|
|
(21), (22) Заявка: 2007114295/09, 16.09.2005
(24) Дата начала отсчета срока действия патента:
16.09.2005
(30) Конвенционный приоритет:
17.09.2004 US 60/611,028 28.01.2005 US 11/047,347
(43) Дата публикации заявки: 27.10.2008
(46) Опубликовано: 10.02.2009
(56) Список документов, цитированных в отчете о поиске:
WO 2004/015946 А1, 19.02.2004. RU 2242087 С2, 10.12.2004. RU 2187209 С2, 10.08.2002. US 2004/166887 А1, 26.08.2004.
(85) Дата перевода заявки PCT на национальную фазу:
17.04.2007
(86) Заявка PCT:
US 2005/033133 (16.09.2005)
(87) Публикация PCT:
WO 2006/034020 (30.03.2006)
Адрес для переписки:
129090, Москва, ул.Б.Спасская, 25, стр.3, ООО “Юридическая фирма Городисский и Партнеры”, пат.пов. А.В.Мицу, рег.№ 364
|
(72) Автор(ы):
НАМГООНГ Дзуне (US), СЮЙ Хао (US), БЛЭК Питер Дж. (US), ДЖАЯРАМАН Срикант (US)
(73) Патентообладатель(и):
КВЭЛКОММ ИНКОРПОРЕЙТЕД (US)
|
(54) ОЦЕНКА ДИСПЕРСИИ ШУМА В БЕСПРОВОДНОЙ СВЯЗИ ДЛЯ ОБЪЕДИНЕНИЯ РАЗНЕСЕНИЯ И МАСШТАБИРОВАНИЯ В СООТВЕТСТВИИ С ЛОГАРИФМИЧЕСКИМ ПРАВДОПОДОБИЕМ
(57) Реферат:
Изобретение относится к методам оценки дисперсии шума в системе беспроводной связи. Достигаемый технический результат – усовершенствование процесса демодуляции – путем учета теплового шума для одной или более антенн. Оценка дисперсии шума предусматривает: прием сигнала (402), включающего в себя OFDM-символ, имеющий внутриполосные тона, включающие в себя внутриполосные пилотные тона, и пограничные тона, включающие в себя пограничные пилотные тона и защитные тона; оценку эффективной дисперсии шума внутриполосных тонов (702) с помощью внутриполосных пилотных тонов и оценок канала для внутриполосных пилотных тонов; оценку эффективной дисперсии шума пограничных тонов (704) с помощью пограничных пилотных тонов, оценок канала для пограничных пилотных тонов и защитных тонов. 9 н. и 41 з.п. ф-лы, 7 ил.
Испрашивание приоритета согласно 35 U.S.C. §119
Настоящая заявка на патент испрашивает приоритет Предварительной заявки № 60/611028, озаглавленной “Noise Variance Estimation for Diversity Combining and Log-likelihood Ratio (LLR) Scaling in Platinum Broadcast”, зарегистрированной 17 сентября 2004 года и переуступленной правопреемнику этой заявки и в явном виде включенной в настоящий документ посредством ссылки.
Область техники, к которой относится изобретение
Настоящая заявка относится к телекоммуникационным системам, а более конкретно к методам оценки дисперсии шума при беспроводной связи.
Уровень техники
В типичной системе связи данные, которые должны передаваться, кодируются с помощью турбокода, который формирует последовательность символов, упоминаемую как “кодовые символы”. Несколько кодовых символов могут быть объединены в блок и отображены на точку в сигнальной совокупности, тем самым формируя последовательность комплексных “символов модуляции”. Эта последовательность может быть подана на модулятор, который формирует непрерывный временной сигнал, который передается по беспроводному каналу.
В приемном устройстве символы модуляции могут не соответствовать точной позиции точки в исходной сигнальной совокупности вследствие шума и других возмущений в канале. Демодулятор может быть использован для того, чтобы принимать мягкие решения в отношении тех символов модуляции, которые с наибольшей долей вероятности переданы, на основе принятых точек в сигнальной совокупности. Мягкие решения могут быть использованы для определения коэффициента логарифмического правдоподобия (LLR) кодовых символов. Турбодекодер использует последовательность LLR кодовых символов для декодирования переданных данных.
В приемном устройстве, использующем множество антенн, метод взвешенного объединения пилот-сигналов (PWC) часто используется для объединения мягких решений для каждой антенны. Объединенные мягкие решения затем могут быть использованы для вычисления LLR кодовых символов. Одна проблема в этом подходе заключается в возможных различиях теплового шума для каждой антенны.
Как результат, процедура PWC для объединения мягких решений может не оптимизировать отношение “сигнал-шум” (SNR). Следовательно, в данной области техники есть потребность в усовершенствованном процессе демодуляции, который принимает во внимание тепловой шум для одной или более антенн, установленных в приемном устройстве.
Сущность изобретения
В одном аспекте настоящего изобретения способ оценки дисперсии шума включает в себя этап, на котором принимают сигнал, включающий в себя символ мультиплексирования с ортогональным частотным разделением каналов (OFDM). OFDM имеет внутриполосные тона, включающие в себя внутриполосные пилотные тона, и пограничные (на краях полосы) тона, включающие в себя пограничные пилотные тона и защитные тона. Способ дополнительно включает в себя этапы, на которых оценивают эффективную дисперсию шума для внутриполосных тонов с помощью пилотных тонов и оценок канала для внутриполосных пилотных тонов и оценивают эффективную дисперсию шума для пограничных тонов с помощью пограничных пилотных тонов, оценок канала для пограничных пилотных тонов и защитных тонов.
В другом аспекте настоящего изобретения способ оценки дисперсии шума включает в себя этапы, на которых принимают сигнал, включающий в себя множество OFDM-символов, каждый из которых имеет внутриполосные тона, включающие в себя внутриполосные пилотные тона, и пограничные тона, включающие в себя пограничные пилотные тона и защитные тона, оценивают эффективную дисперсию шума для внутриполосных тонов одного из OFDM-символов посредством оценки дисперсии шума для внутриполосных тонов одного или более OFDM-символов, взвешивания оценок дисперсии шума, объединения взвешенных оценок дисперсии шума и масштабирования объединенных взвешенных оценок дисперсии шума и оценивают эффективную дисперсию шума для пограничных тонов упомянутого одного из OFDM-символов с помощью пограничных пилотных тонов для упомянутого одного из OFDM-символов, оценок канала для пограничных пилотных тонов для упомянутого одного из OFDM-символов и защитных тонов для упомянутого одного из OFDM-символов.
В еще одном другом аспекте настоящего изобретения способ оценки дисперсии шума включает в себя этапы, на которых принимают сигнал, включающий в себя множество OFDM-символов, каждый из которых имеет внутриполосные тона, включающие в себя внутриполосные пилотные тона, и пограничные тона, включающие в себя пограничные пилотные тона и защитные тона, оценивают эффективную дисперсию шума для внутриполосных тонов одного из OFDM-символов с помощью внутриполосных пилотных тонов для упомянутого одного из OFDM-символов и оценок канала для упомянутого одного из OFDM-символов, причем оценки канала являются усредненными во времени по двум и более OFDM-символам, и оценивают эффективную дисперсию шума для пограничных тонов упомянутого одного из OFDM-символов с помощью пограничных пилотных тонов упомянутого одного из OFDM-символов, оценок канала для пограничных пилотных тонов упомянутого одного из OFDM-символов и защитных тонов упомянутого одного из OFDM-символов.
В дополнительном аспекте настоящего изобретения способ оценки дисперсии шума включает в себя этапы приема сигнала, включающего в себя множество OFDM-символов, каждый из которых имеет внутриполосные тона, включающие в себя внутриполосные пилотные тона, и пограничные тона, включающие в себя пограничные пилотные тона и защитные тона, оценки эффективной дисперсии шума для внутриполосных тонов одного из OFDM-символов с помощью внутриполосных пилотных тонов упомянутого одного из OFDM-символов и оценок канала упомянутого одного из OFDM-символов, и оценивают эффективную дисперсию шума для пограничных тонов упомянутого одного из OFDM-символов посредством оценки средней эффективной дисперсии шума пограничных тонов из пограничных пилотных тонов упомянутого одного из OFDM-символов, оценки канала для пограничных пилотных тонов для упомянутого одного из OFDM-символов и защитных тонов упомянутого одного из OFDM-символов, назначения пограничных тонов OFDM-символа эффективной дисперсии шума, равной максимуму из средней эффективной дисперсии шума пограничных тонов и эффективной дисперсии шума внутриполосных тонов, и интерполяции эффективной дисперсии шума пограничных тонов между эффективной дисперсией шума пограничных тонов и эффективной дисперсией шума внутриполосных тонов.
В еще одном дополнительном аспекте настоящего изобретения демодулятор, выполненной с возможностью приема сигнала, включающего в себя OFDM-символ, имеющий внутриполосные тона, включающие в себя внутриполосные пилотные тона, и пограничные тона, включающие в себя пограничные пилотные тона и защитные тона, при этом демодулятор включает в себя блок оценки канала, выполненный с возможностью формирования оценок канала для внутриполосных пилотных тонов и оценки канала для пограничных пилотных тонов, блок внутриполосной оценки, выполненный с возможностью оценки эффективной дисперсии шума внутриполосных тонов с помощью внутриполосных пилотных тонов и оценок канала для внутриполосных пилотных тонов, и блок пограничной оценки, предназначенный для оценки эффективной дисперсии шума для пограничных тонов с помощью пограничных пилотных тонов, оценок канала для пограничных пилотных тонов и защитных тонов.
В другом аспекте настоящего изобретения демодулятор, предназначенный для приема сигнала, включающего в себя множество OFDM-символов, каждый из которых имеет внутриполосные тона, включающие в себя внутриполосные пилотные тона, и пограничные тона, включающие в себя пограничные пилотные тона и защитные тона, при этом демодулятор включает в себя блок оценки канала, предназначенный для формирования оценок канала для пограничных пилотных тонов одного из OFDM-символов, блок внутриполосной оценки, предназначенный для оценки эффективной дисперсии шума внутриполосных тонов упомянутого одного из OFDM-символов посредством оценки дисперсии шума внутриполосных тонов одного или более OFDM-символов, взвешивания оценок дисперсии шума, объединения взвешенных оценок дисперсии шума и масштабирования объединенных взвешенных оценок дисперсии шума, и блок пограничной оценки, предназначенный для оценивания эффективной дисперсии шума для пограничных тонов упомянутого одного из OFDM-символов с помощью пограничных пилотных тонов упомянутого одного из OFDM-символов, оценок канала для пограничных пилотных тонов упомянутого одного из OFDM-символов и защитных тонов упомянутого одного из OFDM-символов.
В еще одном другом аспекте настоящего изобретения демодулятор, предназначенный для приема сигнала, включающего в себя множество OFDM-символов, каждый из которых имеет внутриполосные тона, включающее в себя внутриполосные пилотные тона, и пограничные тона, включающие в себя пограничные пилотные тона и защитные тона, при этом демодулятор включает в себя блок оценки канала, предназначенный для формирования оценок канала для внутриполосных пилотных тонов одного из OFDM-символов и оценки канала для пограничных пилотных тонов упомянутого одного из OFDM-символов, причем оценки канала для внутриполосных пилотных тонов упомянутого одного из OFDM-символов являются усредненными во времени по двум и более OFDM-символам, блок внутриполосной оценки, предназначенный для оценивания эффективной дисперсии шума внутриполосных тонов упомянутого одного из OFDM-символов с помощью внутриполосных пилотных тонов упомянутого одного из OFDM-символов и оценок канала упомянутого одного из OFDM-символов, и блок пограничной оценки, предназначенный для оценивания эффективной дисперсии шума для пограничных тонов упомянутого одного из OFDM-символов с помощью пограничных пилотных тонов упомянутого одного из OFDM-символов, оценки канала для пограничных пилотных тонов упомянутого одного из OFDM-символов и защитных тонов упомянутого одного из OFDM-символов.
В дополнительном аспекте настоящего изобретения демодулятор, предназначенный для приема сигнала, включающего в себя множество OFDM-символов, каждый из которых имеет внутриполосные тона, включающие в себя внутриполосные пилотные тона, и пограничные тона, включающие в себя пограничные пилотные тона и защитные тона, при этом демодулятор включает в себя блок оценки канала, предназначенный для формирования оценок канала для внутриполосных тонов одного из OFDM-символов и оценки канала для пограничных пилотных тонов упомянутого одного из OFDM-символов, блок внутриполосной оценки, предназначенный для оценивания эффективной дисперсии шума внутриполосных тонов упомянутого одного из OFDM-символов с помощью внутриполосных пилотных тонов упомянутого одного из OFDM-символов, и блок пограничной оценки, предназначенный для оценивания эффективной дисперсии шума для пограничных тонов упомянутого одного из OFDM-символов посредством оценки средней эффективной дисперсии шума пограничных тонов упомянутого одного из OFDM-символов из пограничных пилотных тонов упомянутого одного из OFDM-символов, оценок канала для пограничных пилотных тонов упомянутого одного из OFDM-символов и защитных тонов упомянутого одного из OFDM-символов, назначения пограничных тонов OFDM-символа эффективной дисперсии шума, равной максимуму из средней эффективной дисперсии шума пограничных тонов упомянутого одного из OFDM-символов и эффективной дисперсии шума внутриполосных тонов упомянутого одного из OFDM-символов, и интерполяции эффективной дисперсии шума пограничных тонов между эффективной дисперсией шума пограничных тонов и эффективной дисперсией шума внутриполосных тонов.
Понятно, что другие варианты осуществления настоящего изобретения будут очевидны специалистам в данной области техники из последующего подробного описания, в котором различные варианты осуществления изобретения показаны и описаны в качестве иллюстрации. Понятно, что изобретение допускает другие и отличающиеся варианты осуществления и его определенные детали могут быть модифицированы в различных аспектах без отступления от сущности и объема настоящего изобретения. Следовательно, чертежи и подробное описание должны рассматриваться как иллюстративные, а не ограничительные по своей природе.
Краткое описание чертежей
Фиг. 1 – концептуальная блок-схема, иллюстрирующая пример системы связи;
Фиг. 2 – концептуальная блок-схема, иллюстрирующая пример передающего устройства, осуществляющего связь с приемным устройством;
Фиг. 3 – пример сигнала передачи для гибридной системы связи с множественным доступом, осуществляющей связь CDMA и OFDM;
Фиг. 4 – концептуальная блок-схема, иллюстрирующая функциональные возможности OFDM-демодулятора в приемном устройстве гибридной системы связи с множественным доступом;
Фиг. 5 – концептуальная блок-схема, иллюстрирующая функциональные возможности OFDM-демодулятора в приемном устройстве с двумя антеннами гибридной системы связи с множественным доступом;
Фиг. 6 – графическая иллюстрация OFDM-символа в частотной области; и
Фиг. 7 – концептуальная блок-схема, иллюстрирующая функциональные возможности блока оценки канала, обеспечивающего вычисление эффективной дисперсии шума для соответствующей антенны.
Подробное описание изобретения
Изложенное ниже описание, иллюстрируемое прилагаемыми чертежами, представляет различные варианты осуществления настоящего изобретения, а не единственно возможные варианты осуществления изобретения на практике. Подробное описание включает в себя конкретные детали для целей более полного понимания настоящего изобретения. Тем не менее, специалистам в данной области техники должно быть очевидно, что настоящее изобретение может быть реализовано без этих конкретных деталей. В некоторых случаях хорошо известные структуры и компоненты показаны в форме блок-схемы, чтобы не загромождать описание изобретения несущественными деталями.
Фиг. 1 – концептуальная блок-схема, иллюстрирующая пример системы связи. Система 100 связи может включать в себя сеть доступа (AN) 102, которая поддерживает связь между любым числом AT 104. AN 102 также может быть соединена с дополнительными сетями 110A и 110B за пределами AN 102, например, Интернетом, корпоративной сетью интранет, коммутируемой телефонной сетью общего пользования (PSTN), широковещательной сетью или любой другой сетью. Терминалом доступа (AT) 104 может быть любой тип стационарного или мобильного устройства, которое может обмениваться данными с AN 102, в том числе, но не только, беспроводная трубка или телефон, сотовый телефон, приемопередатчик данных, пейджинговый приемник, приемник определения местоположения, модем или любой другой беспроводной терминал.
AN 102 может быть реализована с помощью любого числа базовых станций, распределенных по географическому региону. Географический регион может быть разделен на регионы меньших размеров, называемые сотами, при этом базовая станция обслуживает каждую соту. В приложениях с большим объемом трафика сота может быть дополнительно разделена на секторы, причем базовая станция обслуживает каждый сектор. Для простоты показана одна базовая станция (BS) 106. Контроллер базовой станции (BSC) 108 может быть использован для того, чтобы координировать работу нескольких базовых станций, а также предоставлять интерфейс с сетями за пределами AN 102.
Фиг. 2 – концептуальная блок-схема, иллюстрирующая пример передающего устройства, поддерживающего связь с приемным устройством. Передающее устройство 202 и приемное устройство 204 могут быть автономными объектами или могут интегрироваться в систему связи. В системе связи передающее устройство 202 может находиться в базовой станции 106, а приемное устройство 204 может находиться в AT 104. Альтернативно, передающее устройство 202 может находиться в AT 104, а приемное устройство 204 может находиться в базовой станции 106.
В приемном устройстве 202 турбокодер 206 может быть использован для применения процесса итеративного кодирования данных, чтобы способствовать прямому исправлению ошибок (FEC). Процесс кодирования приводит к последовательности кодовых символов с избыточностью, используемой приемным устройством 204 для исправления ошибок. Кодовые символы могут предоставляться в модулятор 208, где они объединяются в блоки и отображаются на координаты сигнальной совокупности. Координаты каждой точки в сигнальной совокупности представляют квадратурные компоненты базовой полосы, которые используются аналоговым входным каскадом 210 для модуляции квадратурных сигналов несущей перед передачей по беспроводному каналу 212.
Аналоговый входной каскад 214 в приемном устройстве 204 может быть использован для преобразования квадратурных сигналов несущей в их компоненты базовой полосы. Демодулятор 216 может преобразовать компоненты базовой полосы обратно в корректные точки в сигнальной совокупности. Вследствие шума и других возмущений в канале 212 компоненты базовой полосы могут не соответствовать действительным позициям в исходной сигнальной совокупности. Демодулятор 216 определяет, какие символы модуляции были переданы, наиболее вероятно, посредством корректировки принимаемых точек в сигнальной совокупности посредством частотной характеристики канала и выбора действительных символов в сигнальной совокупности, которые являются ближайшими к скорректированным принятым точкам. Эти варианты выбора упоминаются как “мягкие решения”. Мягкие решения используются модулем 218 вычисления LLR для определения LLR кодовых символов. Турбодекодер 220 использует последовательность LLR кодовых символов для декодирования первоначально переданных данных.
Система связи может быть реализована с помощью различных технологий. Множественный доступ с кодовым разделением каналов (CDMA), который широко известен в данной области техники, является только одним примером. CDMA – это схемы модуляции и множественного доступа на основе связи с расширенным спектром. В системе связи CDMA большое число сигналов совместно используют один частотный спектр; как результат, эта система предоставляет высокую пропускную способность для пользователей. Это достигается посредством передачи каждого сигнала с различным кодом и расширения тем самым спектра формы сигнала. Передаваемые сигналы разделяются в приемном устройстве посредством демодулятора, который использует соответствующий код для сжатия спектра сигнала. Нежелательные сигналы, т.е. сигналы, имеющие другой код, не подвергаются сжатию спектра и вносят вклад в шум.
Мультиплексирование с ортогональным частотным разделением каналов (OFDM) – это еще один пример технологии, которая может быть реализована посредством системы связи. OFDM является методом расширения спектра, в котором данные распределяются по большому числу несущих, разнесенных на точно определенные частоты. Разнесение обеспечивает “ортогональность”, не позволяя приемному устройству принимать частоты, отличные от тех, которые предназначены для данного приемного устройства. Метод OFDM, хорошо известный в данной области техники, как правило, используется для коммерческого и частного вещания, но не ограничен этими вариантами осуществления.
По меньшей мере, в одном варианте осуществления системы связи может быть использована гибридная схема множественного доступа, поддерживающая как CDMA так и OFDM-передачи. Гибридная система получает всеобщее признание в области широковещательных услуг, интегрированных в существующие инфраструктуры, причем эти инфраструктуры первоначально были разработаны для поддержки двухточечной связи между передающим устройством и приемным устройством. Другими словами, система связи двухточечного типа также используется для широковещательных передач по принципу “от одной точки к множеству точек” посредством использования OFDM-модуляции в сочетании с другими технологиями. В этих системах передающее устройство может быть использовано для того, чтобы “прокалывать” OFDM-символы в сигнал CDMA.
На Фиг.3 показан пример сигнала передачи для гибридной системы связи с множественным доступом, поддерживающей передачи как CDMA, так и OFDM. Структура сигнала передачи, а также заданные временные периоды, длина элементарных сигналов и диапазоны значений предоставляются в качестве примера с пониманием того, что другие временные периоды, длины элементарных сигналов и диапазоны значений могут быть использованы без отступления от базовых принципов работы системы связи. Термин “элементарный сигнал” упоминается в данном документе как единица времени двоичного цифрового выходного сигнала генератора кода расширения спектра. Этот пример согласуется с системой, поддерживающей протокол “cdma2000 High Rate Packet Data Air Interface Specification,” TIA/EIA/IS-856.
Сигнал 300 передачи может определяться в кадрах. Кадр может включать в себя 16 временных интервалов 302, причем каждый временной интервал 302 соответствует 2048 элементарным сигналам. Временной интервал 302 имеет продолжительность в 1,66 миллисекунд (мс), и, следовательно, продолжительность кадра составляет 26,66 мс. Каждый временной интервал 302 может быть поделен на два временных интервала 302A, 302B полупериода, при этом пакеты 304A, 304B пилотных тонов CDMA передаются в течение каждого временного интервала 302A, 302B полупериода соответственно. Каждый пакет 304A, 304B пилотных тонов CDMA может иметь длину 96 элементарных сигналов, центрированных вокруг средней точки связанного с ним временного интервала 302A, 302B полупериода. Канал 306A, 306B, 306C, 306D управления доступом к передающей среде (MAC) может содержать два пакета, которые передаются сразу после пакета 304A, 304B пилотных тонов каждого временного интервала 302A, 302B полупериода. MAC может включать в себя до 64 кодовых каналов с расширением спектра, которые ортогонально накрываются 64-рязрядными кодами Уолша. MAC-каналы могут быть использованы для передачи служебных сигналов CDMA, таких как управление мощностью, управление скоростью передачи данных и т.п. Данные могут передаваться в оставшиеся части 308A, 308B первого временного интервала 302A полупериода и оставшиеся части 308C, 308D второго временного интервала 302B полупериода.
В одном варианте осуществления гибридной системы связи четыре OFDM-символа могут “прокалываться” в части данных временного интервала 302. Это дает в итоге нулевой OFDM-символ 308A в начале первого временного интервала 302A полупериода, первый OFDM-символ 308B в конце первого временного интервала 302A полупериода, второй OFDM-символ 308C в начале второго временного интервала 302B полупериода и третий OFDM-символ в конце второго временного интервала 302B полупериода. В этом примере каждый OFDM-символ имеет 400 элементарных сигналов. Цикличный префикс 310 занимает 80 элементарных сигналов, оставляя 320 элементарных сигналов для передачи данных и пилотных тонов. 320 элементарных сигналов преобразуются в 320 равноотстоящих ортогональных тонов по частотному диапазону. Поскольку на тоны на краях частотного диапазона могут оказывать влияние помехи по соседнему каналу (ACI), можно принять решение не передавать данные на этих тонах. Вместо этого края частотного диапазона, упоминаемые как “защитные диапазоны”, могут быть использованы для передачи ” пилотных тонов” и “защитных тонов”. Тона, на которые не влияют ACI, типично используются для передачи символов модуляции с размещаемыми в промежутках пилотными тонами. Защитные тона и пилотные тона модулируются известными данными. В зависимости от варианта применения защитные тона и пилотные тона могут быть одинаковыми или различаться.
На Фиг.4 показана это концептуальная блок-схема, иллюстрирующая функциональные возможности OFDM-демодулятора в приемном устройстве гибридной системы связи с множественным доступом. OFDM-демодулятор 402 может быть интегрирован в объект обработки или распределен по любому числу блоков обработки в приемном устройстве. Блок (или блоки) обработки может включать в себя микропроцессор, процессор цифровых сигналов (DSP) или любой другой основанный на аппаратных средствах или программном обеспечения блок (или блоки) обработки. Альтернативно, OFDM-демодулятор 402 может быть отдельным блоком обработки, например, микропроцессором, DSP, программируемой логикой, специализированными аппаратными средствами или любым другим блоком, обеспечивающим обработку информации.
OFDM-демодулятор 402 может включать в себя блок дискретного преобразования Фурье (DFT) 404, который может использоваться для обработки OFDM-символов. Блок DFT 402 может использоваться для преобразования OFDM-символа из временной области в частотную область. Выходной сигнал блока DFT 404 может подаваться в фильтр 406 пилотных тонов последовательным способом. Фильтр 406 пилотных тонов может быть реализован как прореживатель для выбора пилотных тонов. Прореживатель также может выбирать все защитные тона. Сигнализация от фильтра 406 пилотных тонов в фильтр 407 тонов данных может быть использована для указания, когда фильтр 407 тонов данных должен передавать данные из блока DFT 404 в блок 410 обратного преобразования сигналов. Блок 410 обратного преобразования сигналов принимает мягкое решение в отношении символа модуляции в сигнальной совокупности наиболее вероятно переданного в тоне данных. Это решение основано на принимаемых данных и оценке частотной характеристики канала, предоставляемой блоком 408 оценки канала. Блок 408 оценки канала может оценивать частотную характеристику канала из пилотных тонов с помощью процедуры оценки канала по методу наименьших квадратов или любой другой надлежащей процедуры.
Блок 408 оценки канала может быть реализован с помощью блока обратного дискретного преобразования Фурье (IDFT) 412. Блок IDFT 412 преобразует пилотные тоны из частотной области в оценку импульсной характеристики канала длиной P выборок во временной области, где P – число пилотных тонов в OFDM-символе. Частотная характеристика канала затем может быть оценена для всех тонов из оценки импульсной характеристики канала с помощью процесса интерполяции, реализованного посредством блока DFT 414. Число выборок, используемых блоком DFT 414 для вычисления оценки канала, может быть уменьшено, если фактическая импульсная характеристика канала меньше PT, где 1/T равно частоте следования элементарных сигналов OFDM-символа. В этом случае частотная характеристика канала может быть оценена из L выборок, где LT равно продолжительности импульсной характеристики канала. Термин L, в общем, упоминается как “разброс задержек” импульсной характеристики канала.
Оценка канала может быть улучшена посредством усреднения по времени оценок канала для всех OFDM-символов в любом данном временном интервале. В примере, описанном на фиг.3, четыре оценки канала из четырех ODFM-символов могут быть усреднены по времени. В идеале неказуальный симметричный фильтр должен быть использован для усреднения по времени оценок канала для четырех ODFM-символов. В качестве примера оценка канала для первого OFDM-символа 308B может быть вычислена посредством усреднения оценок канала для нулевого, первого и второго OFDM-символов 308A, 308B, 308C. Аналогично оценка канала для второго OFDM-символа 308C может быть вычислена посредством усреднения первого, второго и третьего OFDM-символов 308B, 308C, 308D. Этот подход минимизирует смещение оценки канала, вызываемое вариацией канала, вводимой доплеровским эффектом. Однако для нулевого и третьего OFDM-символов 308A, 308D это невозможно, поскольку соседние временные интервалы могут содержать CDMA-сигналы. Следовательно, неказуальный фильтр не может быть применен к нулевому и третьему OFDM-символам 308A, 308D. Вместо этого оценка канала для нулевого OFDM-символа 308A может быть вычислена посредством процесса взвешенного усреднения между нулевым и первым OFDM-символами 308A, 308B, а оценка канала для третьего OFDM-символа 308D может быть вычислена посредством процесса взвешенного усреднения между вторым и третьим OFDM-символами 308C, 308D. Альтернативно, оценка канала для нулевого OFDM-символа 308A может быть вычислена посредством процесса взвешенного усреднения между нулевым, первым и вторым OFDM-символами 308A, 308B, 308C, а оценка канала для третьего OFDM-символа 308D во временном интервале может быть вычислена посредством процесса взвешенного усреднения между первым, вторым и третьим OFDM-символами 308B, 308C, 308D. Второй подход, тем не менее, может вызывать существенный сдвиг оценки канала при высоких скоростях мобильных устройств. В любом случае оценки канала для первого и второго OFDM-символов 308B, 308C во временном интервале должны быть более точными, чем оценки канала для нулевого и третьего OFDM-символов 308a, 308d в том же временном интервале.
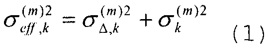
В вариантах применения с множеством антенн, использующих методы объединения разнесенных сигналов, последовательность мягких решений может быть сформирована для каждой антенны. Мягкие решения для любого данного тона (k) могут быть объединены методом оптимального объединения (MRC) до подачи в модуль вычисления LLR. Метод MRC масштабирует каждое мягкое решение для данного тона посредством для m-той антенны, где эффективная дисперсия шума определяется следующим уравнением:

где – среднеквадратическая ошибка (MSE) оценки канала для k-того тона, принятого посредством m-той антенны;
– дисперсия шума k-того тона, принятого посредством m-тй антенны.
Фиг.5 – концептуальная блок-схема, иллюстрирующая функциональные возможности OFDM-демодулятора в приемном устройстве с двумя антеннами гибридной системы связи с множественным доступом. OFDM-демодулятор 502 может быть реализован в отдельном блоке обработки, распределен по нескольким блокам или интегрирован в другой блок приемного устройства таким же образом, как и OFDM-модулятор, описанный в связи с фиг.4. OFDM-демодулятор 502 показан с двумя каналами 502A, 502B демодуляции, по одному на каждую антенну, но может быть реализован с любым числом каналов демодуляции в зависимости от числа антенн в приемном устройстве. В этом примере блок 504A, 504B оценки дисперсии шума в каждом канале 502A, 502B демодуляции, соответственно, оценивает эффективную дисперсию шума для каждого тона. Мягкие решения, формируемые каждым блоком 410A, 410B обратного преобразования сигналов, выдаются в преобразователь 506A, 506B масштаба, где они масштабируются посредством перед объединением с другими масштабированными мягкими решениями посредством сумматора 508.
На Фиг.6 показана графическая иллюстрация OFDM-символа в частотной области. Как описано выше в связи с фиг.3, каждый OFDM-символ может включать в себя защитные диапазоны 602A, 602B, содержащие только пилотные и защитные тона. Тона, на которые не влияют ACI, типично используются для передачи символов модуляции с размещаемыми в промежутках пилотными тонами; тем не менее, тон, на который не влияют ACI, все же может иметь оценку канала, на которую влияют ACI. Это обусловлено тем, что оценка канала вычисляется из интерполяции нескольких пилотных тонов, и в некоторых случаях эти пилотные тона могут находиться в области защитных диапазонов. Эти тона за пределами областей защитных диапазонов, на оценку канала которых влияют ACI, а также тона в областях защитных диапазонов упоминаются как “пограничные тона”. Эти тона могут обнаруживаться в пограничных зонах 604A, 604B частотного диапазона для OFDM-символа. Остальные тона с оценками канала, на которые не влияют ACI, упоминаются как “внутриполосные тона” и могут обнаруживаться во внутриполосной области 606 OFDM-символа.
На Фиг.7 показана концептуальная блок-схема, иллюстрирующая функциональные возможности блока оценки канала, обеспечивающего вычисление эффективной дисперсии шума для соответствующей антенны. Блок 504 оценки дисперсии шума может быть использован для выполнения этого вычисления. Блок оценки 504 дисперсии шума может быть реализован как часть блока 408 оценки канала, может быть отдельным блоком, может быть реализован как часть другого блока обработки в приемном устройстве или его функциональные средства могут быть распределены по любому числу блоков обработки в приемном устройстве.
Блок 504 оценки дисперсии шума может включать блок 702 внутриполосной оценки, предназначенный для вычисления эффективной дисперсии шума внутриполосных тонов, и блок 704 пограничной оценки, предназначенный для вычисления эффективной дисперсии шума пограничных тонов. Выходной сигнал блока 702 и выходной сигнал блока 704 подаются в мультиплексор (MUX) 703 или коммутатор. Выходной сигнал из MUX 703 затем подается в преобразователь 506 масштаба. Эффективная дисперсия шума внутриполосных тонов может быть вычислена из внутриполосных пилотных тонов и оценок канала для внутриполосных пилотных тонов. Эффективная дисперсия шума пограничных тонов может быть вычислена из пограничных пилотных тонов и оценок канала для пограничных пилотных тонов. Точность эффективной дисперсии шума пограничных тонов может быть также повышена за счет использования тонов защитного диапазона.
Ниже описана работа блока внутриполосной оценки. Внутриполосные тона – это тона, для которых MSE оценок канала связаны с дисперсией шума тонов следующим уравнением:

где cn,l – усредненные по времени весовые коэффициенты оценки характеристик канала n-ного OFDM-символа, а – дисперсия шума тонов, принимаемых посредством m-той антенны, на которые не влияют ACI. Индекс тона, или подстрочный индекс k, может быть опущен, поскольку дисперсия шума может предполагаться одинаковой для всех внутриполосных тонов.
Таким образом, эффективная дисперсия шума связана с дисперсией шума следующим уравнением:

Дисперсия шума может быть вычислена и масштабирована с помощью уравнения (3), чтобы сформировать эффективную дисперсию шума .
Набор внутриполосных пилотных тонов может быть задан как A ={k; – (P-G)/2, где G>0 такое, чтобы MSE усредненных по времени оценок характеристик канала k-того пилотного тона могло быть представлено следующим уравнением:
, для k и n=0, 1, 2, 3 (4)
где =N/P – разнесение пилотных тонов, N – число ортогональных тонов, P – число пилотных тонов, а (G-1) – число пилотных тонов, для которых на оценки канала влияют ACI.
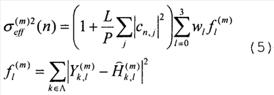
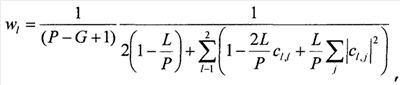
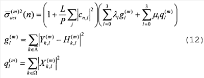
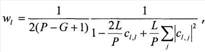
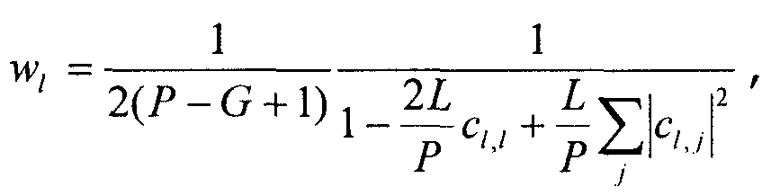
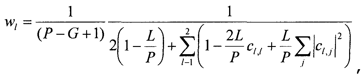
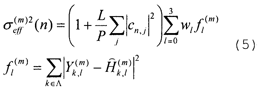
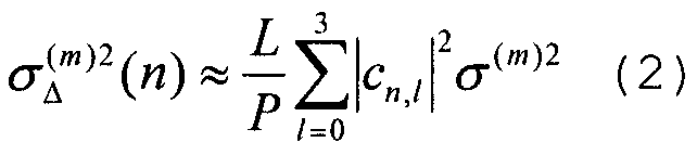
Предусмотрено четыре набора усредненных по времени весовых коэффициентов оценки канала: (c0,0, c0,1, c0,2, c0,3) для нулевого OFDM-символа, (c1,0, c1,1, c1,2, c1,3) для первого OFDM-символа, (c2,0, c2,1, c2,2, c2,3) для второго OFDM-символа и (c3,0, c3,1, c3,2, c3,3) для третьего OFDM-символа. Блок оценки внутриполосной эффективной дисперсии шума для n-ного OFDM-символа определяется следующим образом:

где wi – весовые коэффициенты объединения, так что среднее равно ;
– наблюдаемые пилотные сигналы, соответствующие k-тому пилотному тону l-того OFDM-символа;
– оценка канала для k-того пилотного тона l-того OFDM-символа.
Пример является иллюстративным. В этом примере блок оценки дисперсии шума использует только первый и второй OFDM-символы для оценивания дисперсии шума, что может быть представлено следующим образом:
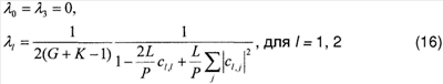
w0=w3=0,
и
, для l = 1, 2 (6)
Можно показать, что среднее равно . Таким образом, среднее равно , поскольку существует внутриполосных пилотных тонов на OFDM-символ, и при помощи весовых коэффициентов среднее становится равным .
В примерном алгоритме только первый и второй OFDM-символы используются для оценок канала. Таким образом, среднее эффективной дисперсии шума может быть представлено следующим образом:

Весовые коэффициенты предназначены для случая, когда первый и второй OFDM-символы используют одинаковые неказуальные симметричные усредненные по времени весовые коэффициенты, т.е. (c1,0, c1,1, c1,2, c1,3) = (1/3, 1/3, 1/3, 0) и (c2,0, c2,1, c2,2, c2,3) = (0, 1/3, 1/3, 1/3). Тем не менее, нулевой и третий символы используют различные фильтры усреднения по времени, к примеру, (c0,0, c0,1, c0,2, c0,3) = (2/3, 1/3, 0, 0) и (c3,0, c3,1, c3,2, c3,3) = (0, 0, 1/3, 2/3). В этом случае усредненные по времени оценки канала для нулевого и третьего OFDM-символов могут иметь большое смещение вследствие изменений во времени канала при высокой скорости мобильных устройств. Как следствие, условие может уже не удовлетворяться. Следовательно, оценки канала только для первого и второго OFDM-символов используются в этом примере.
Альтернативно, оценка канала может быть основана только на одном OFDM-символе. В этом случае эффективная дисперсия шума может быть оценена следующим образом:

при

Среднее эффективной дисперсии шума такое же, как ранее. Следовательно, дисперсия больше, чем при использовании двух OFDM-символов. Другими словами, первое менее точно, чем второе.
Точность эффективной дисперсии шума может быть повышена посредством использования нулевого и третьего OFDM-символов, но оценки характеристик канала и , используемые в и , выполняются без усреднения по времени, т.е. (c0,0, c0,1, c0,2, c0,3)=(1, 0, 0, 0) и (c3,0, c3,1, c3,2, c3,3)=(0, 0, 0, 1). В этом случае весовые коэффициенты могут быть представлены следующим образом:

для l = 0, 1, 2, 3 (10)
Итак, блок внутриполосной оценки может быть использован для вычисления fi m или суммы внутриполосных тонов для получения оценки , которая пропорциональна дисперсии шума внутриполосных тонов. Объединение весовых коэффициентов затем может выбираться таким образом, чтобы среднее результата было таким же, как для каждого OFDM-символа (n=0, 1, 2, 3), т.е. . (E[X] означает ожидание или среднее случайной переменной X).
Ввиду различия весовых коэффициентов усреднения по времени cn,l для каждого OFDM-символа выражение также может отличаться для каждого символа. Это может приводить к тому, что различные тона в различных OFDM-символах одного временного интервала имеют различные эффективные дисперсии шума. Это должно быть скорректировано в вычислении LLR посредством выражения .
Далее описывается блок пограничной оценки. Как описано выше, внутриполосные тона и пограничные тона могут быть определены посредством сравнения MSE оценки характеристик канала для k-того тона с помощью , где – дисперсия шума тонов, на которые не влияют ACI. Если они близки друг к другу, то тона классифицируются как внутриполосные тона. В противном случае они классифицируются как пограничные тона. С учетом разброса задержек L, числа пилотных тонов P и характеристик ACI, таких как разнесение соседних несущих и их мощность относительно , отношение между MSE оценки канала для k-того тона и дисперсией шума может быть определено с помощью математического анализа или моделирования. Это может выполняться на стадии системного проектирования до того, как блок оценки дисперсии шума интегрируется в приемное устройство AT и затем сохраняется в запоминающем устройстве.
Набор пограничных пилотных тонов может представляться как ; (P-G)/2 /2-1, или -P/2 P-G)/2-1}, где G-1 – число пограничных пилотных тонов, а k – индекс пилотного тона. Этот набор может быть определен на стадии системного проектирования и сохранен в запоминающем устройстве.
Пример является иллюстративным. В этом примере N=320. Так что индекс тона k проходит от -160 до 159, (т.е. k=-160, -159, -158, … -1, 0, 1 … 158, 159). Предусмотрено 64 пилотных тона (т.е. P = 64) и 15 пограничных пилотных тонов (т.е. G-16). Пилотные тоны разнесены на пять частотных тонов (т.е. индексы тонов: k=-160, -155, … -5, 0, 5, … 150, 155.). На основе этих условий внутриполосные тона могут быть представлены посредством -120<k<120, внутриполосные пилотные тона могут быть представлены посредством индексов пилотных тонов -24<k<24, пограничные пилотные тона могут быть представлены посредством индексов тонов 121<k<159 и -160<k<-121, пограничные пилотные тона могут быть представлены посредством индексов пилотных тонов 25<k<31 и -32<k<-25, а защитные тона могут быть представлены посредством индексов тонов 150<k<159 и -160<k<-151. Но пилотные тона “проколоты” в защитные тона, и в результате тона при k=-160, -155, 150, 155 являются пилотными тонами. Следовательно, имеется K=20-4=16 защитных тонов. Предусмотрено 241 внутриполосных тонов и 79 пограничных тонов. Таким образом, большинство тонов являются внутриполосными тонами. Этот пример также показывает данные, передаваемые на некоторых пограничных тонах.
Дисперсия шума пограничного тона – это сумма дисперсии шума внутриполосных тонов и дисперсии ACI для пограничных тонов. MSE оценки канала для пограничного тона – это сумма MSE оценки канала для внутриполосных тонов и компонента, обусловленного ACI. В общем, величина помех по соседнему каналу в каждом пограничном тоне отличается от тона к тону. Следовательно, трудно точно оценивать эффективные дисперсии шума для пограничных тонов. Однако с учетом того факта, что в оценки дисперсии шума включены ACI, можно улучшить рабочие характеристики. Это достигается посредством корректировки искажений LLR, вычисленных из тонов, на которые влияют ACI.
Блок оценки дисперсии шума может быть разработан таким образом, чтобы при отсутствии ACI удовлетворялось следующее уравнение:

Другими словами, если нет ACI, среднее блока оценки дисперсии шума должно быть таким же, как и эффективная дисперсия шума.
Блок оценки дисперсии шума может быть использован для учета увеличения эффективной дисперсии шума вследствие ACI. Это может достигаться посредством использования пограничных тонов и защитных тонов для оценки эффективной дисперсии шума. Среднее оценки не будет таким же, как и эффективная дисперсия шума. Однако оно будет больше, чем оценка внутриполосной дисперсии шума. Следовательно, искажения пограничных тонов корректируются при вычислении LLR.
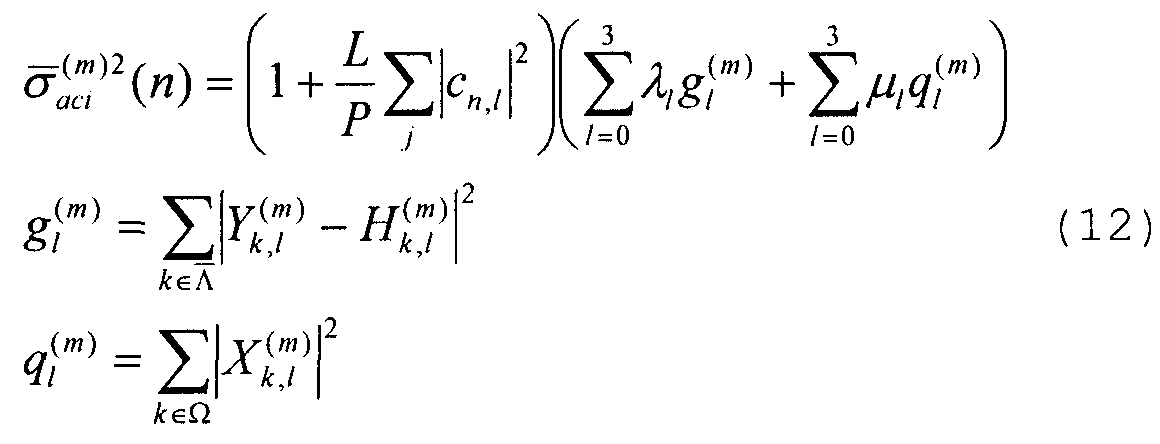
Может быть использован следующий алгоритм блока пограничной оценки. Этот алгоритм может быть использован для вычисления среднего дисперсий пограничных тонов следующим образом:

где – набор индексов защитных тонов;
– k-тый тон для l-того OFDM-символа;
, где =N/P – разнесение пилотных тонов. В качестве примера первый пилотный тон является пятым тоном OFDM-символа, поэтому ;
и – весовые коэффициенты суммирования.
K – число элементов в наборе , т.е. число защитных тонов в OFDM-символе. Если имеется шестнадцать защитных тонов, в качестве примера K равно 16.
и выбираются на этапе системного проектирования таким образом, чтобы при отсутствии ACI выполнялось следующее отношение:

где E[X] означает математическое ожидание или среднее значение случайной переменной X. При отсутствии ACI это условие делает среднее таким же, как эффективная дисперсия шума. При наличии ACI может быть использовано в качестве оценки эффективной дисперсии шума для пограничных тонов (т.е. k=((N/2)-1) и k=-(N/2)). Отметим, что пограничный тон при k=((N/2)-1) – это самый правый тон при положительной частоте, и пограничный тон при k=-(N/2) – это самый левый тон при отрицательной частоте.
При отсутствии ACI эффективная дисперсия шума на границе полосы должна быть такой же, как и внутриполосная эффективная дисперсия шума. Но при наличии ACI пограничная эффективная дисперсия шума превышает внутриполосную эффективную дисперсию шума. Поскольку оценки дисперсии шума имеют шумы, возможно, что соотношение некорректно. Таким образом, значение может быть переопределено следующим образом. Максимум и оценка внутриполосных тонов принимаются в качестве дисперсий пограничных тонов:

где – оценка внутриполосной эффективной дисперсии шума для n-ного OFDM-символа.
Затем эффективная дисперсия шума других пограничных тонов, , интерполируется между внутриполосной дисперсией и .
При отсутствии ACI среднее равно . Таким образом, среднее равно , поскольку в сумме присутствует (G-1) элементов. Среднее равно , поскольку нет сигнала в защитных тонах.
Следовательно, среднее задается посредством следующего уравнения:

где K – число защитных тонов. Таким образом, посредством надлежащего выбора и можно сделать среднее таким же, как и .
При наличии ACI содержат вклад, обусловленный ACI. Поэтому становится больше , чтобы учитывать возросшую эффективную дисперсию шума. Это используется при вычислении LLR, чтобы скорректировать искажения LLR из пограничных тонов.
Может быть приведен другой пример.


где K – число защитных тонов в OFDM-символе, т.е. число элементов в наборе , а G-1 – число пограничных пилотных тонов. Если используются только защитные тона:
, (18)
и

В различных вариантах осуществления приемного устройства способы вычисления эффективных дисперсий шума OFDM-символов описаны для вариантов применения с множеством антенн, использующих методы разнесения. Однако способ, описанный в данной заявке, для вычислений дисперсий шума OFDM-символов может иметь множество применений. В качестве примера дисперсии шума OFDM-символов могут быть полезны для оценок SNR, вычисления LLR и других функций обработки. В применениях с множеством антенн вычисления дисперсии шума могут быть использованы для определения, какая антенна является более надежной. Они также могут использоваться для коррекции искажений менее надежных данных и акцентирования более надежных данных, принимаемых в OFDM-символах, при вычислении LLR. Специалистам в данной области техники будет понятно множество применений, в которых может быть полезна информация о дисперсии шума.
Различные иллюстративные логические блоки, модули, схемы, элементы и компоненты, описанные в связи с раскрытыми в данном документе вариантами осуществления, могут быть реализованы или выполнены с помощью процессора общего назначения, процессора цифровых сигналов (DSP), специализированной интегральной схемы (ASIC), программируемой пользователем матричной БИС (FPGA) или другого программируемого логического устройства, дискретного логического элемента или транзисторной логики, дискретных компонентов аппаратных средств или любого их сочетания, предназначенного, чтобы выполнять описанные в данном документе функции. Процессором общего назначения может быть микропроцессор, но в альтернативном варианте процессором может быть любой традиционный процессор, контроллер, микроконтроллер или конечный автомат. Процессор также может быть реализован как сочетание вычислительных компонентов, к примеру, сочетание DSP и микропроцессора, множество микропроцессоров, один или более микропроцессоров вместе с ядром DSP либо любая другая подобная конфигурация.
Способы или алгоритмы, описанные в связи с раскрытыми в данном документе вариантами осуществления, могут быть реализованы непосредственно в аппаратных средствах, в программном модуле, приводимом в исполнение процессором, или в их сочетании. Программный модуль может постоянно размещаться в ОЗУ, флэш-памяти, ПЗУ, электрически программируемом ПЗУ (ЭППЗУ), электрически стираемом программируемом ПЗУ (ЭСППЗУ), регистрах, на жестком диске, сменном диске, компакт-диске (CD-ROM) или любой другой форме носителя хранения данных, известной в данной области техники. Носитель хранения данных может быть соединен с процессором, так чтобы процессор мог считывать информацию и записывать информацию на носитель хранения данных. В альтернативном варианте носитель хранения данных может быть встроен в процессор.
Предшествующее описание раскрытых вариантов осуществления предоставлено для того, чтобы дать возможность любому специалисту в данной области техники создавать или использовать настоящее изобретение. Различные модификации в этих вариантах осуществления должны быть очевидными для специалистов в данной области техники, а описанные в данном документе общие принципы могут быть применены к другим вариантам осуществления без отступления от существа и объема изобретения. Таким образом, настоящее изобретение не предназначено для ограничения показанными в данном документе вариантами осуществления, а должно соответствовать самому широкому объему, согласованному с принципами и новыми признаками, раскрытыми в данном документе.
Формула изобретения
1. Способ оценки дисперсии шума, содержащий этапы, на которых: принимают сигнал, включающий в себя символ мультиплексирования с
ортогональным частотным разделением каналов (OFDM), имеющий внутриполосные тона, включающие в себя внутриполосные пилотные тона, и пограничные тона, включающие в себя пограничные пилотные тона и защитные тона;
оценивают эффективную дисперсию шума для внутриполосных тонов с помощью внутриполосных пилотных тонов и оценок канала для внутриполосных пилотных тонов; и
оценивают эффективную дисперсию шума для пограничных тонов с помощью пограничных пилотных тонов, оценок канала для пограничных пилотных тонов и защитных тонов.
2. Способ по п.1, в котором эффективную дисперсию шума для внутриполосных тонов оценивают посредством оценки дисперсии шума внутриполосных тонов и масштабирования оцененной дисперсии шума посредством преобразователя масштаба, причем преобразователь масштаба является функцией разброса задержек, используемого для оценивания канала, и числа пилотных тонов в OFDM-символе.
3. Способ по п.2, в котором дисперсию шума внутриполосных тонов оценивают из внутриполосных пилотных тонов и оценок канала для внутриполосных пилотных тонов.
4. Способ по п.1, в котором эффективную дисперсию шума пограничных тонов оценивают посредством:
оценки средней эффективной дисперсии шума пограничных тонов из пограничных пилотных тонов, оценок канала для пограничных пилотных тонов и защитных тонов;
назначения пограничным тонам OFDM-символа эффективной дисперсии шума, равной максимуму из средней эффективной дисперсии шума пограничных тонов и эффективной дисперсии шума внутриполосных тонов; и
интерполяции эффективной дисперсии шума пограничных тонов между эффективной дисперсией шума пограничных тонов и эффективной дисперсией шума внутриполосных тонов.
5. Способ по п.4, в котором среднюю эффективную дисперсию шума оценивают посредством оценки дисперсии шума пограничных тонов и масштабирования оцененной дисперсии шума посредством преобразователя масштаба, причем преобразователь масштаба является функцией разброса задержек, используемого для оценивания канала, и числа пилотных тонов в OFDM-символе.
6. Способ по п.5, в котором дисперсию шума пограничных тонов оценивают из пограничных пилотных тонов, оценок канала для пограничных пилотных тонов и защитных тонов.
7. Способ оценки дисперсии шума, содержащий этапы, на которых:
принимают сигнал, включающий в себя множество символов мультиплексирования с ортогональным частотным разделением каналов (OFDM), каждый из которых имеет внутриполосные тона, включающие в себя внутриполосные пилотные тона, и пограничные тона, включающие в себя пограничные пилотные тона и защитные тона;
оценивают эффективную дисперсию шума для внутриполосных тонов одного из OFDM-символов посредством оценки дисперсии шума для внутриполосных тонов одного или более OFDM-символов, взвешивания оценок дисперсии шума, объединения взвешенных оценок дисперсии шума и масштабирования объединенных взвешенных оценок дисперсии шума; и
оценивают эффективную дисперсию шума для пограничных тонов упомянутого одного из OFDM-символов с помощью пограничных пилотных тонов для упомянутого одного из OFDM-символов, оценок канала для пограничных пилотных тонов для упомянутого одного из OFDM-символов и защитных тонов для упомянутого одного из OFDM-символов.
8. Способ по п.7, в котором весовые коэффициенты, применяемые к оценкам дисперсии шума, таковы, что среднее объединенных взвешенных оценок дисперсии шума, по существу, равно дисперсии шума внутриполосных тонов.
9. Способ по п.7, в котором дисперсию шума внутриполосных тонов упомянутого одного из OFDM-символов оценивают из внутриполосных пилотных тонов упомянутого одного из OFDM-символов и оценок канала для внутриполосных пилотных тонов упомянутого одного из OFDM-символов, причем оценки канала для внутриполосных пилотных тонов упомянутого одного из OFDM-символов усредняют по времени в течение двух или более OFDM-символов.
10. Способ по п.9, в котором оценки канала для внутриполосных пилотных тонов упомянутого одного из OFDM-символов усредняют по времени с помощью неказуального фильтра.
11. Способ по п.9, в котором объединенные взвешенные оценки дисперсии шума масштабируют посредством преобразователя масштаба, причем преобразователь масштаба является функцией от весовых коэффициентов усреднения по времени для упомянутого одного из OFDM-символов.
12. Способ по п.11, в котором преобразователь масштаба дополнительно является функцией от разброса задержек, используемого для оценивания характеристик канала, и числа пилотных тонов в упомянутом одном из OFDM-символов.
13. Способ оценки дисперсии шума, содержащий этапы, на которых:
принимают сигнал, включающий в себя множество символов мультиплексирования с ортогональным частотным разделением каналов (OFDM), каждый из которых имеет внутриполосные тона, включающие в себя внутриполосные пилотные тона, и пограничные тона, включающие в себя пограничные пилотные тона и защитные тона;
оценивают эффективную дисперсию шума для внутриполосных тонов одного из OFDM-символов с помощью внутриполосных пилотных тонов для упомянутого одного из OFDM-символов и оценок канала для упомянутого одного из OFDM-символов, причем оценки канала являются усредненными во времени по двум и более OFDM-символам; и
оценивают эффективную дисперсию шума для пограничных тонов упомянутого одного из OFDM-символов с помощью пограничных пилотных тонов для упомянутого одного из OFDM-символов, оценок канала для пограничных пилотных тонов для упомянутого одного из OFDM-символов и защитных тонов для упомянутого одного из OFDM-символов.
14. Способ по п.13, в котором оценки канала усредняют по времени с помощью неказуального фильтра.
15. Способ по п.13, в котором эффективную дисперсию шума внутриполосных тонов упомянутого одного из OFDM-символов оценивают посредством оценки дисперсии шума для внутриполосных тонов одного или более OFDM-символов, взвешивания оценок дисперсии шума, объединения взвешенных оценок дисперсии шума и масштабирования объединенных взвешенных оценок дисперсии шума, причем дисперсию шума оценивают из внутриполосных пилотных тонов упомянутого одного из OFDM-символов и оценок канала для внутриполосных пилотных тонов упомянутого одного из OFDM-символов.
16. Способ по п.15, в котором объединенные взвешенные оценки дисперсии шума масштабируют посредством преобразователя масштаба, причем преобразователь масштаба является функцией от весовых коэффициентов усреднения по времени для упомянутого одного из OFDM-символов.
17. Способ по п.16, в котором преобразователь масштаба дополнительно является функцией от разброса задержек, используемого для оценивания канала, и числа пилотных тонов в упомянутом одном из OFDM-символов.
18. Способ по п.15, в котором весовые коэффициенты, применяемые к оценкам дисперсии шума, таковы, что среднее объединенных взвешенных оценок дисперсии шума практически равно эффективной дисперсии шума.
19. Способ оценки дисперсии шума, содержащий этапы, на которых:
принимают сигнал, включающий в себя множество символов мультиплексирования с ортогональным частотным разделением каналов (OFDM), каждый из которых имеет внутриполосные тона, включающие в себя внутриполосные пилотные тона, и пограничные тона, включающие в себя пограничные пилотные тона и защитные тона;
оценивают эффективную дисперсию шума для внутриполосных тонов одного из OFDM-символов с помощью внутриполосных пилотных тонов упомянутого одного из OFDM-символов и оценок канала упомянутого одного из OFDM-символов; и
оценивают эффективную дисперсию шума пограничных тонов упомянутого одного из OFDM-символов посредством оценки средней эффективной дисперсии шума пограничных тонов из пограничных пилотных тонов упомянутого одного из OFDM-символов, оценок канала для пограничных пилотных тонов упомянутого одного из OFDM-символов и защитных тонов упомянутого одного из OFDM-символов, назначения пограничным тонам OFDM-символа эффективной дисперсии шума, равной максимуму из средней эффективной дисперсии шума пограничных тонов и эффективной дисперсии шума внутриполосных тонов, и интерполяции эффективной дисперсии шума пограничных тонов между эффективной дисперсией шума пограничных тонов и эффективной дисперсией шума внутриполосных тонов.
20. Способ по п.19, в котором среднюю эффективную дисперсию шума оценивают посредством оценки дисперсии шума для пограничных тонов одного или более OFDM-символов, взвешивания оценок дисперсии шума, объединения взвешенных оценок дисперсии шума и масштабирования объединенных взвешенных оценок дисперсии шума.
21. Способ по п.20, в котором среднюю эффективную дисперсию шума дополнительно оценивают посредством взвешивания защитных тонов одного или более OFDM-символов, объединения взвешенных защитных тонов и масштабирования объединенных взвешенных защитных тонов.
22. Способ по п.21, в котором весовые коэффициенты, применяемые к оценкам дисперсии шума и защитным тонам, таковы, что среднее объединенных взвешенных оценок дисперсии шума и объединенных взвешенных защитных тонов, по существу, равно эффективной дисперсии шума при отсутствии помех по соседнему каналу.
23. Способ по п.19, в котором оценки канала усредняют по времени по двум или более OFDM-символам.
24. Способ по п.23, в котором оценки канала усредняют по времени с помощью неказуального фильтра.
25. Демодулятор, предназначенный для приема сигнала, включающего в себя символ мультиплексирования с ортогональным частотным разделением каналов (OFDM), имеющий внутриполосные тона, включающие в себя внутриполосные пилотные тона, и пограничные тона, включающие в себя пограничные пилотные тона и защитные тона, причем демодулятор содержит:
блок оценки канала, предназначенный для формирования оценки канала для внутриполосных пилотных тонов и оценки канала для пограничных пилотных тонов;
блок внутриполосной оценки, предназначенный для оценивания эффективной дисперсии шума внутриполосных тонов с помощью внутриполосных пилотных тонов и оценок канала для внутриполосных пилотных тонов; и
блок пограничной оценки, предназначенный для оценивания эффективной дисперсии шума для пограничных тонов с помощью пограничных пилотных тонов, оценок канала для пограничных пилотных тонов и защитных тонов.
26. Демодулятор по п.25, в котором блок внутриполосной оценки выполнен с возможностью оценивания эффективной дисперсии шума для внутриполосных тонов посредством оценки дисперсии шума внутриполосных тонов и масштабирования оцененной дисперсии шума посредством преобразователя масштаба, причем преобразователь масштаба является функцией разброса задержек, используемого блоком оценки канала для оценивания канала, и числа пилотных тонов в OFDM-символе.
27. Демодулятор по п.26, в котором блок внутриполосной оценки выполнен с возможностью оценивания дисперсии шума внутриполосных тонов из внутриполосных пилотных тонов и оценок канала для внутриполосных пилотных тонов.
28. Демодулятор по п.25, в котором блок пограничной оценки выполнен с возможностью оценивания эффективной дисперсии шума пограничных тонов посредством оценки средней эффективной дисперсии шума пограничных тонов из пограничных пилотных тонов, оценок канала для пограничных пилотных тонов и защитных тонов, назначения пограничным тонам OFDM-символа эффективной дисперсии шума, равной максимуму из средней эффективной дисперсии шума пограничных тонов и эффективной дисперсии шума внутриполосных тонов, и интерполяции эффективной дисперсии шума пограничных тонов между эффективной дисперсией шума пограничных тонов и эффективной дисперсией шума внутриполосных тонов.
29. Демодулятор по п.28, в котором блок пограничной оценки выполнен с возможностью оценивания средней эффективной дисперсии шума посредством оценки дисперсии шума пограничных тонов и масштабирования оцененной дисперсии шума посредством преобразователя масштаба, причем преобразователь масштаба является функцией разброса задержек, используемого блоком оценки канала для оценивания канала, и числа пилотных тонов в OFDM-символе.
30. Демодулятор по п.29, в котором блок пограничной оценки выполнен с возможностью оценивания дисперсии шума пограничных тонов из пограничных пилотных тонов, оценок канала для пограничных пилотных тонов и защитных тонов.
31. Демодулятор, предназначенный для приема сигнала, включающего в себя множество символов мультиплексирования с ортогональным частотным разделением каналов (OFDM), каждый из которых имеет внутриполосные тона, включающие в себя внутриполосные пилотные тона, и пограничные тона, включающие в себя пограничные пилотные тона и защитные тона, причем демодулятор содержит:
блок оценки канала, предназначенный для формирования оценок канала для пограничных пилотных тонов одного из OFDM-символов;
блок внутриполосной оценки, предназначенный для оценивания эффективной дисперсии шума внутриполосных тонов упомянутого одного из OFDM-символов посредством оценки дисперсии шума внутриполосных тонов одного или более OFDM-символов, взвешивания оценок дисперсии шума, объединения взвешенных оценок дисперсии шума и масштабирования объединенных взвешенных оценок дисперсии шума; и
блок пограничной оценки, предназначенный для оценивания эффективной дисперсии шума для пограничных тонов упомянутого одного из OFDM-символов с помощью пограничных пилотных тонов упомянутого одного из OFDM-символов, оценок канала для пограничных пилотных тонов упомянутого одного из OFDM-символов и защитных тонов упомянутого одного из OFDM-символов.
32. Демодулятор по п.31, в котором весовые коэффициенты, применяемые к оценкам дисперсии шума, таковы, что среднее объединенных взвешенных оценок дисперсии шума практически равно эффективной дисперсии шума внутриполосных тонов.
33. Демодулятор по п.31, в котором блок оценки канала дополнительно обеспечивает формирование оценок канала для внутриполосных пилотных тонов упомянутого одного из OFDM-символов, причем оценки канала для внутриполосных пилотных тонов упомянутого одного из OFDM-символов являются усредненными по времени по двум или более OFDM-символам, а блок внутриполосной оценки выполнен с возможностью оценивания дисперсии шума внутриполосных тонов упомянутого одного из OFDM-символов из внутриполосных пилотных тонов упомянутого одного из OFDM-символов и оценок канала для внутриполосных пилотных тонов упомянутого одного из OFDM-символов.
34. Демодулятор по п.33, в котором блок оценки канала дополнительно обеспечивает усреднение по времени оценок канала для внутриполосных пилотных тонов упомянутого одного из OFDM-символов по упомянутым двум или более OFDM-символам с помощью неказуального фильтра.
35. Демодулятор по п.33, в котором блок внутриполосной оценки дополнительно обеспечивает масштабирование объединенных взвешенных оценок дисперсии шума посредством преобразователя масштаба, причем преобразователь масштаба является функцией от весовых коэффициентов усреднения по времени для упомянутого одного из OFDM-символов.
36. Демодулятор по п.35, в котором преобразователь масштаба дополнительно является функцией от разброса задержек, используемого блоком оценки канала для формирования оценок канала для внутриполосных пилотных тонов, и числа пилотных тонов в упомянутом одном из OFDM-символов.
37. Демодулятор, предназначенный для приема сигнала, включающего в себя множество символов мультиплексирования с ортогональным частотным разделением каналов (OFDM), каждый из которых имеет внутриполосные тона, включающие в себя внутриполосные пилотные тона, и пограничные тона, включающие в себя пограничные пилотные тона и защитные тона, причем демодулятор содержит:
блок оценки канала, предназначенный для формирования оценок канала для внутриполосных пилотных тонов одного из OFDM-символов и оценок канала для пограничных пилотных тонов упомянутого одного из OFDM-символов, причем оценки канала для внутриполосных пилотных тонов упомянутого одного из OFDM-символов являются усредненными во времени по двум и более OFDM-символам;
блок внутриполосной оценки, предназначенный для оценивания эффективной дисперсии шума внутриполосных тонов упомянутого одного из OFDM-символов с помощью внутриполосных пилотных тонов упомянутого одного из OFDM-символов и оценок канала упомянутого одного из OFDM-символов; и
блок пограничной оценки, предназначенный для оценивания эффективной дисперсии шума для пограничных тонов упомянутого одного из OFDM-символов с помощью пограничных пилотных тонов упомянутого одного из OFDM-символов, оценок канала для пограничных пилотных тонов упомянутого одного из OFDM-символов и защитных тонов упомянутого одного из OFDM-символов.
38. Демодулятор по п.37, в котором блок оценки канала выполнен с возможностью формирования оценок канала для внутриполосных пилотных тонов упомянутого одного из OFDM-символов по упомянутым двум или более OFDM-символам с помощью неказуального фильтра.
39. Демодулятор по п.37, в котором блок внутриполосной оценки дополнительно обеспечивает оценивание эффективной дисперсии шума внутриполосных тонов упомянутого одного из OFDM-символов посредством оценки дисперсии шума внутриполосных тонов одного или более OFDM-символов, взвешивания оценок дисперсии шума, объединения взвешенных оценок дисперсии шума и масштабирования объединенных взвешенных оценок дисперсии шума, причем дисперсия шума оценивается из внутриполосных пилотных тонов упомянутого одного из OFDM-символов и оценок канала для внутриполосных пилотных тонов упомянутого одного из OFDM-символов.
40. Демодулятор по п.39, в котором блок внутриполосной оценки дополнительно обеспечивает масштабирование объединенных взвешенных оценок дисперсии шума посредством преобразователя масштаба, причем преобразователь масштаба является функцией от весовых коэффициентов усреднения по времени для упомянутого одного из OFDM-символов.
41. Демодулятор по п.40, в котором преобразователь масштаба дополнительно является функцией от разброса задержек, используемого блоком оценки канала для оценивания канала упомянутого одного из OFDM-символов, и числа пилотных тонов в упомянутом одном из OFDM-символов.
42. Демодулятор по п.39, в котором весовые коэффициенты, применяемые к оценкам дисперсии шума, таковы, что среднее объединенных взвешенных оценок дисперсии шума, по существу, равно эффективной дисперсии шума упомянутого одного из OFDM-символов.
43. Демодулятор, предназначенный для приема сигнала, включающего в себя множество символов мультиплексирования с ортогональным частотным разделением каналов (OFDM), каждый из которых имеет внутриполосные тона, включающие в себя внутриполосные пилотные тона, и пограничные тона, включающие в себя пограничные пилотные тона и защитные тона, причем демодулятор содержит:
блок оценки канала, предназначенный для формирования оценок канала для внутриполосных пилотных тонов одного из OFDM-символов и оценок канала для пограничных пилотных тонов упомянутого одного из OFDM-символов;
блок внутриполосной оценки, предназначенный для оценивания эффективной дисперсии шума внутриполосных тонов упомянутого одного из OFDM-символов с помощью внутриполосных пилотных тонов упомянутого одного из OFDM-символов и оценок канала упомянутого одного из OFDM-символов; и
блок пограничной оценки, предназначенный для оценивания эффективной дисперсии шума пограничных тонов упомянутого одного из OFDM-символов посредством оценки средней эффективной дисперсии шума пограничных тонов упомянутого одного из OFDM-символов из пограничных пилотных тонов упомянутого одного из OFDM-символов, оценок канала для пограничных пилотных тонов упомянутого одного из OFDM-символов и защитных тонов упомянутого одного из OFDM-символов, назначения пограничным тонам OFDM-символа эффективной дисперсии шума, равной максимуму из средней эффективной дисперсии шума пограничных тонов упомянутого одного из OFDM-символов и эффективной дисперсии шума внутриполосных тонов упомянутого одного из OFDM-символов, и интерполяции эффективной дисперсии шума пограничных тонов между эффективной дисперсией шума пограничных тонов и эффективной дисперсией шума внутриполосных тонов.
44. Демодулятор по п.43, в котором блок пограничной оценки выполнен с возможностью оценивания средней эффективной дисперсии шума посредством оценки дисперсии шума для пограничных тонов одного или более OFDM-символов, взвешивания оценок дисперсии шума, объединения взвешенных оценок дисперсии шума и масштабирования объединенных взвешенных оценок дисперсии шума.
45. Демодулятор по п.44, в котором блок пограничной оценки дополнительно обеспечивает оценивание средней эффективной дисперсии шума посредством взвешивания защитных тонов одного или более OFDM-символов, объединения взвешенных защитных тонов и масштабирования объединенных взвешенных защитных тонов.
46. Демодулятор по п.45, в котором весовые коэффициенты, применяемые к оценкам дисперсии шума и защитным тонам, таковы, что среднее суммы объединенных взвешенных оценок дисперсии шума и объединенных взвешенных защитных тонов, по существу, равно эффективной дисперсии шума при отсутствии помех по соседнему каналу.
47. Демодулятор по п.43, в котором оценки канала, сформированные посредством блока пограничной оценки для пограничных пилотных тонов упомянутого одного из OFDM-символов, усредняются по времени по двум или более OFDM-символам.
48. Демодулятор по п.47, в котором оценки канала, сформированные посредством блока пограничной оценки для пограничных пилотных тонов упомянутого одного из OFDM-символов, усредняются по времени по двум или более OFDM-символам с помощью неказуального фильтра.
49. Устройство беспроводной связи, предназначенное для приема сигналов от множества антенн, включающих в себя сигналы, имеющие символ мультиплексирования с ортогональным частотным разделением каналов (OFDM) с внутриполосными пилотными тонами, пограничными пилотными тонами и защитными тонами, причем устройство содержит:
блок оценки канала для формирования оценок канала для внутриполосных пилотных тонов и пограничных пилотных тонов;
блок внутриполосной оценки для оценивания эффективной дисперсии шума внутриполосных тонов с помощью внутриполосных пилотных тонов и оценок канала для внутриполосных пилотных тонов;
блок пограничной оценки для оценивания эффективной дисперсии шума для пограничных тонов с помощью пограничных пилотных тонов и оценок канала для пограничных пилотных тонов; и
контроллер для оценки надежности множества антенн.
50. Устройство по п.49, в котором контроллер дополнительно предназначен для определения коэффициента логарифмического правдоподобия (LLR) для множества антенн в ответ на оценки эффективной дисперсии шума внутриполосных тонов и пограничных тонов.
РИСУНКИ
|
|