|
|
(21), (22) Заявка: 2006145908/09, 25.06.2005
(24) Дата начала отсчета срока действия патента:
25.06.2005
(30) Конвенционный приоритет:
25.06.2004 KR 10-2004-0048249 26.08.2004 KR 10-2004-0067648
(43) Дата публикации заявки: 27.06.2008
(46) Опубликовано: 10.02.2009
(56) Список документов, цитированных в отчете о поиске:
RU 2186465C1, 27.07.2002. RU 2208911 С2, 20.07.2003. US 6611551 В1, 26.08.2003. US 6567374 В1, 20.05.2003. KR 10-2000-0042359 А, 15.07.2000.
(85) Дата перевода заявки PCT на национальную фазу:
22.12.2006
(86) Заявка PCT:
KR 2005/001995 (25.06.2005)
(87) Публикация PCT:
WO 2006/001672 (05.01.2006)
Адрес для переписки:
129090, Москва, ул. Б.Спасская, 25, стр.3, ООО “Юридическая фирма Городисский и Партнеры”, пат.пов. Ю.Д.Кузнецову, рег.№ 595
|
(72) Автор(ы):
ПАРК Сунг-Еун (KR), ЧОЙ Сеунг-Хоон (KR), ПАРК Донг-Сеек (KR), КИМ Дзае-Йоел (KR), ДЗАНГ Дзи-Хо (KR), ДЗОО Пан-Йух (KR)
(73) Патентообладатель(и):
САМСУНГ ЭЛЕКТРОНИКС КО., ЛТД. (KR)
|
(54) УСТРОЙСТВО И СПОСОБ ДЛЯ ПЕРЕДАЧИ/ПРИЕМА КОНТРОЛЬНЫХ СИГНАЛОВ В СИСТЕМЕ СВЯЗИ, ИСПОЛЬЗУЮЩЕЙ СХЕМУ МУЛЬТИПЛЕКСИРОВАНИЯ С ОРТОГОНАЛЬНЫМ ЧАСТОТНЫМ РАЗДЕЛЕНИЕМ КАНАЛОВ
(57) Реферат:
Изобретение относится к технике связи. Технический результат состоит в минимизации взаимного влияния между контрольными сигналами. Для этого предложен способ для предоставления контрольного символа для идентификации базовой станции в системе связи со многими входами и многими выходами (MIMO), имеющей одну или более передающих антенн, при этом контрольный символ состоит из первой последовательности, обладающей хорошей характеристикой идентификации соты, и второй последовательности для уменьшения отношения пиковой мощности к средней мощности (PAPR) для всех контрольных символов. 5 н. и 34 з.п. ф-лы, 10 ил., 5 табл.
Область техники, к которой относится изобретение
Настоящее изобретение относится в целом к системе связи, использующей схему мультиплексирования с ортогональным частотным разделением каналов (OFDM), и в частности к устройству и способу для передачи/приема контрольных сигналов, используемых для различения базовых станций и секторов.
Уровень техники
Обширное исследование проводится в системе связи 4-го поколения (4G), которая является системой связи следующего поколения, для обеспечения пользователей услугами, имеющими различные качество и классы предоставляемых услуг передачи данных (QoS) на высоких скоростях передачи данных. В особенности, изучение системы связи 4G выполняется для предоставления высокоскоростной услуги, допускающей поддержку мобильности и QoS в системе связи с беспроводным широкополосным доступом (BWA), например системе беспроводной локальной сети (LAN) и системе беспроводной региональной сети (MAN).
В системе связи 4G ведется изучение схемы OFDM как подходящей схемы для высокоскоростной передачи данных в проводном/беспроводном канале. Схема OFDM, типовая схема для передачи данных с использованием нескольких несущих, основывается на схеме модуляции разделенной несущей (МСМ) для параллельного преобразования последовательного входного потока символов и модулирования каждого из символов с несколькими ортогональными поднесущими перед передачей.
Для того чтобы обеспечивать высокоскоростную, высококачественную беспроводную мультимедийную услугу, система связи 4G требует средств широкополосного спектра. Использование средств широкополосного спектра значительно увеличивает эффект замирания в беспроводном канале передачи, вследствие многолучевого распространения, и вызывает эффект частотно-избирательного замирания в полосе частот передачи. Для высокоскоростной беспроводной мультимедийной услуги схема OFDM, которая является устойчивой к частотно-избирательному замиранию, стремится стать более популярно используемой в системе связи 4G, так как она обладает более высоким коэффициентом усиления, чем схема множественного доступа с кодовым разделением каналов (CDMA).
Сейчас будут описаны действия передатчика и приемника для системы связи, использующей схему OFDM («система связи OFDM»).
В передатчике системы связи OFDM, входные данные модулируются с поднесущими посредством шифратора, кодера и перемежителя. Передатчик предоставляет переменную скорость передачи данных и функционирует на различных скоростях кодирования, величинах перемежения и схемах модуляции, в зависимости от скорости передачи данных. Как правило, кодер использует скорость кодирования S или s, и величина перемежителя для предотвращения пакетной ошибки определяется согласно Количеству Кодированных Битов на Символ (NCBPS). Передатчик использует одну из схем квадратурной фазовой манипуляции (QPSK), 8-позиционной схемы фазовой манипуляции (8PSK), 16-позиционной схемы квадратурной амплитудной модуляции (16QAM) и 64-позиционной схемы квадратурной амплитудной модуляции (64QAM), в качестве схемы модуляции, в соответствии со скоростью передачи данных.
Заранее определенное количество сигналов контрольной поднесущей добавляется к сигналам, модулированным с помощью вышеупомянутых элементов с заранее установленным количеством сигналов поднесущей, и формируется в один символ OFDM посредством операции обратного быстрого преобразования Фурье (IFFT) в блоке IFFT. Сигнал защитного интервала для удаления межсимвольного взаимного влияния в среде многолучевого канала вставляется в символ OFDM и затем окончательно вводится в радиочастотный (RF) процессор посредством генератора символов. Радиочастотный процессор осуществляет радиочастотную обработку входного сигнала и предает радиочастотный сигнал.
Сигнал защитного интервала вставляется для предотвращения межсимвольного взаимного влияния между символом OFDM, переданным в предыдущем интервале символа OFDM, и символом OFDM, переданным в текущем интервале символа OFDM. Защитный интервал вставляется с помощью одного из способов «Циклического префикса» и «Циклического постфикса». Способ циклического префикса копирует заранее определенное количество последних образцов символа OFDM временной области и вставляет скопированные образцы в эффективный символ OFDM, а способ циклического постфикса копирует заранее определенное количество первых образцов символа OFDM временной области и вставляет скопированные образцы в эффективный символ OFDM.
В приемнике системы связи OFDM выполняется обратный процесс по отношению к процессу, выполненному в передатчике. В приемнике также выполняется процесс синхронизации. Для принятого символа OFDM должен выполняться процесс оценки ухода частоты и ухода символа с использованием заранее определенного настроечного символа. Символ данных с удаленным защитным интервалом восстанавливается в сигналы поднесущей, к которым добавляются сигналы контрольной поднесущей посредством блока быстрого преобразования Фурье (FFT).
Для того чтобы преодолеть феномен задержки канала в существующем радиоканале, корректор оценивает условия канала для принятого сигнала канала и удаляет искажение сигнала в существующем радиоканале из принятого сигнала канала. Оцененные по каналу данные, посредством корректора, преобразуются в поток двоичных сигналов, и поток двоичных сигналов обратно перемежается обращенным перемежителем и, затем, выводится как итоговые данные через декодер и дешифратор.
В системе связи OFDM передатчик или базовая станция (BS) передает приемнику, или мобильной станции (MS), сигналы контрольной поднесущей. Базовая станция одновременно передает сигналы поднесущей данных, вместе с сигналами контрольной поднесущей. Причиной для передачи сигналов контрольной поднесущей является приобретение синхронизации, оценка канала и идентификация базовой станции. Точки, где передаются сигналы контрольной поднесущей, предопределяются между передатчиком и приемником. В результате, сигналы контрольной поднесущей служат в качестве опорных сигналов.
Сейчас будет описано действие, в котором мобильная станция идентифицирует свою базовую станцию с использованием сигналов контрольной поднесущей.
Базовая станция передает сигналы контрольной поднесущей из условия, чтобы они могли достичь границы соты с мощностью передачи, которая относительно выше, чем таковая у сигналов поднесущей данных, используя особый контрольный шаблон, по следующим причинам. После ее вхождения в соту, мобильная станция не имеет информации о ее текущей базовой станции, к которой мобильная станция теперь принадлежит. Для того чтобы обнаружить свою текущую базовую станцию, мобильной станции следует использовать только сигналы контрольной поднесущей.
Базовая станция передает сигналы контрольной поднесущей таким образом, что она передает сигналы контрольной поднесущей с использованием определенного контрольного шаблона, так что мобильная станция может обнаружить свою текущую базовую станцию.
Контрольный шаблон ссылается на шаблон, сформированный сигналами контрольной поднесущей, которые передает базовая станция. То есть контрольный шаблон устанавливается, в зависимости от угла наклона сигналов контрольной поднесущей и начальной точки, с которой начинается передача сигналов контрольной поднесущей. Система связи OFDM должна быть спроектирована из условия, чтобы базовые станции, включенные в систему связи OFDM, имели разные контрольные шаблоны для целей идентификации. Контрольный шаблон формируется путем принятия во внимание ширины полосы когерентности и времени когерентности. Ширина полосы когерентности представляет собой максимальную ширину полосы пропускания, при которой можно допустить, что канал является равномерным (останется неизменным) в частотной области. Время когерентности представляет собой максимальное время, для которого можно допустить, что канал является равномерным (останется неизменным) во временной области. Поскольку можно допустить, что каналы являются равномерными в ширине полосы когерентности и времени когерентности, приобретение синхронизации, оценка канала и идентификация базовой станции могут достигаться путем простой передачи одного сигнала контрольной поднесущей по ширине полосы когерентности в течение времени когерентности.
Передача только одного сигнала контрольной поднесущей может довести до максимума передачу сигналов данных поднесущей, которая в свою очередь вносит вклад в общую производительность системы. Максимальная полоса частот, по которой передаются сигналы контрольной поднесущей, относится к ширине полосы когерентности, и максимальный диапазон времени, т.е. максимальный диапазон времени символа OFDM, для которого передаются сигналы контрольной поднесущей, относится к времени когерентности.
Хотя количество базовых станций, включенных в систему связи OFDM, подвергается изменению, в соответствии с размером системы связи OFDM, в качестве общего правила количество базовых станций увеличивается с размером системы связи OFDM. Для идентификации базовых станций количество контрольных шаблонов, имеющих разные углы наклона и разные начальные точки, должно быть равно количеству базовых станций. Однако система связи OFDM должна принимать во внимание ширину полосы когерентности и время когерентности при передаче сигналов контрольной поднесущей в частотно-временной области, а также контрольные шаблоны, имеющие разные углы наклона и разные начальные точки, сформированные с принятием во внимание ширины полосы когерентности и времени когерентности, ограничены. Когда контрольные шаблоны формируются без какого-либо рассмотрения ширины полосы когерентности и времени когерентности, сигналы контрольной поднесущей, представляющие разные базовые станции, сосуществуют в контрольных шаблонах. В этом случае невозможно идентифицировать базовые станции с использованием контрольных шаблонов.
Фиг.1 является диаграммой, иллюстрирующей точки передачи контрольных поднесущих, основанных на контрольном шаблоне в традиционной системе связи OFDM, в которой используется только один контрольный подканал. Ссылаясь на фиг.1, возможные углы наклона для использования для формирования контрольных шаблонов и число их, т.е. возможные углы наклона для использования для передачи сигналов контрольной поднесущей и количество их ограничиваются в соответствии с шириной 100 полосы когерентности и временем 110 когерентности. На фиг.1 допускается, что когда ширина 100 полосы когерентности равна 6 и время 110 когерентности равно 1, количество углов наклона, которое может использоваться для контрольных шаблонов, есть целое число, то допустимые углы наклона для контрольных шаблонов в этом условии включают в себя 6 углов наклона с s=0 (101) по s=5 (106). То есть каждый из допустимых углов наклона для контрольных шаблонов в этом условии является одним из целых чисел, включая от 0 до 5.
Количество допустимых углов наклона для контрольных шаблонов, равное 6, означает, что количество базовых станций, которые могут быть различены с использованием контрольных шаблонов в системе связи OFDM, равно 6. На фиг.1 окружность 107, заштрихованная косыми линиями, представляет собой сигнал контрольной поднесущей, разнесенный шириной 100 полосы когерентности. В заключение, углы наклона для контрольных шаблонов ограничиваются шириной 100 полосы когерентности.
Поскольку формирование контрольных шаблонов, используемых для идентификации базовых станций, включенных в систему связи OFDM, ограничивается шириной полосы когерентности и временем когерентности, то допустимое количество контрольных шаблонов также ограничивается. Если количество базовых станций, включенных в систему связи OFDM, увеличивается, то количество различимых базовых станций ограничивается вследствие ограничения в допустимом количестве контрольных шаблонов.
СУЩНОСТЬ ИЗОБРЕТЕНИЯ
Следовательно, целью настоящего изобретения является предоставление устройства и способа для передачи/приема контрольных сигналов, используемых для идентификации базовой станции и сектора в системе связи OFDM.
Другой целью настоящего изобретения является предоставление устройства и способа для передачи/приема контрольных сигналов с минимизированным взаимным влиянием между ними в системе связи OFDM.
Другой целью настоящего изобретения является предоставление устройства и способа для передачи/приема контрольных сигналов, имеющих переменную длительность, в системе связи OFDM.
Еще одной целью настоящего изобретения является предоставление устройства и способа для передачи/приема контрольных сигналов с использованием блочных кодов в системе связи OFDM.
Еще одной целью настоящего изобретения является предоставление устройства и способа для передачи/приема контрольных сигналов, используемых для идентификации базовой станции посредством одной или более антенн в системе связи OFDM.
Для достижения вышеупомянутых и других целей, предоставляется способ для передачи опорного сигнала для идентификации соты и сектора посредством, по меньшей мере, одной передающей антенны в системе связи, включающей в себя множество сот, причем каждая имеет, по меньшей мере, один сектор и, по меньшей мере, одну передающую антенну. Способ включает в себя этапы формирования первой части последовательности, используя блочный код и код Уолша, на основе идентификатора (ID) соты и ID сектора, после приема ID соты и ID сектора, при этом каждая из множества сот различается по своему уникальному ID соты, и каждый из секторов различается по своему уникальному ID сектора; выбора второй части последовательности на основе ID соты и ID сектора среди заранее установленного множества последовательностей; формирования опорного сигнала частотной области с использованием первой части последовательности и второй части последовательности; преобразования опорного сигнала частотной области в опорный сигнал временной области посредством обратного быстрого преобразования Фурье (IFFT) и передачи опорного сигнала временной области в течение периода передачи опорного сигнала.
Для достижения вышеупомянутых и других целей, предоставляется способ для передачи опорного сигнала для идентификации соты и сектора посредством, по меньшей мере, одной передающей антенны в системе связи, включающей в себя множество сот, причем каждая имеет, по меньшей мере, один сектор и, по меньшей мере, одну передающую антенну, при этом вся полоса частот делится на N полос поднесущей. Способ включает в себя этапы формирования блочного кода, соответствующего идентификатору (ID) соты, после приема ID соты, при этом каждая из множества сот различается по своему уникальному ID соты; выбора кода Уолша, соответствующего ID сектора, среди заранее установленных кодов Уолша после приема ID сектора и повторения выбранного кода Уолша установленное количество раз, при этом каждый из секторов различается по своему уникальному ID сектора; перемежения блочного кода и формирования первой части последовательности путем выполнения операции исключающего ИЛИ (XOR) над перемеженным блочным кодом и повторяющимся кодом Уолша; выбора второй части последовательности, соответствующей ID соты и ID сектора среди заранее установленных последовательностей; формирования опорного сигнала частотной области с использованием первой части последовательности и второй части последовательности; преобразования опорного сигнала частотной области в опорный сигнал временной области посредством обратного быстрого преобразования Фурье (IFFT) и передачи опорного сигнала временной области в течение периода передачи опорного сигнала.
Для достижения вышеупомянутых и других целей, предоставляется устройство для передачи опорного сигнала для идентификации соты и сектора посредством, по меньшей мере, одной передающей антенны в системе связи, включающей в себя множество сот, причем каждая имеет, по меньшей мере, один сектор и, по меньшей мере, одну передающую антенну, при этом вся полоса частот делится на N полос поднесущей. Устройство включает в себя генератор опорного сигнала для формирования первой части последовательности, используя блочный код и код Уолша на основе идентификатора (ID) соты и ID сектора, после приема ID соты и ID сектора, при этом каждая из множества сот различается по своему уникальному ID соты, и каждый из секторов различается по своему уникальному ID сектора, и формирования опорного сигнала частотной области с использованием первой части последовательности и второй части последовательности, выбранных в соответствии с ID соты и ID сектора среди заранее установленных последовательностей; и передатчик для преобразования опорного сигнала частотной области в опорный сигнал временной области посредством обратного быстрого преобразования Фурье (IFFT) и передачи опорного сигнала временной области в течение периода передачи опорного сигнала.
Для достижения вышеупомянутых и других целей, предоставляется устройство для передачи опорного сигнала для идентификации соты и сектора посредством, по меньшей мере, одной передающей антенны в системе связи, включающей в себя множество сот, причем каждая имеет, по меньшей мере, один сектор и, по меньшей мере, одну передающую антенну, при этом вся полоса частот делится на N полос поднесущей. Устройство включает в себя кодер блочного кода для формирования блочного кода, соответствующего идентификатору (ID) соты после приема ID соты, при этом каждая из множества сот различается по своему уникальному ID соты; повторитель кода Уолша для выбора кода Уолша, соответствующего ID сектора, среди заранее установленных кодов Уолша после приема ID сектора, и повторения выбранного кода Уолша заранее установленное количество раз, при этом каждый из секторов различается по своему уникальному ID сектора; перемежитель для перемежения блочного кода; сумматор для формирования первой части последовательности путем выполнения операции исключающего ИЛИ (XOR) над перемеженным блочным кодом и повторяющимся кодом Уолша; объединитель для формирования опорного сигнала частотной области с использованием первой части последовательности и второй части последовательности, выбранных в соответствии с ID соты и ID сектора среди заранее установленных последовательностей; и передатчик для преобразования опорного сигнала частотной области в опорный сигнал временной области посредством обратного быстрого преобразования Фурье (IFFT) и передачи опорного сигнала временной области в течение периода передачи опорного сигнала.
Для достижения вышеупомянутых и других целей предоставляется способ для предоставления контрольного символа для идентификации базовой станции в системе связи со многими входами и многими выходами (MIMO), имеющей одну или более передающих антенн, при этом контрольный символ состоит из первой последовательности, обладающей хорошей характеристикой идентификации соты, и второй последовательности для уменьшения отношения пиковой мощности к средней мощности (PAPR) для всех контрольных символов.
КРАТКОЕ ОПИСАНИЕ ЧЕРТЕЖЕЙ
Вышеупомянутые и другие цели, признаки и преимущества настоящего изобретения станут более очевидными из следующего подробного описания, будучи восприняты совместно с прилагаемыми чертежами, на которых:
Фиг.1 является диаграммой, иллюстрирующей все возможные углы наклона для формирования контрольных шаблонов в традиционной системе связи OFDM;
Фиг.2 является диаграммой, иллюстрирующей внутреннее строение генератора контрольного сигнала в системе связи OFDM в соответствии с вариантом осуществления настоящего изобретения;
Фиг.3 является диаграммой, иллюстрирующей внутреннее строение передатчика в системе связи OFDM в соответствии с вариантом осуществления настоящего изобретения;
Фиг.4 является диаграммой, иллюстрирующей внутреннее строение приемника в системе связи OFDM в соответствии с вариантом осуществления настоящего изобретения;
Фиг.5 является диаграммой, иллюстрирующей внутреннее строение детектора ID соты/ID сектора из фиг.4;
Фиг.6 является блок-схемой алгоритма, иллюстрирующей процесс функционирования передатчика в системе связи OFDM в соответствии с вариантом осуществления настоящего изобретения;
Фиг.7 является блок-схемой алгоритма, иллюстрирующей процесс функционирования приемника в системе связи OFDM в соответствии с вариантом осуществления настоящего изобретения;
Фиг.8 является диаграммой, иллюстрирующей взаимосвязь преобразования между поднесущими и контрольным символом во время операции IFFT в системе связи OFDM в соответствии с вариантом осуществления настоящего изобретения;
Фиг.9 является диаграммой, иллюстрирующей структуру контрольного символа во временной области в системе связи OFDM в соответствии с вариантом осуществления настоящего изобретения; и
Фиг.10 является диаграммой, иллюстрирующей структуру контрольного символа в частотной области в системе связи OFDM в соответствии с вариантом осуществления настоящего изобретения.
ПОДРОБНОЕ ОПИСАНИЕ ПРЕДПОЧТИТЕЛЬНОГО ВАРИАНТА ОСУЩЕСТВЛЕНИЯ ИЗОБРЕТЕНИЯ
Ниже будет подробно описан предпочтительный вариант осуществления настоящего изобретения со ссылкой на прилагаемые чертежи. В последующем описании подробное описание известных функций и конфигураций, включенных в данное описание, опущено для краткости.
Настоящее изобретение предлагает схему для передачи/приема контрольных сигналов для идентификации базовой станции (BS) и сектора посредством одной или более антенн в системе связи, использующей схему мультиплексирования с ортогональным частотным разделением каналов (OFDM) («система связи OFDM»). В частности, настоящее изобретение предлагает схему для передачи/приема, посредством одной или более антенн, контрольных сигналов с минимизированным взаимным влиянием между ними, обеспечивающую идентификацию базовой станции и сектора в системе связи OFDM.
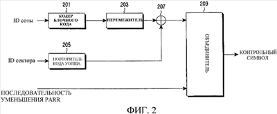
Фиг.2 является диаграммой, иллюстрирующей внутреннее строение генератора контрольного сигнала в системе связи OFDM в соответствии с вариантом осуществления настоящего изобретения. Ссылаясь на фиг.2, генератор контрольного сигнала включает в себя кодер 201 блочного кода, перемежитель 203, повторитель 205 кода Уолша, сумматор 207 и объединитель 209.
Идентификатор (ID) соты, ID, используемый для идентификации BS, вводится в кодер 201 блочного кода. После приема ID соты кодер 201 блочного кода формирует кодовое слово, соответствующее ID соты, т.е. блочный код из заранее записанной в нем порождающей матрицы, и выводит блочный код перемежителю 203. Порождающая матрица формируется из условия, чтобы блочные коды, соответствующие соответствующему ID соты, могли явно отличаться друг от друга.
Перемежитель 203 перемежает сигнал, выведенный из кодера 201 блочного кода, используя схему перемежения, и выводит перемеженный сигнал сумматору 207. Перемежитель 203 перемежает сигнал, выведенный из кодера 201 блочного кода, так как когда определенный шаблон часто повторяется в блочном коде, сформированном в кодере 201 блочного кода, то увеличивается отношение пиковой мощности к средней мощности (PAPR) у контрольного сигнала. То есть перемежитель 203 перемежает все блочные коды, сформированные в кодере 201 блочного кода, тем самым улучшая характеристику PAPR у контрольных сигналов.
ID сектора, ID, используемый для идентификации сектора, вводится в повторитель 205 кода Уолша. После приема ID сектора повторитель 205 кода Уолша повторяет код Уолша, соответствующий ID сектора, заранее установленное число раз, и выводит повторяющийся код Уолша сумматору 207.
Здесь предполагается, что длительность контрольного сигнала, например, контрольного символа, равна NP, длительность блочного кода, сформированного в кодере 201 блочного кода, равна NG, и длительность кода Уолша равна NW. В этом случае повторитель 205 кода Уолша повторяет код Уолша, соответствующий ID сектора, NG/NW раз. Длительность сигнала, выведенного из повторителя 205 кода Уолша, равна длительности NG сигнала, выведенного из перемежителя 203.
Сумматор 207 выполняет операцию исключающего ИЛИ (XOR) над выходным сигналом перемежителя 203 и выходным сигналом повторителя 205 кода Уолша, и выводит результирующий сигнал объединителю 209.
Последовательность уменьшения PAPR является последовательностью для уменьшения PAPR у контрольных символов, и имеет длительность NR. Последовательность уменьшения PAPR заранее определяется в системе связи OFDM в соответствии с ID соты и ID сектора, и подробное описание ее будет предоставлено позже в этом документе. Последовательность уменьшения PAPR с длительностью NR вводится в объединитель 209, и объединитель 209 формирует контрольный символ посредством назначения соответствующей поднесущей выходного сигнала сумматора 207 и последовательности PAPR. Длительность контрольного символа, выведенного из объединителя 209, равна NP=NG+NR.
Фиг.3 является диаграммой, иллюстрирующей внутреннее строение передатчика в системе связи OFDM в соответствии с вариантом осуществления настоящего изобретения. Ссылаясь на фиг.3, передатчик включает в себя модулятор 301, генератор 303 контрольного сигнала, модулятор 305, селектор 307, последовательно-параллельный преобразователь (SPC) 309, блок 311 обратного быстрого преобразования Фурье (IFFT), параллельно-последовательный преобразователь (PSC) 313, устройство 315 вставки защитного интервала, цифроаналоговый преобразователь (DAC) 317 и радиочастотный (RF) процессор 319.
Информационные биты данных, которые нужно передать, при наличии, вводятся в модулятор 301. Модулятор 301 модулирует информационные биты данных в символ модуляции в соответствии со схемой модуляции и выводит символ модуляции в селектор 307. Модулятор 301 может использовать одну из схемы квадратурной фазовой манипуляции (QPSK) и схемы квадратурной амплитудной модуляции (16QAM) в качестве схемы модуляции.
Чтобы передать контрольный сигнал, т.е. контрольный символ, ID соты и ID сектора соты и сектора, к которым должен быть передан контрольный символ, и последовательность уменьшения PAPR, заранее установленная в соответствии с ID соты и ID сектора, вводятся в генератор 303 контрольного сигнала. Генератор 303 контрольного сигнала формирует контрольный символ, используя принятый ID соты, ID сектора и последовательность уменьшения PAPR, и выводит сформированный контрольный символ в модулятор 305. Внутреннее строение генератора 303 контрольного сигнала было показано на фиг.2. Модулятор 305 модулирует выходной сигнала генератора 303 контрольного сигнала в символ модуляции в соответствии со схемой модуляции и выводит символ модуляции в селектор 307. Модулятор 305 может использовать схему двухпозиционной фазовой манипуляции (BPSK) в качестве схемы модуляции.
Селектор 307 выводит выходной сигнал модулятора 301 в SPC 309 в течение периода передачи символа данных, за который передатчику следует передать текущие символы данных, и выводит выходной сигнал модулятора 305 в SPC 309 в течение периода передачи контрольного символа, за который передатчику следует передать текущие контрольные символы. SPC 309 преобразует в параллельную форму последовательные символы модуляции, выведенные из селектора 307, и выводит результирующие сигналы в блок 311 IFFT. Блок 311 IFFT выполняет N-точечное IFFT над выходными сигналами преобразователя SPC 309, и выводит результирующие сигналы в PSC 313.
PSC 313 преобразует в последовательную форму выходные сигналы блока 311 IFFT и выводит результирующий сигнал в устройство 315 вставки защитного интервала. Устройство 315 вставки защитного интервала вставляет сигнал защитного интервала в выведенный сигнал преобразователя PSC 313 и выводит сигнал со вставленным защитным интервалом в DAC 317. Сигнал защитного интервала вставляется для предотвращения взаимного влияния между символом OFDM, переданным в предыдущем интервале символа OFDM, и символом OFDM, переданным в текущем интервале символа OFDM. Выходной сигнал устройства 315 вставки защитного интервала становится одним символом OFDM.
DAC 317 преобразует в аналоговую форму выходной сигнал устройства 315 вставки защитного интервала и выводит результирующий сигнал в радиочастотный процессор 319. Радиочастотный процессор 319, включающий в себя фильтр и блок высокочастотного тракта, осуществляет радиочастотную обработку выходного сигнала DAC 317 и выводит РЧ-обработанный сигнал через антенну.
Фиг.4 является диаграммой, иллюстрирующей внутреннее строение приемника в системе связи OFDM в соответствии с вариантом осуществления настоящего изобретения. Ссылаясь на фиг.4, приемник включает в себя радиочастотный процессор 401, аналого-цифровой преобразователь (ADC) 403, устройство 405 удаления защитного интервала, последовательно-параллельный преобразователь (SPC) 407, блок 409 быстрого преобразования Фурье (FFT), параллельно-последовательный преобразователь (PSC) 411, селектор 413, демодуляторы 415 и 417 и детектор 419 ID соты/ID сектора.
Сигнал, переданный передатчиком системы связи OFDM, принимается через антенну приемника. Принятый сигнал проходит через многолучевой канал и содержит составляющую шума. Сигнал, принятый через антенну, вводится в радиочастотный процессор 401, и радиочастотный процессор 401 преобразует с понижением частоты сигнал, принятый через антенну, в сигнал промежуточной частоты (IF), и выводит IF-сигнал в ADC 403. ADC 403 преобразует в цифровую форму аналоговый сигнал, выведенный из радиочастотного процессора 401, и выводит преобразованный в цифровую форму сигнал в устройство 405 удаления защитного интервала.
Устройство 405 удаления защитного интервала удаляет сигнал защитного интервала из выходного сигнала преобразователя ADC 403, и выводит сигнал с удаленным защитным интервалом в SPC 407. SPC 407 преобразует в параллельную форму последовательный сигнал, выведенный из устройства 405 удаления защитного интервала, и выводит преобразованный в параллельную форму сигнал в блок 409 FFT. Блок 409 FFT выполняет N-точечное FFT над сигналом, выведенным из SPC 407, и выводит FFT-обработанный сигнал в PSC 411.
PSC 411 преобразует в последовательную форму параллельный сигнал, выведенный из блока 409 FFT, и выводит преобразованный в последовательную форму сигнал в селектор 413. Селектор 413 выводит выходной сигнал блока 409 FFT в демодулятор 415 в течение периода приема символа данных, за который приемнику следует принять текущий символ данных, и выводит выходной сигнал блока 409 FFT в демодулятор 417 в течение периода приема контрольного символа, за который приемнику следует принять текущий контрольный символ. Демодулятор 415 демодулирует выходной сигнал блока 409 FFT в данные, т.е. информационные биты данных, используя схему демодуляции, соответствующую схеме модуляции, использованной в передатчике.
Демодулятор 417 демодулирует выходной сигнал блока 409 FFT в контрольный сигнал, используя схему демодуляции, соответствующую схеме модуляции, использованной в передатчике, и выводит контрольный сигнал в детектор 419 ID соты/ID сектора. Детектор 419 ID соты/ID сектора обнаруживает ID соты и ID сектора, соответствующие контрольному сигналу, выведенному из демодулятора 417. Контрольный сигнал является сигналом, сформированным в соответствии с ID соты и ID сектора, и является предопределенным между передатчиком и приемником.
Фиг.5 является диаграммой, иллюстрирующей внутреннее строение детектора 419 ID соты/ID сектора из фиг.4. Ссылаясь на фиг.5, детектор 419 ID соты/ID сектора включает в себя устройство 501 выделения контрольного сигнала, повторитель 503 кода Уолша, сумматор 505, обращенный перемежитель 507, коррелятор 509 и селектор 511 сравнения.
Выходной сигнал демодулятора 417 вводится в устройство 501 выделения контрольного сигнала, и устройство 501 выделения контрольного сигнала извлекает NG символов путем удаления последовательности уменьшения PAPR из выходного сигнала демодулятора 417, и выводит извлеченные символы в сумматор 505. Повторитель 503 кода Уолша многократно выводит коды Уолша, соответствующие всем ID секторов, различимых приемником, последовательно выбирает один из кодов Уолша, соответствующий всем ID секторов, и многократно выводит выбранный код Уолша в сумматор 505.
Сумматор 505 выполняет операцию XOR над выходным сигналом устройства 501 выделения контрольного сигнала и выходным сигналом повторителя 503 кода Уолша, и выводит результирующий сигнал обращенному перемежителю 507. Обращенный перемежитель 507 обратно перемежает выходной сигнал сумматора 505, используя схему обращенного перемежения, соответствующую схеме перемежения, примененную во внутреннем перемежителе генератора контрольного сигнала передатчика, т.е. перемежителе 203 из фиг.2, и выводит обратно перемеженный сигнал коррелятору 509. Коррелятор 509 принимает выходной сигнал обращенного перемежителя 507, выполняет корреляцию на каждом из блочных кодов, соответствующих всем ID сот, различимых приемником, и кодах Уолша, соответствующих всем ID секторов, и выводит результаты корреляции селектору 511 сравнения.
Селектор 511 сравнения принимает выходной сигнал коррелятора 509, выбирает корреляционное значение, имеющее наибольшую величину среди корреляционных значений для блочных кодов, соответствующих всем ID сот, выведенных из коррелятора 509, и кодов Уолша, соответствующих всем ID секторов, и выводит ID соты и ID сектора, соответствующие выбранному наибольшему корреляционному значению.
Фиг.6 является блок-схемой алгоритма, иллюстрирующей процесс функционирования передатчика в системе связи OFDM в соответствии с вариантом осуществления настоящего изобретения. На фиг.6 будет сделано описание только действия передатчика по передаче контрольного сигнала, и подробное описание действия передачи сигнала данных будет опущено в этом документе, поскольку оно не относится непосредственно к настоящему изобретению. Ссылаясь на фиг.6, на этапе 611 передатчик формирует контрольные символы, используя ID соты соответствующего передатчика, ID сектора и последовательность уменьшения PAPR, и затем переходит к этапу 613. Формирование контрольных символов описано со ссылкой на фиг.2. На этапе 613 передатчик модулирует сформированные контрольные символы в символы модуляции в соответствии со схемой модуляции, например BPSK.
На этапе 615 передатчик передает модулированные контрольные символы в течение периода контрольного символа, и затем завершает процесс функционирования. Хотя отдельно не проиллюстрировано на фиг.6, уход частоты может приниматься во внимание в процессе передачи контрольных символов. То есть, начальные точки контрольных символов могут быть разными для каждой соты и сектора. В качестве альтернативы система, использующая несколько передающих антенн, может передавать контрольные символы через передающие антенны с различными уходами частоты.
Фиг.7 является блок-схемой алгоритма, иллюстрирующей процесс функционирования приемника в системе связи OFDM в соответствии с вариантом осуществления настоящего изобретения. На фиг.7 будет сделано описание только действия приемника по приему контрольного сигнала, и подробное описание действия приема сигнала данных будет опущено в этом документе, поскольку оно не относится непосредственно к настоящему изобретению. Ссылаясь на фиг.7, на этапе 711 приемник принимает контрольные символы в периоде контрольного символа, и затем переходит к этапу 713. Хотя отдельно не проиллюстрировано на фиг.7, в случае, где передатчик передал контрольные символы, принимая во внимание уход частоты, как описано выше, приемник принимает контрольные символы после определения начальных точек символов в соответствии с уходом частоты. На этапе 713 приемник демодулирует принятые контрольные символы, используя схему демодуляции, соответствующую схеме модуляции, примененной в его ассоциативно связанном передатчике. На этапе 715 приемник сопоставляет блочные коды, соответствующие всем различимым ID сот, и коды Уолша, соответствующие всем ID секторов, выявляет ID соты и ID сектора, имеющие набольшее корреляционное значение, как ID соты и ID сектора у передатчика, и затем завершает процесс функционирования.
Фиг.8 является диаграммой, иллюстрирующей взаимосвязь преобразования между поднесущими и контрольным символом во время операции IFFT в системе связи OFDM в соответствии с вариантом осуществления настоящего изобретения. На фиг.8 будет предполагаться, что общее количество поднесущих, использованное в системе связи OFDM, равно 128, и количество поднесущих в фактическом использовании среди 128 поднесущих равно 108, т.е. включая 54 поднесущих с 54-й поднесущей по 1-ую поднесущую, и 54 поднесущих с 1-й поднесущей по 54 поднесущую. На фиг.8 уникальные числа «k» входных клемм блока IFFT представляют индексы поднесущих системы связи OFDM. Поскольку 0-ая поднесущая представляет постоянную составляющую, то в 0-ую поднесущую вставляется отсутствие данных.
Также отсутствие данных вставляется в поднесущие, полученные путем исключения 108 поднесущих в фактическом использовании и 0 поднесущей, т.е. поднесущих с 55-й поднесущей по 64-ую поднесущую и поднесущих с 55-й поднесущей по 63-ю поднесущую.
Отсутствие данных вставляется в поднесущие с 55-й поднесущей по 64-ую поднесущую и поднесущие с 55-й поднесущей по 63-ю поднесущую, так как поднесущие с 55-й поднесущей по 64-ую поднесущую и поднесущие с 55-й поднесущей по 63-ю поднесущую соответствуют защитной полосе для предотвращения вмешательства в другую систему, использующую область защитного интервала во временной области, т.е. соседнюю полосу частот в полосе частот.
После приема контрольного символа частотной области блок IFFT выполняет IFFT после преобразования принятого контрольного символа частотной области в соответствующие поднесущие, и выводит контрольный символ временной области.
Фиг.9 является диаграммой, иллюстрирующей структуру контрольного символа во временной области в системе связи OFDM в соответствии с вариантом осуществления настоящего изобретения. Ссылаясь на фиг.9, контрольный символ обладает структурой, в которой символ с длительностью pc=NFFT/2 повторяется два раза, и сигнал защитного интервала, вставленный способом циклического префикса (СР) в соответствии с характеристикой системы связи OFDM, добавляется к заголовку повторяющегося символа. NFFT представляет количество контактов блока IFFT/FFT, использованных в системе связи OFDM. Поскольку количество контактов блока IFFT/FFT, использованных в системе связи OFDM, равно 128, как описано со ссылкой на фиг.8, то длительность pc контрольного символа становится 64.
Фиг.10 является диаграммой, иллюстрирующей структуру контрольного символа в частотной области в системе связи OFDM в соответствии с вариантом осуществления настоящего изобретения. Ссылаясь на фиг.10, период поднесущей, исключая защитные полосы 1001 и 1007, приблизительно делится на период 1003 корреляции и период 1005 PAPR. Период 1003 корреляции состоит из последовательности, сформированной путем объединения последовательности, т.е. блочного кода, имеющего большее корреляционное значение, с кодами Уолша, и период 1005 PAPR состоит из последовательности уменьшения PAPR для каждой из последовательностей, которые включаются в период 1003 корреляции. Как проиллюстрировано на фиг.10, контрольный символ состоит из первой части последовательности, т.е. последовательности, соответствующей периоду 1003 корреляции, и второй части последовательности, соответствующей периоду 1005 PAPR. Последовательность, вставленная в период 1003 корреляции, т.е. последовательность, выведенная из сумматора 207 фиг.2, будет называться «корреляционной последовательностью». Вычисление корреляционного значения, описанное со ссылкой на фиг.5, успешно выполняется только для периода 1003 корреляции.
Фиг.10 С представляет блочный код с длительностью 48, представляет схему перемежения с длительностью 48, и блочный код длительности 48 перемежается в соответствии с . Кроме того, представляет собой маскировку кода Уолша.
Контрольный символ формируется посредством последовательности частотной области, заданной посредством


(1)
В уравнении (1) IDcell представляет ID соты, «s» представляет ID сектора, «k» представляет индекс поднесущей и Nused представляет количество поднесущих, фактически использованных в системе связи OFDM, т.е. количество поднесущих, определенных путем исключения постоянной составляющей и составляющей защитного интервала. Здесь будет предполагаться, что контрольные символы для всех базовых станций и секторов используют одинаковый уход частоты. Как показано в уравнении (1), последовательность частотной области назначается только поднесущим с четными индексами в соответствии с уравнением (1), и так как значение 0 безусловно назначается поднесущим с нечетными индексами, то та же последовательность повторяется дважды во временной области во время операции IFFT.
Далее, в уравнении (1) является весовым значением, которое устанавливается из условия, чтобы уровень мощности передачи контрольного символа был бы равным уровню мощности передачи символа данных, переданного для иного периода, чем период контрольного символа, т.е. для периода символа данных, и определялось как
m=0,1,…,53
.(2)
В уравнении (2) представляет наибольшее целое число, не большее m/9, и R(r) может быть записано как
.(3)
В уравнении (3) представляет собой повторение кода Уолша длительности 8, соответствующего ID сектора=s. Если отдельное десятичное число k (1 k 127) выражается как двоичное число b6b5b4b3b2b1b0, где b6 является самым старшим разрядом (MSB), а b0 является самым младшим разрядом (LSB), то bk представляет собой вектор-строку и bk={b0b1b2b3b4b5b6}. Далее, в уравнении (3) gu (0 u 47) представляет u-й вектор-столбец порождающей блочный код матрицы G. Порождающая блочный код матрица G задается посредством

.(4)
В уравнении (4) bkgu представляет собой произведение матриц из вектора-строки 1х7 и вектора-столбца 7х1, и произведение матриц выражается скалярным значением, для которого используется суммирование по модулю 2 и операция умножения. Далее, в уравнении (4) (0 r 47) представляет схему перемежения у перемежителя 203 на фиг.2, и схема перемежения показана в таблице 1.
| Таблица 1 |
 |
27,1,30,29,11,2,42,9,45,13,8,4,20,24,34,12,36,16,46,3, 47,15,5,40,37,31,25,32,33,14,43,6,44,21,19,18,41,39,28, 38,17,10,35,7,26,0,23,22 |
Схема перемежения переставляет 48 элементов, составляющих блочный код длительности 8 в порядке, показанном в таблице 1.
Кроме того, в уравнении (2) значение последовательности определяется как последовательность уменьшения PAPR, которая сводит к минимуму PAPR у контрольного символа.
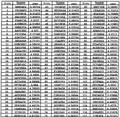
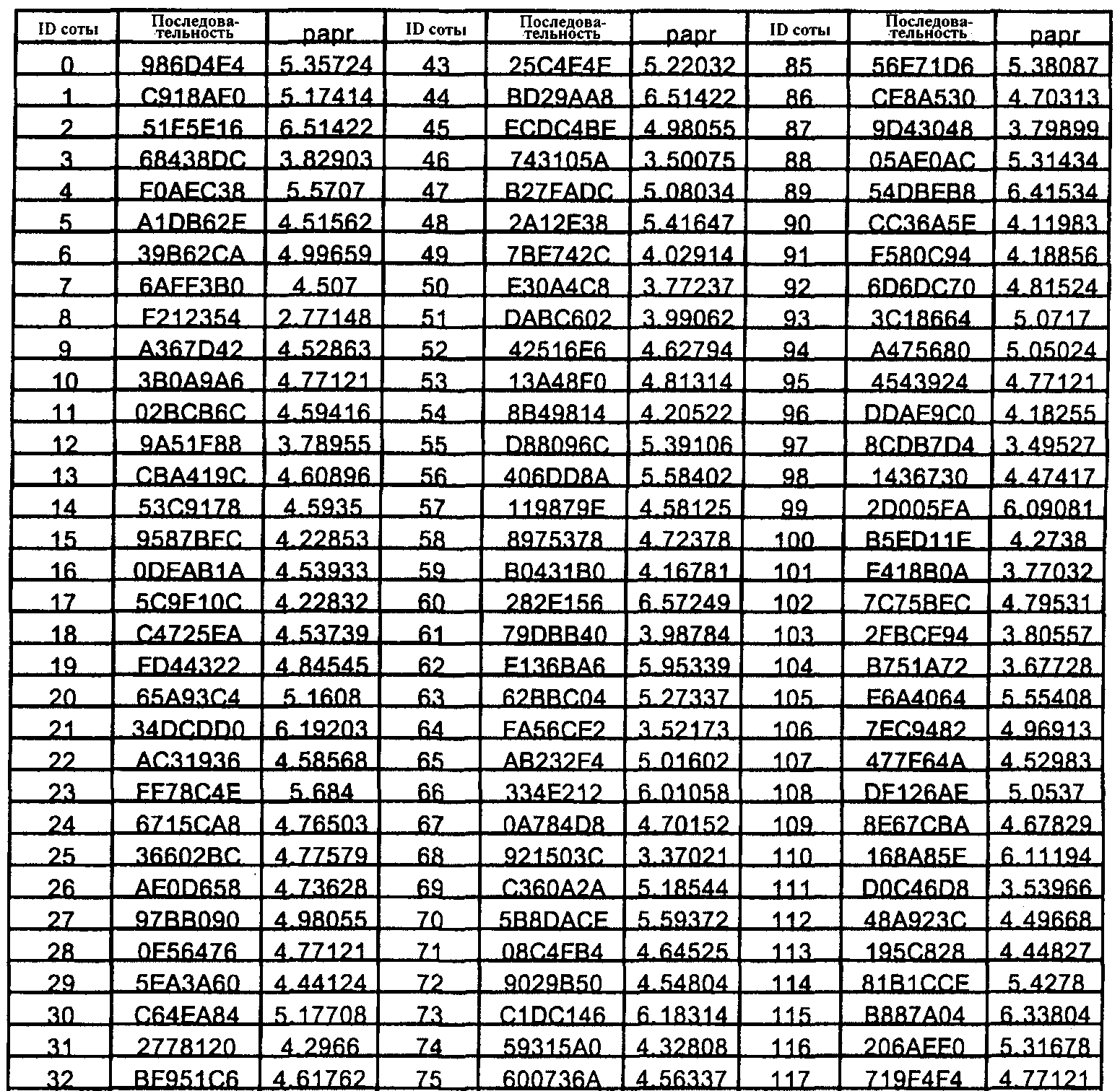
Последовательность уменьшения PAPR, соответствующая ID соты и ID сектора, PAPR контрольного символа, соответствующего ID соты и ID сектора и последовательность уменьшения PAPR показаны в таблице 2.
| Таблица 2 |
| IDcell |
s |
Последовательность уменьшения PAPR |
PAPR (дБ) |
| 0 |
0 |
110010 |
5,61978 |
| 0 |
1 |
010101 |
4,99418 |
| 0 |
2 |
011011 |
4,54736 |
| 0 |
3 |
111110 |
4,98007 |
| 0 |
4 |
100011 |
6,30234 |
| 0 |
5 |
101001 |
5,39782 |
| 0 |
6 |
110110 |
4,74195 |
| 0 |
7 |
010011 |
5,25707 |
| 1 |
0 |
100100 |
4,46729 |
| 1 |
1 |
110000 |
4,94188 |
| 1 |
2 |
011101 |
5,99483 |
| 1 |
3 |
110011 |
5,60087 |
| 1 |
4 |
110101 |
5,33822 |
| 1 |
5 |
000011 |
5,69019 |
| 1 |
6 |
110111 |
7,00666 |
| 1 |
7 |
111100 |
4,74447 |
Вышеупомянутая схема передачи/приема контрольного сигнала также может применяться к системе связи OFDM, которая использует схему со многими входами и многими выходами (MIMO) и не требует идентификации сектора. В этом случае, поскольку нет необходимости в идентификации сектора, альтернативная схема передачи/приема контрольного сигнала, в отличие от вышеупомянутой схемы передачи/приема контрольного сигнала, использует тот же код Уолша, например код Уолша «все единицы» вместо использования кодов Уолша, которые были сформированы отдельно в соответствии с ID секторов. Код Уолша «все единицы» относится к коду Уолша, в котором все элементы, составляющие соответствующий код Уолша, являются 1.
Если передатчик, например базовая станция системы связи OFDM, использует Nt передающих антенн, то контрольные символы, переданные через каждую из Nt передающих антенн, могут выражаться как


.(5)
В уравнении (5) «n» обозначает ID передающей антенны, а «k» обозначает индекс поднесущей. Далее, в уравнении (5) определяется как
.(6)
В уравнении (6) последовательности R(r) и T(k) определяются зависимыми от количества Nt передающих антенн и количества NFFT портов для операции IFFT/FFT, используемой в системе связи OFDM. Поэтому также определяется зависимой от количества Nt передающих антенн и количества NFFT портов для операции IFFT/FFT, используемой в системе связи OFDM.
Сейчас будет сделано описание R(r), T(k) и , которые зависят от количества Nt передающих антенн и количества NFFT контактов для операции IFFT/FFT, используемой в системе связи OFDM.
Если количество передающих антенн равно Nt=4 и количество контактов для операции IFFT/FFT, используемой в системе связи OFDM, равно NFFT=128, то R(r) переписывается как
.(7)
В случае уравнения (7) порождающая блочный код матрица G задается как
.(8)
В случае уравнения (7) схема перемежения определяется как
| Таблица 3 |
 |
11,6,4,9,7,8,0,10,5,1,2,3,17,20,21,14,18,16,23,15,19,22,12,13 |
В уравнении (6) T(k) определяется как таблица 4, а определяется как шестнадцатеричные числа, показанные в таблице 5.
Таблица 4


Таблица 5


Как можно понять из предшествующего описания, настоящее изобретение предоставляет контрольные символы для идентификации ID сот и ID секторов, используя блочные коды и коды Уолша в системе связи OFDM, тем самым увеличивая количество ID сот и ID секторов, доступных и различимых в системе связи OFDM. Контрольные символы формируются с использованием не только блочных кодов и кодов Уолша, но также и последовательности уменьшения PAPR, тем самым способствуя общему улучшению характеристики PAPR у контрольных символов. Кроме того, настоящее изобретение предоставляет схему передачи/приема контрольного сигнала для разрешения системы связи OFDM, которая использует схему MIMO и не требует идентификации сектора для различения передающих антенн и ID сот, используя блочные коды и коды Уолша, тем самым увеличивая количество доступных и различимых ID сот и передающих антенн.
Несмотря на то, что изобретение показано и описано со ссылкой на его определенный предпочтительный вариант осуществления, специалистами в данной области техники будет понято, что могут быть сделаны различные изменения по форме и содержанию без отклонения от сущности и объема изобретения, которые определены прилагаемой формулой изобретения.
Формула изобретения
1. Способ для передачи опорного сигнала в системе связи, способ содержит этапы, на которых:
преобразуют опорный сигнал частотной области в опорный сигнал временной области посредством выполнения операции обратного быстрого преобразования Фурье (IFFT) над опорным сигналом частотной области, и передают опорный сигнал временной области,
при этом опорный сигнал частотной области формируется используя первую часть последовательности и вторую часть последовательности, первая часть последовательности формируется используя блочный код и код Уолша на основе идентификатора (ID) соты и ID сектора, каждая из множества сот различается по своему ID соты, и каждый из секторов различается по своему ID сектора, и вторая часть последовательности выбирается на основе ID соты и ID сектора среди множества последовательностей.
2. Способ по п.1, в котором если количество секторов равно 1, то код Уолша является кодом Уолша «все единицы».
3. Способ по п.1, в котором первая часть последовательности формируется посредством выполнения операции ИСКЛЮЧАЮЩЕГО ИЛИ (XOR) над перемеженным блочным кодом и повторяющимся кодом Уолша, блочный код формируется в соответствии с ID соты;
код Уолша формируется в соответствии с ID сектора, среди заранее установленных кодов Уолша, повторяющийся код Уолша формируется путем повторения выбранного кода Уолша заранее установленное количество раз; и перемеженный блочный код формируется путем перемежения блочного кода.
4. Устройство для передачи опорного сигнала в системе связи, устройство содержит:
генератор опорного сигнала для формирования опорного сигнала частотной области; и
передатчик для преобразования опорного сигнала частотной области в опорный сигнал временной области посредством выполнения операции обратного быстрого преобразования Фурье (IFFT) над опорным сигналом частотной области, и передачи опорного сигнала временной области, при этом опорный сигнал частотной области формируется используя первую часть последовательности и вторую часть последовательности, первая часть последовательности формируется используя блочный код и код Уолша на основе идентификатора (ID) соты и ID сектора, каждая из множества сот различается по своему ID соты, и каждый из секторов различается по своему ID сектора, и вторая часть последовательности выбирается на основе ID соты и ID сектора среди множества последовательностей.
5. Устройство по п.4, в котором, если количество секторов равно 1, то код Уолша является кодом Уолша «все единицы».
6. Устройство по п.4, в котором первая часть последовательности формируется посредством выполнения операции ИСКЛЮЧАЮЩЕГО ИЛИ (XOR) над перемеженным блочным кодом и повторяющимся кодом Уолша, блочный код формируется в соответствии с ID соты;
код Уолша формируется в соответствии с ID сектора, среди заранее установленных кодов Уолша, повторяющийся код Уолша формируется путем повторения выбранного кода Уолша заранее установленное количество раз; и перемеженный блочный код формируется путем перемежения блочного кода.
7. Способ для передачи опорного сигнала в системе связи, способ содержит этапы, на которых:
преобразуют опорный сигнал частотной области в опорный сигнал временной области посредством выполнения операции обратного быстрого
преобразования Фурье (IFFT) над опорным сигналом частотной области, и передают опорный сигнал временной области,
при этом опорный сигнал частотной области формируется используя первую часть последовательности и вторую часть последовательности, первая часть последовательности формируется посредством выполнения операции ИСКЛЮЧАЮЩЕГО ИЛИ (XOR) над перемеженным блочным кодом и повторяющимся кодом Уолша, блочный код формируется в соответствии с идентификатором (ID) соты, каждая из множества сот различается по своему ID соты, код Уолша выбирается в соответствии с ID сектора, среди заранее установленных кодов Уолша, повторяющийся код Уолша формируется путем повторения выбранного кода Уолша заранее установленное количество раз; и перемеженный блочный код формируется путем перемежения блочного кода, и вторая часть последовательности выбирается в соответствии с ID соты и ID сектора среди множества последовательностей.
8. Способ по п.7, в котором если количество секторов равно 1, то код Уолша является кодом Уолша «все единицы».
9. Способ по п.7, в котором этап, на котором преобразуют опорный сигнал частотной области в опорный сигнал временной области посредством выполнения операции IFFT над опорным сигналом частотной области, содержит этап, на котором:
вставляют отсутствие данных в поднесущие, соответствующие составляющей подавления взаимного влияния между постоянной составляющей и поднесущими из N поднесущих, и выполняют IFFT операцию после вставки каждого из элементов, составляющих опорный сигнал частотной области, в каждую из М поднесущих, исключая поднесущие со вставленным отсутствием данных из числа N поднесущих.
10. Способ по п.7, в котором этап, на котором преобразуют опорный сигнал частотной области в опорный сигнал временной области посредством выполнения операции IFFT над опорным сигналом частотной области, содержит этап, на котором:
вставляют отсутствие данных в поднесущие, соответствующие составляющей подавления взаимного влияния между постоянной составляющей и поднесущими из N поднесущих, и выполняют IFFT операцию после вставки каждого из элементов, составляющих опорный сигнал частотной области, в каждую из М поднесущих, исключая поднесущие со вставленным отсутствием данных из числа N поднесущих, и включая уход.
11. Способ по п.10, в котором уход устанавливается в разное значение для каждой из сот и секторов.
12. Способ по п.7, в котором последовательности устанавливаются из условия, что отношение пиковой мощности к средней мощности (PAPR) у опорного сигнала сводится к минимуму.
13. Способ по п.10, в котором опорный сигнал частотной области определяется как


где PIDcell ,n[k] обозначает опорный сигнал частотной области, IDcell обозначает ID
соты, Nt обозначает количество передающих антен, когда каждая из сот имеет по меньшей мере одну передающую антену, «n» обозначает ID передающей антенны, «k» обозначает индекс поднесущей, Nused обозначает количество поднесущих в использовании, и NFFT обозначает количество контактов для операции IFFT/ быстрого преобразования Фурье (FFT).
14. Способ по п.13, в котором
где R(r)определяется как

где bIdcell+1 – векторы, включенные в строку матрицы, gП(r) – вектор-столбец порождающей матрицы.
15. Способ по п.14, в котором порождающая блочный код матрица G задается как

16. Способ по п.15, в котором, если количество передающих антенн равно 4, и количество контактов для операции IFFT/FFT, равно 128, то П(r) определяется как

17. Способ по п.16, в котором Т(k) выражается как



18. Устройство для передачи опорного сигнала в системе связи, устройство содержит:
объединитель для формирования опорного сигнала частотной области используя первую часть последовательности и вторую часть последовательности; и
передатчик для преобразования опорного сигнала частотной области в опорный сигнал временной области посредством выполнения операции обратного быстрого преобразования Фурье (IFFT) над опорным сигналом частотной области, и передачи опорного сигнала временной области.
19. Устройство по п.18, в котором, если количество секторов равно 1, то код Уолша является кодом Уолша «все единицы».
20. Устройство по п.18, в котором передатчик содержит:
блок IFFT для вставки отсутствия данных в поднесущие, соответствующие составляющей подавления взаимного влияния между постоянной составляющей и поднесущими из N поднесущих, и выполнения IFFT операции после вставки каждого из элементов,
составляющих опорный сигнал частотной области, в каждую из М поднесущих, исключая поднесущие со вставленным отсутствием данных из числа N поднесущих; ирадиочастотный (RF) процессор для радиочастотной обработки IFFT-обработанного сигнала и передачи РЧ-обработанного сигнала.
21. Устройство по п.18, в котором передатчик содержит:
блок IFFT для вставки отсутствия данных в поднесущие, соответствующие составляющей подавления взаимного влияния между постоянной
составляющей и поднесущими из N поднесущих, и выполнения IFFT после вставки каждого из элементов, составляющих опорный сигнал частотной области, в каждую из М поднесущих, исключая поднесущие со вставленным отсутствием данных из числа N поднесущих, и включая уход; и радиочастотный (RF) процессор для радиочастотной обработки IFFT-обработанного сигнала и передачи РЧ-обработанного сигнала.
22. Устройство по п.21, в котором уход устанавливается в разное значение для каждой из сот и секторов.
23. Устройство по п.18, в котором последовательности устанавливаются из условия, что отношение пиковой мощности к средней мощности (PAPR) у опорного сигнала сводится к минимуму.
24. Устройство по п.23, в котором опорный сигнал частотной области определяется как
 
где PIDcell ,n[k] обозначает опорный сигнал частотной области, IDcell обозначает ID соты, Nt обозначает количество передающих антен, когда каждая из сот имеет по меньшей мере одну передающую антену, «n» обозначает ID передающей антенны, «k» обозначает индекс поднесущей, Nused обозначает количество поднесущих в использовании, и NFFT обозначает количество контактов для операции IFFT/ быстрого преобразования Фурье (FFT).
25. Устройство по п.24, в котором

где R(r) определяется как

где bIdcell+1 векторы, включенные в строку матрицы, gП(r) – вектор-столбец порождающей матрицы.
26. Устройство по п.25, в котором порождающая матрица для блочного кода выражается как

27. Устройство по п.26, в котором, если количество передающих антенн равно 4 и количество контактов для операции IFFT/FFT равно 128, то
П(r) определяется как

28. Устройство по п.27, в котором Т(k) выражается как
 
29. Способ для передачи контрольного символа в системе связи со многими входами и многими выходами (MIMO), имеющей по меньшей мере одну передающую антенну, способ содержит этапы, на которых:
передают контрольный символ от базовой станции на мобильную станцию,
при этом контрольный символ включает в себя первую последовательность, имеющую характеристику идентификации соты, и вторую последовательность для уменьшения отношения пиковой мощности к средней мощности (PAPR) для контрольного символа.
30. Способ по п.29, в котором первая последовательность формируется из блочного кодирования информации битов данных, которая должна быть передана от базовой станции к мобильной станции.
31. Способ по п.29, в котором вторая последовательность формируется из заранее установленной справочной таблицы, принимая во внимание первую последовательность.
32. Способ по п.30, в котором информация битов данных, которая должна быть передана от базовой станции к мобильной станции, включает в себя идентификатор (ID) соты.
33. Способ по п.29, в котором контрольный символ для идентификации базовой станции определяется следующим уравнением, в котором отражаются первая последовательность и вторая последовательность,
где R(r) определяется как

где R(r) обозначает первую последовательность, Т(-) обозначает вторую последовательность, bIDcell+1 обозначает векторы, включенные в строку матрицы, gП(r) обозначает вектор-столбец порождающей матрицы, Nused обозначает количество поднесущих в использовании, и Nt обозначает количество передающих антенн.
34. Способ по п.33, в котором контрольный символ для идентификации базовой станции, переданный независимо от каждой из Nt передающих антенн, определяется посредством
 
где PIDcell ,n [к] обозначает контрольный символ, IDcell обозначает
идентификатор (ID) соты, когда информация битов данных включает в себя ID соты, «k» обозначает индекс поднесущей, Nused обозначает количество поднесущих в использовании, и NFFT обозначает количество контактов для операции IFFT/ быстрого преобразования Фурье (FFT).
35. Способ по п.33, в котором порождающая блочный код матрица G задается как 
36. Способ по п.34, в котором

где R(r) определяется как

где R(r) обозначает первую последовательность, Т(-) обозначает вторую последовательность, bIdsell+1 обозначает векторы, включенные в строку матрицы, gП(r) обозначает вектор-столбец порождающей матрицы.
37. Способ по п.29, в котором, если количество передающих антенн
равно 4 и количество контактов для операции IFFT/FFT равно 128, то П(r) определяется как
| П(r) |
11, 6, 4, 9, 7, 8, 0, 10, 5, 1, 2, 3, 17, 20, 21, 14, 18, 16, 23, 15, 19, 22, 12, 13 |
38. Способ по п.29, в котором, если количество передающих антенн равно 4 и количество контактов для операции IFFT/FFT равно 128, то вторая последовательность выражается как:
| П(r) |
11, 6, 4, 9, 7, 8, 0, 10, 5, 1, 2, 3, 17, 20, 21, 14, 18, 16, 23, 15, 19, 22, 12, 13 |
Приоритет по пунктам:
25.06.2004 по пп.1, 3, 4, 6-7, 9-12, 18, 20-23,29-32;
26.08.2004 по пп.2, 5, 8, 13-17, 19, 24-28, 33-38.
РИСУНКИ
|
|