|
|
(21), (22) Заявка: 2005141556/14, 01.06.2004
(24) Дата начала отсчета срока действия патента:
01.06.2004
(30) Конвенционный приоритет:
02.06.2003 US 60/474,595
(43) Дата публикации заявки: 10.06.2006
(46) Опубликовано: 20.02.2009
(56) Список документов, цитированных в отчете о поиске:
US 6152884 А, 28.11.2000. WO 03/011132 А2, 13.02.2003. US 2003/0130588 A1, 10.07.2003. US 6168568 A, 02.01.2001. RU 2198689 C2, 20.02.2003.
(85) Дата перевода заявки PCT на национальную фазу:
29.12.2005
(86) Заявка PCT:
IL 2004/000462 (01.06.2004)
(87) Публикация PCT:
WO 2004/105612 (09.12.2004)
Адрес для переписки:
129090, Москва, ул. Б.Спасская, 25, стр.3, ООО “Юридическая фирма Городисский и Партнеры”, пат.пов. Ю.Д.Кузнецову, рег.№ 595
|
(72) Автор(ы):
БОТБОЛ Мейр (IL), КУШНИР Игал (IL)
(73) Патентообладатель(и):
ДИПБРИЗ ЛТД. (IL)
|
(54) СПОСОБ И СИСТЕМА ДЛЯ АНАЛИЗА СЕРДЕЧНО-СОСУДИСТЫХ ЗВУКОВ
(57) Реферат:
Изобретение относится к устройствам и способам для анализа звуков тела. Способ и система осуществляют анализ звуков, возникающих в по меньшей мере части сердечно-сосудистой системы человека. N преобразователей, где N – целое число, закреплены на поверхности тела в области грудной клетки. i-й преобразователь закреплен в положении х, и формирует начальный сигнал P(xi, t), выражающий волны сжатия в положении хi, где i=1…N. Сигналы P(xi, t) обрабатывают для формирования фильтрованных сигналов, в которых по меньшей мере один компонент сигналов Р(хi, t), не возникающий из сердечно-сосудистых звуков, удален. Фильтрованные сигналы можно использовать для формирования изображения, по меньшей мере, части сердечно-сосудистой системы. Изобретения позволяют повысить точность анализа движущегося изображения. 5 н. и 37 з.п. ф-лы, 6 ил.
Область техники
Настоящее изобретение относится к медицинским устройствам и способам, в частности к устройствам и способам для анализа звуков тела.
Предшествующий уровень техники
Врачи обычно используют звуки тела для диагностики различных расстройств. Врач может поместить стетоскоп на грудь или спину пациента и прослушивать дыхание и сердцебиение пациента для выявления дополнительных (т.е. ненормальных или непредвиденных) звуков легких или тонов сердца. Идентификация и классификация дополнительных звуков легких или тонов сердца часто обеспечивает важную информацию о легочных или сердечных нарушениях.
Известен также способ, согласно которому на грудь или спину пациента устанавливают один или несколько микрофонов и записывают звуки легких. В патенте США №6139505 раскрыта система, в которой на груди пациента установлена совокупность микрофонов. Записи от микрофонов при вдохе и выдохе отображаются на экране или печатаются на бумаге. Затем врач визуально оценивает записи для выявления легочного заболевания пациента. Компис и др. (Chest, 120(4), 2001) раскрывает систему, в которой М микрофонов размещены на груди пациента и звуки легких записываются. Записи формируют М линейных уравнений, которые решаются методом наименьших квадратов. Решение системы используется для определения положения в легких источника звука, обнаруженного в записях.
В патенте США № 5285788 раскрыта система формирования ультразвукового изображения ткани, имеющая акустический преобразователь и средство формирования изображения для создания изображения ткани. Система также включает в себя средство формирования изображения на основе доплер-эффекта для создания сканированного акустического изображения движущейся ткани, которое отображается путем наложения на ультразвуковое изображение.
Краткое изложение сущности изобретения
В нижеследующем описании и формуле изобретения две заданные в явном виде переменные, которые можно вычислить или измерить, считаются эквивалентными друг другу, если эти две переменные пропорциональны друг другу.
Согласно одному из вариантов осуществления настоящего изобретения предложены система и способ записи и анализа сердечно-сосудистых звуков, возникающих в сердечно-сосудистой системе. Система включает в себя совокупность из N преобразователей (микрофонов), предназначенных для закрепления на, по существу, плоском участке R спины или груди пациента в области грудной клетки. Положения на участке R выражаются двухмерными векторами положения x=(x1,x2) в двухмерной системе координат, заданной на плоском участке R. i-й преобразователь, для i = 1…N, закреплен в положении xi на участке R и формирует сигнал P(xi,t), выражающий волны сжатия в теле, поступающие в xi.
Преобразователи обычно расположены в виде матрицы, что позволяет легко закреплять их на коже человека. Такая матрица обычно может иметь вид жилета или одежды, которая легко размещается поверх грудной клетки пациента. Очевидно, что можно использовать разные матрицы для людей разных габаритов, возрастов, полов и т.д.
N сигналов P(xi,t) обрабатываются схемой обработки сигнала. Согласно изобретению сигналы фильтруются для удаления одного или нескольких компонентов сигналов, не являющихся сердечно-сосудистыми звуками, например сигналов дыхательных путей. Сердечно-сосудистые звуки обычно имеют частоты в диапазоне 6-45 Гц, тогда как звуки дыхательных путей обычно имеют частоты в диапазоне 100 – 400 Гц. Таким образом, респираторные звуки могут быть удалены из сигналов, например, с помощью полосового фильтра с полосой пропускания 15-45 Гц.
N отфильтрованных сигналов (также обозначаемые здесь P(xi,t)) могут быть обработаны для диагностирования состояния сердечно-сосудистой системы человека. Это можно делать посредством автоматической дифференциальной диагностики, в которой результаты обработки сравниваются с известными функциями или параметрами, предварительно сохраненными в базе данных и указывающими на различные заболевания.
Фильтрованные сигналы также можно обрабатывать для формирования изображения сердечно-сосудистой системы человека. Результаты этой обработки отображаются на устройстве отображения, например, с использованием шкалы уровней серого, что продемонстрировано в нижеприведенных примерах. На изображении можно наблюдать анатомические особенности сердца, например предсердия, желудочки, стенки перегородок. Изображение можно визуально или автоматически анализировать для выявления заболевания сердечно-сосудистой системы аналогично анализу изображений, полученных другими методами формирования изображения, например, рентгеновским (гамма-томография) или ультразвуковым (эхокардиография).
Область или области сердца или сердечно-сосудистой системы в отображаемом изображении, в отношении которых предполагается, что они имеют патологию, т.е. находятся в патологическом состоянии, могут быть идентифицированы на изображении тем или иным способом, например, разными цветами, разными шаблонами, написанным текстом или как-либо иначе. Термин «патологическое состояние» относится к любому отклонению от нормального, здорового состояния сердечно-сосудистой системы. Это могут быть шумы в сердце и другие гемодинамические аномалии, кровоизлияние сердца, сужение кровеносного сосуда и другие повреждения сердечно-сосудистой системы.
Кроме того, интервал времени можно разделить на совокупность подинтервалов и по отдельности обрабатывать каждый подинтервал. Изображение сердечно-сосудистой системы для каждого из этих подинтервалов можно затем определять и последовательно отображать на устройстве отображения. Таким образом, получается движущееся изображение, демонстрирующее динамические изменения, происходящие в сердечно-сосудистой системе в течение интервала времени. Это позволяет наблюдать систолы и диастолы разных частей сердца во время пульсации сердца.
В предпочтительном варианте осуществления обработка предусматривает определение на основании N сигналов средней акустической энергии, возникающей из сердечно-сосудистых звуков, обозначенной как в по меньшей мере одном положении x на участке R в интервале времени от t1 до t2. Термин «акустическая энергия» означает параметр, выражающий или приближенно выражающий произведение давления и скорости распространения массы в этом положении.
В одном варианте осуществления среднюю акустическую энергию в интервале времени от t1 до t2 получают в положении одного из микрофонов с использованием алгебраического выражения

где xi – положение микрофона.
В более предпочтительном варианте осуществления обработка предусматривает получение средней акустической энергии в интервале времени от t1 до t2 в множестве положений xi микрофонов, например, с использованием уравнения (1), и последующего вычисления в других положениях х путем интерполяции с использованием любого известного метода интерполяции.
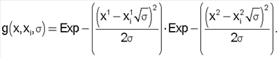
В наиболее предпочтительном варианте осуществления интерполяция осуществляется для получения средней акустической энергии в положении x = (x1,x2) на участке R с использованием алгебраического выражения

где g(x,xi, ) – ядро, удовлетворяющее условиям
,

и где – положение i-го микрофона; – выбираемый параметр.
Например, можно использовать ядро

Система может, в необязательном порядке, содержать устройство для отображения функции Функция может отображаться на дисплее, например, с использованием шкалы уровней серого, что продемонстрировано в нижеприведенных примерах. Двухмерное графическое представление функции формирует изображение сердечно-сосудистой системы. В изображении можно наблюдать анатомические особенности сердца, например предсердия, желудочки, стенки перегородок. Изображение можно анализировать для выявления нарушений сердечно-сосудистой системы аналогично анализу изображений, полученных другими методами формирования изображения, например рентгеновским (гамма-томография) или ультразвуковым (эхокардиография).
Область или области сердца или сердечно-сосудистой системы в отображаемом изображении, в отношении которых предполагается, что они находятся в патологическом состоянии, могут быть идентифицированы в изображении тем или иным способом, например разными цветами, разными шаблонами, написанным текстом или как-либо иначе. Термин «патологическое состояние» относится к любому отклонению от нормального, здорового состояния сердечно-сосудистой системы. Это могут быть шумы в сердце и другие гемодинамические аномалии, кровоизлияние сердца, сужение кровеносного сосуда и другие повреждения сердечно-сосудистой системы.
Кроме того, интервал времени можно разделить на совокупность подинтервалов и определять среднюю акустическую энергию на участке R для двух или более подинтервалов. Затем изображение для каждого из этих подинтервалов можно определять и последовательно отображать на устройстве отображения. Таким образом, формируется движущееся изображение, демонстрирующее динамические изменения акустической энергии на различных участках тела в течение интервала времени. Например, преобразователи можно размещать на груди или спине человека и определять среднюю акустическую энергию согласно изобретению для совокупности подинтервалов для одного или нескольких сокращений сердца. Изображение можно получать для каждого из этих подинтервалов и последовательно отображать для формирования движущегося изображения, демонстрирующего изменение акустической энергии сердца при сокращении сердца. Это позволяет наблюдать систолы и диастолы разных частей сердца во время пульсации сердца.
Сигналы P(xi,t) также могут подвергаться дополнительному анализу для выявления болезненных шумов сердца.
Согласно настоящему изобретению предложено также устройство хранения программ, считываемых машиной, материально реализующее программу, состоящую из команд, выполняемых машиной, чтобы осуществить этапы способа, для определения по меньшей мере для одного интервала времени функции средней акустической энергии, возникающей из сердечно-сосудистых звуков, посредством алгоритма, использующего по меньшей мере один сигнал P(xi,t), выражающий волны сжатия в положении xi на поверхности тела.
Согласно настоящему изобретению предложен также компьютерный программный продукт, содержащий носитель, на котором записан компьютерно-считываемый программный код, анализирующий звуки по меньшей мере части сердечно-сосудистой системы человека, компьютерный программный продукт содержит:
компьютерно-считываемый программный код, в соответствии с которым компьютер определяет для по меньшей мере одного интервала времени, функцию акустической энергии, возникающей из части сердечно-сосудистой системы, причем определяется посредством алгоритма, использующего по меньшей мере один сигнал P(xi,t), выражающий волны сжатия в положении xi на поверхности тела.
Согласно изобретению предложена также система для анализа звуков, возникающих в по меньшей мере части сердечно-сосудистой системы человека, содержащая:
– N преобразователей, где N – целое число, каждый из которых предназначен для размещения на поверхности тела в области грудной клетки, причем i-й преобразователь закреплен в положении xi и генерирует начальный сигнал P(xi,t), выражающий волны сжатия в положении xi; где i = 1…N;
– процессор, предназначенный для приема сигналов P(xi,t) и фильтрации сигналов P(xi,t), чтобы формировать фильтрованные сигналы, в которых по меньшей мере один компонент сигналов P(xi,t), не возникающий из сердечно-сосудистых звуков, удален.
Согласно изобретению дополнительно предложена система для анализа звуков, возникающих в по меньшей мере части сердечно-сосудистой системы человека, содержащая:
– N преобразователей, где N – целое число, каждый из которых предназначен для размещения на поверхности тела в области грудной клетки, причем i-й преобразователь закреплен в положении xi и генерирует начальный сигнал P(xi,t), выражающий волны сжатия в положении xi, где i = 1…N;
– процессор, предназначенный для приема сигналов P(xi,t) и генерирования на их основе изображения по меньшей мере части сердечно-сосудистой системы.
Согласно изобретению дополнительно предложен способ анализа звуков, возникающих в по меньшей мере части сердечно-сосудистой системы человека, содержащий этапы, на которых
закрепляют на поверхности тела в области грудной клетки N преобразователей, где N – целое число, причем i-й преобразователь закреплен в положении xi и генерирует начальный сигнал P(xi,t), выражающий волны сжатия в положении xi; где i = 1…N,
обрабатывают сигналы P(xi,t) для формирования фильтрованных сигналов, в которых по меньшей мере один компонент сигналов P(xi,t), не возникающий из сердечно-сосудистых звуков, удален.
Согласно изобретению дополнительно предложен способ анализа звуков, возникающих в по меньшей мере части сердечно-сосудистой системы человека, содержащий этапы, на которых
закрепляют на поверхности тела в области грудной клетки N преобразователей, где N-целое число, причем i-й преобразователь закреплен в положении xi и генерирует начальный сигнал P(xi,t), выражающий волны сжатия в положении xi, где i = 1…N,
обрабатывают сигналы P(xi,t) для формирования на их основании изображения по меньшей мере части сердечно-сосудистой системы.
Согласно изобретению дополнительно предложено устройство хранения программ, считываемое машиной, материально реализующее программу, состоящую из команд, выполняемых машиной для осуществления этапов способа анализа звуков, возникающих в по меньшей мере части сердечно-сосудистой системы человека, содержащих обработку N начальных сигналов P(xi,t), где N – целое число, причем начальные сигналы выражают волны сжатия в положении xi, где i = 1…N, для формирования фильтрованных сигналов, в которых, по меньшей мере, один компонент сигналов P(xi,t), не возникающий из сердечно-сосудистых звуков, удален.
Согласно изобретению дополнительно предложен компьютерный программный продукт, содержащий используемый компьютером носитель, на котором записан компьютерно-считываемый программный код, для анализа звуков, возникающих в по меньшей мере части сердечно-сосудистой системы человека, содержащий обработку N начальных сигналов P(xi,t), где N – целое число, причем начальные сигналы выражают волны сжатия в положении xi, где i = 1…N, для формирования фильтрованных сигналов, в которых по меньшей мере один компонент сигналов P(xi,t), не возникающий из сердечно-сосудистых звуков, удален.
Краткое описание чертежей
Ниже описан предпочтительный вариант осуществления, не ограничивающий объем изобретения, со ссылками на прилагаемые чертежи, на которых:
фиг.1 изображает систему для получения и анализа сердечно-сосудистых звуков согласно изобретению;
фиг.2 – блок-схему этапов осуществления способа анализа сердечно-сосудистых звуков согласно изобретению;
фиг.3 – схему размещения преобразователей на спине человека для анализа сердечно-сосудистых звуков согласно изобретению;
фиг.4 – последовательные кадры движущегося изображения сердца здорового человека в течение одного сокращения сердца согласно изобретению;
фиг.5 – последовательные кадры движущегося изображения сердца и легких человека в течение одного дыхательного цикла согласно изобретению.
Подробное описание изобретения
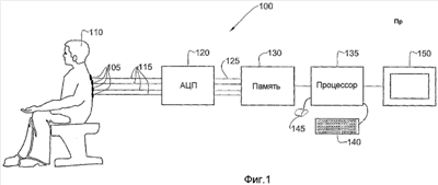
Система 100 (фиг.1) для анализа звуков тела в трехмерной области тела человека согласно изобретению содержит N преобразователей 105 звука, показано четыре, которые установлены в плоской области груди или спины на коже человека 110. Преобразователи 105 могут представлять собой преобразователи звука любого типа, например микрофоны или детекторы доплеровского сдвига. Преобразователи 105 могут быть зафиксированы на пациенте любыми средствами, известными в технике, например, с помощью клея, присосок или крепежных ремней. Каждый преобразователь 105 формирует аналоговый сигнал 115 напряжения, выражающий волны сжатия, поступающие на преобразователь. Аналоговые сигналы 115 преобразуются в цифровую форму многоканальным аналого-цифровым преобразователем 120. Сигналы 125 цифровых данных P(xi,t) представляют волну сжатия в положении xi i-го преобразователя (i = 1 … N) в момент времени t. Сигналы 125 данных поступают в память 130. Процессор 135, предназначенный для обработки сигналов 125 данных, осуществляет доступ к данным, введенным в память. Сигналы 125 можно очищать от шума, отфильтровывая компоненты, имеющие частоты вне диапазона звуков тела, например вибрации, обусловленные движением человека. Каждый сигнал 125 также может быть подвергнут полосовой фильтрации, чтобы анализировать только компоненты сигнала в диапазоне сердечно-сосудистых звуков. Сигнал можно разделить на частотные полосы и анализировать каждую частоту в отдельности.
Устройство ввода, например клавиатуру 140 или мышь 145 компьютера, используют для ввода соответствующей информации, относящейся к обследованию, например, персональные данные пациента 110. Устройство 140 ввода также можно использовать для ввода значений времени t1 и t2. Альтернативно, моменты времени t1 и t2 могут определяться автоматически при анализе фаз дыхания в отношении сигналов P(xt,t), осуществляемом процессором 135. Процессор 135 определяет среднюю акустическую энергию по интервалу времени от t1 до t2 в по меньшей мере одном положении x на участке R при вычислении с использованием по меньшей мере одного из сигналов P(xi,t).
Значения средней акустической энергии сохраняются в памяти 130 и могут отображаться на устройстве отображения 150, например экране ЭЛТ, при диагностике, проводимой врачом.
Процессор 135 также может осуществлять автоматическую дифференциальную диагностику путем сравнения функции с известными функциями, хранящимися в памяти, указывающими на различные заболевания органов.
На фиг.2 представлена блок-схема этапов осуществления способа согласно изобретению. На этапе 200 сигналы P(xi,t) получают от N преобразователей, находящихся в заданных положениях xi для i от 1 до N на участке R на поверхности тела. На этапе 205 значения t1 и t2 либо вводят в процессор 135 с использованием устройств 140, 145 ввода, либо определяют процессором. На этапе 210 определяют среднюю акустическую энергию в по меньшей мере одном положении x на участке R в интервале времени от t1 до t2. На этапе 220 среднюю акустическую энергию отображают на дисплее 150 для по меньшей мере одного значения х. На этапе 230 определяют, следует ли определять функцию на другом интервале времени. Если да, то процесс возвращают к этапу 205. Если нет, то процесс заканчивают.
Очевидно также, что система согласно изобретению может представлять собой соответствующим образом запрограммированный компьютер. Изобретение касается также компьютерной программы, считываемой компьютером, для выполнения способа согласно изобретению. Изобретение также касается машинно-считываемой памяти, материально реализующей программу, состоящую из команд, выполняемых машиной для осуществления способа согласно изобретению.
Примеры
Для анализа сердечно-сосудистых звуков пациента использовали систему и способ согласно изобретению.
Пример 1
На фиг.3 показана запись сигналов в течение одного сокращения сердца человека. На спине человека была задана двухмерная система координат. На спине человека в области грудной клетки разместили 48 преобразователей, в положениях, указанных кружками 300. Кривые 305 изображают предполагаемые контуры легких, а кривая 306 изображает предполагаемый контур сердца. Преобразователи размещены в виде правильной прямоугольной сетки с интервалом между преобразователями по горизонтали и вертикали 2,5 см. Сигналы P(xi,t) от каждого преобразователя записывали в течение одного сокращения сердца. Каждый сигнал фильтровали с использованием полосового фильтра с диапазоном 6-45 Гц для удаления звуков дыхательных путей. Период сокращения сердца разделили на интервалы длительностью 0,1 с, и для каждого интервала получали с использованием вышеприведенных уравнений (1) и (2) с ядром g согласно уравнению (5) при =36 пикселей. На фиг.4 представлены изображения, полученные из полученных функций путем затенения уровнями серого. Изображения могут отображаться на устройстве 150 отображения в быстрой последовательности для создания движущегося изображения сердца в течение сокращения сердца. Движущееся изображение можно анализировать для определения значений основных параметров сердечной функции, например, диастолического объема конца левого желудочка (LVED), систолического объема конца левого желудочка (LVES), диастолического объема конца правого желудочка (RVED), систолического объема конца правого желудочка (EVES), диастолического диаметра конца левого предсердия (LAED), диастолического диаметра конца правого предсердия (LAES), толщины стенки межжелудочковой перегородки (систолической и диастолической) и параметров, выводимых из этих параметров, например, ударного объема левого желудочка, минутного сердечного выброса левого желудочка, доля выброса, доля (часть) сокращения левого желудочка, утолщения межжелудочковой перегородки. Движущееся изображение также можно анализировать для выявления пороков сердца, например дисфункции клапана и аритмии сердца.
Пример 2
Сигналы P(xi,t) получали от каждого преобразователя, как описано в примере 1, и затем записывали в течение одного дыхательного цикла, который включает в себя около 5 сокращений сердца. Каждый сигнал разделили на два подсигнала P1(xi,t) и P2(xi,t) с разными полосами частот. Подсигнал P1(xi,t) получали, фильтруя сигнал с использованием полосового фильтра с диапазоном 6-40 Гц. Подсигнал P2(xi,t) получали, фильтруя сигнал с использованием полосового фильтра с диапазоном 100-150 Гц. Подсигнал P1(xi,t) состоит, в основном, из шумов сердца, а подсигнал P2(xi,t) состоит, в основном, из звуков легких. Подсигнал P1(xi,t) анализировали способом согласно изобретению а подсигнал P2(xi,t) анализировали согласно способу, раскрытому в патентной заявке США № 10/338742, поданной 9 января 2003 г. Сигнал P2(xi,t) разделяли на интервалы длительностью 0,25 с, и сигнал P1(xi,t) разделяли на интервалы длительностью 0,1 с. Для каждого интервала из P1(xi,t) и P2(xi,t) соответственно получали функции и с использованием уравнений (1) и (2) с ядром g согласно уравнению (5) при = 36 пикселей. Две функции отображали предпочтительно одновременно на устройстве отображения путем затенения интенсивности, с использованием отдельного цвета для каждой функции. На фиг.5 показаны изображения полученных функций и одновременно путем затенения уровнями серого. Изображения могут отображаться на устройстве 150 отображения в быстрой последовательности для создания движущегося изображения сердца в течение сокращения сердца. Движущееся изображение можно анализировать для определения значений параметров сердечной функции, например минутного сердечного выброса и фракции выброса крови. Движущееся изображение также можно анализировать для выявления пороков сердца, например дисфункции клапана и аритмии сердца.
Формула изобретения
1. Система анализа звуков, возникающих в по меньшей мере части сердечно-сосудистой системы пациента, содержащая N преобразователей, где N – целое число, причем каждый преобразователь выполнен с возможностью закрепления на поверхности тела пациента в области грудной клетки, причем i-й преобразователь закреплен в положении хi и предназначен для генерирования начального сигнала Р(хi, t), индицирующего волны давления в положении хi, для i=1…N, процессор, выполненный с возможностью приема сигналов Р(хi, t) и для фильтрации сигналов Р(хi, t), чтобы сформировать фильтрованные сигналы, в которых по меньшей мере один компонент сигналов Р(хi, t), не возникающий из сердечно-сосудистых звуков, удален, при этом процессор дополнительно конфигурирован для определения функции в одном или более местоположений х в соответствии с алгоритмом, включающим в себя
определение средней акустической энергии в интервале времени от t1 до t2 в множестве местоположений хi преобразователей и определение средней акустической энергии в по меньшей мере одном местоположении х путем интерполяции полученного значения .
2. Система по п.1, отличающаяся тем, что фильтрованные сигналы звуков дыхательных путей удалены.
3. Система по п.1, отличающаяся тем, что содержит полосовой фильтр с полосой пропускания 15-45 Гц для отфильтровывания начальных сигналов, являющихся респираторными звуками.
4. Система по п.1 отличающаяся тем, что дополнительно содержит двухмерное устройство отображения.
5. Система по п.1, отличающаяся тем, что процессор дополнительно конфигурирован для формирования изображения по меньшей мере части сердечно-сосудистой системы из по меньшей мере одного из фильтрованных сигналов.
6. Система по п.1, отличающаяся тем, что процессор конфигурирован для формирования изображения по меньшей мере части сердечно-сосудистой системы в множество моментов времени или в течение множества последовательных интервалов времени и последовательного представления изображения на устройстве отображения.
7. Система по п.4, отличающаяся тем, что процессор дополнительно конфигурирован для представления изображения по меньшей мере части сердечно-сосудистой системы на устройстве отображения.
8. Система по п.1, отличающаяся тем, что процессор дополнительно конфигурирован для определения средней акустической энергии сердечно-сосудистой системы в по меньшей мере одном местоположении х в интервале времени от первого времени t1 до второго времени t2, причем определяется посредством алгоритма с использованием по меньшей мере одного из обработанных сигналов.
9. Система по п.8, отличающаяся тем, что процессор дополнительно конфигурирован для сравнения средней акустической энергии с одной или несколькими заранее определенными функциями и для определения функции среди функций , наиболее сходной с .
10. Система по п.9, отличающаяся тем, что процессор дополнительно конфигурирован для постановки диагноза на основании определенной функции.
11. Система по п.8, отличающаяся тем, что средняя акустическая энергия в интервале времени от t1 до t2 определяется в местоположении хi преобразователя с использованием алгебраического выражения

12. Система по п.8, отличающаяся тем, что процессор дополнительно конфигурирован для определения средней акустической энергии в интервале времени от t1 до t2 в множестве местоположений xi преобразователей с использованием алгебраического выражения

13. Система по п.8, отличающаяся тем, что процессор дополнительно конфигурирован для определения средней акустической энергии в по меньшей мере одном местоположении х путем интерполяции полученного значения с использованием алгебраического выражения

где – функция, удовлетворяющая соотношению:

приблизительно равно 1.
14. Система по п.13, отличающаяся тем, что является функцией

15. Система по п.8, отличающаяся тем, что процессор дополнительно конфигурирован для отображения средней акустической энергии на устройстве отображения.
16. Система по п.1, отличающаяся тем, что процессор конфигурирован для определения средней акустической энергии в множестве последовательных интервалов времени, причем каждое значение средней акустической энергии определяется в соответствии с алгоритмом, связанным с использованием по меньшей мере с одним из сигналов Р(хi, t).
17. Система по п.16, отличающаяся тем, что процессор конфигурирован для последовательного отображения на устройстве отображения представления каждого полученного значения средней акустической энергии.
18. Система по п.1, отличающаяся тем, что процессор конфигурирован для того, чтобы для каждой из одной или более полос частот осуществлять полосовую фильтрацию сигналов Р(хi, t) в заданной полосе частот и определять функцию средней акустической энергии для указанной полосы частот на основе по меньшей мере одного из фильтрованных сигналов.
19. Система по п.18, отличающаяся тем, что процессор конфигурирован для отображения одной или более функций средней акустической энергии, определенных для полосы частот на устройстве отображения.
20. Способ анализа звуков, возникающих в по меньшей мере части сердечно-сосудистой системы пациента, заключающийся в том, что закрепляют на поверхности тела в области грудной клетки N преобразователей для получения N сигналов, где N – целое число, причем 1-й преобразователь закрепляют в положении хi и он индицирует начальный сигнал Р(хi, t), выражающий волны давления в местоположении xi, для i=1…N, обрабатывают сигналы Р(хi, t), чтобы сформировать фильтрованные сигналы, в которых по меньшей мере один компонент сигналов Р(хi, t), не возникающий из сердечно-сосудистых звуков, удален, функцию определяют в одном или более положений х в соответствии с алгоритмом, содержащим определение средней акустической энергии в интервале времени от t1 до t2 в множестве местоположений хi преобразователей и
определение средней акустической энергии в по меньшей мере одном местоположении х путем интерполяции определенного 
21. Способ по п.20, отличающийся тем, что звуки дыхательных путей отфильтровывают из начальных сигналов.
22. Способ по п.20, отличающийся тем, что начальные сигналы отфильтровывают посредством полосового фильтра с полосой пропускания 15-45 Гц для отфильтровывания сигналов, являющихся респираторными звуками.
23. Способ по п.20, отличающийся тем, что дополнительно отображают изображение по меньшей мере части сердечно-сосудистой системы на устройстве отображения.
24. Способ по п.20, отличающийся тем, что дополнительно формируют изображение по меньшей мере части сердечно-сосудистой системы из по меньшей мере одного из отфильтрованных сигналов.
25. Способ по п.20, отличающийся тем, что дополнительно формируют изображение по меньшей мере части сердечно-сосудистой системы в множестве моментов времени или в течение множества последовательных интервалов времени и последовательно отображают изображения на устройстве отображения.
26. Способ по п.20, отличающийся тем, что дополнительно определяют среднюю акустическую энергию возникающую из сердечно-сосудистой системы в по меньшей мере одном местоположении х в течение интервала времени от первого времени t1 до второго времени t2, причем определяют в соответствии с алгоритмом, связанным с по меньшей мере одним из обработанных сигналов.
27. Способ по п.26, отличающийся тем, что дополнительно сравнивают среднюю акустическую энергию с одной или более заранее определенными функциями и определяют функцию среди функций , наиболее сходную с .
28. Способ по п.27, отличающийся тем, что посредством процессора дополнительно ставят диагноз на основе определенной функции.
29. Способ по п.26, отличающийся тем, что среднюю акустическую энергию в интервале времени от t1 до t2 определяют в местоположении xi преобразователя с использованием алгебраического выражения

30. Способ по п.26, отличающийся тем, что среднюю акустическую энергию в интервале времени от t1 до t2 определяют в множестве местоположений хi преобразователей с использованием алгебраического выражения

31. Способ по п.26, отличающийся тем, что среднюю акустическую энергию определяют в по меньшей мере одном местоположении х путем интерполяции полученного значения с использованием алгебраического выражения

где – функция, удовлетворяющая соотношению

приблизительно равно 1.
32. Способ по п.31, отличающийся тем, что является функцией, соответствующей

33. Способ по п.26, отличающийся тем, что дополнительно отображают среднюю акустическую энергию на устройстве отображения.
34. Способ по п.20, отличающийся тем, что дополнительно определяют среднюю акустическую энергию в множестве последовательных интервалов времени, причем каждое значение средней акустической энергии определяют в соответствии с алгоритмом с использованием по меньшей мере одного из сигналов Р(хi, t).
35. Способ по п.34, отличающийся тем, что дополнительно последовательно отображают на устройстве отображения представление каждого полученного значения средней акустической энергии.
36. Способ по п.20, отличающийся тем, что дополнительно определяют среднюю акустическую энергию в множестве последовательных интервалов времени, причем каждую среднюю акустическую энергию определяют посредством алгоритма, связанного, по меньшей мере, с одним из сигналов P(xi, t).
37. Способ по п.20, отличающийся тем, что дополнительно для каждой из одной или более полос частот осуществляют полосовую фильтрацию сигналов Р(хi, t) в указанной полосе частот,
определяют функцию средней акустической энергии для указанной полосы частот на основе по меньшей мере одного из фильтрованных сигналов.
38. Способ по п.37, отличающийся тем, что дополнительно отображают на устройстве отображения одну или более функций средней акустической энергии, определенных для полосы частот.
39. Процессор, предназначенный для приема сигналов Р(хi, t) и генерирования из них изображения по меньшей мере части сердечно-сосудистой системы.
40. Применение способа анализа звуков заявленного в п.20 для диагностики нарушений сердечно-сосудистой системы.
41. Применение по п.40, в котором указанное заболевание выбрано из группы, состоящей из по меньшей мере аритмии сердца и заболевания сердечного клапана.
42. Машиночитаемый носитель данных, содержащий компьютерную программу, исполнение которой обеспечивает обработку N начальных сигналов Р(хi, t), где N – целое число, причем указанные сигналы индицируют волны давления в положении xi, где i=1…N, для формирования фильтрованных сигналов, в которых по меньшей мере один компонент сигналов Р(хi, t), не возникающий из сердечно-сосудистых звуков, удален.
РИСУНКИ
MM4A – Досрочное прекращение действия патента СССР или патента Российской Федерации на изобретение из-за неуплаты в установленный срок пошлины за поддержание патента в силе
Дата прекращения действия патента: 02.06.2009
Извещение опубликовано: 27.07.2010 БИ: 21/2010
|
|