|
|
(21), (22) Заявка: 2007123533/28, 14.06.2007
(24) Дата начала отсчета срока действия патента:
14.06.2007
(46) Опубликовано: 10.01.2009
(56) Список документов, цитированных в отчете о поиске:
RU 2018117 C1, 15.08.1994. RU 2027172 C1, 20.01.1995. SU 1165957 A, 07.07.1985. SU 1165958 A, 07.07.1985.
Адрес для переписки:
190005, Санкт-Петербург, Московский пр-кт, 19, ФГУП “ВНИИМ им. Д.И. Менделеева”
|
(72) Автор(ы):
Соколов Николай Александрович (RU)
(73) Патентообладатель(и):
Федеральное государственное унитарное предприятие “Всероссийский научно-исследовательский институт метрологии им. Д.И. Менделеева” (RU)
|
(54) СПОСОБ ОПРЕДЕЛЕНИЯ ТЕПЛОПРОВОДНОСТИ МАТЕРИАЛОВ
(57) Реферат:
Изобретение относится к области теплофизических измерений. Плоский исследуемый образец известной толщины и плоский эталонный образец с известным тепловым сопротивлением приводят в тепловой контакт. Создают заданную разность температуры между внешними плоскостями эталонного и исследуемого образцов и в стационарном режиме измеряют температуру в плоскости теплового контакта. Предварительно устанавливают в эталонный образец параллельно этой плоскости источник теплоты, разделяющий эталонный образец на внутреннюю часть и наружную часть с известным тепловым сопротивлением. Затем изменяют тепловой поток источника теплоты от нуля до такого значения, при котором перепад температуры на исследуемом образце становится равным половине заданной разности температуры. По достижении стационарного режима определяют теплопроводность исследуемого образца. При этом разность температуры задают положительной, если перепад температуры на исследуемом образце меньше, чем на эталонном, и отрицательной, если больше, чем на эталонном. Технический результат – повышение точности определения теплопроводности в диапазоне измерений, расширенном как в меньшую, так и в большую сторону по отношению к эталону. 1 ил.
Изобретение относится к области теплофизических измерений и может быть использовано для определения теплопроводности материалов.
Известен способ комплексного определения теплофизических свойств материалов, в частности теплопроводности (SU 2018117 С1, кл. G01N 25/18, 1994.08.15), заключающийся в том, что исследуемый плоский образец известной толщины приводят в тепловой контакт по плоскости с плоским эталонным образцом, предварительно снабженным внутренним источником теплоты, расположенным на известном расстоянии параллельно плоскости контакта. Затем термостатируют при заданной температуре наружные плоскости исследуемого и эталонного образцов с адиабатизированными боковыми поверхностями и измеряют поверхностную плотность теплового потока источника теплоты и температуру эталонного образца в заданном сечении. Измеряют температуру эталонного образца в плоскости подвода теплоты с переменным шагом во времени так, что значение момента времени измерения температуры на новом шаге определяют как произведение положительного постоянного коэффициента строго больше единицы на значение момента времени измерения температуры на предыдущем шаге. На каждом шаге контролируют величину динамического параметра, представляющего собой отношение температуры эталонного образца на шаге измерения, номер которого на постоянное целое число меньше номера последнего шага измерения, к температуре эталонного образца на последнем шаге измерения. Сравнивают величину динамического параметра с заданным максимальным значением из диапазона 0,55-0,84, заканчивают испытания при превышении заданным максимальным значением динамического параметра и определяют теплофизические свойства.
К причинам, препятствующим достижению указанного ниже технического результата при использовании известного решения, относится необходимость измерения изменяющейся температуры в заданные моменты времени и определения отношения измерений, полученных в различные моменты времени. Определение теплопроводности с использованием измерений температуры в динамическом режиме характеризуется существенно большей погрешностью, чем при проведении измерений в стационарных условиях.
Известен способ определения теплопроводности материалов (RU 2276781 C1, Кл. G01N 25/00, 2006.05.20), заключающийся в том, что исследуемый плоский образец известной толщины через источник теплоты, генерирующий тепловой поток с заданной поверхностной плотностью, приводят в тепловой контакт по плоскости с плоским эталонным образцом, который имеет меньшее тепловое сопротивление, чем исследуемый. При заданной температуре термостатируют наружные плоскости исследуемого и эталонного образцов с адиабатизированными боковыми поверхностями и измеряют температуру в плоскости контакта. Причем в эталонный образец параллельно плоскости теплового контакта с основным источником теплоты предварительно устанавливают дополнительный источник теплоты, а вместо исследуемого образца устанавливают дополнительный эталонный образец, идентичный основному. В тех же температурных условиях, при которых требуется определить теплопроводность исследуемого образца, определяют эффективное тепловое сопротивление эталонных образцов в зависимости от поверхностной плотности тепловых потоков дополнительных источников теплоты. Затем устанавливают исследуемый образец, подбирают такую поверхностную плотность теплового потока дополнительного источника теплоты, при которой эффективное тепловое сопротивление эталонного образца в пределах погрешности совпадает с тепловым сопротивлением исследуемого образца, и определяют его теплопроводность.
К причинам, препятствующим достижению указанного ниже технического результата при использовании известного решения, относится то, что диапазон измерения ограничен тепловым сопротивлением эталонного образца, который должен иметь меньшее тепловое сопротивление, чем исследуемый.
Согласно этому способу плоские исследуемый образец известной толщины и эталонный образец с известным тепловым сопротивлением, имеющие одинаковые основания и адиабатизированные боковые поверхности, приводят в тепловой контакт по плоскости. Между наружной плоскостью исследуемого образца, термостатированной при температуре Т1, и наружной плоскостью эталонного образца, термостатированной при температуре Т2, создают заданную разность температуры Т2-Т1. Измеряют температуру в плоскости теплового контакта. По достижении стационарного режима определяют теплопроводность по формуле:

где Тэ – перепад температуры на эталонном образце;
Ти – перепад температуры на исследуемом образце;
h – толщина исследуемого образца;
Rэ – тепловое сопротивление эталонного образца.
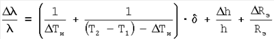
К причинам, препятствующим достижению указанного ниже технического результата при использовании известного решения, относится существенно ограничивающее диапазон измерения недопустимо большое увеличение погрешности, которое возникает при неравенстве тепловых сопротивлений эталонного и исследуемого образцов. Тепловое сопротивление исследуемого образца R определяется по формуле:

Действительно, уравнение погрешности, выведенное на основе уравнения измерения (1), с учетом того, что знаки составляющих погрешности не известны, имеет вид:

где  / – относительная погрешность измерения теплопроводности;
( Ти)/ Ти – относительная погрешность измерения перепада температуры на исследуемом образце;
( Тэ)/ Тэ – относительная погрешность измерения перепада температуры на эталонном образце;
h/h – относительная погрешность измерения толщины исследуемого образца;
Rэ/Rэ – относительная погрешность, с которой известно тепловое сопротивление эталонного образца.
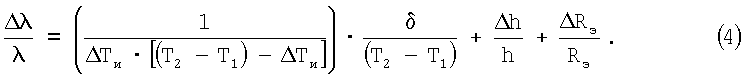
Абсолютное значение погрешности измерения перепада температуры определяется только предельными метрологическими характеристиками используемой аппаратуры, поэтому следует считать, что ( Ти)= ( Тэ)= . Имея в виду, что Тэ=(Т2-Т1)- Ти, формулу (3) можно записать в виде:
,
или после преобразования коэффициента влияния

Математический анализ показывает, что коэффициент влияния в первом слагаемом формулы (4) имеет минимальное значение при

То есть выполнение условия (5), при котором перепады температуры на эталонном и исследуемом образцах равны между собой, позволяет обеспечить наивысшую точность измерения теплопроводности описываемым способом.
Анализ формулы (1) с учетом соотношения (2) показывает, что при выполнении условия (5) тепловые сопротивления эталонного и исследуемого образцов также равны между собой.
Известно, что эталонные меры воспроизводят единицу теплопроводности в восьми точках диапазона от 0,03 до 20 Вт/(м·К) и имеют тепловое сопротивление 0,002÷1,0 м2
Задачей, на решение которой направлено заявляемое изобретение, является расширение диапазона и повышение точности определения теплового сопротивления и соответствующей ему теплопроводности материалов.
Технический результат, получаемый при осуществлении заявляемого изобретения, заключается в том, что обеспечивается возможность регулирования теплового сопротивления эталонного образца, по определению равного отношению перепада температуры на образце к поверхностной плотности протекающего по нему теплового потока, таким образом, чтобы определение теплопроводности осуществлялось при равенстве перепадов температуры на эталонном и исследуемом образцах.
Указанный технический результат при осуществлении изобретения достигается тем, что в заявляемом способе определения теплопроводности материалов плоский исследуемый образец известной толщины и плоский эталонный образец с известным тепловым сопротивлением, которые имеют одинаковые основания и адиабатизированные боковые поверхности, приводят в тепловой контакт по плоскости, создают заданную разность температуры между наружными плоскостями эталонного и исследуемого образцов и в стационарном режиме измеряют температуру в плоскости теплового контакта, но в отличие от известного способа предварительно устанавливают в эталонный образец параллельно плоскости теплового контакта источник теплоты, разделяющий эталонный образец на внутреннюю часть, образованную плоскостью теплового контакта, плоскостью раздела эталонного образца и его боковыми поверхностями, и наружную часть с известным тепловым сопротивлением, образованную плоскостью раздела, наружной плоскостью эталонного образца и его боковыми поверхностями, регулируют поверхностную плотность теплового потока источника теплоты, изменяя ее от нуля до такого значения, при котором перепад температуры на исследуемом образце становится равным половине заданной разности температуры, и по достижении стационарного режима определяют искомую теплопроводность по произведению толщины исследуемого образца, отнесенной к тепловому сопротивлению эталонного образца, на сумму единицы и удвоенной удельной мощности теплового потока, умноженной на тепловое сопротивление наружной части эталонного образца и деленной на заданную разность температуры, которую задают положительной, если при нулевой поверхностной плотности теплового потока источника теплоты перепад температуры на исследуемом образце меньше, чем на эталонном, и отрицательной, если перепад температуры на исследуемом образце больше, чем на эталонном.
На чертеже изображена схема реализации заявляемого способа.
На схеме показаны плоские исследуемый образец 1, внутренняя часть эталонного образца 2 и наружная часть эталонного образца 3, отделенные одна от другой источником теплоты 4, расположенным параллельно плоскости теплового контакта между образцами 5. Снаружи исследуемый образец ограничен наружной плоскостью 6, а эталонный – наружной плоскостью 7. Плоскости 6 и 7 служат одинаковыми между собой основаниями образцов. Боковые поверхности исследуемого образца 8, а также боковые поверхности внутренней части эталонного образца 9 и наружной части эталонного образца 10 адиабатизированы.
Заявляемый способ реализуется следующим образом.
Исследуемый образец 1 известной толщины h приводят в тепловой контакт по плоскости 5 с эталонным образцом с известным тепловым сопротивлением Rэ, который разделен источником теплоты 4 на внутреннюю часть 2 и наружную часть 3. Тепловое сопротивление наружной части эталонного образца 3 известно. Обозначим его как Rн. Адиабатизируют боковые поверхности исследуемого образца 8, а также боковые поверхности внутренней части эталонного образца 9 и наружной части эталонного образца 10. Термостатируют наружную плоскость исследуемого образца 6 при температуре Т1. Термостатируют наружную плоскость эталонного образца 7 при температуре Т2 (допустим Т2>Т1.) Создают между ними заданную разность температуры Т=Т2-Т1. В стационарном режиме измеряют температуру в плоскости теплового контакта Т. Если

то регулируют поверхностную плотность теплового потока источника теплоты 4, изменяя ее от нуля до такого значения q, при котором перепад температуры на исследуемом образце становится равным Т/2.
Составим уравнение теплового баланса, имеющее место в этом случае по достижении стационарного режима. С учетом направления тепловых потоков перепад температуры на исследуемом образце составляет

Решая уравнение (7) относительно , получим искомое уравнение измерения:

Оно служит для измерения больших значений теплопроводности, соответствующих малым значениям теплового сопротивления исследуемых материалов.
В случае, если вместо неравенства (6) выполняется неравенство

то выбирают Т2<Т1. При этом разность температуры Т в уравнении измерения (8) будет отрицательной. В этом случае предлагаемый способ служит для измерения малых значений теплопроводности, соответствующих большим значениям теплового сопротивления исследуемых материалов.
Из полученного уравнения измерения (8) видно, что заявляемый способ при сохранении максимальной точности, обеспечиваемой выполнением условия (5), путем соответствующей регулировки удельной мощности q, пределы изменения которой ничем не ограничены, позволяет существенно расширить диапазон измерения. Необходимость измерения удельной мощности теплового потока q практически не увеличивает погрешность определения теплопроводности, поскольку в качестве источника теплоты может быть использован электрический нагреватель, точность измерения выделяемой удельной мощности которого значительно выше, чем точность определения перепада температуры. Расширение диапазона измерений обеспечивается как в меньшую сторону по отношению к эталону (при отрицательном значении Т), так и в большую сторону (при положительном значении Т).
Таким образом, приведенные выше сведения подтверждают возможность осуществления заявляемого изобретения, достижения указанного технического результата и решения поставленной задачи.
Формула изобретения
Способ определения теплопроводности материалов, заключающийся в том, что плоский исследуемый образец известной толщины и плоский эталонный образец с известным тепловым сопротивлением, которые имеют одинаковые основания и адиабатизированные боковые поверхности, приводят в тепловой контакт по плоскости, создают заданную разность температур между наружными плоскостями эталонного и исследуемого образцов и в стационарном режиме измеряют температуру в плоскости теплового контакта, отличающийся тем, что предварительно устанавливают в эталонный образец параллельно плоскости теплового контакта источник теплоты, разделяющий эталонный образец на внутреннюю часть, образованную плоскостью теплового контакта, плоскостью раздела эталонного образца и его боковыми поверхностями, и наружную часть с известным тепловым сопротивлением, образованную плоскостью раздела, наружной плоскостью эталонного образца и его боковыми поверхностями, регулируют поверхностную плотность теплового потока источника теплоты, изменяя ее от нуля до такого значения, при котором перепад температуры на исследуемом образце становится равным половине заданной разности температур, и по достижении стационарного режима определяют искомую теплопроводность по произведению толщины исследуемого образца, отнесенной к тепловому сопротивлению эталонного образца, на сумму единицы и удвоенной удельной мощности теплового потока, умноженной на тепловое сопротивление наружной части эталонного образца и деленной на заданную разность температур, которую задают положительной, если при нулевой поверхностной плотности теплового потока источника теплоты перепад температуры на исследуемом образце меньше, чем на эталонном, и отрицательной, если перепад температуры на исследуемом образце больше, чем на эталонном.
РИСУНКИ
|
|