|
(21), (22) Заявка: 2003133448/04, 15.04.2002
(24) Дата начала отсчета срока действия патента:
15.04.2002
(30) Конвенционный приоритет:
16.04.2001 US 60/284,026
(43) Дата публикации заявки: 10.06.2005
(46) Опубликовано: 20.01.2009
(15) Информация о коррекции:
Версия коррекции № 1 (
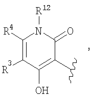
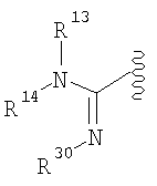
или их фармацевтически приемлемым солям или сольватам,
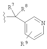
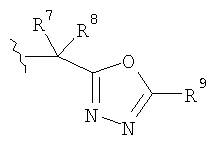
где А выбран из группы, включающей
   
  
X=-O-, -NH-, -S-,
 
n=1-5
В выбран из группы, включающей
  

Соединения могут быть использованы при лечении опосредуемых хемокинами заболеваний, таких как острые и хронические воспалительные заболевания и рак. Описаны также фармацевтическая композиция и применение соединений I. 5 н. и 45 з.п. ф-лы.
Текст описания приведен в факсимильном виде.                                                                                                                                                                                                                                                                                                                                                                               
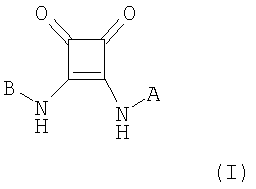
Формула изобретения
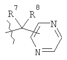
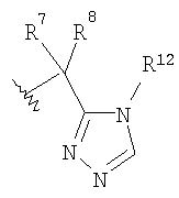
1. Соединение формулы
 или его фармацевтически приемлемая соль, сольват или изомер, в котором А выбран из группы, включающей
, , ,
, , , ,
, , ,
, , ,
, ,
, , n=0-6
, , , X=-O-, -NH-, -S-
, ; n=1-5
, , ,
, , ,
, , , ,
, , ,
и  В выбран из группы, включающей
, ,
, , ,
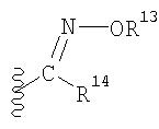
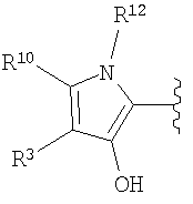
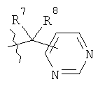
, , , , , и ; R2 означает ОН, R3 означает -C(O)NHR17, -C(O)NR13R14 и -C(O)NR13OR14; R4 выбран из группы, включающей водород, цианогруппу, галоген, алкил, алкоксил, -ОН, -CF3, -OCF3, -NO2, -C(O)R13, -C(O)OR13, -C(O)NHR17, -C(O)NR13R14, -SO(t)NR13R14, -SO(t)R13, -C(O)NR13OR14,
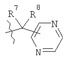
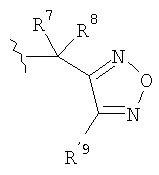
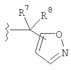
, , , -NHC(O)R17, незамещенную или замещенную арильную или незамещенную или замещенную гетероарильную группу, где заместители в замещенных R4 группах являются одинаковыми или разными и независимо выбраны из группы, включающей 1-6 групп R9; R5 и R6 являются одинаковыми или разными и независимо выбраны из группы, включающей водород, галоген, алкил, алкоксил, -CF3, -OCF3, -NO2, -C(O)R13, -C(O)OR13, -C(O)NR13R14, -SO(t)NR13R14, -C(O)NR13OR14, цианогруппу, незамещенную или замещенную арильную или незамещенную или замещенную гетероарильную группу, где заместители в замещенных группах R5 и R6 являются одинаковыми или разными и независимо выбраны из группы, включающей 1-6 групп R9; R7 и R8 являются одинаковыми или разными и независимо выбраны из группы, включающей Н, незамещенную или замещенную алкильную, незамещенную или замещенную арильную, незамещенную или замещенную гетероарильную, незамещенную или замещенную арилалкильную, незамещенную или замещенную гетероарилалкильную, незамещенную или замещенную циклоалкильную, незамещенную или замещенную циклоалкилалкильную, -CO2R13, -CONR13R14, фторалкильную, алкинильную, алкенильную и циклоалкенильную группу, где заместители в замещенных группах R7 и R8 выбраны из группы, включающей a) Н, b) галоген, c) -CF3, d) -COR13, e) -OR13, f) -NR13R14, g) -NO2, h) -CN, i) -SO2OR13, j) -Si(алкил)3, k) -Si(арил)3, l) (R13)2R14Si, m) -CO2R13, n) -C(O)NR13R14, o) -SO2NR13R14, p) -SO2R13, q) -O(C=O)R13, r) -O(C=O)NR13R14, s) -NR13C(O)R14, и t) -NRl3CO2R14; R8a выбран из группы, включающей водород, алкил, циклоалкил и циклоалкилалкил; R9 независимо выбраны из группы, включающей 1-6 заместителей из группы, включающей: a) -R13, b) галоген, c) -CF3, d) -COR13, e) -OR13, f) -NR13R14, g) -NO2, h) -CN, i) -SO2R13, j) -SO2NR13R14, k) -NR13COR14, l) -CONR13R14, m) -NR13CO2R14, n) -CO2R13, и о) ; R10 и R11 являются одинаковыми или разными и независимо выбраны из группы, включающей водород, галоген, -CF3, -OCF3, -NR13R14, -NR13C(O)NR13R14, -ОН, -C(O)OR13, -SH, -SO(t)NR13R14, -SO2R13, -NHC(O)R13, -NHSO2NR13R14, -NHSO2R13, -C(O)NR13R14, -C(O)NR13OR14, -OC(O)R13 и цианогруппу; R12 означает водород, -OC(O)R13 или незамещенную или замещенную арильную, незамещенную или замещенную гетероарильную, незамещенную или замещенную арилалкильную, незамещенную или замещенную циклоалкильную, незамещенную или замещенную алкильную, незамещенную или замещенную циклоалкилалкильную или незамещенную или замещенную гетероарилалкильную группу, где заместители в замещенных R12 группах являются одинаковыми или разными и независимо выбраны из группы, включающей 1-6 групп R9; R13 и R14 являются одинаковыми или разными и независимо выбраны из группы, включающей Н, незамещенную или замещенную алкильную, незамещенную или замещенную арильную, незамещенную или замещенную гетероарильную, незамещенную или замещенную арилалкильную, незамещенную или замещенную гетероарилалкильную, замещенную циклоалкильную, незамещенную или замещенную циклоалкилалкильную и незамещенную или замещенную фторалкильную группу, или R13 и R14, когда они оба присоединены к атому азота, могут совместно образовывать незамещенное или замещенное 3- – 7-членное гетероциклическое кольцо, содержащее один или два гетероатома, выбранных из группы, включающей кислород, серу и азот, где заместители в замещенных группах R13 и R14 являются одинаковыми или разными и независимо выбраны из группы, включающей 1-6 атомов Н, алкил, арил, арилалкил, фторалкил, циклоалкил, циклоалкилалкил, гетероарил, гетероарилалкил, аминогруппу, -C(O)OR15, -C(O)NR15R16, S(O)tNR15R16, -C(O)R15, -SO2R15, -NHC(O)NR13R14 и галоген; R15 и R16 являются одинаковыми или разными и независимо выбраны из группы, включающей Н, алкил, арил, арилалкил, циклоалкил и гетероарил; R17 означает -SO2-алкил, -SO2-арил, -SO2-циклоалкил или -SO2-гетероарил; R30 означает алкил, циклоалкил, -CN, -NO2 или -SO2R15; R31 являются одинаковыми или разными и независимо выбраны из группы, включающей незамещенный или замещенный алкил, незамещенный или замещенный арил, незамещенный или замещенный гетероарил и незамещенный или замещенный циклоалкил, где заместители в замещенных R31 группах являются одинаковыми или разными и независимо выбраны из группы, включающей 1-6 групп R9; и t равно 0, 1 или 2; причем “алкил” и “алкокси” включают от 1 до 20 атомов углерода, если не указано другое, “алкенил” включает от 2 до 20 атомов углерода, если не указано другое, “алкинил” включает от 2 до 15 атомов углерода, если не указано другое, “арил” включает от 6 до 14 атомов углерода, “циклоалкил” и “циклоалкенил” включают от 3 до 10 атомов углерода, “гетероарил” включает от 5 до 14 циклических атомов, причем один или большее количество атомов циклической системы выбраны, по отдельности или в комбинации, из азота, кислорода и серы.
2. Соединение по п.1, где А выбран из группы, включающей:
, ,
, , ,
, , ,
, , 
и , где R7 означает Н, фторалкил, алкил или циклоалкил; R8 означает Н, алкил, -CF2СН3 или -CF3; R9 означает Н, F, Cl, Br, алкил или -CF3.
3. Соединение по п.1 формулы, где А выбран из группы, включающей
, , ,
, , , где R7 означает Н, -CF3, -CF2СН3, метил, этил, изопропил, циклопропил или трет-бутил; R8 означает Н; R9 означает Н, F, Cl, Br, алкил или -CF3, и В означает:
и  где R2 означает ОН; R3 означает -C(O)NR13R14; R4 означает Н, -NO2, цианогруппу, -СН3 или -CF3; R5 означает Н, -CF3, -NO2, галоген или цианогруппу; и R6 означает Н, алкил или -CF3; R11 означает Н, галоген или алкил; и R13 и R14 являются одинаковыми или разными и независимо означают метил, этил или изопропил; или R13 и R14 совместно с атомом азота, к которому они присоединены в группах -NR13R14, -C(O)NR13R14, -SO2NR13R14, -OC(O)NR13R14, -CONR13R14, -NR13C(O)NR13R14, -SOtNR13R14, -NHSO2NR13R14, предпочтительно образуют незамещенное или замещенное 3- – 7-членное насыщенное гетероциклическое кольцо, необязательно содержащее один дополнительный гетероатом, выбранный из группы, включающей О, S или NR18, где R18 выбран из группы, включающей Н, алкил, арил, гетероарил, -C(O)R19, -SO2R19 и -C(O)CONR19R20, где R19 и R20 являются одинаковыми или разными и независимо выбраны из группы, включающей алкил, арил и гетероарил, где заместители в замещенных циклизованных R13 и R14 группах являются одинаковыми или разными и независимо выбраны из группы, включающей от 1 до 3 групп алкил, арил, гидроксил, гидроксиалкил, алкоксил, алкоксиалкил, арилалкил, фторалкил, циклоалкил, циклоалкилалкил, гетероарил, гетероарилалкил, аминогруппу, -C(O)OR15, -C(O)NR15R16, -SOtNR15R16, -C(O)R15, -SO2R15 -NHC(O)NR15R16, и галоген, и где R15 и R16 являются одинаковыми или разными и независимо выбраны из группы, включающей Н, алкил, арил, арилалкил, циклоалкил и гетероарил.
4. Соединение по п.1 формулы, где А выбран из группы, включающей
, , ,
, , и , и В означает:
, или , где R2 означает ОН; R3 означает -C(O)NR13R14; R4 означает Н, -NO2, -CF3, -СН3 или цианогруппу, R5 означает Н, галоген, -NO2, цианогруппу или -CF3; R6 означает Н, -CF3 или алкил, R7 означает Н, -CF3, -CF2СН3, метил, этил, изопропил, циклопропил или трет-бутил; R8 означает Н; R9 означает Н, F, Cl, Br, алкил, циклоалкил или -CF3; R11 означает Н, галоген или алкил; и R13 и R14 независимо означают метил или этил.
5. Соединение по п.1 формулы, где А выбран из группы, включающей
, , ,
, , ,
, , ,
, , ,
,
, , ,
, , ,
, , ,
, , ,
, , ,
, и , и В означает
, или , где R2 означает -ОН; R3 означает -CONR13R14; R4 означает H, -СН3 или -CF3; R5 означает Н или цианогруппу; R6 означает Н, -СН3 или -CF3; R11 означает Н, и R13 и R14 означают метил.
6. Соединение формулы (I)
 его фармацевтически приемлемая соль, сольват или изомер соединения, в котором А выбран из группы, включающей:
   
, , , ,
, , , 
, , 
, ,
, , 
, , ,
, , ,
, , , ,
, , ,
, и , где R7 и R8 являются одинаковыми или разными и независимо выбраны из группы, включающей Н; необязательно замещенные или незамещенные алкил, арил, гетероарил, арилалкил, гетероарилалкил, циклоалкил, циклоалкилалкил, CO2R13, CONR13R14, фторалкил, алкинил, алкенил, алкинилалкил, алкенилалкил и циклоалкенил, где указанные заместители в указанных замещенных группах выбраны из группы, включающей: a) цианогруппу; b) CO2R7; c) CONR7R8; d) SO2NR7R8, e) SO2R7; f) NO2; g) CF3; h) -OR7; i) -NR7R8; j) -O(C=O)R7; k) -O(C=O)NR7R8, и l) галоген; R9 выбран из числа одного или большего количества фрагментов, выбранных из группы, включающей: a) R7; b) R8; c) галоген; d) -CF3; e) -COR7; f) -OR7; g) -NR7R8; h) -NO2; i) -CN; j) -SO2R7; k) -SO2NR7R8; l) -NR7COR8; m) -CONR7R8; n) -NR7CO2R8; o) CO2R7, и p)  В означает необязательно замещенную арильную или гетероарильную группу, выбранную из группы, включающей:

, , ,
, , ,
и , где R2 означает ОН, R3 означает C(O)NR13R14 или C(O)NR13OR14; R4 означают водород, галоген, алкил, алкоксил, ОН, CF3, OCF3, NO2, C(O)R13, C(O)OR13, C(O)NR13R14, SO(t)NR13R14, SO(t)R13, C(O)NR13OR14,
, цианогруппу, необязательно замещенные арил или гетероарил, где заместители в необязательно замещенных группах могут быть выбраны из числа одной или большего количества групп R9; R5 и R6 независимо означают водород, галоген, алкил, алкоксил, CF3, OCF3, NO2, C(O)R13, C(O)OR13, C(O)NR13R14, SO(t)NR13R14, C(O)NR13OR14, цианогруппу или необязательно замещенные арильную или гетероарильную группу, где заместители в необязательно замещенных группах могут быть выбраны из числа одной или большего количества групп R9; все R10 и R11 независимо означают водород, галоген, CF3, OCF3, NR13R14, NR13C(O)NR13R14, ОН, C(O)OR13, SH, SO(t)NR13R14, SO2R13, NHC(O)R13, NHSO2NR13R14, NHSO2R13, C(O)NR13R14, C(O)NR3OR14, OC(O)R13 и цианогруппу; R12 означает водород, OC(O)R13, или необязательно замещенные арильную, гетероарильную, арилалкильную, циклоалкильную, алкильную, циклоалкилалкильную или гетероарилалкильную группу; R13 и R14 являются одинаковыми или разными и независимо выбраны из группы, включающей Н; необязательно замещенные или незамещенные алкил, арил, гетероарил, арилалкил, гетероарилалкил, циклоалкил, циклоалкилалкил и фторалкил, или R13 и R14 совместно образуют необязательно замещенное 3- – 7-членное гетероциклическое кольцо, содержащее один или два гетероатома, выбранных из группы, включающей О, S и N, и где заместители в необязательно замещенных группах могут быть выбраны из числа одной или большего количества групп R9; и t равно 1 или 2; причем “алкил” и “алкокси” включают от 1 до 20 атомов углерода, если не указано другое, “алкенил” включает от 2 до 20 атомов углерода, если не указано другое, “алкинил” включает от 2 до 15 атомов углерода, если не указано другое, “арил” включает от 6 до 14 атомов углерода, “циклоалкил” и “циклоалкенил” включают от 3 до 10 атомов углерода, “гетероарил” включает от 5 до 14 циклических атомов, причем один или большее количество атомов циклической системы выбраны, по отдельности или в комбинации, из азота, кислорода и серы.
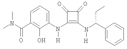
7. Соединение по п.1, где В выбран из группы, включающей (1)
, где R3 означает -OC(O)NR13R14, а остальные радикалы имеют значения, указанные в п.1 в отношении формулы (I); (2)
, где радикалы имеют значения, указанные в п.1 в отношении формулы (I); (3)
, где радикалы имеют значения, указанные в п.1 в отношении формулы (I); (4)
, где радикалы имеют значения, указанные в п.1 в отношении формулы (I); (5)
 где радикалы имеют значения, указанные в п.1 в отношении формулы (I); (6)
, где радикалы имеют значения, указанные в п.1 в отношении формулы (I); (7)
 где радикалы имеют значения, указанные в п.1 в отношении формулы (I); (9)
 где радикалы имеют значения, указанные в п.1 в отношении формулы (I); (10)
 где радикалы имеют значения, указанные в п.1 в отношении формулы (I); (12)
 где радикалы имеют значения, указанные в п.1 в отношении формулы (I); (13)
 где радикалы имеют значения, указанные в п.1 в отношении формулы (I).
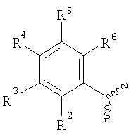
8. Соединение по п.1, в котором В означает:
 где R3 означает -C(O)NR13R14; и все остальные заместители имеют значения, указанные в п.1.
9. Соединение по п.8, в котором R13 и R14 являются одинаковыми или разными алкильными группами.
10. Соединение по п.7, в котором В означает:
.
11. Соединение по п.10, в котором R13 и R14 являются одинаковыми или разными алкильными группами.
12. Соединение по п.7, в котором В означает:

13. Соединение по п.12, в котором R11 означает водород.
14. Соединение по п.12 или 13, в котором R3 означает -C(O)NR13R14.
15. Соединение по одному из пп.12-14, в котором R13 и R14 независимо выбраны из группы, включающей алкил и незамещенный гетероарил.
16. Соединение по п.15, в котором один из R13 и R14 означает алкил.
17. Соединение по п.16, в котором алкил является метилом.
18. Соединение по п.7, в котором В означает:
.
19. Соединение по одному из пп.7-18, в котором группа А означает
 где фурановое кольцо является незамещенным или замещенным указанным в п.1 образом.
20. Соединение по п.19, в котором указанное фурановое кольцо является замещенным.
21. Соединение по п.20, в котором фурановое кольцо является замещенным, по меньшей мере, одним алкилом.
22. Соединение по одному из пп.19-21, в котором R7 и R8 являются одинаковыми или разными и выбраны из группы, включающей Н и алкил.
23. Соединение по п.22, в котором R7 означает Н, а R8 означает алкил.
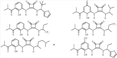
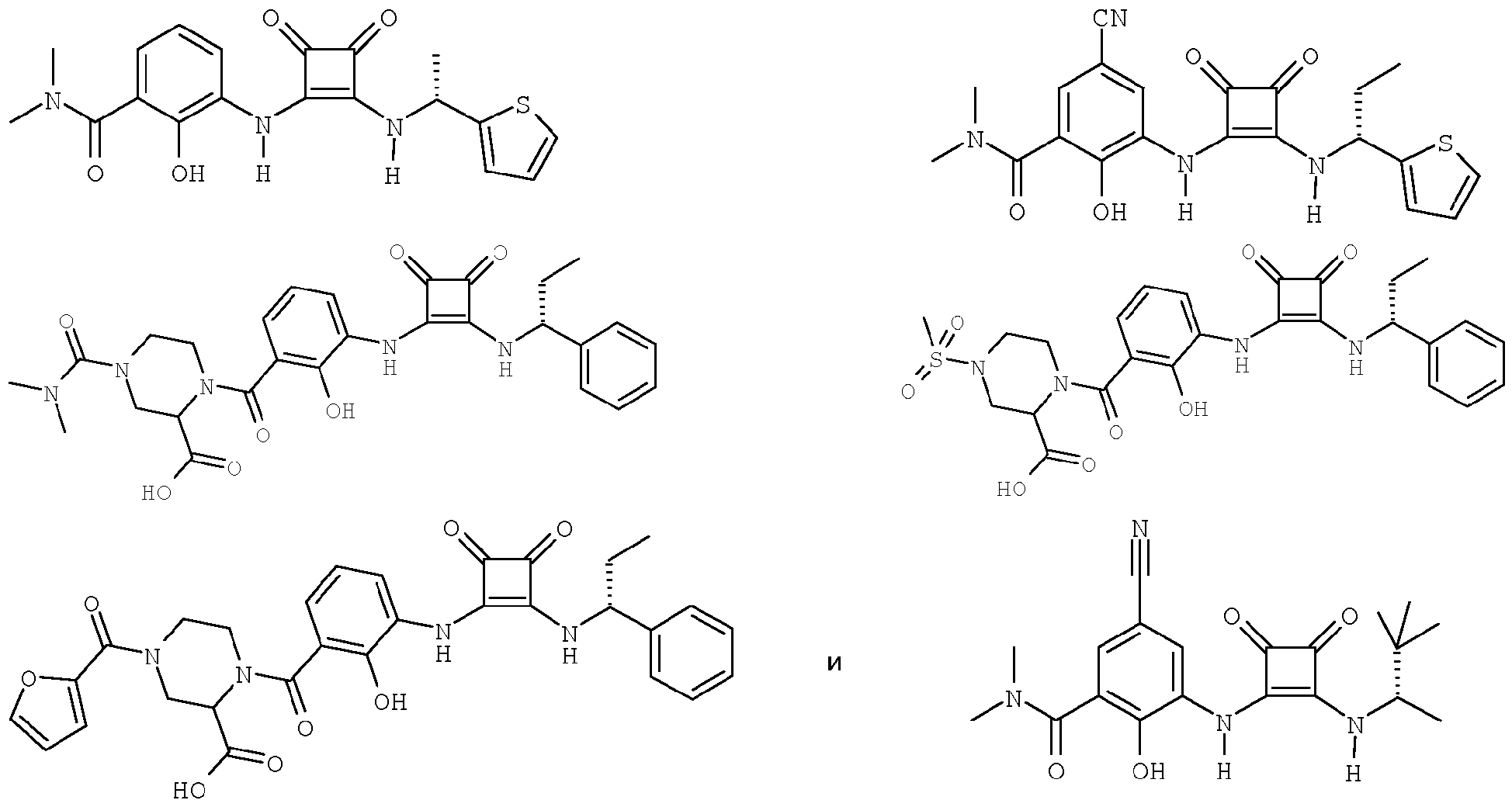
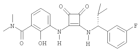
24. Соединение по п.1, выбранное из группы, включающей:
          
25. Соединение по п.1, выбранное из группы, включающей
 
26. Соединение по п.1, имеющее формулу
 или его фармацевтически приемлемая соль или сольват.
27. Соединение по п.1, имеющее формулу
 или его фармацевтически приемлемая соль или сольват.
28. Соединение по п.1, имеющее формулу
 или его фармацевтически приемлемая соль или сольват.
29. Соединение по п.1, имеющее формулу
 или его фармацевтически приемлемая соль или сольват.
30. Соединение по п.1, имеющее формулу
 или его фармацевтически приемлемая соль или сольват.
31. Соединение по п.1, имеющее формулу
 или его фармацевтически приемлемая соль или сольват.
32. Соединение по п.1, имеющее формулу
 или его фармацевтически приемлемая соль или сольват.
33. Соединение по п.1, имеющее формулу
 или его фармацевтически приемлемая соль или сольват.
34. Соединение по п.1, имеющее формулу
 или его фармацевтически приемлемая соль или сольват.
35. Соединение по п.1, имеющее формулу
 или его фармацевтически приемлемая соль или сольват.
36. Соединение по п.1, имеющее формулу
 или его фармацевтически приемлемая соль или сольват.
37. Соединение по п.1, имеющее формулу
 или его фармацевтически приемлемая соль или сольват.
38. Соединение по п.1, имеющее формулу
 или его фармацевтически приемлемая соль или сольват.
39. Соединение по п.1, имеющее формулу
 или его фармацевтически приемлемая соль или сольват.
40. Соединение по п.1, имеющее формулу
 или его фармацевтически приемлемая соль или сольват.
41. Соединение по п.1, имеющее формулу
 или его фармацевтически приемлемая соль или сольват.
42. Соединение по одному из пп.1-41, представляющее собой натриевую соль.
43. Соединение по одному из пп.1-41, представляющее собой кальциевую соль.
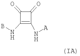
44. Применение соединения формулы IA:
 и его фармацевтически приемлемых солей, сольватов или изомеров, где А выбран из группы, включающей: (1)
, , ,
, , ,
, , , ,
, , ,
, , ,
, , ,
, , ,
, , ,
,
,
, , ,
, , ,
, и  (2)
, , ,
, , 
, , , 
, , ,
, , ,
, , 
, , ,
и  где приведенные выше циклы в указанных группах А содержат от 1 до 6 заместителей, каждый из которых независимо выбран из группы, содержащей группы R9; (3)
, , ,
, ,
, ,
, и
, где один или оба из приведенных выше циклов в указанных группах А содержат от 1 до 6 заместителей, каждый из которых независимо выбран из группы, содержащей: группы R9; (4)
, и , где приведенные выше фенильные циклы в указанных группах А содержат от 1 до 3 заместителей, каждый из которых независимо выбран из группы, содержащей: группы R9; и (5)
, , ,
, , ,
, и ; В означает группу
, ,
, , ,
, , ,
, ,
и ; n равно от 0 до 6; р равно от 1 до 5; Х означает О, NH или S; z равно от 1 до 3; R2 означает ОН; R3 выбран из группы, включающей: -C(O)NHR17 -C(O)CONR13R14 и -C(O)NR13OR14; R4 выбран из группы, включающей: водород, цианогруппу, галоген, алкил, алкоксил, -ОН, -CF3, -OCF3, -NO2, -C(O)R13, -C(O)OR13, -C(O)NHR17, -C(O)NR13R14, -SO(t)NR13R14, -SO(t)R13, -C(O)NR13OR14, незамещенный или замещенный арил, незамещенный или замещенный гетероарил,
, , , где в указанной замещенной арильной группе имеется от 1 до 6 заместителей и каждый заместитель независимо выбран из группы, включающей: группы R9; и в указанной замещенной гетероарильной группе имеется от 1 до 6 заместителей и каждый заместитель независимо выбран из группы, включающей: группы R9; R5 и R6 являются одинаковыми или разными и независимо выбраны из группы, включающей водород, галоген, алкил, алкоксил, -CF3, -OCF3, -NO2, -C(O)R13, -C(O)OR13, -C(O)NR13R14, -SO(t)NR13R14, -С(O)NR13OR14, цианогруппу, незамещенную или замещенную арильную группу и незамещенную или замещенную гетероарильную группу, где в указанной замещенной арильной группе имеется от 1 до 6 заместителей и каждый заместитель независимо выбран из группы, включающей: группы R9; в указанной замещенной гетероарильной группе имеется от 1 до 6 заместителей и каждый заместитель независимо выбран из группы, включающей: группы R9; R7 и R8 независимо выбраны из группы, включающей: Н, незамещенный или замещенный алкил, незамещенный или замещенный арил, незамещенный или замещенный гетероарил, незамещенный или замещенный арилалкил, незамещенный или замещенный гетероарилалкил, незамещенный или замещенный циклоалкил, незамещенный или замещенный циклоалкилалкил, -СО2R13, -CONR13R14, алкинил, алкенил и циклоалкенил; и где в указанных замещенных группах R7 и R8 имеется один или большее количество заместителей и каждый заместитель независимо выбраны из группы, включающей: a) галоген, b) -CF3, c) -COR13, d) -OR13, e) -NR13R14, f) -NO2, g) -CN, h) -SO2OR13, i) -Si(алкил)3, где каждый алкил выбран независимо, j) -Si(арил)3, где каждый алкил выбран независимо, k) -(R13)2R14Si, где каждый R13 выбран независимо, l) -СО2R13, m) -C(O)NR13R14, n) -SO2NR13R14, o) -SO2R13, p) -OC(O)R13, q)-OC(O)NR13R14, r) -NR13C(O)R14, и s) -NR13CO2R14; R8a выбран из группы, включающей: водород, алкил, циклоалкил и циклоалкилалкил; радикалы R9 независимо выбраны из группы, включающей: a) -R13, b) галоген, c) -CF3, d) -COR13, e) -OR13, f) -NR13R14, g) -NO2, h) -CN, i) -SO2R13, j) -SO2NR13R14, k) -NR13COR14, l) -CONR13R14, m) -NR13CO2R14, n) -CO2R13, o) , р) алкил, содержащий в качестве заместителей одну или большее количество (например, одну) группу -ОН (например, -(CH2)qOH, где q равно 1-6, обычно от 1 до 2, а предпочтительно -1), q) алкил, содержащий в качестве заместителей одну или большее количество (например, одну) группу -NR13R14 (например, -(CH2)qNR13R14, где q равно 1 – 6, обычно от 1 до 2, а предпочтительно -1), и r) -N(R13)SO2R14 (например, R13 означает Н и R14 означает алкил, такой как метил); R10 и R11 независимо означают водород, алкил (например, C1-С6алкил, как метил), галоген, CF3, OCF3, NR13R14, NR13C(O)NR13R14, ОН, C(O)OR13, SH, SO(t)NR13R14, SO2R13, NHC(O)R13, NHSO2NR13R14, NHSO2R13, C(O)NR13R14, C(O)NR13OR14, OC(O)R13 и цианогруппу; R12 выбран из группы, включающей: водород, -C(O)OR13, незамещенную или замещенную арильную, незамещенную или замещенную гетероарильную, незамещенный или замещенный арилалкил, незамещенную или замещенную циклоалкильную, незамещенную или замещенную алкильную, незамещенную или замещенную циклоалкилалкильную и незамещенную или замещенную гетероарилалкильную группу; где в замещенных группах R12 имеется от 1 до 6 заместителей и каждый заместитель независимо выбран из группы, включающей: группы R9; R13 и R14 независимо выбраны из группы, включающей: Н, незамещенный или замещенный алкил, незамещенный или замещенный арил, незамещенный или замещенный гетероарил, незамещенный или замещенный арилалкил, незамещенный или замещенный гетероарилалкил, незамещенный или замещенный циклоалкил, незамещенный или замещенный циклоалкилалкил, незамещенный или замещенный гетероцикл, незамещенный или замещенный фторалкил и незамещенный или замещенный гетероциклоалкилалкил, где в указанных замещенных группах R13 и R14 имеется от 1 до 6 заместителей и каждый заместитель независимо выбран из группы, включающей: алкил, -CF3, -ОН, алкоксил, арил, арилалкил, фторалкил, циклоалкил, циклоалкилалкил, гетероарил, гетероарилалкил, -N(R40)2, -C(O)OR15, -C(O)NR15R16, -S(O)tNR15R16, -C(O)R15, -SO2R15 при условии, что R15 означает не Н, галоген и -NHC(O)NR15R16; или R13 и R14, взятые совместно с атомом азота, к которому они присоединены в группах -NR13R14, -C(O)NR13R14, -SO2NR13R14, -OC(O)NR13R14, -CONR13R14, -NR13C(O)NR13R14, -SOtNR13R14, -NHSO2NR13R14, образуют незамещенное или замещенное насыщенное гетероциклическое кольцо, указанное кольцо необязательно содержит один дополнительный гетероатом, выбранный из группы, включающей: О, S и NR18, где в замещенных циклизованных группах R13 и R14 имеется от 1 до 3 заместителей и все заместители независимо выбраны из группы, включающей: алкил, арил, гидроксил, гидроксиалкил, алкоксил, алкоксиалкил, арилалкил, фторалкил, циклоалкил, циклоалкилалкил, гетероарил, гетероарилалкил, аминогруппу, -C(O)OR15, -C(O)NR15R16, -StNR15R16, -C(O)R15, -SO2R15 при условии, что R15 означает не Н, -NHC(O)NR15R16, -NHC(O)OR15, галоген и гетероциклоалкенильную группу; R15 и R16 независимо выбраны из группы, включающей: Н, алкил, арил, арилалкил, циклоалкил и гетероарил; R17 выбран из группы, включающей: -SO2алкил, -SO2арил, -SO2циклоалкил и -SO2гетероарил; R18 выбран из группы, включающей: Н, алкил, арил, гетероарил, -C(O)R19, -SO2R19 и -C(O)NR19R20; R19 и R20 независимо выбраны из группы, включающей: алкил, арил и гетероарил; R30 выбран из группы, включающей: алкил, циклоалкил, -CN, -NO2 и -SO2R15 при условии, что R15 не означает Н; радикалы R31 независимо выбраны из группы, включающей: незамещенный или замещенный алкил, незамещенный или замещенный арил, незамещенный или замещенный гетероарил и незамещенный или замещенный циклоалкил; где в замещенных группах R31 имеется от 1 до 6 заместителей и каждый заместитель независимо выбран из группы, включающей: группы R9; радикалы R40 независимо выбраны из группы, включающей: Н, алкил и циклоалкил; и t равно 0, 1 или 2; причем “алкил” и “алкокси” включают от 1 до 20 атомов углерода, если не указано другое, “алкенил” включает от 2 до 20 атомов углерода, если не указано другое, “алкинил” включает от 2 до 15 атомов углерода, если не указано другое, “арил” включает от 6 до 14 атомов углерода, “циклоалкил” и “циклоалкенил” включают от 3 до 10 атомов углерода, “гетероарил” включает от 5 до 14 циклических атомов, причем один или большее количество атомов циклической системы выбраны, по отдельности или в комбинации, из азота, кислорода и серы, или соединения по одному из пп.1-43 для приготовления лекарственного средства для лечения заболевания, опосредуемого СХС-хемокином, выбранного из группы, включающей псориаз, атопический дерматит, угри, астму, хроническое обструктивное заболевание легких, респираторное заболевание взрослых, артрит, воспалительное заболевание кишечника, болезнь Крона, язвенный колит, септический шок, эндотоксический шок, грамотрицательный сепсис, синдром токсического шока, удар, реперфузионное поражение сердца и почек, гломерулонефрит или тромбоз, болезнь Альцгеймера, реакцию “трансплантант против хозяина”, отторжение аллотрансплантата, муковисцидоз, малярию, острый респираторный дистресс-синдром, аллергическую реакцию замедленного типа, атеросклероз и ишемию головного мозга и сердца, и рак.
45. Применение по п.44, отличающееся тем, что в случае приготовления лекарственного средства для лечения рака соединение формулы (1А) или соединение по одному из пп.1-43 используют в комбинации с дополнительным противораковым агентом.
46. Применение по п.45, отличающееся тем, что противораковый агент выбран из группы, включающей алкилирующие агенты, антиметаболиты, природные продукты и их производные, гормоны, антигормоны, противоангиогенезные агенты и стероиды и синтетические препараты.
47. Применение по одному из пп.45-46, в котором подвергающимися лечению раком является меланома, рак желудка или немелкоклеточный рак легких.
48. Применение соединения формулы (IA), указанной в п.44, или соединения по одному из пп.1-43 для приготовления лекарственного средства для ингибирования ангиогенеза.
49. Применение по п.48, отличающееся тем, что соединение формулы (IA) или соединение по одному из пп.1-43 используют в комбинации с дополнительным, по меньшей мере, одним противоангиогенезным агентом.
50. Фармацевтическая композиция, обладающая свойствами лиганда рецепторов CXCR1- и/или CXCR2-хемокина, содержащая фармацевтически приемлемый носитель и соединение формулы (IA), указанной в п.44, или соединение по одному из пп.1-43 в эффективном количестве.
РИСУНКИ
TH4A – Переиздание описания изобретения к патенту Российской Федерации
Причина переиздания: Коррекция в тексте формулы изобретения
Извещение опубликовано: 20.05.2009 БИ: 14/2009
|
|