Патент на изобретение №2345990
|
||||||||||||||||||||||||||||||||||||||||||||||||||||||||||||||||||||||||||||||||||||||||||||||||||||||||||||||||
(54) ПРОИЗВОДНЫЕ ПИПЕРИДИНА В КАЧЕСТВЕ МОДУЛЯТОРОВ АКТИВНОСТИ РЕЦЕПТОРА CCR5, СПОСОБЫ И ПРОМЕЖУТОЧНЫЕ СОЕДИНЕНИЯ ДЛЯ ИХ ПОЛУЧЕНИЯ И ФАРМАЦЕВТИЧЕСКИЕ КОМПОЗИЦИИ, СОДЕРЖАЩИЕ ИХ
(57) Реферат:
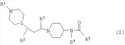
Описывается производное пиперидина формулы (I), где L представляет собой СН или N; М представляет собой СН или N при условии, что L и М оба не представляют собой СН; R1 представляет собой фенил (возможно замещенный галогено или С1-4алкилом), S(O)2(С1-4алкил), S(O)2(С1-4фторалкил), S(O)2фенил (возможно замещенный CF3 или OCF3), бензил, бензоил (возможно замещенный галогено) или С(O)NHфенил (возможно замещенный галогено); R2 представляет собой фенил, возможно замещенный галогено; R3 представляет собой водород или С1-4алкил; R4 представляет собой метил или этил; R5 представляет собой фенил-NH, фенил(С1-2алкил), фенил(С1-С2)алкил-NH или пиридил(С1-2алкил), при этом фенильное кольцо возможно замещено галогено, циано, С1-4алкилом, С1-4алкокси, S(O)k(С1-4алкил) или S(O)2NR8R9; k равно 2; R8 и R9 – водород, или его фармацевтически приемлемая соль. Соединение является модуляторов активности рецептора CCR5. Описывается способ получения соединения, где L представляет собой N, и фармацевтическая композиция на основе соединения формулы (I). 3 н. и 4 з.п. ф-лы, 7 табл.
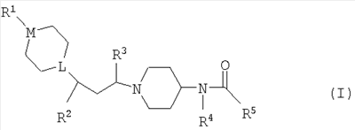
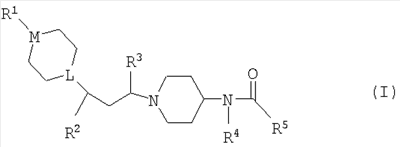
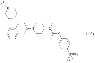
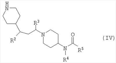
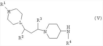
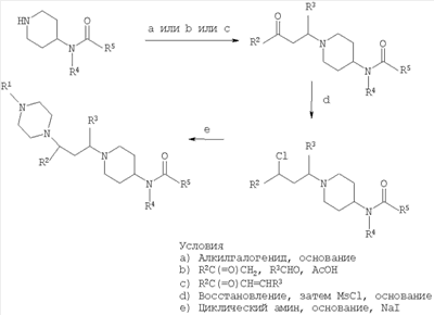
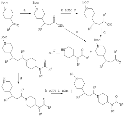
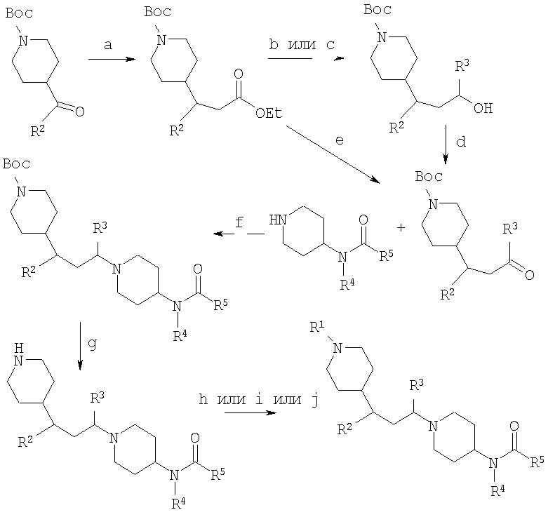
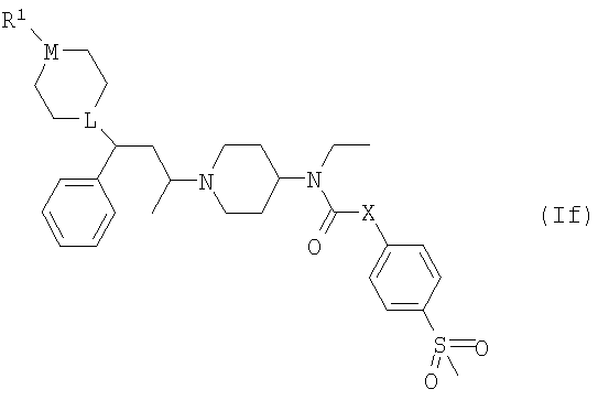
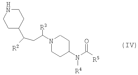
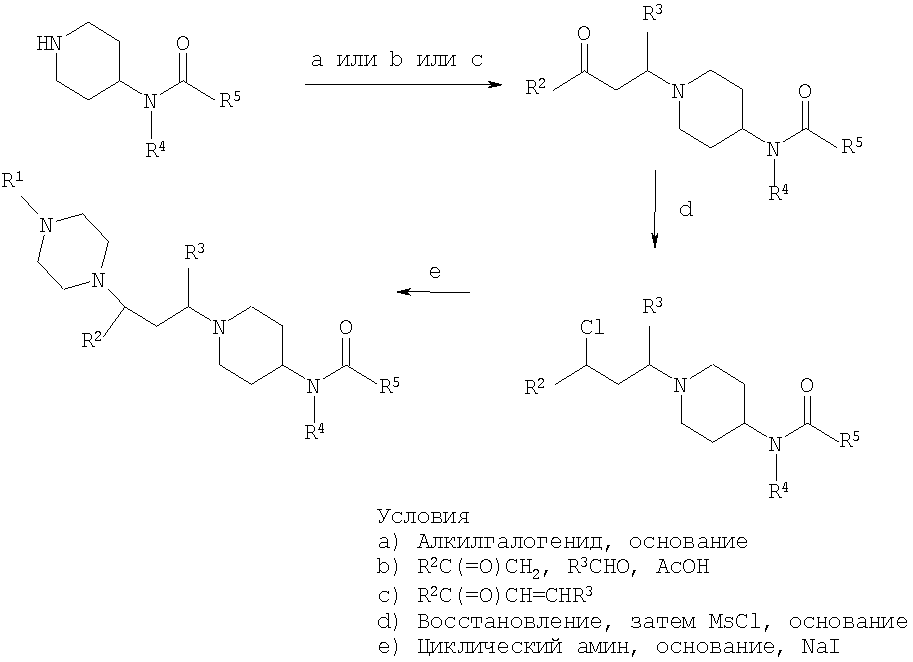
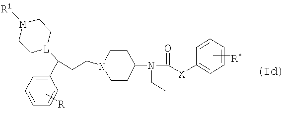
Настоящее изобретение относится к гетероциклическим производным, обладающим фармацевтической активностью, к способам получения таких производных, к фармацевтическим композициям, содержащим такие производные, и к применению таких производных в качестве активных терапевтических агентов. Фармацевтически активные производные пиперидина раскрыты в PCT/SE01/01053, ЕР-А1-1013276, WO 00/08013, WO 99/38514 и WO 99/04794. Хемокины представляют собой хемотаксические цитокины, которые высвобождаются широким рядом клеток для привлечения макрофагов, Т-клеток, эозинофилов, базофилов и нейтрофилов к местам воспаления, а также играют роль в созревании клеток иммунной системы. Хемокины играют важную роль в иммунном и воспалительном ответах при различных заболеваниях и расстройствах, включая астму и аллергические заболевания, а также аутоиммунные патологии, такие как ревматоидный артрит и атеросклероз. Эти малые секретируемые молекулы представляют собой растущее надсемейство белков 8-14 кДа, характеризующихся консервативным мотивом из четырех цистеинов. Надсемейство хемокинов можно разделить на две основные группы, имеющие характерные структурные мотивы: семейства Cys-X-Cys (C-X-C, или Хемокины C-X-C включают несколько эффективных хемоаттрактантов и активаторов нейтрофилов, таких как интерлейкин-8 (ИЛ-8), и активирующий нейтрофилы пептид 2 (NAP-2, neutrophil-activating peptide 2). Хемокины С-С включают сильные хемоаттрактанты моноцитов и лимфоцитов, но не нейтрофилов, такие как моноцитарные хемотактические белки человека 1-3 (МСР-1, МСР-2 и МСР-3), RANTES (регулируемый активацией фактор, экспрессируемый и секретируемый нормальными Т-клетками; Regulated on Activation, Normal T Expressed and Secreted), эотаксин и макрофагальные воспалительные белки 1 Исследования показали, что действия хемокинов опосредованы подсемействами рецепторов, связанных с G-белком, среди которых находятся рецепторы, обозначаемые CCR1, CCR2, CCR2A, CCR2B, CCR3, CCR4, CCR5, CCR6, CCR7, CCR8, CCR9, CCR10, CXCR1, CXCR2, CXCR3 и CXCR4. Эти рецепторы представляют собой хорошие мишени для разработки лекарств, поскольку агенты, которые модулируют эти рецепторы, могут быть полезны при лечении расстройств и заболеваний, таких как упомянутые выше. Рецептор CCR5 экспрессируется на Т-лимфоцитах, моноцитах, макрофагах, дендритных клетках, на микроглии и других типах клеток. Их обнаруживают и отвечают на несколько хемокинов, главным образом на “регулируемые активацией факторы, экспрессируемые и секретируемые нормальными Т-клетками” (RANTES), макрофагальные воспалительные белки (MIP) MIP-1 Эти события приводят в результате к рекрутменту клеток иммунной системы к местам заболевания. При многих заболеваниях именно клетки, экспрессирующие CCR5, вносят вклад, прямо или косвенно, в повреждение ткани. Следовательно, ингибирование рекрутмента этих клеток полезно при широком ряде заболеваний. CCR5 также является корецептором для HIV-1 и других вирусов, давая возможность этим вирусам проникать в клетки. Блокирование этого рецептора антагонистом CCR5 или индукция интернализации этого рецептора агонистом CCR5 защищает клетки от вирусной инфекции. Согласно настоящему изобретению предложено соединение формулы (I) где L представляет собой СН или N; М представляет собой СН или N при условии, что L и М не представляют собой оба СН; R1 представляет собой водород, C1-6алкил [возможно замещенный фенилом {который сам возможно замещен галогено, С1-4алкилом, С1-4алкокси, циано, нитро, CF3, OCF3, (С1-4алкил)С(O)NH, S(O)2NH2, С1-4алкилтио, S(O)(C1-4алкил) или S(O)2(С1-4алкил)} или гетероарилом {который сам возможно замещен галогено, С1-4алкилом, С1-4алкокси, циано, нитро, CF3, (C1-4алкил)С(O)NH, S(O)2NH2, С1-4алкилтио, S(O)(С1-4алкил) или S(O)2(С1-4алкил)}], фенил {возможно замещенный галогено, С1-4алкилом, С1-4алкокси, циано, нитро, CF3, OCF3, (С1-4алкил)С(O)NH, S(O)2NH2, С1-4алкилтио, S(O)(С1-4алкил) или S(O)2(С1-4алкил)}, гетероарил {возможно замещенный галогено, C1-4алкилом, С1-4алкокси, циано, нитро, CF3, (С1-4алкил)С(O)NH, S(O)2NH2, C1-4алкилтио, S(O)(С1-4алкил) или S(O)2(C1-4алкил)}, S(O)2R6, S(O)2NR10R11, C(O)R7, группировками С(O)2(С1-6алкил) (например, трет-бутоксикарбонил), С(O)2(фенил(С1-2алкил)) (например, бензилоксикарбонил) или C(O)NHR7; и когда М представляет собой СН, R1 может также представлять собой NHS(O)2R6, NHS(O)2NHR7, NHC(O)R7 или NHC(O)NHR7; R2 представляет собой фенил или гетероарил, каждый из которых возможно замещен галогено, С1-4алкилом, С1-4алкокси, S(O)n(С1-4алкил), нитро, циано или CF3; R3 представляет собой водород или С1-4алкил; R4 представляет собой водород, метил, этил, аллил или циклопропил; R5 представляет собой фенил, гетероарил, фенилNH, гетероарилNH, фенил(С1-2алкил), гетероарил(С1-2алкил), фенил(С1-2алкил)NH или гетероарил(С1-2алкил)NH, при этом фенильные и гетероарильные кольца в R5 возможно замещены галогено, циано, нитро, гидрокси, С1-4алкилом, С1-4алкокси, S(O)k(С1-4алкил), S(O)2NR8R9, NHS(O)2(С1-4алкил), NH2, NH(C1-4алкил), N(C1-4алкил)2, NHC(O)NH2, C(O)NH2, С(O)NH(С1-4алкил), NHC(O)(С1-4алкил), CO2Н, CO2(С1-4алкил), С(O)(С1-4алкил), CF3, CHF2, CH2F, CH2CF3 или OCF3; k, m и n независимо равны 0, 1 или 2; R6 представляет собой С1-6алкил [возможно замещенный галогено (например, фторо), С1-4алкокси, фенилом {который сам возможно замещен галогено, С1-4алкилом, С1-4алкокси, циано, нитро, CF3, OCF3, (С1-4алкил)С(O)NH, S(O)2NH2, С1-4алкилтио, S(O)(С1-4алкил) или S(O)2(С1-4алкил)} или гетероарилом {который сам возможно замещен галогено, С1-4алкилом, С1-4алкокси, циано, нитро, CF3, (С1-4алкил)С(O)NH, S(O)2NH2, С1-4алкилтио, S(O)(С1-4алкил) или S(O)2(С1-4алкил)}], С3-7циклоалкил, пиранил, фенил {возможно замещенный галогено, С1-4алкилом, С1-4алкокси, циано, нитро, CF3, OCF3, (С1-4алкил)С(O)NH, S(O)2NH2, С1-4алкилтио, S(O)(С1-4алкил) или S(O)2(С1-4алкил)} или гетероарил {возможно замещенный галогено, С1-4алкилом, С1-4алкокси, циано, нитро, CF3, (С1-4алкил)С(O)NH, S(O)2NH2, С1-4алкилтио, S(O)(С1-4алкил) или S(O)2(C1-4алкил)}; R7 представляет собой водород, С1-4алкил [возможно замещенный галогено (например, фторо), С1-4алкокси, фенилом {который сам возможно замещен галогено, С1-4алкилом, С1-4алкокси, циано, нитро, CF3, OCF3, (C1-4алкил)С(O)NH, S(O)2NH2, С1-4алкилтио, S(O)(С1-4алкил) или S(O)2(С1-4алкил)} или гетероарилом {который сам возможно замещен галогено, С1-4алкилом, C1-4алкокси, циано, нитро, CF3, (С1-4алкил)С(O)NH, S(O)2NH2, С1-4алкилтио, S(O)(C1-4алкил) или S(O)2(С1-4алкил)}], С3-7циклоалкил, пиранил, фенил {возможно замещенный галогено, С1-4алкилом, С1-4алкокси, циано, нитро, CF3, OCF3, (C1-4алкил)С(O)NH, S(O)2NH2, С1-4алкилтио, S(O)(С1-4алкил) или S(O)2(С1-4алкил)} или гетероарил {возможно замещенный галогено, С1-4алкилом, С1-4алкокси, циано, нитро, CF3, (С1-4алкил)С(O)NH, S(O)2NH2, С1-4алкилтио, S(O)(С1-4алкил) или S(O)2(С1-4алкил)}; R8 и R9 независимо представляют собой водород или С1-4алкил либо вместе с атомом азота или кислорода могут соединяться с образованием 5- или 6-членного кольца, которое возможно замещено С1-4алкилом, С(O)Н или С(O)(С1-4алкил); R10 и R11 независимо представляют собой водород или С1-4алкил либо могут соединяться с образованием 5- или 6-членного кольца, которое возможно замещено С1-4алкилом или фенилом (причем данное фенильное кольцо возможно замещено галогено, циано, нитро, гидрокси, С1-4алкилом, С1-4алкокси, группировкой S(O)mС1-4алкил, S(O)2NH2, S(O)2NH(С1-4алкил), S(O)2N(С1-4алкил)2, NHS(O)2(С1-4алкил), NH2, NH(C1-4алкил), N(С1-4алкил)2, NHC(O)NH2, C(O)NH2, С(O)NH(С1-4алкил), NHC(O)(С1-4алкил), CO2Н, CO2(С1-4алкил), С(O)(С1-4алкил), CF3, CHF2, CH2F, CH2CF3 или OCF3), или его фармацевтически приемлемая соль либо их сольват, при условии, что когда R1 является водородом или незамещенным алкилом, R4 является водородом, метилом или этилом, L представляет собой СН и М представляет собой N, тогда фенильная или гетероарильная часть в R5 замещена одним из следующего: S(O)kC1-4алкил, NHC(O)NH2, С(O)(С1-4алкил), CHF2, CH2F, СН2CF3 или OCF3 и возможно дополнительно замещена одним или более чем одним из следующего: галогено, циано, нитро, гидрокси, С1-4алкил, С1-4алкокси, S(O)kС1-4алкил, S(O)2NR8R9, NHS(O)2(C1-4алкил), NH2, NH(C1-4алкил), N(С1-4алкил)2, NHC(O)NH2, C(O)NH2, С(O)NH(С1-4алкил), NHC(O)(C1-4алкил), CO2Н, CO2(С1-4алкил), С(O)(С1-4алкил), CF3, CHF2, CH2F, СН2CF3 или OCF3. Некоторые соединения по настоящему изобретению могут существовать в различных изомерных формах (таких как энантиомеры, диастереомеры, геометрические изомеры или таутомеры). Настоящее изобретение охватывает все такие изомеры и их смеси в любых соотношениях. Подходящие соли включают в себя соли, полученные присоединением кислоты, такие как гидрохлорид, гидробромид, фосфат, ацетат, фумарат, малеат, тартрат, цитрат, оксалат, метансульфонат или п-толуолсульфонат. Соединения по данному изобретению могут существовать в виде сольватов (например, гидратов), и настоящее изобретение охватывает все такие сольваты. Алкильные группы и группировки представляют собой прямые или разветвленные цепи и являются, например, метилом, этилом, н-пропилом, изопропилом, н-бутилом, втор-бутилом или трет-бутилом. Иногда здесь далее метил обозначен сокращением Me. Фторалкил включает в себя, например, от одного до шести, к примеру от одного до трех, атомов фтора и включает, например, группу CF3. Фторалкил представляет собой, например, CF3 или CH2CF3. Циклоалкил представляет собой, например, циклопропил, циклопентил или циклогексил. Фенил(С1-2алкил)алкил представляет собой, например, бензил, 1-(фенил)эт-1-ил или 1-(фенил)эт-2-ил. Гетероарил(С1-2алкил)алкил представляет собой, например, пиридинилметил, пиримидинилметил или 1-(пиридинил)эт-2-ил. Фенил(С1-2алкил)NH представляет собой, например, бензиламино. Гетероарил(С1-2алкил)NH представляет собой, например, пиридинилCH2NH, пиримидинилСН2NH или пиридинилСН(СН3)NH. Гетероарил представляет собой ароматическое 5- или 6-членное кольцо, возможно конденсированное с одним или более чем одним другим кольцом, включающее в себя по меньшей мере один гетероатом, выбранный из группы, содержащей азот, кислород и серу; или его N-оксид либо его S-оксид или S-диоксид. Гетероарилом является, например, фурил, тиенил (также известный как тиофенил), пирролил, тиазолил, изотиазолил, пиразолил, оксазолил, изоксазолил, имидазолил, [1,2,4]триазолил, пиридинил, пиримидинил, индолил, бензо[b]фурил (также известный как бензфурил), бензо[b]тиенил (также известный как бензотиенил или бензотиофенил), индазолил, бензимидазолил, бензотриазолил, бензоксазолил, бензтиазолил, 1,2,3-бензотиадиазолил, имидазопиридинил (например, имидазо[1,2-а]пиридинил), тиено[3,2-b]пиридин-6-ил, 1,2,3-бензоксадиазолил (также известный как бензо[1,2,3]тиадиазолил), 2,1,3-бензотиадиазолил, бензофуразан (также известный как 2,1,3-бензоксадиазолил), хиноксалинил, пиразолопиридин (например, 1Н-пиразоло[3,4-b]пиридинил), хинолинил, изохинолинил, нафтиридинил (например, [1,6]нафтиридинил или [1,8]нафтиридинил), бензотиазинил или дибензтиофенил (также известный как дибензтиенил); или его N-оксид либо его S-оксид или S-диоксид. Гетероарил также может быть пиразинилом. Гетероарил представляет собой, например, пиридинил, пиримидинил, индолил или бензимидазолил. В одном особом аспекте настоящего изобретения предложено соединение формулы (I), где L представляет собой СН или N; М представляет собой СН или N, при условии, что L и М не представляют собой оба СН; R1 представляет собой водород, C1-6алкил [возможно замещенный фенилом {который сам возможно замещен галогено, С1-4алкилом, С1-4алкокси, циано, нитро, CF3, С1-4алкилтио, S(O)(С1-4алкил) или S(O)2(С1-4алкил)} или гетероарилом {который сам возможно замещен галогено, С1-4алкилом, C1-4алкокси, циано, нитро, CF3, С1-4алкилтио, S(O)(С1-4алкил) или S(O)2(C1-4алкил)}], фенил {возможно замещенный галогено, С1-4алкилом, С1-4алкокси, циано, нитро, CF3, С1-4алкилтио, S(O)(С1-4алкил) или S(O)2(С1-4алкил)}, гетероарил {возможно замещенный галогено, С1-4алкилом, С1-4алкокси, циано, нитро, CF3, С1-4алкилтио, S(O)(С1-4алкил) или S(O)2(С1-4алкил)}, S(O)2R6, S(O)2NHR7, C(O)R7, С(O)2(С1-6алкил) или C(O)NHR7; и когда М представляет собой СН, R1 может также представлять собой NHS(O)2R6, NHS(O)2NHR7, NHC(O)R7 или NHC(O)NHR7; R2 представляет собой фенил или гетероарил, каждый из которых возможно замещен по орто- или мета-положению галогено, С1-4алкилом, С1-4алкокси, S(O)n(С1-4алкил), нитро, циано или CF3; R3 представляет собой водород или С1-4алкил; R4 представляет собой водород, метил, этил, аллил или циклопропил; R5 представляет собой фенил, гетероарил, фенилNH, гетероарилNH, фенил(С1-2)алкил, гетероарил(С1-2)алкил, фенил(С1-2алкил)NH или гетероарил(С1-2алкил)NH, при этом фенильные и гетероарильные кольца в R5 возможно замещены галогено, циано, нитро, гидрокси, С1-4алкилом, С1-4алкокси, группировкой S(O)kC1-4алкил, S(O)2NR8R9, NHS(O)2(С1-4алкил), NH2, NH(С1-4алкил), N(С1-4алкил)2, NHC(O)NH2, C(O)NH2, С(O)NH(С1-4алкил), NHC(O)(С1-4алкил), CO2Н, CO2(С1-4алкил), C(O)(C1-4алкил), CF3, CHF2, CH2F, СН2CF3 или OCF3; R8 и R9 независимо представляют собой водород или С1-4алкил либо вместе с атомом азота или кислорода могут соединяться с образованием 5- или 6-членного кольца, которое возможно замещено С1-4алкилом, С(O)Н или С(O)(С1-4алкил); k и n независимо равны 0, 1 или 2; R6 представляет собой C1-6алкил [возможно замещенный фенилом {который сам возможно замещен галогено, С1-4алкилом, С1-4алкокси, циано, нитро, CF3, С1-4алкилтио, S(O)(С1-4алкил) или S(O)2(С1-4алкил)} или гетероарилом {который сам возможно замещен галогено, С1-4алкилом, С1-4алкокси, циано, нитро, CF3, С1-4алкилтио, S(O)(С1-4алкил) или S(O)2(C1-4алкил)}], С3-7циклоалкил, фенил {возможно замещенный галогено, С1-4алкилом, С1-4алкокси, циано, нитро, CF3, С1-4алкилтио, S(O)(С1-4алкил) или S(O)2(C1-4алкил)} или гетероарил {возможно замещенный галогено, С1-4алкилом, C1-4алкокси, циано, нитро, CF3, С1-4алкилтио, S(O)(С1-4алкил) или S(O)2(С1-4алкил)}; R7 представляет собой водород, С1-6-алкил [возможно замещенный фенилом {который сам возможно замещен галогено, С1-4алкилом, С1-4алкокси, циано, нитро, CF3, С1-4алкилтио, S(O)(С1-4алкил) или S(O)2(С1-4алкил)} или гетероарилом {который сам возможно замещен галогено, С1-4алкилом, C1-4алкокси, циано, нитро, CF3, С1-4алкилтио, S(O)(С1-4алкил) или S(O)2(C1-4алкил)}], С3–7циклоалкил, фенил {возможно замещенный галогено, С1-4алкилом, С1-4алкокси, циано, нитро, CF3, С1-4алкилтио, S(O)(С1-4алкил) или S(O)2(C1-4алкил)} или гетероарил {возможно замещенный галогено, С1-4алкилом, C1-4алкокси, циано, нитро, CF3, С1-4алкилтио, S(O)(С1-4алкил) или S(O)2(С1-4алкил)} или его фармацевтически приемлемая соль либо их сольват при условии, что когда R1 является водородом или незамещенным алкилом, R4 является водородом, метилом или этилом, L представляет собой СН и М представляет собой N, тогда фенильная или гетероарильная часть в R5 замещена одним из следующего: S(O)kС1-4алкил, NHC(O)NH2, С(O)(С1-4алкил), CHF2, CH2F, СН2CF3 или OCF3, а также возможно дополнительно замещена одним или более чем одним из следующего: галогено, циано, нитро, гидрокси, С1-4алкил, С1-4алкокси, S(O)k(С1-4алкил), S(O)2NR8R9, NHS(O)2(С1-4алкил), NH2, NH(С1-4алкил), N(C1-4алкил)2, NHC(O)NH2, C(O)NH2, С(O)NH(С1-4алкил), NHC(O)(С1-4алкил), CO2Н, CO2(С1-4алкил), С(O)(С1-4алкил), CF3, CHF2, CH2F, СН2CF3 или OCF3. В другом аспекте настоящего изобретения предложено соединение по данному изобретению, в котором L и М оба представляют собой N и R1 представляет собой водород, С1-4алкил или фенил (причем данный фенил замещен 0, 1 или 2 заместителями, выбранными из перечня, содержащего фторо, хлоро, С1-4алкил, С1-4алкокси, циано, CF3, OCF3, (С1-4алкил)С(O)NH и S(O)2NH2); кроме того, фенильная или гетероарильная группировка в R5 имеет заместитель S(O)2(С1-4алкил) и, возможно, один или более чем один дополнительный заместитель. В дополнительном аспекте данного изобретения гетероарил представляет собой пирролил, тиенил, имидазолил, тиазолил, изоксазолил, пиридинил, пиримидинил, пиразинил или хинолинил. В другом аспекте М представляет собой N и L представляет собой СН или N. В еще одном другом аспекте L и М оба представляют собой N. В дополнительном аспекте L представляет собой СН и М представляет собой N. В еще одном дополнительном аспекте L представляет собой N и М представляет собой СН. В другом аспекте изобретения R1 представляет собой водород, C1-6алкил [возможно замещенный фенилом {который сам возможно замещен галогено}], S(O)2R6, S(O)2NHR7, C(O)R7, С(O)2(С1-6алкил) или C(O)NHR7 , и когда М представляет собой СН, R1 также может представлять собой NHS(O)2R6, NHS(O)2NHR7, NHC(O)R7 или NHC(O)NHR7; R6 представляет собой C1-6алкил [возможно замещенный фенилом {который сам возможно замещен галогено}], С3-7циклоалкил, фенил {возможно замещенный галогено} и R7 представляет собой водород, C1-6алкил [возможно замещенный фенилом {который сам возможно замещен галогено}], С3-7циклоалкил, фенил {возможно замещенный галогено}. В другом аспекте изобретения R1 представляет собой C1-6алкил [замещенный фенилом {который сам возможно замещен галогено}], S(O)2R6, S(O)2NHR7, C(O)R7, С(O)2(С1-6алкил) или C(O)NHR7, и когда М представляет собой СН, R1 может также представлять собой NHS(O)2R6, NHS(O)2NHR7, NHC(O)R7 или NHC(O)NHR7; R6 представляет собой C1-6алкил [возможно замещенный фенилом {который сам возможно замещен галогено}], С3-7циклоалкил, фенил {возможно замещенный галогено} и R7 представляет собой водород, С1-6алкил [возможно замещенный фенилом {который сам возможно замещен галогено}], С3-7циклоалкил, фенил возможно замещенный галогено}. В дополнительном аспекте изобретения R1 представляет собой S(O)2R6, C(O)R7, С(O)2(С1-6алкил) или C(O)NHR7 и когда М представляет собой СН, R1 также может представлять собой NHS(O)2R6 или NHC(O)R7 ; R6 и R7 такие, как они определены выше. В другом аспекте изобретения R1 представляет собой водород, C1-6алкил [возможно замещенный фенилом {который сам возможно замещен галогено}], S(O)2R6, C(O)R7, С(O)2(С1-6алкил) или C(O)NHR7 и когда М представляет собой СН, R1 также может представлять собой NHS(O)2R6 или NHC(O)R7; R6 представляет собой C1-6алкил [возможно, замещенный фенилом {который сам возможно замещен галогено}], С3-7циклоалкил, фенил {возможно замещенный галогено} и R7 представляет собой водород, C1-6алкил [возможно замещенный фенилом {который сам возможно замещен галогено}], С3-7циклоалкил, фенил {возможно замещенный галогено}. В дополнительном аспекте R1 представляет собой фенил (возможно замещенный галогено (например, фторо), С1-4алкилом (например, метилом), C1-4алкокси (например, метокси), CF3 или OCF3), S(O)2(С1-4алкил) (например, S(O)2СН3, S(O)2СН2СН3 или S(O)2СН(СН3)2), S(O)2(С1-4фторалкил) (например, S(O)2CF3 или S(O)2СН2CF3), S(O)2фенил (возможно замещенный (например монозамещенный) галогено (например, хлоро), циано, С1-4алкилом, С1-4алкокси, CF3, OCF3, S(O)2(С1-4алкил) (например, S(O)2СН3 или S(O)2СН2СН2СН3) или S(O)2(С1-4фторалкил) (например, S(O)2СН2CF3)), бензил (возможно замещенный галогено (например, хлоро или фторо), С1-4алкилом, С1-4алкокси (например, метокси), CF3 или OCF3), бензоил (возможно замещенный галогено (например, хлоро или фторо), С1-4алкилом (например, метилом), С1-4алкокси, CF3 или OCF3), С(O)NHфенил (возможно замещенный галогено (например, фторо), C1-4алкилом, С1-4алкокси, CF3 или OCF3), S(O)2тиофенил, СН2пиридинил, СН2хинолинил или СН2тиазолил. В еще одном другом аспекте R1 представляет собой фенил (возможно замещенный (например, монозамещенный) галогено (например, фторо), C1-4алкилом (например, метилом) или С1-4алкокси (например, метокси)), S(O)2(C1-4алкил) (например, S(O)2СН3, S(O)2СН2СН3 или S(O)2СН(СН3)2), S(O)2(C1-4фторалкил) (например, S(O)2CF3 или S(O)2СН2CF3), S(O)2фенил (возможно замещенный (например, монозамещенный) галогено (например, хлоро), циано, CF3, OCF3, S(O)2(С1-4алкил) (например, S(O)2СН3 или S(O)2СН2СН2СН3) или S(O)2(С1-4фторалкил) (например, S(O)2СН2CF3)), бензил (возможно замещенный галогено (например, хлоро или фторо) или С1-4алкокси (например, метокси)), бензоил (возможно замещенный галогено (например, хлоро или фторо) или С1-4алкилом (например, метилом)), С(O)NHфенил (возможно замещенный галогено (например, фторо)), S(O)2тиофенил, СН2пиридинил, СН2хинолинил или СН2тиазолил. В дополнительном аспекте R1 представляет собой фенил (возможно замещенный (например, монозамещенный) галогено (например, фторо) или C1-4алкилом (например, метилом)), S(O)2(С1-4алкил) (например, S(O)2СН3, S(O)2СН2СН3 или S(O)2СН(СН3)2), S(O)2(С1-4фторалкил) (например, S(O)2CF3 или S(O)2СН2CF3), S(O)2фенил (возможно замещенный (например, монозамещенный) CF3, OCF3 или S(O)2(С1-4алкил) (например, S(O)2СН3)), бензил (возможно замещенный галогено (например, хлоро или фторо) или С1-4алкокси (например, метокси)), бензоил (возможно замещенный галогено (например, хлоро или фторо)), С(O)NHфенил (возможно замещенный галогено (например, фторо)), СН2пиридинил, СН2хинолинил или СН2тиазолил. В еще одном дополнительном аспекте R1 представляет собой водород, C1-6алкил [возможно замещенный фенилом {который сам возможно замещен галогено, С1-4алкилом, С1-4алкокси, циано, нитро, CF3, OCF3, (С1-4алкил)С(O)NH, S(O)2NH2 или S(O)2(С1-4алкил)} или гетероарилом {который сам возможно замещен галогено, С1-4алкилом или (С1-4алкил)С(O)NH}], фенил {возможно замещенный галогено, С1-4алкилом, С1-4алкокси, циано, нитро, CF3, OCF3, (C1-4алкил)С(O)NH, S(O)2NH2 или S(O)2(С1-4алкил)}, гетероарил {возможно замещенный галогено, С1-4алкилом или (С1-4алкил)С(O)NH}, S(O)2R6, S(O)2NR10R11, C(O)R7 или C(O)NHR7, и когда М представляет собой СН, R1 также может представлять собой NHC(O)R7; R6 представляет собой С1-6алкил [возможно замещенный галогено (например, фторо), фенилом {который сам возможно замещен галогено, С1-4алкилом, С1-4алкокси, циано, нитро, CF3, OCF3, (С1-4алкил)С(O)NH, S(O)2NH2 или S(O)2(С1-4алкил)} или гетероарилом {который сам возможно замещен галогено, С1-4алкилом или (С1-4алкил)С(O)NH}], фенил {возможно замещенный галогено, С1-4алкилом, С1-4алкокси, циано, нитро, CF3, OCF3, (С1-4алкил)С(O)NH, S(O)2NH2 или S(O)2(С1-4алкил)} или гетероарил {возможно замещенный галогено, С1-4алкилом или (С1-4алкил)С(O)NH}; R7 представляет собой водород, C1-6алкил [возможно замещенный галогено (например, фторо), С1-4алкокси, фенилом {который сам возможно замещен галогено, С1-4алкилом, С1-4алкокси, циано, нитро, CF3, OCF3, (С1-4алкил)С(O)NH, S(O)2NH2 или S(O)2(С1-4алкил)} или гетероарилом {который сам возможно замещен галогено, С1-4алкилом или (С1-4алкил)С(O)NH}], С3-7циклоалкил, пиранил, фенил {возможно замещенный галогено, С1-4алкилом, С1-4алкокси, циано, нитро, CF3, OCF3, (С1-4алкил)С(O)NH, S(O)2NH2 или S(O)2(С1-4алкил)} или гетероарил {возможно замещенный галогено, С1-4алкилом или (C1-4алкил)С(O)NH} и R10 и R11 независимо представляют собой водород или C1-4алкил. В дополнительном аспекте R1 представляет собой фенил (возможно замещенный (например, монозамещенный) галогено (например, фторо) или C1-4алкилом (например, метилом)), S(O)2(С1-4алкил) (например, S(O)2СН3 или S(O)2СН2СН3), S(O)2(С1-4фторалкил) (например, S(O)2CF3), S(O)2фенил (возможно замещенный (например, монозамещенный) CF3 или OCF3), бензил, бензоил (возможно замещенный галогено (например, хлоро или фторо)) или С(O)NHфенил (возможно замещенный галогено (например, фторо)). В еще одном аспекте изобретения R2 представляет собой фенил или гетероарил, каждый из которых возможно замещен по орто- или мета-положению галогено, С1-4алкилом, С1-4алкокси, S(O)n(С1-4алкил), нитро, циано или CF3, при этом n равен 0, 1 или 2, например 0 или 2. (орто- и мета-Положения указаны как орто- и мета- относительно положения присоединения этого кольца к структуре формулы (I).) В еще одном аспекте R2 представляет собой возможно замещенный фенил (например, возможно замещенный галогено (таким как хлоро или фторо), циано, метилом, этилом, метокси, этокси или CF3). В одном аспекте замещение имеет место по орто- или мета-положению фенильного кольца. В другом аспекте R2 представляет собой возможно замещенный фенил (например, возможно замещенный галогено или CF3). Например, R2 представляет собой 3-фторфенил, 3-хлорфенил, 4-фторфенил или 4-CF3-фенил. В дополнительном аспекте R2 представляет собой фенил, 3-фторфенил, 4-фторфенил, 3-хлорфенил, 3,4-дифторфенил или 3,5-дифторфенил. В другом аспекте R2 представляет собой фенил, 3-фторфенил, 4-фторфенил, 3,4-дифторфенил или 3,5-дифторфенил. В еще одном дополнительном аспекте изобретения R2 представляет собой фенил или 3-фторфенил. В другом аспекте изобретения R3 представляет собой водород или метил. В дополнительном аспекте изобретения, когда R3 представляет собой С1-4алкил (например, метил), атом углерода, к которому присоединен R3, имеет абсолютную R-конфигурацию. В еще одном аспекте изобретения R3 представляет собой водород. В дополнительном аспекте изобретения R4 является этилом. В еще одном дополнительном аспекте настоящего изобретения предложено соединение по изобретению, где R5 представляет собой фенил(С1-2алкил), фенил(С1-2алкил)NH, фенил, гетероарил или гетероарил(С1-2алкил), где фенильные и гетероарильные кольца возможно замещены галогено, циано, нитро, гидрокси, С1-4алкилом, С1-4алкокси, S(O)kC1-4алкил, S(O)2NR8R9, NHS(O)2(С1-4алкил), NH2, NH(C1-4алкил), N(С1-4алкил)2 NHC(O)NH2, C(O)NH2, С(O)NH(С1-4алкил), NHC(O)(С1-4алкил), CO2Н, CO2(С1-4алкил), С(O)(С1-4алкил), CF3, CHF2, CH2F, СН2CF3 или OCF3; R8 и R9 независимо представляют собой водород или С1-4алкил либо вместе с атомом азота или кислорода могут соединяться с образованием 5- или 6-членного кольца, которое возможно замещено С1-4алкилом, С(O)Н или С(O)(С1-4алкил) и k равен 0, 1 или 2 (например 2). В другом аспекте изобретения предложено соединение по изобретению, где R5 представляет собой фенил(С1-2алкил) или фенил(С1-2алкил)NH, при этом фенильные кольца в R5 возможно замещены галогено, циано, нитро, гидрокси, С1-4алкилом, С1-4алкокси, S(O)kС1-4алкил, S(O)2NR8R9, NHS(O)2(С1-4алкил), NH2, NH(С1-4алкил), N(С1-4алкил)2, NHC(O)NH2, C(O)NH2, С(O)NH(С1-4алкил), NHC(O)(С1-4алкил), CO2Н, CO2(С1-4алкил), С(O)(С1-4алкил), CF3, CHF2, CH2F, CH2CF3 или OCF3; R8 и R9 независимо представляют собой водород или С1-4алкил либо вместе с атомом азота или кислорода могут соединяться с образованием 5- или 6-членного кольца, которое возможно замещено C1-4алкилом, С(O)Н или С(O)(С1-4алкил) и k равен 0, 1 или 2. В еще одном дополнительном аспекте изобретения R5 представляет собой фенил, гетероарил, фенил(С1-2алкил) или гетероарил(С1-2алкил), при этом фенильные и гетероарильные кольца возможно замещены галогено, циано, нитро, гидрокси, С1-4алкилом, С1-4алкокси, S(O)kС1-4алкил, S(O)2NR8R9, NHS(O)2(С1-4алкил), NH2, NH(С1-4алкил), N(С1-4алкил)2, NHC(O)NH2, C(O)NH2, С(O)NH(С1-4алкил), NHC(O)(С1-4алкил), CO2Н, СО2(С1-4алкил), С(O)(С1-4алкил), CF3, CHF2, CH2F, CH2CF3 или OCF3; k равен 0, 1 или 2 и R8 и R9 независимо представляют собой водород или С1-4алкил либо вместе с атомом азота или кислорода могут соединяться с образованием 5- или 6-членного кольца, которое возможно замещено С1-4алкилом, С(O)Н или С(O)(С1-4алкил). В другом аспекте R5 представляет собой фенил или бензил, где ароматические кольца возможно замещены галогено, циано, нитро, гидрокси, С1-4алкилом, С1-4алкокси, S(O)kС1-4алкил, S(O)2NR8R9, NHS(O)2(С1-4алкил), NH2, NH(C1-4алкил), N(С1-4алкил)2, NHC(O)NH2, C(O)NH2, С(O)NH(С1-4алкил), NHC(O)(С1-4алкил), CO2Н, CO2(С1-4алкил), С(O)(С1-4алкил), CF3, CHF2, CH2F, CH2CF3 или OCF3; k равен 0, 1 или 2 и R8 и R9 независимо представляют собой водород или С1-4алкил либо вместе с атомом азота или кислорода могут соединяться с образованием 5- или 6-членного кольца, которое возможно замещено С1-4алкилом, С(O)Н или С(O)(С1-4алкил). В дополнительном аспекте R5 представляет собой фенил или бензил, при этом ароматические кольца возможно замещены галогено, циано, нитро, гидрокси, С1-4алкилом, С1-4алкокси, S(O)2С1-4алкил, S(O)2NR8R9, NHS(O)2(C1-4алкил), NH2, NH(С1-4алкил), N(С1-4алкил)2, NHC(O)NH2, C(O)NH2, C(O)NH(C1-4алкил), NHC(O)(С1-4алкил), CO2Н, CO2(С1-4алкил), С(O)(С1-4алкил), CF3 и R8 и R9 независимо представляют собой водород или С1-4алкил. В другом аспекте R5 представляет собой NHCH2фенил, где фенильное кольцо возможно замещено галогено, циано, нитро, гидрокси, С1-4алкилом, C1-4алкокси, S(O)2С1-4алкил, S(O)2NR8R9, NHS(O)2(С1-4алкил), NH2, NH(С1-4алкил), N(С1-4алкил)2, NHC(O)NH2, C(O)NH2, С(O)NH(С1-4алкил), NHC(O)(С1-4алкил), CO2Н, CO2(С1-4алкил), С(O)(С1-4алкил), CF3, и R8 и R9 независимо представляют собой водород или С1-4алкил. В еще одном другом аспекте R5 представляет собой бензил, где фенильное кольцо возможно замещено галогено, циано, нитро, гидрокси, C1-4алкилом, С1-4алкокси, S(O)2С1-4алкил, S(O)2NR8R9, NHS(O)2(С1-4алкил), NH2, NH(С1-4алкил), N(С1-4алкил)2, NHC(O)NH2, C(O)NH2, С(O)NH(С1-4алкил), NHC(O)(С1-4алкил), CO2Н, CO2(С1-4алкил), С(O)(С1-4алкил), CF3, и R8 и R9 независимо представляют собой водород или С1-4алкил. В другом аспекте R5 представляет собой NHCH2фенил, где ароматическое кольцо возможно замещено галогено (например, фторо, хлоро или бромо), циано, С1-4алкилом (например, метилом), С1-4алкокси (например, метокси) или S(O)2С1-4алкил (например, S(O)2СН3). В еще одном другом аспекте R5 представляет собой бензил, где ароматическое кольцо возможно замещено галогено (например, фторо, хлоро или бромо), циано, С1-4алкилом (например, метилом), С1-4алкокси (например, метокси) или S(O)2С1-4алкил (например, S(O)2СН3). В еще одном дополнительном аспекте R5 представляет собой фенил или бензил, где ароматическое кольцо возможно замещено (например, по пара-положению) группировкой S(O)2С1-4алкил и данное кольцо возможно дополнительно замещено галогено, циано, нитро, гидрокси, С1-4алкилом или C1-4алкокси. В другом аспекте R5 представляет собой NHCH2фенил или бензил, где ароматическое кольцо замещено (например, по пара-положению) группировкой S(O)2С1-4алкил (например, S(O)2СН3) и данное кольцо возможно дополнительно замещено галогено, циано, нитро, гидрокси, С1-4алкилом или С1-4алкокси. В другом аспекте R5 представляет собой NHCH2фенил, где ароматическое кольцо замещено (например, по пара-положению) группировкой S(O)2С1-4алкил (например, S(O)2СН3), R5 представляет собой, например, NHCH2(4-S(O)2СН3-С6Н4). В другом аспекте R5 представляет собой бензил, где ароматическое кольцо замещено (например, по пара-положению) группировкой S(O)2С1-4алкил (например, S(O)2СН3), R5 представляет собой, например, СН2(4-S(O)2СН3-С6Н4). Атом углерода, помеченный значком Когда L представляет собой N, помеченный значком ^, атом углерода имеет, например, абсолютную S-конфигурацию. Когда L представляет собой CH, помеченный значком ^, атом углерода имеет, например, абсолютную R-конфигурацию. В другом аспекте настоящего изобретения предложено соединение формулы (Ia) где L, М и R1 такие, как они определены выше. В дополнительном аспекте настоящего изобретения предложено соединение формулы (Ib) где L, М и R1 такие, как они определены выше, R представляет собой водород, один или два атома фтора, S(O)n(С1-4алкил) или С1-4алкокси и n равен 0, 1 или 2 (например 2). В другом аспекте настоящего изобретения предложено соединение формулы (Ic) где L, M и R1 такие, как они определены выше, R представляет собой водород, один или два атома фтора, S(O)n(С1-4алкил) или С1-4алкокси и n равен 0, 1 или 2 (например 2). В еще одном дополнительном аспекте настоящего изобретения предложено соединение формулы (Id) где L, M и R1 такие, как они определены выше; R представляет собой водород, один или два атома фтора, S(O)n(С1-4алкил) или С1-4алкокси; Х представляет собой NHCH2, NH или CH2; n равен 0, 1 или 2 (например 2) и R* представляет собой галогено (например, фторо, хлоро или бромо), циано, C1-4алкил (например, метил), С1-4алкокси (например, метокси) или S(O)2С1-4алкил (например, S(O)2CH3). В другом аспекте настоящего изобретения предложено соединение формулы (Ie) где L, М и R такие, как они определены выше. В еще одном другом аспекте настоящего изобретения предложено соединение формулы (If) где L, М, Х и R1 такие, как они определены выше. В еще одном дополнительном аспекте настоящего изобретения предложено соединение формулы (Ig) где R5 такой, как он определен выше. Соединения, перечисленные в Таблицах I-VI, иллюстрируют данное изобретение. В еще одном аспекте изобретения предложено каждое индивидуальное соединение, представленное выше в таблицах. Соединения формулы (I), (Ia), (Ib), (Ic), (Id), (Ie), (If) и (Ig) могут быть получены, как показано ниже (например, на Схемах 2 и 3, при этом Схема 1 показывает получение промежуточного соединения). На Схемах 1-3 PG обозначает защитную группу; Ас является ацетилом; Вое является трет-бутоксикарбонилом; Bn является бензилом; Bz является бензоилом; DIBAL является диизобутилалюминия гидридом; Et является этилом; Ms является мезилом; TFA является трифторуксусной кислотой. Соединение по изобретению, где L представляет собой N, может быть получено путем взаимодействия соединения формулы (II)
где R2, R3, R4 и R5 такие, как они определены выше, с соединением формулы (III)
где R1 такой, как он определен выше, в присутствии иодида натрия и подходящего основания (например, три(С1-6алкил)амина, такого как триэтиламин или основание Хюнига) в подходящем растворителе (таком как хлорсодержащий растворитель, например дихлорметан) и, например, при комнатной температуре (например 10-30°С). Соединение по изобретению, где L представляет собой СН, может быть получено путем взаимодействия соединения формулы (IV) где R2, R3, R4 и R5 такие, как они определены выше, со следующим, в зависимости от того, какое соединение по изобретению желательно получить: а) с кислотой формулы R1CO2H в присутствии подходящего агента сочетания (например, PyBrOP [бромо-трис-пирролидинофосфонийгексафторфосфат] или HATU) в присутствии подходящего основания (такого как три(С1-6алкил)амин, например диизопропилэтиламин) в подходящем растворителе (например, N-метилпирролидиноне или хлорсодержащем растворителе, как, например, дихлорметан) при комнатной температуре (например 10-30°С); б) с хлорангидридом кислоты формулы R1C(O)Cl или сульфонилхлоридом формулы R1C(O)2Cl в присутствии подходящего основания (такого как три(С1-6алкил)амин, например триэтиламин или диизопропилэтиламин) в подходящем растворителе (например, хлорсодержащем растворителе, таком как дихлорметан) при комнатной температуре (например 10-30°С) или в) с альдегидом формулы R1CHO в присутствии NaBH(ОАс)3 (где Ас представляет собой С(О)СН3) и уксусной кислоты в подходящем растворителе (таком как C1-6алифатический спирт, например этанол) при комнатной температуре (например 10-30°С). Альтернативно соединение по изобретению может быть получено путем сочетания соединения формулы (V) где L, M, R1, R2, R3 и R4 такие, как они определены выше, с: а) кислотой формулы R5CO2H в присутствии подходящего агента сочетания (например, PyBrOP или HATU) в присутствии подходящего основания (как, например, три(С1-6алкил)амин, например диизопропилэтиламин) в подходящем растворителе (например, N-метилпирролидиноне или хлорсодержащем растворителе, таком как дихлорметан) при комнатной температуре (например 10-30°С) или б) хлорангидридом кислоты формулы R5C(O)Cl в присутствии подходящего основания (такого как три(С1-6алкил)амин, например триэтиламин или диизопропилэтиламин) в подходящем растворителе (например, хлорсодержащем растворителе, таком как дихлорметан) при комнатной температуре (например 10-30°С). Исходные материалы для этих способов либо имеются в продаже, либо могут быть получены способами, описанными в литературе, либо адаптированием способов, описанных в литературе, или приведенными далее здесь Способами или адаптированием описанных здесь Способов. В дополнительном аспекте данного изобретения предложено промежуточное соединение формулы (V). В еще одном дополнительном аспекте данного изобретения предложены способы получения соединений формулы (I), (Ia), (Ib), (Ic), (Id), (Ie), (If) и (Ig). Многие промежуточные соединения в данных способах являются новыми, и они предложены в качестве дополнительных объектов данного изобретения. Соединения по изобретению обладают активностью как фармацевтические средства, в частности как модуляторы (например, агонисты, частичные агонисты, обратные агонисты или антагонисты) активности рецепторов хемокинов (в частности, CCR5), и могут применяться при лечении аутоиммунных, воспалительных, пролиферативных или гиперпролиферативных заболеваний либо иммунологически опосредованных заболеваний (включая синдром приобретенного иммунодефицита (СПИД)). Соединения по настоящему изобретению также ценны при ингибировании проникновения вирусов (как, например, вируса иммунодефицита человека (ВИЧ)) в клетки-мишени и, следовательно, ценны при предупреждении инфекции вирусов (например, ВИЧ), в лечении инфекции вирусов (например, ВИЧ) и в предупреждении и/или лечении синдрома приобретенного иммунодефицита (СПИД). Согласно еще одному аспекту изобретения предложено соединение формулы (I), (Ia), (Ib), (Ic), (Id), (Ie), (If) или (Ig) (например, (I) или (Ia)) либо его фармацевтически приемлемая соль или их сольват для применения в способе лечения теплокровного животного (например, человека) посредством терапии (включая профилактику). Согласно еще одному аспекту настоящего изобретения предложен способ модулирования активности хемокиновых рецепторов (в частности, активности рецептора CCR5) у теплокровного животного, например человека, нуждающегося в таком лечении, при котором указанному животному вводят эффективное количество соединения по настоящему изобретению или его фармацевтически приемлемой соли или их сольвата. Согласно настоящему изобретению предложено также применение соединения формулы (I), (Ia), (Ib), (Ic), (Id), (Ie), (If) или (Ig) (например, (I) или (Ia)) или его фармацевтически приемлемой соли или их сольвата в качестве лекарства, в частности лекарства для лечения отторжения трансплантата, респираторного заболевания, псориаза или ревматоидного артрита (особенно ревматоидного артрита). [Респираторным заболеванием является, например, хроническая обструктивная болезнь легких (ХОБЛ), астма {например, бронхиальная, аллергическая, наследственная, приобретенная астма или пневмокониоз, в частности хроническая или застарелая астма (например, поздняя астма или повышенная реактивность дыхательных путей)} или ринит {острый, аллергический, атрофический ринит или хронический ринит, включая казеозный ринит, гипертрофический ринит, гнойный ринит, сухой ринит или медикаментозный ринит; пленчатый ринит, включая крупозный, фибринозный или псевдопленчатый ринит, либо скрофулезный ринит; сезонный ринит, включая нервный ринит (сенную лихорадку) или вазомоторный ринит}; и, в особенности, астма или ринит]. Согласно другому аспекту настоящего изобретения предложено применение соединения формулы (I), (Ia), (Ib), (Ic), (Id), (Ie), (If) или (Ig) (например, (I) или (Ia)) или его фармацевтически приемлемой соли или их сольвата в производстве лекарства для применения в терапии (например, для модулирования активности хемокиновых рецепторов (в частности, активности рецептора CCR5 (в частности, при ревматоидном артрите)) у теплокровного животного, например человека). Согласно данному изобретению предложено также соединение формулы (I), (Ia), (Ib), (Ic), (Id), (Ie), (If) или (Ig) (например, (I) или (Ia)) или его фармацевтически приемлемая соль или их сольват для применения в качестве лекарства, в частности лекарства для лечения ревматоидного артрита. В другом аспекте настоящего изобретения предложено применение соединения формулы (I), (Ia), (Ib), (Ic), (Id), (Ie), (If) или (Ig) (например, (I) или (Ia)) или его фармацевтически приемлемой соли либо их сольвата в производстве лекарства для применения в терапии (например, для модулирования активности рецепторов хемокинов (в частности, активности рецептора CCR5 (особенно при ревматоидном артрите)) у теплокровного животного, например у человека). Согласно данному изобретению предложено также применение соединения формулы (I), (Ia), (Ib), (Ic), (Id), (Ie), (If) или (Ig) (например, (I) или (Ia)) или его фармацевтически приемлемой соли в производстве лекарства для применения в лечении: (1) (респираторный тракт) обструктивных заболеваний дыхательных путей, включая хроническую обструктивную болезнь легких (ХОБЛ) (например, необратимую ХОБЛ); астму {такую как, например, бронхиальная, аллергическая, наследственная, приобретенная астма или пневмокониоз, в частности хроническая или застарелая астма (например, поздно наступившая астма или повышенная реактивность дыхательных путей)}; бронхит {как, например, эозинофильный бронхит}; острый, аллергический, атрофический ринит или хронический ринит, включая казеозный ринит, гипертрофический ринит, гнойный ринит, сухой ринит или медикаментозный ринит; пленчатый ринит, включая крупозный, фибринозный или псевдопленчатый ринит, либо скрофулезный ринит; сезонный ринит, включая нервный ринит (сенную лихорадку) или вазомоторный ринит; саркоидоз; экзогенный аллергический альвеолит и родственные заболевания; назальный полипоз; пневмосклероз или идиопатическую интерстициальную пневмонию; (2) (кости и суставы) артритов, включая ревматоидный, инфекционный, аутоиммунный, серонегативные спондилоартропатии (такие как анкилозирующий спондилоартрит, псориатический артрит или болезнь Рейтера), болезнь Бехчета, синдром Шегрена или системный склероз; (3) (кожа и глаза) псориаза, атопического дерматита, контактного дерматита или других экзематозных дерматитов, себорейной экземы, плоского лишая, пузырчатки, буллезной пузырчатки, врожденного буллезного эпидермолиза, крапивницы, воспаления кожных сосудов, васкулитов, эритем, кожной эозинофилии, увеита, гнездной алопеции или весеннего конъюнктивита; (4) (желудочно-кишечный тракт) заболеваний брюшной полости, проктита, эозинофильного гастроэнтерита, мастоцитоза, болезни Крона, неспецифического язвенного колита, синдрома раздраженного кишечника или пищевых аллергий, которые дают удаленные от кишечника эффекты (например, мигрень, ринит или экзему); (5) (отторжение аллотрансплантата) острого и хронического отторжения трансплантата, например, после трансплантации почки, сердца, печени, легкого, костного мозга, кожи и роговицы или хронической болезни “трансплантат против хозяина” и/или (6) (другие ткани или заболевания) болезни Альцгеймера, рассеянного склероза, атеросклероза, синдрома приобретенного иммунодефицита (СПИД), волчаночных расстройств (таких как красная волчанка или системная красная волчанка), эритематоза, тиреоидита Хашимото, тяжелой миастении, диабета типа I, нефротического синдрома, эозинофильного фасцита, синдрома повышенного IgE, лепры (например, лепроматозной лепры), заболевания периодонта, синдрома Сезари, идиопатической тромбоцитопенической пурпуры или расстройств менструального цикла у теплокровного животного, например человека. Далее, в настоящем изобретении предложен способ лечения опосредованного хемокинами болезненного состояния (в частности, опосредованного CCR5 болезненного состояния) у теплокровного животного, например человека, при котором млекопитающему, нуждающемуся в таком лечении, вводят эффективное количество соединения формулы (I), (Ia), (Ib), (Ic), (Id), (Ie), (If) или (Ig) (например, (I) или (Ia)) или его фармацевтически приемлемой соли либо их сольвата. Чтобы применять соединение по изобретению, либо его фармацевтически приемлемую соль, либо их сольват для терапевтического лечения теплокровного животного, например человека, в частности для модулирования активности рецепторов хемокинов (например, рецептора CCR5), указанный ингредиент обычно готовят в составе препарата фармацевтической композиции в соответствии со стандартной фармацевтической практикой. Поэтому в другом аспекте настоящего изобретения предложена фармацевтическая композиция, которая содержит соединение формулы (I), (Ia), (Ib), (Ic), (Id), (Ie), (If) или (Ig) (например, (I) или (Ia)) или его фармацевтически приемлемую соль или их сольват (активный ингредиент) и фармацевтически приемлемый адъювант, разбавитель или носитель. В еще одном аспекте настоящего изобретения предложен способ приготовления указанной композиции, при котором активный ингредиент смешивают с фармацевтически приемлемым адъювантом, разбавителем или носителем. В зависимости от способа введения эта фармацевтическая композиция предпочтительно содержит от 0,05 до 99 мас.% (массовых процентов), более предпочтительно от 0,05 до 80 мас.%, еще более предпочтительно от 0,10 до 70 мас.% и даже еще более предпочтительно от 0,10 до 50 мас.%, активного ингредиента, где массовые проценты даны в расчете на общую массу композиции. Фармацевтические композиции по данному изобретению можно вводить стандартным способом для болезненного состояния, которое желательно лечить, например, путем местного (как, например, в легкое и/или дыхательные пути либо на кожу), перорального, ректального или парентерального введения. Для этих целей препараты соединений по данному изобретению можно готовить способами, известными в данной области техники, в форме, например, аэрозолей, сухих порошкообразных препаратов, таблеток, капсул, сиропов, порошков, гранул, водных или масляных растворов или суспензий, (жидких) эмульсий, распыляемых порошков, суппозиториев, мазей, кремов, капель и стерильных инъекционных водных или масляных растворов или суспензий. Подходящей фармацевтической композицией по данному изобретению является композиция, подходящая для перорального введения в виде стандартной лекарственной формы, например таблетки или капсулы, которая содержит активный ингредиент в количестве от 0,1 мг до 1 г. В другом аспекте фармацевтической композицией по изобретению является композиция, подходящая для внутривенной, подкожной или внутримышечной инъекции. Каждый пациент может получить, например, внутривенную, подкожную или внутримышечную дозу соединения в интервале от 0,01 до 100 мг·кг-1, предпочтительно в интервале от 0,1 до 20 мг·кг-1 соединения по данному изобретению, причем эту композицию вводят от 1 до 4 раз в сутки. Внутривенную, подкожную и внутримышечную дозу можно вводить путем болюсной инъекции. Альтернативно внутривенную дозу можно вводить путем непрерывной инфузии в течение какого-то периода времени. Или же, каждый пациент может получать суточную пероральную дозу, которая примерно эквивалента суточной парентеральной дозе, причем такую композицию вводят от 1 до 4 раз в сутки. Приведенные ниже примеры иллюстрируют типичные фармацевтические лекарственные формы, содержащие соединение формулы (I), (Ia), (Ib), (Ic), (Id), (Ie), (If) или (Ig) (например, (I) или (Ia)) или его фармацевтически приемлемую соль или их сольват (далее: Соединение X), для терапевтического или профилактического применения у людей: Для приготовления препарата можно использовать буферы, фармацевтически приемлемые сорастворители, такие как полиэтиленгликоль, полипропиленгликоль, глицерин или этанол, либо комплексообразующие агенты, такие как гидроксипропил- Приведенные выше препараты можно готовить с помощью общепринятых методик, хорошо известных в области фармацевтики. Таблетки (а)-(в) можно покрывать кишечно-растворимой оболочкой общепринятыми способами, например нанося покрытие из ацетофталата целлюлозы. Далее изобретение проиллюстрировано следующими неограничивающими примерами, в которых, если не указано иное: (1) температуры приведены в градусах Цельсия (°С); операции проводили при комнатной температуре или при температуре окружающей среды, то есть при температуре в интервале 18-25°С; (2) органические растворы высушивали над безводным сульфатом магния; выпаривание растворителя проводили, используя роторный испаритель, при пониженном давлении (600-4000 Па; 4,5-30 мм рт. ст.) при температуре бани вплоть до 60°С; (3) под хроматографией, если не указано иное, подразумевается флэш-хроматография на силикагеле; тонкослойную хроматографию (ТСХ) проводили на пластинах с силикагелем; где дана ссылка на колонку “Bond Elut”, это означает колонку, содержащую 10 г или 20 г силикагеля с размером частиц 40 микрон, где силикагель помещен в 60 мл одноразовый шприц и поддерживается пористым диском, полученную от Varian, Harbor City, California, USA, под наименованием “Меда Bond Elut SI”. Где дана ссылка на “колонку Isolute (4) как правило, за ходом реакций следили с помощью ТСХ, и значения времени реакции приведены только для иллюстрации; (5) значения выходов, если они приведены, даны только для иллюстрации, и они не обязательно будут такими при тщательной разработке процесса; получение повторяли, если требовалось дополнительное количество вещества; (6) если приведены данные 1Н-ЯМР, они указаны и представлены в форме значений дельта для основных диагностических протонов, данных в миллионных долях (м.д.) относительно тетраметилсилана (TMS) в качестве внутреннего стандарта, определенных при 300 МГц с использованием пердейтерийного ДМСО (CD3SOCD3) в качестве растворителя, если не указано иное; константы взаимодейтсвия (J) даны в Гц; (7) химические символы имеют свои обычные значения; использованы единицы и символы системы СИ; (8) соотношения растворителей приведены в объемных процентах; (9) масс-спектры (МС) получали при энергии электронов 70 электрон-вольт в способе химической ионизации (APCI), используя зонд прямой экспозиции, где указано, ионизацию осуществляли путем электрораспыления (ES); если даны значения m/z, как правило, приведены только ионы, которые указывают исходную массу, и, если не указано иное, указанный масс-ион представляет собой положительный масс-ион (М+Н)+; (10) ЖХМС-характеристику проводили, используя пару насосов Gilson 306 с дозатором Gilson 233 XL и масс-спектрометр Waters ZMD4000. При жидкостной хроматографии (ЖХ) использовали уравновешенную водой колонку 4,6×50 С18 с размером частиц 5 микрон. Элюенты представляли собой следующие: А – вода с 0,05% муравьиной кислотой, В – ацетонитрил с 0,05% муравьиной кислотой. Градиент элюента составлял от 95% А до 95% В за 6 минут. Где указано, ионизацию осуществляли путем электрораспыления (ES); где указаны значения m/z, как правило, приведены только ионы, которые указывают исходную массу, и, если не указано иное, указанный масс-ион представляет собой положительный масс-ион (М+Н)+ и (11) использованы следующие сокращения:
ПРИМЕР 1 Этот пример иллюстрирует получение N-[1-(3-фенил-3-[4-метилпиперазин-1-ил]пропил)пиперидин-4-ил]-N-этил-4-метансульфонилфенилацетамида (Соединения №6 из Таблицы I). К раствору 1-метилпиперазина (42 мкл; 0,38 ммоль) в DCM (10 мл) добавляли триэтиламин (0,1 мл; 0,72 ммоль), затем N-[1-(3-фенил-3-хлорпропил)пиперидин-4-ил]-N-этил-4-метансульфонилфенилацетамид (Способ А; 180 мг, 0,38 ммоль) и иодид натрия (50 мг). Получающуюся смесь перемешивали при комнатной температуре в течение 48 ч, затем промывали водой и солевым раствором, высушивали (MgSO4) и упаривали. Остаток очищали путем элюирования через 20 г BondElut 10%-ным метанолом в этилацетате, затем метанолом, затем 1%-ным триэтиламином в метаноле с получением указанного в заголовке соединения (58 мг). ЯМР: 1.2 (t, 1H), 1.3 (t, 2Н), 1.4 (m, 1H), 1.6 (m, 2H), 1.8 (m, 4H), 1.9 (m, 2H), 2.1 (m, 2H), 2.2 (s, 3H), 2.4 (m, 8Н), 2.9 (m, 2H), 3.0 (s, 3H), 3.3 (m, 2H), 3.8 (s, 2H), 7.2 (m, 2H), 7.4 (m, 2H), 7.9 (d, 2H). MC:541. Процедуру, описанную в Примере 1, можно повторить, применяя различные вторичные амины (такие как 4-формилпиперазин, 4-изобутирилпиперазин или 4-бензилпиперидин) вместо 1-метилпиперазина. ПРИМЕР 2 Этот пример иллюстрирует получение N-[1-(3-фенил-3-[пиперидин-4-ил]пропил)пиперидин-4-ил]-N-этил-4-метансульфонилфенилацетамида (Соединения № 17 из Таблицы I). N-[1-(3-Фенил-3-[1-трет-бутилкарбонилоксипиперидин-4-ил]пропил)пиперидин-4-ил]-N-этил-4-метансульфонилфенилацетамид (Пример 3, 4 г) растворяли в трифторуксусной кислоте (25 мл) и получающуюся смесь перемешивали при комнатной температуре в течение 2 ч. Смесь упаривали и остаток азеотропно отгоняли с толуолом. Получающийся материал перемешивали с 2 М водным гидроксидом натрия (25 мл) и получающуюся смесь экстрагировали DCM (8×25 мл). Объединенные экстракты высушивали и упаривали с получением указанного в заголовке соединения (2,5 г). МС (масс-спектрометрия): 526. ПРИМЕР 3 Этот пример иллюстрирует получение N-[1-(3-фенил-3-[1-трет-бутилкарбонилоксипиперидин-4-ил]пропил)-пиперидин-4-ил]-N-этил-4-метансульфонилфенилацетамида (Соединения № 23 из Таблицы I). К раствору 3-фенил-3-(1-трет-бутилкарбонилоксипиперидин-4-ил)пропиональдегида (Способ С; 14,4 ммоль) в DCM (100 мл) добавляли N-(4-пиперидинил)-N-этил-4-метансульфонилфенилацетамид (Способ В; 4,6 г, 14,4 ммоль) и получающуюся смесь перемешивали при комнатной температуре в течение 30 мин. Добавляли триацетоксиборогидрид натрия (3,05 г; 14,4 ммоль) и получающуюся смесь перемешивали при комнатной температуре в течение 2 ч. Реакционную смесь промывали 2 М водным гидроксидом натрия (3×25 мл), высушивали и элюировали через SCX-картридж (50 г) с использованием DCM (3×25 мл), этилацетата (4×25 мл), метанола (4×25 мл) и, наконец, 1 М аммиака в метаноле (4×50 мл) с получением неочищенного продукта, который очищали хроматографией на силикагеле (элюент: этилацетат, затем 10%-ный метанол в этилацетате) с получением указанного в заголовке соединения (4,2 г). МС:626. ПРИМЕР 4 Этот пример иллюстрирует получение N-[1-(3-фенил-3-[1-метилпиперидин-4-ил]пропил)пиперидин-4-ил]-N-этил-4-метансульфонилфенилацетамида (Соединения № 26 из Таблицы I). К смеси N-[1-(3-фенил-3-[пиперидин-4-ил]пропил)пиперидин-4-ил]-N-этил-4-метансульфонилфенилацетамида (Пример 2; 250 мг, 4,76 ммоль) и формальдегида (0,2 мл 37%-ного водного) в DCM (10 мл) добавляли триацетоксиборогидрид натрия (9,52 ммоль) и получающуюся смесь перемешивали при комнатной температуре в течение 18 ч. Смесь промывали 2 М водным гидроксидом натрия (10 мл) и элюировали через SCX-картридж (10 г) с помощью DCM (2×10 мл), метанола (2×10 мл) и, наконец, 1 М аммиака в метаноле (4×10 мл), что позволило получить указанное в заголовке соединение (172 мг). МС:540. Процедура, описанная в Примере 4, может быть повторена с использованием различных альдегидов (таких как ацетальдегид и бензальдегид) вместо формальдегида. ПРИМЕР 5 Этот пример иллюстрирует получение N-[1-(3-фенил-3-[1-ацетилпиперидин-4-ил]пропил)пиперидин-4-ил]-N-этил-4-метансульфонилфенилацетамида (Соединения № 21 из Таблицы I). К смеси N-[1-(3-фенил-3-[пиперидин-4-ил]пропил)пиперидин-4-ил]-N-этил-4-метансульфонилфенилацетамида (Пример 2; 250 мг, 4,76 ммоль) и триэтиламина (48 мг; 4,76 ммоль) в DCM добавляли ацетилхлорид (37 мг; 4,76 ммоль). Получающуюся смесь перемешивали при комнатной температуре в течение 18 ч, промывали насыщенным водным раствором бикарбоната натрия (10 мл), высушивали и элюировали через SCX-картридж (10 г) с помощью DCM (2×10 мл), метанола (4×10 мл) и, наконец, 1 М аммиака в метаноле (4×10 мл), что позволило получить указанное в заголовке соединение (180 мг). МС:568. Процедура, описанная в Примере 5, может быть повторена с использованием различных хлорангидридов кислот (например, хлорангидрида фенилуксусной кислоты и хлорангидрида 4-хлорбензойной кислоты) или сульфонилхлоридов (таких как метансульфонилхлорид) вместо хлорангидрида уксусной кислоты. ПРИМЕР 6 Этот пример иллюстрирует получение N-[1-(3-фенил-3-[1-циклогексиламинокарбонилпиперидин-4-ил]пропил)пиперидин-4-ил]-N-этил-4-метансульфонилфенилацетамида (Соединения № 22 из Таблицы I). К смеси N-[1-(3-фенил-3-[пиперидин-4-ил]пропил)пиперидин-4-ил]-N-этил-4-метансульфонилфенилацетамида (Пример 2; 250 мг, 4,76 ммоль) и DCM (10 мл) добавляли циклогексилизоцианат (59 мг; 4,6 ммоль) и получающуюся смесь перемешивали при комнатной температуре в течение 18 ч. Смесь элюировали через SCX-картридж (10 г) с помощью DCM (4×10 мл), метанола (2×10 мл) и, наконец, 1 М аммиака в метаноле (4×10 мл), что позволило получить указанное в заголовке соединение (300 мг). МС:651. ПРИМЕР 7 N-[1-(3-Фенил-3-[4-(2-хлорфенилсульфонил)пиперазин-1-ил]пропил)пиперидин-4-ил]-N-этил-4-метансульфонилфенилацетамид (Соединение №150 из Таблицы I) 2-Хлорфенилсульфонилхлорид (40,1 мг) добавляли к раствору N-[1-(3-фенил-3-[пиперазин-1-ил]пропил)пиперидин-4-ил]-N-этил-4-метансульфонилфенилацетамида (100 мг) и триэтиламина (53 мкл) в дихлорметане (5 мл) и смесь перемешивали в течение 1 часа. Реакционную смесь промывали водой, соляным раствором и сушили. Растворитель удаляли и остаток хроматографировали на BondElut-колонке (10 г диоксида кремния) с элюированием градиентом растворителей (этилацетат – 20%-ный метанол/этилацетат), что дало указанное в заголовке соединение, выход 90 мг. MH+ 701. N-[1-(3-Фенил-3-[пиперазин-1-ил]пропил)пиперидин-4-ил]-N-этил-4-метансульфонилфенилацетамид (Соединение 86 из Таблицы I), использованный в качестве исходного материала, получали методом, описанным в Примере 2, используя соответствующий (1-трет-бутилоксикарбонил)пиперазиновый аналог. N-[1-(3-Фенил-3-[1-трет-бутилоксикарбонилпиперазин-1-ил]пропил)пиперидин-4-ил]-N-этил-4-метансульфонилфенилацетамид (Соединение 152 из Таблицы I), использованный в качестве исходного материала, получали согласно методу, описанному в Примере 1, используя (1-трет-бутилоксикарбонил)пиперазин в качестве аминокомпонента. ПРИМЕР 8 (R или S) N-[1-(3-фенил-3-[(4-{2,2,2-трифторэтилсульфонилпиперазинил}пропил)пиперидин-4-ил]-N-этил-4-метансульфонилфенилацетамид (Соединение №15 из Таблицы II) Триэтиламин (50 мкл) добавляли к раствору (R или S) N-[1-(3-фенил-3-пиперазинил}пропил)пиперидин-4-ил]-N-этил-4-метансульфонилфенил-ацетамида (175 мг) в дихлорметане (5 мл) с последующим добавлением 2,2,2-трифторэтансульфонилхлорида (37 мкл) и смесь перемешивали при комнатной температуре в течение 14 часов. Реакционную смесь промывали водой и сушили. Остаток, полученный после удаления растворителя, хроматографировали на BondElut-колонке (20 г диоксида кремния) с элюированием градиентом растворителей (этилацетат – 40%-ный метанол/этилацетат), что дало указанное в заголовке соединение в виде белой пены, выход 79 мг. MH+ 673. ЯМР (CDCl3): 1.2 (t, 1Н), 1.3 (t, 2H), 1.4 (m, 1H), 1.6-1.8 (m, 8H), 2.1 (m, 2H), 2.25 (m, 1H), 2.5 (m, 4H), 2.9 (m, 2H), 3.0 (s, 3H), 3.3 (m, 5Н), 3.4 (m, 1H), 3.6 (q, 2H), 3.8 (m, 2H), 7.2 (m, 2H), 7.3 (m, 3H), 7.4 (m, 2H), 7.9 (d, 2H). ПРИМЕР 9 (R или S) N-[1-(3-фенил-3-(Вос-пиперазинил)пропил)пиперидин-4-ил]-N-этил-4-метансульфонилфенилацетамид (R или S) N-[1-(3-фенил-3-хлорпропил)пиперидин-4-ил]-N-этил-4-метансульфонилфенилацетамид (594 мг) добавляли к раствору триэтиламина (0,35 мл) и Вос-пиперазина (233 г) в дихлорметане (10 мл) при комнатной температуре и смесь перемешивали в течение 14 часов. Реакционную смесь добавляли в BondElut-колонку (20 г) и элюировали градиентом растворителей (этилацетат – 40%-ный метанол/этилацетат), что дало указанное в заголовке соединение в виде пены, выход 440 мг. МН+ 627. (R или S) N-[1-(3-Фенил-3-хлорпропил)пиперидин-4-ил]-N-этил-4-метансульфонилфенилацетамид Метансульфонилхлорид (0,5 мл) добавляли к перемешиваемой смеси S N-[1-(3-фенил-3-гидроксипропил)пиперидин-4-ил]-N-этил-4-метансульфонилфенилацетамида (2,7 г) и триэтиламина (1,64 мл) в дихлорметане (50 мл) при 0°С и смесь перемешивали при температуре окружающей среды в течение 15 часов. Реакционную смесь промывали водой и высушивали. Удаление растворителя дало указанное в заголовке соединение в виде оранжевой пены, выход 2,4 г. MH+ 477. (S) N-[1-(3-Фенил-3-гидроксипропил)пиперидин-4-ил]-N-этил-4-метансульфонилфенилацетамид (S) 1-Фенил-3-(4-толуолсульфонилокси)пропан-1-ол (5 г) добавляли к смеси N-(пиперидин-4-ил)-N-этил-4-метансульфонилфенилацетамида (5,3 г) и карбоната калия (2,71 г) в DMF (100 мл), смесь перемешивали и нагревали при 80-90°С в течение 6 часов. Реакционную смесь оставляли охлаждаться и упаривали досуха. Полученный остаток растворяли в дихлорметане (50 мл), промывали водой и высушивали. Растворитель удаляли и остаток пропускали через BondElut-колонку (90 г диоксида кремния) с элюированием градиентом растворителей (этилацетат – 20%-ный метанол/этилацетат), что дало указанное в заголовке соединение в виде белой пены, выход 2,7 г. МН+ 459. ЯМР (CDCl3): 1.2 (t, 1H), 1.3 (t, 2H), 1.6 (m, 2H), 1.75 (m, 3H), 1.85 (m, 3H), 2.2 (m, 1H), 2.55-2.7 (m, 2H), 3.0 (s, 3H), 3.1-3.2 (m, 2H), 3.3 (q, 2H), 3.8 (m, 2H), 4.9 (m, 1H), 7.3 (m, 5H), 7.45 (d, 2H), 7.9 (d, 2H). (S) 1-Фенил-3-(4-толуолсульфонилокси)пропан-1-ол является известным соединением (CAS №156453-52-0). ПРИМЕР 10 (R или S) N-[1-(3-фенил-3-пиперазинилпропил)пиперидин-4-ил]-N-этил-4-метансульфонилфенилацетамид Трифторуксусную кислоту (5 мл) добавляли к раствору (R или S) N-[1-(3-фенил-3-(Вос-пиперазинилпропил)пиперидин-4-ил]-N-этил-4-метансульфонилфенилацетамида (440 мг) в дихлорметане (10 мл) и смесь перемешивали в течение 1 часа. Реакционную смесь концентрировали и остаток растворяли в 2 М водном гидроксиде натрия и экстрагировали дважды дихлорметаном (каждый раз по 10 мл). Объединенные экстракты высушивали и упаривали, что дало указанное в заголовке соединение в виде пены, выход 370 мг. МН+ 527. ПРИМЕР 11 (R) N-[1-(3-Фенил-3-{1-(4-хлорбензоилпиперидин-4-ил)пропил}пиперидин-4-ил]-N-этил-4-метансульфонилфенилацетамид (Соединение №26 из Таблицы II) К смеси (R) N-[1-(3-фенил-3-[пиперидин-4-ил]пропил)пиперидин-4-ил]-N-этил-4-метансульфонилфенилацетамида (330 мг) и МР-смолы (карбонатная форма) (670 мг материала 2,8 мМ/г) в дихлорметане (10 мл) добавляли 4-хлорбензоилхлорид (111 мг) и смесь перемешивали при комнатной температуре в течение 15 часов. Реакционную смесь фильтровали, к фильтрату добавляли МР-смолу (4-толуолсульфонатная форма) (1 г) и перемешивали в течение 30 минут. Реакционную смесь фильтровали и смолу промывали последовательно дихлорметаном (4×10 мл), 1 М МеОН/NH3 (3×10 мл). Объединенные промывки упаривали досуха и остаток пропускали через BondElut-колонку с элюированием градиентом растворителей (этилацетат – 20%-ный метанол/этилацетат), что дало указанное в заголовке соединение, выход 121 мг. ЯМР (DMSOd6): 0.8-2.2 (m, 6H), 1.2-1.5 (m, 4H), 1.5-2.1 (m, 13H), 2.4 (m, 1Н), 2.7 (m, ЗН), 3.3 (m, 4H), 3.8 (d, 2Н), 7-7.5 (m, 11H), 7.8 (d, 2H). Аналитическая ВЭЖХ на колонке Chiralcel OJ (250 мм ×4,6 мм) с элюированием метанолом показала хиральную чистоту >99%. (R) N-[1-(3-Фенил-3-[пиперидин-4-ил]пропил)пиперидин-4-ил]-N-этил-4-метансульфонилфенилацетамид (Соединение №35 из Таблицы II) Раствор (R) N-[1-(3-фенил-3-{1-(бензилоксикарбонилпиперидин-4-ил)пропил}пиперидин-4-ил]-N-этил-4-метансульфонилфенилацетамида (1,5 г) в этаноле (100 мл), содержащем катализатор 20%-ный палладий на угле (200 мг), гидрировали в атмосфере водорода, используя наполненный водородом баллон. Катализатор отфильтровывали и фильтрат упаривали досуха с получением указанного в заголовке соединения, выход 1,1 г. МС (МН+) 526. (R) N-[1-(3-Фенил-3-{1-(бензилоксикарбонилпиперидин-4-ил)пропил}-пиперидин-4-ил]-N-этил-4-метансульфонилфенилацетамид (Соединение № 24 из Таблицы II) Триацетоксиборогидрид натрия (890 мг) добавляли к раствору (R) 3-фенил-3-(бензилоксикарбонилпиперидин-4-ил)пропионового альдегида (1,49 г) и N-(4-пиперидинил)-N-этил-4-метансульфонилфенилацетамида (1,4 г) в дихлорметане (25 мл) и смесь перемешивали в течение 1 часа. Реакционную смесь промывали 2 М NaOH (2×50 мл) и высушивали. Растворитель удаляли и остаток пропускали через BondElut-колонку с диоксидом кремния с элюированием градиентом растворителей (этилацетат – 20%-ный метанол/этилацетат), что дало указанное в заголовке соединение, выход 1,5 г. МС (MH+) 660. (R) 3-Фенил-3-(бензилоксикарбонилпиперидин-4-ил)пропионовый альдегид Реагент Десс-Мартина (1,1,1-триацетокси-1,1-дигидро-1,2-бензиодоксол-3(1Н)-он) (1,8 г) добавляли к раствору (R) 3-фенил-3-(бензилоксикарбонилпиперидин-4-ил)пропанола в дихлорметане (25 мл) и смесь перемешивали в течение 1 часа, промывали 2 М NaOH (2×20 мл) и высушивали. Дихлорметановый раствор, содержащий указанное в заголовке соединение, использовали непосредственно на следующей стадии. (R) 3-Фенил-3-(бензилоксикарбонилпиперидин-4-ил)пропанол Алюмогидрид лития (9,46 мл 1 М LAH в THF) добавляли по каплям к раствору (R) 3-[3-фенил-3-(бензилоксикарбонилпиперидин-4-ил)пропионил]-(4R,5S)-1,5-диметил-4-фенил-2-имидазолидинона (5,1 г) в THF (100 мл) с такой скоростью, чтобы температура не превышала 0°С. Реакционную смесь перемешивали при -5°С в течение 10 минут и добавляли 2 М NaOH (10 мл). Реакционную смесь фильтровали через целит и фильтрат упаривали досуха. Остаток растворяли в дихлорметане (20 мл) и высушивали. Полученный после удаления растворителя остаток пропускали через BondElut-колонку с элюированием градиентом растворителей (изогексан – 60%-ный этилацетат/изогексан), что дало указанное в заголовке соединение, выход 1,6 г. МС (MH+) 354. 3-[(R)3-Фенил-3-(бензилоксикарбонилпиперидин-4-ил)пропионил]-(4R,5S)-1,5-диметил-4-фенил-2-имидазолидинон
TMEDA (2,4 г) добавляли к суспензии иодида меди (I) (4,02 г) в THF (100 мл) и смесь перемешивали при комнатной температуре в течение 30 минут. Реакционную смесь охлаждали до -78°С и добавляли бромид фенилмагния (11,69 мл 1 М раствора в THF) и смесь перемешивали при -78°С в течение 30 минут. Трифлат дибутилбора (11,69 мл; 1 М раствор в диэтиловом эфире) добавляли к раствору 3-[3-(бензилоксикарбонилпиперидин-4-ил)акрилоил]-(4R,5S)-1,5-диметил-4-фенил-2-имидазолидинона (4,9 г) в THF (50 мл) и эту смесь добавляли по каплям в течение 10 минут к раствору купратного реагента. Реакционную смесь перемешивали при -78°С в течение 1 часа, затем оставляли нагреваться до температуры окружающей среды. Растворитель выпаривали, остаток растворяли в этилацетате и фильтровали через диоксид кремния (100 г). Этилацетатный раствор промывали 2 М HCI (1×100 мл), высушивали и упаривали досуха. Остаток пропускали через BondElut-колонку с элюированием смесью этилацетата и изогексана (1:1), что дало указанное в заголовке соединение в виде отдельного диастереоизомера согласно данным ЯМР. Выход 5,1 г. ЯМР (DMSOd6): 0.5 (d, ЗН), 0.8-1.1 (m, 2H), 1.3 (d, 1H), 1.7 (m, 2H), 2.6 (m, 5H), 2.85-3.1 (m, 4H), 5.05 (s, 2H), 5.2 (d, 1H), 6.8 (m, 2H), 7.1-7.5 (m, 13Н). 3-[3-(Бензилоксикарбонилпиперидин-4-ил)акрилоил]-(4R,5S)-1,5-диметил-4-фенил-2-имидазолидинон 1-Хлоро-N,N,2-триметил-1-пропениламин (1,37 г) по каплям добавляли в продолжение 10 минут к раствору 3-(бензилоксикарбонилпиперидин-4-ил)пропеновой кислоты (2,5 г) в THF (20 мл) и смесь перемешивали в течение 1,5 часа. Литийбис(триметилсилил)амид (8,65 мл) добавляли к раствору (4R,5S)-1,5-диметил-4-фенил-2-имидазолидинона (1,64 г) в THF (20 мл) при -10°С и смесь перемешивали при -10°С в течение 10 минут, оставляли нагреваться до 0°С и затем еще раз охлаждали до -10°С. По каплям добавляли раствор хлорангидрида кислоты (приготовленного, как указано выше) и смесь оставляли нагреваться до комнатной температуры. Реакционную смесь выливали в воду (100 мл) и экстрагировали этилацетатом (3×50 мл). Объединенные экстракты высушивали, упаривали досуха и остаток хроматографировали на BondElut-колонке с элюированием смесью этилацетат/изогексан (1:1), что дало указанное в заголовке соединение, выход 3,6 г. ЯМР (DMSOd6): 0.6 (d, 3Н), 0.95 (d, 1H), 1.2 (m, 2H), 1.55 (m, 2H), 2.4 (m, 1H), 2.3 (s, 3Н), 2.8 (m, 2H), 3.95 (m, 3Н), 5 (s, 2H), 5.3 (d, 1H), 6.9 (m, 1H), 7.1 (m, 2H), 7.2-7.4 (m, 8H). 3-(Бензилоксикарбонилпиперидин-4-ил)пропеновая кислота Смесь N-бензилоксикарбонил-4-формилпиперидина (10 г), малоновой кислоты (4, 2), пиридина (4 мл) и пиперидина (0,4 мл) нагревали при 100°С в течение 2 часов. Реакционную смесь оставляли охлаждаться и разбавляли этилацетатом (100 мл). Раствор промывали 2 М HCl (2×100 мл), высушивали и упаривали досуха. Остаток растирали с изогексаном, что дало указанное в заголовке соединение, выход 13,5 г. ЯМР (DMSOd6): 1.2 (m, 2H), 1.7 (m, 2H), 2.35 (m, 1Н), 2.85 (m, 2H), 4 (d, 2H), 5.05 (s, 2H), 5.75 (d, 1H), 6.75 (m, 1H), 7.35 (m, 5H), 12.25 (уширенный пик, 1H). ПРИМЕР 12 N-[1-3-[(3-Фторфенил)-3-[1-фенилпиперидин-4-ил]пропил)пиперидин-4-ил]-N-этил-4-метансульфонилфенилацетамид (Соединение №145 из Таблицы I) 2 М NaOH добавляли к суспензии соли дигидрохлорида N-[1-[3-(3-фторфенил-3-[пиперидин-4-ил]пропил)пиперидин-4-ил]-N-этил-4-метансульфонилфенилацетамида (0,85 г) в дихлорметане (25 мл) и смесь перемешивали до получения прозрачного раствора. Дихлорметановый раствор высушивали и фильтровали. К этому дихлорметановому раствору добавляли бензолбороновую кислоту (330 мг), триэтиламин (280 мг) и ацетат двухвалентной меди (276 мг). Реакционную смесь перемешивали в течение 15 часов, промывали водой и фильтровали через картридж ChemElute. Дихлорметановый фильтрат промывали 2 М NaOH (3×20 мл), высушивали, выливали в SCX-картридж (20 г) и элюировали метанолом (6×20 мл) и 1 М аммиаком в метаноле (6×20 мл). Объединенные аммиачные промывки упаривали и полученный остаток хроматографировали на BonElut-колонке с элюированием градиентом растворителей (этилацетат – 20%-ный метанол/этилацетат), что дало указанное в заголовке соединение, выход 179 мг. Соль – дигидрохлорид N-[1-3-(3-фторфенил)-3-[пиперидин-4-ил]пропил)пиперидин-4-ил]-N-этил-4-метансульфонилфенилацетамида (Соединение №87 из Таблицы I), использованную в качестве исходного материала, получали согласно процедурам, описанным в Примере 3 и Способе С. ПРИМЕР 13 Рацемический N-[1-(3-(3-фторфенил)-3-[4-(4-метансульфонил)фенилсульфонил)пиперазин-1-ил]пропил)пиперидин-4-ил]-N-этил-4-метансульфонилфенилацетамид (78 мг) (Соединение №59 из Таблицы I) разделяли на его индивидуальные энантиомеры хроматографией на Gilson для препаративной ВЭЖХ, используя колонку Chiracel OD (50 мм, 20 мкм) с элюированием смесью этанол/изогексан (9:1). Менее полярный изомер, выход 20 мг (Соединение №16 из Таблицы II). Более полярный изомер, выход 22 мг (Соединение №17 из Таблицы II). ПРИМЕР 14 N1-[1-(3-Фенил)-3-{1-(этансульфонилпиперидин-4-ил)пропил}пиперидин-4-ил]-N1-этил-N3-4-метансульфонилфенилметилмочевина (Соединение №7 из Таблицы III) 4-Метансульфонилфенилметилизоцианат (99 мг) в THF (10 мл) добавляли к 4-N-этил-[1-(3-фенил)-3-{1-(этансульфонилпиперидин-4-ил)пропил}пиперидину (200 мг) и смесь оставляли стоять при комнатной температуре в течение 16 часов. Реакционную смесь наносили на SCX-картридж (5 г) и элюировали дихлорметаном (3×10 мл), метанолом (3×10 мл) и метанольным раствором аммиака (1М, 3×10 мл). Метанольно-аммиачные промывки упаривали, остаток растворяли в дихлорметане (20 мл) и добавляли смолу в изоцианатной форме (200 мг). Смесь перемешивали в течение 16 часов, фильтровали и фильтрат упаривали досуха. Полученный остаток хроматографировали на BondElut-колонке с элюированием градиентом растворителей (этилацетат – 25%-ный метанол/этилацетат), что дало указанное в заголовке соединение, выход 37 мг. МС (МН+) 633. 4-N-Этил-[1-(3-фенил)-3-{1-(этансульфонилпиперидин-4-ил)пропил}пиперидин
Смесь N-этил-N-[1-(3-фенил)-3-{1-(этансульфонилпиперидин-4-ил)пропил}пиперидин-4-ил]карбаминовой кислоты бензилового эфира (5 г) и 10%-ного палладия на углероде (2 г) в этаноле (200 мл) гидрировали в атмосфере водорода, используя наполненный водородом баллон. Катализатор отфильтровывали и фильтрат упаривали досуха с получением указанного в заголовке соединения, выход 2,78 г. N-Этил-N-[1-(3-фенил-3-{1-(этансульфонилпиперидин-4-ил)пропил}пиперидин-4-ил]карбаминовой кислоты бензиловый эфир Этансульфонилхлорид (2,3 г) добавляли к раствору N-этил-N-[1-(3-фенил)-3-{(пиперидин-4-ил)пропил}пиперидин-4-ил]карбаминовой кислоты бензилового эфира дигидрохлорида (8,5 г) и триэтиламина (4,8 г) в дихлорметане (200 мл), выдерживаемому при 0°С. Реакционную смесь оставляли нагреваться до комнатной температуры и перемешивали в течение 4 часов. Реакционную смесь промывали 2 М NaOH (2×100 мл), сушили и упаривали досуха. Остаток хроматографировали на BondElut-колонке с элюированием градиентом растворителей (этилацетат – 20%-ный метанол/этилацетат), что дало указанное в заголовке соединение, выход 5 г. ЯМР (DMSOd6): 1 (t, 3Н), 1.1 (t, 3H), 1.3-3 (m, 14H), 2.2 (m, 1H), 2.55-2.9 (m, 5H), 2.95 (q, 2Н), 3.1 (q, 2H), 3.4-3.7 (m, 3Н), 5.05 (s, 2H), 7.1-7.4 (m, 10Н). МС (МН+) 556. Дигидрохлорид N-этил-N-[1-(3-фенил)-3-{(пиперидин-4-ил)пропил}пиперидин-4-ил]карбаминовой кислоты бензилового эфира HCI в диоксане (50 мл, 4 М) добавляли к бензиловому эфиру N-этил-N-[1-(3-фенил)-3-{1-(трет-бутилоксикарбонилпиперидин-4-ил)пропил}пиперидин-4-ил]карбаминовой кислоты (26 г) при 0°С, смесь оставляли нагреваться до комнатной температуры и перемешивали в течение 2 часов. Реакционную смесь разбавляли диэтиловым эфиром (200 мл) и выпавшую в осадок твердую соль – дигидрохлорид – отфильтровывали и высушивали (гигроскопична). Выход 17 г. MC (MH+) 464. N-Этил-N-[1-(3-фенил)-3-{1-(трет-бутилоксикарбонилпиперидин-4-ил)пропил}пиперидин-4-ил]карбаминовой кислоты бензиловый эфир Раствор 3-фенил-3-(1-трет-бутилоксикарбонилпиперидин-4-ил)пропионового альдегида (7,8 г) [приготовленного согласно описанному в Примере 11 способу] в дихлорметане (200 мл) добавляли к смеси гидрохлорида N-этил-N-пиперидин-4-илкарбаминовой кислоты бензилового эфира (7,4 г) (CAS №220395-87-9) и ацетата натрия (2,17 г) в этаноле (50 мл) и перемешивали в течение 30 минут. Триацетоксиборогидрид натрия (5,2 г) добавляли небольшими порциями в течение 15 минут и перемешивание продолжали в течение 2 часов. По каплям добавляли водный NaOH (2 M, 200 мл), дихлорметановый слой собирали и промывали 2 M NaOH (2×100 мл), высушивали и упаривали досуха, что дало указанное в заголовке соединение, выход 26 г. ЯМР (DMSOd6): 1 (t, 3Н), 1.35 (s, 9H), 1.4-2 (m, 14H), 2.3 (m, 2H), 2.6-2.7 (m, 4Н), 3.15 (q, 2H), 3.4-4 (m, 3Н), 5.05 (s, 2H), 7.1-7.2 (m, 10Н). МС (МН+) 563. 4-Метансульфонилфенилметилизоцианат Дифенилфосфорилазид (260 мг) добавляли к смеси 4-метансульфонилфенилуксусной кислоты (200 мг) и триэтиламина (191 мг) в THF (20 мл) и реакционную смесь кипятили с обратным холодильником в течение 4 часов. Реакционную смесь охлаждали и использовали непосредственно на следующей стадии. Способ А N-[1-(3-Фенил-3-хлорпропил)пиперидин-4-ил]-N-этил-4-метансульфонилфенилацетамид Стадия 1: получение N-[1-(3-фенил-3-оксопропил)пиперидин-4-ил]-N-этил-4-метансульфонилфенилацетамида К раствору N-(4-пиперидинил)-N-этил-4-метансульфонилфенилацетамида (Способ В; 3,24 г, 10 ммоль) в DMF (50 мл) добавляли карбонат калия (2,76 г, 20 ммоль) с последующим добавлением 3-хлорпропиофенона (1,85 г; 11 ммоль). Получающуюся смесь перемешивали при комнатной температуре в течение 18 ч, затем упаривали. Остаток растворяли в DCM и получающийся раствор промывали водой (4×10 мл), солевым раствором (10 мл), высушивали (MgSO4) и упаривали, что дало неочищенный продукт, который очищали посредством элюирования через 50 г BondElut 10%-ным метанолом в этилацетате, что позволило получить указанное в подзаголовке соединение (2,4 г; 53%). ЯМР (CDCl3): 1.1 (t, 1Н), 1.2 (m, 2H), 1.6 (m, 6H), 2.2 (m, 1H), 2.8 (m, 2H), 3.0 (m, 5Н), 3.2 (m, 2H), 3.3 (m, 2H), 3.8 (m, 2H), 7.4 (m, 5H), 7.9 (m, 4H). МС: 457. Стадия 2: получение N-[1-(3-фенил-3-гидроксипропил)пиперидин-4-ил]-N-этил-4-метансульфонилфенилацетамида К раствору N-[1-(3-фенил-3-оксопропил)пиперидин-4-ил]-N-этил-4-метансульфонилфенилацетамида (912 мг; 2 ммоль) в этаноле (20 мл) при 0°С добавляли борогидрид натрия (76 мг; 2 ммоль). Получающуюся смесь перемешивали при комнатной температуре в течение 30 мин, затем упаривали. Остаток растворяли в DCM и получающийся раствор промывали водой (2×5 мл) и соляным раствором (5 мл), высушивали (MgSO4) и упаривали, что дало указанное в подзаголовке соединение (812 мг; 87%). ЯМР (CDCl3): 1.1 (t, 1H), 1.2 (m, 2H), 1.6 (m, 8H), 2.0 (m, 1H), 2.2 (m, 1H), 2.6 (m, 2H), 3.0 (s, 3Н), 3.2 (m, 2H), 3.3 (m, 2H), 3.8 (m, 2H), 4.9 (d, 1H), 7.3 (m, 5H), 7.4 (d, 2H), 7.9 (d, 2H). МС: 459. Стадия 3: получение указанного в заголовке соединения К смеси N-[1-(3-фенил-3-гидроксипропил)пиперидин-4-ил]-N-этил-4-метансульфонилфенилацетамида (400 мг; 0,87 ммоль) и триэтиламина (0,24 мл; 1,04 ммоль) в DCM (10 мл) при 0°С добавляли метансульфонилхлорид (67 мкл; 0,87 ммоль). Получающуюся смесь перемешивали при комнатной температуре в течение 30 мин, затем упаривали. Остаток очищали посредством элюирования через 20 г BondElut, что дало указанное в заголовке соединение (180 мг; 44%). ЯМР (CDCl3): 1.1 (t, 1H), 1.2 (m, 2H), 1.6 (m, 7H), 2.2 (m, 2H), 2.4 (m, 2H), 2.8 (m, 2H), 3.0 (s, 3Н), 3.3 (m, 2H), 3.8 (m, 2H), 5.0 (m, 1H), 7.3 (m, 5H), 7.4 (d, 2H), 7.9 (d, 2H). МС: 477. Способ В N-(4-Пиперидинил)-N-этил-4-метансульфонилфенилацетамид Стадия 1: получение 1-фенилметил-4-этиламинопиперидина дигидрохлорида К раствору 1-фенилметил-4-пиперидона (25,0 г; 132 ммоль) в THF (250 мл) добавляли этиламина гидрохлорид (12,0 г; 147 ммоль) и метанол (50 мл) и получающуюся смесь перемешивали при комнатной температуре в течение 10 мин. Порциями добавляли триацетоксиборогидрид натрия (40 г, 189 ммоль) и получающуюся смесь перемешивали при комнатной температуре в течение 1 ч. Добавляли 2 М раствор гидроксида натрия (250 мл) и получающуюся смесь экстрагировали диэтиловым эфиром. Органические экстракты сушили (К2СО3) и упаривали, что дало 1-фенилметил-4-этиламинопиперидин в виде масла. Его растворяли к этаноле (500 мл) и добавляли концентрированную соляную кислоту (20 мл). Получающиеся кристаллы собирали, промывали диэтиловым эфиром и высушивали, получая указанное в подзаголовке соединение в виде твердого вещества (38 г). ЯМР (CDCl3): 1.10 (t, 3Н), 1.40 (m, 2H), 1.83 (m, 2H), 2.02 (m, 2H), 2.65 (q, 2H), 2.85 (m, 2H), 3.50 (s, 2H), 3.75 (m, 1H), 7.2-7.4 (m, 5H). МС: 219 (МН+). Стадия 2: получение N-(1-фенилметил-4-пиперидинил)-N-этил-4-метансульфонилфенилацетамида К раствору 1-фенилметил-4-этиламинопиперидина дигидрохлорида (32,0 г; 110 ммоль) в DCM (500 мл) добавляли N,N-диизопропилэтиламин (60 мл) с перемешиванием для достижения полного растворения. Добавляли 4-метансульфонилфенилуксусную кислоту (25,0 г; 117 ммоль), 4-диметиламинопиридин (2,0 г) и дициклогексилкарбодиимид (25,0 г; 121 ммоль) и получающуюся смесь перемешивали при комнатной температуре в течение 20 ч. Осадок удаляли фильтрованием и получающийся раствор промывали последовательно 2 н. водной HCl, водой и 1 н. водным NaOH, высушивали (MgSO4) и упаривали. Остаток очищали хроматографией на силикагеле (элюент: 10%-ный МеОН/этилацетат), что позволило получить указанное в подзаголовке соединение (35 г; 76%). ЯМР: 1.00 и 1.14 (t, 3Н), 1.45 и 1.70 (m, 2H), 1.95 (br m, 2H), 2.80 (br m, 2H), 3.18 (s, 3Н), 3.20 и 3.33 (q, 2H), 3.45 (s, 2H), 3.80 и 3.87 (s, 2H), 3.70 и 4.10 (m, 1H), 7.2-7.3 (m, 5H), 7.48 (m, 2H), 7.82 (m, 2H). МС: 415 (МН+). Стадия 3: получение указанного в заголовке соединения К раствору N-(1-фенилметил-4-пиперидинил)-N-этил-4-метансульфонилфенилацетамида (34 г, 82 ммоль) в этаноле (600 мл) добавляли формиат аммония (40 г). Смесь продували аргоном и добавляли 30%-ный Pd на углероде (4,2 г). Получающуюся смесь перемешивали при кипячении с обратным холодильником в течение 4 ч, затем оставляли охлаждаться и фильтровали через диатомит. Фильтрат упаривали, что дало густое масло, которое отвердело при стоянии с получением указанного в заголовке соединения (24,9 г; 94%). ЯМР: 1.02 и 1.15 (t, 3Н), 1.4-1.6 (br m, 4H), 2.45 (m, 2Н), 2.93 (br m, 2H), 3.18 (s, 3Н), 3.20 и 3.32 (q, 2H), 3.72 и 4.18 (m, 1H), 3.80 и 3.87 (s, 2H), 7.50 (m, 2H), 7.85 (m, 2H). МС: 325 (МН+). Способ С 3-Фенил-3-(1-трет-бутилкарбонилоксипиперидин-4-ил)пропионовый альдегид Стадия 1: получение 1-трет-бутилкарбонилокси-4-бензоилпиперидина К раствору 4-бензоилпиперидина (6 г; 26,5 ммоль) в 2 М водном гидроксиде натрия (26,5 мл) добавляли ди-трет-бутилдикарбонат (5,79 г, 26,5 ммоль) и получающуюся смесь перемешивали при комнатной температуре в течение 18 ч. Твердый продукт выделяли фильтрованием и высушивали под вакуумом при 40°С, получая указанное в подзаголовке соединение (7 г). ЯМР 1.3-1.4 (m, 11H), 1.7 (m, 2H), 2.9 (m, 2H), 3.6 (m, 1H), 3.95 (m, 2H), 7.5-7.6 (m, 3Н), 7.95 (d, 2H). Стадия 2: получение этил-3-фенил-3-(1-трет-бутилкарбонилоксипиперидин-4-ил)акрилата К раствору триэтилфосфоноацетата (6,2 г, 27 ммоль) в THF (100 мл) при 0°С добавляли бис(триметилсилил)амид лития (32,5 мл; 1 М, 32,5 ммоль). Получающуюся смесь перемешивали при 0°С в течение 20 мин. Добавляли 1-трет-бутилкарбонилокси-4-бензоилпиперидин (7 г, 25 ммоль) и получающуюся смесь перемешивали при комнатной температуре в течение 48 ч. Смесь упаривали и остаток растворяли в этилацетате (200 мл). Раствор промывали 2 М соляной кислотой (2×100 мл), высушивали и упаривали, получая указанное в подзаголовке соединение. Стадия 3: получение этил-3-фенил-3-(1-трет-бутилкарбонилоксипиперидин-4-ил)пропионата Этил-3-фенил-3-(1-трет-бутилкарбонилоксипиперидин-4-ил)акрилат (25 ммоль) растворяли в этаноле (200 мл) и раствор продували аргоном. Добавляли 20%-ный гидроксид палладия (2 г) и получающуюся смесь перемешивали при комнатной температуре в атмосфере водорода (из баллона) в течение 72 ч. Смесь продували аргоном, фильтровали и фильтрат упаривали. Неочищенный продукт очищали хроматографией на силикагеле (элюент: изогексан, затем 35%-ный этилацетат в изогексане), что дало указанное в подзаголовке соединение (5,3 г). Стадия 4: получение 3-фенил-3-(1-трет-бутилкарбонилоксипиперидин-4-ил)пропан-1-ола К раствору этил-3-фенил-3-(1-трет-бутилкарбонилоксипиперидин-4-ил)пропионата (5,3 г; 14,6 ммоль) в THF (100 мл) по каплям в течение 20 мин добавляли алюмогидрид лития (14,6 мл; 1 М, 14,6 ммоль). Получающуюся смесь перемешивали при 0°С в течение 1 ч. По каплям добавляли 2 М водный гидроксид натрия (20 мл). Смесь фильтровали через Celite®, промывая этилацетатом (3×25 мл). Фильтрат и промывки объединяли и упаривали. Остаток растворяли в этилацетате (100 мл) и получающийся раствор промывали водой (3×50 мл), высушивали и упаривали, что дало указанное в подзаголовке соединение (4,6 г). ЯМР 0.9-1 (m, 2H), 1.25 (m, 1H), 1.35 (s, 9H), 1.5-2 (m, 5H), 2.6 (m, 2H), 3.1 (m, 2H), 3.8-4 (m, 2H), 4.2 (t, 1H). Стадия 5: получение указанного в заголовке соединения К раствору 3-фенил-3-(1-трет-бутилкарбонилоксипиперидин-4-ил)пропан-1-ола (4,6 г; 14,4 ммоль) в DCM (100 мл) добавляли реагент Десс-Мартина (6,1 г; 14,6 ммоль) и получающуюся смесь перемешивали при комнатной температуре в течение 2 ч. Смесь промывали 2 М водным гидроксидом натрия (3×50 мл), высушивали и упаривали, что дало указанное в заголовке соединение. Способ D N-(трет-Бутоксикарбонилпиперидин-4-ил)-N-этил-4-метансульфонилфенилацетамид
К раствору 4-метилсульфонилфенилуксусной кислоты (16,1 г) в толуоле (200 мл) в атмосфере аргона добавляли дифенилфосфорилазид (16,2 мл) и триэтиламин (10,4 мл). Смесь нагревали при 90°С в течение 3 часов и затем оставляли охлаждаться. Добавляли трет-бутил-1-оксо-4-аминоэтилпиперидин [CAS 264905-39-7] (17,10 г) в толуоле (100 мл), смесь перемешивали в течение 18 часов и затем распределяли между EtOAc/Н2О (500 мл/400 мл), фильтровали и органический слой отделяли и промывали насыщенным раствором NaHCO3 (2×300 мл), солевым раствором (300 мл), сушили над MgSO4, фильтровали и упаривали. Получающееся коричневое масло очищали на диоксиде кремния, используя градиентное элюирование от 0 до 3%-ного МеОН в EtOAc, что дало указанное в заголовке соединение в виде твердого вещества желтого цвета (7,10 г). ЯМР: (DMSO): 1.4 (t, 3Н), 1.40 (s, 9H), 1.52 (m, 4H), 2.73 (m, 2H), 3.15 (m, 5H), 4.02 (m, 3Н), 4.32 (d, 2Н), 6.89 (t, 1H), 7.43 (d, 2H), 7.87 (d, 2H). МС 340 (MH+ – Boc). N-(Пиперидин-4-ил)-N-этил-4-метансульфонилфенилацетамид
Пиперидин (6,84 г) растворяли в DCM (39 мл) и медленно добавляли TFA (39 мл). Смесь оставляли стоять в течение 40 минут и затем упаривали. Остаток растворяли в 2 М NaOH, экстрагировали DCM (3×150 мл) и экстракты высушивали над MgSO4, фильтровали и упаривали, что дало указанное в заголовке соединение в виде твердого вещества желтого цвета (5,00 г). ЯМР: (DMSO): 1.05 (t, 3Н), 1.41 (m, 4H), 2.42 (m, 2H), 2.96 (d, 2H), 3.20 (m, 5H), 3.90 (quint, 1H), 4.29 (d, 2H), 6.84 (t, 1H), 7.43 (d, 2H), 7.85 (d, 2H). МС 340 (МН+). Способ Е N-[1-(3-[3,4-Дифторфенил]-3-гидроксипропил)пиперидин-4-ил]-N-этил-4-метансульфонилфенилацетамид Раствор борогидрида натрия (7,7 мг) в этаноле (1 мл) добавляли к раствору N-[1-(3-[3,4-дифторфенил]-3-кетопропил)пиперидин-4-ил]-N-этил-4-метансульфонилфенилацетамида (0,25 г) в этаноле (3,2 мл) при 0°С в атмосфере аргона и реакционную смесь оставляли нагреваться до комнатной температуры в течение 20 часов. Реакцию гасили солевым раствором, экстрагировали три раза диэтиловым эфиром и объединенные экстракты сушили. Затем фильтрат концентрировали до получения прозрачного масла, выход 0,21 г. МС (МН+) 495. N-[1-(3-[3,4-Дифторфенил]-3-кетопропил)пиперидин-4-ил]-N-этил-4-метансульфонилфенилацетамид DBU добавляли к раствору [пиперидин-4-ил]-N-этил-4-метансульфонилфенилацетамида (CAS №374725-04-9) (320 мг) и 3,4-дифторфенилвинилкетона (654 мг) в дихлорметане (9 мл) в атмосфере аргона и реакционную смесь перемешивали в течение 36 часов. Реакционную смесь концентрировали in vacuo и очищали, используя колоночную флэш-хроматографию на диоксиде кремния с элюированием градиентом растворителей (метанол 10-15%, метанол в дихлорметане), выход 250 мг. МН+ 493. 3,4-Дифторфенилвинилкетон Реагент Десс-Мартина (3,18 г) добавляли к раствору 3,4-дифторвинилового спирта (CAS №149946-84-9) (1,18 г) в дихлорметане (22 мл) при 0°С в атмосфере аргона и реакционную смесь оставляли перемешиваться в течение 1 часа. Смесь наносили непосредственно на колонку для очистки путем колоночной флэш-хроматографии, элюируя градиентом (этилацетат -10%, этилацетат и изогексан), выход 654 мг. ЯМР (CDCl3): 6.0 (d, 1H), 6.50 (d, 1 Н), 7.10 (dd, 1 Н), 7.30 (m, 1 Н), 7.80 (m, 2H). ПРИМЕР 15 Способность соединений ингибировать связывание RANTES оценивали путем in vitro анализа связывания радиоактивного лиганда. Препарат мембран готовили из клеток яичника китайского хомячка, которые экспрессировали человеческий рецептор CCR5. Эти мембраны инкубировали с 0,1 нМ йодированным RANTES гранулами для определения сцинтилляционной близости и соединениями по изобретению в различных концентрациях в 96-луночных планшетах. Количество йодированного RANTES, связавшегося с рецептором, определяли на основании счета сцинтилляций. Получили кривые конкуренции для соединений и рассчитывали концентрации соединений, которые замещали 50% связанного йодированного RANTES (IC50). Предпочтительные соединения формулы (I) имели IC50 менее 50 мкМ. ПРИМЕР 16 Способность соединений ингибировать связывание MIP-1 Результаты этого теста для некоторых соединений по изобретению представлены в Таблице VII. Результаты в Таблице VII представлены в виде значений Pic50. Значение Pic50 представляет собой отрицательный логарифм (по основанию 10) полученного значения IC50, таким образом IC50, равная 1 мкМ (то есть 1×10-6 М), дает Pic50, равный 6. Если соединение тестировали более одного раза, то приведенные ниже данные представляют собой среднее значение результатов предназначенных для испытания проб.
СХЕМА 1 СХЕМА 2 СХЕМА 3 Условия а) (1) (EtO)2P(=O)CH2CO2Et, основание; (2) гидрирование (например, Pd(OH)2, H2) b) Восстановление (например, LiAlH4) (R3 представляет собой Н) c) (1) Восстановление до альдегида (например, DIBAL-H); (2) R3MgBr d) Окисление (например, реагент Десс-Мартина) e) (1) MeONHMe, AlMe3; (2) восстановление (R3 представляет собой Н) или R3MgBr f) Восстановительное аминирование (NaBH(ОАс)3, АсОН) g) HCl или TFA h) Образование амида (кислота и агент сочетания или галогенангидрид кислоты, основание) i) Образование сульфонамида (сульфонилхлорид, основание) j) Восстановительное аминирование (альдегид, NaBH(ОАс)3)
Формула изобретения
1. Производное пиперидина формулы (I): где L представляет собой CH или N; М представляет собой СН или N; при условии, что L и М оба не представляют собой СН; R1 представляет собой фенил (возможно замещенный галогено или C1-4алкилом), S(O)2(С1-4алкил), S(O)2(С1-4фторалкил), S(O)2фенил (возможно замещенный CF3 или OCF3), бензил, бензоил (возможно замещенный галогено) или С(O)NHфенил (возможно замещенный галогено); R2 представляет собой фенил, возможно замещенный галогено; R3 представляет собой водород или С1-4алкил; R4 представляет собой метил или этил; R5 представляет собой фенил-NH, фенил(С1-2алкил), фенил(С1-2алкил)-NH или пиридил(С1-2алкил), при этом фенильное кольцо возможно замещено галогено, циано, С1-4алкилом, С1-4алкокси, S(O)k(С1-4алкил) или S(O)2NR8R9; k равно 2; R8 и R9 независимо представляют собой водород; или его фармацевтически приемлемая соль. 2. Соединение по п.1, где L представляет собой СН. 3. Соединение по п.1 или 2, где М представляет собой N. 4. Соединение по п.1, где R3 является водородом или метилом. 5. Соединение по п.1, где R4 является этилом. 6. Способ получения соединения по п.1, где L представляет собой N, при котором осуществляют взаимодействие соединения формулы (II): где R2, R3, R4 и R5 такие, как определено в п.1, с соединением формулы (III):
где R1 такой, как определено в п.1, в присутствии иодида натрия и подходящего основания в подходящем растворителе. 7. Фармацевтическая композиция, полезная в модулировании активности рецептора CCR5, содержащая соединение по п.1 или его фармацевтически приемлемую соль и фармацевтически приемлемый адъювант, разбавитель или носитель.
|
||||||||||||||||||||||||||||||||||||||||||||||||||||||||||||||||||||||||||||||||||||||||||||||||||||||||||||||||


) и Cys-Cys (C-C, или
). Эти семейства различаются на основании единственной аминокислотной вставки в NH-проксимальной паре цистеиновых остатков и подобия последовательности.
на изображении формулы (I), приведенном ниже, всегда является хиральным.


























SCX”, это означает колонку, содержащую бензолсульфоновую кислоту (без крышки на конце) от International Sorbent Technology Ltd., 1st House, Duffryn Industrial Estate, Ystrad Mynach, Hengoed, Mid Glamorgan, UK. Где дана ссылка на “Argonautтм PS-трис-аминовую акцепторную смолу”, это означает трис-(2-аминоэтил)амин-полистироловую смолу от Argonaut Technologies Inc., 887 Industrial Road, Suite G, San Carlos, California, USA;















