|
|
(21), (22) Заявка: 2007117863/09, 02.05.2007
(24) Дата начала отсчета срока действия патента:
02.05.2007
(46) Опубликовано: 10.02.2009
(56) Список документов, цитированных в отчете о поиске:
RU 2206902 C1, 20.06.2003. RU 2059423 C1, 10.05.1996. RU 99127529 A, 27.09.2001. RU 2248235 C1, 20.03.2005. EP 0075199 A1, 30.03.1983. US 4646090, 24.02.1987. US 4947177, 07.08.1990.
Адрес для переписки:
197348, Санкт-Петербург, Богатырский пр-кт, 2, ЛенСпецСМУ, В.А. Заренкову
|
(72) Автор(ы):
Заренков Вячеслав Адамович (RU), Заренков Дмитрий Вячеславович (RU), Дикарев Виктор Иванович (RU), Койнаш Борис Васильевич (RU)
(73) Патентообладатель(и):
Заренков Вячеслав Адамович (RU), Заренков Дмитрий Вячеславович (RU), Дикарев Виктор Иванович (RU), Койнаш Борис Васильевич (RU)
|
(54) СПОСОБ ОБНАРУЖЕНИЯ ТЕРПЯЩИХ БЕДСТВИЕ
(57) Реферат:
Предлагаемый способ относится к радиолокационной технике и может найти применение в горноспасательных работах для дистанционного обнаружения жертв аварий, поиска заблудившихся и потерявшихся в лесу, терпящих бедствие в морских условиях рыбаков, особенно в условиях малой видимости, а также для дистанционного обнаружения пострадавших при чрезвычайных и иных обстоятельствах. Достигаемым техническим результатом изобретения является увеличение диапазона однозначного измерения углов при малой длине грубых измерительных баз. Заявленный способ реализуется с помощью устройства, содержащего передатчик сканирующего устройства, приемник сканирующего устройства, имеющий в своем составе измерительный и четыре пеленгационных канала, содержащего также приемоответчик, представляющий собой встречно-штыревой преобразователь на поверхностных акустических волнах, который содержит две гребенчатые системы электродов и шины, которые соединяют электроды каждой из гребенок между собой. 4 ил.
Предлагаемый способ относится к радиолокационной технике и может найти применение в горноспасательных работах для дистанционного обнаружения жертв аварий, поиска заблудившихся и потерявшихся в лесу, терпящих бедствие в морских условиях рыбаков, особенно в условиях малой видимости, для поиска туристов, геологов, а также для дистанционного обнаружения пострадавших при чрезвычайных и иных обстоятельствах (несчастные случаи, боевые действия, катастрофы, стихийные бедствия, природные катаклизмы и т.д.).
Известны способы обнаружения терпящих бедствие (авт. свид. СССР №№385.819, 431.063, 637.298, 765.113, 988.655, 1.348.256, 1.505.840, 1.588.636, 1.615.054, 1.664.653, 1.832.237; патенты РФ №№2.000.995, 2.009.956, 2.038.259, 2.043.259, 2.051.956, 2.206.902; патенты США №№3.621.501, 4.646.090, 4.889.511; патент Великобритании №1.145.051; патент ФРГ №2.555.505 и другие).
Из известных способов наиболее близким к предлагаемому является «Способ обнаружения терпящих бедствие» (патент РФ №2.206.902, G01S 7/292, 2001), который и выбран в качестве прототипа.
Известный способ реализуется приемоответчиком и сканирующим устройством. Принцип действия приемоответчика основан на акустической обработке сложных сигналов с фазовой манипуляцией с помощью встречно-штыревого преобразователя поверхностных акустических волн (ПАВ).
Приемник сканирующего устройства содержит пять приемных антенн, которые располагаются в виде геометрического прямого угла, в вершине которого помещают приемную антенну измерительного канала, общую для четырех пеленгационных каналов, расположенных в азимутальной и угломестной плоскостях, по два на каждую плоскость, образуя тем самым в каждой плоскости две измерительные базы d1 и d2, между которыми устанавливают неравенство:
d1/ <1/22/ ,
где – длина волны.
При этом меньшие базы d1 образуют грубые, но однозначные шкалы отсчета углов, а большие базы d2 образуют точные, но неоднозначные шкалы отсчета углов.
Однако в ряде случаев на борту летательного аппарата при больших диапазонах однозначного измерения углов и грубая база d1 может быть столь мала, что на ней физически невозможно разместить две антенны (например, d1=1 м, диаметр антенны D=2 м).
В таких случаях возможно образование грубой базы косвенным методом.
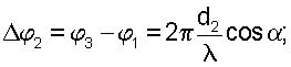
В известном способе измеряют фазовые сдвиги:




где d1, d2, d3, d4 – измерительные базы;
, – угловые координаты потерпевшего бедствие (азимут и угол места).
Измерение разности разностей фаз
 р1= 2– 1,
 р2= 4– 3,
эквивалентно измерению фазовых сдвигов на измерительных базах, длина которых d5=d2-d1, d6=d4-d3.
Таким образом, выбирая разность измерительных баз d5, d6 достаточно малой, можно обеспечить формирование соответствующих грубых измерительных шкал.
Следует заметить, что суммарные фазовые сдвиги


могут использоваться для формирования измерений, эквивалентных измерению разности фаз на измерительных базах d7 и d8, длина которых равна сумме двух исходных баз
d7=d1+d2, d8=d3+d4.
Технической задачей изобретения является увеличение диапазона однозначного измерения углов при малой длине грубых измерительных баз.
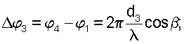
Поставленная задача решается тем, что согласно способу обнаружения терпящих бедствие, заключающемуся в соответствии с ближайшим аналогом в излучении сигнала, приеме переизлученного приемопередатчиком, размещенным на терпящем бедствие, сигнала в заданной полосе приема fпр с последующим его обнаружением, при этом в качестве зондирующего сигнала, излучаемого передатчиком сканирующего устройства, используют широкополосный сигнал с фазовой манипуляцией, а в качестве приемоответчика используют линию задержки на поверхностных акустических волнах (ПАВ) и интегрированную с ней приемопередающую антенну, принимаемый приемником сканирующего устройства, содержащим измерительный и четыре пеленгационных канала, широкополосный сигнал с фазовой манипуляцией преобразуют по частоте в измерительном канале, умножают его по фазе на два, измеряют ширину спектра преобразованного по частоте широкополосного сигнала с фазовой манипуляцией и его второй гармоники, сравнивают их между собой и по результатам сравнения разрешают дальнейшую обработку преобразованного по частоте широкополосного сигнала с фазовой манипуляцией, делят фазу второй гармоники на два, выделяют полученное гармоническое напряжение узкополосным фильтром и используют его для синхронного детектирования преобразованного по частоте широкополосного сигнала с фазовой манипуляцией, одновременно преобразованный по частоте широкополосный сигнал с фазовой манипуляцией перемножают с принимаемыми в четырех пеленгационных каналах широкополосными сигналами с фазовой манипуляцией, выделяют гармонические сигналы на частоте гетеродина, измеряют между ними и напряжением гетеродина фазовые сдвиги:




где d1, d2, d3, d4 – измерительные базы;
– длина волны;
, – азимут и угол места,
приемные антенны измерительного и пеленгационных каналов размещают в виде геомеритческого прямого угла, в вершине которого помещают антенну измерительного канала, отличаемуся от ближайшего аналога тем, что в каждой плоскости формируют две неравные измерительные базы d1 и d2, d3 и d4, определяют разности разностей фаз:
 р1= 2– 1,
 р2= 4– 3,
эквивалентные измерению фазовых сдвигов на измерительных базах, длиномерных
d5=d2-d1,
d6=d4-d3,
формируют с использованием разности разностей фаз грубые, но однозначные шкалы отсчета углов и , соответствующие малым измерительным базам d5 и d6, определяют сумму разностей фаз


эквивалентные измерению фазовых сдвигов на измерительных базах, длина которых
d7=d1+d2,
d8=d3+d4,
формируют с использованием суммы разностей фаз точные, но неоднозначные шкалы отсчета углов и , соответствующие большим измерительным базам d7 и d8.
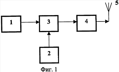
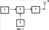
Структурная схема передатчика сканирующего устройства представлена на фиг.1. Структурная схема приемоответчика изображена на фиг.2. Структурная схема приемника сканирующего устройства представлена на фиг.3. Взаимное расположение приемных антенн на борту летательного аппарата показана на фиг.4.
Передатчик сканирующего устройства содержит последовательно включенные задающий генератор 1, фазовый манипулятор 3, второй вход которого соединен с выходом генератора 2 модулирующего кода, усилитель 4 мощности и передающую антенну 5.
Приемоответчик представляет собой встречно-штыревой преобразователь поверхностных акустических волн (ПАВ), который содержит две гребенчатые системы электродов 8, шины 9 и 10, которые соединяют электроды каждой из гребенок между собой. Шины в свою очередь связаны с микрополосной антенной 7. Электроды 8, шины 9, 10, отражатели 11 и микрополосковая антенна 7 нанесены на поверхность пьезокристалла 6.
Приемник сканирующего устройства содержит измерительный и четыре пеленгационных канала.
Измерительный канал содержит последовательно включенные приемную антенну 12, усилитель 17 высокой частоты, смеситель 23, второй вход которого соединен с выходом гетеродина 22, усилитель 24 промежуточной частоты, удвоитель 26 фазы, второй анализатор 27 спектра, блок 28 сравнения, второй вход которого через первый анализатор 25 спектра соединен с выходом усилителя 24 промежуточной частоты, ключ 29, второй вход которого соединен с выходом усилителя 24 промежуточной частоты, фазовый детектор 32, второй вход которого через последовательно включенные делитель 30 фазы на два и узкополосный фильтр 31 соединен с выходом удвоителя 26 фазы, и блок 49 регистрации.
Каждый пеленгационный канал состоит из последовательно включенных приемной антенны 13 (14, 15, 16), усилителя 18 (19, 20, 21) высокой частоты, перемножителя 33 (34, 35, 36), второй вход которого соединен с выходом ключа 29, узкополосного фильтра 37 (38, 39, 40) и фазометра 41 (42, 43, 44). Выходы фазометров 41 и 42 (43 и 44) через вычитатель 45 (46) и сумматор 47 (48) подключены к соответствующим входам блока 49 регистрации.
Предлагаемый способ реализуется следующим образом.
Все люди риска снабжаются пассивными приемоответчиками, которые могут быть выполнены в виде брелков, колец или медальонов.
Передатчик сканирующего устройства формирует сигнал запроса. С этой целью задающий генератор 1 генерирует высокочастотные колебания
uс(t)=Uс cos( сt+ с), 0 t Tс,
которое поступает на первый вход фазового манипулятора 3, на второй вход которого подается модулирующий код M(t) с выхода генератора 2 модулирующего кода. На выходе фазового манипулятора 3 образуется фазоманипулированный (ФМн) сигнал
u1(t)=Uc cos[ сt+ k1(t)+ c], 0 t Tc,
где k1(t)={0, },
который после усиления в усилителе 4 мощности излучается передающей антенной 5 в эфир, улавливается антенной 7 приемопередатчика. Затем ФМн-сигнал u1(t) преобразуется в акустическую волну, которая распространяется по поверхности пьезокристалла 6, отражается от отражателей 11 и опять преобразуется в электромагнитный сигнал с фазовой манипуляцией
u2(t)=U2 cos[ сt+ k2(t)+ c], 0 t Tc,
где k2(t)={0, }.
При этом внутренняя структура сформированного ФМн-сигнала определяется топологией встречно-штыревого преобразователя, имеет индивидуальный характер и содержит всю необходимую уникальную информацию о владельце, например фамилия, имя, отчество, год рождения и т.п.
Сформированный ФМн-сигнал u2(t) излучается микрополосковой антенной 7 в эфир и улавливается приемными антеннами 12…16:
u3(t)=U3 cos[( c± )t+ k2(t)+ 1],
u4(t)=U4 cos[( c± )t+ k2(t)+ 2],
u5(t)=U5 cos[( c± )t+ k2(t)+ 3],
u6(t)=U6 cos[( c± )t+ k2(t)+ 4],
u7(t)=U7 cos[( c± )t+ k2(t)+ 5],
где ± – нестабильность несущей частоты, вызванная различными дестабилизирующими факторами, в том числе и эффектом Доплера.
Причем приемные антенны 12…16 располагаются в виде геометрического прямого угла, в вершине которого помещают приемную антенну 12 измерительного канала, общую для четырех пеленгационных каналов, расположенных в азимутальной и угломестной плоскостях, по две на каждую плоскость.
Сканирующее устройство может быть установлено на транспортном средстве, вертолете, самолете или космическом аппарате.
Напряжение u3(t) с выхода приемной антенны 12 через усилитель 17 высокой частоты поступает на первый вход смесителя 23, на второй вход которого подается напряжение гетеродина 22
uГ(t)=UГcos( Гt+ Г).
На выходе смесителя 23 образуются напряжения комбинационных частот. Усилителем 24 выделяется напряжение промежуточной (разностной) частоты
uпр(t)=Uпр cos[( пр± )t+ k2(t)+ пр], 0 t Tc,
где ;
K1 – коэффициент передачи смесителя;
пр= с– Г – промежуточная частота;
пр= с– Г,
которое поступает на вход удвоителя 26 фазы, на выходе которого образуется гармоническое напряжение
u8(t)=Uпр cos[2( пр± )t+2 пр], 0 t Tc,
в котором фазовая манипуляция уже отсутствует [2 k2(t)={0,2 }].
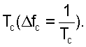
Ширина спектра сложного ФМн-сигнала определяется длительностью Э его элементарных посылок Тогда как ширина спектра его второй гармоники определяется длительностью сигнала Следовательно, при умножении фазы на два широкополосного ФМн-сигнала его спектр сворачивается в N раз

Это обстоятельство позволяет обнаружить и отселектировать широкополосный ФМн-сигнал среди других сигналов и помех.
Ширина спектра широкополосного ФМн-сигнала измеряется с помощью анализатора 25 спектра, а ширина спектра f2 его второй гармоники измеряется с помощью анализатора 27 спектра.
Напряжения U0 и U2, пропорциональные fc и f2 соответственно, с входов анализаторов 25 и 27 спектра поступают на два входа блока 28 сравнения.
Если на два входа блока 28 сравнения поступают приблизительно одинаковые по интенсивности напряжения, то на его выходе напряжение отсутствует. Если на два входа блока 28 сравнения поступают разные по интенсивности напряжения, то на его выходе появляется постоянное напряжение.
Так как U0>>U2, то на выходе блока 28 сравнения формируется постоянное напряжение, которое поступает на управляющий вход ключа 29, открывая его. В исходном состоянии ключ 29 всегда закрыт.
При этом ФМн-сигнал uпр(t) на промежуточной частоте через открытый ключ 29 поступает на первый (информационный) вход фазового детектора 32. Напряжение u8(t) с выхода удвоителя 26 фазы поступает на вход делителя 30 фазы на два, на выходе которого образуется гармоническое напряжение
u9(t)=Uпр cos[( пр± )t+ пр], 0 t Tc,
которое выделяется узкополосным фильтром 31, используется в качестве опорного напряжения и подается на второй (опорный) вход фазового детектора 32.
На выходе фазового детектора 32 образуется низкочастотное напряжение
uн(t)=Uн cos k2(t),
где 
К2 – коэффициент передачи фазового детектора;
которое фиксируется блоком 49 регистрации. В низкочастотном напряжении uн(t) содержатся паспортные данные о потерпевшем бедствие.
Напряжение uпр(t) с выхода усилителя 24 промежуточной частоты через открытый ключ 29 одновременно подается на вторые входы перемножителей 33…36, на первые входы которых поступают принимаемые ФМн-сигналы u4(t)-u7(t) с выходов усилителей 18-21 высокой частоты. На выходах перемножителей 33-36 образуются следующие гармонические колебания:
u10(t)=U10 cos( гt+ г+ 1];
u11(t)=U11 cos( гt+ г+ 2];
u12(t)=U12 cos( гt+ г+ 3];
u13(t)=U13 cos( гt+ г+ 4],


где


К3 – коэффициент передачи перемножителей;




где d1, d2, d3, d4 – измерительные базы;
, – угловые координаты потерпевшего бедствие (азимут и угол места), которые выделяются узкополосными фильтрами 37-40 и поступают на первые входы фазометров 41-44, на вторые входы которых подается напряжение uг(t) гетеродина 22.
Измеренные сдвиги фаз  1 и  2 с выходов фазометров 41 и 42 поступают на два входа вычитателя 45 и сумматора 47.
На выходе вычитателя 45 формируется разность разностей фаз
 p1= 2– 1,
эквивалентное измерению фазового сдвига на измерительной базе, длина которой
d5=d2-d1.
Таким образом, выбирая разность баз d5 достаточно малой, можно обеспечить формирование грубой, но однозначной шкалы отсчета азимута .
На выходе сумматора 47 формируется сумма разностей фаз

эквивалентное измерению фазового сдвига на измерительной базе, длина которой
d7=d1+d2.
Так формируется точная, но неоднозначная шкала отсчета азимута .
Измеренные сдвиги фаз  3 и  4 с выходов фазометров 43 и 44 поступают на два входа вычитателя 46 и сумматора 48.
На выходе вычитателя 46 формируется разность разностей фаз
 р2= 4– 3,
эквивалентное измерению фазового сдвига на измерительной базе, длина которой
d6=d4-d3.
Таким образом, выбирая разность баз d6 достаточно малой, можно обеспечить формирование грубой, но однозначной шкалы отсчета угла места .
На выходе сумматора 48 формируется сумма разностей фаз
  2= 3+ 4,
эквивалентное измерению фазового сдвига на измерительной базе, длина которой
d8=d3+d4.
Так формируется точная, но неоднозначная шкала отсчета угла места .
Между сформированными измерительными базами устанавливают неравенства

Способ обеспечивает не только обнаружение терпящих бедствие, но и их пеленгацию, а также дистанционное опознание терпящих бедствие. Причем пеленгация осуществляется на стабильной частоте гетеродина, способ инвариантен к виду модуляции и нестабильности несущей частоты используемых широкополосных сигналов.
С точки зрения обнаружения указанные сигналы обладают высокой энергетической и структурной скрытностью.
Энергетическая скрытность широкополосных ФМн-сигналов обусловлена их высокой сжимаемостью во времени или по спектру при оптимальной обработке, что позволяет снизить мгновенную излучаемую мощность. Вследствие этого широкополосный ФМн-сигнал в точке приема может оказаться замаскирован шумами и помехами. Причем энергия широкополосного сигнала отнюдь не мала, она просто распределена по частотно-временной области так, что в каждой точке этой области мощность сигнала меньше мощности шумов и помех.
Структурная скрытность широкополосных ФМн-сигналов обусловлена большим разнообразием их форм и значительными диапазонами изменения значений параметров, что затрудняет оптимальную или хотя бы квазиоптимальную обработку широкополосных сигналов априорно неизвестной структуры с целью повышения чувствительности приемного устройства.
Широкополосные ФМн-сигналы позволяют применять новый вид селекции – структурную селекцию. Это значит, что появляется новая возможность выделять эти сигналы среди других сигналов и помех, действующих в той же полосе частот и в те же промежутки времени.
Положительным свойством приемоответчика на ПАВ является отсутствие источников питания и малые габариты.
Достоинством способа является также высокая эффективность использования частотного диапазона, так как для обнаружения многих терпящих бедствие может быть использован радиоканал одной частоты, например fc=26,945 кГц, выделенной для дистанционной охранной сигнализации.
Таким образом, предлагаемый способ по сравнению с базовым объектом и другими техническими решениями аналогичного назначения обеспечивает увеличение диапазона однозначного измерения азимута и угла места при малой длине грубых измерительных баз. Это достигается формированием грубых шкал косвенным методом.
Формула изобретения
Способ обнаружения терпящих бедствие, заключающийся в излучении сигнала, приеме переизлученного приемоответчиком, размещенным на терпящем бедствие, сигнала в заданной полосе приема fпр с последующим его обнаружением, при этом в качестве зондирующего сигнала, излучаемого передатчиком сканирующего устройства, используют широкополосный сигнал с фазовой манипуляцией, а в качестве приемоответчика используют линию задержки на поверхностных акустических волнах и интегрированную с ней приемопередающую антенну, принимаемый приемником сканирующего устройства, содержащим измерительный и четыре пеленгационных канала, широкополосный сигнал с фазовой манипуляцией преобразуют по частоте в измерительном канале, умножают его по фазе на два, измеряют ширину спектра преобразованного по частоте широкополосного сигнала с фазовой манипуляцией и его второй гармоникой, сравнивают их между собой и по результатам сравнивания разрешают дальнейшую обработку преобразованного по частоте широкополосного сигнала с фазовой манипуляцией, делят фазу второй гармоники на два, выделяют полученное гармоническое напряжение узкополосным фильтром и используют его для синхронного детектирования преобразованного по частоте широкополосного сигнала с фазовой манипуляцией, одновременно преобразованный по частоте широкополосный сигнал с фазовой манипуляцией перемножают с принимаемыми в четырех пеленгационных каналах широкополосными сигналами с фазовой манипуляцией, выделяют гармонические сигналы на частоте гетеродина, измеряют между ними и напряжением гетеродина фазовые сдвиги
 1= 1– Г=2 d1/ cos ,
 2= 2– Г=2 d2/ cos ,
 3= 3– Г=2 d3/ cos ,
 4= 4– Г=2 d4/ cos ,
где d1, d2, d3, d4 – измерительные базы;
– длина волны;
, – азимут и угол места,
приемные антенны измерительного и пеленгационных каналов размещают в виде геометрического прямого угла, в вершине которого помещают антенну измерительного канала, отличающийся тем, что в каждой плоскости формируют две измерительные базы d1 и d2, d3 и d4, определяют разности разностей фаз:
 р1= 2– 1,
 р2= 4– 3,
эквивалентные измерению фазовых сдвигов на измерительных базах, длина которых
d5=d2-d1,
d6=d4-d3,
формируют с использованием разности разностей фаз грубые, но однозначные шкалы отсчета углов и , соответствующие малым измерительным базам d5 и d6, определяют сумму разностей фаз:


эквивалентные измерению фазовых сдвигов на измерительных базах, длина которых
d7=d1+d2,
d8=d3+d4,
формируют с использованием суммы разностей фаз точные, но неоднозначные шкалы отсчета углов и , соответствующие большим измерительным базам d7 и d8.
РИСУНКИ
|
|