице 11. Справочный пример 18-1 Порцию в 74,3 г AD-mix- Аналогичным образом получают следующие оптически активные соединения справочного примера 18-8 и справочных примеров (18-2)-(18-7), представленных в таблице 11. Кроме того, аналогичным образом с использованием AD-mix- Справочный пример 18-8: (1R)-1-(3-Бром-2-фторфенил)этан-1,2-диол. FA: 236. Справочный пример 19 К раствору в ДМФА (30 мл), содержащему 2,70 г 3-бром-2-хлорбензойной кислоты, добавляют по порядку 1,10 мл метилйодида и 2,38 г карбоната калия при комнатной температуре, затем перемешивают 1 час. Реакционную жидкость смешивают с водой и затем разбавляют этилацетатом. После разделения слоев органический слой промывают водой и насыщенным рассолом в указанном порядке, сушат над безводным сульфатом натрия и затем концентрируют при пониженном давлении. Полученный в результате остаток очищают колоночной хроматографией на силикагеле с использованием смеси этилацетат:н-гексан (100:3) в качестве элюирующего растворителя, получая 2,26 г (выход 79%) метил 3-бром-2-хлорбензоата. FA: 250. Справочный пример 20 В токе аргона охлаждают приблизительно до -70°С раствор в безводном ТГФ, содержащий 0,72 мл N,N-диизопропиламина, к раствору по каплям добавляют 3,3 мл 1,54 М раствора н-бутиллития в гексане, затем температуру реакционной жидкости повышают приблизительно до -15°С. Реакционную жидкость снова охлаждают приблизительно до -70°С, смешивают с 0,54 мл 3-ацетилпиридина и затем перемешивают при той же температуре приблизительно 30 минут. Затем постепенно по каплям добавляют 5 мл раствора в безводном ТГФ, содержащего 1,1 г 3-((4R)-2,2-диметил-1,3-диоксолан-4-ил)-2-фторбензальдегида. После перемешивания при -70°С в течение приблизительно 20 минут и последующего выдерживания приблизительно при -30°С в течение приблизительно 3 часов смесь смешивают с соответствующим количеством 0,2 М водного раствора хлористоводородной кислоты и несколько раз экстрагируют этилацетатом. Органический слой промывают насыщенным рассолом и сушат над безводным сульфатом магния, затем растворитель выпаривают, выделяют полученный в результате остаток и очищают колоночной хроматографией на силикагеле, получая 0,77 г (выход 43%) 3-[3-((4R)-2,2-диметил-1,3-диоксолан-4-ил)-2-фторфенил]-3-гидрокси-1-пиридин-3-илпропан-1-она в виде бесцветного масла из элюата в смеси этилацетат-гексан (7:3). FA: 346. Справочный пример 21 Порцию в 4 мл раствора в ДМФА, содержащего 0,38 г 1-[3-((4R)-2,2-диметил-1,3-диоксолан-4-ил)-2-фторфенил]-3-пиридин-3-илпропан-1,3-диона и 1,3 г фторида калия, смешивают с 0,1 г дисульфида углерода, перемешивают при комнатной температуре приблизительно 2,5 часа в закрытом состоянии, смешивают с 0,16 мл метилйодида и затем дополнительно перемешивают приблизительно 1 час в тех же условиях. Реакционную жидкость смешивают с подходящим количеством очищенной воды и экстрагируют несколько раз этилацетатом, полученный в результате органический слой промывают насыщенным рассолом и сушат над безводным сульфатом магния в указанном порядке. Растворитель упаривают и полученный в результате остаток выделяют и очищают колоночной хроматографией на силикагеле, получая 0,14 г (выход 49%) 2-[бис(метилсульфанил)метилен]-1-[3-((4R)-2,2-диметил-1,3-диоксолан-4-ил)-2-фторфенил]-3-пиридин-3-илпропан-1,3-диона в виде желтого масла из элюата в смеси этилацетат:гексан (1:1). ES+: 448. Таблица 11 Пример 1-1 (1) Реагент, образующий хлорангидрид кислоты, получают добавлением 5 мл дихлорметана при перемешивании к раствору 0,80 мл тионилхлорида и 1,31 г 1Н-бензотриазола. Затем полученный выше реагент добавляют к 90 мл раствора в дихлорметане, содержащего 1,96 г (4R)-3-(2,2-диметил-1,3-диоксолан-4-ил)бензойной кислоты, и перемешивают при комнатной температуре 10 минут. После фильтрования образовавшегося хлорангидрида к фильтрату добавляют безводный сульфат магния. После фильтрования и концентрирования получают хлорангидрид кислоты. (2) Хлорангидрид кислоты, полученный в пункте (1), при 70°С растворяют в 10 мл диглима и добавляют по каплям к 10 мл раствора в диглиме, содержащего 933 мг 2-(1,3-дигидро-2Н-бензимидазол-2-илиден)-1-(3-фторфенил)этанона и 1,28 мл ТЭА. Затем температуру смеси повышают до 100°С, смешивают с 66 мкл очищенной воды и затем нагревают при кипении с обратным холодильником в течение 40 минут. После охлаждения до комнатной температуры реакционную массу смешивают с соответствующим количеством очищенной воды, экстрагируют этилацетатом и сушат над безводным сульфатом магния. После концентрирования органического слоя полученный остаток очищают колоночной хроматографией на силикагеле, получая 1,68 г (выход 100%) 2-(1,3-дигидро-2Н-бензимидазол-2-илиден)-1-{3-[(4R)-2,2-диметил-1,3-диоксолан-4-ил]фенил}-3-(3-фторфенил)пропан-1,3-диона (пример 1-1) из элюата в смеси гексан-этилацетат (6:1). Аналогичным образом получают соединения, представленные в таблице 12 и таблице 13, с использованием оптически активных соединений. Таблица 12 Таблица 13 Пример 2-1 Раствор в смеси ТГФ (12 мл) и очищенной воды (3 мл), содержащий 72 мг N-метилморфолин-N-оксида, смешивают с 0,5 мл 0,08 М раствора тетраоксида осмия в трет-бутаноле и 0,82 г 1-(3,5-дифторфенил)-2-(1,3-дигидро-2Н-бензимидазол-2-илиден)-3-(3-винилфенил)пропан-1,3-диона в указанном порядке и затем перемешивают при комнатной температуре приблизительно 2 часа. Реакционную жидкость концентрируют приблизительно до 1/4 объема, смешивают с подходящим количеством водного раствора сульфита натрия и экстрагируют несколько раз этилацетатом. Полученный органический слой промывают водой, сушат над безводным сульфатом магния и концентрируют, затем полученный остаток очищают колоночной хроматографией на силикагеле, получая 0,83 г (выход 69%) 1-(3,5-дифторфенил)-2-(1,3-дигидро-2Н-бензимидазол-2-илиден)-3-[3-(1,2-дигидроксиэтил)фенил]пропан-1,3-диона (пример 2-1) в виде светло-желтых кристаллов из элюата в смеси хлороформ-метанол (80:1). Аналогичным образом получают соединения, представленные в таблицах 14-17. Таблица 14 Таблица 15 Таблица 16 Таблица 17 Пример 3-1 Порцию в 6 мл раствора в ТГФ, содержащего 0,21 г 2-(1,3-дигидро-2Н-бензимидазол-2-илиден)-1-[3-(1,2-дигидроксиэтил)фенил]-3-(3-фторфенил)пропан-1,3-диона и 0,3 г метилортоацетата, смешивают с 63 мг п-толуолсульфоната пиридиния и затем перемешивают при комнатной температуре приблизительно 30 минут. После выпаривания растворителя остаток смешивают с подходящим количеством водного раствора бикарбоната натрия, экстрагируют несколько раз этилацетатом, сушат над безводным сульфатом магния и концентрируют. Полученный в результате остаток очищают колоночной хроматографией на силикагеле, получая 162 мг (выход 68%) 2-(1,3-дигидро-2Н-бензимидазол-2-илиден)-1-(3-фторфенил)-3-[3-(2-метокси-2-метил-1,3-диоксолан-4-ил)фенил]пропан-1,3-диона (пример 3-1) в виде светло-желтой пены из элюата в смеси этилацетат-гексан (1:2). Аналогичным образом получают соединения, представленные в таблице 18. Таблица 18 Пример 4-1 Порцию в 20 мл раствора в метаноле, содержащего 1,68 г 2-(1,3-дигидро-2Н-бензимидазол-2-илиден)-1-{3-[(4R)-2,2-диметил-1,3-диоксолан-4-ил]фенил}-3-(3-фторфенил)пропан-1,3-диона, смешивают с 560 мг моногидрата п-толуолсульфоновой кислоты и перемешивают при комнатной температуре 18 час. Полученную смесь смешивают с подходящими количествами очищенной воды и насыщенного водного раствора бикарбоната натрия, экстрагируют этилацетатом и сушат над безводным сульфатом магния. После концентрирования полученный в результате остаток очищают колоночной хроматографией на силикагеле, получая 640 мг (выход 42%) 2-(1,3-дигидро-2Н-бензимидазол-2-илиден)-1-{3-[(1R)-1,2-дигидроксиэтил]фенил}-3-(3-фторфенил)пропан-1,3-диона (пример 4-1) из элюата в смеси гексан-этилацетат (3:1-1:3). Кроме того, соединение примера 4-11 получают следующим способом. Порцию в 140 мг 3-(2-(1,3-дигидро-2Н-бензимидазол-2-илиден)-3-{3-[(4R)-2,2-диметил-1,3-диоксолан-4-ил]-2-фторфенил}-3-оксопропаноил)бензонитрила растворяют в 5 мл смеси (уксусная кислота)-вода (4:1) и перемешивают при 50°С в течение 3 часов. Растворитель упаривают для проведения азеотропной обработки с использованием толуола. Полученный в результате остаток очищают колоночной хроматографией на силикагеле, пенообразное вещество, полученное из элюата в смеси хлороформ-метанол (10:0-9:1), перекристаллизовывают из смеси этилацетат-гексан, получая 105 мг (выход 82%) 3-(2-(1,3-дигидро-2Н-бензимидазол-2-илиден)-3-{3-[(1R)-1,2-дигидроксиэтил]-2-фторфенил}-3-оксопропаноил)бензонитрила (пример 4-11). Аналогичным образом получают соединения, представленные в таблицах 19-21, при использовании оптически активных соединений, полученных из дигидрокси-соединений, синтезированных с использованием AD-mix-бета. Таблица 19 Таблица 20 Таблица 21 Пример 5 Раствор в хлороформе, содержащий 0,11 г 1-(3,5-дифторфенил)-2-(1,3-дигидро-2Н-бензимидазол-2-илиден)-3-{3-[1-гидрокси-2-(метилсульфанил)этил]фенил}пропан-1,3-диона, смешивают с 0,13 г 77%-ной 3-хлорфенилнадбензойной кислоты и перемешивают при комнатной температуре приблизительно 30 минут. Реакционную жидкость смешивают с подходящим количеством водного раствора бикарбоната натрия, экстрагируют несколько раз этилацетатом, сушат над безводным сульфатом натрия и концентрируют, полученный в результате остаток очищают колоночной хроматографией на силикагеле, получая 85 мг (выход 71%) 1-(3,5-дифторфенил)-2-(1,3-дигидро-2Н-бензимидазол-2-илиден)-3-{3-[1-гидрокси-2-(метилсульфонил)этил]фенил}пропан-1,3-диона в виде желтой пены из элюата в смеси хлороформ-метанол (100:1). ES+: 499. Пример 6-1 Боргидрид натрия при -10°С смешивают с 10 мл раствора в этаноле, содержащего 184 мг 2-(1,3-дигидро-2Н-бензимидазол-2-илиден)-1-(3-фторфенил)-3-[3-(1-гидрокси-3-оксобутил)фенил]пропан-1,3-диона, и перемешивают 30 минут. Полученную смесь смешивают с подходящим количеством насыщенного водного раствора хлорида аммония и очищенной водой, экстрагируют этилацетатом и сушат над сульфатом магния. После концентрирования полученный в результате остаток очищают колоночной хроматографией на силикагеле, получая 110 мг (выход 60%) 2-(1,3-дигидро-2Н-бензимидазол-2-илиден)-1-[3-(1,3-дигидроксибутил)фенил]-3-(3-фторфенил)пропан-1,3-диона (пример 6-1) из элюата в смеси гексан-этилацетат (1:1-1:3). Аналогичным образом получают соединения, представленные в таблице 22. Таблица 22 Пример 7-1 К 5 мл раствора в ДМФА, содержащего 200 мг 2-(1,3-дигидро-2Н-бензимидазол-2-илиден)-1-[3-(1,2-дигидроксиэтил)фенил]-3-(3-фторфенил)пропан-1,3-диона и 53 мкл 2-метилпропановой кислоты, добавляют 88 мг моногидрата 1-гидроксибензотриазола, 110 мг WSCHCl и 70 мг диметиламинопиридина в указанном порядке и смесь перемешивают при комнатной температуре 18 часов. Полученную смесь смешивают с подходящим количеством очищенной воды, экстрагируют этилацетатом и сушат над безводным сульфатом натрия. После концентрирования полученный в результате остаток очищают колоночной хроматографией на силикагеле, получая 90 мг (выход 39%) 2-{3-[2-(1,3-дигидро-2Н-бензимидазол-2-илиден)-3-(3-фторфенил)-3-оксопропаноил]фенил}-2-гидроксиэтил-2-метилпропаноата (пример 7-5) из элюата в смеси гексан-этилацетат (2:1-0:1). Аналогичным образом получают соединения, представленные в таблице 23. Таблица 23 Пример 8 Порцию в 0,35 г 2-(1,3-дигидро-2Н-бензимидазол-2-илиден)-1-[3-(1,2-дигидроксиэтил)фенил]-3-(3-фторфенил)пропан-1,3-диона добавляют к 10 мл раствора в ДМФА, содержащего 0,14 г гидрохлорида N,N-диметилглицина, 0,14 г HOBt, 0,19 г WSCHCl и 0,28 мл ТЭА, затем смесь перемешивают при комнатной температуре приблизительно 12 часов. Реакционную жидкость смешивают с подходящим количеством водного раствора хлорида аммония, экстрагируют несколько раз этилацетатом, сушат над безводным сульфатом магния и концентрируют, затем полученный в результате остаток очищают колоночной хроматографией на силикагеле, получая 0,3 г желтой пены из элюата в смеси хлороформ-метанол (50:1). Полученную пену растворяют в 15 мл этилацетата, к раствору по каплям добавляют 0,5 мл 4 н. раствора хлористоводородной кислоты в этилацетате, смесь перемешивают при комнатной температуре приблизительно 15 минут, затем полученные кристаллы отфильтровывают и сушат, получая 0,2 г (выход 44%) гидрохлорида 2-{3-[2-(1,3-дигидро-2Н-бензимидазол-2-илиден)-3-(3-фторфенил)-3-оксопропаноил]фенил}-2-гидроксиэтил(диметиламино)ацетата в виде белых кристаллов. FA: 504. Пример 9-1 Порцию в 10 мл раствора в ТГФ, содержащего 104 мг 1-[{3-[2-(1,3-дигидро-2Н-бензимидазол-2-илиден)-3-(3-фторфенил)-3-оксопропаноил]фенил}(гидрокси)метил]-2-гидроксипропилацетата и 2 мл метанольного раствора, смешивают с 0,62 мл 1,0 М гидроксида натрия и перемешивают 30 минут. Полученную смесь смешивают с подходящими количествами насыщенного водного раствора хлорида аммония и очищенной воды, экстрагируют этилацетатом и сушат над безводным сульфатом магния. После концентрирования полученный в результате остаток очищают колоночной хроматографией на силикагеле, получая 35 мг (выход 37%) 2-(1,3-дигидро-2Н-бензимидазол-2-илиден)-1-(3-фторфенил)-3-[3-(1,2,3-тригидроксибутил)фенил]пропан-1,3-диона (пример 9-1) из элюата в смеси гексан-этилацетат (1:1-1:3). Аналогичным образом получают соединения, представленные в таблице 24 и в примерах 9-5 и 9-6. Пример 9-5: 2-(1,3-Дигидро-2Н-бензимидазол-2-илиден)-1-(3-фторфенил)-3-[3-(гидроксиметил)фенил]пропан-1,3-дион. FA: 389. Пример 9-6: 1-(3,5-Дифторфенил)-2-(1,3-дигидро-2Н-бензимидазол-2-илиден)-3-[3-(гидроксиметил)фенил]пропан-1,3-дион. FA: 407. Таблица 24 Пример 10 При охлаждении льдом 0,54 г перйодата натрия добавляют к 3 мл водного раствора смеси ТГФ-метанол (1:1:1), содержащего 0,25 г 2-(1,3-дигидро-2Н-бензимидазол-2-илиден)-1-{3-[2-(1,2-дигидроксиэтил)-1,3-диоксолан-4-ил]фенил}-3-(3-фторфенил)пропан-1,3-диона, и перемешивают при комнатной температуре приблизительно 30 минут. Реакционную жидкость смешивают с подходящим количеством насыщенного рассола, экстрагируют этилацетатом, сушат над безводным сульфатом магния и затем концентрируют, получая формильное промежуточное соединение в виде желтой пены. Полученную пену растворяют в 5 мл метиленхлорида, к раствору добавляют 60 мкл морфолина и 0,3 мл уксусной кислоты в указанном порядке и затем при охлаждении льдом добавляют 0,22 г триацетоксинатрийборгидрида. Смесь перемешивают при комнатной температуре приблизительно 30 минут. После выпаривания растворителя остаток смешивают с подходящим количеством бикарбоната натрия, экстрагируют несколько раз этилацетатом, сушат над безводным сульфатом магния и концентрируют. Полученный в результате остаток очищают колоночной хроматографией на силикагеле, получая 0,16 г (выход 60%) 2-(1,3-дигидро-2Н-бензимидазол-2-илиден)-1-(3-фторфенил)-3-{3-[2-(морфолин-4-илметил)-1,3-диоксолан-4-ил]фенил}пропан-1,3-диона в виде желтой пены из элюата в этилацетате. FA: 530. Пример 11-1 Порцию в 0,33 мл 2-бромпиридина растворяют в 3 мл ТГФ, раствор охлаждают до -78°С, смешивают с 2,2 мл н-бутиллития и затем перемешивают при комнатной температуре 30 минут. Полученный раствор выливают при -78°С в раствор, приготовленный растворением 3-[2-(1,3-дигидро-2Н-бензимидазол-2-илиден)-3-(3-фторфенил)-3-оксопропаноил]бензальдегида в 10 мл ТГФ. Температуру смеси медленно повышают до комнатной температуры и смешивают с 50 мл насыщенного водного раствора хлорида аммония. Полученную смесь экстрагируют этилацетатом, сушат над сульфатом натрия и затем концентрируют, полученный в результате остаток очищают колоночной хроматографией на силикагеле (хлороформ:метанол=100:0 Аналогичным образом получают гидрохлорид 2-(1,3-дигидро-2Н-бензимидазол-2-илиден)-1-(3-фторфенил)-3-{3-[гидрокси(1-метил-1Н-имидазол-2-ил)метил]фенил}пропан-1,3-диона (пример 11-2). FA: 469. Пример 12 Порцию в 2 мл раствора в ДМСО, содержащего 100 мг 1-[3-(хлорметил)фенил]-3-(3,5-дифторфенил)-2-(1,3-дигидро-2Н-бензимидазол-2-илиден)пропан-1,3-диона, смешивают с 35 мг ацетата калия и перемешивают при комнатной температуре приблизительно 2 дня. Реакционную жидкость смешивают с подходящим количеством насыщенного водного раствора хлорида аммония, экстрагируют несколько раз этилацетатом, сушат над безводным сульфатом магния и концентрируют, затем полученный в результате остаток очищают колоночной хроматографией на силикагеле, получая 90 мг желтого маслянистого вещества из элюата в смеси этилацетат-гексан (1:2). Перекристаллизацией полученного вещества из небольшого количества смеси этилацетат-гексан (1:3) при низкой температуре получают 68 мг (выход 64%) 3-[3-(3,5-дифторфенил)-2-(1,3-дигидро-2Н-бензимидазол-2-илиден)-3-оксопропаноил]бензилацетата в виде желтых кристаллов. FA: 449. Пример 13-1 Разделение 1-(3,5-дифторфенил)-2-(1,3-дигидро-2Н-бензимидазол-2-илиден)-3-[3-(1,2-дигидроксиэтил)фенил]пропан-1,3-диона проводят обычным способом с использованием хиральной колонки: CHIRALCEL OD-Н (торговое название Daicel Chemical Industries) и элюента: смесь гексан/этанол, 3:1. 1-(3,5-Дифторфенил)-2-(1,3-дигидро-2Н-бензимидазол-2-илиден)-3-{3-[(1S)-1,2-дигидроксиэтил]фенил}пропан-1,3-дион (пример 13-1) получают в виде изомера, имеющего более короткое время удерживания. Соединение примера 13-1: FA: 437, [ Также 1-(3,5-дифторфенил)-2-(1,3-дигидро-2Н-бензимидазол-2-илиден)-3-{3-[(1R)-1,2-дигидроксиэтил]фенил}пропан-1,3-дион (пример 13-2) получают в виде изомера, имеющего более длинное время удерживания. FA: 437. FA: 437, N1: 3,27 (2H, м), 4,42 (1H, м), 4,71 (1H, т, J=6 Гц), 5,17 (1H, д, J=4 Гц), 6,91 (3H, м), 7,14 (3H, м), 7,30 (3H, м), 7,74 (2H, м), 13,11 (2H, с), т.пл.: 189-190°С, [ Пример 14-1 Порцию в 568 мг 1-[3-(2-азидо-1-гидроксиэтил)фенил]-3-(3,5-дифторфенил)-2-(1,3-дигидро-2Н-бензимидазол-2-илиден)пропан-1,3-диона и 120 мг 10%-ного палладия на угле добавляют к 50 мл этилацетата и перемешивают при комнатной температуре 8,5 час при обычном давлении и в атмосфере водорода. Полученную смесь фильтруют через целит, концентрируют, смешивают с диэтиловым эфиром и затем экстрагируют водой. После концентрирования водного слоя получают 250 мг (выход 47%) 1-[3-(2-амино-1-гидроксиэтил)фенил]-3-(3,5-дифторфенил)-2-(1,3-дигидро-2Н-бензимидазол-2-илиден)пропан-1,3-диона (пример 14-1) в виде желтого твердого вещества. FA: 436. Аналогичным образом получают следующие соединения. Пример 14-2: 2-(1,3-Дигидро-2Н-бензимидазол-2-илиден)-1-[3-(2-этил-1,3-диоксолан-4-ил)фенил]-3-(3-фторфенил)пропан-1,3-дион. FA: 459. Пример 14-3: 1-(3,5-Дифторфенил)-3-{3-[(1R)-1,2-дигидроксиэтил]-2-фторфенил}-2-(5-гидрокси-1,3-дигидро-2Н-бензимидазол-2-илиден)пропан-1,3-дион. FA: 471. Пример 15-1 Порцию в 137 мг 1-[3-(2-амино-1-гидроксиэтил)фенил]-3-(3,5-дифторфенил)-2-(1,3-дигидро-2Н-бензимидазол-2-илиден)пропан-1,3-диона растворяют в 10 мл пиридина и добавляют 35 мг уксусного ангидрида при охлаждении льдом. После перемешивания при комнатной температуре в течение 2,5 час реакционную жидкость смешивают с подходящим количеством водного раствора бикарбоната натрия, экстрагируют этилацетатом, сушат над безводным сульфатом натрия и концентрируют, затем полученный в результате остаток очищают колоночной хроматографией на силикагеле, получая 120 мг (выход 80%) N-(2-{3-[3-(3,5-дифторфенил)-2-(1,3-дигидро-2Н-бензимидазол-2-илиден)-3-оксо-пропаноил]фенил}-2-гидроксиэтил]ацетамида (пример 15-1) в виде желтой пены из элюата в смеси хлороформ-метанол (30:1). FA: 478. Следующие соединения получены аналогичным способом. Пример 15-2: 2-{3-[2-(1,3-Дигидро-2Н-бензимидазол-2-илиден)-3-(3-фторфенил)-3-оксопропаноил]фенил}-2-гидроксиэтилэтилкарбонат. FA: 491. Пример 15-3: 1-{3-[2-(1,3-Дигидро-2Н-бензимидазол-2-илиден)-3-(3-фторфенил)-3-оксопропаноил]фенил}-2-гидроксиэтилацетат. FA: 461. Пример 15-4: 2-(Ацетилокси)-2-{3-[2-(1,3-дигидро-2Н-бензимидазол-2-илиден)-3-(3-фторфенил)-3-оксопропаноил]фенил}этил(диметиламино)ацетат. FA: 546. Пример 16 Порцию в 300 мг 2-(1,3-дигидро-2Н-бензимидазол-2-илиден)-1-[3-(1,2-дигидроксиэтил)фенил]3-(3-фторфенил)пропан-1,3-диона и 200 мг CDI растворяют в 7 мл толуола и перемешивают при 80°С в течение 12 часов. После концентрирования реакционной жидкости полученный в результате остаток очищают колоночной хроматографией на силикагеле, получая 30 мг (выход 9%) 2-(1,3-дигидро-2Н-бензимидазол-2-илиден)-1-(3-фторфенил)-3-[3-(2-оксо-1,3-диоксолан-4-ил)фенил]пропан-1,3-диона в виде желтого твердого вещества из элюата в смеси хлороформ-метанол (10:1). ES+: 445. Пример 17 В соответствии с приведенным выше способом примера 1 получают 1-(3,5-дифторфенил)-2-(1,3-дигидро-2Н-бензимидазол-2-илиден)-3-[3-(2,2-диметил-1,3-диоксолан-4-ил)фенил]пропан-1,3-дион. ES+:491. Пример 18 Порцию в 12 г 2-[бис(метилсульфанил)метилен]-1-[3-((4R)-2,2-диметил-1,3-диоксолан-4-ил)-2-фторфенил]-3-пиридин-3-илпропан-1,3-диона и 36 мг 1,2-фенилендиамина растворяют в 8 мл этанола и нагревают при кипении с обратным холодильником 3 часа. После концентрирования реакционной смеси полученный в результате остаток очищают колоночной хроматографией на силикагеле, получая 0,12 г (выход 97%) 2-(1,3-дигидро-2Н-бензимидазол-2-илиден)-1-{3-((4R)-2,2-диметил-1,3-диоксолан-4-ил]-2-фторфенил}-3-пиридин-3-илпропан-1,3-диона в виде желтого твердого вещества из элюата в смеси этилацетат-гексан (3:1). FA: 460. Пример испытаний 1. Тест на антагонистическую активность в отношении рецепторов GnRH Антагонистическую активность в отношении рецепторов GnRH соединений настоящего изобретения оценивают путем расчета их концентрации, ингибирующей 50% связывания 125I-D-Trp6-LHRH с рецептором GnRH человека (значение IC50), в соответствии с 1. Метод оценки антагонизма для рецепторов GnRH описан на стр.56 патентной ссылки 1. Результаты представлены в таблице 25. Пример испытаний 2. Измерение концентрации соединения в крови путем оценки связывания ex vivo Каждое испытуемое соединение растворяют или суспендируют в 0,5%-ном растворе метилцеллюлозы (МЦ) и перорально вводят самцу крыс Wistar возрастом 9 недель (SLC Japan) в дозе 10 мг/кг. Образцы крови отбирают через два часа после введения для получения сыворотки. Каждый образец сыворотки смешивают с таким же объемом метанола для удаления белка, необязательно разбавляют оценочным буфером и затем измеряют показатель ингибирования связывания 125I-D-Trp6-LHRH аналогичным способом примера испытания 1. Используя отдельно полученную калибровочную кривую концентрация-(ингибирование связывания испытуемого соединения), из показателя ингибирования связывания рассчитывают концентрацию каждого соединения (мкМ). Полученные результаты представлены в таблице 25.
Считается, что эффективность действия антагониста рецептора GnRH в живом организме зависит как от ингибирующей рецептор активности, так и от концентрации лекарства в крови и что соединение, имеющее более высокое отношение концентрации лекарства в крови к ингибирующей рецептор активности in vitro, оказывает более сильный эффект в живом организме. Так как соединения настоящего изобретения проявляют антагонизм в отношении рецепторов GnRH, который аналогичен или выше, чем антагонизм соединений, описанных в патентной ссылке 1, и значение (В)/(А) как отношение концентрации в крови к ингибирующей рецептор активности дополнительно улучшен, подтверждается, что можно ожидать эффект от соединений в живом организме. Например, в таблице 25 показано, если концентрация в крови выше, значение IC50 для антагонистической активности меньше, и величина лекарственного эффекта становится выше и сильнее. Пример испытания 3: Тест на антагонистическое действие в отношении индуцируемой GnRH реакции повышения тестостерона в крови Антагонистическое действие в отношении рецепторов GnRH in vivo соединений настоящего изобретения оценивают в соответствии со способом, описанным в ссылке “2. Test on antagonism for GnRH-induced blood testosterone increasing reaction”, на стр.57 патентной ссылки 1. Каждое испытуемое соединение суспендируют в 0,5%-ном водном растворе метилцеллюлозы (МЦ) и вводят перорально в дозе 10 мг/кг за 2 или 4 часа до введения GnRH. Соединения настоящего изобретения проявляют хорошую антагонистическую активность. Пример испытания 4: Тест на ингибирование фермента цитохром-Р450 (CYP) 3А4 (оценка лекарственного взаимодействия) (1) Тест на ингибирование I (расчет ингибирующей активности I) С использованием 96-луночного планшета субстрат (мидазолам), испытуемое соединение и микросомы печени человека (0,1 мг белка/мл) выдерживают при 37°С в течение 20 минут в 100 мМ фосфатного буфера, содержащего 0,1 мМ EDTA и 1 мМ NADPH. Затем реакцию останавливают добавлением водного раствора, содержащего 80% ацетонитрила. Затем каждый образец анализируют ВЭЖХ и рассчитывают ингибирующую активность I с использованием приведенной ниже формулы. Полученные результаты представлены в таблице 26. На основании полученных результатов сделано заключение, что соединения настоящего изобретения оказывают слабый ингибирующий эффект в отношении CYP3A4 и что для указанных соединений существует небольшая опасность того, что имеет место взаимодействие лекарство-лекарство с лекарственными средствами, для которых CYP3А4 вносит вклад в метаболизм в печени человека, по сравнению с соединениями примера 40, примера 251 и примера 239, описанных в патентной ссылке 1. Ингибирующая активность I (%)=100-Vi,I/V0,I·100; Vi.I: скорость метаболизма субстрата в присутствии испытуемого соединения известной концентрации в тесте на ингибирование I; V0.I: скорость метаболизма субстрата в отсутствие испытуемого соединения в тесте на ингибирование I.
(2) Тест на ингибирование II (расчет ингибирующей активности II) С использованием 96-луночного планшета испытуемое соединение и микросомы печени человека (0,1 мг белка/мл) выдерживают при 37°С в течение 30 минут в 145 мкл суммарного объема 100 мМ фосфатного буфера (рН=7,4), содержащего 0,1 мМ EDTA и 1 мМ NADPH. Затем в качестве субстрата добавляют мидазолам и выдерживают при 37°С в течение 20 минут. После выдерживания реакцию останавливают добавлением водного раствора, содержащего 80% ацетонитрила. Затем каждый образец анализируют ВЭЖХ и рассчитывают ингибирующую активность II. Ингибирующая активность II (%)=100-Vi,II/V0,II/(100-ингибирующая активность I)·100·100; Vi.II: скорость метаболизма субстрата в присутствии испытуемого соединения известной концентрации в тесте на ингибирование II; V0.II: скорость метаболизма субстрата в отсутствие испытуемого соединения в тесте на ингибирование II. На основании полученных результатов сделан вывод, что соединения примеров 2-4, 4-1, 4-4, 4-5, 4-21, 4-22, 4-25, 4-29 и 4-30 оказывают слабый ингибирующий эффект в отношении CYP3A4 и что для указанных соединений существует небольшая опасность, что имеет место взаимодействие лекарство-лекарство с лекарственными средствами, для которых CYP3А4 вносит вклад в метаболизм в печени человека по сравнению с соединениями примера 40, примера 251 и примера 239, описанными в патентной ссылке 1. Пример испытания 5: Тест на метаболическую стабильность в микросомах печени человека С использованием пробирки испытуемое соединение и микросомы печени человека (0,2 мг белка/мл) выдерживают при 37°С в течение 15 минут в 100 мМ фосфатном буфере (рН=7,4), содержащем 0,1 мМ EDTA и 1 мМ NADPH. После выдерживания реакцию останавливают добавлением водного раствора, содержащего 80% ацетонитрила. Затем каждый образец анализируют с помощью ВЭЖХ и рассчитывают клиренс in vitro с помощью интегрирующего графика. В результате этого испытания, например, соединения примеров 2-4, 4-1, 4-4, 4-5, 4-21, 4-22, 4-25, 4-29 и 4-30 показали прекрасную метаболическую стабильность в печени человека и сделан вывод, что на эти соединения меньше влияет эффект первого прохождения по сравнению с соединениями примеров 40, 251 и 239, описанных в патентной ссылке 1.
Формула изобретения
1. Производное пропан-1,3-диона, представленное общей формулой (I), или его фармацевтически приемлемая соль символы в формуле означают следующее: кольцо А: бензол, который может быть замещен, пиридин, который может быть замещен или тиофеновое кольцо; кольцо В: бензольное или тиофеновое кольцо; R1: Н или -СО-низший алкил; R2: Н, -O-R5, -N(R6)R7, -N3, -S(O)m-низший алкил, пиридил или имидазолил, которые могут быть замещены; R5: Н, низший алкил, -СО-низший алкил, который может быть замещен, или -СО-O-низший алкил, который может быть замещен; R6 и R7: могут быть одинаковыми или отличаются друг от друга и каждый из них представляет собой Н, низший алкил или -СО-низший алкил, при условии, что R1 и R2 вместе могут образовывать диоксолан, который может быть замещен; m: 0, 1 или 2; R3: Н или низший алкил; R401 и R402: могут быть одинаковыми или отличаются друг от друга и каждый из них представляет собой Н, атом галогена, -O-низший алкил или низший алкил; X: связь, низший алкилен, который может быть замещен, или циклоалкандиил; R101, R102, R103 и R104: могут быть одинаковыми или отличаются друг от друга и каждый из них представляет собой Н, атом галогена, ОН или -O-низший алкил, который может быть замещен гетероарилом. 2. Производное пропан-1,3-диона или его фармацевтически приемлемая соль по п.1, где кольцо А представляет собой бензольное кольцо, которое может быть замещено атомом галогена или низшим алкилом, кольцо В представляет собой бензольное кольцо, R1 представляет собой Н, R2 представляет собой ОН, R3 представляет собой Н и Х представляет собой низший алкилен, который может быть замещен. 3. Производное пропан-1,3-диона или его фармацевтически приемлемая соль по п.2, где Х представляет собой метилен, который может быть замещен. 4. Производное пропан-1,3-диона, представленное общей формулой (Ia), или его фармацевтически приемлемая соль символы в формуле имеют следующие значения: R801, R802 и R803: могут быть одинаковыми или отличаются друг от друга и каждый из них представляет собой атом водорода, атом галогена или низший алкил, и R403 и R404: могут быть одинаковыми или отличаются друг от друга и каждый из них представляет собой Н, атом галогена или низший алкил; и R101, R102, R103 и R104: могут быть одинаковыми или отличаются друг от друга и каждый из них представляет собой Н, атом галогена, ОН или -O-низший алкил, который может быть замещен гетероарилом. 5. Производное пропан-1,3-диона или его фармацевтически приемлемая соль по п.4, которые представляют собой, по меньшей мере, одно соединение, выбранное из группы, включающей 2-(1,3-дигидро-2Н-бензимидазол-2-илиден)-1-[3-(1,2-дигидроксиэтил)фенил]-3-(3,4,5-трифторфенил)пропан-1,3-дион; 1-{2-бутил-3-[(1R)-1,2-дигидроксиэтил]фенил}-2-(1,3-дигидро-2Н-бензимидазол-2-илиден)-3-(3-фторфенил)пропан-1,3-дион; 1-(3,5-дифторфенил)-2-(1,3-дигидро-2Н-бензимидазол-2-илиден)-3-[5-(1,2-дигидроксиэтил)-2-фторфенил]пропан-1,3-дион; 1-(3,5-дифторфенил)-2-(1,3-дигидро-2Н-бензимидазол-2-илиден)-3-{3-[(1R)-1,2-дигидроксиэтил]-2-метилфенил}пропан-1,3-дион; 2-(1,3-дигидро-2Н-бензимидазол-2-илиден)-1-{3-{(1R)-1,2-дигидроксиэтил]-2-метилфенил}-3-(2-фторфенил)пропан-1,3-дион; 2-(1,3-дигидро-2Н-бензимидазол-2-илиден)-1-[3-(1,2-дигидроксиэтил)фенил]-3-(2,3,5-трифторфенил)пропан-1,3-дион; 2-(1,3-дигидро-2Н-бензимидазол-2-илиден)-1-{3-[(1R)-1,2-дигидроксиэтил]-2-метилфенил}-3-(3-метилфенил)пропан-1,3-дион; 1-{2-хлор-3-[(1R)-1,2-дигидроксиэтил]фенил}-2-(1,3-дигидро-2Н-бензимидазол-2-илиден)-3-(3-фторфенил)пропан-1,3-дион); 2-(1,3-дигидро-2Н-бензимидазол-2-илиден)-1-{3-[(1R)-1,2-дигидроксиэтил]фенил}-3-(3-фторфенил)пропан-1,3-дион; 1-(3,5-дифторфенил)-2-(1,3-дигидро-2Н-бензимидазол-2-илиден)-3-[3-(1,2-дигидроксиэтил)-2-фторфенил]пропан-1,3-дион; 1-(3,5-дифторфенил)-2-(1,3-дигидро-2Н-бензимидазол-2-илиден)-3-[3-(1,2-дигидроксиэтил)-4-фторфенил]пропан-1,3-дион; 1-{2-хлор-3-[(1R)-1,2-дигидроксиэтил]фенил}-3-(3,5-дифтор-фенил)-2-(1,3-дигидро-2Н-бензимидазол-2-илиден)пропан-1,3-дион); 2-(1,3-дигидро-2Н-бензимидазол-2-илиден)-1-{3-[(1R)-1,2-дигидроксиэтил]-2-фторфенил}-3-(3-фторфенил)пропан-1,3-дион; 1-{2-хлор-3-[(1R)-1,2-дигидроксиэтил]фенил}-3-(3-хлор-фенил)-2-(1,3-дигидро-2Н-бензимидазол-2-илиден)пропан-1,3-дион). 6. Производное пропан-1,3-диона, представленное общей формулой (Ib), или его фармацевтически приемлемая соль символы в формуле означают следующее: R8 и R9: могут быть одинаковыми или отличаются друг от друга и каждый из них представляет собой Н, низший алкил, низший алкенил или -O-низший алкил; R801, R802 и R803: могут быть одинаковыми или отличаются друг от друга и каждый из них представляет собой атом водорода, атом галогена или низший алкил, и R403 и R404: могут быть одинаковыми или отличаются друг от друга и каждый из них представляет собой Н, атом галогена или низший алкил; и R101, R102, R103 и R104: могут быть одинаковыми или отличаются друг от друга и каждый из них представляет собой Н, атом галогена или -O-низший алкил, который может быть замещен гетероарилом. 7. Производное пропан-1,3-диона или его фармацевтически приемлемая соль по п.6, где R801, R802 и R803 могут быть одинаковыми или отличаются друг от друга и каждый представляет собой Н или атом галогена. 8. Производное пропан-1,3-диона или его фармацевтически приемлемая соль по п.7, которые представляют собой, по меньшей мере, одно соединение, выбранное из группы, включающей 2-(1,3-дигидро-2Н-бензимидазол-2-илиден)-1-(3-фторфенил)-3-[3-(2-метокси-1,3-диоксолан-4-ил)фенил]пропан-1,3-дион; 2-(1,3-дигидро-2Н-бензимидазол-2-илиден)-1-(3-фторфенил)-3-[3-(2-метокси-2-метил-1,3-диоксолан-4-ил)фенил]пропан-1,3-дион, или их фармацевтически приемлемую соль. 9. Фармацевтическая композиция, проявляющая антагонистическое действие в отношении рецептора GnRH, содержащая в качестве активного ингредиента пропан-1,3-дионовое соединение, представленное общей формулой (I), или его фармацевтически приемлемую соль по п.1 и фармацевтически приемлемый носитель. 10. Фармацевтическая композиция по п.9, которая представляет собой антагонист рецептора GnRH для лечения рака простаты, рака груди, эндометриоза, маточной лейомиомы и доброкачественной гипертрофии предстательной железы.
|
||||||||||||||||||||||||||||||||||||||||||||||||||||||||||||||||||||||||||||||||||||||||||||||||||||||||||||||||||||||||||||||||||||||||||||||||||||||||||||||||||||||||||||||||||||||||||||||||||||||||||||||||||||















-бромкетон (XVIII), и указанное соединение (XVIII) может быть подвергнуто указанной выше реакции замещения Sn2-типа. Полученное таким образом замещенное соединение может быть превращено в соединение (I-i) восстановлением кетона по реакции восстановления, описанной ниже.

м.д. спектра ЯМР (ДМСО-d6, внутренний стандарт ТМС); N2: характеристический пик 











добавляют к смешанному растворителю из 265 мл трет-бутанола и 265 мл очищенной воды и растворяют при комнатной температуре в течение 30 минут. После охлаждения до 0°С раствор смешивают с 10,3 г этил 2-фтор-3-винилбензоата и перемешивают 3,5 часа. Реакционную смесь смешивают с 79,6 г сульфата натрия, перемешивают при комнатной температуре 30 минут и затем экстрагируют этилацетатом. Органический слой промывают насыщенным рассолом, сушат над сульфатом натрия и концентрируют, затем полученный в результате остаток очищают колоночной хроматографией на силикагеле (гексан:этилацетат=1:2), получая 5,71 г (выход 47%) этил 3-[(1R)-1,2-дигидроксиэтил]-2-фторбензоата (справочный пример 18-1). FA: 229.























90:10). Полученное таким образом красновато-коричневое твердое вещество подвергают реакции солеобразования с 4 н. раствором HCl/EtOAc (0,2 мл), получая 151 мг (выход 42%) гидрохлорида 1-(1,3-дигидро-2Н-бензимидазол-2-илиден)-1-(3-фторфенил)-3-{3-[гидрокси(пиридин-2-ил)метил]фенил}пропан-1,3-диона (пример 11-1). FA: 466.


