Патент на изобретение №2162467
|
||||||||||||||||||||||||||
(54) КАРБОКСАМИДЫ БЕНЗОФУРАНА И ИХ ФАРМАЦЕВТИЧЕСКАЯ КОМПОЗИЦИЯ
(57) Реферат: Описываются новые соединения – карбоксамиды бензофурана общей формулы (i), где Z представляет СО; R1 представляет алкоксигруппу, необязательно замещенную одним или несколькими галогенами; R2 и R3 одинаковые или различные и каждый представляет Н, R6, OR10, COR6, C(=NOR6)R6, алкил-С(=NОR6)R6, C(= NOH)R6, NR8R9, CN, CF3, CO2H, CO2R10; R4 представляет Н или алкил; R5 представляет арил, гетероарил, гетероцикло; в R4 и/или R5 часть арил/гетероарил/гетероцикло необязательно замещена одним или несколькими заместителями R13; R6 представляет R10, необязательно замещенный в любом положении R14; R7 представляет Н или алкил; R8 представляет Н, гетероарилалкил, гетероциклоалкил или алкоксикарбонил; R9 представляет Н, гетероарилалкил или алкил; R10 представляет алкил, циклоалкил, арил, гетероарил, гетероцикло, арилалкил, гетероарилалкил или гетероциклоалкил; R11 представляет Н или алкил; R12 представляет Н; R13 представляет алкил, необязательно замещенный галогеном, алкокси, необязательно замещенный галогеном, гетероцикло, гидрокси, CO2R7, галоген, CN, S(O)nR10; R14 представляет ОН, карбонильный кислород, OR10, NR8R9, CN, СО2Н, СО2R10, CONR11R12; n = 0; или его фармацевтически приемлемая соль. Описывается также фармацевтическая композиция на их основе. Соединения могут быть пользованы в качестве ингибиторов фосфодиэстеразы при лечении патологических состояний, связанных с белками, которые медиаируют клеточную активность. 2 с. и 18 з.п. ф-лы, 2 табл.
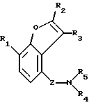
Область изобретения Настоящее изобретение относится к новым карбоксамидам и тиоамидам бензофурана, а также к их препарату и применению в качестве лекарственных средств. Предпосылки изобретения В ЕР-А-0637586 описаны производные бензофурана, включая 4-карбоксамиды, в качестве ингибиторов ацетилхолинэстеразы. В WO-A-9408962 описаны аналоги бензофурана в качестве антагонистов рецепторов фибриногена. В WO-A-9203427 описаны бензофуран-2-карбоксамиды с заместителем в 3 положении, выбранным из гидрокси, ацилокси, алкокси, необязательно алкилзамещенной аминоалкокси, алкилсульфониламина, необязательно алкилзамещенного аминоалкилсульфонила или арилсульфониламина в качестве средства для лечения остеопороза. В ЕР-А-0685475 описаны бензофуран-2-карбоксамиды в качестве противовоспалительных агентов. В WO-A-9603399 описаны дигидробензофуран-4-карбоксамиды в качестве ингибиторов фосфодиэстераз. В WO-A-9636624 (опубликован 21.11.96 г.; ЕР-А-0771794) описаны соединения формулы (i), как это определено ниже, некоторые из которых могут быть правомочно отнесены к дате приоритета ранее 20.05.96 г. В таких соединениях с более ранней датой приоритета и по отношению к формуле (i): R1 представляет необязательно замещенный алкокси; R2 и R3, каждый, представляют собой H, необязательно замещенный алкил (например, циклоалкилзамещенный алкил), арил или гетероарил, алканоил, алкоксикарбонил или CN; и R4 представляет 4-пиридил, необязательно замещенный в 2- и 6-положениях алкилом, алкокси, COOH, алканоилом, алкоксикарбонилом, CF3, NH2, CN, NO2 или галогеном; и R5 представляет H, алкил, циклоалкил, арил, гетероарил или аралкил. Фосфодиэстеразы (PDE: phosphodiestherases) и фактор некроза опухолей (TNF), их характер действия и полезные эффекты терапевтического применения их ингибиторов описаны в патентах WO-A-9636595, WO-A-9636596 и в WO-A-9636611, содержание которых включено здесь в ссылках. Те же документы описывают производные бензофурана, обладающие полезным действием как ингибиторы PDE и TNF. Краткое содержание изобретения Изобретение основано на обнаружении новых соединений, которые могут быть использованы в лечении патологических состояний, например патологических состояний, связанных с белками, которые медиаируют клеточную активность путем, например, ингибирования фактора некроза опухоли и/или путем ингибирования фосфодиэстеразы IV. Согласно изобретению новые соединения имеют формулу: ![]() где Z представляет CO или CS; R1 представляет алкоксигруппу, необязательно замещенную одним или более галогенами, OH или тиоалкилом; R2 и R3, одинаковые или различные, и каждый представляет H, R6, OR10, COR6, C(= NOR6)R6, алкил-C(=NOR6)R6, алкил-С(=NOH)R6, C(=NOH)R6, галоген, NR8R9, CF3, CN, CO2H, CO2R10, CONH2, CONHR6 или CON(R6)2; R4 представляет H, арилалкил, гетероарилалкил, гетероциклоалкил, S(O)mR10 или алкил, необязательно замещенный одним или несколькими заместителями, выбранными из гидрокси, алкокси, CO2R7, SO2NR11R12, CONR11R12, CN, карбонильный кислород, NR8R9, COR10 и S(O)nR10; R5 представляет арил, гетероарил, гетероцикло, арилалкил, гетероарилалкил или гетероциклоалкил; в R4 и/или R5 часть арил/гетероарил/гетероцикло необязательно замещена одним или несколькими заместителями алкил-R13 или R13; R6 представляет R10, необязательно замещенный в любом положении (одним или несколькими) R14; R7 представляет H, алкил, циклоалкил, арилалкил, гетероарилалкил или гетероциклоалкил; R8 представляет H, арил, гетероарил, гетероцикло, алкил, циклоалкил, арилалкил, гетероарилалкил, гетероциклоалкил, алкилкарбонил, алкоксикарбонил, арилсульфонил, гетероарилсульфонил, гетероциклосульфонил, арилкарбонил, гетероарилкарбонил, гетероциклокарбонил или арилсульфонил; R10 представляет алкил, циклоалкил, арил, гетероарил, гетероцикло, арилалкил, гетероарилалкил или гетероциклоалкил; R9, R11 и R12, одинаковые или различные, каждый представляет H или R10; R13 представляет алкил, необязательно замещенный атомом галогена, алкокси, необязательно замещенный галогеном, арил, гетероарил, гетероцикло, гидрокси, арилокси, гетероарилокси, гетероциклоокси, арилалкилокси, гетероарилалкилокси, гетероциклоалкилокси, CO2R7, CONR11R12, SO2NR11R12, галоген, -CN, -NR8R9, COR10, S(O)nR10 или карбонильный кислород; R14 представляет OH, OR10, карбонильный кислород, NR8R9, CN, CO2H, CO2R10, CONR11R12 или COR10; m равно 1-2; и n равно 0-2; а также их фармацевтически приемлемые соли. Любые сочетания заместителей и/или переменных допускаются в том случае, если такие сочетания приводят к стабильным соединениям. Описание изобретения Подходящие фармацевтически приемлемые соли являются солями прибавления фармацевтически приемлемых оснований и фармацевтически приемлемых кислот. Некоторые из соединений формулы (i), которые содержат кислотную группу, образуют соли с основаниями. Подходящие фармацевтически приемлемые соли с основаниями включают в себя соли металлов, такие как соли щелочных металлов, например соли натрия, или соли органических аминов, такие как получаемые с этилендиамином. Некоторые из соединений формулы (i), которые содержат аминогруппу, образуют кислотно-аддитивные соли. Подходящие кислотно-аддитивные соли включают фармацевтически приемлемые неорганические соли, такие как сульфат, нитрат, фосфат, борат, гидрохлорид и гидробромид, и фармацевтически приемлемые органические кислотно-аддитивные соли, такие как ацетат, тартрат, малеат, цитрат, сукцинат, бензоат, аскорбат, метансульфат, – кетоглутарат, – глицерофосфат и глюкоза-1-фосфат. Фармацевтически приемлемые соли соединения формулы (i) получают с помощью обычных способов.
Специалисту в данной области понятно, что некоторые из соединений формулы (i) могут существовать в более чем одной таутомерной форме. Данное изобретение включает все таутомерные формы.
Следует учесть, что соединения по изобретению могут содержать один или несколько асимметрично замещенных атомов. Наличие одного или нескольких асимметричных центров в соединении формулы (i) может приводить к стереоизомерам, и следует учесть, что в каждом случае изобретение распространяется на все такие стереоизомеры, включая энантиомеры и диастереоизомеры и их смеси, включая рацемические смеси.
Употребляемый здесь термин “алкил”, вне зависимости от того, используют ли его отдельно или как часть другой группы, включает алкильные группы с прямой и разветвленной цепью, содержащие до 6 атомов. Алкокси означает группу алкил-O-, алкильная группа в которой соответствует описанному ранее. Арилокси означает группу арил-O-, арильная группа в которой соответствует приведенному ниже определению. Гетероарилокси означает группу гетероарил-O-, а гетероциклоокси означает группу гетероцикло-O-, в которой гетероарил и гетероцикло группа соответствуют приведенному ниже определению. Арилалкилокси означает группу арил алкил-О-. Гетероарилалкилокси означает группу гетероарил алкил-О-, а гетероциклоалкилокси означает группу гетероцикло алкил-О-. Алкиламино означает группу алкил-N-, алкильная группа в которой соответствует определенному выше, ариламино означает группу арил-N-, а гетероариламино означает группу гетероарил-N- (арил или гетероарил определены ниже). Тиоалкил означает группу алкил-S. Циклоалкил включает неароматическую циклическую или полициклическую систему колец с числом атомов углерода от 3 до 10. Циклический алкил необязательно может быть частично ненасыщен. Арил обозначает карбоциклические радикалы, содержащие от 6 до 10 атомов углерода. Арилалкил означает арилалкильную группу, где арил и алкил такие, как здесь описано. Гетероарилалкил означает гетероарил-алкильную группу, а гетероциклоалкил означает гетероциклоалкильную группу. Алкилкарбонил означает группу алкил-CO-, алкильная группа в которой соответствует описанной ранее. Арилкарбонил означает группу арил-CO-, в которой арильная группа соответствует описанной ранее. Гетероарилкарбонил означает группу гетероарил-CO-, а гетероциклокарбонил означает группу гетероцикло-CO-. Арилсульфонил означает группу арил-SO2, в которой арильная группа соответствует описанной ранее. Гетероарилсульфонил означает группу гетероарил-SO2-, а гетероциклосульфонил означает группу гетероцикло-SO2-. Алкоксикарбонил означает группу алкокси-CO-, алкоксигруппа в которой соответствует описанной ранее. Алкилсульфонил означает группу алкил-SO2-, в которой алкильная группа соответствует описанной ранее. Карбонильный кислород означает группу -CO-. Будет понятно, что карбонильный кислород не может быть заместителем на арильном или гетероарильном кольце. Карбоциклическое кольцо означает 5-10-членную моноциклическую или полициклическую систему колец, которая может быть насыщенной или частично ненасыщенной. Гетероциклическое кольцо означает 5-10-членную моноциклическую или полициклическую систему колец (которая может быть насыщенной или частично ненасыщенной), где один или более атомов в циклической системе не углерод, а другой элемент, выбранный из атомов азота, кислорода или серы. Гетероарил означает 5-10-членную ароматическую моноциклическую или полициклическую углеводородную циклическую систему, в которой один или более атомов в циклической системе не углерод, а другой элемент, выбранный из атомов азота, кислорода или серы; если нужно, атом N может быть в форме N-оксида. Гетероцикло означает 5- 10-членную насыщенную или частично насыщенную моноциклическую или полициклическую углеводородную циклическую систему, один или более атомов в циклической системе которой не углерод, а другой элемент, выбранный из атомов азота, кислорода или серы. Галоген означает фтор, хлор, бром или иод.
Соединения по данному изобретению могут быть использованы для лечения TNF-опосредованных патологических состояний. “TNF-опосредованная болезнь или патологические состояния” означают любое и все патологические состояния, в которых играет роль TNF, либо путем продуцирования самого TNF, либо путем действия TNF, ведущего к высвобождению другого цитокина, такого как IL-1 или IL-6, не ограничиваясь, однако, только ими. Патологическое состояние, в котором цитокин IL-1, например, является основным компонентом и продуцирование или действие которого усиливается или который секретируется в ответ на TNF, будет, поэтому, рассматриваться как TNF-опосредованное патологическое состояние. Поскольку TNF- (известен также как лимфотоксин) обладает структурной гомологией, близкой к TNF- (известному также как кахектин), и поскольку каждый из них индуцирует подобные биологические ответы и связывается с тем же клеточным рецептором, как TNF- , так и TNF- рассматриваются как объекты ингибирования соединениями настоящего изобретения и поэтому трактуются здесь собирательно как “TNF”, если не указано, в частности, по-другому.
Данное изобретение относится к способу опосредования или подавления ферментативной активности или каталитической активности PDE IV у млекопитающего, нуждающегося в этом, а также к подавлению продуцирования TNF у млекопитающего, нуждающегося в этом, который предусматривает введение этому млекопитающему эффективного количества соединения формулы (i) или его фармацевтически приемлемой соли.
Ингибиторы PDE IV могут применяться в лечении разнообразного рода аллергических и воспалительных заболеваний, включая: астму, хронический бронхит, хроническое обструктивное заболевание дыхательных путей, атопический дерматит, атопическую экзему, крапивницу, аллергический ринит, аллергический конъюнктивит, весенний конъюнктивит, воспаление глаза, аллергические реакции глаз, эозинофильную гранулому, псориаз, болезнь Bechet, эритематоз, анафилактоидный пурпурный нефрит, воспаление суставов, артрит, ревматоидный артрит и другие артритные состояния, такие как ревматоидный спондилит и остеоартрит, септический шок, сепсис, язвенный колит, болезнь Крона, реперфузионное поражение миокарда и мозга, хронический гломерулонефрит, эндотоксический шок и респираторный дистресс- синдром взрослых. Кроме того, ингибиторы PDE IV применимы при лечении несахарного диабета и состояний, связанных с угнетением мозгового метаболизма, таких как сенильность мозга, сенильная деменция (болезнь Альцгеймера), недостаточность памяти в связи с болезнью Паркинсона, депрессия и мультиинфарктная деменция. Ингибиторы PDE IV применимы также при состояниях, улучшаемых активностью нейрозащитных средств, таких как остановка сердца, инсульт или перемежающаяся хромота. Ингибиторы PDE IV могут применяться при лечении поздней дискинезии, ишемии и болезни Гентингтона. Кроме того, ингибиторы PDE IV могут найти применение как гастрозащитные средства. Специальным практическим воплощением терапевтических способов настоящего изобретения является лечение астмы.
Вирусы, рассматриваемые здесь для лечения, являются вирусами, которые в результате инфицирования продуцируют TNF, или вирусами, которые чувствительны к ингибированию, например путем снижения репликации, непосредственно или косвенно, TNF-ингибиторами формулы (i). Такие вирусы включают (но не ограничиваются ими) ВИЧ-1, ВИЧ-2 и ВИЧ-3, цитомегаловирус (CMV), вирус инфлюэнцы, аденовирус и группа вирусов герпеса, таких как Herpes zoster и Herpes simplex (не ограничиваясь ими).
Более конкретно, данное изобретение относится к способу лечения млекопитающего, пораженного вирусом иммунодефицита человека (ВИЧ), который предусматривает введение такому млекопитающему эффективного ингибирующего TNF количества соединения формулы (i) или его фармацевтически приемлемой соли.
Соединения данного изобретения могут также быть использованы в связи с ветеринарным лечением животных, исключая людей, нуждающихся в подавлении продуцирования TNF. TNF-опосредованные заболевания, могущие быть объектом проводимого в терапевтических или профилактических целях лечения животных, включают патологические состояния, такие как патологические состояния, упомянутые выше, но в особенности – вирусные инфекции. Примеры таких вирусов включают (но не ограничиваются ими): кошачий вирус иммунодефицита (FIV) или другая ретровирусная инфекция, такая как вирус инфекционной анемии лошадей, вирус артрита коз, вирус висны, maedi-вирус и другие лентивирусы.
Соединения данного изобретения применимы также для лечения паразитарных, дрожжевых и грибковых инфекций, где такие дрожжевые и грибковые возбудители чувствительны к регулирующему влиянию TNF или будут вызывать продуцирование TNF in vivo. Предпочтительным патологическим состоянием в качестве объекта лечения является грибковый менингит.
Соединения данного изобретения могут также подавлять нейрогенное воспаление через повышение уровня циклического аденозинмонофосфата (цАМФ) в чувствительных нейронах. Они обладают, поэтому, аналгезирующим, противокашлевым и противогиперболевым действием при воспалительных заболеваниях, сопровождающихся раздражением и болью.
Соединения формулы (i) предпочтительно имеют фармацевтически приемлемую форму. Под фармацевтически приемлемой формой подразумевается, среди прочего, соединение фармацевтически приемлемого уровня чистоты, исключая обычные фармацевтические добавки, такие как растворители и носители, и не включая материалы, рассматриваемые как токсические при нормальных уровнях дозировки. Фармацевтически приемлемый уровень чистоты должен, как правило, быть, по меньшей мере, 50%, исключая стандартные фармацевтические добавки, предпочтительно 75%, более предпочтительно 90% и еще более предпочтительно 95%.
Изобретение, далее, предлагает способ получения соединения формулы (i), в которой радикалы R1 и др., m и n такие, как определено выше. Должно быть понятно, что функциональные группы, такие как амино, гидроксильные или карбоксильные группы, которые присутствуют в разных соединениях, описанных ниже, и которые желательно охранять, могут нуждаться в превращении их в защищенную форму, до того, как будет начата любая реакция. В таких случаях удаление защитной группы может быть конечной стадией в конкретной последовательности реакций. Подходящие защитные группы для таких функциональных групп должны быть известны специалистам данной области. Конкретные детали см. в Protective Groups in Organic Synthesis, Wiley Interscience, TW Green. Так, способ получения соединений формулы (i), в которой радикал 4 содержит -OH, включает удаление защитной группы (например, путем гидрогенолиза или гидролиза у соединения формулы (i), в которой R4 содержит подходящую группу -OP, где P представляет подходящую защитную группу (например, бензил или ацетил).
Должно быть понятно, что там, где требуется конкретный стереоизомер формулы (i), его можно получить с помощью методик разделения (расщепления), таких как, например, высокоэффективная жидкостная хроматография, либо могут быть осуществлены описанные здесь способы синтеза с использованием подходящего гомохирального исходного материала.
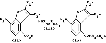
Способ получения соединения формулы (i), где Z представляет CO, содержит реакцию соответствующей карбоновой кислоты формулы (ii) с подходящим амином формулы (iii):![]() где R1a представляет R1 по определению к формуле (i) или группу, превращаемую в R1, a R2a-R5a аналогично представляют R2-R5 или группы, превращаемые в R2-R5 соответственно; а в дальнейшем, если потребуется, превращение любой группы R1a в R1 и/или R2a в R2, и/или P3a в R3, и/или R4a в R4, и/или R5a в R5; а в дальнейшем, если потребуется, превращение любой группы R1a в R1 и/или R2a в R2, и/или R3a в R3, и/или R4a в R4, и/или R5a в R5. Реакцию карбоновой кислоты формулы (ii) с амином формулы (iii) можно осуществлять в любых известных практическим специалистам подходящих условиях. Реакцию предпочтительно осуществляют в присутствии подходящего основания, например амина, такого как триэтиламин, предпочтительно в подходящем растворителе, таком как дихлорметан. В некоторых случаях будет требоваться более сильное основание, такое как гидрид натрия, и полярный растворитель, такой как диметилформамид. Предпочтительно карбоновую кислоту превращают в хлорангидрид, смешанный ангидрид или другой активированный промежуточный продукт до реакции с амином формулы (iii). Карбоновые кислоты формулы (ii) и амины формулы (ii) являются либо коммерчески доступными, описанными ранее соединениями, либо их получают с помощью стандартных способов, известных практическим специалистам. Карбоновую кислоту формулы (ii), например, удобно получать из соответствующего бензофурана формулы (v) с использованием известных практическим специалистам стандартных способов. Бензофуран формулы (v), например, можно применять для получения альдегида формулы (iv), который затем можно окислить для получения соответствующей кислоты формулы (ii). В качестве альтернативного варианта, можно бромировать бензофуран формулы (v), получая бромид формулы (vi), который затем может быть превращен в карбоновую кислоту формулы (ii), например через карбоксилирование с использованием металлоорганического катализа, такого как катализируемая палладием реакция. ![]() ![]() Соединение формулы (ia) может быть также получено путем реакции карбоновой кислоты формулы (ii) с амином (iii) с образованием соединения формулы (ia), в которой R4a представляет H, с последующей реакцией с реагентом R4aY (vii), в котором Y представляет подходящую уходящую группу, такую как галоген. Первая реакция может быть осуществлена, как описано выше. Карбоновую кислоту предпочтительно превращают в хлорангидрид, смешанный ангидрид или другой активированный промежуточный продукт до реакции с амином (iii). Реакцию с реагентом (vii) можно осуществить в любых известных практическим специалистам подходящих условиях. Она может быть проведена в присутствии подходящего основания, например гидрида натрия, предпочтительно в подходящем растворителе, таком как диметилформамид. Реагенты (vii) представляют известные соединения или коммерчески доступные, или их получают с помощью известных практическим специалистам стандартных способов. Такие соединения включают алкилирующие агенты, такие как пропилбромид, ацилирующие агенты, такие как бензоилхлорид и сульфонилирующие агенты, такие как метансульфонилхлорид. Соединения формулы (i) могут быть также получены путем взаимопревращения других соединений формулы (i). Например, соединение, в котором R<содержит алкоксигруппу, может быть получено соответствующим алкилированием соединения, у которого R4 содержит гидроксигруппу. Соединения формулы (i), у которых Z представляет CS, могут быть получены из соединений формулы (i), в которых Z представляет СО, с использованием любых известных практическим специалистам подходящих условий, например с использованием реактива Лоэссона (Lawesson’s reagent). С помощью другого способа соединения, у которых R2 и/или R3 содержат оксим, могут быть получены из соединений, у которых R2 и/или R3 содержат карбонильную группу. Это превращение можно осуществить с использованием любых подходящих условий, известных практическим специалистам. Соединения формулы (i), у которых R2 и/или R3 содержат карбонильную группу, могут быть восстановлены с использованием известных практическим специалистам стандартных условий (например, с использованием боргидрида натрия в подходящем растворителе) для получения соединений, у которых R2 и/или R3 содержат спиртовую группу. Соединения, у которых R2 и/или R3 являются алкилом, могут быть получены восстановлением соединений, у которых R2 и/или R3 являются СО-алкилом, с использованием известных практическим специалистам стандартных условий (например гидразин-гидратом в присутствии подходящего основания в подходящем растворителе). Могут быть проведены и другие превращения на соединениях формулы (i), R2 и/или R3 которых содержат карбонильную группу. Такие превращения включают, но не ограничиваются ими, восстановительное аминирование и алкилирование. Соединения, у которых R2 и/или R3 содержат СО-алкильную СО-арильную, СО-гетероарильную, СО-алкиларильную, СО-алкилгетероцикло или СО-алкилгетероарильную группу, могут быть получены из соединений, у которых R2 и/или R3 содержат CN-группу, путем добавления подходящего металлоорганического реагента (такого как реактив Гриньяра). Любое из вышеуказанных преобразований можно осуществить либо в конце синтеза, либо на стадии подходящего промежуточного продукта. Соединение формулы (i) либо, где это подходит, его фармацевтическая соль и/или его соответствующий фармацевтически приемлемый сольват, можно вводить per se (в чистом виде) или, что предпочтительно, в виде фармацевтической композиции, также содержащей фармацевтически приемлемый носитель. Соответственно, настоящее изобретение предлагает фармацевтическую композицию, содержащую соединение формулы (i) или, где подходит, его фармацевтически приемлемую соль и/или его фармацевтически приемлемый сольват и фармацевтически приемлемый носитель. Активное соединение можно изготовить в форме, пригодной для введения любым подходящим путем, причем предпочтительный путь введения зависит от нарушения, для которого требуется лечение, предпочтительно в виде унифицированной лекарственной формы или в форме, которую как однократную дозу пациент-человек может принимать сам. Удобно, когда композиция подходит для перорального, ректального, местного, парентерального введения или для введения через дыхательный тракт. Препараты могут быть предназначены для достижения пролонгированного высвобождения активного ингредиента. Термин “парентеральный”, как он используется здесь, включает подкожные инъекции, внутривенную, внутримышечную, интрастернальную инъекцию или инфузионные методики. Кроме лечения теплокровных животных, таких как мыши, крысы, лошади, крупный рогатый скот, овцы, собаки, кошки и др., соединения данного изобретения эффективны при лечении людей. Композиции данного изобретения могут быть в форме таблеток, капсул, саше, ампул, порошков, гранул, крупных таблеток, суппозиториев, тонических порошков либо жидких препаратов, таких как пероральные или стерильные парентеральные растворы или суспензии. Предусмотрены, там где это соответствует предназначению, также местные препаративные формы. В целях достижения последовательности в введении, предпочтительно, чтобы композиция данного изобретения была в форме унифицированной дозы. Примерами унифицированных лекарственных форм для перорального введения могут быть таблетки и капсулы, они могут содержать традиционные носители, такие как связывающие агенты, например сироп, аравийская камедь, желатин, сорбит, трагакант или поливинилпирролидон; наполнители, например микрокристаллическая целлюлоза, лактоза, кукурузный крахмал, сахароза, фосфат кальция, сорбит или глицин; таблетирующие смазывающие вещества, например стеарат магния; дезинтегрирующие агенты, например крахмал, поливинилпирролидон, натриевая соль гликолата крахмала или микрокристаллическая целлюлоза; либо фармацевтически приемлемые смачивающие агенты, такие как лаурилсульфат натрия. Твердые пероральные составы могут быть получены с помощью традиционных способов смешивания, наполнения, таблетирования или тому подобное. В целях распределения активного вещества в массе этих композиций, в которых используются большие количества наполнителей, можно применять повторные операции смешивания. Такие операции, конечно же, не выходят за рамки традиционных технологий. Таблетки могут быть снабжены оболочками в соответствии со способами, хорошо известными в стандартной фармацевтической практике, в частности энтеросолюбильным покрытием. Пероральные жидкие препараты могут быть в форме, например, эмульсий, сиропов или элексиров, либо могут быть представлены в виде сухого продукта, разбавляемого до нужного объема с помощью воды или других подходящих носителей перед употреблением. Такие жидкие препараты могут содержать традиционные добавки, такие как суспендирущие агенты, например сорбит, сироп, метилцеллюлоза, желатин, гидроксиэтилцеллюлоза, карбоксиметилцеллюлоза, гель стеарата алюминия, гидрогенизированные пищевые жиры; эмульгирующие агенты, например лецитин, моноолеат сорбитана, либо аравийская камедь, неводные носители (которые могут включать пищевые масла), например миндальное масло, фракционированное масло кокосового ореха, сложные эфиры масел, такие как эфиры глицерина, пропиленгликоля или этилового спирта; консерванты, например метил- или пропил-п- гидроксибензоат или сорбиновую кислоту; и, если это желательно, традиционные корригенты или красящие вещества. Композиции также могут быть удобно представлены для введения в дыхательный тракт в виде лекарственного порошка для вдыхания через нос или аэрозоля или раствора для распылителя, или тонкодисперсного порошка для инсуффляции, отдельно или в комбинации с инертным носителем, таким как лактоза. В таком случае удобнее, если частицы активного соединения имеют диаметр менее 50 мкм, например от 0,1 до 50 мкм, предпочтительно менее 10 мкм, например от 1 до 10 мкм, от 1 до 5 мкм, или от 2 до 5 мкм. Если это целесообразно, могут быть включены небольшие количества других антиастматических и бронхорасширяющих средств, например, симпатомиметических аминов, таких как изопреналин, изоэтарин, сальбутамол, фенилэфрин или эфедрин, а также кортикостероиды, такие как преднизолон и стимуляторы надпочечников, такие как АКТГ. Для парентерального введения жидкие унифицированные лекарственные формы готовят с использованием соединения и стерильного носителя, и соединение, в зависимости от применяемой концентрации, может быть суспендировано или растворено в носителе. При получении растворов соединение можно растворить в воде для инъекций и стерилизовать фильтрованием до наполнения в подходящий флакон или ампулу и герметизации. Удобно, когда адъюванты, такие как местные анестетики, консервант или буферные агенты, могут растворяться в носителе. Для повышения стабильности композиция может быть заморожена после заполнения во флакон, и вода удалена в вакууме. Парентеральные суспензии приготовляют, в основном, тем же путем, за исключением того, что вместо растворения соединение суспендируют в носителе, а стерилизацию нельзя проводить фильтрованием. Соединение можно стерилизовать экспонированием его воздействию этиленоксида перед суспендированием в стерильном носителе. Для достижения равномерного распределения соединения удобно в композицию включать поверхностно-активное или смачивающее вещество. В зависимости от способа введения композиции могут содержать от 0,1% до 99% по массе, предпочтительно 10-60% по массе, активного материала. Соединение формулы (i) или, если подходит, его фармацевтически приемлемую соль и/или его фармацевтически приемлемый сольват, можно также вводить в виде местной готовой препаративной формы в комбинации с традиционными носителями для местного применения. Местные готовые препаративные формы могут быть представлены в виде, например, мазей, кремов или лосьонов, импрегнированных повязок, гелей, гелевых карандашей, спрея и аэрозолей и могут содержать подходящие традиционные добавки, такие как консерванты, растворители, способствующие проникновению лекарств, и смягчающие вещества (мягчители) в мазях и кремах. Готовые препаративные формы могут содержать совместимые традиционные носители, такие как основы для кремов или мазей и этиловый или олеиловый спирт для лосьонов. Подходящие готовые препаративные формы для кремов, лосьонов, гелей, карандашей, спреев или аэрозолей, которые могут быть использованы для соединений формулы (i) или, если это подходит, для их фармацевтически приемлемых солей, являются традиционными и хорошо известны в практике, например, как это описано в стандартных учебниках, таких как книга Harry под названием “Cosmeticology”, выпущенная издательством Leonard Hill Books, книга Remington под названием “Pharmaceutical Sciences”, а также в фармакопеях Англии и США (British and US Pharmacopoeias). Приемлемо, когда содержание соединения формулы (i) или, если это подходит, его фармацевтически приемлемой соли, составляет от 0,5 до 20% по массе, желательно от 1 до 10%, например от 2 до 5%, готовой препаративной формы. Доза соединения, применяемого в предлагаемом изобретением лечении, может варьировать, как это обычно бывает, в зависимости от серьезности нарушений, тяжести состояния больного и от относительной эффективности соединения. Общим руководящим правилом, однако, является использование подходящих стандартных унифицированных доз от 0,1 до 1000 мг, таких как от 0,5 до 200, от 0,5 до 100, или от 0,5 до 10 мг, например 0,5, 1, 2, 3, 4 или 5 мг; и такие унифицированные дозы можно вводить более чем один раз в день, например 2, 3, 4, 5 или 6 раз в день, но предпочтительнее 1 или 2 раза в день, так, чтобы общая суточная доза для взрослого весом 70 кг была в пределах приблизительно от 0,1 до 1000 мг, то есть в пределах от 0,001 до 20 мг/кг/сутки, такая как от 0,007 до 3, от 0,007 до 1,4, от 0,007 до 0,14 или от 0,01 до 0,5 мг/кг/сутки, например 0,01, 0,02, 0,04, 0,05, 0,06, 0,08, 0,1 или 0,2 мг/кг/сутки, и такая терапия может продолжаться в течение нескольких недель или месяцев. Используемый здесь термин “фармацевтически приемлемый” относится к материалам, подходящим для применения как для лечения людей, так и в ветеринарной практике. Изобретение иллюстрируют приводимые ниже примеры. ПРОМЕЖУТОЧНОЕ СОЕДИНЕНИЕ 1 2 -Ацетил-7-метоксибензофуран-4-карбонилхлорид 2-Ацетил-7-метоксибензофуран-4-карбоновую кислоту (0,12 г) суспендировали в безводном дихлорметане (4 мл) при комнатной температуре в атмосфере азота и добавляли оксалилхлорид (0,1 мл) и затем 3 капли N,N-диметилформамида. Выпаривание в вакууме через 2 часа дает указанное в заголовке соединение в виде желтого твердого продукта (~0,5 г). TCX: Rf 0,60 (50%-ный этилацетат в гексане) ПРОМЕЖУТОЧНОЕ СОЕДИНЕНИЕ 2 2-Ацетил-7-метоксибензофуран-4-карбоновая кислота Смесь 2-ацетил-4-бром-7-метоксибензофурана (5 г), трифенилфосфина (98 мг), бис(трифенилфосфин)палладий(II)хлорида (261 мг), триэтиламина (2,85 мл) и воды (1 мл) в тетрагидрофуране (25 мл) насыщали монооксидом углерода в реакторе Парра при 7,73 ат (110 psi). Нагревали до 110oC (теперь при давлении 15,47 ат (220 psi)) и оставляли на неделю. После охлаждения и снятия давления смесь растворяли в 50%-ной смеси дихлорметан-вода (200 мл) и pH устанавливали до 12 с помощью водного гидроксида натрия (1М). Отделенную водную фазу подкисляли до pH 1 с помощью разбавленной соляной кислоты (1М) и экстрагировали полученную в результате взвесь дихлорметаном (3 х 100 мл), затем этилацетатом (100 мл). Эти объединенные органические экстракты сушили над сульфатом магния, фильтровали и выпаривали в вакууме, получая желтый твердый продукт (2,58 г). TCX: Rf 0,61 (этилацетат). ПРОМЕЖУТОЧНОЕ СОЕДИНЕНИЕ 3 2-Ацетил-4-бром-7-метоксибензофуран При температуре 0oC к суспензии 2-ацетил-7-метоксибензофурана (20 г) в метаноле (300 мл) вносили по каплям раствор брома (5,5 мл) в метаноле (100 мл). Ледяную баню сразу убирали и смесь оставляли для нагревания до комнатной температуры. Спустя 1 час превращение было неполным, поэтому добавляли дополнительный бром (0,75 мл) в метаноле (25 мл) и смесь перемешивали в течение ночи. Реакцию гасили с использованием водного раствора мета-бисульфита натрия (300 мл), получая осадок, который отфильтровывали и сушили в вакууме, получая коричневый твердый продукт (17,4 г). TCX: Rf 0,90 (этилацетат). ПРОМЕЖУТОЧНОЕ СОЕДИНЕНИЕ 4 2-Этил-7-метоксибензофуран-4-карбоновая кислота К раствору 2-этил-7-метоксибензофуранкарбоксальдегида (5 г) в 2-метил-2-пропаноле (125 мл) добавляли 2-метил-2-бутен (9 г). Добавляли раствор моногидрата дигидрогенфосфата натрия (20,7 г) в воде (15 мл), затем вносили хлорит натрия (11,05 г). Полученную в результате неоднородную смесь энергично перемешивали в течение 30 минут и затем разбавляли водой (125 мл). pH смеси устанавливали до 4 добавлением 2М соляной кислоты. Смесь экстрагировали этилацетатом (3 х 200 мл) и объединенные органические экстракты промывали водой (2 х 200 мл). Органический раствор концентрировали приблизительно до 100 мл и охлаждали затем до 10oC. Полученный в результате осадок собирали с помощью фильтрования и сушили при 50oC в вакууме, получая твердый продукт цвета беж (4 г). T.пл. 215-216oC. Следующее соединение получали по вышеприведенной методике. ПРОМЕЖУТОЧНОЕ СОЕДИНЕНИЕ 5 1-[1- (2,2-Диметилпропил)]-7-метоксибензофуран-4-карбоновая кислота Получали из 2-[1-(2,2-диметилпропил)] -7-метоксибензофуран- 4-карбоксальдегида (2,14 г). Указанное в заглавии соединение (1,81 г) получали в виде бледно-желтого твердого продукта. T.пл. 173-174oC. ПРОМЕЖУТОЧНОЕ СОЕДИНЕНИЕ 6 4-Амино-3-хлорпиридин Раствор 4-аминопиридина (4,0 г) в концентрированной соляной кислоте (50 мл) при 80-85oC обрабатывали водным раствором перекиси водорода (13,5% масс. /об.). Раствор охлаждали до 0oC. Спустя 30 минут раствор осторожно обрабатывали водным раствором гидроксида натрия (50% масс./об.), поддерживая температуру ниже 15oC. Образовавшийся белый твердый продукт выделяли с помощью фильтрования и сушили на воздухе, получая белый твердый продукт (4,9 г). Rf 0,36 (этилацетат). T.пл. 65-67oC. ПРОМЕЖУТОЧНОЕ СОЕДИНЕНИЕ 7 4-N-Бром-(пропиламино)пиридин 4-Аминопиридин (0,499 г) и пропиональдегид (0,5 г) в дихлорметане (50 мл) в инертной атмосфере перемешивали при комнатной температуре в течение 1,5 часов. Добавляли триацетоксиборгидрид натрия (2,7 г) и смесь оставляли на ночь. Реакционную смесь промывали водным бикарбонатом натрия (2 х 40 мл) и экстрагировали в разбавленную соляную кислоту (2 х 40 мл). Эти кислотные экстракты подщелачивали, используя гранулы гидроксида калия и экстрагировали в дихлорметан (2 х 80 мл). Объединенные органические экстракты сушили над безводным сульфатом магния, фильтровали и выпаривали в вакууме, получая маслянистый остаток (0,11 г). TCX: Rf 0,49 (10%-ный метанол в этилацетате). ПРОМЕЖУТОЧНОЕ СОЕДИНЕНИЕ 8 2-Этил-7-метокси-4-N-(3-карбоэтоксифенил)бензофуранкарбоксамид При комнатной температуре в инертной атмосфере 2-этил-7- метоксибензофуран-4-карбонилхлорид (1,0 г) добавляли к раствору этил 3-аминобензоата (0,72 г) в дихлорметане (30 мл) и реакционную смесь перемешивали при комнатной температуре в течение ночи. Смесь выливали в разбавленную водную соляную кислоту и экстрагировали этилацетатом (2 х 50 мл). Объединенные органические экстракты промывали водой (50 мл), рассолом (50 мл), сушили (сульфат магния) и выпаривали в вакууме, получая указанное в заглавии соединение (1,39 г) в виде белого твердого продукта. T.пл. 159-161oC. Следующее соединение получали по вышеприведенной методике. ПРОМЕЖУТОЧНОЕ СОЕДИНЕНИЕ 9 2-Этил-7-метокси-4-N-(4-карбоэтоксифенил)бензофуранкарбоксамид Получали из 2-этил-7-метоксибензофуран-4-карбонилхлорида (1,3 г) и этил 4-аминобензоата (1,0 г). Указанное в заглавии соединение (0,76 г) получали в виде белого твердого продукта. TCX: Rf 0,18 (25%-ный этилацетат в гексане). ПРОМЕЖУТОЧНОЕ СОЕДИНЕНИЕ 10 2-[1-(2,2-Диметилпропил)]-7-метоксибензофуран-4-карбоксальдегид При 0oC в атмосфере азота к ДМФ (N,N-диметилформамид) (1 мл) добавляли по каплям оксихлорид фосфора (1,64 мл) и перемешивали в течение 10 минут. Затем добавляли раствор 2-[1-(2,2- диметилпропил)] -7-метоксибензофурана (1,92 г) в ДМФ (3,5 мл). Образовывался твердый продукт бледно-желтого цвета и реакционную смесь нагревали до 100oC в течение 2 ч. Оставляли остывать до комнатной температуры реакционную смесь в течение ночи. Осторожно добавляли раствор 50%-ного водного тригидрата ацетата натрия (20 мл) и образуемую в результате смесь экстрагировали с помощью MTBE (3 х 25 мл). Объединенные органические фазы промывали водой (2 х 20 мл), насыщенным водным раствором кислого карбоната натрия (20 мл) и рассолом (30 мл). Раствор сушили (сульфат магния) и концентрировали в вакууме, получая указанное в заглавии соединение (2,14 г) в виде светло- коричневого масла. TCX: Rf 0,25 (5%-ный этилацетат в гексане). ПРОМЕЖУТОЧНОЕ СОЕДИНЕНИЕ 11 2-[1-(2,2-Диметилпропил)]-7-метоксибензофуран При 40oC к раствору о-ванилина (10 г) в этаноле (230 мл) добавляли гидроксид натрия (2,89 г). Спустя 10 минут добавляли 1- бромпинаколон (9,7 мл) и получаемую смесь нагревали при 60oC в течение 4 ч, затем кипятили с обратным холодильником еще в течение 4 часов. Реакционную смесь охлаждали до комнатной температуры, а затем концентрировали в вакууме. Остаток разделяли между этилацетатом (100 мл) и 0,2%-ным водным раствором гидроксида натрия (100 мл). Экстрагировали водный слой этилацетатом (2 х 75 мл) и объединенные органические экстракты промывали водой (100 мл) и рассолом (100 мл). Раствор сушили (сульфат магния) и концентрировали в вакууме, получая 2-[1-(2,2-диметил-1- оксопропил)]-7-метоксибензофуран в виде коричневого масла. К перемешиваемой суспензии 2-[1-(2,2-диметил-1-оксопропил)]-7- метоксибензофурана (3,0 г) в этиленгликоле (38 мл) добавляли гидразин-гидрат (3,2 мл). Реакционную смесь нагревали до 65oC в течение 1 часа, затем кипятили с обратным холодильником в течение 1,75 часа, получая желтый раствор. После охлаждения до комнатной температуры добавляли воду (50 мл) и смесь экстрагировали дихлорметаном (3 х 50 мл). Объединенные органические экстракты промывали 2М водной соляной кислотой (15 мл), водой (3 х 20 мл) и рассолом (50 мл). Раствор сушили (сульфат магния) и концентрировали в вакууме. Очистка с помощью колоночной хроматографии на диоксиде кремния при элюировании 5%-ным этилацетатом в гексане давала указанное в заглавии соединение (1,92 г) в виде бесцветного масла. TCX: Rf 0,35 (5%-ный этилацетат в гексане). ПРОМЕЖУТОЧНОЕ СОЕДИНЕНИЕ 12 2-Этил-7-метоксибензофуран-карбонилхлорид 2-Этил-7-метоксибензофуран-4-карбоновую кислоту (4,05 г) нагревали в сухом толуоле (100 мл) с тионилхлоридом (14 мл) в атмосфере азота при 90oC в течение 2 ч. Раствор выпаривали досуха в вакууме и подвергали азеотропной перегонке с сухим толуолом (2 х 50 мл), получая указанное в заглавии соединение (4,4 г) в виде беловатого твердого продукта. T.пл. 100-102oC. ПРОМЕЖУТОЧНОЕ СОЕДИНЕНИЕ 13 Метил 7-метоксибензофуран-2-карбоксилат В атмосфере азота смешивали 7-метоксибензофуран-2-карбоновую кислоту (10 г) и метанол (110 мл) и смесь охлаждали до 0oC. Затем добавляли ацетилхлорид (11 мл), продолжали перемешивание в течение 18 ч. После удаления растворителя получали беловатый кристаллический твердый продукт (10,7 г). TCX: Rf 0,94 (10%-ный метанол в дихлорметане). ПРОМЕЖУТОЧНОЕ СОЕДИНЕНИЕ 14 Метил 4-фopмил-7-метoкcибeнзoфуpaн-2-кapбoкcилaт При 0oC к суспензии промежуточного соединения 13 (1 г) в дихлорметане (14 мл) добавляли тетрахлорид титана (1М раствор в дихлорметане, 5,3 мл), затем дихлорметилметиловый эфир (0,44 мл) в виде раствора в дихлорметане (3 мл). Реакционную смесь медленно нагревали до комнатной температуры, затем нагревали до 35oC в течение 18 часов. После охлаждения реакционную смесь выливали в смесь льда и воды и экстрагировали водную фазу дихлорметаном. Объединенные органические слои промывали водой, сушили и концентрировали, получая твердый продукт светло-коричневого цвета (0,97 г). TCX: Rf 0,86 (10%-ный метанол в дихлорметане). ПРОМЕЖУТОЧНОЕ СОЕДИНЕНИЕ 15 Метил 4-кapбoкcи-7-метоксибензофуран-2-карбоксилат К перемешиваемой суспензии промежуточного соединения 14 (0,97 г) в трет-бутаноле (115 мл) добавляли 2-метил-2-бутен (3 мл), а затем фосфат натрия (5,7 г в 28 мл воды) и хлорит натрия (3,74 г в 28 мл воды). Перемешивание продолжали в течение 4 ч, реакционный раствор концентрировали и разделяли между этилацетатом и 10% водным раствором соляной кислоты. Органические слои сушили и концентрировали, получая твердый продукт цвета беж. Очищали путем растирания с простым эфиром, получая бледно-желтый твердый продукт (0,62 г). TCX: Rf 0,64 (10%-ный метанол в дихлорметане). ПРОМЕЖУТОЧНОЕ СОЕДИНЕНИЕ 16 7-Метокси-2-метоксикарбонилбензофуран-4-карбонилхлорид В атмосфере азота при 90oC промежуточное соединение 15 (0,62 г) нагревали в сухом толуоле (23 мл) с тионилхлоридом (2 мл) в течение 2 ч. Раствор выпаривали досуха в вакууме и подвергали азеотропной перегонке с сухим толуолом (2 х 50 мл), получая указанное в заглавии соединение (0,51 г) в виде бледно-коричневого твердого продукта. TCX: Rf 0,0 (10%-ный метанол в дихлорметане). ПРОМЕЖУТОЧНОЕ СОЕДИНЕНИЕ 17 2-(1-(трет-Бутилдиметилсилилокси)иминоэтил)-7-метокси- 4-[N-(3,5-дихлорпирид-4-ил)]бензофуранкарбоксамид К раствору 2-ацетил-7-метокси-4-[N-(3,5-дихлорпирид-4-ил)] бензофуранкарбоксамида (0,5 г) в толуоле (50 мл) добавляли O- (трет-бутилдиметилсилил)гидроксиламин (0,39 г). Реакционную смесь нагревали 3 дня в атмосфере азота в условиях Дина-Старка, затем на 2 дня оставляли при перемешивании при комнатной температуре. Реакционную смесь выпаривали досуха, получая сырой продукт. Очистка с помощью флэш-хроматографии на диоксиде кремния с элюированием 50%-ным этилацетатом в гексане давала белый твердый продукт (0,22 г). TCX: Rf 0,53 (50%-ный этилацетат в гексане). ПРОМЕЖУТОЧНОЕ СОЕДИНЕНИЕ 18 Гидрохлорид 2-((пиридин-4-ил)карбонил] -7-метоксибензофуран-4 -карбонилхлорида Указанное в заглавии соединение получали путем, подобным получению промежуточного соединения 1. ПРОМЕЖУТОЧНОЕ СОЕДИНЕНИЕ 19 7-Метокси-2-[(пиридин-4-ил)карбонил]бензофуран-4-карбоновая кислота В работающем под давлением реакторе Парра смешивали 2- [(пиридин-4-ил)карбонил]-4-бром-7-метоксибензофуран (3,3 г), трифенилфосфин (1 г), хлорид бис(трифенилфосфин) палладия (II) (0,47 г), триэтиламин (14 мл), тетрагидрофуран (150 мл) и H2O (57 мл). Сосуд продували монооксидом углерода, загружали монооксид углерода до давления 12,66 ат (180 psi) и нагревали до 80oC с перемешиванием в течение 3 дней. После охлаждения и снятия давления тетрагидрофуран удаляли в вакууме. Остающуюся водную смесь подщелачивали до pH 14 1 н. раствором NaOH (250 мл) и промывали этилацетатом (200 мл). Водный слой затем подкисляли до pH 5 уксусной кислотой при охлаждении на ледяной бане. Получаемый осадок собирали фильтрованием и сушили, получая твердый продукт цвета беж (2,97 г). Масс-спектрометрия; наблюдали М+Н. Следующее промежуточное соединение получали подобной же методикой. ПРОМЕЖУТОЧНОЕ СОЕДИНЕНИЕ 20 7-Метокси-2-(2-тиазолокарбонил)бензофуран-4-карбоновая кислота Указанное в заглавии соединение получали в виде твердого продукта кремового цвета (625 мг). Масс-спектрометрия: наблюдали [М+H]. ПРОМЕЖУТОЧНОЕ СОЕДИНЕНИЕ 21 4-Бром-7-метокси-2-[(пиридии-4-ил)карбонил]бензофуран К смеси 2-[(пиридин-4-ил)карбонил]-7-метоксибензофурана (0,1 г) в метаноле (7 мл), охлажденной до -78oC, в атмосфере азота добавляли бром (0,02 мл). Реакционную смесь оставляли на 2,5 часа для нагревания до комнатной температуры. Реакционную смесь затем разбавляли этилацетатом (40 мл), промывали 5%-ным раствором мета- бисульфита натрия (2 х 20 мл), насыщенным раствором бикарбоната натрия (40 мл), сушили над MgSO4 и концентрировали досуха, получая бледно-желтый твердый продукт (0,05 г) в виде смеси 2:1 продукт/исходный материал (по данным ЯМР). TCX: Rf 0,65 (10%-ный метанол в этилацетате). ПРОМЕЖУТОЧНОЕ СОЕДИНЕНИЕ 22 4-Бром-7-метокси-2-(2-тиазолокарбонил)бензофуран Перемешиваемый раствор 7-метокси-2-(2-тиазолокарбонил) бензофурана (3,09 г) в метаноле (160 мл) охлаждали до 0oC в инертной атмосфере и по каплям добавляли бром (0,61 мл). Перемешивание продолжали при комнатной температуре в течение 18 ч и растворитель затем удаляли в вакууме. Остаток распределяли между 5 н. гидроксидом натрия (60 мл), 5%-ным мета-сульфитом натрия (200 мл) и этилацетатом (100 мл). Водную фазу экстрагировали этилацетатом (3 х 60 мл), сушили (сульфат магния) и выпаривали в вакууме, получая указанное в заглавии соединение в виде твердого продукта цвета беж (2,83 г). TCX: Rf 0,55 (10%-ный метилацетат в гексане). ПРОМЕЖУТОЧНОЕ СОЕДИНЕНИЕ 23 7-Метокси-2-[(пиридин-4-ил)карбонил]бензофуран Реакцию гидробромида 4-(бромацетил) пиридина (5 г) и о-ванилина (2,11 г) проводили подобно тому, как проводили реакцию в случае промежуточного соединения 11, получая указанное в заглавии соединение в виде желтого твердого продукта (0,95 г). TCX: Rf 0,53 (этилацетат). ПРОМЕЖУТОЧНОЕ СОЕДИНЕНИЕ 24 7-Метокси-2-(2-тиазолокарбонил)бензофуран При 55oC к перемешиваемому раствору о-ванилина (2,95 г) в этаноле (70 мл) добавляли гидроксид натрия (1,7 г) и продолжали перемешивание в течение 10 минут. Затем добавляли порциями гидробромид 2-бромацетилтиазола (5,57 г) и продолжали нагревание в течение 5 ч. Раствору давали охладиться и концентрировали в вакууме. Остаток распределяли между водой (200 мл) и этилацетатом (100 мл) и экстрагировали этилацетатом (3 х 70 мл), объединенные органические фазы сушили над сульфатом магния и выпаривали в вакууме, получая коричневый продукт. Очистка флэш-хроматографией на диоксиде кремния с элюированием 50%-ным этилацетатом в гексане давала указанное в заглавии соединение в виде оранжевых игольчатых кристаллов (3,09 г). TCX: Rf 0,55 (50%-ный этилацетат в гексане). ПРОМЕЖУТОЧНОЕ СОЕДИНЕНИЕ 25 Гидробромид 4-(бромацетил)пиридина 4-Ацетилпиридин (10 г) смешивали с 48%-ным раствором HBr (18 мл) и нагревали до 70oC. Добавляли по каплям бром (4,7 мл), растворенный в 48%-ном растворе HBr (5 мл) и продолжали затем нагревание в течение 2,5 ч. Осадок, который образовывался, собирали путем фильтрования, промывали смесью 1:1 метанол/гексан (20 мл) и сушили, получая твердый продукт кремового цвета (19,5 г) в виде смеси 2:1 продукт/исходный материал (по данным ЯМР). Следующее промежуточное соединение получали подобным же образом. ПРОМЕЖУТОЧНОЕ СОЕДИНЕНИЕ 26 Гидробромид 2-бромацетилтиазола Указанное в заглавии соединение получали в виде бледно- желтого твердого продукта (5,57 г). 1H ЯМР (d6-DMSO) 5.00 (2H, CH2), 8.2 (1H, ароматический), 8.4 (1H, ароматический).
ПРОМЕЖУТОЧНОЕ СОЕДИНЕНИЕ 274-Нитрофенил 7-метокси-2-(2-тиазолокарбонил) бензофуран-4-карбоксилат К перемешиваемому раствору 7-метокси-2-(2-тиазолокарбонил) бензофуран-4-карбоновой кислоты (625 мг) в дихлорметане (40 мл) добавляли гидрохлорид 1-(3-диметиламинопропил)-3- этилкарбодиимида (593 мг), 4-нитрофенол (430 мг) и 4-диметиламинопиридин (каталитическое количество). Перемешивание продолжали в течение 20 ч, затем отфильтровывали осадок, промывали дихлорметаном и сушили в вакууме, получая указанное в заглавии соединение в виде белого твердого продукта (720 мг). 1H ЯМР (CDCl3) 4.2 (3H, OCH3), 7.1 (1H, ароматический), 7.6 (2H, ароматический), 7.8 (1H, ароматический), 8.2 (1H, ароматический), 8.3 (1H, ароматический), 8.5 (2H, ароматический), 9.2 (2H, ароматический).
Следующее промежуточное соединение получали подобным же образом.
ПРОМЕЖУТОЧНОЕ СОЕДИНЕНИЕ 284-Hитpoфeнил 2-этил-7-метоксибензофуран-4-карбоксилат Указанное в заглавии соединение (1,26 г) получали в виде белого твердого продукта. TCX: Rf 0,3 (50%-ный этилацетат в гексане). ПРОМЕЖУТОЧНОЕ СОЕДИНЕНИЕ 29 трет-Бутил 2-ацетил-7-метоксибензофуран-4-карбоксилат Раствор 2-ацетил-7-метоксибензофуран-4-карбоновой кислоты (100 мг) в дихлорметане (4 мл) перемешивали при комнатной температуре в атмосфере азота. Добавляли трет-бутил-2,2,2-трихлорацетимидат (0,16 мл), а затем эфират трифторида бора (0,012 мл) и смесь перемешивали при комнатной температуре в течение 2 ч. Реакцию гасили добавлением насыщенного раствора бикарбоната натрия (1 мл). Смесь экстрагировали дихлорметаном (3 х 10 мл) и объединенные органические фазы сушили над сульфатом магния. Удаление растворителя в вакууме и очистка путем флэш-хроматографии с элюированием дихлорметаном давали белый твердый продукт (130 мг). TCX: Rf 0,25 (дихлорметан) ПРОМЕЖУТОЧНОЕ СОЕДИНЕНИЕ 30 (Z)-трет-Бутил 2-(1-метоксииминоэтил)-7-метоксибензофуран-4 -карбоксилат Смесь (Z)-трет-бутил 2-ацетил-7-метоксибензофуран-4- карбоксилата (0,54 г), метоксиламина (0,31 г), пиридина (0,46 мл) и толуола (50 мл) кипятили с обратным холодильником в условиях Дина-Старка в течение ночи. Смесь затем охлаждали и толуол удаляли в вакууме. Остаток растворяли в ацетилацетате (100 мл) и промывали водой (50 мл), затем рассолом (50 мл). Сушка над сульфатом магния, а затем удаление растворителя в вакууме и очистка путем флэш- хроматографии с элюированием дихлорметаном давали продукт в виде бесцветного масла. TCX: Rf 0,52 (дихлорметан). ПРОМЕЖУТОЧНОЕ СОЕДИНЕНИЕ 31 (Z)-2-(1-Метоксииминоэтил)-7-метоксибензофуран-4-карбоновая кислота. Раствор (Z)-трет-бутил-2-(1-метоксииминоэтил)-7-метоксибензофуран-4 -карбоксилата (100 мг) и трифторуксусной кислоты (0,05 мл) в дихлорметане (5 мл) перемешивали при комнатной температуре в течение 4 ч. Добавляли следующую алкиквоту трифторуксусной кислоты (0,1 мл) и продолжали перемешивание в течение ночи. Растворитель удаляли в вакууме и остаток выпаривали в вакууме из толуола (2 х 5 мл) и дихлорметана (2 х 5 мл) для удаления избытка трифторуксусной кислоты. Получали белый твердый продукт (72 мг). TCX: Rf 0,22 (дихлорметан). T.пл. 233-234oC. ПРОМЕЖУТОЧНОЕ СОЕДИНЕНИЕ 32 (Z)-4-Нитрофенил 2-(1-метоксииминоэтил)-7-мефоксибензофуран-4 -карбоксилат Раствор (Z)-2-(1-метоксииминоэтил)-7-метоксибензофуран-4- карбоновой кислоты (70 мг), 4-нитрофенола (41 мг), гидрохлорида 1- (3-диметиламинопропил)-3-этилкарбодиимида (56 мг) и 4- диметиламинопиридина (каталитическое количество) (20 мл) перемешивали при комнатной температуре в течение 6 ч в атмосфере азота. Реакционную смесь разбавляли дихлорметаном (20 мл) и промывали водой (3 х 20 мл). Сушка над сульфатом магния и затем концентрирование досуха в вакууме давали бледно-желтый твердый продукт. Очистка путем флэш-хроматографии с элюированием дихлорметаном давала белый твердый продукт (53 мг). TCX: Rf 0,42 (дихлорметан). T.пл. 195-196oC. ПРИМЕР 1. 2-Ацетил-7-метокси-4-[N-(3,5-дихлорпирид-4-ил)] бензофуранкарбоксамид (Способ А) При комнатной температуре в атмосфере азота гидрид натрия (0,03 г) добавляли к раствору 4-амино-3,5-дихлорпиридина (0,08 г) в безводном N,N-диметилформамиде (1 мл). Эту перемешиваемую смесь нагревали до 60oC в течение 1 часа перед добавлением 2-ацетил-7- метоксибензофуран-4-карбонилхлорида (полученного из 2-ацетил-7- метоксибензофуран-4-карбоновой кислоты, 0,12 г), промытого безводным N,N-диметилформамидом (2 мл). Эту коричневую смесь нагревали при 60oC в течение 4 часов, оставляли охладиться, выливали в воду (100 мл) и экстрагировали в этилацетат (2 х 50 мл). Эти органические экстракты промывали водой (50 мл) и насыщенным рассолом (50 мл), затем сушили над сульфатом магния, фильтровали и выпаривали в вакууме, получая сырой остаток (0,17 г). Очистка колоночной хроматографией на диоксиде кремния с градиентом элюированием 20-80%-ным этилацетатом в гексане давала белый твердый продукт (0,04 г). TCX: Rf 0,20 (50%-ный этилацетат в гексане). T.пл. 252-254oC. ПРИМЕР 2. 2-Этил-7-метокси-4-[N-(3,5-дихлорпирид-4-ил)] бензофуранкарбоксамид] (Способ В) В инертной атмосфере суспензию 2-этил-7-метоксибензофуран- 4-карбоновой кислоты (300 мг) в сухом толуоле (50 мл) обрабатывали тионилхлоридом (2 мл) и нагревали с обратным холодильником в течение 2 часов. Охлажденную реакционную смесь выпаривали в вакууме и остаток подвергали азеотропной перегонке с сухим толуолом (2 х 10 мл), получая хлорангидрид в виде белого твердого продукта (325 мг). В инертной атмосфере при комнатной температуре в течение 30 минут 4-амино-3,5-дихлорпиридин (230 мг) в сухом N,N- диметилформамиде (20 мл) обрабатывали бис(триметилсилил)амидом натрия (1,5 мл; 1,0 М в тетрагидрофуране). К этой смеси добавляли вышеупомянутый твердый хлорангидрид (325 мл) и после нагревания при 50oC в течение 3 часов оставляли охлаждаться в течение ночи. Ее выпаривали в вакууме, добавляли насыщенный водный бикарбонат натрия (50 мл) и экстрагировали в дихлорметан (2 х 50 мл). Экстракты эти сушили над сульфатом магния, фильтровали и выпаривали в вакууме, получая сырой остаток. Очистка колоночной хроматографией на диоксиде кремния с элюированием 50%-ным этилацетатом в гексане давала белый твердый продукт (210 мг). TCX: Rf 0,15 (25%-ный этилацетат в гексане). T.пл. 199-200oC. ПРИМЕР 3. 2-Ацетил-7-метокси-4-[N-(пирид-4-ил)] бензофуранкарбоксамид (Способ С) В атмосфере азота при 0oC раствор 2-ацетил-7-метоксибензофуран-4- карбонилхлорида (164 мг) в безводном дихлорметане (10 мл) обрабатывали 4-аминопиридином (0,07 г), триэтиламином (0,12 г) и 4-диметиламинопиридином (2 мг). Этот раствор оставляли для нагревания до комнатной температуры и перемешивали в течение ночи. Реакционную смесь промывали насыщенным водным бикарбонатом натрия (10 мл), водой и насыщенным рассолом (10 мл), затем сушили над сульфатом магния, фильтровали и выпаривали в вакууме, получая сырой остаток. Очисткой путем колоночной хроматографии на диоксиде кремния с элюированием 5%-ным метанолом в дихлорметане получали бледно-желтый твердый продукт (85 мг). TCX: Rf 0,27 (5%-ный метанол в дихлорметане). T.пл. 247-248oC (разложение). ПРИМЕР 4. 2-Ацетил-7-метокси-4-[N-(пирид-4-ил)-N-пропил] бензофуранкарбоксамид 4-[N-(Пропиламино)] пиридин (0,08 г) обрабатывали 2-ацетил- 7-метоксибензофуран-4-карбонилхлоридом (0,15 г), как в Способе С, получая бледно-желтую пену (129 мг). TCX: Rf 0,57 (5%-ный метанол в дихлорметане). ИК (пленка): 1292, 1587, 1647, 1685 см-1. ПРИМЕР 5. 2-Ацетил-7-метокси-4-[N-(2-хлорфенил)] бензофуранкарбоксамид 2-Хлоранилин (0,42 мл) обрабатывали 2-ацетил-7-метоксибензофуран-4 -карбонилхлоридом (1 г), как в Способе С. Очистка путем колоночной хроматографии на диоксиде кремния с элюированием 50%-ным этилацетатом в гексане давала твердый продукт (137 мг). T.пл. 179-181oC. ПРИМЕР 6. 2 -Ацетил-7-метокси-4-[N-(2,6-диметилфенил)] бензофуранкарбоксамид 2,6-Диметиланилин (0,49 мл) обрабатывали 2-ацетил-7-метоксибензофуран-4 -карбонилхлоридом (1 г), как в Способе С. Очистка путем колоночной хроматографии на диоксиде кремния с элюированием 50%-ным этилацетатом в гексане давала твердый продукт (255 мг). TCX: Rf 0,23 (50%-ный этилацетат в гексане). T.пл. 225-226oC. ПРИМЕР 7. 2-Ацетил-7-метокси-4-[N-(4-метоксифенил)] бензофуранкарбоксамид 4-Метоксианилин (567 мг) обрабатывали 2-ацетил-7-метоксибензофуран-4- карбонилхлоридом (1,19 г), как в Способе С. Очистка путем колоночной хроматографии на диоксиде кремния с элюированием 50%-ным этилацетатом в гептане давала твердый продукт (103 мг). TCX: Rf 0,26 (50%-ный этилацетат в гептане). ПРИМЕР 8. 2-Ацетил-7-метокси-4-[N-(3-бром-5-метилпирид-2- ил)]бензофуранкарбоксамид (Способ D) В инертной атмосфере при комнатной температуре в течение 15 минут 2-амино-3-бром-5-метилпиридин (0,64 г) в сухом тетрагидофуране (20 мл) обрабатывали гидридом натрия (0,15 г; 60%-ная дисперсия в масле). Добавляли раствор 2-ацетил-7- метоксибензофуран-4-карбонилхлорида (0,86 г) в сухом тетрагидрофуране (10 мл) и затем перемешивали в течение ночи перед выпариванием в вакууме. Добавляли водный бикарбонат натрия (50 мл) и смесь экстрагировали этилацетатом (2 х 50 мл). Эти экстракты сушили над сульфатом магния, фильтровали и выпаривали в вакууме. Сырой остаток очищали путем колоночной хроматографии на диоксиде кремния с элюированием 50%-ным этилацетатом в гексане, получая бледно-желтый порошок (95 мг). TCX: Rf 0,5 (50%-ный этилацетат в гексане). ПРИМЕР 9. 2-Ацетил-7-метокси-4-[N-метилфенил)]бензофуранкарбоксамид м-Толуидин (0,42 мл) обрабатывали 2-ацетил-7-метоксибензофуран-4- карбонилхлоридом (1 г), как в Способе С. Очистка путем колоночной хроматографии на диоксиде кремния с элюированием 50%-ным этилацетатом в гексане давала желтый твердый продукт (200 мг). TCX: Rf 0,5 (50%-ный этилацетат в гексане). T.пл. 193-195oC. ПРИМЕР 10. 2-Ацетил-7-метокси-4-[N-(3,5-дихлорпирид- 2- ил)]бензофуранкарбоксамид 2-Амино-3,5-дихлорпиридин (0,758 г) обрабатывали 2-ацетил- 7-метоксибензофуран-4-карбонилхлоридом (1,17 г), как в Способе D, с использованием N, N-диметилформамида в качестве сорастворителя. Очистка путем колоночной хроматографии на двуокиси кремния 3%-ным метанолом в дихлорметане давала желтый твердый продукт (13 мг). TCX: Rf 0,5 (50%-ный этилацетат в гексане). ПРИМЕР 11. 2-Ацетил-7-метокси-4-[N-(2-метилфенил)] бензофуранкарбоксамид 2-Метиланилин (0,21 мл) обрабатывали 2-ацетил-7-метоксибензофуран- 4-карбонилхлоридом (0,5 г), как в Способе С. Очистка путем колоночной хроматографии на диоксиде кремния с элюированием 50%-ным этилацетатом в гексане давала желтый твердый продукт (128 мг). TCX: Rf 0,24 (50%-ный этилацетат в гексане). T.пл. 174-175oC. ПРИМЕР 12. 2-Aцeтил-7-мeтокси-4-[N-(4-мeтoкcи-2-метил- фенил)]бензофуранкарбоксамид 4-Метокси-2-метиланилин (0,56 мл) обрабатывали 2-ацетил-7- метоксибензофуран-4-карбонилхлоридом (1,0 г), как в Способе С. Очистка путем колоночной хроматографии на диоксиде кремния с элюированием 50%-ным этилацетатом в гексане давала желтый твердый продукт (235 мг). TCX: Rf 0,25 (50%-ный этилацетат в гексане). T.пл. 217-218oC. ПРИМЕР 13. 2-Ацетил-7-метокси-4-[N-(пиримидин-4-ил)] бензофуранкарбоксамид 4-Аминопиримидин (0,376 мл) обрабатывали 2-ацетил-7- метоксибензофуран-4-карбонилхлоридом (1 г), как в Способе С. Очистка путем колоночной хроматографии на диоксиде кремния с элюированием 0-10% метанолом в градиенте этилацетата давала желтый твердый продукт (0,14 г). TCX: Rf 0,49 (10%-ный метанол в этилацетате). T.пл. 212-214oC. ПРИМЕР 14. 2-Aцeтил-7-мeтoкcи-4-[N-(2-тpифтopмeтилфенил)] бензофуранкарбоксамид 2-Аминобензотрифторид (0,5 мл) обрабатывали 2-ацетил-7- метоксибензофуран-4-карбонилхлоридом (1,0 г), как в Способе D. Очистка путем колоночной хроматографии на диоксиде кремния с элюированием 50%-ным этилацетатом в гексане давала желтый твердый продукт (0,12 г). T.пл. 164-166oC. ПРИМЕР 15. 2-Ацетил-7-метокси-4-[N-(3-хлорпирид-4-ил)] бензофуранкарбоксамид 4-Амино-3-хлорпиридин (0,26 мл) обрабатывали 2-ацетил-7- метоксибензофуран-4-карбонилхлоридом (0,5 г), как в Способе А, за исключением того, что начальное генерирование аниона проводили при комнатной температуре с использованием 15-краун-5 (0,90 г). Очистка путем колоночной хроматографии на диоксиде кремния с элюированием 5%-ным метанолом в дихлорметане давала беловатый твердый продукт (0,08 г). TCX: Rf 0,65 (5%-ный метанол в дихлорметане). T.пл. 197-200oC. ПРИМЕР 16. 2-Aцeтил-7-мeтoкcи-4-(N-(2-трифторметоксифенил)] бензофуранкарбоксамид 2-Трифторметоксианилин (0,49 мл) обрабатывали 2-ацетил-7-метоксибензофуран-4-карбонилхлоридом (0,7 г), как в Способе С. Очистка путем колоночной хроматографии на диоксиде кремния с элюированием 50%-ным этилацетатом в гексане давала желтый твердый продукт (0,065 г). TCX: Rf 0,49 (50%-ный этилацетат в гексане). T.пл. 163-165oC. ПРИМЕР 17. 2-Aцeтил-7-метокси-4-[N-(2-этилфенил)] бензофуранкарбоксамид 2-Этиланилин (0,48 мл) обрабатывали 2-ацетил-7-метоксибензофуран-4-карбонилхлоридом (1,0 г), как в Способе С. Очистка путем колоночной хроматографии на диоксиде кремния с элюированием 25%-ным этилацетатом в гексане давала беловатый твердый продукт (310 мг). TCX: Rf 0,13 (25%-ный этилацетат в гексане). T.пл. 174- 175oC. ПРИМЕР 18. 2-Ацетил-7-метокси-4-[N-(3-метилпирид-2-ил)] бензофуранкарбоксамид 2-Амино-3-пиколин (0,32 мл) обрабатывали 2-ацетил-7- метоксибензофуран-4-карбонилхлоридом (0,73 г), как в Способе С. Очистка путем колоночной хроматографии на диоксиде кремния с элюированием 5%-ным метанолом в дихлорметане давала желтый твердый продукт (0,12 г). TCX: Rf 0,40 (5%-ный метанол в дихлорметане). ПРИМЕР 19. 2-Этил-7-мeтoкcи-4-[N-(2-xлopпирид-3-ил)] бензофуранкарбоксамид 3-Амино-2-хлорпиридин (0,88 г) обрабатывали 2-этил-7- метоксибензофуран-4-карбонилхлоридом (1,8 г), как в Способе А, за исключением того, что генерирование аниона производили при комнатной температуре в течение 1,5 часов. Очистка путем флэш- хроматографии на диоксиде кремния с элюированием горячим этилацетатом с последующим растиранием с диэтиловым простым эфиром давала твердый продукт цвета беж (0,53 г). TCX: Rf 0,35 (50%-ный этилацетат в гексане). T.пл. 124-125oC. ПРИМЕР 20. 2-Ацетил-7-мeтокcи-4-[N-(2-мeтоксифенил)] бензофуранкарбоксамид о-Анизидин (0,49 мл) обрабатывали 2-ацетил-7-метоксибензофуран-4- карбонилхлоридом (1 г), как в Способе С. Очистка путем колоночной хроматографии на диоксиде кремния с элюированием 30%-ным этилацетатом в гексане давала твердый продукт желтого цвета (160 мг). ПРИМЕР 21. 2-Ацетил-7-метокси-4-[N-(2-хлорпирид-3-ил)] бензофуранкарбоксамид 3-Амино-2-хлорпиридин (509 мг) обрабатывали 2-ацетил-7- метоксибензофуран-4-карбонилхлоридом (1,0 г), как в Способе D. Очистка путем колоночной хроматографии на диоксиде кремния с элюированием 25%-ным этилацетатом в гексане давала твердый продукт желтого цвета (205 мг). ПРИМЕР 22. 2-Aцeтил-7-метокси-4-[N-(2-xлop-6-метил-фенил)] бензофуранкарбоксамид 2-Хлор-6-метиланилин (0,56 мл) обрабатывали 2-ацетил-7- метоксибензофуран-4-карбонилхлоридом (1 г), как в Способе С. Очистка путем перекристаллизации из дихлорметана давала коричневый твердый продукт (160 мг). TCX: Rf 0,4 (5%-ный метанол в дихлорметане). ПРИМЕР 23. 2-(l-Гидpoкcиэтил)-7-мeтокcи-4-[N-(3,5- дихлорпирид-4-ил)бензофуранкарбоксамид 2-Ацетил-7-метокси-4-[N-(3,5-дихлорпирид-4-ил)] бензофуранкарбоксамид (0,50 г) суспендировали в сухом метаноле (20 мл) и обрабатывали боргидридом натрия (196 мг) при комнатной температуре. Требовалось некоторое охлаждение снаружи льдом. Взвесь затем перемешивали в течение ночи. Реакционную смесь выливали в воду и экстрагировали в этилацетат. В результате выпаривания в вакууме получали твердый продукт, который очищали путем колоночной хроматографии и элюированием 5%-ным метанолом в дихлорметане, получая белый твердый продукт (400 мг). TCX: Rf 0,52 (80%-ный этилацетат в гептане). T.пл. 229-231oC. ПРИМЕР 24. 2- [3- (Пирид-3-ил)-1-оксопропил]-7-метокси-4- [N-(3,5-дихлорпирид-4-ил)]бензофуранкарбоксамид В инертной атмосфере раствор 2-ацетил-7-метокси-4-[N-(3,5- дихлорпирид-4-ил)] бензофуранкарбоксамида (0,40 г) в сухом N,N- диметилформамиде (5 мл) охлаждали до -10oC и добавляли гидрид натрия (60%-ная дисперсия в масле, 0,11 г) в течение 30 минут. Спустя 1 час при -10oC добавляли гидрохлорид 3-пиколилхлорида (0,20 г) и смесь перемешивали еще в течение 2 часов, а затем оставляли ее для согревания до комнатной температуры в течение ночи. Ее выливали в воду и экстрагировали в этилацетат. Эти экстракты промывали водой и насыщенным рассолом, затем сушили над безводным сульфатом магния, фильтровали и выпаривали в вакууме. Полученный в результате остаток очищали путем колоночной хроматографии с элюированием 3-10%-ным градиентом метанола в дихлорметане, затем растирали с диэтиловым простым эфиром, получая порошок цвета беж (15,5 мг). TCX: Rf 0,27 (10%-ный метанол в дихлорметане). ПРИМЕР 25. 2-(1-бекзилоксиимино)этил-7-метокси-4-[N- (3,5-дихлорпирид-4-ил)]бензофуранкарбоксамид 2-Ацетил-7-метокси-4-[N-(3,5-дихлорпирид-4-ил)] бензофуранкарбоксамид (100 мг) в сухом толуоле (40 мл) с сухим пиридином (64 мкм) и гидрохлоридом O-бензилгидроксиламина (126 мг) кипятили с обратным холодильником в условиях Дина-Старка в инертной атмосфере. Спустя 2 часа смесь оставляли для охлаждения и перемешивали в течение ночи. Добавление метанола и ацетона приводило к образованию осадка. Его отфильтровывали и получали твердый продукт (26 мг). TCX: Rf 0,45 (50%-ный этилацетат в гексане). ПРИМЕР 26. 2-Этил-7-метокси-4-[N-(3-карбоксифенил)] бензофуранкарбоксамид 2-Этил-7-метокси-4- [N- (3-карбоэтоксифенил)]бензофуранкарбоксамид (0,78 г) в ТГФ (25 мл) обрабатывали раствором моногидрата гидроксида лития (0,18 г) в воде (25 мл) и реакционную смесь перемешивали при комнатной температуре в течение ночи. Реакционную смесь концентрировали в вакууме, разбавляли водой (100 мл) и подкисляли разбавленной водной соляной кислотой. Полученный в результате белый осадок собирали, промывали водой и сушили в вакууме, получая указанное в заглавии соединение (0,68 г) в виде белого твердого продукта. TCX: Rf 0,35 (5%-ный метанол в дихлорметане). T.пл. 265-267oC. В соответствии с вышеприведенной методикой получали следующее соединение: Пример 27. 2-Этил-7-метокси-4-[N-(4-карбоксифенил)] бензофуранкарбоксамид Указанное в заглавии соединение (0,59 г) в виде белого твердого продукта получали из 2-этил-7-метокси-4-[N-(4-карбоэтоксифенил)] бензофуранкарбоксамида (0,67 г). TCX: Rf 0,4 (5%-ный метанол в дихлорметане). T.пл. 279-280oC. ПРИМЕР 28. 2-[l-(2,2-Димeтипpoпил)]-7-мeтoкcи-4-[N- (3,5-дихлорпирид-4-ил)]бензофуранкарбоксамид К суспензии 2-[1-(2,2-диметилпропил)] -7-метоксибензофуранкарбоновой кислоты (0,59 г) в толуоле (10 мл) добавляли тионилхлорид (1,65 мл) и смесь кипятили с обратным холодильником в течение 3 ч. Смесь перемешивали при комнатной температуре в течение ночи и концентрировали в вакууме. Остаток несколько раз подвергали азеотропной перегонке с толуолом, получая 2- [1-(2,2-диметилпропил)]-7-метоксибензофуран-4-карбонилхлорид (0,63 г). В раствор 4-амино-3,5-дихлорамино-пиридина(0,74 г) в сухом ДМФ (2 мл) при комнатной температуре в атмосфере азота вносили гексаметилдисилазид натрия (1М раствор в ТГФ, 4,5 мл). Реакционную смесь перемешивали при комнатной температуре в течение 0,5 ч, затем нагревали до 50oC. Добавляли раствор 2-[1-(2,2- диметилпропил)]-7-метоксибензофуран-4-карбонилхлорида (0,63 г) в ДМФ и реакционную смесь перемешивали еще в течение 3 ч, а затем при комнатной температуре в течение 16 ч. Добавляли воду (20 мл) и полученный в результате осадок собирали и сушили в вакууме. Очистка путем колоночной хроматографии на диоксиде кремния с элюированием 25%-ным этилацетатом в гексане давала указанное в заглавии соединение (0,29 г) в виде бледно-желтого твердого продукта. TCX: Rf 0,4 (50%-ный этилацетат в гексане). T.пл. 164-165oC ПРИМЕР 29. 2-(1-Метоксииминоэтил)-7-метоксибензофуран-4- [N-(3,5-дихлорпирид-4-ил)]карбоксамид К суспензии 2-ацетил-7-метокси-4-[N-(3,5-дихлорпирид-4- ил)]бензофуранкарбоксамида (0,07 г) в сухом толуоле (40 мл) добавляли пиридин (0,09 мл) и гидрохлорид метоксиламина (0,056 г) и смесь нагревали в условиях Дина-Старка в течение 24 ч. Выпаривание растворителя и очистка путем флэш-хроматографии на диоксиде кремния с элюированием дихлорметаном, а затем 5%-ным метанолом в дихлорметане с последующей препаративной TCX (5%-ный метанол в дихлорметане) давали белый твердый продукт (0,03 г) в виде смеси изомеров E и Z (по данным ЯМР). TCX: Rf 0,27-0,34 (50%-ный этилацетат в гексане). ПРИМЕР 30. N-(3,5-Дихлорпирид-4-ил)-2-карбокси-7- метоксибензофуран-4-карбоксамид 4-Амино-3,5-хлорпиридин (0,31 г) обрабатывали метил 7- метокси-2-метоксикарбонилбензофуран-4-карбонилхлоридом, как в Примере 19. Очистка путем флэш-хроматографии на диоксиде кремния с элюированием 10%-ным метанолом в дихлорметане давала бледно-желтый твердый продукт (0,15 г). TCX: Rf 0,1 (10%-ный метанол в дихлорметане). T.пл. выше 350oC. ПРИМЕР 31. 2-Этил-7-метокси-4-[N-(2,5-диметилпирид-4-ил)] бензофуранкарбоксамид 4-Амино-2,5-диметилпиридин (0,3 г) обрабатывали 2-этил-7- метоксибензофуран-4-карбонилхлоридом (0,59 г), как в Примере 19. Очистка путем флэш-хроматографии на диоксиде кремния с элюированием 10%-ным метанолом в дихлорметане и последующее растирание с гексаном давали беловатый твердый продукт (0,11 г). TCX: Rf 0,33 (10%-ный метанол в дихлорметане). T.пл. 164-165oC. ПРИМЕР 32. N-(5-Хлорпиримидин-4-ил)-2-этил-7-метоксибензофуран -4-карбоксамид 4-Амино-5-хлорпиримидин (0,25 г) обрабатывали 2-этил-7- метоксибензофуран-4-карбонилхлоридом (0,46 г), как в Способе В. Очистка путем перекристаллизации давала беловатый твердый продукт (0,12 г). TCX: Rf 0,25 (этилацетат/гексан 3:2). T.пл. 161-163oC. ПРИМЕР 33. 2-Этил-7-мeтокси-4-[N-(3-метилтиотриазин-5-ил)] бензофуранкарбоксамид 5-Амино-3-метилтиотриазин (0,3 г) обрабатывали 2-этил-7- метоксибензофуран-4-карбонилхлоридом (0,50 г), как в Примере 19. Очистка путем флэш-хроматографии на диоксиде кремния с элюированием 50%-ным этилацетатом в гексане давала твердый продукт кремового цвета (0,1 г). TCX: Rf 0,47 (50%-ный этилацетат в гексане). Масс-спектрометрия: наблюдали [М+H]. ПРИМЕР 34. 2-Этил-7-метoкcи-4-[N-(4-aминoпиpидo[3,2-b] пиридинил)]бензофуранкарбоксамид 4-Аминопиридо[3,2-b] пиридин (0,36 г) обрабатывали 2-этил-7- метоксибензофуран-4-карбонилхлоридом (0,59 г), как в Примере 21. Очистка путем флэш-хроматографии на диоксиде кремния с элюированием 10%-ным метанолом в этилацетате с последующим растиранием с гексаном давали бледно-желтый твердый продукт (0,23 г). TCX; Rf 0,52 (10%-ный метанол в этилацетате). T.пл. 155-157oC. ПРИМЕР 35. 2-Этил-7-метокси-4-[N-(3-фторпирид-4-ил)] бензофуранкарбоксамид 4-Амино-3-фторпиридин (0,25 г) обрабатывали 2-этил-7- метоксибензофуран-4-карбонилхлоридом (0,53 г), как в Способе В. Очистка путем флэш-хроматографии на диоксиде кремния с элюированием 50%-ным этилацетатом в гексане давала беловатый твердый продукт (0,13 г). TCX: Rf 0,15 (50%-ный этилацетат в гексане). T.пл. 150-151oC. ПРИМЕР 36. Z-2-(1-Гидроксииминоэтил-4-[Н-(3,5-дихлорпирид-4-ил)] -7- метоксибензофуранкарбоксамид К суспензии 2-ацетил-7-метокси-4-[N-(3,5-дихлорпирид-4-ил)] бензофуранкарбоксамида (0,5 г) в сухом толуоле (30 мл) добавляли пиридин (1 г) и гидроксиламин (0,9 г) и смесь нагревали в условиях Дина-Старка в течение 48 ч. Выпаривание растворителя и промывание водой давали беловатый твердый продукт (0,2 г). TCX: Rf 0,22 (50%-ный этилацетат в гексане). T.пл. 250oC (разложение). ПРИМЕР 37. 2-Этил-7-метокси-4-[N-(2-хлор-5-карбоксил)фенил] бензофуранкарбоксамид 5-Карбоксиметил-2-хлоранилин (0,566 г) обрабатывали 2-этил- 7-метоксибензофуран-4-карбонилхлоридом (0,50 г), как в Примере 19. Очистка путем флэш-хроматографии на диоксиде кремния с элюированием 50%-ным этилацетатом в гексане давала 2-этил-7- метокси-4-[N-(2-хлор-5-метоксикарбонил)фенил]бензофуранкарбоксамид в виде белого твердого продукта (0,497 г; TCX: Rf 0,5 (50%-ный этилацетат в гексане); т. пл. 174-176oC). Этот продукт (0,31 г) обрабатывали, как в Примере 26, получая указанное в заглавии соединение (0,282 г) в виде белого твердого продукта. TCX: Rf 0,6 (этилацетат) T.пл. 278-279oC. ПРИМЕР 38. Z-2-(1-Гидроксииминоэтил)-4-[N-метил-N-(3,5- дихлорпиридин-4-ил)]-7-метоксибензофуранкарбоксиамид К раствору Z-2-(1-гидроксииминоэтил)-4-[N-3,5-дихлорпиридин-4-ил)] -7- метоксибензофуранкарбоксамида (50 мг) в тетрагидрофуране (10 мл) добавляли Bu4NI (каталитическое количество), затем добавляли раствор NaOH (6 мг) в H2O (1 мл). Всю смесь перемешивали в течение 20 минут, затем добавляли MeI (45 мг) и перемешивание продолжали в течение 12 час. Смесь концентрировали досуха, разбавляли EtOAc (20 мл), промывали H2O (10 мл), рассолом (10 мл), сушили над MgSO4 и снова концентрировали досуха, получая сырой продукт. Очистка путем флэш- хроматографии на диоксиде кремния с элюированием 50%-ным этилацетатом в гексане давала белый твердый продукт (24 мг). TCX: Rf 0,37 (50%-ный этилацетат в гексане). T.пл. 97-98oC. ПРИМЕР 39. Z-2-(1-(4-Пиридилметокси)иминоэтил)-7- метоксибензофуран-4-[N-(3,5-дихлорпирид-4-ил)]карбоксамид К раствору Z-2-(1-гидроксииминоэтил)-4-[N-(3,5-дихлорпиридин-4-ил)] -7 -метоксибензофуранкарбоксамида (50 мг) в тетрагидрофуране (10 мл) добавляли Bu4NI (каталитическое количество), затем раствор NaOH (17 мг) в H2O (1 мл). Всю смесь перемешивали в течение 20 мин, затем добавляли гидрохлорид 4-хлорметилпиридина (46 мг) и продолжали перемешивание в течение 48 час. Смесь концентрировали досуха, разбавляли EtOAc (20 мл), промывали 2O (10 мл), рассолом (10 мл), сушили над MgSO4 и снова концентрировали досуха, получая сырой продукт. Очистка путем флэш-хроматографии на диоксиде кремния с элюированием 50%-ным этилацетатом в гексане давала беловатый твердый продукт (10 мг). TCX: Rf 0,26 (этилацетат). T.пл. 217-218oC. ПРИМЕР 40. 2-(1-Гидроксииминоэтил)-4-[N-(3,5-дихлорпиридии-4-ил)] -7-метоксибензофуранкарбоксамид В атмосфере азота к раствору 2-(1-трет-бутилдиметилсилилокси) иминоэтил)-7-метокси-4-[N-(3,5-дихлорпирид-4-ил)]бензофуранкарбоксамида в тетрагидрофуране (10 мл) добавляли фторид тетрабутиламмония (1М раствор в тетрагидрофуране) (0,48 мл). Перемешивание продолжали в течение 20 мин, затем реакционную смесь концентрировали досуха, получая сырой продукт. Очистка путем флэш-хроматографии на диоксиде кремния с элюированием 50%-ным этилацетатом в гексане давала беловатый твердый продукт (0,1 г) в виде смеси 2:1 изомеров E:Z (по данным ЯМР). TCX: Rf 0,22 (50%-ный этилацетат в гексане). T.пл. 280oC (разложение). ПРИМЕР 41. 2-[(Пиридин-4-ил)карбонил]-7-метоксибензофуран-4-[N- (3,5-дихлорпиридин-4-ил)]карбоксамид В атмосфере азота к раствору 4-амино-3,5-дихлорпиридина (0,56 г) в диметилформамиде (10 мл) добавляли гидрид натрия (0,3 г). Реакционную смесь нагревали до 55oC в течение 1 ч, затем одной порцией добавляли 2-[(пиридин-4-ил)карбонил] -7-метоксибензофуран-4- карбонилхлорид. Нагревание при 55oC продолжали в течение 2 ч, затем выдерживали 12 час при комнатной температуре. Реакционную смесь выпаривали досуха, получая сырой продукт. Очистка путем флэш-хроматографии на диоксиде кремния с элюированием этилацетатом и затем 20%-ным метанолом в этилацетате давала твердый продукт кремового цвета (0,3 г). TCX: Rf 0,36 (этилацетат). T.пл. 250-252oC ПРИМЕР 42. 2-[Метоксиимино(4-пиpидил)мeтил]-7-метоксибензофуран-4- [N-(3,5-дихлорпиридин-4-ил)]карбоксамид 2-[(Пиридин-4-ил)карбонил] -7-метоксибензофуран-4-[N-(3,5- дихлорпиридин-4-ил)]карбоксамид (0,25 г) обрабатывали гидрохлоридом метоксиламина (0,165 г), как в Примере 29. Сырой продукт промывали H2O, а затем диэтиловым простым эфиром, получая белый твердый продукт (0,217 г) в виде смеси 5,5:4,5 изомеров E:Z (по данным ЯМР). T.пл. 245-247oC. Масс-спектрометрия: наблюдали [М+H]. ПРИМЕР 43. E-2-(1-(4-Пиридилметокси)иминoэтил)-7-мeтоксибензофуран-4- [N-(3,5-дихлорпирид-4-ил)]карбоксамид В атмосфере азота к суспензии 2-(1-гидроксииминоэтил)-4-[N- (3,5-дихлорпиридин-4-ил)] -7-метоксибензофуранкарбоксамида (50 г) в этаноле (2 мл) добавляли натрий (9 мг). После перехода всех твердых реагентов в раствор добавляли гидрохлорид 4-хлорметилпиридина (21 мг) и реакционную смесь перемешивали при комнатной температуре в течение 3 дней. Добавляли еще натрий (6 мг) и гидрохлорид 4-хлорметилпиридина (21 мг) и реакционную смесь нагревали до 85oC в течение 6 час. Реакцию гасили с помощью H2O (20 мл), экстрагировали этилацетатом (3 х 20 мл). Объединенные органические слои промывали с помощью H2O (20 мл), рассола (20 мл), сушили над MgSO4 и концентрировали досуха, получая сырой продукт. Очистка путем флэш-хроматографии на диоксиде кремния с элюированием этилацетатом давала беловатый твердый продукт (18 мг). TCX: Rf 0,43 (этилацетат). T.пл. 231- 232oC. ПРИМЕР 44. 2-(4-Морфолино)ацетил-7-метоксибензофуран-4- [N-(3,5-дихлорпирид-4-ил)]карбоксамид В атмосфере азота в раствор 2-ацетил-7-метокси-4- [N-(3,5- дихлорпиридин-4-ил)] бензофуранкарбоксамида (0,1 г) в 45%-ном HBr/AcOH (4 мл) добавляли бром (0,01 мл). Реакционную смесь перемешивали при комнатной температуре в течение 12 час, а затем гасили H2O (20 мл) и экстрагировали этилацетатом (3 х 20 мл). Объединенные органические слои промывали насыщенным водным бикарбонатом натрия (20 мл), рассолом (20 мл), сушили над MgSO4 и концентрировали досуха, получая сырой 2-бромацетил-7- метоксибензофуран-4-[N-(3,5-дихлорпирид-4-ил)]карбоксамид. Очистка путем флэш-хроматографии на диоксиде кремния с элюированием 50%-ным этилацетатом в гексане давала содержащий примеси желтый твердый продукт (20 мг), который использовали без дальнейшей очистки. В атмосфере азота к раствору 2-бромацетил-7-метоксибензофуран-4 -[N-(3,5-дихлорпирид-4-ил)] карбоксамида (20 мг) в дихлорметане (5 мл) добавляли морфолин (0,09 мл) и триэтиламин (10 мг). Перемешивание продолжали в течение 1,5 час. Затем реакционную смесь разбавляли дополнительным дихлорметаном, промывали H2O, сушили над MgSO4 и концентрировали досуха, получая сырой продукт. Очистка путем флэш-хроматографии на диоксиде кремния с элюированием этилацетатом в гексане давала желтый твердый продукт (10 мг). TCX: Rf 0,38 (этилацетат). T.пл. 130oC (разложение). ПРИМЕР 45. N-(2,6-Дихлор-4-карбоксифенил)-2-этил-7-метоксибензофуран- 4-карбоксамид Этил 4-амино-3,5-дихлорбензоат (0,815 г) обрабатывали 2-этил- 7-метоксибензофуран-4-карбонилхлоридом (0,754 г), как в Примере 19. Очистка путем растирания сырого продукта с дихлорметаном давала N-[2,6-дихлор-4-(этоксикарбонил)фенил] -2-этил-7- метоксибензофуран-4-карбоксамида в виде белого твердого продукта (338 мг; TCX: Rf 0,15 (20%-ный этилацетат в гексане); т. пл. 165-166oC). Этот продукт (292 мг) обрабатывали, как в Примере 26, получая указанное в заглавии соединение (230 мг) в виде белого твердого продукта. TCX: Rf 0,6 (6%-ный метанол в дихлорметане). T.пл. 274-275oC. ПРИМЕР 46. 7-Метокси-2-(2-тиазолкарбонил)-4-[N-(5- хлорпиримидин-4-ил)] бензофуранкарбоксамид В атмосфере азота при перемешивании к раствору 4-амино-5- хлорпиримидина (220 мг) в диметилформамиде (20 мл) добавляли гидрид натрия (60%-ная дисперсия в масле) (135 мг) и перемешивание продолжали в течение 3 ч. Затем добавляли 4-нитрофенил 7-метокси- 2-(2-тиазолкарбонил)бензофуран-4-карбоксилат (720 мг) и перемешивание продолжали еще в течение 18 ч. Растворитель удаляли в вакууме, полученный в результате остаток растирали с этилацетатом, а затем очищали путем флэш-хроматографии на диоксиде кремния с элюированием смесью 2%-ный гидроксид аммония/20%-ный метанол в этилацетате. Дальнейшее растирание с метанолом давало указанное в заглавии соединение в виде твердого продукта кремового цвета (165 мг). Масс-спектрометрия: наблюдали [М+H]. T.пл. 262-264oC. Следующие соединения получали из 4-нитрофенил 2-этил-7- метоксибензофуран-4-карбоксилата и соответствующего амина по вышеприведенной методике. ПРИМЕР 47. 2-Этил-7-метокси-4-[N-2,5-дифторпиримидин-4-ил)] бензофуранкарбоксамид Из 4-амино-2,5-дифторпиримидина (190 мг) получали указанное в заглавии соединение (95 мг) в виде беловатого твердого продукта. TCX: Rf 0,6 (50%-ный этилацетат в гексане). T.пл. 175-176oC. ПРИМЕР 48. 2-Этил-7-мeтoксибензофуран-4-[N-(1,3,5-триметилпиразол- 4-ил)]карбоксамид Из 4-амино-1,3,5-триметилпиразола (165 мг) получали указанное в заглавии соединение (222 мг) в виде белого твердого продукта. TCX: Rf 0,27 (10%-ный метанол в этилацетате). T.пл 182-184oC. ПРИМЕР 49. 2-[2-(4-Морфолино)-(2-метокси)иминоэтил] -7- метокси-4-[N-(3,5-дихлорпирид-4-ил)]бензофуранкарбоксамид Получали из 2-(4-морфолино)ацетил-7-метокси-4-[N-(3,5- дихлорпирид-4-ил)] бензофуранкарбоксамида методикой, аналогичной Примеру 4. Очистка путем флэш-хроматографии на диоксиде кремния с элюированием этилацетатом давала желтый твердый продукт в виде смеси изомеров 1:1 (20 мг). TCX: Rf 0,66 и 0,53 (этилацетат). T.пл. 140oС (разложение). ПРИМЕР 50. (Z)-2-[1-(2-Метилтиазол-4-ил-метокси)иминоэтил] -7-метокси-4-[N-(3,5-дихлорпирид-4-ил)]бензофуранкарбоксамид При комнатной температуре в атмосфере азота перемешивали раствор (Z)-2-(1-гидроксииминоэтил)-7-метокси-4-[N- (3,5-дихлорпиридин-4-ил)] бензофуранкарбоксиамида в диметилформамиде (30 мл). Добавляли гидрид натрия (60%-ная дисперсия в масле) (17 мг) и продолжали перемешивание в течение 1 ч. Добавляли 4-хлорметил-2-метилтиазол (0,84 г) (полученный из гидрохлоридной соли с использованием бикарбоната натрия) и смесь перемешивали в течение 1 ч. Смесь выливали на воду (100 мл) и экстрагировали этилацетатом (3 х 100 мл). Объединенные органические промывки промывали водой (100 мл) и рассолом (50 мл), сушили над сульфатом магния и удаляли растворитель в вакууме, получая твердый продукт кремового цвета. Твердый продукт растирали с эфиром для удаления непрореагировавшего алкилирующего агента и очищали путем флэш- хроматографии с элюированием 0-10%-ным метанолом в этилацетате, получая белый твердый продукт (0,69 г). TCX: Rf 0,62 (этилацетат). T.пл. 221-222oC. Следующее соединение Примера получали подобной методикой. ПРИМЕР 51. (Z)-2-(1-(4-Морфолиноэтокси)иминоэтил)-7- метокси-4-[N-(3,5-дихлорпирид-4-ил)]бензофуранкарбоксамид Очистка путем перекристаллизации из смеси этилацетат/гексан давала белый твердый продукт (0,22 г). TCX: Rf 0,50 (10%-ный метанол в дихлорметане). T.пл. 178-179oC. ПРИМЕР 52. (Z)-2-(1-Метоксииминоэтил)-7-метокси-4-[N- (3,5-дихлорпирид-4-ил)]бензофуранкарбоксамид При комнатной температуре в атмосфере азота перемешивали раствор 4-амино-3,5-дихлорпиридина (23 мг) в диметилформамиде (5 мл). Добавляли гидрид натрия (60%-ная дисперсия в масле) (9 мг) и получаемую суспензию перемешивали в течение 1 ч. Добавляли раствор 4-нитрофенил 2-(1-метоксииминоэтил)] -7-метоксибензофуран-4- карбоксилата (50 мг) в диметилформамиде (2 мл) и перемешивание продолжали в течение ночи. Реакцию гасили добавлением воды (1 мл) и в вакууме смесь выпаривали досуха. Очистка путем флэш-хроматографии с элюированием 50%-ным этилацетатом в гексане давала белый твердый продукт (23 мг). TCX: Rf 0,40 (50%-ный этилацетат в гексане). T.пл. 238-239oC. Способы испытаний Испытания, примененные для подтверждения ингибиторной активности соединений формулы (i) в отношении фосфодиэстеразы IV, представляют собой стандартные экспериментальные методики, описанные в публикациях: Schilling et al. , Anal. Biochem., 216; 154 (1994); Thompson and Strada, Adv.Cycl. Nucl. Res., 8; 119 (1979) и Gristwood and Owen, Br.J.Pharmacol., 87: 91P (1986). В этих испытаниях соединения формулы (i) показали активность на уровнях, соответствующих уровням, которые считаются полезными при лечении связанных с фосфодиэстеразой IV патологических состояний. Способность соединений формулы (i) ингибировать продуцирование TNF в моноядерных клетках периферической крови людей (PBMC) измеряют следующим образом. PBMC получают из свежевзятой крови или лейкоцитарной пленки с помощью стандартных методик. Клетки высеваются в RPMI 1640+1%-ная фетальная телячья сыворотка в присутствии и в отсутствие ингибиторов. Добавляют LPS (100 нг/мл), и культуры выдерживают в термостате в течение 22 ч при 37oC в атмосфере из 95% воздуха и 5% CO2. Надосадочные супернатанты испытывают на TNFa по методу ELISA с использованием коммерчески доступных наборов. Активность in vivo в модели кожной эозинофилии определяют по способам, описанным Hellewell et al. , Br. J. Pharmacol. 111: 811 (1994) and Br. J. Pharmacol. , 110: 416 (1993). Активность в легочной модели измеряют по способам, описанным у Kallos and Kallos, Int. Archs. Allergy Appl. lminunol., 73: 77 (1984), и Sanjar et al., Br. J. Pharmacol., 99: 679 (1990). Дополнительная легочная модель, которая делает возможными измерение ингибирования астматических реакций ранней и поздней фазы, а также ингибирования гиперактивности дыхательных путей, описана у Бродли и соавт: Broadley et al., Pulmonary Pharmacol., 7: 311 (1994), J. lmmunological Methods, 190: 51 (1996) and British J. Pharmacol., 116: 2351 (1995). В этой модели соединения данного изобретения проявляют активность. Аббревиатуры: LPS – Липополисахарид (эндотоксин); ELISA – Твердофазный иммуноферментный анализ. Таблица определения IC50 в отношении фермента PDE4, таблица физических характеристик некоторых соединений по изобретению, а также значения R1-R14 для соединений 1-20 приведены в конце описания. Формула изобретения
![]() где Z представляет СО; R1 представляет алкоксигруппу, необязательно замещенную одним или несколькими галогенами; R2 и R3 одинаковые или различные и каждый представляет Н, R6 OR10, COR6, C(=NOR6)R6, алкил-С(=NOR6)R6, C(=NOH)R6, NR8R9, CN, CF3, CO2H, CO2R10; R4 представляет Н или алкил; R5 представляет арил, гетероарил, гетероцикло; в R4 и/или R5 часть арил/гетероарил/гетероцикло необязательно замещена одним или несколькими заместителями R13; R6 представляет R10, необязательно замещенный в любом положении R14; R7 представляет Н или алкил; R8 представляет Н, гетероарилалкил, гетероциклоалкил или алкоксикарбонил; R9 представляет Н, гетероарилалкил или алкил; R10 представляет алкил, циклоалкил, арил, гетероарил, гетероцикло, арилалкил, гетероарилалкил или гетероциклоалкил; R11 представляет Н или алкил; R12 представляет Н; R13 представляет алкил, необязательно замещенный галогеном, алкокси, необязательно замещенный галогеном, гетероцикло, гидрокси, CO2R7, галоген, CN, S(0)nR10; R14 представляют ОН, карбонильный кислород, OR10, NR8R9, CN, CO2H, CO2R10, CONR11R12; n равно 0; или его фармацевтически приемлемая соль. 2. Соединение по п. 1, где R2 и R3 одинаковые или различные и каждый представляет Н, R6, COR6, C(=NOR6)R6, CN, CO2H, CO2R10. 3. Соединение по п. 1, где R2 и R3 одинаковые или различные, и каждый представляет R6a или алкил-R6a; R6a представляет Н, арил, гетероарил, гетероцикло, гидрокси, арилалкилокси или COR10; R10 представляет алкил, арил, гетероарил, гетероцикло, арилалкил, гетероарилалкил или гетероциклоалкил; R13 представляет гетероцикло, гидрокси, алкокси, CO2R7, галоген, CN, S(0)nR10. 4. Соединение по п.1, где R2 и R3 каждый независимо выбраны из Н, R6 или COR6; R6 представляет алкил, арил, гетероарил, гетероцикло, арилалкил, гетероарилалкил или гетероциклоалкил. 5. Соединение по любому из предшествующих пунктов, где R2 не является Н. 6. Соединение по любому из предшествующих пунктов, где R5 представляет необязательно замещенный арил или гетероарил. 7. Соединение по любому из предшествующих пунктов, где R2 и R3 оба не являются Н. 8. Соединение по любому из предшествующих пунктов, где оба 2 и R3 независимо представляют OR10 или NR8R9. 9. Соединение по любому из пп.1 – 7, где R2 и R3 независимо представляют С(=NOR6)R6, алкил-С(=NOR)R6, C(=NOH)R6. 10. Соединение по любому из пп.1 – 7, где R2 и R3 независимо представляют гетероцикло, гетероциклоалкил или гетероарил, необязательно замещенный в любом положении (одним или несколькими)R14. 11. Соединение по любому из пп.1 – 7, где R2 и R3 независимо представляют алкил, замещенный в любом положении (одним или несколькими) ОН, OR10, NR8R9 или CN. 12. Соединение по любому из пп.1 – 7, где R2 и R3 независимо представляют алкил, замещенный одним или несколькими COR, и R представляет арил, гетероарил или гетероцикло. 13. Соединение по любому из пп.1 – 7, где R2 и R3 независимо представляют COR, как это определено в п.12, необязательно замещенный в любом положении (одним или несколькими) R14. 14. Соединение по любому из предшествующих пунктов, где R4 представляет Н или алкил. 15. Соединение по любому из предшествующих пунктов, где R5 представляет арил или гетероарил, каждый из которых может быть необязательно замещен одним или несколькими заместителями R13. 16. Соединение по п. 1, выбранное из 2-ацетил-7-метокси-4-N-(3,5-дихлорпирид-4-ил)бензофуранкарбоксимида и 2-ацетил-7-метокси-4-N-(пирид-4-ил)бензофуранкарбоксамида. 17. Соединение по п.1, выбранное из группы, включающей 2-этил-7-метокси-4-N-(3,5-дихлорпирид-4-ил)бензофуранкарбоксамид, 2-ацетил-7-метокси-4-[N-(пирид-4-ил)-N-пропил]бензофуранкарбоксамид, 2-ацетил-7-метокси-4-N-(2-хлорфенил)бензофуранкарбоксамид, 2-ацетил-7-метокси-4-N-(2,6-диметилфенил)бензофуранкарбоксамид, 2-ацетил-7-метокси-4-N-(4-метоксифенил)бензофуранкарбоксамид 2-ацетил-7-метокси-4-N(3-бром-5-метилпирид-2-ил)бензофуранкарбоксамид, 2-ацетил-7-метокси-4-N-(3-метилфенил)бензофуранкарбоксамид, 2-ацетил-7-метокси-4-N(3,5-дихлорпирид-2-ил)бензофуранкарбоксамид, 2-ацетил-7-метокси-4-N-(2-метилфенил)бензофуранкарбоксамид, 2-ацетил-7-метокси-4-N(4-метокси-2-метилфенил)бензофуранкарбоксамид, 2-ацетил-7-метокси-4-N-(пиримидин-4-ил)бензофуранкарбоксамид 2-ацетил-7-метокси-4-N-(2-триформетилфенил)бензофуранкарбоксамид, 2-ацетил-7-метокси-4-N-[2-(пиперидин-1-ил)фенил]бензофуранкарбоксамид, 2-ацетил-7-метокси-4-N-(3-хлорпирид-4-ил)бензофуранкарбоксамид, 2-ацетил-7-метокси-4-N(2-трифторметоксифенил)бензофуранкарбоксамид, 2-ацетил-7-метокси-4-N-(2-этилфенил)бензофуранкарбоксамид, 2-ацетил-7-метокси-4-N-(3-метилпирид-2-ил)бензофуранкарбоксамид, 2-этил-7-метокси-4-N-(2-хлорпирид-3-ил)бензофуранкарбоксамид 2-ацетил-7-метокси-4-N-(2-метоксифенил)бензофуранкарбоксамид 2-ацетил-7-метокси-4-N-(2-хлорпирид-3-ил)бензофуранкарбоксамид, 2-ацетил-7-метокси-4-N-(2-хлор-6-метилфенил)бензофуранкарбоксамид, 2-(1-гидроксиэтил)-7-метокси-4-N-(3,5-дихлорпирид-4-ил)бензофуранкарбоксамид, 2-(3-пирид-3-ил-1-оксопропил)-7-метокси-4-N-(3,5-дихлорпирид-4-ил)бензофуранкарбоксамид, 2-(1-бензилоксиимино)этил-7-метокси-4-N-(3,5-дихлорпирид-4-ил)бензофуранкарбоксамид, 2-этил-7-метокси-4-N-(3-карбоксифенил)бензофуранкарбоксамид, 2-этил-7-метокси-4-N-(4-карбоксифенил)бензофуранкарбоксамид, 2-[1-(2,2-диметилпропил)]-7-метокси-4-N-(3,5-дихлорпирид-4-ил)бензофуранкарбоксамид. 18. Соединение по любому из предшествующих пунктов в виде энантиомера или смеси энантиомеров. 19. Соединение по любому из предшествующих пунктов, обладающее ингибирующей активностью в отношении фосфодиэстеразы IV или фактора некроза опухоли. 20. Фармацевтическая композиция, обладающая ингибирующей активностью в отношении фосфодиэстеразы IV или фактора некроза опухоли, содержащая соединение по любому из предшествующих пунктов, и фармацевтически приемлемый носитель или наполнитель. Приоритет по пунктам: 20.05.96 – по пп.1 – 20; 05.12.96 – по пп.1 – 20 (уточнение признаков); 22.04.97 – по пп.1 – 20 (уточнение признаков). РИСУНКИ
MM4A Досрочное прекращение действия патента Российской Федерации на изобретение из-за неуплаты в установленный срок пошлины за поддержание патента в силе
Дата прекращения действия патента: 21.05.2003
Извещение опубликовано: 10.01.2005 БИ: 01/2005
|
||||||||||||||||||||||||||


– кетоглутарат,
(известен также как лимфотоксин) обладает структурной гомологией, близкой к TNF-


5.00 (2H, CH2), 8.2 (1H, ароматический), 8.4 (1H, ароматический).
ПРОМЕЖУТОЧНОЕ СОЕДИНЕНИЕ 27