|
(21), (22) Заявка: 2006125486/28, 17.07.2006
(24) Дата начала отсчета срока действия патента:
17.07.2006
(43) Дата публикации заявки: 27.01.2008
(46) Опубликовано: 10.01.2009
(56) Список документов, цитированных в отчете о поиске:
SU 1806358 A3, 30.03.1993. SU 966569 А, 15.10.1982. RU 2164681 C1, 27.03.2001. US 4687343 А, 18.08.1987.
Адрес для переписки:
344090, г.Ростов-на-Дону, пр-кт Стачки, 194, оф.602, “Научный производственно-технологический центр ОКТАЭДР”, В.В. Белозерову
|
(72) Автор(ы):
Белозеров Валерий Владимирович (RU), Белозеров Владимир Валерьевич (RU), Босый Сергей Иванович (RU), Панченко Евгений Михайлович (RU), Удовиченко Юрий Иванович (RU)
(73) Патентообладатель(и):
Общество с ограниченной ответственностью “Научный производственно-технологический центр ОКТАЭДР” (RU)
|
(54) СПОСОБ СИНХРОННО-СОПРЯЖЕННОГО ТЕРМИЧЕСКОГО АНАЛИЗА ВЕЩЕСТВ И МАТЕРИАЛОВ И УСТАНОВКА ДЛЯ ЕГО ОСУЩЕСТВЛЕНИЯ
(57) Реферат:
Изобретение относится к области термического анализа. В изобретении синхронно сопрягают термогравиметрию, термодилатометрию и дифференциально-термический анализ со способом электрометрии образца, которые выполняются одновременно в два последовательных этапа – в термокриостате, а затем в электропечи – на каждой из трех макронавесок образца. Образец размещают в керамическом тигле-электродилатометре, который установлен на аналитические весы и содержит тепловой и электрический сенсоры, включенные в компьютер, и помещают в герметизируемый источник тепла-холода, создающий режим адаптивного термобароциклирования, а затем – в герметизируемую электропечь, создающую режим адаптивного термобаронагружения. Технический результат – определение массы, линейного размера и плотности образца, коэффициентов его линейного расширения, теплопроводности и температуропроводности, теплоемкостей, диэлектрической и магнитной проницаемостей, а также повышение точности и достоверности определения механических и электрических параметров, соответствующих термодинамических потенциалов и критериев подобия веществ и материалов в эксплуатационном диапазоне температур. 2 н. и 10 з.п. ф-лы, 7 ил.
Ведущие фирмы мира в области термического анализа (ТА) веществ и материалов (Du Pont, Perkin Elmer, NETZSCH) выпускают установки ТА, реализующие по отдельности термогравиметрию (ТГ) с дифференциальной термогравиметрией (ДТГ), термодилатометрию (ТД) с дифференциальной термодилатометрией (ДТД), дифференциально-термический анализ (ДТА), дифференциально-сканирующую калориметрию (ДСК), а также определение теплопроводности и диэлектрический анализ (ДЭА), метод лазерного импульса, термомеханический (ТМА) и динамический механический анализ (ДМА) [www.ngb.netzsch.com/russian/html/products/].
1. Аналоги и прототип
Известны способы синхронного термического анализа (СТА) и установки-аналоги, объединяющие в одном измерении ТГ и ДТГ с ДТА или с ДСК, ТД и ДТД с ДТА, в том числе используемые для определения основных показателей (табл.1) пожарной опасности веществ и материалов [Молчадский О.И., Смирнов Н.В., Дудеров Н.Г. Оценка теплофизических характеристик и прогноз пожарной опасности строительных материалов с помощью методов термического анализа – в сб. мат-лов XV науч.-практ. конф. «Проблемы горения и тушения пожаров на рубеже веков» /Ч.1/, М., ВНИИПО, 1999, с.170-172].
Установки СТА, или дериватографы, позволяющие совмещать 2 или 3 из перечисленных способов, немногочисленны и исследуют микронавески веществ и материалов (далее образцов). В связи с этим они не являются метрологически аттестуемыми по методологическим причинам (при подготовке микропроб дисперсность материалов не является характерной для всего материала и ее невозможно воспроизвести повторно, в качестве эталона используется произвольная навеска инертного вещества), что приводит к разбросам получаемых определяемых параметров от образца к образцу до 100% [Уэндланд У. Термические методы анализа, М., Мир, 1978, 526 с.; Бубнова Р.С., Филатов С.К., Фотиев А.А. Термический анализ и фазовые равновесия, Пермь, Изд. ПГУ. 1988, 155 с.].
| Таблица 1. |
| Способы ТА и определяемые параметры и показатели |
| Показатель |
Применяемость |
| Обозначение |
ГОСТ 12.1.044 (МЭК-79, ИСО 1182) |
способ ССТА |
Способы термического анализа |
| ТГ |
ДТГ |
ДТА |
ДСК |
ДМ |
ДЭА |
ДМА |
ТМА |
ССА |
СТА |
| Группа горючести (по убыли массы) |
1, 2, 3 |
+ |
+ |
+ |
+ |
– |
– |
– |
– |
– |
– |
– |
+ |
| Температура воспламенения |
Тв |
+ |
+ |
– |
– |
– |
– |
– |
– |
– |
– |
+ |
+ |
| Температура самовоспламенения |
Тсв |
+ |
+ |
– |
– |
– |
– |
– |
– |
– |
– |
+ |
+ |
| Температура тления |
Ттл |
+ |
+ |
– |
– |
– |
– |
– |
– |
– |
– |
– |
– |
| Условия теплового самовозгорания |
tсв |
+ |
+ |
– |
– |
– |
– |
– |
– |
– |
– |
– |
– |
| Кислородный индекс |
КИ |
+ |
+ |
+ |
+ |
– |
– |
+ |
– |
– |
– |
– |
+ |
| Способность гореть при взаимодействии с кислородом и др. вещ. |
– |
+ |
+ |
– |
– |
+ |
+ |
– |
– |
– |
– |
– |
– |
| Коэффициент дымообразования |
Dm |
+ |
* |
– |
– |
– |
– |
– |
– |
– |
– |
– |
– |
| Индекс распространения пламени |
I |
+ |
+ |
– |
– |
– |
– |
– |
– |
– |
– |
– |
– |
| Показатель токсичности продуктов горения |
HCL50 |
+ |
** |
– |
– |
– |
– |
– |
– |
– |
– |
+ |
– |
| Примечание: “+” – определяется |
| “-” – не определяется |
| “*” – при сопряжении с лазерной подсистемой |
| “**” – при сопряжении с ИК-Фурье спектрометрией отходящих газов по методике В.Н.Павлова |
К недостаткам названных аналогов относятся: во-первых, определение ДТГ аналитическим вычислением производной от измеряемой ТГ, а не независимым измерительным каналом (например, весами с датчиком Холла); во-вторых, синхронизация ТГ и ДТГ или с ДСК, или с ДТА, но не с обоими вместе (это же касается синхронизации ТД и ДТД); в-третьих, и это главное – отсутствие синхронизации дилатометрии с термогравиметрией, что не позволяет получить необходимые параметры на одной навеске образца без описываемых далее приближений.
В связи с вышеизложенным за прототипы заявляемого способа ССТА и установки, его реализующей, принят способ СТА [Дериватограф системы Ф.Паулик, Й.Паулик, Л.Эрдеи / Теоретические основы, Будапешт, Венгрия, ВОЗ, 1974, 146 с.] и установка DERIVATOGRAF-1500 [Инструкция по эксплуатации ДЕРИВАТОГРАФА-1500 / ИЭ 3427-0003-74-68/, Будапешт, Венгрия, ВОЗ, 1974, 116 с.], в которой ТГ реализована аналитическими весами с максимальной навеской 9 г, ДТГ реализована датчиком Холла, ДТА реализована измерением разности температур образца и произвольной навески инертного вещества, ТД реализована с включением дилатационной приставки, устанавливаемой вместо тигля с навеской на аналитические весы, а ДТД – датчиком Холла и ДТА; обработка данных реализована на ПЭВМ.
2. Недостатки прототипа
Недостатки прототипа способа и установки, его реализующей, порождены методологическими приближениями, поэтому опишем их раздельно.
2.1. Недостатки способа
Классическая снхронизация методов ТГ, ДТГ и ДТА основана на измерении массы исследуемого образца и разности температур между образцом и эталонным (инертным) веществом, которая возникает из-за выделения или поглощения тепла в образце, что позволяет вычислить энтальпию (Н) из уравнения теплового баланса [Дериватограф системы Ф.Паулик, Й.Паулик, Л.Эрдеи / Теоретические основы, Будапешт, Венгрия, ВОЗ, 1974, с.77-83]:

где m – убыль массы образца в текущий момент времени;
dH/dt – изменение энтальпии (поглощаемой/выделяемой теплоты) в ед. времени;
m – коэффициент теплопроводности образца;
Т0 – температура печи в текущий момент времени;
Тm – температура образца в текущий момент времени;
mm – масса образца в начальный момент времени;
Cm – удельная теплоемкость образца;
(Тm -Тm) – приращение температуры образца в текущий момент времени.
В качестве эталона используется произвольная навеска порошка Al2О3, у которого масса, теплопроводность и теплоемкость практически постоянны в измеряемом диапазоне температур (20-900°С). Поэтому для инертного вещества имеет место равенство:

где обозначения применяются как в формуле 1, а индекс m параметра образца заменен на индекс i параметра эталона.
Первое некорректное приближение существующего способа заключается в том, что считают одинаковыми массы и теплоемкости образца и эталона, в результате чего объединением формул (1) и (2) получают уравнение:

Второе некорректное приближение существующего способа заключается в приравнивании коэффициентов теплопроводности образца и эталона, что дает основное уравнение способа:
или 
Третье некорректное приближение – отсутствие компенсации “нулевой линии” кривой ДТА, т.к. по площади пика (интегрированием уравнения 4) вычисляется энтальпия образца в пределах времени от t1 до t2, что приводит к указанным погрешностям:

Эти приближения используются и при работе с дилатационной приставкой на DERIVATOGRAF-1500, и при реализации ТД, ДТД и ДТА. При этом ссылки на возможность «синхронного представления» в одних и тех же координатах полученных данных ТГ с ДТГ и ТД с ДТД на разных образцах (первого – в тигле на весах, а второго – на дилатационной приставке) [Инструкция по эксплуатации ДЕРИВАТОГРАФА-1500 /ИЭ 3427-0003-74-68/, Будапешт, Венгрия, ВОЗ, 1974, с.93-96] не являются достаточными для достоверных аналитических расчетов и выводов, но подтверждают необходимость синхронизации ТГ с ДТГ и ТД с ДТД на одном образце.
2.2. Недостатки установки
Указанные методологические приближения способа привели к упрощению конструкторских решений и породили следующие применительные ограничения установки:
– невозможность одновременного проведения термогравиметрии и термодилатометрии, т.е. синхронизации ТГ и ДТГ с ТД и ДТД,
– невозможность проведения анализа в области отрицательных температур (при отсутствии криостата),
– невозможность изменения давления на образец при взвешивании (при негерметичности электропечи),
– невозможность калибровки измерительных трактов в процессе термонагружения,
– низкое разрешение аналитических весов (1 миллиграмм на 9 г).
3. Цель и основные задачи способа ССТА и установки, его реализующей
3.1. Целью изобретения является создание способа ССТА и установки, его реализующей, позволяющих:
– повысить достоверность и точность определения всех основных термоаналитических параметров образца (табл.1, 2) на одной установке, а также при термобароциклировании в термокриостате (т.е. при его ускоренном «старении»),
– получить дополнительные физико-химические параметры, в т.ч. их изменения при ускоренном «старении» образца (табл.2),
– получить на одной установке и на макронавесках образцов все основные и дополнительные показатели пожарной опасности веществ и материалов, в т.ч. при их ускоренном «старении».
3.2. В рамках настоящего изобретения решены следующие задачи (в т.ч. устранены вышеизложенные недостатки аналогов и прототипа).
3.2.1. Повышение точности и достоверности определения основных и дополнительных ТА-параметров путем снятия указанных приближений и ограничений за счет синхронной реализации на макронавесках образцов ТГ с ДТГ и ТД с ДТД.
3.2.2. Получение дополнительных термодинамических и электрофизических параметров образца за счет электрометрии (ЭМ), которая позволяет реализовать ДЭА и электромагнитный анализ образца (ЭМА).
3.2.3. Получение дополнительных механических и термодинамических параметров образца, а также его термостойкости и основных показателей пожарной опасности (табл.1), в т.ч. при ускоренном «старении» образца, за счет его адаптивного термобароциклирования в термокриостате и адаптивного термобаронагружения в электропечи, что позволяет реализовать ТМА и ДМА образца.
3.2.4. Повышение точности и достоверности получения показателей пожарной опасности образца и определение дополнительных показателей (в табл.2 выделены жирным шрифтом), в т.ч. влияющих на пожарную безопасность и устойчивость веществ и материалов и изделий из них при эксплуатации, что не может быть получено стандартными методами определения пожаровзрывоопасности [ГОСТ 12.1.044 (МЭК 79-4; ИСО 1182) ССБТ. Пожаровзрывоопасность веществ и материалов. Номенклатура показателей и методы их определения, М., Изд-во стандартов, 1990, 143 с.], существующими методами и установками ТА.

4. Методология реализации способа (в т.ч. способы снятия погрешностей прототипа и способов-аналогов)
4.1. Синхронизация ТГ, ДТГ, ТД и ДТД реализуется благодаря размещению макронавески образца в керамическом тигле-электродилатометре (ТЭД) на керамическом штоке (фиг.1), установленного на весы, помещаемого в герметизируемый источник тепла/холода. В случае вакуумирования, зная толщину образца, можно определить его коэффициент теплопроводности, решая уравнение теплового потока, проходящего через поверхность верхней обкладки образца (устраняя, таким образом, первое и второе некорректные допущения в способе-прототипе):

где – коэффициент теплопроводности образца;
l – толщина образца;
 – относительная излучающая способность верхней обкладки образца;
С0 – коэффициент лучеиспускания абсолютно черного тела;
Tс – температура системы обкладок образца (крышки тигля и верхней обкладки);
Тп – температура образца;
Sво – площадь верхней обкладки образца.
Для регистрации особых точек (нано-, микро- и макроструктурных изменений в образце) вычисляется и строится кривая дифференциальной теплопроводности d .
Здесь же, измеряя изменение температуры источника тепла/холода и используя текущее значение массы образца (из ТГ), вычисляется теплоемкость образца по уравнению (2) применительно к системе обкладок образца, выполняющих в данном случае функцию «эталона из инертного вещества» (верхняя молибденовая обкладка образца-вакуум-молибденовая крышка тигля):

где Ср – теплоемкость образца в текущий момент;
m – масса образца в текущий момент;
T – изменение температуры источника тепла/холода в текущий момент, а остальные обозначения те же (формула 6).
Для регистрации особых точек (нано-, микро- и макроструктурных изменений в образце) вычисляется производная теплоемкости образца и строится кривая дифференциальной теплоемкости dCp.
Одновременно, используя данные ТГ и ТД, с учетом стабильности линейных размеров тигля, определяется плотность образца:

где – плотность образца;
SТЭД – площадь внутреннего горизонтального сечения ТЭД;
остальные обозначения как в формулах (1-7).
Для регистрации особых точек вычисляется и строится кривая дифференциальной плотности образца d .
Далее, используя данные ДТД, вычисляется изобарный коэффициент расширения как отношение изменения толщины образца к его объему:

где – изобарный коэффициент расширения образца;
l – изменение линейного размера образца.
После чего по полученным значениям вычисляется коэффициент температуропроводности образца – а:

где все обозначения как в формулах (1-9).
Тогда, помимо точного определения Ср, и m образца и корректного решения уравнения теплового баланса (формула 1), осуществляется корректное определение энтальпии Н и ее изменения Н благодаря точной фиксации (по точкам экстремумов производной Ср) пределов интегрирования (модифицированного соответственно уравнения 5), чем компенсируется третье приближение способа-прототипа (названное отсутствием компенсации “нулевой линии”). При этом получение точных значений параметров образца (формулы 6-10) позволяет определить критерии подобия (число Фурье – Fo и число Био – Bi) и построить кривые их изменения от температуры и времени на предмет регистрации и идентификации нано-, микро- и макроструктурных изменений в образце:


где все обозначения как в формулах (1-10).
Реализация изложенной методологии стала возможной благодаря созданию оригинальной измерительной ячейки способа ССТА – тигля-электродилатометра ТЭД (фиг.1), который организует тепловой поток с одного направления (крышка тигля – верхняя обкладка образца – образец – нижняя обкладка), т.к. корпус ТЭД изготавливается из нитридной керамики, теплопроводность которой составляет 1,5 Вт/м·К, а крышка, верхняя и нижняя обкладки, между которыми помещается образец, изготавливаются из молибдена, теплопроводность которого в 100 раз выше (151 Вт/м·К). Таким образом, основной тепловой поток на образец формируется через верхнюю обкладку с одного направления – сверху, остальные направления теплоизолируются керамикой и погрешности, вносимые тепловыми потоками с боковой и нижней поверхностей ТЭД, не превышают 1%. Калибровка теплового потока, помимо прецизионных схемных решений контроля за напряжением, током и температурой источника тепла/холода, заключается в вакуумировании (до 0,001 МПа) его рабочего объема, в который помещается ТЭД, что оставляет только один способ теплообмена – излучением (формула 6). При этом погрешность в определении (меньше 1%) компенсируется вычислением по той же формуле (6) теплового потока в образец через боковую поверхность Sб при толщине lc и теплопроводности с стенки ТЭД.
4.2. Синхронно-сопряженная электрометрия
В связи с тем, что все вещества и материалы условно делятся по своей электропроводности на диэлектрики, проводники и полупроводники, толщина образца в ТЭД определяется по различным эквивалентным схемам (приведенным на фиг.2 и фиг.3), спаренным RXC-электродилатометром, образованным указанными элементами ТЭД, соединенными соответствующими проводниками (проходящими через керамический шток) с цифровым измерителем иммитанса, управляемым компьютером по интерфейсу RS-232.
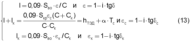
Для диэлектриков эквивалентная схема представляет собой (фиг.2) систему из двух последовательно соединенных конденсаторов (нижняя обкладка – образец – верхняя обкладка и верхняя обкладка – вакуум – крышка). Эта система с «передвигающейся» обкладкой, лежащей на поверхности образца, позволяет регистрировать изменения линейного размера образца (толщины) с разрешением не хуже 1 мкм/град, обусловленным практически одинаковыми температурными коэффициентами линейного расширения (ТКЛР) нитридной керамики и молибдена ( КТД 5·10-6 К-1). При этом, в отличие от известного устройства [А.С. 1318895 И.К.Камилов, Х.К.Алиев, Я.М.Шахабутинов. Емкостный дилатометр, Бюл. №23, 23.06.87], ТЭД обеспечивает прямое измерение шести «зависимых от образца» параметров (3 емкости и 3 тангенса угла потерь), из которых определяется линейный размер l образца (из емкости) и его диэлектрическая проницаемость – (из tg ):

где l – толщина образца в ТЭД;
Sво – площадь верхней (меньшей) обкладки образца;
– диэлектрическая проницаемость образца;
С – емкость между обкладками с образцом;
i – мнимая единица;
tg – тангенс угла потерь емкости с образцом;
lк – расстояние от верхней обкладки до крышки;
Ск – емкость между обкладкой и крышкой;
к – диэлектрическая проницаемость вакуума;
tg к – тангенс угла потерь емкости с вакуумом;
hТЭД = const+ ·Тс – высота по внутреннему вертикальному сечению ТЭД;
Tc – температура системы обкладок;
Sкр – площадь крышки (см);
с – диэлектрическая проницаемость системы (образец + пространство до крышки);
tg c – тангенс угла потерь системы.
Для точного определения линейного размера образца – l (толщины диэлектрика в «измерительном конденсаторе» ТЭД, в котором, в зависимости от температуры и давления, происходят изменения нано-, микро- и макроструктуры образца, изменяющие ) [Белозеров В.В. Температурные аномалии диэлектрических свойств композитов типа «полимер-керамика» – в сб. мат. XV Всерос. конф. по физике сегнетоэлектриков /BKC-XV/, Ростов н/Д, РГУ, 1999, с.221] требуются соответствующие итерации при решении уравнений (13).
Таким образом, в отличие от устройства косвенного измерения [Патент РФ 93025898, Дикун А.Д., Фишман В.Я., Суханов М.А., Нагорняк И.Н., Герасимов Б.С., Арзуманов И.А. Дифференциальный объемный дилатометр, 1995.09.20], непосредственное измерение позволяет построить двухмерные зависимости и tg образца от температуры Т и частоты , т.е. помимо ТД и ДТД провести его диэлектрический анализ (ДЭА), решая систему уравнений (13) с технически обоснованным для каждого применения шагом в интервале частот от 25 Гц до 1 МГц.
Для проводника или полупроводника эквивалентная схема представлена на фиг.3. Вместо емкости с образцом измеряется его проводимость G, активное сопротивление R, реактивное сопротивление X, модуль комплексного сопротивления Z и угол фазового сдвига комплексного сопротивления , и система уравнений принимает следующий вид:

где R – активное сопротивление образца;
SТЭД – площадь горизонтального сечения образца (тигля);
– удельное сопротивление образца;
остальные обозначения как в формулах (1-13).
Возможность измерителя иммитанса программно изменять частоты измерений параметров образца в ТЭД (G, Z, , С и tg ) в широком диапазоне обеспечивает определение двухмерных зависимостей магнитной проницаемости образца от температуры Т и частоты решением уравнений импеданса:


где Z – измеренное значение комплексного сопротивления;
G – измеренное значение проводимости;
0 – магнитная постоянная;
– частота измерения,
остальные обозначения как в формулах (1-14).
Циклическое измерение индуктивности L образца и определение указанных выше параметров дает возможность вычисления следующих критериев гомохронности (критериев подобия):





где t – время;
L – измеренное значение индуктивности;
остальные обозначения как в формулах (1-16).
По взаимной корреляции критериев подобия (17-21) с предыдущими параметрами осуществляется идентификация нано-, микро- и макроструктурных изменений в образце (поляризация, полиморфные превращения, термодеструкция и т.д.):
4.3. Термобароциклирование и термобаронагружение
При исследовании надежности и долговечности конструкционных материалов и при испытаниях изделий из них используются термостаты, криостаты, термобарокамеры и способы термоциклирования и термобаронагружения в них соответственно, в т.ч. для ускоренных испытаний [Буловский П.И., Зайденберг М.Г. Надежность приборов систем управления /Справоч. пособ./, Л., Машиностроение, 1975, с.266-273, с.289-298].
В заявляемом способе ССТА в рабочем объеме источника тепла/холода реализуется адаптивный режим термобароциклирования (от минус 50°С до плюс 50°С, в термокриостате) и термобаронагружения (от 20°С до 835°С в электропечи) образца в интервале давлений Р (от 0,001 МПа до 1 МПа) с технически обоснованным шагом. Это позволяет реализовать квазиизотермические и квазиизобарические участки в окрестностях «особых точек» (нано-, микро- и макроструктурных изменений), что повышает точность и достоверность определения изменений в этих точках приведенных параметров.
Адаптивность режима заключается в изменении давления скачком или линейно на квазиизотермических участках и в линейном изменении температуры на квазиизобарических участках, что реализуется прецизионной схемой контроля и управления термокриостатом и электропечью – программно-логическим автоматом (ПЛА) под управлением компьютера.
Это позволяет определить и вычислить все калорические и термические коэффициенты образца и построить их зависимости от изменения давления P и температуры Т:








где CV – теплоемкость при постоянном объеме;
dQV – изменение тепла при постоянном объеме (Т – температуре, Р – давлении);
dT – изменение температуры (V – объема, Р – давления);
– коэффициент изотермического изменения внутренней энергии;
СР – теплоемкость при постоянном давлении;
h – теплота изотермического возрастания давления;
– коэффициент изобарического изменения внутренней энергии;
– теплота изохорического возрастания давления;
– изотермический коэффициент сжатия;
– изохорный коэффициент давления.
После получения коэффициентов (22-29) определяется энтропия образца S при температуре Т и давлении Р:

где S (Po,To) – энтропия образца при Т=То, а интегрирование проводится по отдельным температурным интервалам (j), где нет фазовых переходов первого рода (i);
индекс ф.п. – расшифровывается как «фазовый переход»;
остальные обозначения как в формулах (1-21).
Одновременно, используя данные ДТД и связь с модулем объемной упругости (К=1/ ), вычисляются остальные модули упругости, а также определяется второй критерий подобия упругих деформаций, равный gl/E:





где Е – модуль Юнга;
G – модуль сдвига;
– коэффициент Пуассона;
 ,  – постоянные Ламе;
остальные обозначения как в формулах (1-30).
Технология термобароциклирования во времени (фиг.4) позволяет годовой цикл эксплуатации образца (8760 часов) имитировать функционированием в оговоренных режимах с колебаниями температур в диапазоне эксплуатации от «полюса до экватора» и давлений – от земных до ионосферных за 11 часов, т.е. почти в 800 раз быстрее. При этом проявляются и повышение пожарной опасности, и понижение показателей прочности «состарившихся» материалов, что существующими стандартными методами не определяется.
4.4. Горючесть и пожарная опасность
4.4.1. Заявляемый способ ССТА и установка, его реализующая, позволяют определить показатели (табл.1) пожарной опасности и исходного образца, и «состаренного», а также все дополнительные (табл.2 – показатели, выделенные жирным шрифтом) с использованием основных параметров образца по нижеследующим формулам и уравнениям.
4.4.2. Группа горючести образца определяется в соответствии с указанным (табл.2) стандартом по относительной убыли массы образца по времени (в процентах):
1 – негорючие: при нагревании образца в электропечи с температурой, равной 750°С, в течение 30 минут, убыль массы образца составляет не более 50%, при разности температуры образца и электропечи не более 50°С, при времени его горения от 0 с до 10 с;
2 – трудногорючие: при нагревании образца в электропечи с температурой, равной 200°С, в течение 5 минут, убыль массы образца составляет не более 60%, при разности температуры образца и электропечи не более 60°С;
3 – горючие:
трудновоспламеняемые – при нагревании образца в электропечи с температурой, равной 200°С, в течение 5 минут, убыль массы образца составляет более 60%, при разности температуры образца и электропечи более 60°С, при времени достижения указанной разности температур более 4 минут;
средней воспламеняемости – при нагревании образца в электропечи с температурой, равной 200°С, в течение 5 минут, убыль массы образца составляет более 60%, при разности температуры образца и электропечи более 60°С, при времени достижения указанной разности температур от 0,5 до 4 минут;
легковоспламеняемые – при нагревании образца в электропечи с температурой, равной 200°С, в течение 5 минут, убыль массы образца составляет более 60%, при разности температуры образца и электропечи более 60°С, при времени достижения указанной разности температур менее 0,5 минуты.
4.4.3. Температура размягчения Тр определяется как значение T1 (фиг.7), в котором фиксируется изменение плотности образца как 1-й экстремум d (T), после которого наступает экстремум dl(T) при скачкообразном уменьшении коэффициента теплопроводности (Т).
4.4.4. Температура плавления Тпл определяется как значение Т2 (фиг.7), в котором dl(T)=0 и d (T)=0 после 1-го экстремума.
4.4.5. Температура тления (Ттл) определяется как среднее значение между Т3 экстремума убыли массы dm(T), T4 – 2-го экстремума dl(T) и 2-го экстремума d (T).
4.4.6. Температура самовоспламенения (Тсв), которая равна температуре воспламенения (Твс), в отличие от указанного стандарта, определяется путем совместного решения системы неравенств Зельдовича и Семенова в точке воспламенения (Se=1/e), которая фиксируется в окрестности Т7 (фиг.7) – 3-го экстремума производной d (T), как среднее значение T7 и T6, T8, T9 – 3-го, 4-го и 5-го экстремумов dl(T), в интервале окончания убыли массы образца от Т3 до Т9 [dm(T) имеет минимум, стремящийся к 0], до скачкообразного уменьшения коэффициента теплопроводности (Т):

где Ze – критерий Зельдовича (критическая плотность теплового потока);
– текущий коэффициент теплопроводности образца;
R – газовая постоянная;
Т – температура образца;
Еа – энергия активации деструкции и пиролиза образца;
Н – тепловой эффект реакции (энтальпия образца);
K – предэкспонент;
Se – критерий Семенова (критерий теплового взрыва);
Q – теплота, подведенная к образцу;
V – текущий объем образца;
S – текущая площадь поверхности образца;
– текущий коэффициент теплоотдачи образца.
4.4.7. Число Сполдинга (мера интенсивности горения – В) определяется как максимум на кривой ДТГ в интервале температур Тсв<Т<Тмакс по формуле:

где В – число Сполдинга;
Тмакс – температура полного выгорания (температура образования коксового остатка Т10 – фиг.7);
Тсв – температура самовоспламенения;
dm/dt – массовая скорость горения.
4.4.8. Теплота сгорания (Qсг) определяется как энтальпия (формула 1) экзотермической стадии в интервале температур Тсв<Т<Тмакс.
4.4.9. Кислородный индекс (КИ) определяется как средняя величина между приближениями Ван Кревелена и Джонсона:
, 
где КИ – кислородный индекс = [O2]/([O2]+[N2]) – объемные доли кислорода и азота в предельной смеси,
КО – коксовый остаток образца в процентах,
Qсг -удельная теплота сгорания.
4.4.10. Термостойкость образца (Тт, Чц), в зависимости от класса, определяется характеристической температурой (например, ползучести, перехода из хрупкого в пластичное состояние, деструкции) и предельным числом термоциклов в эксплуатационном диапазоне температур, после которых образец утрачивает характеристический показатель (например, теряет установленную прочность или изоляционную способность).
По изложенному характеристической температурой пожарной опасности образца является средняя температура Тт между первым и вторым максимумом тангенса угла потерь в образце (Тт1 и Тт2 – фиг.7), а число циклов определится как отношение разности температуры плавления или начала убыли массы (T1 – фиг.7) и полученной средней температурой Тт к изменению средней за один цикл Тт:
1-й цикл – 
2-й цикл – ; 

где Тт – температурный параметр термостойкости (в т.ч. в 1-м цикле);
Тт1 – температура 1-го максимума tg образца;
Тт2 – температура 2-го максимума tg образца;
*Тт – температурный параметр термостойкости во 2-м цикле;
Тт – изменение среднего параметра Тт за цикл;
Чц – количество циклов термобароударов;
T1 – температура плавления (начала убыли массы образца).
4.4.11. Долговечность образца
В методологии способа ССТА используется понятие долговечности по ГОСТ 27.002 как среднего ресурса, обозначаемого tp, определяющего время достижения предельного характеристического параметра в течение срока эксплуатации (установленный параметр прочности, например модуль Юнга – Е, или теплоизоляционная способность, тогда коэффициент теплопроводности – и т.д.).
С точки зрения пожарной опасности веществ и материалов, характеристическим параметром является их горючесть (п.4.4.2) и термостойкость (п.4.4.10), поэтому tp определяется по формуле:

где 8760 – среднее количество часов в году;
tц – время одного термобароцикла испытаний (например, на фиг.6 – 11 часов).
Отношение 8760/tц является коэффициентом ускорения испытаний и обозначается Ку; Ку является характеристическим коэффициентом «старения» образца.
4.4.12. Вероятность пожара образца
В методологии способа ССТА используется понятие вероятности пожара по ГОСТ 12.1.004 как вероятности пожара образца в начале его эксплуатации Ро из условия, что при достижении предельного значения характеристического параметра по истечении его ресурса tp возможность пожара образца становится равновероятной (Ptp=0,5) и можно вычислить значение интенсивности пожара, логарифмируя уравнение Ptp=1-е tp:

после чего, подставляя полученное значение в то же уравнение, но с годовым ресурсом времени, получим:

5. Описание устройств и последовательности операций
5.1. Сущность изобретения поясняется эскизами, где:
– на фиг.1 приведен эскиз керамического тигля-электродилатометра (ТЭД);
– на фиг.2 приведена эквивалентная схема ТЭД при исследовании диэлектриков;
– на фиг.3 приведена эквивалентная схема ТЭД при исследовании полупроводников и проводников;
– на фиг.4 приведена блок-схема установки, реализующей способ ССТА;
– на фиг.5 приведена начальная циклограмма «термобароударов» в термокриостате;
– на фиг.6 приведена циклограмма «адаптивных термобароударов», определяемая после многократного итеративного термобароциклирования в термокриостате;
– на фиг.7 приведены экспериментальные результаты исследования полимера способом ССТА.
5.2. Описание установки
На рабочем (посадочном) месте установки, на которое опускается источник тепла/холода 12 (фиг.4), смонтирован керамический тигель-электродилатометр 14 (ТЭД – фиг.1), в который помещается первый образец (исследуемого вещества или материала) 5, и тепловой сенсор (термопара) 13, подключенный к многоканальному измерителю температуры 17 (и программно-логическому автомату ПЛА), измеряющему температуру и передающему данные измерений в компьютер 19 по интерфейсу RS-232. ТЭД оснащен внутренним тепловым сенсором (термопарой) 6, проходящим через отверстие в керамической пластине 8 и контактирующим с образцом, концы которого выводятся по каналу 10 керамического штока 11 и подключаются к измерителю температуры 17. ТЭД имеет три электрических сенсора (две молибденовые обкладки и крышка). Нижняя молибденовая обкладка 7, закрепленная неподвижно, подключается проводником 9, проходящим по каналу 10 керамического штока 11, подключается через коммутатор 16 к измерителю иммитанса 18, который соединен с компьютером по интерфейсу RS-232. Подвижная молибденовая верхняя обкладка 4 проводником 3 выводится по каналу 10 керамического штока 11 и подключается к измерителю иммитанса 18. Верхняя и нижняя обкладки являются «RXC-сенсором» образца в электродилатометре. «С-сенсор» электродилатометра образуется верхней обкладкой 4 и молибденовой крышкой 1, которая фиксируется неподвижно (для обеспечения нормированного расстояния hТЭД – формулы 13, 14), и проводником 2 по каналу 10 керамического штока 11 подключается к измерителю иммитанса 18 через коммутатор 16.
Выводы электрических сенсоров 2, 3 и 9 укладываются в пазах стенок ТЭД и изолируются от нижней обкладки квадратной керамической пластиной 8, являющейся дополнительным теплоизолятором.
Для непрерывного взвешивания образца ТЭД устанавливается и закрепляется на платформе аналитических весов 15 весоизмерительной системы (с высокой разрешающей способностью и встроенной калибровочной гирей), которые передают результаты весоизмерения и управляются компьютером 19 по интерфейсу RS-232.
Программно-логический автомат 20 (ПЛА) состоит из контроллера с модулями контроля и управления, блока питания, форвакуумного насоса, датчиков и системы трубопроводов (для упрощения на блок-схеме не показаны). ПЛА 20 осуществляет контроль датчиков температуры и разрежения и управление термобароциклами источников тепла/холода по программе компьютера 19.
Получаемые с тепловых сенсоров сигналы преобразовываются измерителем температуры 17 (например, многоканальным модулем DB-889D, измеряющим температуру) и вводятся в компьютер 19 в шкале температур.
Подводимые и принимаемые сигналы электрических сенсоров через коммутатор 16 преобразовываются измерителем иммитанса 18 (например, Е7-20) в функциональные параметры и вводятся в компьютер 19.
5.3. Описание процесса испытаний
Исследования образцов с применением способа ССТА проводятся этапами.
5.3.1. Классификационный этап – включает идентификацию класса образца по электрическим свойствам, определение параметров образца в нормальных условиях, определение группы горючести, экспресс-анализ нано-, микро- и макроструктурных изменений образца с определением особых точек.
Первый образец (сформованного по размерам керамического тигля-электродилатометра, из трех подготовленных к испытаниям) помещают в ТЭД 14 (закрывают крышку тигля), после чего в условиях окружающей среды (без источника тепла/холода) по программе компьютера производится идентификация класса образца (диэлектрик, проводник, полупроводник) измерением между нижней обкладкой 7 и верхней обкладкой 8 тока утечки образца на постоянном токе прибором 18 через коммутатор 16. Затем через коммутатор 16 измеритель иммитанса 18 попеременно определяет остальные параметры образца на переменном токе и передает их в компьютер 19, который вычисляет требуемые параметры и показатели. Одновременно измеряются параметры «воздушного конденсатора» (между молибденовой обкладкой 4 и крышкой 1), а затем параметры системы («конденсатор с образцом» – «воздушный конденсатор» Собщ, tg c – фиг.2 или комплексное сопротивление Zобщ и – фиг.3) в диапазоне частот от 25 Гц до 1 МГц с технически обоснованным шагом (в зависимости от класса), по которым компьютер 19 усредняет полученные данные и вычисляет линейный размер (толщину) образца, фиксируя его начальный вес (массу) с помощью весов 15, которые автоматически калибруются встроенной гирей.
После идентификации класса и параметров образца в нормальных условиях проводится экспресс-анализ образца в электропечи. На ТЭД с образцом устанавливается электропечь, герметизируется (внутренний объем отделяется от окружающей среды), после чего ПЛА 20 создает и поддерживает в ней разрежение (технически обоснованное, от 0,01 МПа до 0,001 МПа), при котором выполняются требуемые измерения и вычисляются параметры образца при его линейном нагреве со скоростью около 20°С в минуту до температуры «максимума скорости убыли массы» по ДТГ (фиг.7), если она ниже 200°С, или до температуры 200°С; при этой зафиксированной температуре осуществляется выдержка в 5 минут и определяется группа горючести образцов по процентному отношению конечной (по 5 минутам) массы к первоначальной.
После этого ПЛА 20 стравливает давление в рабочей зоне электропечи скачком (или линейно) до атмосферного значения, после чего нагревание продолжается до максимальных температур, необходимых для определения группы трудногорючих и негорючих образцов по процентному отношению конечной массы к первоначальной (по ГОСТ 12.1.044).
По завершении определения показателей горючести нагрев электропечи прекращается, производится выдержка по времени до остывания электропечи до температуры окружающего воздуха, производится демонтаж электропечи.
В ходе экспресс-анализа:
– регистрируются наноструктурные изменения образца (каналы протекания, фазовые переходы II-го рода) и термодеструкция на участке разрежения, а также определяются параметры образца, фиксируя температуры их изменений как особые точки, в окрестностях которых на этапах исследования второго и третьего образцов необходимо обеспечить квазиизотермические и квазиизобарические режимы;
– регистрируются микроструктурные изменения образца (дефектообразование, полиморфные превращения, фазовые переходы I-го рода) и термоокислительная деструкция на участке нормального давления, определяются параметры образца и особые точки;
– регистрируются макроструктурные изменения образца (ползучесть, пиролиз), а также воспламенение и горение образца на участке нормального давления, определяются параметры образца и особые точки.
5.3.2. Расчетный этап
По результатам классификационного этапа с помощью компьютерной программы, построенной на описанных алгоритмах обработки экспериментальных данных с использованием выражений (6-44), рассчитываются параметры и показатели образца (табл.1 и 2 – за исключением tp и Pi) и план основных испытаний второго и третьего образцов в электропечи с адаптивным, т.е. с обеспечением указанных квазиизотермических и квазиизобарических участков в окрестностях полученных особых точек, режимом термобаронагружения.
5.3.3. Этап ускоренного «старения образца»
В ТЭД помещается второй образец и после идентификации начальных параметров в соответствии с п.5.3.1 на него устанавливается термокриостат (например, на элементах Пельтье), который герметизируется, и с помощью ПЛА 20 в нем выполняется термобароциклирование образца.
В качестве начального режима термобароциклирования используется циклограмма термобароударов (фиг.5): испытания образца начинаются с вакуумирования (до 0,001 МПа) и охлаждения (до минус 50°С) рабочей зоны с максимальной (технически обоснованной) скоростью (например, 0,01 МПа в секунду и 1°С в минуту).
С помощью сенсоров ТЭД регистрируются изменения образца (нано-, микро- и макроструктурные изменения) и термодеструкция на участке охлаждения с разрежением и их непрерывная вычислительная оценка с определением параметров образца и фиксацией особых точек, в окрестностях которых в каждом следующем цикле скорости охлаждения и изменения давления снижаются таким образом, чтобы обеспечить итеративные квазиизотермический и квазиизобарический режимы.
После достижения нижней температуры цикла (минус 50°С) и выдержки на ней по времени в соответствии с циклограммой термокриостат переключается в режим нагревания рабочей зоны (до плюс 50°С) с максимальной скоростью.
При переходе в область плюсовых температур давление в рабочей зоне термокриостата стравливается до атмосферного значения, с помощью сенсоров осуществляется регистрация и оценка структурных изменений и термоокислительной деструкции образца на участке дальнейшего нагревания при атмосферном давлении, определяются параметры образца и фиксируются особые точки, в окрестностях которых в каждом следующем цикле скорости нагревания и изменения давления снижаются до технически обоснованных значений, чтобы обеспечить итерацию квазиизотермического и квазиизобарического режимов.
После достижения верхней температуры цикла (плюс 50°С) и выдержки на ней по времени в соответствии с начальной циклограммой рассчитываются по результатам 1-го термобароудара параметры новой циклограммы с квазиизотермическими и квазиизобарическими режимами охлаждения/нагрева в окрестностях особых точек, по которой ПЛА выполняет 2-й термобароудар.
Такая итерация продолжается несколько циклов – до тех пор, пока циклограммы не станут идентичными, т.е. их отклонения станут соизмеримыми с разрешающей способностью средств измерений, в результате чего определяется цикл адаптивного термобаронагружения для данного образца (фиг.6).
В результате многократного повторения адаптивных термобароциклов происходит ускоренное «старение» образца, т.е. достижение состояния предельных значений параметров образца, установленных нормативными документами на него, или до прекращения существенных изменений определяемых параметров, т.е. когда их отклонения станут соизмеримыми с разрешающей способностью средств измерений, при этом с повышенной точностью и достоверностью определяются ТА-параметры образца в эксплуатационной зоне температур и давлений и можно получить нижние оценки долговечности (tp), термостойкости (Тт, Чц) и опасности (Pi) эксплуатации образца.
5.3.4. Этап пожароопасного термобаронагружения
После завершения этапа ускоренного «старения образца» на рабочее место устанавливается электропечь и, по рассчитанной по результатам классификационных испытаний первого образца программе, выполняется адаптивное термобаронагружение второго образца до температуры электропечи плюс 750°С, в ходе которого определяются ТА-параметры и показатели пожароопасности (указанные ГОСТ 12.1.044, см. табл.1, 2) «состаренного» образца.
5.3.5. Контрольный этап
Контрольный этап исследования (испытания) проводится на третьем образце. Вначале в термокриостате выполняется п.5.3.3 только по циклограмме адаптивного термобаронагружения (фиг.6) для данного образца с исключением начальной и последующих итеративных циклограмм и с количеством циклов, равным трем; а затем – в электропечи выполнением п.5.3.4. Получаемые результаты включают в окончательный набор параметров и показателей ТА и пожаробезопасности – по табл.1 и 2.
5.3.6. Анализ результатов и виртуальное воспроизведение исследований
Получаемые в ходе испытаний данные и рассчитываемые параметры и показатели записываются в базу данных в виде «образа испытаний образца №…» и в любом наборе могут отображаться в реальном масштабе времени на периферийных устройствах компьютера (мониторы, принтеры) для детального анализа. «Образ испытаний образца №…» может быть программно сохранен на электронном носителе (например, на СД-диске), с которого процесс испытаний может быть воспроизведен виртуально с пользовательским набором параметров и показателей и программно-техническими возможностями визуализации и документирования.
6. Результаты применения изобретения
Единым техническим результатом при осуществлении изобретения является применение способа ССТА и установки, его реализующей, для прецизионного определения термодинамических, механических и электрических параметров (табл.2), а также для определения основных (табл.1) и дополнительных (выделены жирным шрифтом в табл.2) показателей пожарной опасности веществ и материалов (на одной установке вместо двадцати по ГОСТ 12.1.044 (МЭК 79-4; ИСО 1182)).
Указанный технический результат достигается тем, что реализуются:
1) способ синхронно-сопряженного термического анализа (ССТА) веществ и материалов, заключающийся в том, что исследуемый образец помещают в керамический тигель, который установлен на весы, вводят в источник тепла/ холода, снабженный средством измерения изменения температуры, и проводят термический анализ (ТА) образца, отличающийся тем, что выполняются одновременно термогравиметрия (ТГ) с дифференциальной термогравиметрией (ДТГ), термодилатометрия (ТД) с дифференциальной термодилатометрией (ДТД) и дифференциально-термический анализ (ДТА), т.к. тигель представляет собой спаренный электродилатометр, оснащенный внутренним тепловым сенсором и имеющий нижнюю молибденовую обкладку, закрепленную неподвижно, подвижную верхнюю молибденовые обкладку, молибденовую крышку, которая фиксируется неподвижно, при этом между верхней и нижней обкладками размещается образец и основной тепловой поток на образец формируется через верхнюю обкладку с одного направления – сверху, остальные направления теплоизолируются керамикой, а функцию «эталона из инертного вещества выполняет система «крышка тигля – верхняя обкладка», и с учетом относительной излучающей способности верхней обкладки, температуры системы «крышка тигля – верхняя обкладка», а также с учетом площади верхней обкладки и площади внутреннего горизонтального сечения ТЭД определяют следующие параметры образца в зависимости от температуры Т и времени t термонагружения:
массу – m образца и ее изменения – m;
линейный размер l образца и его изменения l;
плотность и ее изменения  ;
коэффициент теплопроводности и его изменения  ;
теплоемкость СР и ее изменения СР;
коэффициент температуропроводности а;
изобарный коэффициент расширения ;
энтальпию Н и ее изменения Н;
критерии подобия – число Фурье Fo и число Био Bi,
по взаимной корреляции которых осуществляют идентификацию микроструктурных и макроструктурных изменений в образце;
2) способ по п.1), отличающийся тем, что дополнительно синхронно выполняется электрометрия (ЭМ) образца, при этом идентифицируют класс образца (проводник, полупроводник, диэлектрик);
3) способ по п.2), отличающийся тем, что определяют для проводника и полупроводника его проводимость G, активное R, реактивное Х и комплексное Z сопротивления, угол фазового сдвига комплексного сопротивления и индуктивность L с определенным шагом в заданном интервале частот , по которым вычисляются магнитная проницаемость и критерии гомохронности НоJ образца; при этом строят их двумерные зависимости от и Т, коррелированные со всеми измеренными параметрами для идентификации микроструктурных и макроструктурных изменений в образце, характеризующих поляризацию, полиморфные превращения, термодеструкцию;
4) способ по п.2), отличающийся тем, что для диэлектрика определяют проводимость G, емкость С и фактор потерь D (тангенс угла потерь tg ) с определенным шагом в заданном интервале частот , по которым вычисляются магнитная и диэлектрическая проницаемости, индуктивность L и критерии гомохронности НоJ образца; при этом строят их двумерные зависимости от и Т, коррелированные со всеми измеренными параметрами для идентификации микроструктурных и макроструктурных изменений в образце, характеризующих поляризацию, полиморфные превращения, термодеструкцию;
5) способ по п.1), отличающийся тем, что в рабочем объеме источника тепла/холода введен адаптивный режим его бароциклирования с определенным шагом в заданном интервале давлений Р, позволяющий определить и вычислить следующие параметры образца в зависимости от температуры Т термонагружения:
коэффициент изотермического изменения внутренней энергии ;
теплоту изотермического возрастания давления h;
адиабатный коэффициент сжимаемости ;
изохорный коэффициент давления ;
модули упругости Юнга (Е), объемный (К), сдвига (G), постоянные Ламе ( и );
энтропию S;
критерии подобия – коэффициент Пуассона ( ) и упругой деформации ( gl/E),
коррелированные со всеми измеренными параметрами для идентификации микроструктурных и макроструктурных изменений в образце, характеризующих двойникование, ползучесть, кристаллизацию;
6) способ по п.1), отличающийся тем, что при испытаниях введен адаптивный режим термоциклирования образца в термокриостате в диапазоне эксплуатационных температур, позволяющий выявить «особые» точки в окрестностях предполагаемых наноструктурных, микроструктурных, макроструктурных изменений и обеспечить возможность проведения испытаний при квазиизотермических режимах, при которых определяется термостойкость образца – стандартизованная температура термостойкости Тт и число термоциклов Чц, а также осуществляется его ускоренное «старение», что позволяет определить долговечность образца tp как стандартизованный средний ресурс и вычислить факторы опасности, возникающие при эксплуатации образца в исследованном временном интервале, tp, как соответствующие вероятности Pi – возникновения пожара или электропробоя;
7) способ по п.1), отличающийся тем, что при исследовании используются, по меньшей мере, три образца массой до 50 г, что обеспечивает достоверность, воспроизводимость и представительность получаемых результатов исследования вещества или материала по указанным образцам;
8) устройство для синхронного термического анализа, включающее источник тепла/холода, тигель для размещения образца, весы, тепловые сенсоры и измеритель температуры, подключенный к компьютеру, отличающееся тем, что содержит керамический тигель-электродилатометр (ТЭД), выполненный с возможностью размещения в источнике тепла/холода и представляющий собой спаренный электродилатометр, в котором помещен тепловой сенсор, подключенный к многоканальному измерителю температуры, при этом ТЭД снабжен керамическим штоком, имеет нижнюю и верхнюю молибденовые обкладки, молибденовую крышку, керамическую пластину и оснащен внутренним тепловым сенсором, проходящим через отверстие в керамической пластине, контактирующим с образцом и подключенным к многоканальному измерителю температуры, нижняя молибденовая обкладка закреплена неподвижно, верхняя молибденовая обкладка выполнена подвижной, молибденовая крышка фиксируется неподвижно, указанные обкладки и молибденовая крышка подключены соответствующими проводниками, проходящими по соответствующим каналам керамического штока, к измерителю иммитанса, соединенному с компьютером, выводы проводников изолированы от нижней обкладки квадратной керамической пластиной, являющейся дополнительным теплоизолятором, при этом секция между нижней и верхней обкладками предназначена для циклического выполнения электрометрии образца, секция между верхней обкладкой и крышкой тигля предназначена для выполнения электрометрии «эталона из инертного вещества», и устройство содержит программно-логический автомат для управления источником тепла/холода по программе компьютера, который усредняет все полученные параметры с учетом температурных коэффициентов расширения элементов тигля;
9) устройство по п.8), отличающееся тем, что тигель-электродилатометр установлен на аналитические весы с большим диапазоном и высоким разрешением взвешивания, соединенные с компьютером, который позволяет изменять поправочные коэффициенты, периодически калибровать весы с помощью встроенной эталонной гири, а также записывает, обрабатывает и визуализирует полученные данные;
10) устройство по п.8), отличающееся тем, что использован герметизируемый источник тепла/холода – термокриостат или электропечь с возможностью реализации программируемого компьютером адаптивного режима термобароциклирования/термобаронагружения в заданном интервале возможных температур и давлений;
11) устройство по п.10), отличающееся тем, что использована электропечь, для которой адаптивный режим рассчитывается по результатам предварительного экспресс-анализа для обеспечения квазиизотермических и квазиизобарических участков вблизи выявленных «особых» точек – точек фазовых переходов и точек деструкции образца;
12) устройство по п.10), отличающееся тем, что использован термокриостат, для которого адаптивный режим формируется динамически в ходе каждого цикла при фиксации «особых» точек, в окрестностях которых в каждом следующем цикле скорость охлаждения/нагревания и давления изменяется таким образом, чтобы обеспечить квазиизотермические и квазиизобарические участки вблизи указанных «особых» точек, реализуя ускоренное «старение» образца.
7. Соответствие изобретения и материалов заявки предъявляемым требованиям
Заявляемое изобретение соответствует условию патентоспособности «мировая новизна», так как из уровня техники не выявлены технические решения того же назначения с заявляемой совокупностью существенных и независимых признаков формулы изобретения.
Заявляемое изобретение соответствует условию патентоспособности «изобретательский уровень», так как из уровня техники не выявлены технические решения с признаками, совпадающими с признаками независимых признаков формулы изобретения.
Применимость заявляемого изобретения подтверждается указываемыми ниже возможносями его реализации.
Предлагаемые способ и установка, его реализующая, найдут применение в Испытательных пожарных лабораториях и Центрах метрологии и сертификации для испытаний веществ и материалов, а следовательно, и товаров из них на предмет их пожарной опасности для потребителей.
Предлагаемые способ и установка, его реализующая, найдут применение на объектах повышенной опасности (АЭС, ГРЭС и т.д.), где требования долговечности и пожарной безопасности используемых веществ и материалов являются периодически проверяемыми, в т.ч. органами государственного надзора (Гостехнадзор, Госпожнадзор).
Предлагаемые способ и установка, его реализующая, найдут применение на материаловедческих предприятиях для контроля за стабильностью свойств выпускаемых материалов.
Предлагаемые способ и установка, его реализующая, найдут применение в научно-исследовательских институтах и КБ для научных исследований и конструкторско-технологического обеспечения долговечности и безопасности изделий бытового, промышленного и оборонно-космического применения.
Предлагаемые способ и установка, его реализующая, найдут применение в технических ВУЗах и университетах как для научных исследований, так и для учебных курсов по физике, физической химии, механике, пожарной и строительной безопасности.
Формула изобретения
1. Способ синхронно-сопряженного термического анализа (ССТА) веществ и материалов, заключающийся в том, что исследуемый образец помещают в керамический тигель, который установлен на весы, вводят в источник тепла/ холода, снабженный средством измерения изменения температуры, и проводят термический анализ (ТА) образца, отличающийся тем, что выполняются одновременно термогравиметрия (ТГ) с дифференциальной термогравиметрией (ДТГ), термодилатометрия (ТД) с дифференциальной термодилатометрией (ДТД) и дифференциально-термический анализ (ДТА), т.к. тигель представляет собой спаренный электродилатометр, оснащенный внутренним тепловым сенсором и имеющий нижнюю молибденовую обкладку, закрепленную неподвижно, подвижную верхнюю молибденовые обкладку, молибденовую крышку, которая фиксируется неподвижно, при этом между верхней и нижней обкладками размещается образец и основной тепловой поток на образец формируется через верхнюю обкладку с одного направления – сверху, остальные направления теплоизолируются керамикой, а функцию «эталона из инертного вещества выполняет система «крышка тигля – верхняя обкладка», и с учетом относительной излучающей способности верхней обкладки, температуры системы «крышка тигля – верхняя обкладка», а также с учетом площади верхней обкладки и площади внутреннего горизонтального сечения ТЭД определяют следующие параметры образца в зависимости от температуры Т и времени t термонагружения:
массу m образца и ее изменения m;
линейный размер l образца и его изменения l;
плотность и ее изменения  ;
коэффициент теплопроводности и его изменения  ;
теплоемкость Ср и ее изменения Ср;
коэффициент температуропроводности а;
изобарный коэффициент расширения ;
энтальпию Н и ее изменения Н;
критерии подобия – число Фурье Fo и число Био Bi,
по взаимной корреляции которых осуществляют идентификацию микроструктурных и макроструктурных изменений в образце.
2. Способ по п.1, отличающийся тем, что дополнительно синхронно выполняется электрометрия (ЭМ) образца, при этом идентифицируют класс образца (проводник, полупроводник, диэлектрик).
3. Способ по п.2, отличающийся тем, что определяют для проводника и полупроводника его проводимость G, активное R, реактивное Х и комплексное Z сопротивления, угол фазового сдвига комплексного сопротивления и индуктивность L с определенным шагом в заданном интервале частот , по которым вычисляются магнитная проницаемость и критерии гомохронности Ноi образца, при этом строят их двумерные зависимости от и Т, коррелированные со всеми измеренными параметрами для идентификации микроструктурных и макроструктурных изменений в образце, характеризующих поляризацию, полиморфные превращения, термодеструкцию.
4. Способ по п.2, отличающийся тем, что для диэлектрика определяют емкость С и фактор потерь D (тангенс угла потерь tg ) с определенным шагом в заданном интервале частот , по которым вычисляются магнитная и диэлектрическая проницаемости, индуктивность L и критерии гомохронности Hoi образца; при этом строят их двумерные зависимости от и Т, коррелированные со всеми измеренными параметрами для идентификации микроструктурных и макроструктурных изменений в образце, характеризующих поляризацию, полиморфные превращения, термодеструкцию.
5. Способ по п.1, отличающийся тем, что в рабочем объеме источника тепла/холода введен адаптивный режим его бароциклирования с определенным шагом в заданном интервале давлений Р, позволяющий определить и вычислить следующие параметры образца в зависимости от температуры Т термонагружения:
коэффициент изотермического изменения внутренней энергии ;
теплоту изотермического возрастания давления h;
адиабатный коэффициент сжимаемости ;
изохорный коэффициент давления ;
модули упругости Юнга (Е), объемный (K), сдвига (G), постоянные Ламе ( и );
энтропию S;
критерии подобия – коэффициент Пуассона ( ) и упругой деформации ( gl/E),
коррелированные со всеми измеренными параметрами для идентификации микроструктурных и макроструктурных изменений в образце, характеризующих двойникование, ползучесть, кристаллизацию.
6. Способ по п.1, отличающийся тем, что при испытаниях введен адаптивный режим термоциклирования образца в термокриостате в диапазоне эксплуатационных температур, позволяющий выявить «особые» точки в окрестностях предполагаемых наноструктурных, микроструктурных, макроструктурных изменений, и обеспечить возможность проведения испытаний при квазиизотермических режимах, при которых определяется термостойкость образца – стандартизованная температура термостойкости Тт и число термоциклов Чц, а также осуществляется его ускоренное «старение», что позволяет определить долговечность образца tp как стандартизованный средний ресурс и вычислить факторы опасности, возникающие при эксплуатации образца в исследованном временном интервале tp, как соответствующие вероятности P1 – возникновения пожара или электропробоя.
7. Способ по п.1 отличающийся тем, что при исследовании используются, по меньшей мере, три образца массой до 50 г, что обеспечивает достоверность, воспроизводимость и представительность получаемых результатов исследования вещества или материала по указанным образцам.
8. Устройство для синхронного термического анализа, включающее источник тепла/холода, тигель для размещения образца, весы, тепловые сенсоры и измеритель температуры, подключенные к компьютеру, отличающееся тем, что устройство содержит керамический тигель-электродилатометр (ТЭД), выполненный с возможностью размещения в источнике тепла/холода и представляющий собой спаренный электродилатометр, в котором помещен тепловой сенсор, подключенный к многоканальному измерителю температуры, при этом ТЭД снабжен керамическим штоком, имеет нижнюю и верхнюю молибденовые обкладки, молибденовую крышку, керамическую пластину и оснащен внутренним тепловым сенсором, проходящим через отверстие в керамической пластине, контактирующим с образцом и подключенным к многоканальному измерителю температуры, нижняя молибденовая обкладка закреплена неподвижно, верхняя молибденовая обкладка выполнена подвижной, молибденовая крышка фиксируется неподвижно, указанные обкладки и молибденовая крышка подключены соответствующими проводниками, проходящими по соответствующим каналам керамического штока, к измерителю иммитанса, соединенному с компьютером, выводы проводников изолированы от нижней обкладки керамической пластиной, являющейся дополнительным теплоизолятором, при этом секция между нижней и верхней обкладками предназначена для циклического выполнения электрометрии образца, секция между верхней обкладкой и крышкой тигля предназначена для выполнения электрометрии «эталона из инертного вещества», и устройство содержит программно-логический автомат для управления источником тепла /холода по программе компьютера, который усредняет все полученные параметры с учетом температурных коэффициентов расширения элементов тигля.
9. Устройство по п.8, отличающееся тем, что тигель-электродилатометр установлен на аналитические весы с большим диапазоном и высоким разрешением взвешивания, соединенные с компьютером, который позволяет изменять поправочные коэффициенты, периодически калибровать весы с помощью встроенной эталонной гири, а также записывает, обрабатывает и визуализирует полученные данные.
10. Устройство по п.8, отличающееся тем, что использован герметизируемый источник тепла/холода – термокриостат или электропечь с возможностью реализации программируемого компьютером адаптивного режима термобароциклирования/термобаронагружения в заданном интервале возможных температур и давлений.
11. Устройство по п.10, отличающееся тем, что использована электропечь, для которой адаптивный режим рассчитывается по результатам предварительного экспресс-анализа для обеспечения квазиизотермических и квазиизобарических участков вблизи выявленных «особых» точек – точек фазовых переходов и точек деструкции образца.
12. Устройство по п.10, отличающееся тем, что использован термокриостат, для которого адаптивный режим формируется динамически в ходе каждого цикла при фиксации «особых» точек, в окрестностях которых в каждом следующем цикле скорость охлаждения/нагревания и давления изменяется таким образом, чтобы обеспечить квазиизотермические и квазиизобарические участки вблизи указанных «особых» точек, реализуя ускоренное «старение» образца.
РИСУНКИ
|