Патент на изобретение №2346933
|
||||||||||||||||||||||||||
(54) СОЕДИНЕНИЕ, ОБЛАДАЮЩЕЕ ДЕЙСТВИЕМ ПРОТИВ HCV, И СПОСОБ ЕГО ПОЛУЧЕНИЯ
(57) Реферат:
Объектом настоящего изобретения являются соединения и их фармацевтически приемлемые соли, которые могут найти применение для профилактики и лечения заболеваний, вызванных инфекцией HCV. Структурные формулы соединений представлены в формуле изобретения. Изобретение также относится к средству против HCV, включающему в качестве активного компонента соединение изобретения или его фармацевтически приемлемую соль. 2 н.п. ф-лы.
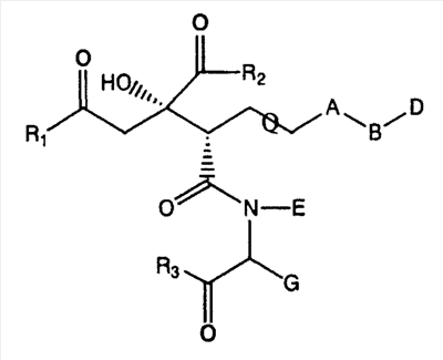
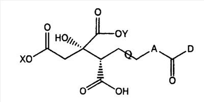
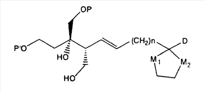
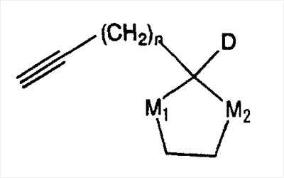
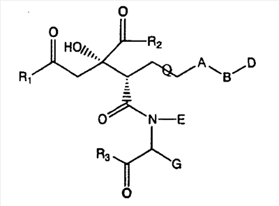
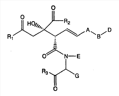
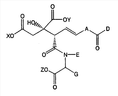
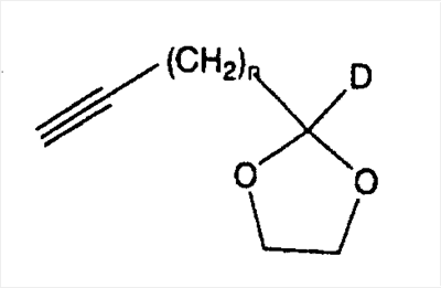
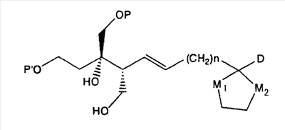
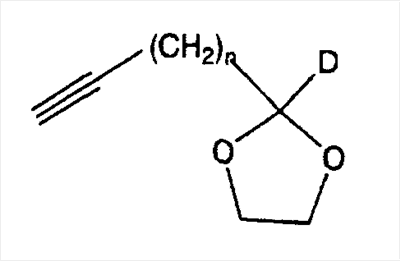
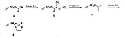
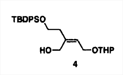
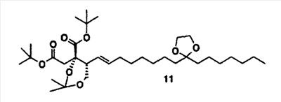
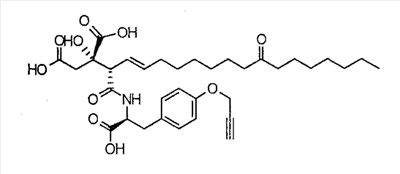
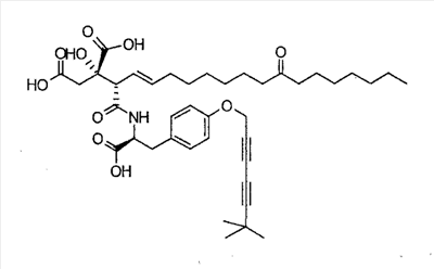
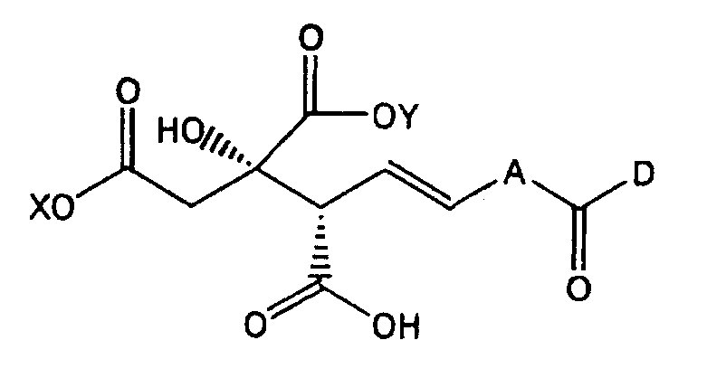
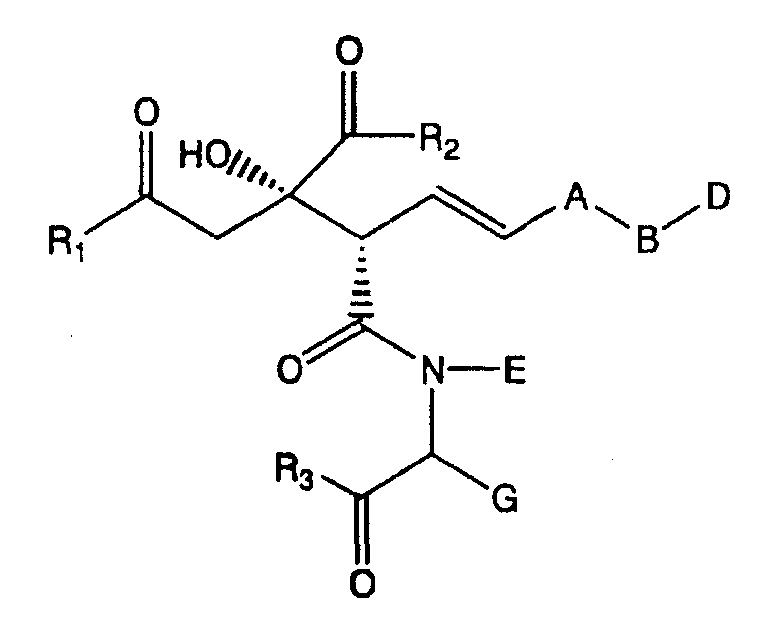
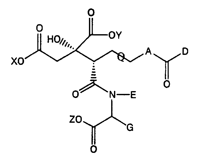
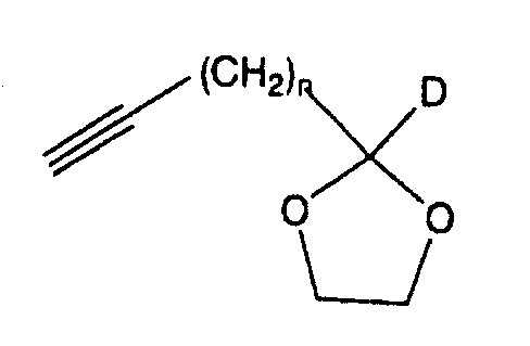
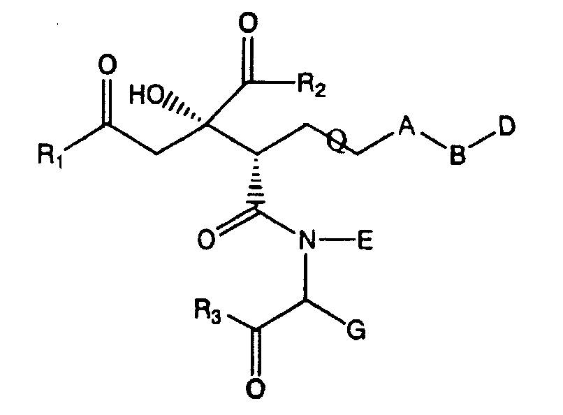
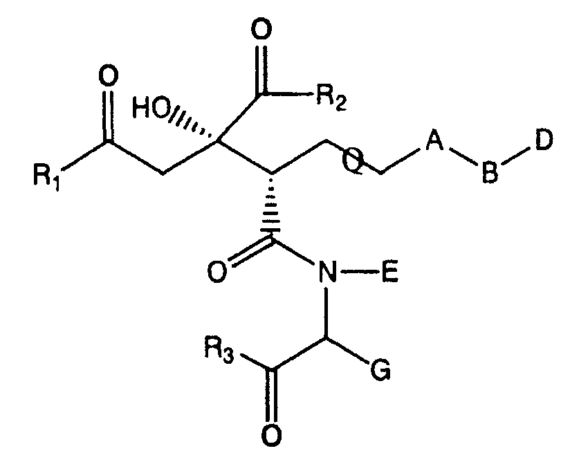
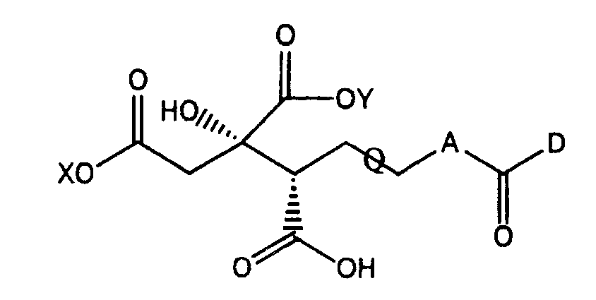
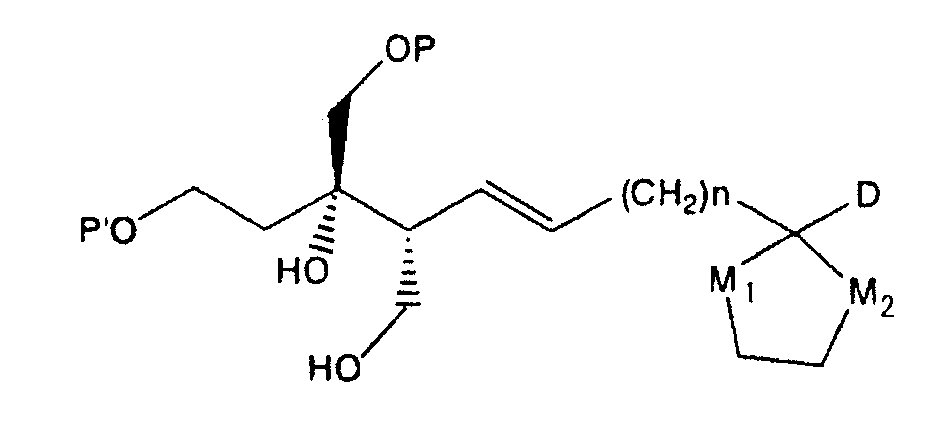
Изобретение относится к соединению, применимому для профилактики и лечения вирусных инфекционных заболеваний, особенно заболеваний печени, вызванных инфекцией вирусом гепатита С (HCV), вследствие его ингибирующей активности против HCV, имеющего высокую степень репликации, способу его получения, промежуточному соединению, применимому для его получения, и фармацевтической композиции, содержащей эти соединения. В настоящее время во всем мире имеется 100-200 миллионов людей, инфицированных HCV, и приблизительно подсчитано, что имеется более чем 2 миллиона инфицированных людей в Японии. Приблизительно у 50% из этих пациентов заболевание развивается в хронический гепатит, приблизительно у 20% этих пациентов развивается в цирроз и рак печени через тридцать лет или больше после инфицирования. Указывается, что приблизительно 90% случаев рака печени вызвано гепатитом С. В Японии более чем 20000 пациентов каждый год умирают из-за рака печени, сопутствующего инфицированию HCV. HCV был открыт в 1989 в качестве основного вируса, вызывающего не-А, не-В гепатит вследствие трансфузии. HCV является РНК-вирусом, имеющим оболочку, и его геном состоит из одноцепочечной (+)-РНК. Он классифицирован как гепацивирус, принадлежащий к семейству Flavivirus. Поскольку HCV «обходит» иммунный механизм хозяина по причинам, которые до сих пор являются неясными, имеется много случаев, в которых достигаются результаты подтвержденного инфицирования, даже когда вирус инфицировал взрослых пациентов, имеющих развитый иммунный механизм. Инфицирование затем развивается в хронический гепатит, цирроз и рак печени, и известно, что имеется большое число пациентов, у которых рак печени возвращается вследствие воспаления, имеющего место у нераковых мест, даже если раковую опухоль удалили хирургическим путем. В соответствии с этим, существует потребность в разработке эффективного способа лечения гепатита С и, независимо от патогенетических или симптоматических способов, которые подавляют воспаление посредством применения противовоспалительных лекарственных средств, имеется особенно большая общественная потребность в разработке лекарственного средства, которое способно ослаблять или ликвидировать HCV в пораженном месте печени. В настоящее время лечение интерфероном является единственным известным способом, который является эффективным при ликвидации HCV. Однако интерферон является эффективным только приблизительно для одной трети всех пациентов. Эффективность интерферона против HCV, особенно генотипа 1b является очень низкой. Таким образом, очень желательно разработать лекарственное средство против HCV, которое можно применять вместо интерферона или в сочетании с ним. В последние годы, хотя рибавирин (1- Со времени клонирования гена HCV, хотя молекулярные биологические анализы быстро прогрессировали в отношении механизмов и функций генов вирусов и функций различных вирусных белков, механизмы, заключающиеся в вирусной репликации в клетках хозяина, подтвержденной инфекции, патогенности и так далее, еще полностью не объясняются. В настоящее время не создана надежная система тестирования для инфекции HCV с применением культивированных клеток. Таким образом, до сих пор при оценке активности лекарственных средств против HCV нужно было применять способы анализа с заменой вируса с применением других аналогичных вирусов. В последние годы, однако, стало возможным наблюдать репликацию HCV in vitro с применением неструктурной части домена HCV. В результате этого лекарственные средства против HCV можно теперь легко оценить способом анализа репликона (V. Lohmann, et al., ad., Science, 1999, Vol. 285, р.110-113, непатентный документ 1). Считается, что механизм репликации РНК HCV в этой системе является таким же, как репликация полноразмерного генома РНК HCV, который инфицировал гепатоциты. Таким образом, можно сказать, что эта система является системой анализа, которая основана на клетках, применимых для идентификации соединений, которые ингибируют репликацию HCV. Авторами настоящего изобретения обнаружено, что ряд соединений, которые описаны в международной публикации WO 98/56755 (патентный документ 1) и выделены из микроорганизмов, таких как род Aureobasidium, имеют высокую степень ингибирующей активности для репликации HCV, как определено по вышеуказанному способу анализа репликона (заявка на патент Японии № 2003-34056). Эти ингибиторы имеют высокий потенциал для применения в качестве терапевтических лекарственных средств для HCV. Однако, так как этот ряд соединений получен из микроорганизмов, они имеют недостаток, заключающийся в трудности их синтеза или синтезе только ограниченных производных из существующих в природе соединений. Описание изобретения В результате экстенсивного исследования для разрешения указанных выше проблем автором настоящего изобретения обнаружено, что соединения настоящего изобретения обладают очень высокой активностью против репликона HCV, обладают действиями, ингибирующими рост HCV, обладают слабой цитотоксичностью in vitro и являются в наивысшей степени применимыми в качестве профилактических/терапевтических агентов против HCV, в то время как найден также способ получения, который позволяет легко синтезировать эти соединения, что тем самым привело к завершению настоящего изобретения. Задачей настоящего изобретения является поиск соединения, применимого для профилактики и лечения вирусных инфекций, и особенно заболеваний печени, вызванных инфекцией вирусом гепатита С (HCV), вследствие его ингибирующей активности против HCV с высокой степенью репликации, способа его получения, промежуточного соединения, применимого для его получения, и фармацевтической композиции, содержащей такое соединение. Настоящее изобретение относится к способу получения соединения, представленного формулой (I): (где А представляет собой -(СН2)n-, где n равно целому числу 0-10; В представляет собой -СН2-, -(С=О)-, -СН(ОН)-, -СН(NH2)- или -С(=NOR)-, где R представляет собой атом водорода, неразветвленную или разветвленную алкильную группу, имеющую 1-8 атомов углерода (которая может быть замещена аминогруппой, которая может быть моно- или дизамещена неразветвленной или разветвленной алкильной группой, имеющей 1-4 атома углерода); D представляет собой -(СН2)m-R1, где m равно целому числу 0-10 и R’ представляет собой атом водорода, неразветвленную или разветвленную алкильную группу, неразветвленную или разветвленную алкинильную группу, неразветвленную или разветвленную алкенильную группу, циклоалкильную группу, циклоалкенильную группу, гетероциклическую группу, которая может быть замещенной, арильную группу, которая может быть замещенной, гетероарильную группу, которая может быть замещенной, группу -ОХ (где Х представляет собой атом водорода, неразветвленную или разветвленную алкильную группу, неразветвленную или разветвленную алкинильную группу, неразветвленную или разветвленную алкенильную группу, циклоалкильную группу или арильную группу, которая может быть замещенной) или атом галогена; Е представляет собой атом водорода или неразветвленную или разветвленную алкильную группу; G представляет собой -(СН2)р-J, где р равно целому числу 0-4 и J представляет собой атом водорода, ОН-группу, SH-группу, метилтиогруппу, карбоксильную группу, карбамоильную группу, аминогруппу, гуанидиногруппу, неразветвленную или разветвленную алкильную группу, циклоалкильную группу, неразветвленную или разветвленную алкинильную группу, неразветвленную или разветвленную алкенильную группу, арильную группу, которая может быть замещенной, гетероциклическую группу, которая может быть замещенной, или гетероарильную группу, которая может быть замещенной; связь Q представляет собой простую связь или двойную связь и R1, R2 и R3 могут быть одинаковыми или разными и каждый представляет собой гидроксильную группу, аминогруппу (которая может быть моно- или дизамещена неразветвленной или разветвленной алкильной группой, имеющей 1-4 атома углерода), -OL, неразветвленную или разветвленную алкильную группу, неразветвленную или разветвленную алкенильную группу или неразветвленную или разветвленную алкинильную группу, где L представляет собой неразветвленную или разветвленную алкильную группу, неразветвленную или разветвленную алкенильную группу или неразветвленную или разветвленную алкинильную группу), его пролекарства или его фармацевтически приемлемой соли; при этом способ включает взаимодействие исходного соединения, представленного следующей формулой: (где А, D и связь Q имеют вышеуказанные значения, и Х и Y могут быть одинаковыми или разными и каждый представляет собой неразветвленную или разветвленную алкильную группу или защитную группу карбоксильной группы) с эфиром (где Е и G имеют вышеуказанные значения, и Z представляет собой неразветвленную или разветвленную алкильную группу или защитную группу карбоксильной группы) в присутствии основания и агента сочетания с получением соединения, представленного следующей формулой: (где А, D, E, G, связь Q, X, Y и Z вышеуказанные значения), и затем, при необходимости, обработку указанного соединения с проведением гидролиза, восстановления, аминирования или амидирования, гидроксииминирования и/или превращения сложного эфира с получением нужного соединения формулы (I). Кроме того, настоящее изобретение относится к способу получения соединения, представленного следующей формулой: (где D и n имеют значения, указанные для приведенной выше формулы (I), М1 и М2 могут быть одинаковыми или разными и каждый представляет собой атом кислорода или атом серы и Р и Р’ могут быть одинаковыми или разными и каждый представляет собой гидроксизащитную группу), включающему взаимодействие соединения, представленного следующей формулой: (где Р и Р’ имеют вышеуказанные значения) с соединением, представленным следующей формулой: (где D, n, M1 и М2 имеют вышеуказанные значения). Кроме того, настоящее изобретение относится к соединению, представленному формулой (I): (где А, В, D, E, G, связь Q, R1, R2 и R3 имеют значения, указанные для приведенной выше формулы (I)), его пролекарству или его фармацевтически приемлемой соли. Кроме того, настоящее изобретение относится к соединению вышеуказанной формулы (I), его пролекарству или его фармацевтически приемлемой соли, где в случае, когда n равен 6, D представляет собой н-гептильную группу и р равно 1, тогда J представляет собой группу, которая не является ни фенильной группой (фенильная группа замещена группой -OW в п-положении, где W представляет собой атом водорода, неразветвленную или разветвленную алкильную группу или неразветвленную или разветвленную алкенильную группу), ни 3-индолильной группой. Кроме того, настоящее изобретение относится к соединению вышеуказанной формулы (I), его пролекарству или его фармацевтически приемлемой соли, где в случае, когда n равен 6, D представляет собой н-гептильную группу и р равно 1, тогда J представляет собой группу, которая не является ни фенильной группой (фенильная группа замещена группой -OW в п-положении, где W представляет собой атом водорода, неразветвленную или разветвленную алкильную группу, неразветвленную или разветвленную алкенильную группу или неразветвленную или разветвленную алкинильную группу), ни 3-индолильной группой. Кроме того, настоящее изобретение относится к соединению, представленному следующей формулой: (где Р и Р’ могут быть одинаковыми или разными и каждый представляет собой гидроксизащитную группу). Кроме того, настоящее изобретение относится к соединению, представленному следующей формулой: (где А, D, X и Y имеют такие же значения, какие указаны предварительно выше). Кроме того, настоящее изобретение относится к фармацевтической композиции, содержащей соединение вышеуказанной формулы (I), его пролекарство или его фармацевтически приемлемую соль. Кроме того, настоящее изобретение относится к вышеуказанной фармацевтической композиции для профилактики или лечения вирусного инфекционного заболевания. Кроме того, настоящее изобретение относится к вышеуказанной фармацевтической композиции, где вирусным инфекционным заболеванием является инфекционное заболевание, вызванное HCV. Кроме того, настоящее изобретение относится к вышеуказанной фармацевтической композиции, где инфекционным заболеванием, вызванным HCV, является гепатит С, цирроз, фиброз печени или рак печени. Поскольку соединения настоящего изобретения обладают очень сильной активностью против HCV и действиями, ингибирующими рост HCV, и проявляют слабую цитотоксичность in vitro, фармацевтическая композиция, содержащая соединение настоящего изобретения, является весьма применимой в качестве профилактического/терапевтического агента против HCV. Лучший способ осуществления изобретения В настоящем описании неразветвленные или разветвленные алкильные группы относятся к неразветвленным или разветвленным углеводородным группам, имеющим 1-12 атомов углерода, предпочтительно, неразветвленным или разветвленным углеводородным группам, имеющим 1-7 атомов углерода, если в настоящем описании не оговорено особо. Примеры неразветвленных или разветвленных алкильных групп включают в себя метильную группу, этильную группу, пропильную группу, изопропильную группу, н-бутильную группу, изобутильную группу, трет-бутильную группу, пентильную группу и гептильную группу. Помимо этого, циклоалкильные группы относятся к циклическим углеводородным группам, имеющим 3-8 атомов углерода, примеры которых включают циклопентильную группу, циклогексильную группу и циклогептильную группу. Циклоалкенильные группы относятся к циклическим углеводородным группам, имеющим 3-8 атомов углерода и содержащим, по меньшей мере, одну двойную связь, примеры их включают в себя циклогексенильную группу. Помимо этого, неразветвленные или разветвленные алкенильные группы относятся к неразветвленным или разветвленным углеводородным группам, имеющим 2-8 атомов углерода и содержащим, по меньшей мере, одну двойную связь, примеры их включают в себя винильную группу, 1-пропенильную группу, аллильную группу, 2-бутенильную группу и 2-этенил-2-бутенильную группу. Неразветвленные или разветвленные алкинильные группы относятся к неразветвленным или разветвленным углеводородным группам, имеющим 2-8 атомов углерода и содержащим, по меньшей мере, одну тройную связь, примеры их включают в себя этинильную группу, 1-пропинильную группу, 2-пропинильную группу, 1-бутинильную группу, 3-бутинильную группу, 2-пентинильную группу, 3-пентинильную группу, 4-пентинильную группу, 2-гексинильную группу, 4-гексинильную группу, 2-децинильную группу, 6,6-диметилгепта-2,4-диин-1-ильную группу. Помимо этого, гетероциклические группы, описанные в настоящем описании, относятся к 4-6-членной моноциклической или 7-10-членной бициклической группе (предпочтительно, моноциклической группе), которая содержит в качестве членов кольца 1-4 (и, предпочтительно, 1 или 2) гетероатома, независимо выбранных из атома азота, атома серы и атома кислорода, и которая может иметь, по меньшей мере, одну двойную связь, конкретные примеры их включают в себя группы, образованные из пирана, морфолина, тетрагидрофурана, дигидрофурана, тетрагидропирана, дигидропирана, 1,3-диоксана, пиперазина, пиперидина и тиоморфолина. Арильные группы, описанные в настоящем описании, относятся к ароматической моноциклической или полициклической углеводородной группе, конкретные примеры их включают в себя группы, образованные из бензола, нафталина, антрацена и флуорена. Гетероарильные группы, описанные в настоящем описании, относятся к 4-6-членной моноциклической или 7-10-членной бициклической ароматической группе (предпочтительно, моноциклической группе), содержащей в качестве членов кольца 1-4 (и, предпочтительно, 1 или 2) гетероатома, независимо выбранных из атома азота, атома серы и атома кислорода, конкретные примеры их включают в себя группы, образованные из фурана, тиофена, пиррола, пиразола, пиридина, тиазола, имидазола, пиримидина, индола, хинолина, оксазола, изоксазола, пиразина, триазола, тиадиазола, тетразола и пиразола. Аралкильные группы, описанные в настоящем описании, относятся к вышеуказанным неразветвленным или разветвленным алкильным группам, замещенным вышеуказанными арильными группами, конкретные примеры их включают в себя бензильную группу и фенетильную группу. Гетероарилалкильная группа, описанная в настоящем описании, относится к вышеуказанным неразветвленным или разветвленным алкильным группам, замещенным вышеуказанными гетероарильными группами. Ацильная группа, указанная в настоящем описании, относится к вышеуказанным неразветвленным или разветвленным алкильным, арильным, гетероарильным или гетероциклильным группам, которые связаны через карбонильную группу. Термин «может быть замещенным», указанный в настоящем описании, относится к группе, описанной таким образом, которая замещена такой группой, как неразветвленная или разветвленная алкильная группа, неразветвленная или разветвленная алкоксигруппа, неразветвленная или разветвленная алкенильная группа, неразветвленная или разветвленная алкенилоксигруппа, неразветвленная или разветвленная алкинильная группа, неразветвленная или разветвленная алкинилоксигруппа, циклоалкильная группа, циклоалкилоксигруппа, цианогруппа, нитрогруппа, трифторметильная группа, трифторметоксигруппа, атом галогена, арильная группа, арилоксигруппа, гетероарильная группа, гетероарилоксигруппа, аралкильная группа, аралкилоксигруппа, аминогруппа (которая может быть моно- или дизамещенной неразветвленной или разветвленной алкильной группой), ацильная группа, неразветвленная или разветвленная алкилсульфонильная группа, карбамоильная группа, неразветвленная или разветвленная алкилтиогруппа, карбоксильная группа, неразветвленная или разветвленная алкилкарбонильная группа, формильная группа или аминосульфонильная группа, если не оговорено особо в настоящем изобретении. Арильные и гетероарильные части в этих являющихся заместителями группах могут быть дополнительно моно-, ди- или тризамещенными атомом галогена, неразветвленной или разветвленной алкильной группой, неразветвленной или разветвленной алкоксигруппой, неразветвленной или разветвленной алкенильной группой, неразветвленной или разветвленной алкенилоксигруппой, неразветвленной или разветвленной алкинильной группой, неразветвленной или разветвленной алкинилоксигруппой, циклоалкильной группой, циклоалкилоксигруппой, цианогруппой, нитрогруппой, трифторметильной группой, трифторметоксигруппой, арильной группой, арилоксигруппой, гетероарильной группой, аралкильной группой, аралкилоксигруппой, аминогруппой, которая может быть моно- или дизамещенной неразветвленной или разветвленной алкильной группой; ацильной группой, неразветвленной или разветвленной алкилсульфонильной группой, неразветвленной или разветвленной алкоксигруппой, карбамоильной группой, неразветвленной или разветвленной алкилтиогруппой, карбоксильной группой, неразветвленной или разветвленной алкилкарбонильной группой, формильной группой или аминосульфонильной группой. Защитная группа, описанная в настоящем описании, относится к группе для защиты реакционноспособной функциональной группы от нежелательной химической реакции, которая может быть легко удалена после завершения реакции. Защитные группы различаются в соответствии с типом функциональной группы, которая должна быть защищена, и в случае защиты гидроксильной группы можно применять, предпочтительно, например, такие группы, как трет-бутилдифенилсилильная группа, тетрагидропиранильная группа, метоксиметильная группа, бензильная группа, триметилсилильная группа, п-метоксибензильная группа или трет-бутилдиметилсилильная группа. В случае защиты карбоксильной группы можно применять различные защитные группы, например, описываемые в “Protective Groups in Organic Synthesis”, the 3rd edition (John Wiley & Sons, Inc., 1999) или “Organic Synthesis Experimental Method Handbook” (Maruzen, 1990). В качестве защитной группы карбоксильной группы можно применять, например, метильную группу, этильную группу, трет-бутильную группу, аллильную группу, фенильную группу, бензильную группу и различные замещенные силильные группы (такие как триметилсилил и триэтилсилил). Пролекарство, описанное в настоящем изобретении, относится к производному соединения формулы (I), которое было химически модифицировано так, чтобы оно было способно превращаться в соединение формулы (I) или его фармацевтически приемлемую соль либо в физиологических условиях, либо сольволизом после введения в качестве фармацевтического средства. Хотя пролекарство может быть инертным при введении пациенту, оно присутствует в организме после превращения в активное соединение формулы (I). Примеры пролекарств включают в себя соединения, которые подвергнуты С1-6-алкильной этерификации, С1-6-алкенильной этерификации, С6-10-арильной этерификации, С1-6-алкилокси-С1-6-алкильной этерификации (формула приведена ниже) или С1-6-гидроксиалкильной этерификации (формула приведена ниже) у части карбоновой кислоты данного соединения. Кроме того, термин «лечение», описанный в настоящем описании, включают в себя ликвидацию или ослабление HCV, ингибирование дальнейшего распространения HCV и ослабление симптомов, вызванных инфекцией HCV, введением фармацевтической композиции настоящего изобретения субъекту. Примеры симптомов, вызванных инфекцией HCV, включают в себя гепатит С, цирроз, фиброз печени и рак печени. В дальнейшем представлено подробное описание соединений настоящего изобретения. Хотя соединением настоящего изобретения является соединение, представленное вышеуказанной формулой (I), его пролекарством или фармацевтически приемлемой солью, оно, предпочтительно, является соединением, представленным вышеуказанной формулой (I), в которой в случае, когда n равно 6, D представляет собой н-гептильную группу и р равно 1, тогда J представляет собой группу, которая не является ни фенильной группой (фенильная группа замещена группой -OW в п-положении, где W представляет собой атом водорода, неразветвленную или разветвленную алкильную группу, неразветвленную или разветвленную алкенильную группу или неразветвленную или разветвленную алкенильную группу), ни 3-индолильной группой. В соединении, представленном формулой (I) настоящего изобретения, А представляет собой -(СН2)n-, где n равно целому числу 0-10, предпочтительно, целому числу 2-8 и, более предпочтительно, целому числу 4-8. Кроме того, в соединении, представленном формулой (I), хотя В представляет собой -(С=О)-, -СН(ОН)-, -СН(NH2)- или -С(=NOR)-, предпочтительно, В представляет собой -(С=О)- или -СН(ОН)-. Кроме того, в соединении, представленном формулой (I), D представляет собой -(СН2)m-R’, где m равно целому числу 1-10, предпочтительно, целому числу 3-8. Кроме того, хотя R’ представляет собой атом водорода, неразветвленную или разветвленную алкильную группу, циклоалкильную группу, циклоалкенильную группу, неразветвленную или разветвленную алкинильную группу, неразветвленную или разветвленную алкенильную группу, гетероциклическую группу, которая может быть замещенной, арильную группу, которая может быть замещенной, гетероарильную группу, которая может быть замещенной, группу -ОХ (где Х представляет собой атом водорода, неразветвленную или разветвленную алкильную группу или защитную группу карбоксильной группы) или атом галогена, R’ представляет собой, предпочтительно, атом водорода, неразветвленную или разветвленную алкильную группу, неразветвленную или разветвленную алкенильную группу, циклоалкильную группу или арильную группу, которая может быть замещенной (и, особенно предпочтительно, фенильную группу). D представляет собой, особенно предпочтительно, н-пентильную группу, н-гексильную группу, н-гептильную группу, н-октильную группу, н-пентенильную группу или 2-метилгексильную группу. Кроме того, в соединении формулы (I), хотя Е представляет собой атом водорода или неразветвленную или разветвленную алкильную группу, Е, предпочтительно, представляет собой атом водорода. Кроме того, в соединении формулы (I), хотя G представляет собой -(СН2)p-J, где р равно целому числу 0-4, предпочтительно, р равно целому числу 0-2, особенно предпочтительно, 1. Кроме того, хотя J представляет собой атом водорода, ОН-группу, SH-группу, метилтиогруппу, карбоксильную группу, карбамоильную группу, аминогруппу, гуанидиногруппу, неразветвленную или разветвленную алкильную группу, циклоалкильную группу, неразветвленную или разветвленную алкинильную группу, неразветвленную или разветвленную алкенильную группу, арильную группу, которая может быть замещенной, гетероциклическую группу, которая может быть замещенной, или гетероарильную группу, которая может быть замещенной, J, предпочтительно, представляет собой арильную группу, которая может быть замещенной, и более предпочтительно, фенильную группу (и особенно предпочтительно, фенильную группу, которая может быть замещенной в п-положении). Кроме того, арильная группа, которая может быть моно-, ди- или тризамещенной группой, выбранной из арильной группы, арилоксигруппы, арилтиогруппы, ариламиногруппы, аралкилоксигруппы, гетероарильной группы, аралкильной группы, гетероциклической группы, гетероциклилоксигруппы (арильные, гетероарильные или гетероциклические части этих арильных, арилокси, арилтио, ариламино, аралкилтио, гетероарильных, аралкильных, гетероциклических и гетероциклилоксигрупп могут быть дополнительно моно-, ди- или тризамещенными группой, выбранной из неразветвленной или разветвленной алкильной группы, неразветвленной или разветвленной алкенильной группы, неразветвленной или разветвленной алкинильной группы, неразветвленной или разветвленной алкоксигруппы, неразветвленной или разветвленной алкинилоксигруппы, неразветвленной или разветвленной алкилоксигруппы, циклоалкилоксигруппы, трифторметильной группы, цианогруппы, атома галогена, нитрогруппы, аминогруппы, которая может быть моно- или дизамещенной неразветвленной или разветвленной алкильной группой, ацильной группой, неразветвленной или разветвленной алкилсульфонильной группой, карбамоильной группой, неразветвленной или разветвленной алкилтиогруппой, карбоксильной группой, неразветвленной или разветвленной алкилкарбонильной группой, формильной группой, аминосульфонильной группой, которая может быть моно- или дизамещенной неразветвленной или разветвленной алкильной группой и т.д.), неразветвленной или разветвленной алкильной группы, неразветвленной или разветвленной алкенильной группы, неразветвленной или разветвленной алкинильной группы, неразветвленной или разветвленной алкоксигруппы (которая может быть замещена аминогруппой, которая может быть моно- или дизамещенной неразветвленной или разветвленной алкильной группой; гетероаралкиламиногруппой или гетероциклической группой), неразветвленной или разветвленной алкенилоксигруппы, неразветвленной или разветвленной алкинилоксигруппы (которая может быть замещена диалкиламиногруппой), циклоалкилоксигруппы, трифторметильной группы, трифторметоксигруппы, цианогруппы, атома галогена, нитрогруппы, аминогруппы, которая может быть моно- или дизамещенной неразветвленной или разветвленной алкильной группой, аминоалкильной группы (которая может быть замещена аралкилоксикарбонильной группой), гуанидиногруппы, ариламиногруппы, азидогруппы, ацильной группы, неразветвленной или разветвленной алкилсульфонильной группы, неразветвленной или разветвленной алкилсульфониламиногруппы, карбамоильной группы, неразветвленной или разветвленной алкилтиогруппы, карбоксильной группы, неразветвленной или разветвленной алкилкарбониламиногруппы, неразветвленной или разветвленной алкилкарбонильной группы, формильной группы и т.д. Предпочтительные примеры G включают в себя аралкильную группу, которая может быть замещенной, и особенно, бензильную группу, которая может быть замещена, и особенно предпочтительным примером ее является бензильная группа, которая замещена в п-положении. Кроме того, в соединении, представленном формулой (I), R1, R2 и R3 могут быть одинаковыми или разными и каждый представляет собой гидроксильную группу, аминогруппу (которая может быть моно- или дизамещенной неразветвленной или разветвленной алкильной группой, имеющей 1-4 атома углерода), -OL, неразветвленную или разветвленную алкильную группу, неразветвленную или разветвленную алкенильную группу или неразветвленную или разветвленную алкинильную группу. Особенно предпочтительным примером R1, R2 и R3 является гидроксильная группа. Ниже перечислены предпочтительные примеры соединений, представленных формулой (I) настоящего изобретения. Из соединений, представленных формулой (I), особенно предпочтительными являются соединения (15), (16), (17), (18), (19), (20), (21), (22), (23), (24), (25), (26), (27), (28), (29), (30), (31), (33), (38), (39), (40), (41), (42), (43), (44), (45), (48), (49), (50), (51), (52) и (62). Кроме того, настоящее изобретение относится в способу получения соединения, представленного формулой (I): (где А, В, D, E, G, R1, R2 и R3 имеют такие же значения, какие указаны выше), его пролекарства или его фармацевтически приемлемой соли: содержащему взаимодействие исходного соединения, представленного формулой: (где А и D имеют такие же значения, какие указаны выше, и Х и Y могут быть одинаковыми или разными и каждый представляет собой неразветвленную или разветвленную алкильную группу) с эфиром
(где Е и G имеют такие же значения, какие указаны выше, и Z представляет собой неразветвленную или разветвленную алкильную группу или защитную группу карбоксильной группы) в присутствии основания и агента сочетания с получением соединения, представленного формулой: (где А, D, E, G, X, Y и Z имеют такие же значения, какие указаны выше) и затем, при необходимости, обработку данного соединения для проведения гидролиза, восстановления, аминирования или амидирования, гидроксииминирования и/или превращения эфира, чтобы получить требуемое соединение формулы (I). Ниже поясняется пример способа синтеза соединения, представленного формулой (I) настоящего изобретения, с применением следующей схемы реакций. Общий способ получения 1 В вышеуказанных формулах каждый из символов имеет такие же значения, как значения, приведенные в вышеуказанной формуле (I), и каждый из Р, P’ и P” представляет собой гидроксизащитную группу. Исходное соединение в форме соединения 1 можно синтезировать по способу, описанному в литературе (J. Org. Chem. 1989, 45, 5522, B.E. Marron, et al.). Стадия 1-1 После взаимодействия соединения 1 с восстанавливающим агентом, таким как бис-(2-метоксиэтокси)алюминийнатрийгидрид или алюминийлитийгидрид, в растворителе, таком как различные простые эфиры, такие как диэтиловый эфир, тетрагидрофуран или диоксан, или бензол, толуол или циклогексан или смесь таких растворителей, при комнатной температуре или охлаждении, предпочтительно, при температуре ниже температуры льда, соединение 2 может быть получено обработкой йодом при охлаждении, предпочтительно, при температуре -78°С. Стадия 1-2 Соединение 2 затем подвергают взаимодействию с дигидропираном в растворителе, таком как диэтиловый эфир, толуол, циклогексан, метиленхлорид, хлороформ, 1,2-дихлорэтан или этилацетат или смесь таких растворителей, и в присутствии каталитического количества кислоты, такой как пара-толуолсульфонат пиридиния, толуолсульфоновая кислота, метансульфоновая кислота, уксусная кислота, трифторуксусная кислота или разбавленная хлористоводородная кислота, либо при комнатной температуре, либо при охлаждении, предпочтительно, при температуре ниже температуры льда, получая при этом соединение 3. Стадия 1-3 Соединение 3 подвергают взаимодействию с сильным основанием, таким как трет-бутилитий, н-бутиллитий или втор-бутиллитий, в растворителе, таком как различные простые эфиры, такие как диэтиловый эфир, тетрагидрофуран или диоксан, или бензол, толуол или циклогексан или смесь таких растворителей, при комнатной температуре или при охлаждении, предпочтительно, при температуре -78°С, с последующим добавлением формальдегида и предоставлением возможности для взаимодействия смеси при охлаждении, предпочтительно, при температуре ниже температуры льда, с получением соединения 4. Стадия 1-4 Соединение 4 подвергают взаимодействию с трет-бутилдифенилхлорсиланом в растворителе, таком как N,N-диметилформамид, тетрагидрофуран, метиленхлорид или хлороформ или смесь таких растворителей, и в присутствии основания, такого как имидазол, триметиламин или пиридин, либо при комнатной температуре, либо при охлаждении, предпочтительно, при температуре ниже температуры льда, с получением соединения 5. Стадия 1-5 Соединение 5 подвергают взаимодействию в различных спиртовых растворителях, таких как этанол, метанол или пропанол, в присутствии каталитического количества кислоты, такой как пара-толуолсульфонат пиридиния, толуолсульфоновая кислота, метансульфоновая кислота, уксусная кислота, трифторуксусная кислота или разбавленная хлористоводородная кислота, при комнатной температуре или при нагревании, предпочтительно, при нагревании при кипячении с обратным холодильником, с получением соединения 6. Стадия 1-6 Соединение 6 подвергают взаимодействию с пероксидом, таким как трет-бутилгидропероксид или кумолгидропероксид, в растворителе, таком как метиленхлорид или хлороформ или смесь таких растворителей, и в присутствии кислоты Льюиса, такой как тетраизопропоксид титана или тетрабутилоксид титана, и L-(+)-диэтилтартрата, L-(+)-дипропилтартрата, D-(-)-диэтилтартрата или D-(-)-дипропилтартрата при комнатной температуре или при охлаждении, предпочтительно, при охлаждении, с получением соединения 7. Стадия 1-7 После гидрометаллирования (такого как гидросиликонирование или гидроборирование) тройной связи соединения, представленного формулой: имеющего требуемую цепь А (-(СН2)n-) и группу D, которое синтезировали по общему способу получения 2, которое будет описано позже, винилметаллпроизводное, полученное переметаллированием (с применением, например, реактива Гриньяра и диалкилцинка), подвергают взаимодействию с соединением 7 в растворителе, таком как различные простые эфиры, такие как диэтиловый эфир, тетрагидрофуран или диоксан, или бензол, толуол или циклогексан или смесь таких растворителей, при комнатной температуре или при охлаждении, предпочтительно, при температуре -78°С, с получением соединения 8. Стадия 1-8 Соединение 8 подвергают взаимодействию с 2,2-диметоксипропаном или ацетоном и так далее в растворителе, таком как диэтиловый эфир, толуол, гексан, метиленхлорид, хлороформ или 1,2-дихлорэтан или смесь таких растворителей, и в присутствии каталитического количества кислоты, такой как пара-толуолсульфонат пиридиния, толуолсульфоновая кислота, метансульфоновая кислота, уксусная кислота, трифторуксусная кислота, хлористоводородная кислота или серная кислота, при комнатной температуре или при охлаждении, предпочтительно, при комнатной температуре, с получением соединения 9. Стадия 1-9 Соединение 9 подвергают взаимодействию в растворителе, таком как диэтиловый эфир, тетрагидрофуран, гексан, метиленхлорид или хлороформ или смесь таких растворителей, и в присутствии фторида тетрабутиламмония, фтористоводородной кислоты, уксусной кислоты или разбавленной хлористоводородной кислоты и так далее и при комнатной температуре или при охлаждении с получением соединения 10. Стадия 1-10 Соединение 10 подвергают реакции окисления с применением пероксида марганца, азотной кислоты или способа окисления Джонса и так далее, получая при этом соответствующую дикарбоновую кислоту. В альтернативном случае соединение 10 подвергают реакции окисления с применением перманганата калия, способа окисления по Сверну, способа окисления по Коллинсу или окисления ТЕМРО и так далее с получением соответствующего диальдегида. Предпочтительно, после взаимодействия соединения 10 в растворителе, таком как метиленхлорид или хлороформ, и в присутствии оксалилхлорида и диметилсульфоксида, при охлаждении, предпочтительно, при -78°С, его обрабатывают основанием, таким как триэтиламин, с получением диальдегида. Образовавшийся продукт можно затем превратить в дикарбоновую кислоту окислителем, таким как перманганат калия, хлорит натрия или хромовая кислота. Дикарбоновую кислоту, предпочтительно, получают взаимодействием с водным раствором хлорита натрия и дигидрофосфата натрия в 2-метил-2-пропаноле и 2-метил-2-бутене при комнатной температуре или при охлаждении, предпочтительно, при охлаждении. Образовавшийся продукт затем подвергают взаимодействию с ди-трет-бутилацеталем N,N-диметилформамида или с трет-бутил-2,2,2-трихлорацетоимидатом в растворителе, таком как N,N-диметилформамид, диэтиловый эфир, тетрагидрофуран, гексан, метиленхлорид или хлороформ, смесь таких растворителей, или в отсутствие растворителя при комнатной температуре или при нагревании с получением соединения 11. Стадия 1-11 Соединение 11 подвергают взаимодействию в растворителе, таком как тетрагидрофуран или диоксан или смесь таких растворителей, и в присутствии воды и кислоты, такой как пара-толуолсульфонат пиридиния, метансульфоновая кислота или уксусная кислота, при комнатной температуре или при охлаждении, предпочтительно, при комнатной температуре, с получением соединения 12. Стадия 1-12 Соединение 12 может быть превращено в соответствующую монокарбоновую кислоту реакцией окисления с применением пероксида марганца, азотной кислоты или реагента Джонса и так далее. Предпочтительно, соединение 12 подвергают взаимодействию с реагентом Джонса в ацетоне при комнатной температуре или при охлаждении, предпочтительно, при охлаждении, с получением соединения 13. Стадия 1-13 Реагент сочетания, такой как гексафторфосфат О-(7-азабензотриазол-1-ил)-N,N,N’,N’-тетраметилурония, водорастворимый гидрохлорид карбодиимида (WSC-HCl) или 1-гидроксибензотриазол (HOBt), взаимодействует с соединением 13 и гидрохлоридом трет-бутилового эфира Стадия 1-14 Соединение 14-А подвергают взаимодействию в растворителе, таком как этиловый эфир, тетрагидрофуран, диоксан, гексан, метиленхлорид, хлороформ, этилацетат или вода или смесь таких растворителей, и в присутствии или отсутствие анизола и в присутствии кислоты, такой как метансульфоновая кислота, уксусная кислота, трифторуксусная кислота или разбавленная хлористоводородная кислота, при комнатной температуре или при охлаждении, предпочтительно, при комнатной температуре, с получением соединения 14-В, которое является одним типом соединения формулы (I). Требуемое соединение формулы (I) настоящего изобретения, иное, чем указанные выше соединение 14-А и соединение 14-В, получают с применением соединения 14-А или соединения 14-В в качестве исходного продукта и обработкой его для проведения гидролиза, восстановления, аминирования или амидирования, гидроксииминирования и/или превращения эфира, если нужно. Кроме того, соединение формулы (I), в которой связь Q представляет собой простую связь, может быть получено гидрированием соединения 14-А или соединения 14-В в растворителе, таком как метанол, этанол, этилацетат или тетрагидрофуран, и в присутствии катализатора, такого как палладий-на-угле, гидроксид палладия, никель Ренея или оксид палладия, при комнатной температуре или в условиях нагревания. Настоящее изобретение относится также к способу получения соединения, представленного формулой: (где D и n имеют такие же значения, какие указаны выше, М1 и М2 могут быть одинаковыми или разными и каждый представляет собой атом кислорода или атом серы и P и P’ могут быть одинаковыми или разными и каждый представляет собой гидроксизащитную группу), которое является промежуточным соединением, применимым для синтеза соединения формулы (I), включающему взаимодействие соединения, представленного формулой: (где Р и P’ имеют такие же значения, какие указаны выше), с соединением, представленным формулой: (где D, n, M1 и М2 имеют такие же значения, какие указаны выше). Этот способ является способом стадии 1-7 в вышеуказанном общем способе получения 1. Ниже поясняется способ получения соединения: которое является одним из промежуточных соединений для синтеза вышеуказанного соединения формулы (I), с применением следующей схемы реакций. Общий способ получения 2 Стадия 2-1 Реагент сочетания, такой как гексафторфосфат О-(7-азабензотриазол-1-ил)-N,N,N’,N’-тетраметилурония, водорастворимый гидрохлорид карбодиимида (WSC-HCl) или 1-гидроксибензотриазол (HOBt), взаимодействует с соединением, имеющим концевую тройную связь и требуемую цепь А ((-СН2)n-), и гидрохлоридом N,O-диметилгидроксиламина в растворителе, таком как диэтиловый эфир, тетрагидрофуран, диоксан, гексан, метиленхлорид, хлороформ или этилацетат или смесь таких растворителей, и в присутствии основания, такого как N,N-диизопропилэтиламин, триэтиламин, пиридин или 4-N,N-диметиламинопиридин, при комнатной температуре с получением соединения b. Стадия 2-2 Соединение b, полученное в вышеуказанной стадии, взаимодействует с реактивом Гриньяра или алкиллитиевым реагентом, имеющим требуемую группу D, в растворителе, таком как диэтиловый эфир, тетрагидрофуран, диоксан или гексан или смесь таких растворителей, при комнатной температуре или при охлаждении, предпочтительно, при охлаждении, с получением соединения с, в которое была введена группа D. Стадия 2-3 Соединение с, полученное в вышеуказанной стадии, подвергают взаимодействию с этиленгликолем при азеотропном удалении воды, которая образуется при нагревании в растворителе, таком как бензол, толуол или 1,2-дихлорэтан, и в присутствии кислоты, такой как пара-толуолсульфонат пиридиния, пара-толуолсульфоновая кислота, метансульфоновая кислота или уксусная кислота, с получением соединения d. Соединение d, полученное здесь, можно применять в стадии 1-7 общего способа получения 1, который показывает способ получения вышеуказанного соединения (I). Следует отметить, что соединение, эквивалентное соединению d, у которого М1 и/или М2 представляют собой атомы серы, может быть получено способом, известным среднему специалисту в данной области. Соединение, которое является исходным соединением для синтеза соединений вышеуказанной формулы (I) и представлено формулой:
может быть синтезировано способом, известным специалисту в данной области, или одной из приведенных ниже схем реакций общего способа получения 3-5. Общий способ получения 3 В приведенных выше формулах Р”’ представляет собой защитную группу карбоксильной группы, Р”” представляет собой защитную группу аминогруппы и М представляет собой неразветвленную или разветвленную алкильную группу, неразветвленную или разветвленную алкинильную группу, неразветвленную или разветвленную алкенильную группу или циклоалкильную группу. Стадия 3-1 Соединение ВВ может быть получено защитой соединения АА защитной группой аминогруппы, такой как ацетил, трифторацетил, трет-бутоксикарбонил, бензилоксикарбонил и 9-флуоренилметилкарбонил. Условия реакции в это время подходящим образом выбирают в зависимости от типа защитной группы Р””. Стадия 3-2 Соединение СС может быть получено взаимодействием соединения ВВ с М, замещенным галогеном или уходящей группой, такой как метансульфонатный эфир и толуолсульфонатный эфир, при комнатной температуре или при нагревании, предпочтительно, при комнатной температуре в присутствии основания, такого как карбонат калия, гидроксид натрия и гидрид натрия, в растворителе, таком как диэтиловый эфир, толуол, циклогексан, ацетон, диметилформамид, диоксан, этилацетат и диметилсульфоксид или смесь таких растворителей. В альтернативном варианте соединение СС может быть получено взаимодействием соединения ВВ с М, замещенным гидроксильной группой, в условиях реакции Мицунобу. Стадия 3-3 Соединение DD может быть получено удалением защитной группы Р”” аминогруппы соединения СС. Условия реакции в это время подходящим образом выбирают в зависимости от типа защитной группой Р””. Общий способ получения 4 В вышеуказанных формулах Р”’ представляет собой защитную группу карбоксильной группы; Р”” представляет собой защитную группу аминогруппы; Т представляет собой уходящую группу, такую как сульфонатный эфир, и U представляет собой арильную группу, которая может быть замещенной, или гетероарильную группу, которая может быть замещенной. Стадия 4-1 Соединение ЕЕ может быть получено взаимодействием соединения ВВ с хлорангидридом метансульфоновой кислоты, хлорангидридом толуолсульфоновой кислоты или ангидридом трифторметансульфоновой кислоты при комнатной температуре или при охлаждении, предпочтительно, при охлаждении, в присутствии основания, такого как N,N-диизопропилэтиламин, триэтиламин, пиридин и 4-N,N-диметиламинопиридин, в растворителе, таком как диэтиловый эфир, толуол, циклогексан, ацетон, диметилформамид, диоксан, этилацетат и диметилсульфоксид или смесь таких растворителей. Стадия 4-2 Соединение FF может быть получено взаимодействием соединения ЕЕ с производным арил- или гетероарилбороновой кислоты или производным эфира арил- или гетероарилбороновой кислоты при комнатной температуре или при нагревании, предпочтительно, при нагревании в присутствии палладиевого катализатора, такого как палладийдиацетат и тетракистрифенилфосфинпалладий, в растворителе, таком как диэтиловый эфир, толуол, бензол, диметилформамид, диоксан, этилацетат, ацетонитрил и вода или смесь таких растворителей. Стадия 4-3 Соединение GG может быть получено удалением защитной группы Р”” аминогруппы соединения FF. Условия реакции в это время подходящим образом выбирают в зависимости от типа защитной группы Р”’. Общий способ получения 5 В вышеуказанной формуле Р”’ представляет собой защитную группу карбоксильной группы; Р”” представляет собой защитную группу аминогруппы и U представляет собой арил, который может быть замещен, или гетероарильную группу, которая может быть замещена. Стадия 5-1 Соединение НН может быть получено взаимодействием соединения ВВ с производным арил- или гетероарилбороновой кислоты, производным эфира арил- или гетероарилбороновой кислоты или галогенированным арил- или галогенированным гетероарилпроизводным при комнатной температуре или при нагревании, предпочтительно, при нагревании в присутствии основания, такого как гидрид натрия и карбонат калия, или основания, такого как N,N-диизопропилэтиламин, триэтиламин, пиридин и 4-N,N-диметиламинопиридин, и катализатора, такого как диацетат меди (II) и иодид меди (I), в растворителе, таком как диэтиловый эфир, толуол, циклогексан, ацетон, диметилформамид, диоксан, метиленхлорид, хлороформ и диметилсульфоксид или смесь таких растворителей. Стадия 5-2 Соединение II может быть получено удалением защитной группы Р”” аминогруппы соединения НН. Условия реакции в это время подходящим образом выбирают в зависимости от типа защитной группы Р””. Кроме того, настоящее изобретение относится также к промежуточным соединениям для синтеза соединения формулы (I), которые представлены формулой: (где Р и Р’ могут быть одинаковыми или разными и каждый представляет собой гидроксизащитную группу) и формулы: (где А, D, X и Y имеют такие же значения, как указаны). Эти соединения могут быть получены по общему способу получения 1, который описывает способ получения соединения вышеуказанной формулы (I). Соединение настоящего изобретения можно применять в качестве лекарственного средства, либо как такого, либо в форме его фармакологически приемлемой соли. Не имеется определенных ограничений по применению соли, пока она является фармакологически приемлемой, примеры солей включают соли минеральных кислот, таких как хлористоводородная кислота, серная кислота, азотная кислота, фосфорная кислота и бромистоводородная кислота; соли органических кислот, таких как уксусная кислота, винная кислота, молочная кислота, лимонная кислота, фумаровая кислота, малеиновая кислота, янтарная кислота, метансульфоновая кислота, этансульфоновая кислота, бензолсульфоновая кислота, толуолсульфоновая кислота, нафталинсульфоновая кислота и камфорасульфоновая кислота, и соли щелочных металлов или щелочно-земельных металлов, таких как натрий, калий и кальций. Хотя количество применяемого в качестве активного ингредиента соединения, содержащегося в вышеуказанной фармацевтической композиции, не подвергается никаким определенным ограничениям и подходящим образом выбрано из широкого диапазона, оно составляет, например, 0,1-99,5 мас.%, предпочтительно, 0,5-90 мас.%. Соединение настоящего изобретения может быть изготовлено с применением известного вспомогательного агента, такого как наполнитель, связывающее вещество, дезинтегрирующий агент, смазывающее вещество, корригент, агент, способствующий растворению, суспендирующий агент и агент для образования покрытия, который обычно применяют в области технологии получения препаратов лекарственных средств. Когда препарат получают в форме таблеток, можно применять широкий диапазон известных носителей в данной области, примеры носителей включают в себя наполнители, такие как лактоза, сахароза, хлорид натрия, глюкоза, мочевина, крахмал, карбонат кальция, каолин, кристаллическая глюкоза и кремниевая кислота; связывающие вещества, такие как вода, этанол, пропанол, обычный сироп, жидкая глюкоза, жидкий крахмал, жидкий желатин, карбоксиметилцеллюлоза, шеллак, метилцеллюлоза, фосфат калия и поливинилпирролидон; дезинтегрирующие агенты, такие как сухой крахмал, альгинат натрия, порошкообразный агар, порошкообразная ламинария, гидрокарбонат натрия, карбонат кальция, эфир полиоксиэтиленсорбитана и жирной кислоты, лаурилсульфат натрия, моноглицеридстеарат, крахмал и лактозу; ингибиторы дезинтеграции, такие как сахароза, стеарин, какао-масло и гидрогенизированные масла; промоторы абсорбции, такие как четвертичные аммониевые соли и лаурилсульфат натрия; удерживающие влагу агенты, такие как глицерин и крахмал; адсорбенты, такие как крахмал, лактоза, каолин, бентонит и коллоидальная кремниевая кислота; и смазывающие вещества, такие как очищенный тальк, стеаратные соли, порошкообразная борная кислота и полиэтиленгликоль. Кроме того, таблетки могут быть в форме таблеток, снабженных, если необходимо, обычным покрытием, примеры их включают покрытые сахаром таблетки, капсулированные в желатин таблетки, таблетки с энтеросолюбильным покрытием, покрытые пленкой таблетки или двухслойные таблетки и многослойные таблетки. При формовании в форму пилюли в качестве носителя можно применять широкий диапазон материалов, которые обычно являются известными в данной области, примеры их включают в себя наполнители, такие как глюкоза, лактоза, какао-масло, крахмал, гидрогенизированное растительное масло, каолин и тальк; связывающие вещества, такие как порошок аравийской камеди, порошок трагаканта, желатин и этанол; и дезинтегрирующие агенты, такие как агар ламинарии. При формовании в форму суппозитория можно применять в качестве носителя широкий диапазон материалов, которые обычно являются известными в данной области, примеры их включают полиэтиленгликоль, какао-масло, высшие спирты, сложные эфиры высших спиртов, желатин и полусинтетические глицериды. В случае получения в форме препарата для инъекции раствор и суспензию, предпочтительно, стерилизуют и делают их изотоничными с кровью и, когда их изготавливают в виде растворов, эмульсий или суспензий, можно применять все материалы, которые обычно применяют в качестве разбавителей в данной области, примеры их включают в себя воду, этанол, пропиленгликоль, этоксиизостеариловый спирт, полиоксиизостеариловый спирт и сложные эфиры полиоксиэтиленсорбитана и жирной кислоты. Кроме того, в данном случае в фармацевтическом препарате могут содержаться адекватные количества соли, глюкозы или глицерина для получения изотонического раствора, можно также применять обычные средства, способствующие растворению, буферы, анальгезирующие средства и так далее. Кроме того, если необходимо, могут содержаться также красители, консерванты, ароматизирующие средства, корригенты, подслащивающие вещества и другие фармацевтические средства. Указанную фармацевтическую композицию, предпочтительно, вводят в стандартной лекарственной форме, путем орального введения, введения в ткань (подкожное введение, внутримышечное введение, внутривенное введение и т.д.), местного введения (чрескожное введение и т.д.) или ректального введения. Вышеуказанную фармацевтическую композицию обычно вводят в лекарственной форме, которая является подходящей для этих способов введения. В случае введения соединения настоящего изобретения или его фармацевтически приемлемой соли в форме лекарственного средства, доза для взрослого человека при применении в качестве противовирусного лекарственного средства, которую хотя, предпочтительно, корректируют в соответствии с факторами, относящимися к состоянию пациента, такому как возраст и масса тела, пути введения, природы и тяжести заболевания и так далее, обычно находится в диапазоне 0,1-2000 мг в день как количество активного ингредиента настоящего изобретения. Хотя имеются случаи, в которых доза, меньшая, чем вышеуказанный диапазон, может все же быть адекватной, имеются также случаи, в которых, в противоположность этому, доза выше вышеуказанного диапазона может быть необходимой. При введении больших доз предпочтительным является разделение дозы на несколько введений в день. Вышеуказанное оральное введение можно проводить в дозированных единицах твердого, порошкообразного или жидкого препарата, его можно вводить в форме порошка, гранул, таблеток, покрытых сахаром препаратов, капсул, капель, сублингвальных препаратов и других лекарственных форм. Вышеуказанное введение в ткань может быть осуществлено с применением жидкой стандартной лекарственной формы для подкожного, внутримышечного или внутривенного введения раствора или суспензии и так далее. Ее получают суспендированием или растворением определенного количества соединения настоящего изобретения или его фармацевтически приемлемой соли в нетоксичном жидком носителе, совместимом с целью инъекции, таком как водная или масляная среда, с последующей стерилизацией вышеуказанной суспензии или раствора. Вышеуказанное местное введение (чрескожное введение и так далее) можно проводить с применением формы препарата для наружного применения, такого как раствор, крем, порошок, паста, гель или мазь. Их можно получить смешиванием определенного количества соединения настоящего изобретения или его фармацевтически приемлемой соли с одним или несколькими типами ароматизирующего средства, красителя, наполнителя, поверхностно-активного вещества, агента для удерживания влаги, мягчителя кожи, гелеобразующего агента, носителя, консерванта или стабилизатора и так далее, который является подходящим для введения препарата для наружного применения. Вышеуказанное ректальное введение может быть выполнено с применением суппозитория и так далее, содержащего определенное количество соединения настоящего изобретения или его фармацевтически приемлемой соли в твердом веществе с низкой точкой плавления, состоящего, например, из высшего сложного эфира, такого как пальмитиловый, миристиловый эфир, полиэтиленгликоль, какао-масло или их смесь. Указанное выше введение может быть осуществлено с применением жидкой стандартной лекарственной формы для подкожной, внутримышечной или внутривенной инъекции, такой как раствор или суспензии и так далее. Их получают суспендированием или растворением определенного количества соединения настоящего изобретения или его фармацевтически приемлемой в нетоксичном жидком носителе, пригодном для инъекции, таком как водная или масляная среда, с последующей стерилизацией указанной выше суспензии или раствора. Пример Способ получения соединения формулы (I) настоящего изобретения и фармакологическая активность соединения формулы (I) ниже поясняется примерами. Пример 1 1-1 (Стадия 1-1) Соединение 1 (70,1 г), описываемое в указанном выше общем способе получения 1, синтезируют по методу, описанному в литературе (J. Org. Chem. 1989, 45, 5522, B.E. Marron, et al.), раствор указанного соединения 1 в безводном диэтиловом эфире (700 мл) охлаждают до 0°С и к нему медленно добавляют бис-(2-метоксиэтокси)алюминийнатрийгидрид (414 ммоль, 121 мл, 70% раствор в толуоле). Ледяную баню убирают через 5 минут после завершения добавления реагента и перемешивание продолжают при комнатной температуре в течение 1 часа. Реакционный раствор охлаждают до 0°С и к нему медленно добавляют безводный этилацетат (19,8 мл, 203 ммоль). После перемешивания смеси при такой же температуре в течение 10 минут ее охлаждают до -78°С, к ней добавляют йод (76,1 г, 300 ммоль). Температуру смеси постепенно повышают до комнатной температуры на протяжении 2 часов для завершения реакции. К реакционному раствору добавляют водный раствор гидросульфита натрия и затем добавляют этилацетат. После фильтрования реакционного раствора через целит с отсасыванием органический слой отделяют и водный слой снова один раз экстрагируют этилацетатом. После сушки объединенного органического слоя над безводным сульфатом натрия его концентрируют при пониженном давлении с получением указанного в заголовке соединения (100 г) без дополнительной очистки в виде светло-коричневого масла. Таким образом полученный сырой продукт применяют как таковой для следующей реакции. Физико-химические свойства соединения 2 Молекулярная масса: 466. FAB-МС (способ положительных ионов, матрица m-NBA) 467 (M+H+). 1H-ЯМР (в дейтерохлороформе) величина химического сдвига 1-2 (Стадия 1-2) Раствор соединения 2, полученный в указанной выше реакции, в дихлорметане (300 мл) охлаждают до 0°С и к нему добавляют дигидропиран (22,7 мл, 248 ммоль). К раствору добавляют п-толуолсульфонат пиридиния (260 мг, 1 ммоль). Спустя 1 час, для остановки реакции к нему добавляют водный раствор бикарбоната натрия. Отделенный органический слой промывают насыщенным раствором соли и после этого его сушат над безводным сульфатом натрия и концентрируют при пониженном давлении. Полученное таким образом соединение 3 (108 г) без дополнительной очистки применяют как таковое для следующей реакции. Физико-химические свойства соединения 3 Молекулярная масса: 550. FAB-МС (способ положительных ионов, матрица m-NBA) 551 (M+H+). 1H-ЯМР (в дейтерохлороформе) величина химического сдвига 1-3 (стадия 1-3) Соединение 3 (4,73 г) без дополнительной очистки растворяют в безводном диэтиловом эфире (30 мл) и раствор охлаждают до -78°С. К нему медленно добавляют трет-бутиллитий (17,2 ммоль, 10,7 мл, 1,6 н. раствор в пентане). После перемешивания смеси при такой же температуре в течение 1 часа к ней добавляют пара-формальдегид (18,9 ммоль, 570 мг). Смесь перемешивают при такой же температуре в течение 30 минут и температуру смеси повышают до 0°С с последующим перемешиванием смеси в течение 1 часа. К ней добавляют водный раствор хлорида аммония для остановки реакции и реакционную смесь экстрагируют этилацетатом. Водный слой экстрагируют небольшим количеством этилацетата и объединенный органический слой промывают насыщенным раствором соли и сушат над безводным сульфатом натрия. Сырой продукт, полученный концентрированием при пониженном давлении, очищают колоночной хроматографией (силикагель, гексан-этилацетат, 9:1-4:1), получая при этом соединение 4 (1,635 г) в виде бесцветного масла. Физико-химические свойства соединения 4 Молекулярная масса: 454. FAB-МС (способ положительных ионов, матрица m-NBA) 455 (M+H+). 1H-ЯМР (в дейтерохлороформе) величина химического сдвига 1-4 (стадия 1-4) Раствор соединения 4 (344 мг, 0,76 ммоль) и имидазола (77 мг, 1,14 ммоль) в безводном N,N-диметилформамиде (2 мл) охлаждают до 0°С и к нему добавляют трет-бутилдифенилхлорсилан (0,2 мл, 0,76 ммоль) с последующим перемешиванием смеси в течение 2 часов. К смеси добавляют водный раствор хлорида аммония для остановки реакции и реакционную смесь экстрагируют гексаном. Органический слой промывают дважды водой, затем насыщенным раствором соли и сушат над безводным сульфатом натрия с последующим концентрированием при пониженном давлении, получая при этом соединение 5 (554 мг) без дополнительной очистки в виде бесцветного масла. Физико-химические свойства соединения 5 Молекулярная масса: 692. FAB-МС (способ положительных ионов, матрица m-NBA) 715 (M+Na+) 1H-ЯМР (в дейтерохлороформе) величина химического сдвига 1-5 (стадия 1-5) п-Толуолсульфонат пиридиния (90 мг, 0,36 ммоль) добавляют к раствору соединения 5 (1,16 г, 1,67 ммоль) в этаноле (6 мл) и смесь перемешивают при 60°С в течение 3,5 часа. После охлаждения раствора до комнатной температуры добавляют насыщенный водный раствор бикарбоната натрия и смесь экстрагируют этилацетатом. Органический слой последовательно промывают водой и насыщенным раствором соли и сушат над безводным сульфатом натрия с последующим концентрированием при пониженном давлении. Полученный таким образом сырой продукт очищают колоночной хроматографией (силикагель, гексан-этилацетат, 20:1), получая при этом соединение 6 (825 мг, 81%) в виде бесцветного масла. Физико-химические свойства соединения 6 Молекулярная масса: 608. FAB-МС (способ положительных ионов, матрица m-NBA) 631 (M+Na+) 1H-ЯМР (в дейтерохлороформе) величина химического сдвига 1-6 (стадия 1-6) После нагревания круглодонной колбы с мешалкой и сушки при пониженном давлении ее заполняют азотом и добавляют безводный дихлорметан (60 мл) с последующим охлаждением до -20°С. В колбу последовательно добавляют тетраизопропоксид титана (2,33 мл, 7,88 ммоль) и L-(+)-диэтилтартрат (1,62 мл, 9,46 ммоль) и после перемешивания смеси в течение 15 минут к ней добавляют раствор соединения 6 (4,80 г, 7,88 ммоль) в дихлорметане (30 мл) с последующим перемешиванием смеси в течение 15 минут. Реакционную смесь охлаждают до -25°С и к ней медленно по каплям добавляют трет-бутилгидропероксид (5,25 мл, 15,8 ммоль, 3 н. раствор в дихлорметане). После завершения добавления по каплям смесь перемешивают при -20°С в течение 2 часов и к ней добавляют диметилсульфид (1,1 мл) с последующим перемешиванием смеси при такой же температуре в течение дополнительного 1 часа. После добавления к реакционному раствору 10% раствора винной кислоты и перемешивания смеси в течение 30 минут смесь перемешивают при комнатной температуре в течение 1 часа. Органический слой отделяют, водный слой экстрагируют небольшим количеством дихлорметана и объединенный органический слой сушат над безводным сульфатом натрия. Сырой продукт, полученный концентрированием при пониженном давлении, очищают колоночной хроматографией (силикагель, гексан-этилацетат, 9:1). Соединение 7 (4,78 г, 97%) получают в виде бесцветного масла. Асимметричный выход (>95% ее (энантиомерного избытка)) определяют ЯМР-анализом соответствующего сложного эфира МТРА. Физико-химические свойства соединения 7 Молекулярная масса: 624. FAB-МС (способ положительных ионов, матрица m-NBA) 647 (M+Na+) 1H-ЯМР (в дейтерохлороформе) величина химического сдвига 1-7 (стадия 1-7) Гидрохлорид бис-циклопентадиенилциркония (10,11 г, 37,2 ммоль) добавляют к раствору соединения 114 (10,45 г, 37,2 ммоль), полученного в стадии 2-3 описанного ниже примера получения 1, в безводном тетрагидрофуране (100 мл) при комнатной температуре в атмосфере азота и смесь перемешивают в течение 30 минут. Полученный таким образом раствор охлаждают до -78°С и к нему добавляют метилмагнийхлорид (24,7 мл, 74 ммоль, 3 н. раствор в тетрагидрофуране) с последующим перемешиванием смеси в течение 5 минут. К этому раствору добавляют иодид меди (I) (500 мг, 7,2 ммоль) и температуру смеси постепенно повышают до -30°С. К ней добавляют по каплям на протяжении 20 минут раствор соединения 7 (4,49 г) в безводном тетрагидрофуране (70 мл) и после завершения добавления смесь перемешивают при -25°С на протяжении ночи. Для остановки реакции к смеси медленно добавляют насыщенный водный раствор хлорида аммония и температуру смеси постепенно повышают до комнатной температуры. Смесь перемешивают при комнатной температуре в течение 10 часов и образовавшееся белое твердое вещество удаляют фильтрованием через целит. Целит достаточно промывают этилацетатом и органический слой отделяют. Водный слой экстрагируют небольшим количеством этилацетата и объединенный органический слой промывают насыщенным водным раствором хлорида аммония с последующим высушиванием над безводным сульфатом натрия. Сырой продукт, полученный концентрированием при пониженном давлении, очищают колоночной хроматографией (силикагель, гексан-этилацетат, 20:1-9:1), получая при этом соединение 8 (5,96 г, 91%) в виде светло-желтого масла. Физико-химические свойства соединения 8 Молекулярная масса: 907. FAB-МС (способ отрицательных ионов, матрица m-NBA) 906 (M-Н+) 1H-ЯМР (в дейтерохлороформе) величина химического сдвига 1-8 (стадия 1-8) Соединение 8 (5,30 г, 5,84 ммоль) растворяют в дихлорметане (200 мл) и 2,2-диметоксипропане (150 мл) и к раствору добавляют п-толуолсульфонат пиридиния (15 мг, 0,058 ммоль) с последующим перемешиванием смеси при комнатной температуре на протяжении ночи. К ней добавляют насыщенный водный раствор бикарбоната натрия для остановки реакции и реакционную смесь экстрагируют дважды дихлорметаном. Экстракт сушат над безводным сульфатом натрия и концентрируют при пониженном давлении. Полученный таким образом сырой продукт очищают колоночной хроматографией (силикагель, гексан-этилацетат, 20:1). Соединение 9 (4,69 г, 86%) получают в виде светло-желтого масла. Физико-химические свойства соединения 9 Молекулярная масса: 947. FAB-МС (способ отрицательных ионов, матрица m-NBA) 946 (M-H+) 1H-ЯМР (в дейтерохлороформе) величина химического сдвига 1-9 (стадия 1-9) Раствор соединения 9 (4,39 г, 4,64 ммоль) в тетрагидрофуране (50 мл) охлаждают до 0°С и к нему добавляют фторид тетрабутиламмония (10,2 мл, 10,2 ммоль, 1 М раствор в тетрагидрофуране) и уксусную кислоту (0,53 мл, 9,27 ммоль). Температуру смеси постепенно повышают до комнатной температуры и смесь перемешивают в течение 2 дней. К ней добавляют насыщенный водный раствор хлорида аммония и смесь экстрагируют дважды дихлорметаном. Объединенный органический слой промывают водным раствором бикарбоната натрия и сушат над безводным сульфатом натрия с последующим концентрированием при пониженном давлении. Полученный таким образом сырой продукт очищают колоночной хроматографией (силикагель, гексан-этилацетат, 9:1-3:2), получая при этом соединение 10 (1,73 г, 81%) в виде светло-желтого масла. Физико-химические свойства соединения 10 Молекулярная масса: 470. FAB-МС (способ положительных ионов, матрица m-NBA) 493 (M+Na+) 1H-ЯМР (в дейтерохлороформе) величина химического сдвига 1-10 (стадия 1-10) Раствор оксалилхлорида (0,575 мл, 6,6 ммоль) в безводном дихлорметане (17 мл) охлаждают до -78°С в атмосфере азота и к нему добавляют по каплям раствор диметилсульфоксида (0,936 мл, 13,2 ммоль) в дихлорметане (1 мл) с последующим перемешиванием смеси в течение 15 минут. К ней медленно по каплям добавляют раствор соединения 10 (388 мг, 0,824 ммоль) в дихлорметане (5 мл). После перемешивания смеси при такой же температуре в течение 1 часа к ней добавляют триэтиламин (3 мл, 21,4 ммоль) и смесь дополнительно перемешивают в течение 30 минут. Охлаждающую баню убирают и через раствор продувают поток азота для удаления соединения с низкой точкой кипения с последующей сушкой при пониженном давлении. К остатку добавляют диэтиловый эфир (15 мл) и нерастворимые вещества удаляют фильтрованием и фильтрат концентрируют. После этой процедуры, проведенной дважды, полученный таким образом остаток сразу применяют для последующей реакции. Указанный выше диальдегид без дополнительной очистки растворяют в 2-метил-2-пропаноле (24 мл) и 2-метил-2-бутене (6 мл) и смесь охлаждают приблизительно до 5-7°С. К этому раствору медленно по каплям добавляют раствор хлорида натрия (745 мг, 8,24 ммоль) и дигидрофосфата натрия (745 мг, 6,21 ммоль) в воде (7,45 мл). Спустя 2 часа, смесь охлаждают до 0°С и к ней добавляют водный раствор дигидрофосфата натрия для регулирования рН приблизительно до 5. Смесь экстрагируют три раза дихлорметаном и после промывания объединенного органического слоя насыщенным раствором соли его сушат над безводным сульфатом натрия. После фильтрования светло-желтое масло, полученное концентрированием при пониженном давлении, сразу применяют для последующей реакции без дополнительной очистки. Дикарбоновую кислоту без дополнительной очистки растворяют в ди-трет-бутилацетале N,N-диметилформамида (4,5 мл) и смесь перемешивают при 70°С в течение 1 часа. Соединение с низкой точкой кипения отгоняют при пониженном давлении. Остаток очищают колоночной хроматографией (силикагель, гексан-этилацетат, 20:1), получая при этом соединение 11 (340 мг, 60%) в виде светло-желтого масла. Физико-химические свойства соединения 11 Молекулярная масса: 610. FAB-МС (способ положительных ионов, матрица m-NBA) (M+H+) 611, (M+Na+) 633 1H-ЯМР (в дейтерохлороформе) величина химического сдвига 1-11 (стадия 1-11) Соединение 11 (340 мг, 0,556 ммоль) растворяют в тетрагидрофуране (1 мл) и к раствору добавляют 80% водный раствор уксусной кислоты (10 мл) с последующим перемешиванием смеси при комнатной температуре в течение 3,5 часа. После медленного добавления смеси к насыщенному водному раствору бикарбоната натрия для нейтрализации уксусной кислоты смесь экстрагируют дважды этилацетатом. Экстракт сушат над безводным сульфатом натрия, затем фильтруют и концентрируют при пониженном давлении, получая при этом соединение 12 (290 мг, 99%) в виде светло-желтого масла. Физико-химические свойства соединения 12 Молекулярная масса: 526. FAB-МС (способ положительных ионов, матрица m-NBA) (M+H+) 527, (M+Na+) 549 1H-ЯМР (в дейтерохлороформе) величина химического сдвига 1-12 (стадия 1-12) Ацетон (45 мл) охлаждают до 0°С и к нему добавляют реагент Джонса (0,48 мл, 0,9 ммоль, 1,89 н.). К этой смеси по каплям медленно добавляют раствор соединения 12 (216 мг, 0,41 ммоль) в ацетоне (3 мл). После перемешивания смеси при такой же температуре в течение 1 часа к ней для остановки реакции добавляют водный раствор гидросульфита натрия до исчезновения желтого цвета реакционного раствора и появления темно-зеленого осадка. К нему добавляют насыщенный раствор соли (20 мл) и смесь экстрагируют дважды дихлорметаном. Объединенный органический слой сушат над безводным сульфатом натрия и концентрируют при пониженном давлении. Остаток очищают колоночной хроматографией на силикагеле (дихлорметан-метанол, 50:1-20:1), получая при этом соединение 13 (198 мг, 89%) в виде светло-желтого масла). Физико-химические свойства соединения 13 Молекулярная масса: 541. ESI (ЖХ/МС, способ положительных ионов) (M+H+) 542 1H-ЯМР (в дейтерохлороформе) величина химического сдвига 1-13 (стадия 1-13) Раствор соединения 13 (6,0 мг, 0,011 ммоль) и гидрохлорида трет-бутилового эфира (S)-4-фенилоксифенилаланина (5 мг, 0,013 ммоль) в N,N-диметилформамиде (1 мл) охлаждают до -10°С и к нему последовательно добавляют N,N-диизопропилэтиламин (0,005 мл, 0,024 ммоль) и гексафторфосфат О-(7-азабензотриазол-1-ил)-N,N,N’,N’-тетраметилурония (6,3 мг, 0,0166 ммоль). Температуру смеси медленно повышают до комнатной температуры и смесь перемешивают на протяжении ночи. К ней добавляют водный раствор хлорида аммония для остановки реакции и реакционную смесь экстрагируют этилацетатом. Органический слой последовательно промывают дважды водой и затем насыщенным раствором соли и сушат над безводным сульфатом натрия. После фильтрования и концентрирования при пониженном давлении остаток очищают тонкослойной хроматографией на силикагеле (гексан-этилацетат, 7:3), получая при этом соединение 14 (7,6 мг, 82%) в виде бесцветного твердого вещества. Физико-химические свойства соединения 14 Молекулярная масса: 835. ESI (ЖХ/МС, способ положительных ионов) 858 (M+Na+). 1H-ЯМР (в дейтерохлороформе) величина химического сдвига 1-14 (стадия 1-14) Раствор соединения 14 (7,6 мг) в дихлорметане (3 мл) охлаждают до 0°С и к нему последовательно добавляют анизол (0,01 мл) и трифторуксусную кислоту (1 мл). Температуру смеси медленно повышают до комнатной температуры и смесь перемешивают на протяжении ночи. После концентрирования реакционного раствора при пониженном давлении два раза проводят азеотропную обработку с бензолом и остаток очищают с применением Megabond elute diol (500 мг, Barian Inc.) (дихлорметан-метанол = 20:1), получая при этом соединение 15 (5,4 мг, 90%) в виде бесцветного твердого вещества. Физико-химические свойства соединения 15 Молекулярная масса: 667. ESI (ЖХ/МС, способ положительных ионов) 668 (M+H+) 1H-ЯМР (в метаноле d-4) величина химического сдвига Соединения примеров 2-97, описанных ниже, могут быть синтезированы из соответствующих соединений способом, аналогичным способу в указанном выше примере 1. Соответствующие соединения могут быть синтезированы специалистом в данной области из известных соединений и соединений, которые могут быть легко синтезированы из известных соединений специалистом в данной области. Пример 2 Физико-химические свойства соединения 16 Молекулярная масса: 589. ESI (ЖХ/МС, способ положительных ионов) 590 (M+H+). 1H-ЯМР (в метаноле d-4) величина химического сдвига Пример 3 Физико-химические свойства соединения 17 Молекулярная масса: 681. ESI (ЖХ/МС, способ положительных ионов) 682 (M+H+). 1H-ЯМР (в метаноле d-4) величина химического сдвига Пример 4 Физико-химические свойства соединения 18 Молекулярная масса: 643. ESI (ЖХ/МС, способ положительных ионов) 644 (M+H+) 1H-ЯМР (в метаноле d-4) величина химического сдвига Указанное выше соединение 18 синтезируют с применением соединения 18-4 в стадии 1-13 общего способа получения 1. Соединение 18-4 синтезируют следующими стадиями, исходя из соединения 18-1. Синтез соединения 18-4 а) Синтез соединения 18-2 После добавления ди-трет-бутилдикарбоната (6,55 г, 30 ммоль) к суспензии (44 мл) трет-бутилового эфира L-тирозина (7,12 г, 30 ммоль) в абсолютном метаноле смесь перемешивают при комнатной температуре в течение 2 часов. После концентрирования реакционного раствора полученное таким образом масло очищают колоночной хроматографией на силикагеле. Соединение 18-2 (9,62 г, 95%) получают в виде бесцветного порошка обработкой масла, полученного из части, элюированной смесью н-гексан/этилацетат (2:1 Физико-химические свойства соединения 18-2 Молекулярная масса: 337. ESI (ЖХ/МС, способ положительных ионов) 338 (М+Н+). 1H-ЯМР (в дейтерохлороформе) величина химического сдвига b) Синтез соединения 18-3 Карбонат калия (173 мг, 1,25 ммоль) и 1-бром-1-бутин (147 мг, 1,1 ммоль) добавляют к раствору (2,0 мл) указанного выше соединения 18-2 (338 мг, 1,0 ммоль) в безводном N,N-диметилформамиде и смесь перемешивают при комнатной температуре в течение 15 часов. К реакционному раствору добавляют этилацетат (30 мл) и раствор последовательно промывают три раза водой (20 мл) и затем насыщенным раствором соли (20 мл). Слой этилацетата отделяют от воды и сушат безводным сульфатом натрия и после отгонки растворителя при пониженном давлении полученное таким образом масло очищают колоночной хроматографией на силикагеле. Соединение 18-3 (370 мг, 95%) получают в виде бесцветного масла из части, элюированной смесью н-гексан/этилацетат (5:1). Физико-химические свойства соединения 18-3 Молекулярная масса: 389. FAB-МС (способ положительных ионов, матрица m-NBA) 390 (M+H+) 1H-ЯМР (в дейтерохлороформе) величина химического сдвига с) Синтез соединения 18-4 Полученное таким образом масло (390 мг, 1,0 ммоль) растворяют в этилацетате (5,0 мл) и к раствору добавляют 4 н. хлористоводородную кислоту в этилацетате (2,0 мл, 8,0 ммоль) с последующим перемешиванием смеси при комнатной температуре в течение 15 часов. Осажденный порошок собирают фильтрованием воронкой Kiriyama и промывают этилацетатом (2,0 мл) с последующей сушкой при пониженном давлении, создаваемом вакуумным насосом, с получением соединения 18-4 (278 мг, 85%) в виде бесцветного порошка. Физико-химические свойства соединения 18-4 Молекулярная масса: 289. ESI (ЖХ/МС, способ положительных ионов) 290 (M+H+) 1H-ЯМР (в метаноле d-4) величина химического сдвига Пример 5 Физико-химические свойства соединения 19 Молекулярная масса: 651. ESI (ЖХ/МС, способ положительных ионов) 652 (M+H+). 1H-ЯМР (в метаноле d-4) величина химического сдвига Пример 6 Физико-химические свойства соединения 20 Молекулярная масса: 625. ESI (ЖХ/МС, способ положительных ионов) 626 (M+H+). 1H-ЯМР (в метаноле d-4) величина химического сдвига Пример 7 Физико-химические свойства соединения 21 Молекулярная масса: 673. ESI (ЖХ/МС, способ положительных ионов) 674 (M+H+). 1H-ЯМР (в метаноле d-4) величина химического сдвига Пример 8 Физико-химические свойства соединения 22 Молекулярная масса: 659. ESI (ЖХ/МС, способ положительных ионов) 660 (M+H+). 1H-ЯМР (в метаноле d-4) величина химического сдвига Пример 9 Физико-химические свойства соединения 23 Молекулярная масса: 635. ESI (ЖХ/МС, способ положительных ионов) 636 (M+H+). 1H-ЯМР (в метаноле d-4) величина химического сдвига Пример 10 Физико-химические свойства соединения 24 Молекулярная масса: 701. ESI (ЖХ/МС, способ положительных ионов) 702 (M+H+) 1H-ЯМР (в метаноле d-4) величина химического сдвига Пример 11 Физико-химические свойства соединения 25 Молекулярная масса: 685. ESI (ЖХ/МС, способ положительных ионов) 686 (M+H+). 1H-ЯМР (в метаноле d-4) величина химического сдвига Пример 12 Физико-химические свойства соединения 26 Молекулярная масса: 645. ESI (ЖХ/МС, способ положительных ионов) 646 (M+H+). 1H-ЯМР (в метаноле d-4) величина химического сдвига Пример 13 Физико-химические свойства соединения 27 Молекулярная масса: 652. ESI (ЖХ/МС, способ положительных ионов) 653 (M+H+). 1H-ЯМР (в метаноле d-4) величина химического сдвига Пример 14 Физико-химические свойства соединения 28 Молекулярная масса: 685. ESI (ЖХ/МС, способ положительных ионов) 686 (M+H+) 1H-ЯМР (в метаноле d-4) величина химического сдвига Пример 15 Физико-химические свойства соединения 29 Молекулярная масса: 669. ESI (ЖХ/МС, способ положительных ионов) 670 (M+H+). 1H-ЯМР (в метаноле d-4) величина химического сдвига Пример 16 Физико-химические свойства соединения 30 Молекулярная масса: 687. ESI (ЖХ/МС, способ положительных ионов) 688 (M+H+). 1H-ЯМР (в метаноле d-4) величина химического сдвига Пример 17 Физико-химические свойства соединения 31 Молекулярная масса: 657. ESI (ЖХ/МС, способ положительных ионов) 658 (M+H+). 1H-ЯМР (в метаноле d-4) величина химического сдвига Пример 18 Физико-химические свойства соединения 32 (смесь диастереомеров) Молекулярная масса: 643. ESI (ЖХ/МС, способ положительных ионов) 644 (M+H+). 1H-ЯМР (в метаноле d-4) величина химического сдвига Пример 19 Физико-химические свойства соединения 33 Молекулярная масса: 600. ESI (ЖХ/МС, способ положительных ионов) 601 (M+H+) 1H-ЯМР (в метаноле d-4) величина химического сдвига Пример 20 Физико-химические свойства соединения 34 Молекулярная масса: 609. ESI (ЖХ/МС, способ положительных ионов) 610 (M+H+) 1H-ЯМР (в метаноле d-4) величина химического сдвига Пример 21 Физико-химические свойства соединения 35 (смесь диастереомеров) Молекулярная масса: 620. ESI (ЖХ/МС, способ положительных ионов) 621 (M+H+) 1H-ЯМР (в метаноле d-4) величина химического сдвига Пример 22 Физико-химические свойства соединения 36 Молекулярная масса: 581. ESI (ЖХ/МС, способ положительных ионов) 582 (M+H+) 1H-ЯМР (в метаноле d-4) величина химического сдвига Пример 23 Физико-химические свойства соединения 37 Молекулярная масса: 631. ESI (ЖХ/МС, способ положительных ионов) 632 (M+H+) 1H-ЯМР (в метаноле d-4) величина химического сдвига Пример 24 Физико-химические свойства соединения 38 Молекулярная масса: 685. ESI (ЖХ/МС, способ положительных ионов) 686 (M+H+) 1H-ЯМР (в метаноле d-4) величина химического сдвига Пример 25 Физико-химические свойства соединения 39 Молекулярная масса: 701. ESI (ЖХ/МС, способ положительных ионов) 702 (M+H+) 1H-ЯМР (в метаноле d-4) величина химического сдвига Пример 26 Физико-химические свойства соединения 40 Молекулярная масса: 647. ESI (ЖХ/МС, способ положительных ионов) 648 (M+H+) 1H-ЯМР (в метаноле d-4) величина химического сдвига Пример 27 Физико-химические свойства соединения 41 Молекулярная масса: 633. ESI (ЖХ/МС, способ положительных ионов) 634 (M+H+) 1H-ЯМР (в метаноле d-4) величина химического сдвига Пример 28 Физико-химические свойства соединения 42 Молекулярная масса: 631. ESI (ЖХ/МС, способ положительных ионов) 632 (M+H+) 1H-ЯМР (в метаноле d-4) величина химического сдвига Пример 29 Физико-химические свойства соединения 43 Молекулярная масса: 605. ESI (ЖХ/МС, способ положительных ионов) 606 (M+H+) 1H-ЯМР (в метаноле d-4) величина химического сдвига Соединения 44-52 могут быть синтезированы из соединения 8 способом, аналогичным способу соединения 15. Пример 30 Физико-химические свойства соединения 44 Молекулярная масса: 661. FAB-МС (способ положительных ионов, матрица m-NBA) 662 (M+H+) 1H-ЯМР (в метаноле d-4) величина химического сдвига Пример 31 Физико-химические свойства соединения 45 Молекулярная масса: 661. FAB-МС (способ положительных ионов, матрица m-NBA) 662 (M+H+) 1H-ЯМР (в метаноле d-4) величина химического сдвига Пример 32 Физико-химические свойства соединения 46 Молекулярная масса: 605. FAB-МС (способ положительных ионов, матрица m-NBA) 606 (M+H+) 1H-ЯМР (в метаноле d-4) величина химического сдвига Пример 33 Физико-химические свойства соединения 47 Молекулярная масса: 667. FAB-МС (способ положительных ионов, матрица m-NBA) 668 (M+H+) 1H-ЯМР (в метаноле d-4) величина химического сдвига Пример 34 Физико-химические свойства соединения 48 Молекулярная масса: 659. FAB-MC (способ положительных ионов, матрица m-NBA) 660 (M+H+) 1H-ЯМР (в метаноле d-4) величина химического сдвига Пример 35 Физико-химические свойства соединения 49 Молекулярная масса: 675. ESI (ЖХ/МС, способ положительных ионов) 676 (М+Н+) 1H-ЯМР (в метаноле d-4) величина химического сдвига Пример 36 Физико-химические свойства соединения 50 Молекулярная масса: 661. ESI (ЖХ/МС, способ положительных ионов) 662 (М+Н+) 1H-ЯМР (в метаноле d-4) величина химического сдвига Пример 37 Физико-химические свойства соединения 51 Молекулярная масса: 647. FAB-MC (способ положительных ионов, матрица m-NBA) 648 (М+Н+) 1Н-ЯМР (в метаноле d-4) величина химического сдвига Пример 38 Физико-химические свойства соединения 52 Молекулярная масса: 673. ESI (ЖХ/МС, способ положительных ионов) 674 (М+Н+) 1Н-ЯМР (в метаноле d-4) величина химического сдвига Пример 39 Физико-химические свойства соединения 53 Молекулярная масса: 681. ESI (ЖХ/МС, способ положительных ионов) 682 (M+H+) 1H-ЯМР (в метаноле d-4) величина химического сдвига Указанное выше соединение 53 синтезируют с применением соединения 53-3 в стадии 1-13 общего способа получения 1 и соединение 53-3 синтезируют следующими стадиями. Синтез соединения 53-3 а) Синтез соединения 53-1 Ди-трет-бутилдикарбонат (24,4 мл, 106 ммоль) медленно, по каплям добавляют к суспензии трет-бутилового эфира L-тирозина (25 г, 105 ммоль), доступного на рынке, в метаноле (150 мл). Она постепенно растворяется с добавлением по каплям указанного эфира, и полученный таким образом раствор перемешивают в течение одного часа. После концентрирования реакционного раствора к полученному таким образом остатку добавляют раствор смеси гексана (90 мл) и этилацетата (10 мл) и порошкообразный осадок получают обработкой смеси ультразвуковыми волнами. Полученный таким образом порошок фильтруют воронкой Kiriyama, получая при этом 31,0 г (87,6%) соединения 53-1 в виде белого порошка. Физико-химические свойства соединения 53-1 ESI (ЖХ/МС, способ положительных ионов) 338 (M+H+) 1H-ЯМР (в дейтерохлороформе) величина химического сдвига b) Синтез соединения 53-2 К соединению 53-1 (169 мг, 0,5 ммоль), полученному указанной выше реакцией в растворителе дихлорметане (5,0 мл) диацетата меди (II) (114 мг, 0,625 ммоль), 4-метилфенилбороновой кислотой (175 мг, 1,25 ммоль) и молекулярных сит 4 Е (500 мг), добавляют по каплям пиридин (0,2 мл, 2,5 ммоль) по способу, описанному в литературе (Tetrahedron Lett., 1998, 39, 2937). Спустя 13 часов, реакционный раствор концентрируют, к полученному таким образом остатку добавляют этилацетат и нерастворимые вещества отфильтровывают на целите. Целит три раза промывают этилацетатом и фильтрат концентрируют при пониженном давлении. Полученный таким образом сырой продукт очищают колоночной хроматографией (силикагель, гексан-этилацетат, 5:1) с получением соединения 53-2 (210 мг, 98%) в виде бесцветного масла. Физико-химические свойства соединения 53-2 1H-ЯМР (в дейтерохлороформе) величина химического сдвига с) Синтез соединения 53-3 Соединение 53-2 (204 мг, 0,48 ммоль), полученное, как указано выше, растворяют в безводном этилацетате (2,5 мл) и к раствору медленно, по каплям при комнатной температуре добавляют 4 н. хлористоводородную кислоту в этилацетате (0,96 мл, 3,84 ммоль). После перемешивания смеси при комнатной температуре в течение 17 часов образованный белый осадок собирают фильтрованием на воронке Kiriyama и промывают этилацетатом. Полученный таким образом продукт сушат при пониженном давлении, получая при этом соединение 53-3 (127 мг, 73%) в виде белого порошка. Физико-химические свойства соединения 53-3 ESI (ЖХ/МС, способ положительных ионов) 328 (M+H+) 1H-ЯМР (в дейтерохлороформе) величина химического сдвига Пример 40 Физико-химические свойства соединения 54 Молекулярная масса: 697. ESI (ЖХ/МС, способ положительных ионов) 698 (M+H+) 1H-ЯМР (в метаноле d-4) величина химического сдвига Пример 41 Физико-химические свойства соединения 55 Молекулярная масса: 735. ESI (ЖХ/МС, способ положительных ионов) 736 (M+H+) 1H-ЯМР, (в метаноле d-4) величина химического сдвига Пример 42 Физико-химические свойства соединения 56 Молекулярная масса: 681. ESI (ЖХ/МС, способ положительных ионов) 682 (M+H+) 1H-ЯМР (в метаноле d-4) величина химического сдвига Пример 43 Физико-химические свойства соединения 57 Молекулярная масса: 735. ESI (ЖХ/МС, способ положительных ионов) 736 (M+H+) 1H-ЯМР (в метаноле d-4) величина химического сдвига Пример 44 Физико-химические свойства соединения 58 Молекулярная масса: 681. ESI (ЖХ/МС, способ положительных ионов) 682 (M+H+) 1H-ЯМР (в метаноле d-4) величина химического сдвига Пример 45 Физико-химические свойства соединения 59 Молекулярная масса: 665. ESI (ЖХ/МС, способ положительных ионов) 666 (M+H+) 1H-ЯМР (в метаноле d-4) величина химического сдвига Пример 46 Физико-химические свойства соединения 60 Молекулярная масса: 719. ESI (ЖХ/МС, способ положительных ионов) 720 (M+H+) 1H-ЯМР (в метаноле d-4) величина химического сдвига Пример 47 Физико-химические свойства соединения 61 Молекулярная масса: 665. ESI (ЖХ/МС, способ положительных ионов) 666 (M+H+). 1H-ЯМР (в метаноле d-4) величина химического сдвига Пример 48 Физико-химические свойства соединения 62 Молекулярная масса: 681. ESI (ЖХ/МС, способ положительных ионов) 682 (M+H+) 1H-ЯМР (в метаноле d-4) величина химического сдвига Указанное выше соединение 62 синтезируют с применением соединения 62-6 в стадии 1-13 общего способа получения 1. Соединение 62-6 синтезируют следующими стадиями, исходя из соединения 62-1. Синтез соединения 62-6 а) Синтез соединения 62-2 Триэтиламин (32,3 мл, 232 ммоль) и N-(бензилоксикарбонилокси)сукцинимид (57,8 г, 232 ммоль) добавляют к суспензии (2,5 л) трет-бутилового эфира L-тирозина (50,0 г, 211 ммоль) в безводном дихлорметане и смесь перемешивают при комнатной температуре в течение 20 часов. Реакционный раствор последовательно промывают насыщенным водным раствором хлорида аммония (1,5 л), насыщенным водным раствором бикарбоната натрия (1,5 л) и насыщенным раствором соли (2,0 л). После отделения органического слоя от водного и сушки безводным сульфатом натрия растворитель отгоняют при пониженном давлении, получая при этом соединение 62-2 (82,5 г) в виде бесцветного масла. Физико-химические свойства соединения 62-2 Молекулярная масса: 371. ESI (ЖХ/МС, способ положительных ионов) 372 (M+H+) 1H-ЯМР (в дейтерохлороформе) величина химического сдвига b) Синтез соединения 62-3 Безводный пиридин (88,5 мл, 1,09 моль) добавляют к раствору (400 мл) соединения 62-2 (81,3 г) в безводном дихлорметане и смесь охлаждают до 0-5°С. Затем к ней по каплям добавляют трифторметансульфоновый ангидрид (43,0 мл, 262 ммоль) и смесь перемешивают при такой же температуре в течение 2 часов. К реакционному раствору добавляют воду (800 мл) и дихлорметан (1 л) и органический слой последовательно промывают 0,5 н. водным раствором гидроксида натрия (650 мл), водой (800 мл), 1 н. хлористоводородной кислотой (2×1 л) и водой (1 л). Органический слой сушат безводным сульфатом натрия и концентрируют, получая при этом соединение 62-3 (105,9 г) в виде молочно-белого твердого вещества. Физико-химические свойства соединения 62-3 Молекулярная масса: 503. ESI (ЖХ/МС, способ положительных ионов) 504 (M+H+) 1H-ЯМР (в дейтерохлороформе) величина химического сдвига с) Синтез соединения 62-4 Соединение 62-3 (5,0 г), 3-метоксифенилбороновую кислоту (2,57 г, 16,9 ммоль) и карбонат калия (2,33 г, 16,9 мл) суспендируют в безводном толуоле (100 мл) и к суспензии добавляют в атмосфере азота тетракис(трифенилфосфин)палладий (276 мг, 0,239 ммоль). После перемешивания смеси при 90°С в течение 17 часов в потоке азота реакционную смесь фильтруют с применением целита и остаток промывают этилацетатом (150 мл). Фильтрат последовательно промывают 0,5 н. водным раствором гидроксида натрия (150 мл), водой (150 мл), 1 н. хлористоводородной кислотой (150 мл), водой (150 мл) и насыщенным раствором соли (150 мл). Органический слой сушат безводным сульфатом натрия и концентрируют, получая при этом соединение 62-4 (5,62 г) без дополнительной очистки в виде светло-коричневого масла. Физико-химические свойства соединения 62-4 Молекулярная масса: 461. ESI (ЖХ/МС, способ положительных ионов) 462 (M+H+) 1H-ЯМР (в дейтерохлороформе) величина химического сдвига d) Синтез соединения 62-5 Катализатор, 10% палладий-на-угле (700 мг) добавляют к раствору (100 мл) соединения 62-4 (5,52 г) в метаноле и смесь перемешивают при комнатной температуре в течение 2 дней в потоке водорода (баллон). Реакционную смесь фильтруют через целит и остаток промывают метанолом (30 мл). Масло, полученное концентрированием фильтрата, растворяют в этилацетате (100 мл) и последовательно экстрагируют 1 н. хлористоводородной кислотой (100 мл), водой (100 мл) и 0,1 н. хлористоводородной кислотой (100 мл). Водный слой и слой 0,1 н. хлористоводородной кислоты объединяют и рН регулируют до 8,0 насыщенным водным раствором гидрокарбоната натрия. Раствор экстрагируют этилацетатом (100 мл) и после промывания органического слоя водой (50 мл) его сушат безводным сульфатом натрия и концентрируют, получая при этом соединение 62-5 (2,43 г) в виде бесцветного масла. Физико-химические свойства соединения 62-5 Молекулярная масса: 327. ESI (ЖХ/МС, способ положительных ионов) 328 (M+H+) 1H-ЯМР (в дейтерохлороформе) величина химического сдвига е) Синтез соединения 62-6 Раствор (100 мл) соединения 62-5 (2,43 г) в этилацетате охлаждают до 0-5°С и к нему добавляют 4 н. хлористоводородную кислоту в этилацетате (2,80 мл, 11,2 ммоль) с последующим перемешиванием смеси при такой же температуре в течение 1 часа. Осажденный порошок собирают фильтрованием фильтром Millipore (FR-20) и после промывания его этилацетатом (20 мл) сушат при пониженном давлении с применением вакуумного насоса, получая при этом соединение 62-6 (2,6 г) в виде бесцветного порошка. Физико-химические свойства соединения 62-6 Молекулярная масса: 327. ESI (ЖХ/МС, способ положительных ионов) 328 (M+H+) 1H-ЯМР (в метаноле d-4) величина химического сдвига Пример 49 Физико-химические свойства соединения 63 Молекулярная масса: 719. ESI (ЖХ/МС, способ положительных ионов) 720 (M+H+) 1H-ЯМР (в метаноле d-4) величина химического сдвига Пример 50 Физико-химические свойства соединения 64 Молекулярная масса: 685. ESI (ЖХ/МС, способ положительных ионов) 686 (M+H+) 1H-ЯМР (в метаноле d-4) величина химического сдвига Пример 51 Физико-химические свойства соединения 65 Молекулярная масса: 669. ESI (ЖХ/МС, способ положительных ионов) 670 (M+H+) 1H-ЯМР (в метаноле d-4) величина химического сдвига Пример 52 Физико-химические свойства соединения 66 Молекулярная масса: 669. ESI (ЖХ/МС, способ положительных ионов) 670 (M+H+) 1H-ЯМР (в метаноле d-4) величина химического сдвига Пример 53 Физико-химические свойства соединения 67 Молекулярная масса: 710. ESI (ЖХ/МС, способ положительных ионов) 711 (M+H+) 1H-ЯМР (в метаноле d-4) величина химического сдвига Пример 54 Физико-химические свойства соединения 68 Молекулярная масса: 694. ESI (ЖХ/МС, способ положительных ионов) 695 (M+H+) 1H-ЯМР (в метаноле d-4) величина химического сдвига Пример 55 Физико-химические свойства соединения 69 Молекулярная масса: 666. ESI (ЖХ/МС, способ положительных ионов) 667 (M+H+) 1H-ЯМР (в метаноле d-4) величина химического сдвига Пример 56 Физико-химические свойства соединения 70 Молекулярная масса: 692. ESI (ЖХ/МС, способ положительных ионов) 693 (M+H+) 1H-ЯМР (в метаноле d-4) величина химического сдвига Пример 57 Физико-химические свойства соединения 71 Молекулярная масса: 676. ESI (ЖХ/МС, способ положительных ионов) 677 (M+H+) 1H-ЯМР (в метаноле d-4) величина химического сдвига Пример 58 Физико-химические свойства соединения 72 Молекулярная масса: 660. ESI (ЖХ/МС, способ положительных ионов) 661 (M+H+) 1H-ЯМР (в метаноле d-4) величина химического сдвига Пример 59 Физико-химические свойства соединения 73 Молекулярная масса: 682. ESI (ЖХ/МС, способ положительных ионов) 683 (M+H+) 1H-ЯМР (в метаноле d-4) величина химического сдвига Пример 60 Физико-химические свойства соединения 74 Молекулярная масса: 758. ESI (ЖХ/МС, способ положительных ионов) 759 (M+H+) 1H-ЯМР (в метаноле d-4) величина химического сдвига Пример 61 Физико-химические свойства соединения 75 Молекулярная масса: 680. ESI (ЖХ/МС, способ положительных ионов) 681 (M+H+) 1H-ЯМР (в метаноле d-4) величина химического сдвига Пример 62 Физико-химические свойства соединения 76 Молекулярная масса: 653. ESI (ЖХ/МС, способ положительных ионов) 654 (M+H+) 1H-ЯМР (в метаноле d-4) величина химического сдвига Пример 63 Физико-химические свойства соединения 77 Молекулярная масса: 697. ESI (ЖХ/МС, способ положительных ионов) 698 (M+H+) 1H-ЯМР (в метаноле d-4) величина химического сдвига Пример 64 Физико-химические свойства соединения 78 Молекулярная масса: 682. ESI (ЖХ/МС, способ положительных ионов) 683 (M+H+) 1H-ЯМР (в метаноле d-4) величина химического сдвига Пример 65 Физико-химические свойства соединения 79 Молекулярная масса: 670. ESI (ЖХ/МС, способ положительных ионов) 671 (M+H+) 1H-ЯМР (в метаноле d-4) величина химического сдвига Пример 66 Физико-химические свойства соединения 80 Молекулярная масса: 729. ESI (ЖХ/МС, способ положительных ионов) 730 (M+H+) 1H-ЯМР (в метаноле d-4) величина химического сдвига Пример 67 Физико-химические свойства соединения 81 Молекулярная масса: 683. ESI (ЖХ/МС, способ положительных ионов) 684 (M+H+) 1H-ЯМР (в метаноле d-4) величина химического сдвига Пример 68 Физико-химические свойства соединения 82 Молекулярная масса: 648. ESI (ЖХ/МС, способ положительных ионов) 649 (M+H+) 1H-ЯМР (в метаноле d-4) величина химического сдвига Пример 69 Физико-химические свойства соединения 83 Молекулярная масса: 688. ESI (ЖХ/МС, способ положительных ионов) 689 (M+H+) 1H-ЯМР (в метаноле d-4) величина химического сдвига Пример 70 Физико-химические свойства соединения 84 Молекулярная масса: 676. ESI (ЖХ/МС, способ положительных ионов) 677 (M+H+) 1H-ЯМР (в метаноле d-4) величина химического сдвига Пример 71 Физико-химические свойства соединения 85 Молекулярная масса: 682. ESI (ЖХ/МС, способ положительных ионов) 683 (M+H+) 1H-ЯМР (в метаноле d-4) величина химического сдвига Пример 72 Физико-химические свойства соединения 86 Молекулярная масса: 704. ESI (ЖХ/МС, способ положительных ионов) 705 (M+H+) 1H-ЯМР (в метаноле d-4) величина химического сдвига Пример 73 Физико-химические свойства соединения 87 Молекулярная масса: 703. ESI (ЖХ/МС, способ положительных ионов) 704 (M+H+) 1H-ЯМР (в метаноле d-4) величина химического сдвига Пример 74 Физико-химические свойства соединения 88 Молекулярная масса: 739. ESI (ЖХ/МС, способ положительных ионов) 740 (M+H+) 1H-ЯМР (в метаноле d-4) величина химического сдвига Пример 75 Физико-химические свойства соединения 89 Молекулярная масса: 731. ESI (ЖХ/МС, способ положительных ионов) 732 (M+H+) 1H-ЯМР (в метаноле d-4) величина химического сдвига Пример 76 Физико-химические свойства соединения 90 Молекулярная масса: 616. ESI (ЖХ/МС, способ положительных ионов) 617 (M+H+) 1H-ЯМР (в метаноле d-4) величина химического сдвига Пример 77 Физико-химические свойства соединения 91 Молекулярная масса: 826. ESI (ЖХ/МС, способ положительных ионов) 827 (M+H+) 1H-ЯМР (в метаноле d-4) величина химического сдвига Пример 78 Физико-химические свойства соединения 92 Молекулярная масса: 668. ESI (ЖХ/МС, способ положительных ионов) 669 (M+H+) 1H-ЯМР (в метаноле d-4) величина химического сдвига Пример 79 Физико-химические свойства соединения 93 Молекулярная масса: 632. ESI (ЖХ/МС, способ положительных ионов) 633 (M+H+) 1H-ЯМР (в метаноле d-4) величина химического сдвига Пример 80 Физико-химические свойства соединения 94 Молекулярная масса: 604. ESI (ЖХ/МС, способ положительных ионов) 605 (M+H+) 1H-ЯМР (в метаноле d-4) величина химического сдвига Пример 81 Физико-химические свойства соединения 95 Молекулярная масса: 632. ESI (ЖХ/МС, способ положительных ионов) 633 (M+H+) 1H-ЯМР (в метаноле d-4) величина химического сдвига Пример 82 Физико-химические свойства соединения 96 Молекулярная масса: 714. ESI (ЖХ/МС, способ положительных ионов) 715 (M+H+) 1H-ЯМР (в метаноле d-4) величина химического сдвига Пример 83 Физико-химические свойства соединения 97 Молекулярная масса: 576. ESI (ЖХ/МС, способ положительных ионов) 577 (M+H+) 1H-ЯМР (в метаноле d-4) величина химического сдвига Пример 84 Физико-химические свойства соединения 98 Молекулярная масса: 665. ЖХ/МС (ESI, способ положительных ионов) 666 (M+H+) 1H-ЯМР (в метаноле d-4) величина химического сдвига Пример 85 Физико-химические свойства соединения 99 Молекулярная масса: 677. ЖХ/МС (ESI, способ положительных ионов) 678 (M+H+) 1H-ЯМР (в метаноле d-4) величина химического сдвига Пример 86 Физико-химические свойства соединения 100 Молекулярная масса: 651. ESI (ЖХ/МС, способ положительных ионов) 652 (M+H+) 1H-ЯМР (в метаноле d-4) величина химического сдвига Пример 87 Физико-химические свойства соединения 101 Молекулярная масса: 667. ESI (ЖХ/МС, способ положительных ионов) 668 (M+H+) 1H-ЯМР (в метаноле d-4) величина химического сдвига Пример 88 Физико-химические свойства соединения 102 Молекулярная масса: 637. ESI (ЖХ/МС, способ положительных ионов) 638 (M+H+) 1H-ЯМР (в метаноле d-4) величина химического сдвига Пример 89 Физико-химические свойства соединения 103 Молекулярная масса: 653. ESI (ЖХ/МС, способ положительных ионов) 654 (M+H+) 1H-ЯМР (в метаноле d-4) величина химического сдвига Пример 90 Физико-химические свойства соединения 104 Молекулярная масса: 671. ESI (ЖХ/МС, способ положительных ионов) 672 (M+H+) 1H-ЯМР (в метаноле d-4) величина химического сдвига Пример 91 Физико-химические свойства соединения 105 Молекулярная масса: 629. ESI (ЖХ/МС, способ положительных ионов) 630 (M+H+) 1H-ЯМР (в метаноле d-4) величина химического сдвига Пример 92 Физико-химические свойства соединения 106 Молекулярная масса: 657. ESI (ЖХ/МС, способ положительных ионов) 658 (M+H+) 1H-ЯМР (в метаноле d-4) величина химического сдвига Пример 93 Физико-химические свойства соединения 107 Молекулярная масса: 657. ESI (ЖХ/МС, способ положительных ионов) 658 (M+H+) 1H-ЯМР (в метаноле d-4) величина химического сдвига Пример 94 Физико-химические свойства соединения 108 Молекулярная масса: 714. ESI (ЖХ/МС, способ положительных ионов) 715 (M+H+) 1H-ЯМР (в метаноле d-4) величина химического сдвига Пример 95 Физико-химические свойства соединения 109 Молекулярная масса: 657. ESI (ЖХ/МС, способ положительных ионов) 658 (M+H+) 1H-ЯМР (в метаноле d-4) величина химического сдвига Пример 96 Физико-химические свойства соединения 110 Молекулярная масса: 727. ESI (ЖХ/МС, способ положительных ионов) 728 (M+H+) 1H-ЯМР (в метаноле d-4) величина химического сдвига Пример 97 Физико-химические свойства соединения 111 Молекулярная масса: 709. ESI (ЖХ/МС, способ положительных ионов) 710 (M+H+) 1H-ЯМР (в метаноле d-4) величина химического сдвига Пример получения 1 В примере получения 1 описывается синтетический способ для получения соединения, применяемого в стадии 1-7 при получении соединения формулы (I). Стадия 2-1 8-Нониновую кислоту (50 г, 0,32 моль) добавляют по каплям к раствору гидрохлорида N,O-диметилгидроксиламина(63,3 г, 0,65 моль), водорастворимого гидрохлорида карбодиимида (WSC HCl) (124 г, 0,65 моль), 1-гидроксибензотриазола (HOBt) (99,3 г, 0,65 моль) и N,N-диизопропилэтиламина (DIPEA) (220 мл, 1,3 моль) в дихлорметане (500 мг) при 0°С и смесь перемешивают при комнатной температуре в течение 15 часов. Реакционный раствор промывают насыщенным водным раствором хлорида аммония (400 мл), насыщенным водным раствором гидрокарбоната аммония (400 мл) и насыщенным раствором соли (300 мл). После отделения органического слоя от воды его сушат безводным сульфатом натрия, растворитель отгоняют при пониженном давлении. Полученный таким образом остаток очищают колоночной хроматографией (Wako-гель С-300, 500 г, Wako Pure Chemical). Соединение 112 (60 г, 94%) получают из части, элюированной смесью гексан/этилацетат (20:1), в виде бесцветного масла. Физико-химические свойства соединения 112 Молекулярная масса: 197. ESI (ЖХ/МС, способ положительных ионов) 198 (M+H+) 1H-ЯМР (в дейтерохлороформе) величина химического сдвига Стадия 2-2 1 М раствор н-гептилмагнийбромида в диэтиловом эфире (100 мл, 0,1 моль) добавляют по каплям к раствору указанного выше соединения 112 (7 г, 0,035 моль) в тетрагидрофуране (100 мл) при -10°С и смесь перемешивают при такой же температуре в течение 2 часов и 30 минут. К реакционному раствору добавляют насыщенный водный раствор хлорида аммония (30 мл) и к нему дополнительно добавляют воду (100 мл) с последующим перемешиванием смеси при комнатной температуре в течение 10 минут. Смесь разбавляют водой (300 мл) и экстрагируют дважды этилацетатом (400 мл). Органические слои объединяют, промывают насыщенным раствором соли и отделяют от воды и сушат безводным сульфатом натрия с последующей отгонкой растворителя при пониженном давлении. Остаток очищают колоночной хроматографией (Wako-гель С-300, 250 г, Wako Pure Chemical). Соединение 113 (7,8 г, 93%) получают из части, элюированной смесью гексан/этилацетат (100:1), в виде бесцветного масла. Физико-химические свойства соединения 113 Молекулярная масса: 236. EI-MC 236 (M+) 1H-ЯМР (в дейтерохлороформе) величина химического сдвига Стадия 2-3 Указанное выше соединение 113 (7,8 г, 0,033 моль), этиленгликоль (18 мл, 0,33 моль) и моногидрат толуолсульфоновой кислоты (125 мг, 0,66 ммоль) добавляют к бензолу (150 мл) и к колбе присоединяют парциальный конденсатор горячего орошения, снабженный отделителем воды Дина-Старка, с последующим нагреванием смеси при кипячении с обратным холодильником в течение 20 часов. После предоставления реакционному раствору возможности охлаждения реакционный раствор промывают насыщенным водным раствором гидрокарбоната натрия (30 мл), водой (50 мл) и затем насыщенным раствором соли (50 мл). Органический слой отделяют от воды и сушат безводным сульфатом натрия и растворитель отгоняют при пониженном давлении. Полученный таким образом остаток очищают Mega Bond Elut SI (10 г, Barian Inc.). Соединение 114 (8,9 г, 97%) получают из части, элюированной смесью гексан/этилацетат (20:1), в виде бесцветного масла. Физико-химические свойства соединения 114 Молекулярная масса: 280. EI-MC 280 (M+) 1H-ЯМР (в дейтерохлороформе) величина химического сдвига Пример испытания 1 Анализ репликона Получают конструкцию, в которой ген люциферазы, полученный из светляка, вводят в качестве репортерного гена в HCV-РНК для анализа числа копий HCV-РНК. Ген люциферазы вводят в форме гибрида с геном резистентности к неомицину, непосредственно ниже IRES (сайта внутренней последовательности вхождения рибосомы) гена HCV, в соответствии со способом Krieger, et al. (J. Virol. 75:4614). После синтеза этой РНК in vitro ее вводят в клетку Huh7 электропорацией и выделяют в виде G418-резистентного клона. Клетки (3-1), которые содержат репликон HCV с геном люциферазы светляка, суспендируют в МЕМ Дульбекко (Gibco cat. № 10569-010), содержащей 5% фетальную бычью сыворотку (Hyclone cat. № SH30071.03), инокулируют в лунки 96-луночного планшета при норме 5000 клеток/лунку и затем культивируют на протяжении ночи при 37°С и 5% СО2. Спустя приблизительно 20 часов, добавляют разведенное испытуемое соединение при норме 10 мкл на лунку с последующим культивированием в течение еще 3 дней. Приготовляют две серии аналитических планшетов и анализ проводят, применяя матовый планшет для одной серии и прозрачный планшет для другой серии. После завершения культивирования матовый планшет применяют для системы анализа люциферазы Steady-Glo (Promega cat. № Е2520). А именно, после добавления 100 мкл реагента на лунку, смешивания пипеткой 3-4 раза и затем выдерживания в течение 5 минут люминесценцию измеряют 1450 MicroBeta TRILUX (Wallac). Величины, полученные в отсутствие добавленных клеток, применяют в качестве фоновых величин и вычитают из всех величин для вычисления IC50 (концентрация 50% ингибирования) лекарственного средства на основе величины 0% ингибирования для величины в отсутствие добавленного испытуемого соединения. Пример испытания 2 Испытание цитотоксичности Набор для подсчета клеток 8 (Dojindo cat. № CK04) применяют для определения цитотоксичности. А именно, 10 мкл набора для подсчета клеток 8 добавляют к прозрачному планшету и инкубируют в течение 30-60 минут при 37°С. Поглощение при длине волны 450 нм и контрольной длине волны 630 нм измеряют 96-луночным планшет-ридером. Величины в отсутствие клеточной адгезии применяют в качестве фоновых величин и вычитают из всех величин для вычисления СС50 (концентрация ингибирования 50% клеток) лекарственного средства на основе величины ингибирования 0% для величины в отсутствие добавленного лекарственного средства. Результаты примеров испытания 1 и 2 показаны ниже. Биологическая активность Промышленная применимость Соединения настоящего изобретения обладают очень сильной активностью против HCV и ингибирующим действием на рост HCV, и, поскольку они также демонстрируют только слабую цитотоксичность in vitro, фармацевтическая композиция, содержащая соединение настоящего изобретения, является весьма применимой в качестве профилактического/терапевтического агента против HCV.
Формула изобретения
1. Соединение, выбранное из группы, включающей следующие соединения: или его фармацевтически приемлемая соль. 2. Средство против HCV, включающее в качестве активного компонента соединение по п.1 или его фармацевтически приемлемую соль.
|
||||||||||||||||||||||||||

-D-рибофуранозил-1Н-1,2,4-триазол-3-карбоксиамид) был коммерчески доступен в качестве терапевтического лекарственного средства для гепатита С посредством сопутствующего применения с интерфероном, его эффективность остается низкой, и продолжается поиск новых лекарственных агентов для лечения гепатита С. Кроме того, хотя были предприняты попытки для ликвидации вируса повышением иммунитета пациента посредством применения агонистов интерферона, агонистов интерлейкина-12 и так далее, обнаружено, что ни один из них не был эффективным.

-аминокислоты, представленным следующей формулой:


































: 1,04 (9Н, с), 1,44 (1Н, т, J = 5 Гц), 2,73 (2Н, т, J = 6 Гц), 3,80 (2Н, т, J = 6 Гц), 4,18 (2Н, т, J = 5 Гц), 5,91 (1Н, т, J = 5 Гц), 7,35-7,46 (6Н, м), 7,65-7,69 (4Н, м).


















1:1), смесью н-гексан/этилацетат (10:1).







































































































































































































