Патент на изобретение №2346703
|
||||||||||||||||||||||||||||||||||||||||||||||||||||||||||||||||||||||||||||||||||||||||||||||||||||||||||||||||||||||||||||||||||||||||||||||||||||||||||||||||||||||||||||||||||||||||||||||||||||||||||||||||||||||||||||||||||||||||||||||||||||||||||||||||||||||||||||||||||||||||||||||||||||||||||||||||||||||||||||||||||||||||||||||||||||||||||||||||||||||||||||||||||||||||||||||||||||||||||||||||||||||||||||||||||||||||||||||||||||||||||||||||||||||||||||||||||||||||||||||||||||||||||
(54) СИНЕРГЕТИЧЕСКИЕ КОМБИНАЦИИ, КОТОРЫЕ СОДЕРЖАТ ИНГИБИТОР РЕНИНА, ПРЕДНАЗНАЧЕННЫЕ ДЛЯ ЛЕЧЕНИЯ СЕРДЕЧНО-СОСУДИСТЫХ ЗАБОЛЕВАНИЙ
(57) Реферат:
Изобретение относится к лекарственным средствам и касается фармацевтической комбинации, обладающей антигипертензивным действием, содержащей в эффективном количестве ингибитор ренина формулы (I) или его фармацевтически приемлемую соль и по меньшей мере один терапевтический агент, выбранный из группы, включающей (II) ингибитор HMG-CoA-редуктазы или его фармацевтически приемлемую соль, (IV) блокатор кальциевых каналов или его фармацевтически приемлемую соль, (V) ингибитор альдостеронсинтазы или его фармацевтически приемлемую соль и (IX) диуретик или его фармацевтически приемлемую соль, и носитель. Также раскрыт способ предупреждения, замедления развития, лечения болезни или состояния и применение комбинации для приготовления лекарственного средства. Комбинации по изобретению проявляют синергетическое терапевтическое действие. 5 н. и 5 з.п. ф-лы.
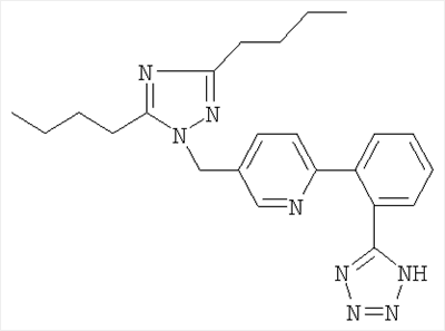
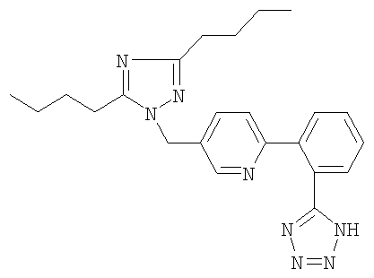
Изобретение относится к комбинации, такой как комбинированное лекарственное средство или фармацевтическая комбинация соответственно, содержащей ингибитор ренина формулы (I) или его фармацевтически приемлемую соль. Изобретение относится прежде всего к композиции, такой как комбинированное лекарственное средство или фармацевтическая комбинация соответственно, содержащей ингибитор ренина формулы (I) или его фармацевтически приемлемую соль и по меньшей мере один терапевтический агент, выбранный из группы, включающей (II) ингибитор HMG-CoA ( (IV) блокатор кальциевых каналов или его фармацевтически приемлемую соль, (V) ингибитор альдостеронсинтазы или его фармацевтически приемлемую соль, (VI) антагонист альдостерона или его фармацевтически приемлемую соль, (VII) двойной ингибитор ангиотензинпревращающего фермента/нейтральной эндопептидазы (ACE/NEP) или его фармацевтически приемлемую соль, (VIII) антагонист эндотелина или его фармацевтически приемлемую соль и (IX) диуретик или его фармацевтически приемлемую соль. Понятие «по меньшей мере один терапевтический агент» означает, что в дополнение к соединению формулы (I) комбинация может содержать один или несколько, например, два или три действующих вещества, указанных в настоящем изобретении. Ингибитор ренина ингибирует действие встречающегося в естественных условиях фермента ренина. Указанный фермент выделяется из почек в кровоток, где под его действием происходит расщепление ангиотензиногена с высвобождением декапептида ангиотензина I, который затем расщепляется в легких, почках и других органах с образованием октапептида ангиотензиногена II. Октапептид вызывает повышение кровяного давления как непосредственно в результате артериальной вазоконстрикции, так и косвенным образом в результате высвобождения из надпочечников удерживающего ионы натрия гормона альдостерона, что сопровождается увеличением внеклеточного объема жидкости. Такое увеличение может быть обусловлено действием ангиотензина II. Ингибиторы ферментативной активности ренина вызывают уменьшение образования ангиотензина I. В результате этого продуцируется меньшее количество ангиотензина II. Пониженная концентрация этого активного пептидного гормона является непосредственной причиной, например, гипотензивного действия ингибиторов ренина. В ЕР 678503А описан конкретный ингибитор ренина формулы (I), имеющий химическую формулу 2(S),4(S),5(S),7(S)-N-(3-амино-2,2-диметил-3-оксопропил)-2,7-ди(1-метилэтил)-4-гидрокси-5-амино-8-[4-метокси-3-(3-метоксипропокси)фенил]октанамид. Наиболее предпочтительной является его соль в виде полуфумарата. Антагонисты AT1-рецептора (также называемые антагонистами рецептора ангиотензина II) представляют собой действующие вещества, которые связываются с подтипом AT1-рецептора ангиотензина II, но не приводят к активации рецептора. Благодаря ингибированию ат1-рецептора эти антагонисты можно применять, например, в качестве гипотензивных средств или для лечения застойной сердечной недостаточности. Класс антагонистов (AT1)-рецептора включает соединения, имеющие различные структурные особенности, при этом наиболее предпочтительны соединения, которые не являются пептидами. В качестве примера следует отметить соединения из группы, включающей валсартан (см. ЕР 443983), лосартан (см. ЕР 253310), кандесартан (см. ЕР 459136), эпросартан (см. ЕР 403159), ирбесартан (см. ЕР 454511), олмесартан (см. ЕР 503785), тазосартан (см. ЕР 539086), телмисартан (см. ЕР 522314), соединение, обозначенное как Е-1477, которое имеет следующую формулу
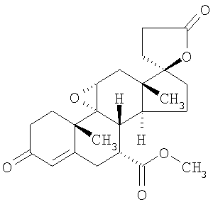
соединение, обозначенное как SC-52458, которое имеет следующую формулу и соединение, обозначенное как ZD-8731, которое имеет следующую формулу или в каждом случае их фармацевтически приемлемые соли. Предпочтительными антагонистами AT1-рецептора являются агенты, которые имеются в продаже, наиболее предпочтительным является валсартан или его фармацевтически приемлемая соль. Ингибиторы HMG-CoA-редуктазы (которые называют также ингибиторами Класс ингибиторов HMG-CoA-редуктазы включает соединения, имеющие различные структурные особенности. Следует отметить, например, соединения из группы, включающей аторвастатин, церивастатин, компактин, далвастатин, дигидрокомпактин, флуиндостатин, флувастатин, ловастатин, питавастатин, мевастатин, правастатин, ривастатин, симвастатин и велостатин или в каждом случае их фармацевтически приемлемые соли. Предпочтительными ингибиторами HMG-CoA-редуктазы являются агенты, которые имеются в продаже, наиболее предпочтительными являются флувастатин и питавастатин, а также аторвастатин или в каждом случае их фармацевтически приемлемые соли. Применение так называемых ингибиторов АСЕ (ингибиторы ангиотензинпревращающего фермента) для прекращения ферментативного расщепления ангиотензина I, в результате которого происходит образование ангиотензина II, представляет собой перспективный подход к проблеме регулирования кровяного давления и позволяет также разработать пригодный для практического применения терапевтический метод лечения застойной сердечной недостаточности. Класс ингибиторов АСЕ включает соединения, имеющие различные структурные особенности. Следует отметить, например, соединения из группы, включающей алацеприл, беназеприл, беназеприлат, каптоприл, церонаприл, цилазаприл, делаприл, эналаприл, эналаприлат, фосиноприл, имидаприл, лизиноприл, мовелтоприл, периндоприл, хинаприл, рамиприл, спираприл, темокаприл и трандолаприл, или в каждом случае их фармацевтически приемлемые соли. Предпочтительными ингибиторами АСЕ являются агенты, которые имеются в продаже, наиболее предпочтительными являются беназеприл и эналаприл. Класс блокаторов кальциевых каналов (БКК) в основном состоит из дигидропиридинов (ДГП) и соединений, не относящихся к ДГП, таких как БКК типа дилтиазема и типа верапамила. В качестве БКК, которые можно применять в комбинации, предпочтительно выбирают ДГП из ряда, включающего амлодипин, фелодипин, риосидин, исрадипин, лацидипин, никардипин, нифедипин, нигулдипин, нилудипин, нимодипин, нисолдипин, нитрендипин и нивалдипин, а представителей соединений, не относящихся к ДГП, предпочтительно выбирают из ряда, включающего флунаризин, прениламин, дилтиазем, фендилин, галлопамил, мибефрадил, анипамил, тиапамил и верапамил и в каждом случае их фармацевтически приемлемые соли. Все такие БКК можно применять в терапевтических целях, например, в качестве гипотензивных лекарственных средств, средств от стенокардии или антиаритмических лекарственных средств. Предпочтительными БКК являются амлопидин, дилтиазем, исрадипин, никардипин, нифедипин, нимодипин, низолдипин, нитрендипин и верапамил или в зависимости от конкретного БКК их фармацевтически приемлемые соли. Наиболее предпочтительным ДГП является амлодипин или его фармацевтически приемлемая соль, прежде всего бесилат. Наиболее предпочтительным представителем соединений, не относящихся к ДГП, является верапамил или его фармацевтически приемлемая соль. Ингибитор альдостеронсинтазы представляет собой фермент, который превращает кортикостерон в альдостерон путем гидроксилирования кортикостерона с образованием 18-ОН-кортикостерона, а затем превращения 18-ОН-кортикостерона в альдостерон. Класс ингибиторов альдостеронсинтазы, которые, как известно, применяют для лечения гипертензии и первичного альдостеронизма, включает как стероидные, так и нестероидные ингибиторы альдостеронсинтазы, причем последние являются наиболее предпочтительными. Предпочтительно применяют поступающие в продажу ингибиторы альдостеронсинтазы или такие ингибиторы альдостеронсинтазы, применение которых разрешено органами здравоохранения. Класс ингибиторов альдостеронсинтазы включает соединения, обладающие различными структурными особенностями. Следует отметить, например, соединения, выбранные из ряда, включающего нестероидные ингибиторы ароматазы анастрозол, фадрозол (в том числе его (+)-энантиомер), а также стероидный ингибитор ароматазы эксеместан, или в каждом случае, если это возможно, их фармацевтически приемлемые соли. Наиболее предпочтительным нестероидным ингибитором альдостеронсинтазы является (+)-энантиомер гидрохлорида фадрозола (патенты US 4617307 и 4889861) формулы
Предпочтительным стероидным антагонистом альдостерона является эплеренон (см. ЕР 122232 А) формулы
спиронолактон. Для лечения сердечно-сосудистых патологий можно применять также соединения, оказывающие ингибирующие действия как на ангиотензинпревращающий фермент, так и на нейтральную эндопептидазу, так называемые двойные ACE/NEP-ингибиторы. Предпочтительным двойным ACE/NEP-ингибитором ангиотензинпревращающего фермента и нейтральной эндопептидазы (ACE/NEP) является, например, омапатрилат (см. ЕР 629627), фасидотрил или фасидотрилат или Z 13752A (см. WO 97/24342) или, если это возможно, их фармацевтически приемлемые соли. Эндотелин (ЭТ) представляет собой обладающий сильным сосудосуживающим действием пептид, который синтезируется и высвобождается из сосудистого эндотелия. Существует три изоформы эндотелина (ЭТ-1, ЭТ-2 и ЭТ-3). (Следует иметь ввиду, что ЭТ может обозначать любую из этих изоформ или все изоформы ЭТ). Было установлено, что повышенные уровни ЭТ присутствуют в плазме пациентов, страдающих, например, первичной артериальной гипертензией. Для ингибирования сосудосуживающих воздействий, индуцируемых ЭТ можно применять антагонисты рецептора эндотелина. В качестве предпочтительного антагониста эндотелина можно применять, например, босентан (см. ЕР 526708 А), энрасентан (см. WO 94/25013), атрасентан (см. WO 96/06095), прежде всего гидрохлорид атрасентана, дарусентан (см. ЕР 785926 A), BMS 193884 (см. ЕР 702012 А), ситаксентан (см. US 5594021), прежде всего ситаксентан натрия, YM 598 (см. ЕР 882719 A), S 0139 (см. WO 97/27314), J 104132 (см. ЕР 714897 А или WO 97/37665), кроме того тезосентан (см. WO 96/19459) или в каждом случае их фармацевтически приемлемые соли. В качестве диуретика можно применять, например, тиазидное производное, выбранное из группы, включающей хлортиазид, гидрохлортиазид, метилхлортиазид и хлорталидон. Наиболее предпочтительным является гидрохлортиазид. Предпочтительными являются композиции, такие как комбинированные лекарственные средства или фармацевтические комбинации соответственно, содержащие ингибитор ренина формулы (I) или его фармацевтически приемлемую соль и в качестве второго действующего вещества действующее вещество, выбранное из ряда, включающего валсартан, флувастатин, аторвастатин, питавастатин, бензеприл, эналаприл, амлодипин, прежде всего его бесилат, (+)-энантиомер фадрозола, эплеренон, омапатрилат, Z 13752A, ситаксентан, прежде всего ситаксентан натрия, дарусентан и гидрохлортиазид. Кроме того, предпочтительными являются композиции, такие как комбинированные лекарственные средства или фармацевтические комбинации соответственно, содержащие ингибитор ренина формулы (I) или его фармацевтически приемлемую соль и одно действующее вещество, выбранное из ряда, включающего валсартан, флувастатин, аторвастатин, питавастатин, бензеприл, эналаприл, амлодипин, прежде всего его бесилат, (+)-энантиомер фадрозола, эплеренон, омапатрилат, Z 13752A, ситаксентан, прежде всего ситаксентан натрия и дарусентан, и кроме того, включающие в качестве третьего действующего вещества гидрохлортиазид. Структуры действующих веществ, указанных выше или ниже в настоящем описании под их родовыми названиями или товарными знаками, можно найти в последнем издании справочника “The Merck Index” или в базах данных, например, в Patents International (например, IMS World Publications). Соответствующие разделы указанных публикаций включены в настоящее описание в качестве ссылки. Специалист в данной области способен идентифицировать действующие вещества и на основе указанных ссылок также изготовить и тестировать фармацевтические характеристики и свойства на стандартных моделях для тестирования как в опытах in vitro, так и в опытах in vivo. Соответствующие действующие вещества или их фармацевтически приемлемые соли можно применять также в форме сольвата, такого как гидрат, или сольвата, включающего другие растворители, применяемые для кристаллизации. Соединения, предназначенные для включения в комбинацию, могут присутствовать в виде фармацевтически приемлемых солей. Если эти соединения имеют, например, по меньшей мере один основный центр, они могут образовывать кислотно-аддитивные соли. Если присутствует дополнительный основный центр, то при необходимости можно получать также соответствующие кислотно-аддитивные соли. Соединения, имеющие кислотную группу (например, СООН), могут образовывать также соли присоединения оснований. Наиболее неожиданным является обнаруженный экспериментальным путем факт того, что совместное введение ингибитора ренина формулы (I) или его соли и терапевтического агента, выбранного из ряда, включающего соединения, указанные в (I)-(IX), приводит не только к благоприятному, прежде всего к синергетическому терапевтическому действию, но также и к дополнительным благоприятным действиям, обусловленным совместным лечением, и другим неожиданным благоприятным действиям по сравнению с монотерапией, при которой используют только одно из фармацевтических действующих веществ, применяемых в комбинациях, указанных в настоящем описании. В частности, наиболее неожиданным является обнаруженный экспериментальным путем факт того, что комбинация по настоящему изобретению позволяет получать благоприятное, прежде всего синергетическое терапевтическое действие, а также такие преимущества, обусловленные совместным лечением, как неожиданное увеличение продолжительности эффективного действия, более широкий спектр терапевтического действия и неожиданные благоприятные действия в отношении заболеваний и состояний, указанных ниже в настоящем описании. С использованием стандартных моделей для тестирования и прежде всего моделей для тестирования, приведенных в настоящем описании, можно установить, что применение комбинации, содержащей ингибитор ренина формулы (I) и терапевтического агента, выбранного из ряда, включающего агенты, перечисленные в (I)-(IX), приводит к более эффективному предупреждению или предпочтительно лечению перечисленных ниже заболеваний. В частности, с использованием стандартных моделей для тестирования и прежде всего моделей для тестирования, приведенных в настоящем описании, можно установить, что применение комбинации по настоящему изобретению приводит к более эффективному предупреждению или предпочтительно лечению перечисленных ниже заболеваний. При одновременном введении лекарственных средств с использованием многочисленных композиций, представленных в настоящем описании, достигается не только благоприятное, прежде всего синергетическое терапевтическое действие, но также такие дополнительные преимущества, обусловленные совместным лечением, как неожиданное увеличение продолжительности эффективного действия, более широкий спектр терапевтического действия и неожиданные благоприятные действия в отношении заболеваний и состояний, например меньшее увеличение веса при заболеваниях и состояниях, связанных с сахарным диабетом. Кроме того, для больного человека, прежде всего для пожилого человека, более удобно и просто помнить, что надо принять две таблетки в одно и то же время, например перед едой, чем через определенные интервалы времени, т.е. согласно более сложному графику введения. Более предпочтительно во всех указанных в настоящем описании случаях оба действующих вещества вводят в виде фиксированной композиции, т.е. в виде одной таблетки. Принимать одну таблетку гораздо проще, чем принимать две таблетки в одно и то же время. Кроме того, процесс упаковывания можно осуществлять с меньшими затратами. Понятие «синергетический» в контексте настоящего описания означает, что действие, достигаемое при использовании способов и композиций по настоящему изобретению, превышает сумму действий, достигаемых при использовании способов и композиций, содержащих действующие вещества по настоящему изобретению по отдельности. Специалист в данной области способен выбрать пригодную и стандартную модель с использованием животных для тестирования композиций в отношении указанных выше и ниже в настоящем описании терапевтических показаний и оказываемых благоприятных действий. Фармацевтические действия, оказываемые введением представителей класса антагонистов AT1-рецептора или ингибиторами АСЕ соответственно, или композицией, содержащей действующие вещества по настоящему изобретению, можно продемонстрировать, например, с использованием соответствующих фармакологических моделей, известных в данной области. Специалист в данной области способен выбрать пригодную модель с использованием животных для тестирования композиций в отношении указанных выше и ниже в настоящем описании терапевтических показаний и оказываемых благоприятных действий. Благоприятные действия на кровяное давление можно, например, продемонстрировать с помощью модели для тестирования, описанной у R.L.Webb и др., в J.Hypertension, 16:843-852, 1998. Методы. Комбинации по настоящему изобретению, содержащие соединение формулы (I) или его фармацевтически приемлемую соль, можно вводить различными путями, но в данном примере их тестируют при введении путем непрерывной инфузии с помощью имплантированных подкожно осмотических мининасосов. Для определения оптимального содержания каждого действующего вещества в комбинации, которое вызывает максимальную реакцию, следует протестировать каждое действующее вещество в широком диапазоне доз. Для таких исследований предпочтительно использовать группы обработки, каждая из которых включает по меньшей мере 6 животных. Каждое исследование лучше всего осуществлять таким образом, чтобы воздействия комбинированной обработки на группу оценивать одновременно с воздействием индивидуальных компонентов. Хотя острое воздействие лекарственного средства можно наблюдать в течение короткого промежутка времени после введения (например, через 1 день), предпочтительно оценивать реакции путем их фиксации в течение продолжительного периода времени, как это описано ниже в экспериментах, при которых наблюдение проводили в течение двух-трех недель. Длительное исследование должно иметь продолжительность, достаточную для полного проявления компенсирующих реакций, и вследствие этого имеется наибольшая вероятность того, что наблюдаемое действие отражает реальные реакции тестируемой системы с точки зрения непрерывных или продолжительных реакций. Представленные ниже данные о воздействиях на кровяное давление свидетельствуют о наличии синергетического гипотензивного действия в случае совместного применения двух агентов. Статистический анализ. Эффективность совместной терапии можно сравнивать с эффективностью монотерапевтического лечения на группах животных на основе определения максимального изменения кровяного давления или площади под кривой (AUC) зависимости изменения кровяного давления от времени для каждой из групп обработки. Все результаты представлены в виде среднего значения для ± С.К.О. Статистически достоверными считаются результаты с уровнем вероятности менее 0,05. Статистическое сравнение значений AUC, полученных для каждой из групп обработки, можно производить с помощью однонаправленного дисперсионного анализа и соответствующего post-hoc-анализа, например, с использованием критерия Тукея Результаты. В случае совместного введения действующих веществ можно достигать такого же уровня понижения кровяного давления, что и при индивидуальном введении лекарственных средств, используя при этом меньшие дозы каждого из компонентов. Дополнительный неожиданный результат заключается в том, что с помощью комбинации кровяное давление можно понижать в большей степени, чем при введении соединения формулы (I) или его фармацевтически приемлемой соли индивидуально в более высокой дозе. Эти благоприятные действия можно продемонстрировать, например, с использованием модели для тестирования, описанной G.Jeremic и др. в J.Cardovasc. Pharmacol. 27:347-354, 1996. Большие возможности применения комбинации по настоящему изобретению для предупреждения и лечения инфаркта миокарда (включая состояния после инфаркта миокарда для замедления развития застойной сердечной недостаточности) можно продемонстрировать, например, с использованием следующей модели для тестирования. Схема опыта В проводимом исследовании в качестве модели острого инфаркта миокарда используют хроническую окклюзию коронарной артерии (КАО) у крыс. Эксперименты проводят на 5 группах животных, которых подвергают различным перечисленным ниже обработкам: – животные, обработанные плацебо, – КАО + носитель, – КАО + соединение формулы (I) или его фармацевтически приемлемая соль, прежде всего полуфумарат, – КАО + ингибитор альдостеронсинтазы, – КАО + соединение формулы (I) или его фармацевтически приемлемая соль, прежде всего полуфумарат, + ингибитор альдостеронсинтазы. Можно применять следующие дозы и пути введения. Для (+)-энантиомера гидрохлорида фадрозола: введение 0,4 мг/кг/день с помощью осмотического мининасоса типа Alza. В процессе исследования измеряют следующие параметры: – размер инфаркта, – объем камеры левого желудочка (ЛЖ), – плотность интерстициального и периваскулярного коллагена в пораженном миокарде ЛЖ, – содержание протеина COL-I и COL-III в пораженном миокарде ЛЖ (методом вестерн-блотинга), – площадь поперечного сечения и длину кардиомиоцитов в срезах миокарда ЛЖ, – концентрацию ренина и альдостерона в плазме, – концентрацию натрия, калия и альдостерона в моче, – кровяное давление у находящихся в сознании животных, – кровяное давление в ЛЖ и сонной артерии у анестезированных животных. Методика Размер инфаркта. Поперечные гистологические срезы левого желудочка толщиной 6 мкм окрашивают красителем тетразолиевым нитроголубым и регистрируют с помощью CCD-видеокамеры (камера на приборах с зарядовой связью) типа B/W XC-77CE (фирма Sony). Полученное изображение обрабатывают с помощью системы анализа изображений типа KS 300 (фирма Carl Zeiss Vision) с использованием разработанного специально для этой цели программного обеспечения (Porzio и др., 1995). Один оператор, принимающий участие в опыте «вслепую» в интерактивном режиме, определяет границы межжелудочковой перегородки и на каждом срезе полуавтоматически идентифицирует область инфаркта, представляющую собой область неокрашенной ткани желудочка. Программа автоматически рассчитывает ряд геометрических параметров для каждого компонента среза желудочка, а именно для камеры, перегородки, области инфаркта, области инфаркта стенки ЛЖ и здоровой стенки ЛЖ (Porzio и др., 1995). Гистология. Сердца фиксируют in situ путем направленной вверх перфузии забуференным 4%-ным формальдегидом после остановки сердца в систоле, которую осуществляют с помощью i.v. инъекции 0,5М KCl. После фиксации определяют по отдельности массу левого желудочка (ЛЖ) и свободной стенки правого желудочка; наибольший диаметр ЛЖ измеряют с помощью циркуля. Предназначенные для гистологического исследования срезы ЛЖ окрашивают гематоксилином и эозином для качественного анализа и количественной оценки поперечной области кардиомиоцитов с помощью полуавтоматической процедуры анализа изображений. Накопление интерстициального коллагена в ЛЖ оценивают на окрашенных Сириус красным срезах с помощью полуавтоматической процедуры анализа изображений (Masson и др., 1998). Содержание коллагена в пораженном миокарде ЛЖ. Ткань пораженного миокарда ЛЖ гомогенизируют, подвергают электрофорезу в ПААГ-ДСН и электроблоттингу на нитроцеллюлозной мембране. Блоты обрабатывают первичными антителами, например, кроличьей антисывороткой к крысиному коллагену типа I или типа III (фирма Chemicon). Для распознавания первичных антител используют вторичные антитела, конъюгированные с щелочной фосфатазой (для коллагена типа I) или пероксидазой (для коллагена типа III). Объем камеры левого желудочка. Объем камеры ЛЖ определяют для сердец, остановленных в диастоле (KCl) и фиксированных в формалине при гидростатическом давлении, эквивалентном измеренному конечному диастолическому давлению в ЛЖ. Для измерения длины внутренней полости ЛЖ в ЛЖ погружают измерительный стержень. Поперечные диаметры камеры ЛЖ измеряют на двух поперечных срезах толщиной 1 мм, взятых вблизи основания и верхушки желудочка (Jeremic и др., 1996). Объем камеры вычисляют путем интегрирования уравнения, в которое входят поперечные диаметры и длина внутренней полости. Системная гемодинамика и гемодинамика левого желудочка: Для измерения систолического и диастолического кровяного давления в правую сонную артерию вводят микродатчик давления (типа Millar SPC-320), соединенный с регистрирующим устройством (типа Windograf, фирма Gould Electronics). Датчик давления продвигают в ЛЖ для измерения систолического (СДЛЖ) и конечного диастолического (КДДЛЖ) давлений в левом желудочке, первой производной давления в ЛЖ по времени (+dP/dt) и частоты сердечных сокращений. Неинвазивное измерение кровяного давления: Систолическое кровяное давление и частоту сердечных сокращений измеряют у находящихся в сознании крыс с помощью манжетки для хвоста (типа Letica LE 5002), Содержание электролитов, гормонов в моче. Крыс по отдельности помещают в клетки для исследования метаболизма и собирают в течение 24 ч мочу в 1 мл 6н. HCl. Измеряют поглощение воды. Содержащиеся в моче катехоламины экстрагируют на колонках типа Bondelut С 18 (фирма Varian), разделяют с помощью ЖХВР (Арех-11 С 18, 3 мкм, аналитическая колонка 50×4,5 мм, фирма Jones Chromatography) и количественно оценивают с помощью электрохимического детектора (типа Coulochem II, фирма ESA) (Goldstein и др., 1981). Содержание альдостерона в плазме и моче и ангиотензина II в плазме определяют с помощью специфического радиоиммунного анализа (Aldoctk-2, DiaSorin и Angiotensin II, фирма Nichols Diagnostics). Содержание натрия и калия в моче измеряют с помощью пламенной фотометрии. Размер образца. Для выявления достоверных биологических различий достаточно иметь в каждой из групп обработки 10 животных, которых подвергают анализу. Для конечного анализа отбирают только тех животных, у которых размер инфаркта составляет по меньшей мере 10% площади среза ЛЖ. Известно, что эндотелиальная дисфункция является фактором, имеющим решающее значение для сосудистых заболеваний. Эндотелий играет двойную роль, представляя собой источник различных гормонов или побочных продуктов, обладающих противоположными действиями: вазодилатацией и вазоконстрикцией, ингибированием или стимулированием роста, фибринолизом или тромбогенезом, производством антиоксидантов или окислителей. Генетически предрасположенные к гипертензии животные, имеющие эндотелиальную дисфункцию, представляют собой пригодную модель для оценки эффективности сердечно-сосудистой терапии. Эндотелиальная дисфункция характеризуется, например, повышенным окислительным стрессом, приводящим к понижению уровня окиси азота, повышенными уровнями факторов, участвующих в коагуляции или фибринодизе, таких как плазминогенактивирующий ингибитор 1 (PAI-1), тканевой фактор (TF), тканевой активатор плазминогена (tPA), повышенными уровнями факторов межклеточной адгезии, таких как ICAM и VCAM, повышенными уровнями факторов роста, таких как bFGF (b-фактор роста фибробластов), TGFb (b-фактор роста Т-клеток), PDGF (тромбоцитарный фактор роста), VEGF (сосудистый эндотелиальный фактор роста), всех факторов, вызывающих рост воспалительных клеток и фиброз. Эффективность лечения, например, эндотелиальной дисфункции можно продемонстрировать с помощью следующего фармакологического теста: Материалы и методы 20-24-недельных самцов крыс со спонтанной гипертензией (SHR), полученных от фирмы RCC Ltd. (Фуллингсдорф, Швейцария), содержат в помещении с контролируемым температурным и световым режимом, предоставляя свободный доступ к корму для крыс (Nafag 9331, Госсау, Швейцария) и водопроводной воде. Эксперимент проводят согласно инструкциям NIH (Национальный институт здравоохранения), одобренным ветеринарной службой кантона (Bew 161, Kantonales Veterinätamt, Лиестал, Швейцария). Всех крыс обрабатывают ингибитором синтазы NO L-NAME (фирма Sigma Chemicals), который вводят в питьевой воде (50 мг/л) в течение 12 недель. Средняя суточная доза L-NAME, рассчитанная по количеству поглощенной воды, составляет 2,5 мг/кг/день (диапазон 2,1-2,7). Крыс разделяют на 5 групп: группа 1, контроль (n=40); группа 2, соединение формулы (I) в форме полуфумарата (ren1; n=40); группа 3, эналаприл (ena1; n=30); группа 4, комбинация (ena1ren1) эналаприла и соединения формулы (I) в форме полуфумарата (n=30); и группа 5, соединение формулы (I) в форме полуфумарата (ren2 – более высокая доза; n=30). Лекарственные средства вводят в жидкости для питья. На основе метода, описанного у Sweet и др. (1987), выбирают дозу эналаприла, которая вызывает существенное повышение выживаемости у крыс с заживленным инфарктом миокарда. Прессорное действие Ang II, применяемого в концентрации 1 мг/кг, полученное для контрольных нормотензивных крыс, может уменьшаться после обработки соединением формулы (I) в форме полуфумарата (Gervais и др., 1999). Каждую неделю измеряют вес тела. За 3 и 2 недели перед началом исследований и через 2 недели после введения лекарственного средства регистрируют систолическое кровяное давление и частоту сердечных сокращений с помощью плетисмографа, снабженного манжеткой, охватывающей хвост. У крыс, содержащихся в индивидуальных клетках (для исследования метаболизма), собирают мочу в течение 24 ч за неделю до начала обработки и спустя 4 и 12 недель и стандартными лабораторными методами измеряют объем и проводят анализ на содержание протеина, креатинина, натрия и калия. В эти же моменты времени берут образцы крови из ретроорбитального сплетения (максимум 1 мл) для анализов на содержание креатинина, Na+и К+. По истечении 4 недель умерщвляют по десять крыс из каждой группы и выделяют почки и сердце для морфологического анализа. Остальных крыс умерщвляют по истечении 12 недель. Измеряют вес сердца и почек. Последние образцы крови, взятые по истечении 4 (морфометрический анализ) и 12 (завершение исследования) недель, обрабатывают 5% ЭДТК для оценки уровня альдостерона с помощью радиоиммунного анализа с использованием набора для радиоиммунного анализа альдостерона (РИА) типа DPC coat-a-count (фирма Buhlman, Швейцария). Статистический анализ. Все результаты представлены в виде среднего значения ± С.К.О. Статистический анализ осуществляют с помощью однонаправленного дисперсионного анализа, после чего применяют анализ с использованием множественного критерия Дункана и критерия Ньюмена-Кеулса для сравнения данных, полученных для различных групп. Статистически достоверными считаются результаты с уровнем вероятности менее 0,05. Результаты Даже при использовании доз, которые не приводят к снижению кровяного давления, обработка соединением формулы (I) в форме полуфумарата и эналаприлом приводит к значительному повышению выживаемости крыс. При использовании этой модели неожиданно было установлено, что блокада RAS с помощью низких доз ингибитора ренина формулы (I) и, например, эналаприла, повышает выживаемость несмотря на хроническую почечную дисфункцию и высокое кровяное давление. При этом не происходит снижения протеинурии и уменьшения повреждений почек. На срезах почек и сердца видны гломерулосклероз, фибриноидный некроз и фиброз. Эти результаты ясно свидетельствуют о том, что выживаемость крыс со спонтанной гипертензией (SHR) с эндотелиальной дисфункцией не зависит от понижающего кровяного давления действия обработки и может быть обусловлена непосредственным действием на эндотелии. Ускорение регресса атеросклероза, не сопровождающееся воздействием на уровни липидов в сыворотке, можно продемонстрировать, например, с использованием модели на животных, согласно методу, описанному у Н.Kano и др., Biochemical and Biophysical Research Communications, 259, 414-419 (1999). Тот факт, что соединения или комбинации по настоящему изобретению можно применять для достижения регресса атеросклероза, индуцированного диетой с высоким содержанием холестерина, можно продемонстрировать с помощью модели для тестирования, описанной, например, у С.Jiang и др. в Br.J.Pharmacol. 104, 1033-1037 (1991). Тот факт, что соединения или комбинации по настоящему изобретению можно применять для лечения почечной недостаточности, прежде всего хронической почечной недостаточности, можно продемонстрировать с помощью модели для тестирования, описанной, например, у D.Cohen и др. в Journal of Cardiovascular Pharmacology, 32: 87-95 (1998). Другие преимущества применения комбинации по настоящему изобретению заключаются в том, что с целью уменьшения доз индивидуальные лекарственные средства, входящие в комбинацию по изобретению, можно применять в более низких дозах, например, необходимые дозы часто могут быть не только более низкими, но и их можно вводить реже, или более низкие дозы можно использовать для уменьшения случаев возникновения побочных действий. Это соответствует желаниям и потребностям пациентов, подлежащих лечению. Обладающие в совокупности терапевтической эффективностью количества действующих веществ, входящих в композицию по настоящему изобретению, предпочтительно следует вводить одновременно или последовательно в произвольном порядке, раздельно или в виде фиксированной композиции. Фармацевтическую композицию по настоящему изобретению, указанную выше и ниже в настоящем описании, следует вводить одновременно или последовательно в произвольном порядке, раздельно или в виде фиксированной композиции. Таким образом, изобретение относится также к способу предупреждения, замедления развития или лечения болезни или состояния, выбранных из группы, включающей (а) гипертензию, застойную сердечную недостаточность, почечную недостаточность, прежде всего хроническую почечную недостаточность, рестеноз после чрезкожной внутрипросветной ангиопластики и рестеноз после хирургической операции, связанной с шунтированием коронарной артерии, (б) атеросклероз, устойчивость к инсулину и синдром X, сахарный диабет типа 2, ожирение, нефропатию, почечную недостаточность, например, хроническую почечную недостаточность, гипотиреоидизм, состояние после инфаркта миокарда (МИ), коронарные заболевания сердца, гипертензию, связанную с возрастом, семейную дислипидемическую гипертензию, повышенное образование коллагена, фиброз и гипертензию, возникающую после ремоделирования (антипролиферативное действие комбинации), при этом все указанные заболевания или состояния связаны с гипертензией или не связаны с ней, (в) эндотелиальную дисфункцию, сопровождающуюся или не сопровождающуюся гипертензией, (г) гиперлипедимию, гиперлипопротеинемию, атеросклероз и гиперхолестеремию, (д) глаукому, и кроме того (е) изолированную систолическую гипертензию (ИСГ), (ж) диабетическую ретинопатию и (з) периферическое сосудистое заболевание, предусматривающему введение теплокровному животному, в том числе человеку, нуждающемуся в таком лечении, обладающего в совокупности терапевтической эффективностью количества комбинации, включающей ингибитор ренина формулы (I) или его фармацевтически приемлемую соль в сочетании по меньшей мере с одним терапевтическим агентом, выбранным из группы, включающей (II) ингибитор HMG-Co-A-редуктазы или его фармацевтически приемлемую соль, (IV) блокатор кальциевого канала или его фармацевтически приемлемую соль, (V) ингибитор альдостеронсинтазы или его фармацевтически приемлемую соль, (VI) антагонист альдостерона или его фармацевтически приемлемую соль, (VII) двойной ингибитор ангиотензинпревращающего фермента/нейтральной эндопептидазы (ACE/NEP) или его фармацевтически приемлемую соль, (VIII) антагонист эндотелина или его фармацевтически приемлемую соль и (IX) диуретик или его фармацевтически приемлемую соль. Кроме того, настоящее изобретение относится к применению комбинации, включающей ингибитор ренина формулы (I) или его фармацевтически приемлемую соль в сочетании по меньшей мере с одним терапевтическим агентом, выбранным из группы, включающей (II) ингибитор HMG-Co-A-редуктазы или его фармацевтически приемлемую соль, (IV) блокатор кальциевого канала или его фармацевтически приемлемую соль, (V) ингибитор альдостеронсинтазы или его фармацевтически приемлемую соль, (VI) антагонист альдостерона или его фармацевтически приемлемую соль, (VII) двойной ингибитор ангиотензинпревращающего фермента/нейтральной эндопептидазы (ACE/NEP) или его фармацевтически приемлемую соль, VIII) антагонист эндотелина или его фармацевтически приемлемую соль и (IX) диуретик или его фармацевтически приемлемую соль, для приготовления лекарственного средства, предназначенного для предупреждения, замедления развития или лечения болезни или состояния, выбранных из группы, включающей (а) гипертензию, застойную сердечную недостаточность, почечную недостаточность, прежде всего хроническую почечную недостаточность, рестеноз после чрезкожной внутрипросветной ангиопластики и рестеноз после хирургической операции, связанной с шунтированием коронарной артерии, (б) атеросклероз, устойчивость к инсулину и синдром X, сахарный диабет типа 2, ожирение, нефропатию, почечную недостаточность, например, хроническую почечную недостаточность, гипотиреоидизм, состояние после инфаркта миокарда (МИ), коронарные заболевания сердца, гипертензию, связанную с возрастом, семейную дислипидемическую гипертензию, повышенное образование коллагена, фиброз и гипертензию, возникающую после ремоделирования (антипролиферативное действие комбинации), при этом все указанные заболевания или состояния связаны с гипертензией или не связаны с ней, (в) эндотелиальную дисфункцию, сопровождающуюся или не сопровождающуюся гипертензией, (г) гиперлипедимию, гиперлипопротеинемию, атеросклероз и гиперхолестеремию, (д) глаукому и, кроме того, (е) изолированную систолическую гипертензию (ИСГ), (ж) диабетическую ретинопатию и (з) периферическое сосудистое заболевание. Кроме того, изобретение относится к фармацевтической комбинации предназначенной для предупреждения, замедления развития, лечения болезни или состояния, выбранных из группы, включающей (а) гипертензию, застойную сердечную недостаточность, почечную недостаточность, прежде всего хроническую почечную недостаточность, рестеноз после чрезкожной внутрипросветной ангиопластики и рестеноз после хирургической операции, связанной с шунтированием коронарной артерии, (б) атеросклероз, устойчивость к инсулину и синдром X, сахарный диабет типа 2, ожирение, нефропатию, почечную недостаточность, например, хроническую почечную недостаточность, гипотиреоидизм, состояние после инфаркта миокарда (МИ), коронарные заболевания сердца, гипертензию, связанную с возрастом, семейную дислипидемическую гипертензию, повышенное образование коллагена, фиброз и гипертензию, возникающую после ремоделирования (антипролиферативное действие комбинации), при этом все указанные заболевания или состояния связаны с гипертензией или не связаны с ней, (в) эндотелиальную дисфункцию, сопровождающуюся или не сопровождающуюся гипертензией, (г) гиперлипедимию, гиперлипопротеинемию, атеросклероз и гиперхолестеремию, (д) глаукому, и кроме того (е) изолированную систолическую гипертензию (ИСГ), (ж) диабетическую ретинопатию и (з) периферическое сосудистое заболевание, содержащей комбинацию ингибитора ренина формулы (I) или его фармацевтически приемлемой соли и по меньшей мере одного терапевтического агента, выбранного из группы, включающей (II) ингибитор HMG-Co-A-редуктазы или его фармацевтически приемлемую соль, (IV) блокатор кальциевого канала или его фармацевтически приемлемую соль, (V) ингибитор альдостеронсинтазы или его фармацевтически приемлемую соль, (VI) антагонист альдостерона или его фармацевтически приемлемую соль, (VII) двойной ингибитор ангиотензинпревращающего фермента/нейтральной эндопептидазы (ACE/NEP) или его фармацевтически приемлемую соль, (VIII) антагонист эндотелина или его фармацевтически приемлемую соль и (IX) диуретик или его фармацевтически приемлемую соль, и фармацевтически приемлемый носитель. Другие преимущества применения комбинации по настоящему изобретению заключаются в том, что с целью уменьшения доз индивидуальные лекарственные средства, входящие в комбинацию по изобретению, можно применять в более низких дозах, например, необходимые дозы часто могут быть не только более низкими, но и их можно вводить реже, или более низкие дозы можно использовать для уменьшения случаев возникновения побочных действий. Это соответствует желаниям и потребностям пациентов, подлежащих лечению. Обладающие в совокупности терапевтической эффективностью количества действующих веществ, входящих в композицию по настоящему изобретению, предпочтительно следует вводить одновременно или последовательно в произвольном порядке, раздельно или в виде фиксированной композиции. Фармацевтическую композицию по настоящему изобретению, указанную выше и ниже в настоящем описании, можно вводить одновременно или последовательно в произвольном порядке, раздельно или в виде фиксированной композиции. Еще одним объектом настоящего изобретения является набор, предназначенный для предупреждения, замедления развития, лечения болезни или состояния, указанного в настоящем описании, который включает (а) первую стандартную дозируемую форму, содержащую определенное количество ингибитора ренина формулы (I) или его фармацевтически приемлемой соли, (б) вторую и т.д. стандартную дозируемую форму, содержащую определенное количество по меньшей мере одного терапевтического агента, выбранного из группы, включающей компоненты (I)-(IX) или при необходимости в каждом случае его фармацевтически приемлемой соли, и (в) контейнер, содержащий первую, вторую и т.д. стандартные дозируемые формы. Одним из вариантов осуществления изобретения является также «набор компонентов», например, в том смысле, что дозы компонентов, входящих в композицию по настоящему изобретению, можно вводить независимо друг от друга или в виде различных фиксированных композиций, содержащих различные количества компонентов, т.е. одновременно или в различные моменты времени. При этом компоненты набора можно вводить, например, одновременно или с определенными временными интервалами, т.е. каждый компонент набора можно вводить в различные моменты времени и с одинаковыми или различными временными интервалами. Предпочтительно временные интервалы выбирают таким образом, чтобы действие в отношении подлежащего лечению заболевания или состояния в случае совместного применения компонентов превышало действие, которое может быть получено в случае применения любого из компонентов индивидуально. Кроме того, изобретение относится к предназначенной для продажи упаковке, содержащей композицию по настоящему изобретению и инструкции для одновременного, раздельного или последовательного применения. Такие фармацевтические композиции предназначены для энтерального, такого как пероральное, а также ректального или парентерального введения теплокровным животным лекарственных средств, содержащих обладающее фармакологической активностью соединение, либо индивидуально, либо в сочетании с обычными фармацевтическими вспомогательными веществами. Фармацевтические композиции содержат, например, от приблизительно 0,1 до 90%, предпочтительно от приблизительно 1 до приблизительно 80% действующего вещества. Фармацевтические композиции для энтерального или парентерального введения, а также для введения в глаз, представляют собой, например, стандартные дозируемые формы, такие как таблетки с покрытием, таблетки, капсулы или суппозитории, а также ампулы. Их приготавливают хорошо известным методом, например, с использованием общепринятых процессов смешения, грануляции, нанесения покрытий, солюбилизации или лиофилизации. Так, фармацевтические композиции для перорального введения можно получать путем объединения действующего вещества с твердыми эксципиентами, при необходимости гранулирования полученной смеси и, если это является целесообразным или необходимым, обработки смеси или гранул с получением после добавления вспомогательных веществ таблеток или ядер для таблеток с покрытием. Доза действующего вещества может зависеть от различных факторов, таких как путь введения, вид теплокровного животного, возраст и/или индивидуальное состояние. Предпочтительными дозами действующих веществ, входящих в состав фармацевтической комбинации по настоящему изобретению, являются терапевтически эффективные дозы, прежде всего такие дозы, которые поступают в продажу. Как правило, в случае перорального введения приблизительная суточная доза для пациента весом приблизительно 75 кг составляет от приблизительно 1 мг до приблизительно 360 мг. Доза действующего вещества может зависеть от различных факторов, таких как путь введения, вид теплокровного животного, возраст и/или индивидуальное состояние. Фармацевтическая комбинация может выпускаться в виде соответствующей стандартной дозируемой формы, например, капсулы или таблетки, содержащей такое количество лекарственного средства, которое, например, в сочетании с другим(и) компонентом(ами) обладает совокупным терапевтическим действием. Дозы ингибитора ренина формулы (I), предназначенные для введения теплокровным животным, например, человеку, например, имеющему вес приблизительно 70 кг, прежде всего дозы, эффективные в отношении ингибирования фермента ренина, например, для снижения кровяного давления и/или облегчения симптомов глаукомы, составляют от приблизительно 3 мг до приблизительно 3 г, предпочтительно от приблизительно 10 мг до приблизительно 1 г, например, приблизительно от 20 до 200 мг на человека в день, при этом предпочтительно они должны быть разделены на 1-4 однократные дозы, которые могут, например, быть одинаковыми. Как правило, детям вводят приблизительно половину дозы, предназначенной для взрослого человека. Действие дозы для каждого индивидуума можно оценивать, например, на основе измерения концентрации действующего вещества в сыворотке, и регулировать ее до достижения оптимального уровня. Для взрослого пациента однократные дозы составляют, например, 10, 40 или 100 мг. Валсартан, являющийся репрезентативным соединением класса антагонистов AT1-рецептора, можно выпускать в виде стандартной дозируемой формы, например, капсулы или таблетки, содержащей терапевтически эффективное количество, например, от приблизительно 20 до приблизительно 320 мг валсартана, которую можно вводить пациентам. Введение действующего вещества можно осуществлять до трех раз в день, начиная, например, с суточной дозы 20 или 40 мг валсартана, увеличивая ее до 80 мг в сутки, а затем до 160 мг в сутки и вплоть до 320 мг в сутки. Предпочтительно валсартан вводят дважды в день каждый раз в дозе 80 или 160 мг соответственно. Соответствующие дозы можно вводить, например, утром, в полдень или вечером. Предпочтительным является введение дважды в день (b.i.d.). В случае ингибиторов HMG-Co-A-редуктазы предпочтительными стандартными дозируемыми формами ингибиторов HMG-Co-A-редуктазы являются, например, таблетки или капсулы, содержащие, например, от приблизительно 5 до приблизительно 120 мг, при использовании флувастатина предпочтительно, например, 20, 40 или 80 мг (в пересчете на свободную кислоту) флувастатина, которые вводят, например, один раз в день. В случае ингибиторов АСЕ предпочтительными стандартными дозируемыми формами ингибиторов АСЕ являются, например, таблетки или капсулы, содержащие, например, от приблизительно 5 до приблизительно 20 мг, предпочтительно 5, 10, 20 или 40 мг беназеприла; от приблизительно 6,5 до 100 мг, предпочтительно 6,25, 12,5, 25, 50, 75 или 100 мг каптоприла; от приблизительно 2,5 до приблизительно 20 мг, предпочтительно 2,5, 5, 10 или 20 мг эналаприла; от приблизительно 10 до приблизительно 20 мг, предпочтительно 10 или 20 мг фосиноприла; от приблизительно 2,5 до приблизительно 4 мг, предпочтительно 2 или 4 мг периндоприла; от приблизительно 5 до приблизительно 20 мг, предпочтительно 5, 10 или 20 мг хинаприла; или от приблизительно 1,25 до приблизительно 5 мг, предпочтительно 1,25, 2,5 или 5 мг рамиприла. Предпочтительным является введение трижды в день (t.i.d.). Наиболее предпочтительными являются комбинации, содержащие низкие дозы действующих веществ. Представленные ниже примеры служат для иллюстрации описанного выше изобретения; однако они никоим образом не направлены на ограничение его объема. Пример 1 комбинации. Филмтаблетки:
Филмтаблетки изготавливают, например, следующим образом: Смесь, содержащую валсартан, микрокристаллическую целлюлозу, кросповидон, часть коллоидного безводного диоксида кремния/коллоидного диоксида кремния/Aerosil 200, диоксид кремния и стеарат магния, предварительно смешивают в диффузионном смесителе и затем просеивают через мельницу с ситами. Образовавшуюся смесь вновь предварительно смешивают в диффузионном смесителе, уплотняют в вальцовом уплотнителе и затем просеивают через мельницу с ситами. К образовавшейся смеси добавляют оставшуюся часть коллоидного безводного диоксида кремния/коллоидного диоксида кремния/Aerosil 200 и готовят окончательную смесь в диффузионном смесителе. Всю смесь прессуют на роторной таблетирующей машине и на таблетки наносят пленочное покрытие в перфорированном чане, используя светло-красный краситель Diolack. Пример 2 комбинации. Филмтаблетки:
Филмтаблетки изготавливают, например, согласно процессу, описанному в примере 1 комбинации. Пример 3 комбинации. Филмтаблетки:
Состав Opadry®:
Филмтаблетки изготавливают, например, согласно процессу, описанному в примере 1 комбинации. Пример 4 комбинации. Капсулы:
Таблетку изготавливают следующим образом. Грануляция/сушка Валсартан и микрокристаллическую целлюлозу гранулируют распылением в грануляторе с псевдоожиженным слоем с использованием раствора для грануляции, который содержит повидон и лаурилсульфат натрия, растворенные в очищенной воде. Полученный гранулят сушат в сушилке с псевдоожиженным слоем. Измельчение/смешение Высушенный гранулят измельчают вместе с кросповидоном и стеаратом магния. Затем массу перемешивают в коническом смесителе шнекового типа в течение примерно 10 мин. Капсулирование Пустые твердые желатиновые капсулы заполняют перемешанной порцией гранул при контролируемой температуре и влажности. Заполненные капсулы обеспыливают, визуально обследуют, осуществляют проверку массы и сертифицируют в Департаменте гарантии качества. Пример 5 комбинации. Капсулы:
Композицию изготавливают, например, согласно процессу, описанному в примере 4 комбинации. Пример 6 комбинации. Твердая желатиновая капсула:
Примеры 7-11.
Пример 12. Твердая желатиновая капсула:
Пример 13. Твердая желатиновая капсула
Пример 14. Круглые, слегка двояковыпуклые филмтаблетки со скошенными кромками:
Пример 15. Круглые двояковыпуклые филмтаблетки со скошенными кромками:
Пример 16. Филмтаблетки Для изготовления 10000 таблеток, каждая из которых содержит 100 мг действующего вещества, подвергают обработке следующие ингредиенты:
Смесь, содержащую одно из соединений формулы I, указанных в приведенных выше примерах в качестве действующего вещества, 50 г кукурузного крахмала и коллоидную кремниевую кислоту, подвергают обработке с использованием крахмальной пасты, приготовленной из 250 г кукурузного крахмала и 2,2 кг деминерализованной воды, получая влажную массу. Массу пропускают через сито с размером ячеек 3 мм и сушат в течение 30 мин при 45°С в сушилке с псевдоожиженном слоем. Сухие гранулы пропускают под давлением через сито с размером ячеек 1 мм, смешивают с заранее просеянной через сито (сито с размером ячеек 1 мм) смесью, содержащей 330 г кукурузного крахмала, стеарат магния, стеариновую кислоту и натрийкарбоксиметилкрахмал, и прессуют, получая слегка двояковыпуклые таблетки.
Формула изобретения
1. Фармацевтическая комбинация, обладающая антигипертензивным действием, содержащая в эффективном количестве ингибитор ренина формулы (I) или его фармацевтически приемлемую соль и по меньшей мере один терапевтический агент, выбранный из группы, включающей (II) ингибитор HMG-CoA-редуктазы или его фармацевтически приемлемую соль, (IV) блокатор кальциевых каналов или его фармацевтически приемлемую соль, (V) ингибитор альдостеронсинтазы или его фармацевтически приемлемую соль и (IX) диуретик или его фармацевтически приемлемую соль, и носитель. 2. Комбинация по п.1, где ингибитор ренина присутствует в форме полуфумарата. 3. Комбинация по п.1 или 2, где независимо друг от друга ингибитор HMG-CoA-редуктазы представляет собой флувастатин и питавастатин или их фармацевтически приемлемые соли, блокатор кальциевых каналов представляет собой дигидропиридин, дилтиазем или верапамил либо их фармацевтически приемлемые соли, ингибитор альдостеронсинтазы представляет собой фадрозол (включая его (+)-энантиомер) или его фармацевтически приемлемую соль и диуретик представляет собой гидрохлортиазид. 4. Комбинация по п.1 или 2, предназначенная для предупреждения, замедления развития, лечения болезни или состояния, выбранных из группы, включающей (а) гипертензию, застойную сердечную недостаточность, почечную недостаточность, прежде всего хроническую почечную недостаточность, рестеноз после чрескожной внутрипросветной ангиопластики и рестеноз после хирургической операции, связанной с шунтированием коронарной артерии, (б) атеросклероз, устойчивость к инсулину и синдром X, сахарный диабет типа 2, ожирение, нефропатию, почечную недостаточность, например хроническую почечную недостаточность, гипотиреоидизм, состояние после инфаркта миокарда (МИ), коронарные заболевания сердца, гипертензию, связанную с возрастом, семейную дислипидемическую гипертензию, повышенное образование коллагена, фиброз и гипертензию, возникающую после ремоделирования (антипролиферативное действие комбинации), при этом все указанные заболевания или состояния связаны с гипертензией или не связаны с ней, (в) эндотелиальную дисфункцию, сопровождающуюся или не сопровождающуюся гипертензией, (г) гиперлипедимию, гиперлипопротеинемию, атеросклероз и гиперхолестеремию, (д) глаукому. 5. Комбинация по п.1 или 2, предназначенная для предупреждения, замедления развития, лечения болезни или состояния, выбранных из группы, включающей (е) изолированную систолическую гипертензию, (ИСГ), (ж) диабетическую ретинопатию и (з) периферическое сосудистое заболевание. 6. Комбинация по п.1 или 2, предназначенная для одновременного, раздельного или последовательного введения. 7. Набор для предупреждения, замедления развития или лечения болезни или состояния, выбранных из группы, включающей (а) гипертензию, застойную сердечную недостаточность, почечную недостаточность, прежде всего хроническую почечную недостаточность, рестеноз после чрескожной внутрипросветной ангиопластики и рестеноз после хирургической операции, связанной с шунтированием коронарной артерии, (б) атеросклероз, устойчивость к инсулину и синдром X, сахарный диабет типа 2, ожирение, нефропатию, почечную недостаточность, например хроническую почечную недостаточность, гипотиреоидизм, состояние после инфаркта миокарда (МИ), коронарные заболевания сердца, гипертензию, связанную с возрастом, семейную дислипидемическую гипертензию, повышенное образование коллагена, фиброз и гипертензию, возникающую после ремоделирования (антипролиферативное действие комбинации), при этом все указанные заболевания или состояния связаны с гипертензией или не связаны с ней, (в) эндотелиальную дисфункцию, сопровождающуюся или не сопровождающуюся гипертензией, (г) гиперлипедимию, гиперлипопротеинемию, атеросклероз и гиперхолестеремию, (д) глаукому, включающий (а) первую стандартную дозируемую форму, содержащую эффективное количество ингибитора ренина формулы (I) или его фармацевтически приемлемой соли, (б) вторую и т.д. стандартную дозируемую форму, содержащую эффективное количество по меньшей мере одного терапевтического агента, выбранного из группы, включающей компоненты (II), (IV), (V) и (IX) или при необходимости в каждом случае их фармацевтически приемлемые соли, и (в) контейнер, содержащий первую, вторую и т.д. стандартные дозируемые формы. 8. Применение комбинации, включающей ингибитор ренина формулы (I) или его фармацевтически приемлемую соль в сочетании по меньшей мере с одним терапевтическим агентом, выбранным из группы, включающей (II) ингибитор HMG-Co-A-редуктазы или его фармацевтически приемлемую соль, (IV) блокатор кальциевых каналов или его фармацевтически приемлемую соль, (V) ингибитор альдостеронсинтазы или его фармацевтически приемлемую соль и (IX) диуретик или его фармацевтически приемлемую соль, для приготовления лекарственного средства, предназначенного для предупреждения, замедления развития или лечения болезни или состояния, выбранных из группы, включающей (а) гипертензию, застойную сердечную недостаточность, почечную недостаточность, прежде всего хроническую почечную недостаточность, рестеноз после чрескожной внутрипросветной ангиопластики и рестеноз после хирургической операции, связанной с шунтированием коронарной артерии, (б) атеросклероз, устойчивость к инсулину и синдром X, сахарный диабет типа 2, ожирение, нефропатию, почечную недостаточность, например, хроническую почечную недостаточность, гипотиреоидизм, состояние после инфаркта миокарда (МИ), коронарные заболевания сердца, гипертензию, связанную с возрастом, семейную дислипидемическую гипертензию, повышенное образование коллагена, фиброз и гипертензию, возникающую после ремоделирования (антипролиферативное действие комбинации), при этом все указанные заболевания или состояния связаны с гипертензией или не связаны с ней, (в) эндотелиальную дисфункцию, сопровождающуюся или не сопровождающуюся гипертензией, (г) гиперлипедимию, гиперлипопротеинемию, атеросклероз и гиперхолестеремию, (д) глаукому. 9. Применение комбинации, включающей ингибитор ренина формулы (I) или его фармацевтически приемлемую соль в сочетании по меньшей мере с одним терапевтическим агентом, выбранным из группы, включающей (II) ингибитор HMG-Co-A-редуктазы или его фармацевтически приемлемую соль, (IV) блокатор кальциевых каналов или его фармацевтически приемлемую соль, (V) ингибитор альдостеронсинтазы или его фармацевтически приемлемую соль и (IX) диуретик или его фармацевтически приемлемую соль, для приготовления лекарственного средства, предназначенного для предупреждения, замедления развития или лечения болезни или состояния, выбранных из группы, включающей (е) изолированную систолическую гипертензию (ИСГ), (ж) диабетическую ретинопатию и (з) периферическое сосудистое заболевание. 10. Способ предупреждения, замедления развития, лечения болезни или состояния, выбранных из группы, включающей (а) гипертензию, застойную сердечную недостаточность, почечную недостаточность, прежде всего хроническую почечную недостаточность, рестеноз после чрескожной внутрипросветной ангиопластики и рестеноз после хирургической операции, связанной с шунтированием коронарной артерии, (б) атеросклероз, устойчивость к инсулину и синдром X, сахарный диабет типа 2, ожирение, нефропатию, почечную недостаточность, например хроническую почечную недостаточность, гипотиреоидизм, состояние после инфаркта миокарда (МИ), коронарные заболевания сердца, гипертензию, связанную с возрастом, семейную дислипидемическую гипертензию, повышенное образование коллагена, фиброз и гипертензию, возникающую после ремоделирования (антипролиферативное действие комбинации), при этом все указанные заболевания или состояния связаны с гипертензией или не связаны с ней, (в) эндотелиальную дисфункцию, сопровождающуюся или не сопровождающуюся гипертензией, (г) гиперлипедимию, гиперлипопротеинемию, атеросклероз и гиперхолестеремию, (д) глаукому, и, кроме того, (е) изолированную систолическую гипертензию (ИСГ), (ж) диабетическую ретинопатию и (з) периферическое сосудистое заболевание, предусматривающему введение теплокровному животному, в том числе человеку, нуждающемуся в таком лечении, эффективного в совокупности количества комбинации, включающей ингибитор ренина формулы (I) или его фармацевтически приемлемую соль в сочетании по меньшей мере с одним терапевтическим агентом, выбранным из группы, включающей (II) ингибитор HMG-Co-A-редуктазы или его фармацевтически приемлемую соль, (IV) блокатор кальциевых каналов или его фармацевтически приемлемую соль, (V) ингибитор альдостеронсинтазы или его фармацевтически приемлемую соль и (IX) диуретик или его фармацевтически приемлемую соль.
|
||||||||||||||||||||||||||||||||||||||||||||||||||||||||||||||||||||||||||||||||||||||||||||||||||||||||||||||||||||||||||||||||||||||||||||||||||||||||||||||||||||||||||||||||||||||||||||||||||||||||||||||||||||||||||||||||||||||||||||||||||||||||||||||||||||||||||||||||||||||||||||||||||||||||||||||||||||||||||||||||||||||||||||||||||||||||||||||||||||||||||||||||||||||||||||||||||||||||||||||||||||||||||||||||||||||||||||||||||||||||||||||||||||||||||||||||||||||||||||||||||||||||||



-гидрокси-



или