Патент на изобретение №2347557
|
||||||||||||||||||||||||||||||||||||||||||||||||||||||||||||||||||||||||||||||||||||||||||||||||||||||||||||||||||||||||||||||||||||||||||||||||||||||||||||||||||||||||||||||||||||||||||||||||||||||||||||||||||||||||||||||||||||||||||||||||||||||||||||||||||||||||||||||||||||||||||||||||||||||||||||||||||||||||||||||||||||||||||||||||||||||||||||||||||||||||||||||||||||||||||||||||||||||||||||||||||||||||||||||||||||||||||||||||||||||||||||||||||||||||||||||||||||||||||||||||||||||
(54) НОВЫЕ РАЗВЕТВЛЕННЫЕ СУЛЬФАТЫ ДЛЯ ПРИМЕНЕНИЯ В КОМПОЗИЦИЯХ ДЛЯ ЛИЧНОЙ ГИГИЕНЫ
(57) Реферат:
Изобретение относится к структурированной композиции поверхностно-активного вещества, включающей в расчете на 100 массовых частей композиции: (а) от примерно 3 до примерно 50 массовых частей одного или более разветвленных алкил(эфир)сульфатов согласно формуле:
где R представляет собой тридецил, n равно 0, М представляет собой солюбилизирующий агент; или n равно от 0 до 7, и М представляет собой аммоний или замещенный аммоний; (б) от примерно 0,1 до примерно 20 массовых частей структуранта, выбранного из электролитов, катионных поверхностно-активных веществ или их смеси; а также к композиции для личной гигиены, включающей структурированную композицию поверхностно-активного вещества. Изобретение обеспечивает превосходные чистящие свойства и в то же время низкоабразивные характеристики, 2 н. и 9 з.п. ф-лы, 12 табл.
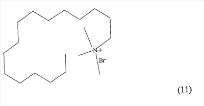
Область изобретения Данное изобретение относится к применению разветвленных алкил(эфир)сульфатов, то есть разветвленных алкилсульфатов, и/или алкилэфирсульфатов в композициях для личной гигиены, таких как составы для мытья тела, шампуни, изделия детской гигиены, очищающие средства для лица, мыла для рук и очищающие средства для кожи. Предпосылки изобретения Единственный разветвленный алкил(эфир)сульфат, применяемый в настоящее время в композициях для личной гигиены, – это натрия тридецет-3-сульфат, который применяется, прежде всего, в продуктах для детей, составах для умывания лица и иногда в композициях для суспендирования. US 6150312 раскрывает, что разветвленные (C10-C22)алкилсульфаты щелочных металлов обеспечивают повышенную устойчивость к замораживанию и размораживанию структурированных жидких композиций, но очевидно предоставляет реальные примеры только натрия тридецет(sic)сульфата. Сущность изобретения Настоящее изобретение относится к водной структурированной композиции поверхностно-активного вещества (ПАВ), включающей один или более разветвленных алкил(эфир)сульфатов согласно формуле (1): RO(CH2CH2О)nSO3M (1) где: R является разветвленным (C8-C18)алкилом или разветвленным (C8-Cl8)алкенилом, n имеет среднее значение от 0 до приблизительно 7 и М является солюбилизирующимся катионом, при условии, что М не может быть натрием, если n больше или равно 1, и структурант, где композиция проявляет неньютоновское снижение вязкости при сдвиге и способна к суспендированию нерастворимых или частично нерастворимых компонентов. Подробное описание изобретения и предпочтительных вариантов изобретения Представляющие интерес разветвленные алкил(эфир)сульфаты включают, например, разветвленные алкил(эфир)сульфаты с низкой степенью алкоксилирования или без алкоксилирования, такие как, но не ограничиваясь ими, натрия тридецилсульфат или аммония тридецилсульфат, а также разветвленные алкил(эфир)сульфаты с катионами, иными, чем натрий, такие как, например, аммония тридецетсульфат. Водная композиция настоящего изобретения дополнительно включает воду и может, необязательно, дополнительно включать другие поверхностно-активные вещества (такие как другие анионные поверхностно-активные вещества, катионные поверхностно-активные вещества, амфотерные поверхностно-активные вещества или неионные поверхностно-активные вещества), загустители, вспомогательные агенты, электролиты, душистые вещества, красители, консерванты или другие общие ингредиенты, применяемые в композициях для личной гигиены. Особенно интересно применение этих алкил(эфир)сульфатов в композициях с неньютоновским снижением вязкости при сдвиге, способных к суспендированию нерастворимых или частично нерастворимых компонентов. Композиции с неньютоновским снижением вязкости при сдвиге, способные к суспендированию нерастворимых или частично нерастворимых изделий, формируются при включении воды, структуранта и, необязательно, других поверхностно-активных веществ, включая анионные поверхностно-активные вещества, неионные поверхностно-активные вещества, амфотерные поверхностно-активные вещества и катионные поверхностно-активные вещества или любую комбинацию из вышеупомянутых. В одном варианте осуществления, композиция настоящего изобретения включает один или более разветвленных алкил(эфир)сульфатов согласно формуле (1), где R является разветвленным (C12-C18)алкилом или разветвленным (C12-C18)алкенилом, более типично разветвленным (C12-C18)алкилом. В одном варианте осуществления, R включает одну или более разветвленных (C13)алкильных групп. Как использовано здесь в ссылке на органическую молекулу, ссылка (Cn-Cm), где n и m являются оба положительными целыми числами, означает, что молекула содержит от n до m атомов углерода на молекулу. В одном варианте осуществления, композиция настоящего изобретения включает один или более разветвленных алкил(эфир)сульфатов согласно формуле (1), где n равно 0-3. В другом варианте осуществления, n равно от 0 до менее 1. В другом варианте осуществления, n равно приблизительно 0. В еще одном варианте осуществления, n равно 0-7, более типично 0-3, и еще типичнее 0-1. В одном варианте осуществления, композиция настоящего изобретения включает один или более разветвленных алкил(эфир)сульфатов согласно формуле (1), где М выбран из натрия, магния, калия, аммония и замещенного аммония. Как использовано здесь, “замещенный аммоний” означает ион аммония, в котором от одного до трех Н-заместителей иона аммония замещены органическими группами, обычно (С1-C4)алкоксильными группами, такими как, например, моноэтоксил аммония, диэтоксил аммония и триэтоксил аммония. В другом варианте осуществления, М выбрано из магния, калия, аммония и замещенного аммония, более типично аммония или замещенного аммония, еще более типично аммония. В одном варианте осуществления, композиция настоящего изобретения включает, на основе 100 весовых частей (“в.ч.”) композиции, от приблизительно 3 до приблизительно 50 в.ч., более типично от приблизительно 8 до приблизительно 40, еще более типично от приблизительно 10 до приблизительно 20 в.ч., одного или большего числа разветвленных алкил(эфир)сульфатов согласно формуле (1). Структуранты применяются в комбинации с анионными поверхностно-активными веществами, такими как разветвленный алкилсульфат или алкилэфирсульфат композиции настоящего изобретения, для придания желательных суспендирующих свойств. Подходящие структуранты включают электролиты, катионные поверхностно-активные вещества и неионные поверхностно-активные вещества, а также их смеси. Подходящие катионные поверхностно-активные вещества и неионные поверхностно-активные вещества описаны более подробно ниже. В одном варианте осуществления, структурант включает неионное поверхностно-активное вещество, выбранное из жирных спиртов, жирных кислот, эфиров жирных кислот и алканоламидов. Эффективное количество структуранта представляет такое количество, которое является по крайней мере равным количеству, необходимому для обеспечения, в комбинации с разветвленным алкил(эфир)сульфатным компонентом (а также любое добавленное дополнительно анионное поверхностно-активное вещество) композиции настоящего изобретения, желательного неньютоновского снижения вязкости при сдвиге и суспендирующих свойств, обычно от приблизительно 0,1 до приблизительно 20 в.ч., более типично приблизительно от 0,5 в.ч. до приблизительно 10, еще более типично от приблизительно 1 до приблизительно 5 в.ч. структуранта на 100 в.ч. структурированной композиции поверхностно-активного вещества. Электролит может быть добавлен к композиции отдельно, или он может быть включен как часть одного из исходных материалов. Электролит предпочтительно включает анион, включая фосфат, хлорид, сульфат или цитрат и катион, включая натрий, аммоний, калий, магний или их смеси. Некоторые предпочтительные электролиты – это натрия или аммония хлорид и натрия или аммония сульфат. Если присутствует электролит, он должен присутствовать в количестве, которое облегчает формирование свободнотекучей композиции. Обычно это количество будет составлять от приблизительно 0,1% по весу до приблизительно 15% по весу, предпочтительно от приблизительно 1% до приблизительно 6% по весу, но при необходимости может варьировать. Композиция настоящего изобретения может необязательно дополнительно включать другие поверхностно-активные вещества в добавление к разветвленному алкил(эфир)сульфату и структуранту композиции настоящего изобретения. Подобные прочие поверхностно-активные вещества могут включать один или большее число поверхностно-активных веществ, выбранных из других анионных поверхностно-активных веществ в добавление к алкилсульфату или алкилэфирсульфату, неионных поверхностно-активных веществ, амфотерных поверхностно-активных веществ, цвиттерионных поверхностно-активных веществ и катионных поверхностно-активных веществ. Другие подходящие анионные поверхностно-активные вещества включают, например, линейные алкил(эфир)сульфаты, такие как линейные алкилэфирсульфаты согласно формуле (1), где R – линейный алкил или алкенил, имеющий 8-18 атомов углерода, типично 12-18 атомов углерода, n имеет среднее значение обычно 0-7, предпочтительно 0-3, и М является солюбилизирующимся катионом, таким как натрий, магний, калий, аммоний или замещенный аммоний. Другие подходящие анионные поверхностно-активные вещества включают, например, алифатические сульфонаты, такие как первичные алкан(например, С9-C22)сульфонаты, первичные алкан(например, С9-С22)дисульфонаты, (C8-C22)алкенсульфонаты, C8-C22гидроксиалкансульфонаты, алкилглицерилэфирсульфонаты (AGS), ароматические сульфонаты, такие как алкилбензолсульфонаты. Другие подходящие анионные поверхностно-активные вещества включают алкилсульфосукцинаты (включая моно- и диалкил, например, (C6-C22)сульфосукцинаты), алкил- и ацилтаураты, алкил- и ацилсаркозинаты, сульфоацетаты, (C8-C22)алкилфосфаты, алкилфосфатные эфиры, алкоксилалкилфосфатные эфиры, ациллактаты, C8-C22моноалкилсукцинаты и малеаты, ацилизетионаты. Сульфосукцинаты могут включать моноалкилсульфосукцинаты, имеющие формулу: R4О2CCH2CH(SO3M)CO2M (2) амидо-МЕА (моноэтаноламид) сульфосукцинаты формулы R4CONHCH2CH2O2CCH(SO3M)CH2CO2M (3), где R4 варьирует от C8 до C22алкила и М является солюбилизирующим катионом, и амидо-MIPA (моноизопропаноламид) сульфосукцинат формулы RCONHCH2CH(CH3)О2CCH(SO3M)CH2CO2М (4), где М такой, как определено выше для формулы (ii), и R варьирует от C8 до C22алкила. Другие подходящие анионные поверхностно-активные вещества включают алкоксилированные цитратсульфосукцинаты и алкоксилированные сульфосукцинаты, такие как следующие: R-O-(CH2CH2О)nC-CH2CH(SO3M)CO2M (5), где М такой, как определено выше для формулы (ii), и R варьирует от C10 до C22алкила. Саркозинаты обычно обозначаются формулой: RCON(CH3)CH2CO2M (6), где R варьирует от C8 до C22алкила и М является солюбилизирующим катионом. Таураты обычно идентифицируются формулой: R2CONR3CH2CH2SO3M (7), где R2 варьирует от C8 до C22алкила, R3 варьирует от C1 до C4алкила и М является солюбилизирующим катионом. Другие подходящие анионные поверхностно-активные вещества включают карбоксилаты следующей формулы: R-O-(CH2CH2O)nCO2M (8), где R является от C8 до C22алкилом, n составляет 0-20 и М такой, как определено выше в формуле (ii). Другие карбоксилаты, которые могут применяться, включают амидоалкилполипептидкарбоксилаты. Другие подходящие анионные поверхностно-активные вещества включают ацилизетионаты (C8-C22). Эти эфиры получены реакцией изетионата щелочного металла со смешанными алифатическими жирными кислотами, имеющими от приблизительно 6 до приблизительно 22 атомов углерода и йодным числом меньше чем приблизительно 20. По крайней мере приблизительно 75% смешанных жирных кислот имеют от приблизительно 12 до приблизительно 18 атомов углерода и приблизительно до 25% имеют от приблизительно 6 до приблизительно 10 атомов углерода. Ацилизетионаты включают алкоксилированные изетионаты, такие как описанные Ilardi и др., патент США № 5393466, включенный здесь в виде ссылки в том смысле, что он соответствует этому изобретению и заявке, согласно общей формуле: где R является алкильной группой, имеющей 8-22 атомов углерода, m является целым числом от 1 до 4, X и Y являются водородом или алкильной группой, имеющей 1-4 атома углерода, и М+ является моновалентным катионом, таким как, например, натрий, калий или аммоний. Количество ингредиента анионного поверхностно-активного вещества составляет обычно от приблизительно 5% до приблизительно 30% и предпочтительно от приблизительно 10% до приблизительно 20% по весу композиции. За исключением примеров или где явно обозначено иначе, все числа в описании, показывающие количества или пропорции материалов или условий реакций, физических свойств применяемых материалов и/или применения понимаются в модифицированном виде под словом “около”. Где в описании используется вес поверхностно-активного вещества, вес понимают для обозначения веса активного поверхностно-активного вещества, за исключением примеров в таблицах. Катионные поверхностно-активные вещества описаны как несущие положительный заряд, обычно на атоме азота в форме соли амина или четвертичного аммониевого соединения, и включают производные моноалкиламина, производные диалкиламина или производные имидазолина. Подходящие катионные поверхностно-активные вещества включают соединения согласно общей формуле: где четыре группы R – R1, R2, R3 и R4 – являются водородом, органической группой или их комбинацией, при условии, что по крайней мере одна из групп R не является водородом. X представляет типичный анион, который может включать хлорид, бромид, метосульфат, этосульфат, лактат, сахаринат, ацетат или фосфат. Если от одной до трех групп R являются водородом, соединение может быть названо солью амина. Некоторые примеры катионных аминов включают полиэтоксилированный (2) олеил/стеарил амин, этоксилированный талловый амин, кокоалкиламин, олеиламин и талловый алкиламин. Для четвертичных аммониевых соединений (обычно называемых четвертичными солями) Rl, R2, R3 и R4 могут быть одинаковыми или различными, но могут не быть водородом. В одном варианте осуществления, R1, R2, R3 и R4 являются (С9-C24) разветвленными или линейными, насыщенными или ненасыщенными алифатическими цепями, которые могут включать дополнительные функциональные группы, такие как, например, жирные кислоты или их производные, включая эфиры жирных кислот и жирные кислоты с алкоксилированными группами, алкиламидогруппы, ароматические кольца, гетероциклические кольца, фосфатные группы, эпоксигруппы и гидроксильные группы. Атом азота может также быть частью гетероциклической или ароматической кольцевой системы, например, цетэтил морфолиния этосульфат или стеапирия хлорид. См. International Cosmetic Ingredient Dictionary and Handbook, восьмой выпуск, 2000, том 2, стр. 1703. Подходящие четвертичные аммониевые соединения типа производных моноалкиламина включают, например: цетилтриметиламмония бромид, также известный как CETAB или цетримония бромид цетилтриметиламмония хлорид, также известный как цетримония хлорид миристилтриметиламмония бромид, также известный как миртримония бромид или кватерниум-13 стерилдиметилбензиламмония хлорид, также известный как стеаралкония хлорид олеилдиметилбензиламмония хлорид, также известный как олеалкония хлорид лаурил/миристрил триметиламмония метосульфат, также известный как кокотримония метосульфат, где R является С12-С14. и цетилдиметил-(2)-гидроксиэтил аммония первичный кислый фосфат, также известный как гидроксиэтилцетилдимония фосфат Другие подходящие катионные поверхностно-активные вещества включают, например, бабассуамидопропилкония хлорид, кокотримония хлорид, дистеарилдимония хлорид, амидопропалкония хлорид проростков пшеницы, стеарил октилдимония метосульфат, изостеараминопропалкония хлорид, дигидроксипропил ПЭГ-5 линолеаминия хлорид, ПЭГ-2 стеармония хлорид, Кватерниум 18, Кватерниум 80, Кватерниум 82, Кватерниум 84, бегентримония хлорид, дицетилдимония хлорид, бегентримония метосульфат, талловый тримония хлорид и бегенамидопропил-этил-димония этосульфат. Другие подходящие катионные поверхностно-активные вещества включают, например, производные диалкиламинов. Эти соединения включают, например, дистеарилдимония хлорид, дигидрогенизованный пальмоилэтил гидроксиэтилмония метосульфат, дипальмитоилэтил гидроксиэтилмония метосульфат, диолеоилэтил гидроксиэтилмония метосульфат и гидроксипропил бисстеарилдимония хлорид. Другие подходящие катионные поверхностно-активные вещества включают, например, четвертичные аммониевые соединения из группы, обычно называемой производные имидазолина. Эти соединения включают, например, изостеарил-бензилимидония хлорид, кокоил-гидроксиэтилбензилимидазолиния хлорид, кокоил-гидроксиэтилимидазолиния PG-хлорид фосфат, Кватерниум 32 и стеарилгидроксиэтилимидония хлорид. Также могут быть применены смеси катионных поверхностно-активных веществ. При наличии, количество активного катионного поверхностно-активного вещества, или единственного катиона, или многочисленных катионов составляет обычно от приблизительно 0,1% до приблизительно 20%, предпочтительно от приблизительно 1% до приблизительно 10% и более предпочтительно от приблизительно 2% до приблизительно 6% по весу композиции. Неионные поверхностно-активные вещества – это нейтральные поверхностно-активные вещества, не несущие никакого суммарного заряда. Неионные поверхностно-активные вещества, которые используются как структуранты, включают алканоламиды, например соединения, имеющие общую структуру: где R являются C8-C24, или предпочтительно в некоторых вариантах осуществления C8-C22, или в других вариантах осуществления C8-C18, насыщенными или ненасыщенными, с прямой цепью или разветвленными алифатическими группами, R1 и R2 являются одинаковыми или различными С2-С4 с прямой цепью или разветвленными алифатическими группами, x=0-10, y=1-10, где сумма x и y меньше или равна 10. Подходящие алканоламиды предпочтительно имеют (C8-C24)алифатическую цепь и могут включать одну-две алканольные группы, которые могут иметь углеводородную основную цепь или алкоксильную основную цепь. Углеводородные алканольные группы могут быть (С2-C4)алифатическими группами с прямой цепью или с разветвленными цепями. Количество алканоламида в композиции, при наличии, может составлять от 0,1% до приблизительно 10% по весу и, в некоторых вариантах осуществления, предпочтительно от приблизительно 2% до приблизительно 5% по весу. Некоторые предпочтительные алканоламиды включают кокамид МЕА (кокомоноэтаноламид) и кокамид MIPA (кокомоноизопропаноламид). Термин “алканоламид” применяется в дальнейшем в собирательном значении, чтобы включить алканоламиды длинноцепочечных алифатических кислот, алкоксиалканоламиды длинноцепочечных алифатических кислот, и их смеси. Далее, алканоламиды длинноцепочечных алифатических кислот могут также быть упомянуты в данной области техники как алканоламиды жирных кислот. «Алкоксилированный» используется для обозначения алканоламида модифицированного –(R1О)хН, где R1 является алифатической группой от C2 до С4 с прямой цепью или разветвленной, и x равен 2-10. Подходящие жирные кислоты включают, например, насыщенные или ненасыщенные, линейные или разветвленные кислоты (C10-C22), такие как, например, лауриновая кислота, олеиновая кислота, стеариновая кислота, миристиновая кислота и цетеариновая кислота, изостеариновая кислота, линолевая кислота, линоленовая кислота, рицинолевая кислота, элаидиновая кислота, арахидоновая кислота, миристолеиновая кислота, пальмитолеиновая кислота или их нейтрализованные варианты. Эфирные производные включают пропиленгликольизостеарат, пропиленгликольолеат, глицерилизостеарат, глицерилолеат, полиэтиленгликольдистеараты и полиглицерилдиизостеарат. Композиции изобретения используют приблизительно от 0,1 до 15% по весу, предпочтительно от 0,5 до 10% по весу структуранта жирной кислоты или эфира жирной кислоты. Подходящие неионные поверхностно-активные вещества включают, например, этиоксилированные спирты жирного ряда и особенно полученные из лаурилового, цетилстеарилового, стеарилового, цетилового, олеолового и олеоцетилового спиртов. Также могут применяться сахароглицериды. Сахароглицериды – это смеси соединений, которые получены переэтерификацией естественных или синтетических триглицеридов с сахарозой. Эти смеси содержат моноглицериды, диглицериды, малые количества непереэтерифицированных триглицеридов, моноэфиры и диэфиры сахарозы. ЕР-А-0091331 описывает процесс приготовления свободнотекучих сахароглицеридов и также указывает, что такие сахароглицериды имеют поверхностно-активные свойства. В одном варианте осуществления, композиция включает от приблизительно 3 до приблизительно 50 процентов по весу (вес.%), более обычно от приблизительно 3 до приблизительно 30 вес.% активных поверхностно-активных веществ. В другом варианте осуществления, композиция включает от приблизительно 5 до приблизительно 50 вес.%, более обычно от приблизительно 8 до приблизительно 40 вес.% и еще более обычно от приблизительно 10 до приблизительно 25 вес.% активных поверхностно-активных веществ. Часто поверхностно-активные вещества продаются в виде растворов в воде или других растворителях, которые разбавляют их до менее чем 100% активного поверхностно-активного вещества, поэтому “активное поверхностно-активное вещество” означает фактическое количество поверхностно-активных веществ, внесенных в композицию из коммерческого препарата поверхностно-активных веществ. Применяемые здесь термины “разветвление” или “разветвленный” означают, что по крайней мере один атом углерода алифатической цепи присоединен к трем или четырем другим атомам углерода. Ненасыщенность означает, что по крайней мере два атома углерода алифатической цепи соединены двойной или тройной связью. Дополнительные поверхностно-активные вещества из классов неионных поверхностно-активных веществ, амфотерных и/или цвиттерионных поверхностно-активных веществ и катионных поверхностно-активных веществ могут необязательно быть включены для формирования свободнотекучей композиции, которая является способной к суспендированию нерастворимых в воде частиц или частично нерастворимых компонентов. Амфотерные и/или цвиттерионные поверхностно-активные вещества, которые могут быть необязательно включены в композицию настоящего изобретения, предпочтительно включают, по крайней мере, одну кислотную группу, которая может быть карбоксильной или сульфогруппой. Эти поверхностно-активные вещества включают четвертичный азот и поэтому являются четвертичными амидокислотами. Они обычно включают алкильную или алкенильную группу из 7-18 атомов углерода и обычно соответствуют общей структурной формуле: где R1 является алкилом или алкенилом из 7-18 атомов углерода, R2 и R3, каждый независимо, являются водородом, алкилом, гидроксиалкилом или карбоксиалкилом из 1-3 атомов углерода, n равно 2-4, m равно 0-1, X является алкиленом из 1-3 атомов углерода, необязательно замещенным гидроксилом, и Y является -CO2– или -SO3-. Подходящие амфотерные и/или цвиттерионные поверхностно-активные вещества в пределах вышеупомянутой общей формулы включают простые бетаины формулы: и амидобетаины формулы: где m равно 2 или 3. В обеих формулах (20) и (21), R1, R2 и R3 являются такими, как определено ранее применительно к формуле (19). R1 может в особенности быть смесью C12 и C14 алкильных групп, полученных из кокосового ореха так, чтобы по крайней мере половина, предпочтительно по крайней мере три четверти, групп R1 имела 10-14 атомов углерода. R2 и R3 являются предпочтительно метилом. Дальнейшая перспектива состоит в том, что амфотерный и/или цвиттерионный детергент является сульфобетаином формулы: где m равно 2 или 3, или их вариантов, в которых -(CH2)3SO3 замещены В вышеуказанных формулах 22-24 R1, R2 и R3 являются такими, как определено ранее применительно к формуле (19). Также могут быть применены амфоацетаты и диамфоацетаты. Амфоацетаты обычно соответствуют следующей формуле: а диамфоацетаты обычно соответствуют следующей формуле: где R является алифатической группой из 8-18 атомов углерода и М является катионом, таким как натрий, калий, аммоний или замещенный аммоний. Натрия лауроамфоацетат, натрия кокоамфоацетат, двунатрия лауроамфоацетат и двунатрия кокоамфодиацетат предпочтительны в некоторых вариантах осуществления. Композиция настоящего изобретения может необязательно дополнительно включать неионное поверхностно-активное вещество. Неионные поверхностно-активные вещества, которые могут быть применены, включают, в частности, продукты реакции соединений, имеющих гидрофобную группу и реактивный атом водорода, например алифатические спирты, кислоты, амиды и алкилфенолы, с алкиленоксидами, особенно этиленоксид или один или в комбинации с пропиленоксидом. Определенные соединения неионных поверхностно-активных веществ включают алкил(C6-C22) конденсаты фенолэтиленоксидов, продукты конденсации алифатических (С8-С18) первичных или вторичных линейных или разветвленных спиртов с этиленоксидом, и продукты, полученные конденсацией этиленоксида с продуктами реакции пропиленоксида и этилендиамина. Другие так называемые соединения неионных поверхностно-активных веществ включают алкиламиноксиды, алкиламидоаминоксиды, алкил третичные фосфиноксиды, диалкилсульфоксиды, эфиры алифатических жирных кислот (C8-C22)спиртов или этоксилированных спиртов, алкоксилалкиламины, сорбитан, эфиры сорбитана и эфиры сахарозы. Неионное поверхностно-активное вещество может также быть амидом сахара, таким как амид полисахарида. В особенности, поверхностно-активным веществом может быть один из лактобионамидов, описанных в патенте США № 5389279 или один из амидов сахара, описанных в патенте США № 5009814, оба из которых включены здесь в виде ссылки в том смысле, что они не противоречат этой заявке. Другие поверхностно-активные вещества, которые могут быть применены, – это те, что описаны в патенте США № 3723325, и неионные поверхностно-активные вещества алкила полисахарида, раскрытые в патенте США № 4565647, оба из которых также включены здесь в виде ссылки. Предпочтительными алкилами полисахаридов являются алкилполигликозиды формулы R2О(СnH2nO)t (гликозил)x (27) где R2 выбран из группы, состоящей из алкила, алкилфенила, гидроксиалкила, гидроксиалкилфенила и их смесей, в которых алкильные группы содержат от приблизительно 10 до приблизительно 18, предпочтительно от приблизительно 12 до приблизительно 14 атомов углерода, n равно от 0 до приблизительно 3, предпочтительно 2, t равно от 0 до приблизительно 10, предпочтительно 0, x равен от приблизительно 1,3 до приблизительно 10, предпочтительно от приблизительно 1,3 до приблизительно 2,7. Гликозил предпочтительно получен из глюкозы. Для получения этих соединений сначала формируется спирт или алкилполиэтоксиспирт и затем вступает в реакцию с глюкозой, или источником глюкозы, для формирования глюкозида (присоединение в положении 1). Дополнительные глюкозильные звенья могут затем быть присоединены между их положением 1 и предыдущими глюкозильными звеньями 2-, 3-, 4- и/или 6-положения, предпочтительно 2-положения. В некоторых вариантах осуществления, предпочтительные неионные поверхностно-активные вещества включают алкоксиспирты жирных кислот или алкилполигликозиды. Амфотерные и/или цвиттерионные поверхностно-активные вещества, предпочтительные в некоторых вариантах осуществления, включают бетаины, сультаины, амфоацетаты, диамфоацетаты или их смеси. Общее количество активных неионных поверхностно-активных веществ и амфотерных и/или цвиттерионных поверхностно-активных веществ обычно составляет от приблизительно 1% до приблизительно 20% и предпочтительно от приблизительно 3% до приблизительно 10% по весу. Композиция настоящего изобретения может дополнительно включать водонерастворимые частицы или частично нерастворимые компоненты, и/или одно или более дополнительных поверхностно-активных веществ из анионных, неионных, амфотерных, цвиттерионных и катионных или их комбинаций. Композиция настоящего изобретения способна к суспендированию нерастворимых в воде частиц или частично нерастворимых компонентов, таких как растительные масла, минеральные масла, силиконовые масла, твердые частицы, абразивы и подобных продуктов. Композиция обеспечивает средства для включения в смеси поверхностно-активных веществ компонентов, иначе трудных для введения, что приводит к созданию косметических средств с многофункциональными благоприятными действиями, включая в некоторых случаях очищение, увлажнение, улучшенное ощущение кожи, отшелушивание/абразивность, оригинальный внешний вид или комбинацию этих эффектов. Применяемая здесь терминология “неньютоновское снижение вязкости при сдвиге” означает вязкость, которая уменьшается с увеличением скорости сдвига. Неньютоновское снижение вязкости при сдвиге измеряется известными вискозиметрическими методами, такими как, например, с применением ротационного вискозиметра, такого как вискозиметр Brookfield. Способность композиции по суспендированию водонерастворимых или частично водонерастворимых компонентов обычно измеряется путем перемешивания композиции с достаточной интенсивностью до образования воздушных пузырьков в композиции и затем визуально наблюдают, остаются ли воздушные пузырьки сохраненными в композиции в течение определенного промежутка времени, такого как, например, от 12 до 24 часов, при определенных условиях окружающей среды, таких как, например, комнатная температура. В некоторых случаях, композиции изобретения могут быть применены для суспендирования агентов, полезных для ухода за кожей и волосами, включая, но не ограничиваясь ими, поглотители ультрафиолетовых лучей, кондиционирующие волосы агенты, кондиционирующие волосы и кожу агенты для применения в композициях по уходу за детьми «2 в 1», которые не вызывают слез, кондиционирующие кожу агенты, антибактериальные агенты, моделирующие полимеры для композиций по уходу за волосами и кожей (включая ополаскивающие аппликации, такие как шампуни), кондиционирующие полимеры для композиций по уходу за волосами и кожей, осажденные кондиционирующие полимеры для усиленной активной доставки к волосам и коже, кондиционирующие полимеры, обладающие высокими молекулярными массами и/или плотностями катионных зарядов для композиций по уходу за волосами и кожей, поверхностно-активные вещества, обычно связанные с твердыми композициями (такие как кокоилизетионаты), и набухаемые полимеры, которые гидратируются только во время применения. Композиции изобретения могут также быть применены при изготовлении стабильных многофазных композиций для личной гигиены, включая те, что с окрашенными полосами в составах для мытья тела, шампунях для волос, очищающих средствах для кожи, композициях для детской гигиены, составах для умывания лица и средствах для ухода за кожей. В некоторых вариантах осуществления настоящего изобретения желательно включать нерастворимые в воде частицы или частично нерастворимые компоненты в свободнотекущей композиции. Термины “нерастворимые в воде частицы” и “частично нерастворимые компоненты” означают твердые или нетвердые объекты, которые полностью не растворимы в водной среде указанной композиции и включают или нерастворимые или частично растворимые виды. Термины “нерастворимые в воде частицы” и “частично нерастворимые компоненты” также понимаются как означающие и охватывающие те ситуации, когда твердые или нетвердые объекты присутствуют в концентрациях выше их предела растворимости, и поэтому их части остаются нерастворенными. Как правило, нерастворимые в воде частицы или частично нерастворимые компоненты могут быть твердыми частицами, жидкими ингредиентами, газами или их смесями. Некоторые предпочтительные примеры газов включают воздушные пузырьки. Твердые частицы могут включать, например, твердые частицы цинка пиретиона, слюды, оксида алюминия, кремниевых пигментов, увлажняющих гранул, природных абразивов, синтетических абразивов (эксфолиантов), таких как гранулы полиоксиэтилена, и абрикосовые косточки. Нерастворимые в воде частицы обычно имеют среднюю величину диаметра частиц от приблизительно 0,5 до приблизительно 3000 микрон. Способность суспендировать нерастворимые в воде частицы или частично растворимые компоненты является желательной особенностью свободнотекучей с неньютоновским снижением вязкости при сдвиге композиции настоящего изобретения. Другими примерами компонентов, которые могут быть суспендированы с помощью композиций настоящего изобретения, является множество агентов с полезным действием. “Агент с полезным действием” подразумевает любой активный ингредиент, который должен быть доставлен в кожу или волосы, или на кожу или волосы, или и так и так, в желательном участке. Суспендированные агенты с полезным действием могут присутствовать в количестве от приблизительно 0 до приблизительно 35% по весу композиции. Более детально, суспендированные агенты с полезным действием могут включать растительные масла, включая арахисовое масло, касторовое масло, масло какао, кокосовое масло, кукурузное масло, хлопковое масло, оливковое масло, пальмоядровое масло, рапсовое масло, масло из семян сафлора, масло из семян кунжута и соевое масло, эфиры, включая бутилмиристат, цетилпальмитат, децилолеат, глицериллаурат, глицерилрицинолеат, глицерилстеарат, глицерилизостеарат, гексиллаурат, изобутилпальмитат, изоцетилстеарат, изопропилизостеарат, изопропиллаурат, изопропиллинолеат, изопропилмиристат, изопропилпальмитат, изопропилстеарат, пропиленгликоля монолаурат, пропиленгликоля рицинолеат, пропиленгликоля стеарат и пропиленгликоля изостеарат, животные жиры, включая спирты ацетилированного ланолина, ланолин, свиной жир, норковый и талловый жиры, и жирные кислоты и спирты, включая бегеновую кислоту, пальмитиновую кислоту, стеариновую кислоту, бегениловый спирт, цетиловый спирт, эйкозаниловый спирт и изоцетиловый спирт. Другие примеры подходящих агентов с полезным действием включают депигментирующие агенты, рефлектанты (отражатели), поглотители ультрафиолетовых лучей, загустители, агенты облегчающие расчесывание волос/расчесывание влажных волос, пленкообразующие полимеры, увлажнители, аминокислоты и их производные, антимикробные агенты, противоугревые агенты, агенты, замедляющие старение, антисептики, анальгетики, местные анестетики, агенты против выпадения волос, агенты, замедляющие рост волос, ингибиторы воспаления, протеины, дезодоранты и антиперспиранты, агенты для лечения перхоти, себорейного дерматита и псориаза, смягчающие и увлажняющие средства для кожи, кондиционеры для волос, мягчительные средства для волос, увлажняющие средства для волос, витамины, дубильные агенты, отбеливающие кожу агенты, фунгициды, такие как фунгициды для средств для ухода за ногами, депилирующие агенты, противораздражающие средства, противогеморроидальные средства, инсектициды, пигменты или замутняющие агенты, увлажняющие гранулы, природные абразивы, синтетические абразивы, такие как гранулы полиоксиэтилена, минеральные масла, вазелин, силиконовые масла, полиалкилсилоксаны, полиалкиарилсилоксаны, солнцезащитные фильтры и т.п., и их смеси. Подходящие рефлектанты включают, например, слюду, оксид алюминия, кальция силикат, гликольдиолеат, гликольдистеарат, диоксид кремния, магния натрия фторосиликат и их смеси. Подходящие поглотители ультрафиолетовых лучей включают, например, бензофенон, борнелон, ПАБК (парааминобензойная кислота), бутил ПАБК, циннамидопропилтриметиламмония хлорид, динатрия-дистирил-бифенилдисульфонат, метоксициннамат калия и их смеси. Для применения в этом изобретении пригодны коммерчески доступные загустители, способные придать адекватную вязкость композициям. Подходящие загустители включают, например, моно- или диэфиры полиэтиленгликоля формулы: HO-(CH2CH2O)zH (28) где z – целое число от приблизительно 3 до приблизительно 200, жирные кислоты, содержащие от приблизительно 16 до приблизительно 22 атомов углерода, эфиры жирных кислот и алкоксиполиолов, алкоксипроизводные моно- и диэфиров жирных кислот и глицерина, гидроксиалкилцеллюлоза, алкилцеллюлоза, гидроксиалкилалкилцеллюлоза и их смеси. Более конкретно, загустители включают неисключительно, например, бегеналкония хлорид, цетиловый спирт, Кватерниум 46, PG-гидроксиэтилцеллюлозу, кокодимония хлорид, Поликватерниум 6, Поликватерниум 7, Кватерниум 18, ПЭГ-18 глицерина олеат/кокоат, смесь акрилатов/спиртового акрилатного сополимера 50, лаурет 3 и пропиленгликоль, смесь кокамидопропилбетаина и глицериллаурата, смесь пропиленгликоля, ПЭГ-55 и пропиленгликольолеата и их смеси. Предпочтительные загустители включают эфир полиэтиленгликоля и более предпочтительно ПЭГ-150 дистеарат. Подходящие агенты, облегчающие расчесывание волос/расчесывание влажных волос, включают, например, диолеоиламидоэтилгидрокситилмониум метосульфат, ди(сойоилэтил)гидроксиэтилмониум метосульфат, гидроксиэтилбегенамидопропилдимониум хлорид, олеалкониум хлорид, Поликватерниум 47, стеаралкониум хлорид, трицетилмониум хлорид, гуар гидроксипропилтримониум хлорид, гидроксипропилгуар гидроксипропилтримониум хлорид и их смеси. Подходящие пленкообразующие полимеры включают, например, те, что после высыхания образуют по существу сплошное покрытие или пленку на волосах, коже или ногтях. Примеры подходящих пленкообразующих полимеров включают сополимер акриламидопропилтримониум хлорида/акриламида, сополимер кукурузного крахмала/акриламида/натрия акрилата, Поликватерниум 10, Поликватерниум 47, сополимер поливинилметила/малеинового ангидрида, сополимеры стирола/акрилатов и их смеси. Для применения в настоящем изобретении пригодны коммерчески доступные увлажнители, способные придать увлажняющие и кондиционирующие свойства композиции. Увлажнитель предпочтительно присутствует в количестве от приблизительно 0 процентов до приблизительно 10 процентов, более предпочтительно от приблизительно 0,5 процентов до приблизительно 5 процентов и наиболее предпочтительно от приблизительно 0,5 процентов до приблизительно 3 процентов, исходя из полного веса композиции. Примеры подходящих увлажнителей включают растворимые в воде жидкие многоатомные спирты, такие как глицерин, пропиленгликоль, гексиленгликоль, бутиленгликоль, пентиленгликоль, дипропиленгликоль и их смеси, полиалкиленгликоли формулы: HO-(R”O)b-H (29) где R” является алкиленовой группой, имеющей от приблизительно 2 до приблизительно 4 атомов углерода, b является целым числом от приблизительно 1 до приблизительно 10 (такого как ПЭГ-4), полиэтиленгликолевых эфиров метилглюкозы, имеющих формулу: CH3-C6H10О5-(OCH2CH2)с-OH (30) где c является целым числом от приблизительно 5 до приблизительно 25, мочевину, фруктозу, глюкозу, мед, молочную кислоту, мальтозу, натрий глюкуронат и их смеси. В более предпочтительном варианте осуществления увлажнителем является глицерин. Подходящие аминокислоты, которые могут быть полезными для волос и кожи и в некоторых случаях могут быть включены в композиции настоящего изобретения как кондиционирующие агенты, включают аминокислоты, полученные при гидролизе различных протеинов, а также соли, эфиры и их ацильные производные. Примеры таких аминокислот неисключительно включают амфотерные и/или цвиттерионные аминокислоты, такие как алкиламидоалкиламины, стеарилацетилглутамат, каприлоил-аминокислоты шелка, каприлоил-аминокислоты коллагена, каприлоил-аминокислоты кератина, каприлоил-аминокислоты гороха, кокодимония-гидроксипропил-аминокислоты шелка, кукурузные глютеиновые аминокислоты, цистеин, аминокислоты кератина волос, аминокислоты волос, такие как аспарагиновая кислота, треонин, серин, глутаминовая кислота, пролин, глицин, аланин, полуцистин, валин, метионин, изолейцин, лейцин, тирозин, фенилаланин, цистеиновая кислота, лизин, гистидин, аргинин, цистеин, триптофан, цитруллин, другие аминокислоты шелка и аминокислоты пшеницы и их смеси. Подходящие протеины, которые могут быть полезными для волос и кожи и в некоторых случаях могут быть включены как кондиционирующие агенты, включают полимеры, которые имеют длинную цепь, то есть по крайней мере приблизительно 10 атомов углерода, и высокомолекулярную массу, то есть по крайней мере приблизительно 1000, и сформированные самоконденсацией аминокислот. Примеры таких протеинов включают коллаген, деоксирибонуклеазу, йодированный протеин из кукурузных початков, кератин, молочный протеин, протеазу, сывороточный протеин, шелк, протеин сладкого миндаля, протеин зародышей пшеницы, протеин пшеницы, протеины альфа- и бета-спирального кератина, протеины волос, такие как протеины промежуточных филаментов, высокосернистые протеины, ультравысокосернистые протеины, протеины, ассоциированные с промежуточными филаментами, протеины с высоким содержанием тирозина, протеины с высоким содержанием глицина и тирозина, трикогиалин и их смеси. Подходящие витамины, которые могут быть полезными для волос и кожи и в некоторых случаях могут быть включены как кондиционирующие агенты, включают комплекс витамина В, включая тиамин, никотиновую кислоту, биотин, пантотеновую кислоту, холин, рибофлавин, витамин B6, витамин В12, пиридоксин, инозитол, карнитин, витамины А, C, D, E, K и их производные, такие как пальмитат витамина А, и провитамины, например пантенол (провитамин B5), пантенола триацетат и их смеси. Подходящие антибактериальные агенты для применений для ухода за волосами и кожей включают бацитрацин, эритромицин, триклозан, неомицин, тетрациклин, хлортетрациклин, бензетония хлорид, фенол, парахлорометаксиленол (PCMX), триклокарбан (TCC), хлоргексидина глюконат (CHG), цинка пиритион, селена сульфид и их смеси. Подходящие смягчающие и увлажняющие средства для кожи включают, например, растительные масла, такие как арахисовое масло, касторовое масло, масло какао, кокосовое масло, кукурузное масло, хлопковое масло, оливковое масло, пальмоядровое масло, рапсовое масло, масло из семян сафлора, масло из семян кунжута и соевое масло, эфиры, такие как бутилмиристат, цетилпальмитат, дециклолеат, глицериллаурат, глицерилрицинолеат, глицерилстеарат, глицерилизостеарат, гексиллаурат, изобутилпальмитат, изоцетилстеарат, изопропилизостеарат, изопропиллаурат, изопропиллинолеат, изопропилмиристат, изопропилпальмитат, изопропилстеарат, пропиленгликоля монолаурат, пропиленгликоля рицинолеат, пропиленгликоля стеарат и пропиленгликоля изостеарат, животные жиры, такие как спирты ацетилированного ланолина, ланолин, свиной жир, норковый и талловый жиры, жирные кислоты и спирты бегеновой кислоты, пальмитиновой кислоты, стеариновой кислоты, бегенилового спирта, цетилового спирта, эйкозанилового спирта и изоцетилового спирта. Дополнительные агенты для ухода за кожей и кондиционирующие агенты для кожи включают салициловую кислоту, альфа-гидроксикислоты, витамины, комплексы витаминов, абразивы, силиконы, силиконовые производные, полимеры, натуральные масла, синтетические масла, минеральные масла, ланолин, растительные масла, изостеарил изостеарат, глицериллаурат, метилглюцет 10, метилглюцет 20, хитозан и их смеси. Подходящие кондиционеры для волос включают, например, силиконы, силиконовые производные, натуральные масла, синтетические масла, неионные поверхностно-активные вещества, катионные поверхностно-активные вещества, воски и полимеры. Также могут быть применены кватернизированные соединения, такие как бегенамидопропил PG-димония хлорид, трицетиламмония хлорид, дигидрогенизованный твердый жирный амидоэтилгидроксиэтилмония метосульфат, и их смеси, а также липофильные соединения, такие как цетиловый спирт, стеариловый спирт, гидрогенизованный полидецен и их смеси. Подходящие кондиционирующие полимеры для волос включают, например, естественные и/или синтетические катионные полимеры, например кватернизированный гуар, кватернизированная целлюлоза, Поликватерниум 7 и подобные полимеры, обычно в концентрациях от приблизительно 0,1% до приблизительно 3,0% по весу указанной композиции, натуральные и/или синтетические неионные полимеры, такие как алкокси или пропоксилированный гуар или целлюлоза, алкилгуар или целлюлоза, полиэтиленгликоль, или смесь натуральных и синтетических неионных полимеров, обычно в концентрациях приблизительно от 0,1% до приблизительно 3,0% по весу указанной композиции, и полигидрольные увлажняющие агенты, например глицерин, пропиленгликоль, сорбит и подобные полимеры. Предпочтительные концентрации полигидрольных увлажняющих агентов находятся обычно в диапазоне от приблизительно 0,2% до приблизительно 0,5% по весу композиции. Подходящие мягчительные средства для волос включают, например, силиконовые соединения, такие как те, что являются или нелетучими или летучими, или их смеси, и те, что являются водорастворимыми или водонерастворимыми, или их смеси. Примеры подходящих силиконов включают органозамещенные полисилоксаны, которые являются или линейными, или циклическими полимерами мономеров кремния/кислорода и которые включают цетилдиметикон, цетилтриэтиламмоний диметикон сополиола фталат, циклометикон, диметиконсополиол, диметиконсополиола лактат, гидролизованного соевого протеина/диметиконсополиола ацетат, силикон кватерниум 13, стеаралкониумдиметиконфталат сополиола, стеарамидопропилдиметикон, и их смеси. Подходящие увлажняющие средства для волос включают, например, пантенилэтиловый эфир, фитантриол и их смеси. Подходящие солнцезащитные агенты включают, например, бутилметоксидибензоилметан, октилметоксициннамат, оксибензон, октокрилен, октилсалицилат, фенилбензимидазол сульфокислота, этилгидроксипропил аминобензоат, метилантранилат, аминобензойная кислота, циноксат, диэтаноламин метоксициннамат, глицериламинобензоат, титана диоксид, цинка оксид, оксибензон, октилдиметил ПАБК (Падимат O), красный вазелин и их смеси. Подходящие дубильные агенты включают, например, дигидроксиацетон. Подходящие отбеливающие кожу агенты включают, например, гидрохинон, катехол и его производные, аскорбиновую кислоту и ее производные и их смеси. Подходящими инсектицидами, включая, например, репелленты от насекомых, противочесоточные средства и средства против вшей, являются перметрин, пиретрин, пиперонил бутоксид, имидаклоприд, N,N-диэтилтолуамид, который относится к материалу, содержащему преимущественно метаизомер, то есть N,N-диэтил-м-толуамид, который также известен как DEET, соединения формулы: где R5 является разветвленной или неразветвленной алкильной группой, имеющей от приблизительно 1 до приблизительно 6 атомов углерода, R6 является водородом, метилом или этилом, R7 является разветвленной или неразветвленной алкильной или алкоксильной группой, имеющей от приблизительно 1 до приблизительно 8 атомов углерода, и K является -CN или -COOR8 группой, где R8 является разветвленной или неразветвленной алкильной группой, имеющей от приблизительно 1 до приблизительно 6 атомов углерода, естественные или синтетические пиретроиды, при этом естественные пиретроиды содержатся в пиретруме, экстракте грунтовых цветов Chrysanthemum cinerariaefolium или Chrysanthemum coccineum, и их смеси. В пределах структуры формулы (31) находятся этил 3-(N-бутилацетамидо)пропионат, где R7 является CH3 группой, R5 является н-бутил группой, R6 является Н, K является COOR8 и R8 является этилом. Подходящий фунгицид для средств для ухода за ногами включает, например, толнафтат. Подходящие депилирующие агенты включают, например, кальция тиогликолят, магния тиогликолят, калия тиогликолят, стронция тиогликолят и их смеси. Подходящие наружные анальгетики и местные анестетики включают, например, бензокаин, дибукаин, бензиловый спирт, камфору, капсаицин, стручковый перец, олеосмолу стручкового перца, можжевеловый деготь, ментол, метилникотинат, метилсалицилат, фенол, резорцин, терпентинное масло и их смеси. Подходящие антиперспиранты и дезодоранты включают, например, алюминия хлорогидрат, алюминия циркония хлорогидрат и их смеси. Подходящие противораздражающие средства включают, например, камфору, ментол, метилсалицилат, масла мяты перечной, гвоздичные масла, ихтаммол и их смеси. Подходящие ингибиторы воспаления включают, например, гидрокортизон. Подходящие геморроидальные средства включают, например, анестетики, такие как бензокаин, прамоксина гидрохлорид и их смеси, антисептики, такие как бензетония хлорид, вяжущие средства, такие как цинка оксид, висмута субгаллат, бальзам Перу и их смеси, протектанты для кожи, такие как жир печени трески, растительное масло и их смеси. Подходящие полезные агенты, имеющие терапевтические компоненты, которые являются эффективными в лечении перхоти, себорейного дерматита и псориаза, а также ассоциированных с ними симптомов, включают, например, цинк-пиритион, сланцевое масло и их производные, такие как сульфонатное сланцевое масло, сульфид селена, сера, салициловая кислота, каменноугольный деготь, повидон-йод, имидазолы, такие как кетоконазол, дихлорофенил имидазолодиоксалан, клотримазол, итраконазол, миконазол, климбазол, тиоконазол, сульконазол, бутоконазол, флуконазол, миконазол нитрит и любые возможные стереоизомеры и их производные, такие как антралин, пироктоноламин (Октопирокс), сульфид селена, циклопироксоламин, антипсориатические агенты, такие как аналоги витамина D, например кальципотриол, кальцитриол и такалеитрол, аналоги витамина А, такие как эфиры витамина А, включая витамина А пальмитат, ретиноиды, ретинолы и ретиноевую кислоту, кортикостероиды, такие как гидрокортизон, клобетазон, бутират, клобетазола пропионат и их смеси. Некоторые предпочтительные полезные агенты для лечения перхоти, себорейного дерматита и псориаза, а также ассоциированных с ними симптомов, включают сульфонатное сланцевое масло, элубиол, 6-(1-пиперидинил)-2-4-пиримидиндиамин-3-оксид, финастерид, кетоконазол, салициловую кислоту, цинка пиритион, каменноугольную смолу, бензоил пероксид, селена сульфид, гидрокортизон, серу, ментол, праксомина гидрохлорид, трицетиламмония хлорид, поликватерниум 10, пантенол, пантенола триацетат, витамин А и его производные, витамин В и его производные, витамин С и его производные, витамин D и его производные, витамин E и его производные, витамин К и его производные, кератин, лизин, аргинин, гидролизованные протеины пшеницы, гидролизованные протеины шелка, октилметоксициннамат, оксибензон, миноксидил, титана диоксид, цинка диоксид, витамин А, эритромицин, третиноин и их смеси. Полезные агенты, подходящие для лечения выпадения волос, включают, например, открыватели калиевых каналов или периферические вазодилататоры, такие как миноксидил, диазоксид, и соединения, такие как N”-циано-N-(трет-пентил)-N’-3-пиридинил-гуанидин (“P-1075”), как раскрыто в патенте США № 5244664, который включен здесь в виде ссылки, витамины, такие как витамин E и витамин С и их производные, такие как витамина E ацетат и витамина С пальмитат, гормоны, такие как эритропоэтин, простагландины, такие как простагландин EI и простагландин F2-альфа, жирные кислоты, такие как олеиновая кислота, мочегонные средства, такие как спиронолактон, белки теплового шока (“HSP”), такие как HSP 27 и HSP 72, блокаторы кальциевых каналов, такие как верапамил HCL, нифедипин и дилтиазем, амилорид, иммунодепрессанты, такие как циклоспорин и Fk-506, ингибиторы 5 альфа-редуктазы, такие как финастерид, факторы роста, такие как EGF, IGF и FGF, трансформирующий фактор роста бета, фактор некроза опухоли, нестероидные противовоспалительные агенты, такие как беноксапрофен, ретиноиды и их производные, такие как третиноин, цитокины, такие как IL-6, альфа-IL-1, и бета-IL-1, молекулы клеточной адгезии, такие как ICAM, глюкокортикоиды, такие как бетаметазон, растительные экстракты, такие как алоэ, луковичный, женьшеня, рехманнии, сверции, сладкого апельсина, зантоксилума, Serenoa repens (пальма сереноа), Hypoxis rooperi, крапивы жгучей, семян тыквы и пыльцы ржи, другие растительные экстракты, включая сандалового дерева, корня свеклы обыкновенной, хризантемы, розмарина, корня лопуха и другие активаторы стимулятора роста волос, раскрытые в DE 4330597, который включен здесь в виде ссылки в том смысле, что он не противоречит настоящей заявке, гомеопатические агенты, такие как Kalium Phosphoricum D2, Azadirachta indica D2 и Joborandi DI, гены цитокинов, факторов роста и мужского облысения, фунгициды, такие как кетоконазол и элубиол, антибиотики, такие как стрептомицин, ингибиторы протеинов такие как циклогексимид, ацетазоламид, беноксапрофен, кортизон, дилтиазем, гексахлорбензол, гидантоин, нифедипин, пеницилламин, фенотиазины, пинацидил, псоралены, верапамил, зидовудин, альфа-гликозилированный рутин, имеющий по крайней мере один рутин из кверцетина, изокверцитрина, гесперидина, нарингина и метилгесперидина, и флавоноиды, и их трансгликозилированные производные, которые все раскрыты в японском патенте 7002677, который включен здесь в виде ссылки, в том смысле, что он не противоречит настоящей заявке, и их смеси. Полезные агенты, пригодные для применения при замедлении роста волос, включают, например, сериновые протеазы, такие как трипсин, витамины, такие как альфа-токоферол (витамин E) и его производные, такие как токоферола ацетат и токоферола пальмитат, противоопухолевые агенты, такие как доксорубицин, циклофосфамид, хлорметин, метотрексат, фтороурацил, винкристин, даунорубицин, блеомицин и гидроксикарбамид, антикоагулянты, такие как гепарин, гепариноиды, кумарины, детран и индандионы, антитиреоидные препараты, такие как йод, тиоурацилы и карбимазол, литий и лития карбонат, интерфероны, такие как интерферон альфа, интерферон альфа-2a и интерферон альфа-2b, ретиноиды, такие как ретинол (витамин А), изотретиноин, глюкокортикоиды, такие как бетаметазон и дексаметазон, противогиперлипидемические препараты, такие как трипаранол и клофибрат, таллий, ртуть, альбендазол, аллопуринол, амиодарон, амфетамины, андрогены, бромокриптин, бутирофеноны, карбамазепин, холестирамин, циметидин, клофибрат, даназол, дезипрамин, диксиразин, этамбутол, этионамид, флуоксетин, гентамицин, соли золота, гидантоины, ибупрофен, имипрамин, иммуноглобулины, индандионы, индометацин, интраконазол, левадопа, мапротилин, метисергид, метопролол, метирапон, надолол, никотиновая кислота, калия тиоцианат, пропранолол, пиридостимин, салицилаты, сульфасалазин, терфенадин, тиамфеникол, тиоурацилы, триметадион, тропаранол, вальпроевая кислота и их смеси. Подходящие агенты, замедляющие старение, включают, например, неорганические солнцезащитные фильтры, такие как титана диоксид и цинка оксид, органические солнцезащитные фильтры, такие как октил-метил циннаматы и их производные, ретиноиды, витамины, такие как витамин E, витамин А, витамин С, витамин В и их производные, такие как витамина E ацетат, витамина С пальмитат и т.п., антиоксиданты, включая бета-каротин, альфа-гидроксикислоты, такие как гликолевая кислота, лимонная кислота, молочная кислота, яблочная кислота, миндальная кислота, аскорбиновая кислота, альфа-гидроксимасляная кислота, альфа-гидроксиизомасляная кислота, альфа-гидроксиизокапроновая кислота, атролактиновая кислота, альфа-гидроксиизовалериановая кислота, этилпируват, галактуроновая кислота, глюкогептоновая кислота, глюкофептоно 1,4-лактон, глюконовая кислота, глюконолактон, глюкуроновая кислота, глюкуронолактон, гликолевая кислота, изопропилпируват, метилпируват, слизевая кислота, пировиноградная кислота, сахарная кислота, сахарный 1,4-лактон, винная кислота и тартроновая кислота, бета-гидроксикислоты, такие как бета-гидроксимасляная кислота, бета-фенилмолочная кислота, бета-фенилпировиноградная кислота, растительные экстракты, такие как зеленый чай, соя, млечный сок чертополоха, водоросли, алоэ, дягиль, померанец, кофе, коптис трехлистный, грейпфрут, остролист, жимолость, кукушкины слезки, воробейник, шелковица, пион, пуэрария, рис, сафлора и их смеси. Некоторые предпочтительные средства против старения включают ретиноиды, включая ретинол и третиноин, антиоксиданты, альфа-гидроксикислоты и бета-гидроксикислоты. Приемлемые средства против акне включают, например, ретиноиды для местного применения, включая третиноин, изотретиноин, мотретинид, адапален, тазоротен, азелаиновую кислоту, ретинол, салициловую кислоту, перекись бензоила, резорцин, антибиотики, такие как тетрациклин и его изомеры, эритромицин, противовоспалительные средства, такие как ибупрофен, напроксен, гетпрофен, растительные экстракты, такие как ольха, амика, полынь, корень азиасаруна, зародыши или ростки, календула, ромашка обыкновенная, книдиум, окопник, фенхель, галлароис, боярышник, гуттуиния, зверобой, жожоба, киви, лакрица, магнолия, олива, мята перечная, филодендрон, шалфей, бамбук с белой каймой (саза), имидазолы, такие как кетоконазол и элубиол, противоугревые агенты, описанные Gollnick, H. и др. 196 (I) Dermatology Sebaceous Glands, Acne and Related Disorders, 119-157 (1998), который включен здесь в виде ссылки в том смысле, что он не противоречит настоящей заявке, и их смеси. Подходящие депигментирующие агенты включают, например, ретиноиды, такие как ретинол, койевую кислоту и ее производные, такие как, например, койевый дипальмитат, гидрохинон и его производные, такие как арбутин, трансэкзаминовая кислота, витамины, такие как ниацин, витамин С и его производные, азелаиновую кислоту, плацертию, лакрицу, экстракты, такие как ромашки и зеленого чая, и их смеси. Предпочтительными являются ретинол, койевая кислота и гидрохинон. Другие примеры полезных агентов включают ингибиторы аллергии, агенты, препятствующие появлению морщин, противозудные, противокашлевые, агенты, стимулирующие рост волос, антигистаминные, антихолинергические, противорвотные, противоинфекционные, вазоконстрикторы, вазодилататоры, ускорители заживления ран, пептиды, полипептиды, медикаментозные агенты, средства для бритья, продукты ядовитого плюща, продукты ядовитого дуба, продукты горения, агенты против опрелости, агенты против потницы, экстракты лекарственных трав, ретиналь, флавоиды, сенсаты, кондиционеры для ухода за кожей, осветлители волос, усилители обновления клеток и т.п., и их смеси. Другие компоненты, которые могут быть добавлены к композициям, включают типичные компоненты, добавляемые к средствам личной гигиены, все из которых полезны в улучшении внешнего вида или косметических свойств средства. Они могут включать, например, вспомогательные загустители, такие как карбоксиметилцеллюлоза, магния алюмосиликат, гидроксиэтилцеллюлоза, метилцеллюлоза, карбопол, глюкамиды, отшелушивающие агенты, такие как тетранатрия этилендиаминтетраацетат (Na4-ЭДТА), EHDP или их смеси, которые могут присутствовать в варьирующих количествах, включая количества в пределах от приблизительно 0,01 до приблизительно 5%, предпочтительно от приблизительно 0,01% до приблизительно 3%, и окрашивающие агенты, пигменты, ароматизаторы, замутнители и парфюмерные изделия, такие как цинка стеарат, магния стеарат, TiO2, слюда, EGMS (этиленгликольмоностеарат), EGDS (этиленгликольдистеарат), и Lytron 621 (сополимер стирола/акрилата). Включение антимикробных веществ может успешно использоваться в некоторых вариантах осуществления. Такие антимикробные вещества включают, например, 2-гидрокси-4,2’4′-трихлордифенилэфир (DP300), консерванты такие как диметилолдиметилгидантоин (Glydant XL1000), парабены, сорбиновую кислоту и т.д., антиоксиданты, такие как, например, бутилированный гидрокситолуол (ВНТ) и его смеси. ПРИМЕРЫ 1-9 Композиции примеров 1-9 изготовлены смешиванием компонентов в относительных количествах, перечисленных ниже в таблице I.
Сравнительный пример C1 и примеры 10-12 Сравнительный пример C1 и примеры 10-12 были выполнены согласно следующему основному рецепту и процедуре: 1) приготовить 12% (активного поверхностно-активного вещества) водную смесь анионного поверхностно-активного вещества (выбранного из натрия тридецет-3-сульфата, натрия тридецилсульфата, аммония тридецет-3-сульфата, аммония тридецилсульфата 2) добавить 4,4% (активного поверхностно-активного вещества) натрия лауроамфоацетат (Миранол ультра L-32, Rhodia, 32% активный раствор) к водной смеси поверхностно-активного вещества, 3) довести смесь до желательной концентрации разбавлением деионизированной водой, 4) довести рН смеси до 5,5-5,65 50%-й лимонной кислотой и 5) добавить соль к смеси, как обозначено в таблицах II-V ниже.
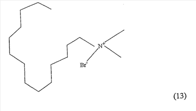
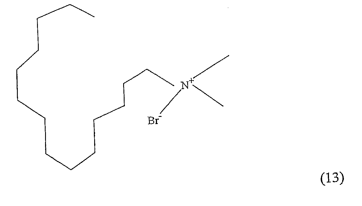
Композиции сравнительного примера C1 и примеров 10-12 были подвергнуты центрифугированию (образец в 2 миллилитра при 20000 G на центрифуге модели Marathon 26KM в течение 15 минут). Центрифугированные композиции затем были визуально исследованы для определения, остались ли композиции отдельными, очевидно гомогенными, жидкофазными или были разделены на две отдельные жидкие фазы. Результаты указаны в таблицах II-V. Композиции сравнительного примера С1 и примеров 10-12 были смешаны для включения воздуха в композиции и затем были оставлены в течение ночи при комнатной температуре. На следующий день, то есть через приблизительно 12-24 часа после смешивания, композиции были визуально исследованы при комнатной температуре при общем освещении для определения, остались ли воздушные пузырьки сохраненными в композициях. Композиции, в которых воздушные пузырьки оставались сохраненными, были оценены как способные к суспендированию воздуха. Композиции, в которых воздушные пузырьки не оставались сохраненными, были оценены как неспособные к суспендированию воздуха. Результаты указаны в таблицах II-V. Сравнительный пример С1 (натрия тридецетсульфат) требует 4% NaCl для достижения 1-фазной системы, которая способна к суспендированию. Уменьшая моли этоксилирования, имеет место значительное сокращение количества структуранта, который необходимо сформировать в 1-фазную систему. Пример 10 требует только 1% NaCl для формирования 1-фазной системы и пример 12 способен формировать 1-фазную систему при добавлении 0% NaCl. (Между тем, вне связи с теорией полагается, что соль, входящая как побочный продукт амфоацетата, а также катионная природа амфоацетата с рН 5,5, будет вносить свой вклад в образование структуры изделия). Во всех вышеуказанных примерах (кроме аммония тридецилсульфата) для создания 1-фазной системы, способной к суспендированию, необходим дополнительный структурант. Удивительно, также будучи лучшим поверхностно-активным веществом для создания 1-фазных суспендирующих систем, катион аммония также предусматривает более широкий диапазон стабильности в сформулированных системах. Это полезно, потому что точность добавлений соли не нуждается в таком тщательном контроле во время производственного процесса. Сравнительный пример C2 и примеры 13-15 Сравнительный пример C2 и примеры 13-15 были выполнены согласно следующему основному рецепту и процедуре 1) приготовить 17,5% (активного поверхностно-активного вещества) водную смесь анионного поверхностно-активного вещества (выбранного из натрия тридецет-3-сульфата, натрия тридецилсульфата, аммония тридецет-3-сульфата, аммония тридецилсульфата), 2) добавить к смеси 0,2% глидант (DMDM Гидантоин, Lonza), 3) довести смесь до желательной концентрации разбавлением деионизированной водой, 4) довести смесь до рН 5,6-5,7 50%-й лимонной кислотой и 5) добавить цетримониум бромид (Rhodiquat M242B/99, Rhodia, порошок) к смеси, как обозначено ниже в таблицах VI-IX.
Композиции сравнительного примера С2 и примеров 13-15 были оценены на способность разделения фаз и суспендирования воздуха, применяя методы, описанные выше по отношению к сравнительному примеру С1 и примерам 10-12. Результаты изложены выше в таблицах VI-IX. Применяя цетримония бромид как структуроиндуцирующий агент, сравнительный пример C2 (натрия тридецет сульфат) 8% CETAB создает 1-фазную систему, способную к суспендированию. Уменьшая моли этоксилирования, можно уменьшить количество структурирующего агента до 5% в примере 13 (натрия тридецилсульфат) и до 2% в примере 6 (аммония тридецилсульфат). Дополнительно, катион аммония лучше, чем катион натрия для создания 1-фазных систем, способных к суспендированию. Пример 14 (аммония тридецетсульфат) требует только 5% CETAB для изготовления 1-фазной суспендирующей системы, тогда как сравнительный пример (натрий тридецетсульфат) требует 8%. Сравнивая пример 15 и пример 13 (натрий в сравнении с аммонием), количество структурирующего агента уменьшается более чем наполовину, когда применяется катион аммония. При уменьшении количества цетримония бромида, необходимого в композиции, происходит значительная экономия затрат изготовителя и потребителя. Сравнительный пример C3 и примеры 16-17 Сравнительный пример C3 и примеры 16-17, упомянутые ниже, были все изготовлены по следующему основному рецепту и процедуре: 1) приготовить 14,2% (активного поверхностно-активного вещества) водную смесь анионного поверхностно-активного вещества (выбранного из натрия тридецет-3-сульфата, натрия тридецилсульфата, аммония тридецет-3-сульфата, аммония тридецилсульфата), 2) добавить 4,7% (активного поверхностно-активного вещества) натрия лауроамфоацетата (Miranol Ultra L-32, Rhodia, 32% активного вещества) к смеси, 3) добавить 1,4% кокамида МЕА (Alkamide C-212, Rhodia, хлопья) к смеси, 4) добавить 1,7% (активного поверхностно-активного вещества) лаурил-7 (Rhodasurf L-7/90, Rhodia, 90% активный раствор) к смеси, 5) добавить 0,1% глидант к смеси, 6) довести смесь до желательной концентрации разбавлением деионизированной водой, 7) довести смесь до 5,5-5,65 50%-й лимонной кислотой и 8) добавить соль, как указано ниже в таблицах X-XII.
Композиции сравнительного примера С3 и примеров 16 и 17 были оценены на способность разделения фаз и суспендирования воздуха, применяя методы, описанные выше по отношению к сравнительному примеру С1 и примерам 10-12. Результаты изложены выше в таблицах X-XII. Сравнительный пример C3 (натрия тридецет-3-сульфат) придает 1-фазной системе способность к суспендированию, с применением 4,4% натрия хлорида. Уменьшение молей этоксилирования в примере 16 (натрия тридецилсульфат) предоставляет 1-фазной системе способность к суспендированию со значительно меньшим количеством структуранта, 1,5% натрия хлорида. Количество дополнительного структурирующего агента (натрия хлорид) необходимого в примере 17 (аммония тридецилсульфат, который имеет катион аммония и низкие моли этоксилирования) для изготовления суспендирующей 1-фазной системы значительно уменьшено. Примерный метод применения композиций примеров 1-17 для изготовления желательного количества выбранной композиции добавлением воды к композиции состоит в следующем. Предпочтительно добавление полимеров для гарантии легкой дисперсии в этот момент, однако, если желательно и если нет никаких дисперсионных проблем, полимеры могут быть добавлены в композицию позже. В частности, катионные полимеры, такие как катионные гуаровые смолы, могут быть первоначально добавлены к воде при перемешивании от умеренного до интенсивного, или они могут быть предварительно растворены в глицерине и добавлены в процесс позднее. Для гарантии нужной гидратации и/или растворения нужно следовать любым инструкциям процесса для данного полимера. Добавить все поверхностно-активные агенты к воде с умеренным взбалтыванием при перемешивании. При применении твердых поверхностно-активных веществ смеси нагреваются минимум на приблизительно 5-10°C выше температуры плавления твердого поверхностно-активного вещества. Смеси размешиваются, пока они не становятся гомогенными, и, когда происходит нагревание, перемешивание продолжается, пока смесь не охладится до температуры окружающей среды. Затем рН доводится до приблизительно 5,0-6,5, и твердый полезный агент и электролит добавляются при перемешивании для диспергирования. Примерный метод применения композиций примеров 1-17 для приготовления композиций, которые могут включать смягчители в композиции, состоит в следующем. Разбавить желательное количество выбранной модельной композиции, добавляя воду к композиции. Предпочтительно добавление полимеров для гарантии легкой дисперсии в этот момент, однако, если желательно и если нет никаких дисперсионных проблем, полимеры могут быть добавлены в композицию позже. В частности, катионные полимеры, такие как катионные гуаровые смолы, могут быть первоначально добавлены к воде при перемешивании от умеренного до интенсивного, или они могут быть предварительно растворены в глицерине и добавлены в процесс позднее. Для гарантии нужной гидратации и/или растворения нужно следовать любым инструкциям процесса для данного полимера. Добавить все поверхностно-активные агенты к воде с умеренным взбалтыванием при перемешивании. При применении твердых поверхностно-активных веществ смеси нагреваются минимум на приблизительно 5-10°C выше температуры плавления твердого поверхностно-активного вещества. Мягчитель обычно добавляется в этот момент. Смеси размешиваются, пока они не становятся гомогенными, и, когда происходит нагревание, перемешивание продолжается, пока смесь не охладится до температуры окружающей среды. рН обычно доводится лимонной кислотой до приблизительно 5,0-6,5, и могут быть добавлены чувствительные к нагреванию добавки, такие как, например, краситель, ароматизатор и консерванты, а также электролит. Перемешивание может продолжаться в течение 1-2 часов после добавления электролита. Специалистам в данной области техники ясно, что настоящее изобретение допускает обширную полезность и применение. Много вариантов осуществления и адаптаций изобретения, включая различные методы приготовления композиции настоящего изобретения помимо описанных здесь, а также многие вариации и модификации, будут очевидны или с достаточным основанием предполагаться из настоящего изобретения и предшествующего его описания, не отступая от сущности или объема настоящего изобретения. Соответственно, несмотря на то, что настоящее изобретение было описано здесь подробно в иллюстративных вариантах осуществления, должно пониматься, что это раскрытие является только иллюстративным и поясняющим настоящее изобретение и выполнено только в целях обеспечения полного и достаточного раскрытия изобретения. Вышесказанное не относится или не должно быть истолковано как ограничение настоящего изобретения или иначе как исключение любых других подобных вариантов осуществления, адаптаций, вариаций, модификаций, настоящее изобретение ограничивается только приложенной к нему формулой и ее эквивалентами.
Формула изобретения
1. Структурированная композиция поверхностно-активного вещества, включающая в расчете на 100 мас.ч. композиции (а) от примерно 3 до примерно 50 мас.ч. одного или более разветвленных алкил(эфир)сульфатов согласно формуле:
где R представляет собой тридецил, n равно 0 и М представляет собой солюбилизирующий ион; или n равно от 0 до 7, и М представляет собой аммоний или замещенный аммоний, и (б) от примерно 0,1 до примерно 20 мас.ч. структуранта, выбранного из электролитов, катионных поверхностно-активных веществ формулы где R1, R2, R3 и R4 являются водородом, органической группой, или их комбинацией, при условии, что по крайней мере одна из групп R1, R2, R3 и R4 не является водородом, и X– представляет собой анион, и их смесей, где композиция показывает неньютоновское снижение вязкости при сдвиге и способна к суспендированию нерастворимых или частично нерастворимых компонентов. 2. Композиция по п.1, где разветвленный алкилэфирсульфат включает один или более из аммонийтридецетсульфата и аммонийтридецилсульфата. 3. Композиция по п.1, где структурант включает электролит. 4. Композиция по п.1, дополнительно включающая по крайней мере одно дополнительное поверхностно-активное вещество, выбранное из группы, состоящей из неионного, амфотерного, цвиттерионного и катионного поверхностно-активного вещества. 5. Композиция по п.4, где дополнительное поверхностно-активное вещество представляет собой одно или более поверхностно-активных веществ, выбранных из амфотерных поверхностно-активных веществ и неионных поверхностно-активных веществ. 6. Композиция для личной гигиены, включающая композицию по п.1. 7. Композиция по п.6, где композициями для личной гигиены являются составы для мытья тела, шампуни, очищающие средства для детей, очищающие средства для лица, мыла для рук и очищающие средства для кожи. 8. Композиция по п.7, дополнительно включающая, по крайней мере, одно дополнительное поверхностно-активное вещество, выбранное из группы, состоящей из неионного, амфотерного, цвиттерионного и катионного поверхностно-активных веществ. 9. Композиция по п.8, где дополнительное поверхностно-активное вещество представляет собой одно или более поверхностно-активных веществ, выбранных из амфотерных поверхностно-активных веществ и неионных поверхностно-активных веществ. 10. Композиция по п.9, где амфотерное поверхностно-активное вещество включает одно или более поверхностно-активных веществ, выбранных из амфоацетатных амфотерных поверхностно-активных веществ, бетаиновых амфотерных поверхностно-активных веществ, сультаиновых амфотерных поверхностно-активных веществ и пропионатных амфотерных поверхностно-активных веществ. 11. Композиция по п.6, дополнительно включающая по крайней мере одно соединение, выбранное из группы, состоящей, по существу, из нерастворимых в воде частиц, частично нерастворимых компонентов и полезных агентов.
|
||||||||||||||||||||||||||||||||||||||||||||||||||||||||||||||||||||||||||||||||||||||||||||||||||||||||||||||||||||||||||||||||||||||||||||||||||||||||||||||||||||||||||||||||||||||||||||||||||||||||||||||||||||||||||||||||||||||||||||||||||||||||||||||||||||||||||||||||||||||||||||||||||||||||||||||||||||||||||||||||||||||||||||||||||||||||||||||||||||||||||||||||||||||||||||||||||||||||||||||||||||||||||||||||||||||||||||||||||||||||||||||||||||||||||||||||||||||||||||||||||||||





















