|
|
(21), (22) Заявка: 2006129235/28, 11.08.2006
(24) Дата начала отсчета срока действия патента:
11.08.2006
(43) Дата публикации заявки: 20.02.2008
(46) Опубликовано: 10.01.2009
(56) Список документов, цитированных в отчете о поиске:
RU 95117798 A1, 10.10.1997. RU 2064176 C1, 20.07.1996. RU 2239215 C2, 27.10.2004. SU 1728680 A1, 23.04.1992.
Адрес для переписки:
190068, Санкт-Петербург, пер. Климов, 1, кв.5, Е.И. Шевниной
|
(72) Автор(ы):
Польщиков Георгий Владимирович (RU), Шевнина Елена Ивановна (RU), Маслов Вячеслав Васильевич (RU), Бобров Анатолий Петрович (RU), Гулиева Нина Юрьевна (RU)
(73) Патентообладатель(и):
Польщиков Георгий Владимирович (RU), Шевнина Елена Ивановна (RU), Маслов Вячеслав Васильевич (RU), Бобров Анатолий Петрович (RU), Гулиева Нина Юрьевна (RU)
|
(54) УСТРОЙСТВО ДЛЯ БЕСКОНТАКТНОГО ИЗМЕРЕНИЯ ТЕМПЕРАТУРЫ БИОЛОГИЧЕСКИХ ОБЪЕКТОВ
(57) Реферат:
зобретение относится к измерительной технике. Устройство содержит генератор импульсного питания, последовательно соединенный с лазерным излучателем, приемную оптическую систему лазерного излучения, последовательно соединенную со вторым приемником излучения, усилитель-преобразователь и блок обработки информации, содержащий два преобразователя кодов, входы которых подключены к соответствующим аналого-цифровым преобразователям, систему регистрации измерений, информационный вход, которой соединен с выходом первого преобразователя кодов, а второй информационный вход с выходом второго аналого-цифрового преобразователя, информационные выходы системы регистрации подключены к панели индикации и интерфейсному модулю RS-232, и пульт управления, один сигнальный выход которого подключен к управляющим входам генератора импульсного питания и к управляющему входу системы регистрации, а второй сигнальный выход к управляющему входу второго преобразователя кодов. Технический результат – изобретение обеспечивает возможность автоматического учета изменения излучательных свойств контролируемого объекта и повышение достоверности оценки состояния малого участка поверхности объекта на больших временных интервалах по двум параметрам: температуре и коэффициенту отражения. 1 ил.
Изобретение относится к измерительной технике и может быть использовано для бесконтактного измерения температуры биологических объектов с высокой пространственной и температурной разрешающей способностью в процессе диагностики их состояния с использованием дополнительной информации о коэффициенте отражения локального участка поверхности на длине волны используемого лазерного излучателя.
Известны тепловизионные устройства измерения температуры, использующие приемники ИК-излучения и системы цифровой обработки тепловизионных изображений объектов (Авторское свидетельство СССР №1218499, МКИ G01К 13/08, 1986 г. Тикулик В.Г., Федотенко А.В. Радиационный сканирующий микропирометр с автоматическим учетом излучательной способности исследуемого объекта. М.: Тепловидение, МИРЭА, 1978 г., стр.92-102). Эти тепловизионные устройства-дефектоскопы измеряют температуру только при наличии контрольной теплограммы путем сравнения ее с теплограммой исследуемого объекта. При этом осуществляется активный контроль путем нагрева объекта в зависимости от времени. Кроме того, требуется неизменность значения излучательной способности по всему полю объекта.
Известно тепловизионное устройство для измерения температуры (Авторское свидетельство СССР №1728680, МКИ G01К 13/04, дата приоритета 06.02.90 г., БИ №15, 1992 г.), содержащее расположенные в поле зрения ИК-приемника объект, опорный излучатель, источник эталонного излучения, блок эталонного нагрева, излучатель фона, оптический приемник излучения, блок обработки сигнала, включающий блок формирования частотно-контрастной характеристики, блок памяти, блок накопления сигнала, два блока вычитания, блок деления, блок определения излучательной способности, блок фильтров фона, блок коррекции, блок логарифмического преобразования, блок режекторных фильтров, блок экспоненциального преобразования, блок масштабирования и блок индикации. Основным недостатком этого тепловизионного устройства является ограничение области использования, так как используется блок эталонного нагрева объекта и датчик излучательной способности.
Наиболее близким по технической сущности, решаемой задаче и достигаемому результату и принятым авторами за прототип является «Устройство для бесконтактного измерения и контроля радиационной и истинной температуры тела биологических объектов (заявка на изобретение №95117798, МПК G01J 5/00, дата приоритета 18.10.1995 г., дата публикации 10.10.1997 г.), радиометрический измерительный канал, которого содержит расположенные по ходу излучения от контролируемого биологического объекта (БО) приемную оптическую фокусирующую систему (ПОФС), преобразователь потока излучения (ППИ), преобразователь спектральной характеристики (ПСХ), приемник излучения (ПИ) с функциональным преобразователем (ФП) для управления чувствительностью этого приемника в зависимости от рабочего значения излучательной способности биологического объекта, усилитель постоянного тока (УПТ) для усиления напряжения низкого уровня и преобразования его в выходной сигнал, пропорциональный измеряемой температуре тел в диапазоне от 30 и до 300°С, аналого-цифровой преобразователь (АЦП), функциональный блок (ФБ) выделения текущего значения измеряемой температуры и ее максимального и минимального значений, цифровое табло для индикации значений измеряемой температуры и действующего значения излучательной способности, встроенный источник питания с импульсным преобразователем для работы в полевых условиях.
Основными недостатками рассматриваемого устройства являются: отсутствие точного позиционирования контролируемого участка поверхности биологического объекта, отсутствие возможности контроля совпадения поверхности объекта с сопряженной плоскостью полевой диафрагмы приемной оптической системы, отсутствие автоматического ввода поправки на изменение излучательной способности поверхности биологического объекта, отсутствие системы объективной оценки состояния поверхности биологического объекта в видимом диапазоне излучения. В результате наличия первых двух недостатков практически исключается возможность контроля температуры и ее изменений в случае малых образований на поверхности биологического объекта. Это резко ограничивает возможности использования прибора в процессе диагностирования. В зависимости от функционального состояния биологического объекта и его отдельных участков меняется наполнение кровью, изменяется химический состав и оптикофизические свойства, как следствие изменяется коэффициент излучательной способности. Для отдельных групп биологических объектов (слизистая оболочка, кожа и др.) может быть выявлена и априорно экспериментально измерена связь между излучательной способностью данного образования и коэффициентом отражения в видимом диапазоне. Наибольшее влияние на свойства биологических объектов оказывает наполнение тканей кровью, что и определяет выбор длинны волны для контроля коэффициента отражения.
Изобретение решает задачи обеспечения возможности автоматического учета изменения излучательных свойств объекта контроля и получения дополнительной возможности объективной оценки состояния малого участка поверхности на больших временных интервалах по двум параметрам: температуре и коэффициенту отражения.
Сущность предлагаемого изобретения заключается в следующем. В устройство для бесконтактного измерения температуры биологических объектов (БО), содержащее последовательно расположенную приемную фокусирующую оптическую систему (ПФОС), преобразователь потока излучения (ППИ), преобразователь спектральной характеристики (ПСХ), первый приемник излучения (ПИ), функциональный преобразователь с кодовым управлением (ФПК), усилитель постоянного тока (УПТ), первый аналого-цифровой преобразователь (АЦП), блок обработки информации (БОИ), введены генератор импульсного питания (ГИП), последовательно соединенный с стабилизированным лазерным излучателем (СЛИ), который оптически сопряжен по двум разнесенным каналам с точкой визирования контролируемого объекта посредством светоделительного устройства (СДУ) и формирующей оптической системы (ФОС), приемная оптическая система лазерного излучения (ПОСЛИ) с последовательно соединенными вторым приемником излучения (ПИ), усилителем-преобразователем (УП) и вторым аналого-цифровым преобразователем (АЦП), а блок обработки информации (БОИ) содержит два преобразователя кодов (ПК), входы которых подключены к соответствующим аналого-цифровым преобразователям, систему регистрации измерений (СР), первый информационный вход, которой соединен с выходом первого преобразователя кодов, а второй информационный вход с выходом второго аналого-цифрового преобразователя, информационные выходы системы регистрации подключены к панели индикации (ПИ) и интерфейсному модулю RS-232, кроме того блок обработки информации содержит пульт управления (ПУ) один сигнальный выход, которого подключен к управляющим входам генератора импульсного питания и к управляющему входу системы регистрации, а второй сигнальный выход к управляющему входу второго преобразователя кодов информационный выход которого подключен к функциональному преобразователю кодов. Для достижения максимальной пространственной разрешающей способности полевая диафрагма преобразователя потока излучения помещается в плоскости, оптически сопряженной с плоскостью контролируемого объекта, а система наведения выполняется по схеме лазерной стереосистемы трехстепенного позиционирования, для чего в схему системы наведения последовательно по ходу излучения лазера установлен светоделитель излучения лазера, после которого излучение направляется на изображение этой полевой диафрагмы, а ко второму выходу светоделительного устройства подключается формирующая оптическая система, лазерное излучение после которой также направляется на изображение полевой диафрагмы с пересечением их в центре этого изображения. Радиометрический канал устройства состоит из ПФОС, ППИ, ПСХ, первого ПИ, ФПК, УПТ и первого АЦП. Для повышения точности измерения температуры, за счет компенсации ошибки измерения температуры, вызванной флуктуацией излучательной способности, введен фотометрический канал контроля сопряженного с ней коэффициента отражения излучения от контролируемого объекта в видимой области спектра, представляющий узел трехстепенного лазерного позиционирования, состоящий из ГИП, СЛИ, СДУ, ФОСС, ПОСЛИ, второго ПИ, УП, второго АЦП, второго ПК, в котором записана заранее измеренная зависимость излучательной способности от коэффициента отражения, сигнал которого подается на функциональный блок для компенсации ошибки. Для получения дополнительной информации при проведении диагностирования биологического объекта на панель индикации одновременно выводится текущее значение температуры и коэффициента отражения данного участка поверхности объекта.
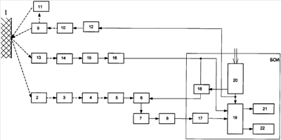
Сущность изобретения поясняется чертежом, на котором изображена структурная схема устройства для бесконтактного измерения температуры биологических объектов. Где представлены: контролируемый биологический объект 1, приемная фокусирующая оптическая система 2, преобразователь потока излучения 3, преобразователь спектральной характеристики 4, первый приемник излучения 5, функциональный преобразователь с кодовым управлением 6, усилитель постоянного тока 7, первый аналого-цифровой преобразователь 8, светоделительное устройство 9, стабилизированный лазерный излучатель 10, формирующая оптическая система 11, генератор импульсного питания 12, приемная оптическая система лазерного излучения 13, второй приемник излучения 14, усилитель-преобразователь 15, второй аналого-цифровой преобразователь 16, первый преобразователь кода 17, второй преобразователь кода 18, система регистрации 19, пульт управления 20, панель индикации 21 и интерфейсный модуль RS232 22. Устройство для бесконтактного измерения температуры биологических объектов содержит последовательно расположенные приемную фокусирующую оптическую систему 2, преобразователь потока излучения 3, преобразователь спектральной характеристики 4, первый приемник излучения 5, функциональный преобразователь с кодовым управлением 6, усилитель постоянного тока 7, первый аналого-цифровой преобразователь 8, а также генератор импульсного питания 12, последовательно соединенный с стабилизированным лазерным излучателем 10, который оптически сопряжен по двум разнесенным каналам с точкой визирования контролируемого объекта 1 посредством светоделительного устройства 9 и формирующей оптической системы 11, приемная оптическая система лазерного излучения 13 с последовательно соединенными вторым приемником излучения 14, усилителем-преобразователем 15 и вторым аналого-цифровым преобразователем 16, а блок обработки информации (БОИ) содержит два преобразователя кодов 17 и 18, входы которых подключены к соответствующим аналого-цифровым преобразователям 8 и 16, а первый информационный вход системы регистрации измерений 19, соединен с выходом первого преобразователя кодов 17, а второй информационный вход системы регистрации измерений 19 с выходом второго аналого-цифрового преобразователя 16, информационные выходы системы регистрации 19 подключены к панели индикации 21 и интерфейсному модулю (RS-232) 22, кроме того блок обработки информации содержит пульт управления 22 один сигнальный выход, которого подключен к управляющим входам генератора импульсного питания 12 и к управляющему входу системы регистрации 19, а второй сигнальный выход к управляющему входу второго преобразователя кодов 18 информационный выход которого подключен к функциональному преобразователю с кодовым управлением 6. Для достижения максимальной пространственной разрешающей способности полевая диафрагма преобразователя потока излучения 3 помещается в плоскости, оптически сопряженной с плоскостью контролируемого объекта 1, а система наведения выполняется по схеме лазерной стереосистемы трехстепенного позиционирования, для чего в схему системы наведения последовательно по ходу излучения лазера установлен светоделитель излучения лазера 9, после которого излучение направляется на изображение этой полевой диафрагмы, а ко второму выходу светоделительного устройства 9 подключается формирующая оптическая система 11, лазерное излучение после которой также направляется на изображение полевой диафрагмы с пересечением их в центре этого изображения.
Устройство работает следующим образом. После нажатия кнопки начала измерений, располагающейся на пульте управления 20, на генератор импульсного питания 12 и систему регистрации 19 подается запускающий сигнал. Импульсы напряжения от генератора импульсного питания 12 поступают на лазерный излучатель 10, на выходе которого формируется пучок лазерного излучения, направляемый на светоделительное устройство 9. Пучок излучения с первого выхода 9 направляется на изображение полевой диафрагмы приемной оптической системы 2 радиометрического канала. Излучение лазера со второго выхода 9 отклоняется на 90° и направляется на формирующую оптическую систему 11. Линейное расстояние между светоделительным устройством 9 и формирующей оптической системой 11 образует стереобазу для контроля осевого смещения прибора относительно сопряженной плоскости. С выхода ФОС 11 излучение направляется на то же изображение полевой диафрагмы. При правильной ориентации прибора на объекте контроля 1 наблюдается одна точка засветки лазерным излучением, которая должна быть направлена на интересующую зону контроля. В случае наличия осевого смещения визируемая точка раздваивается, что указывает на необходимость корректировки осевым смещением прибора относительно объекта. Диффузная компонента лазерного излучения отраженная от биологического объекта 1 попадает на ПОСЛИ 13, после которого направляется на второй приемник излучения 14. Благодаря тому, что лазерный излучатель 10 работает в импульсном режиме, фотометрический канал защищен от фонового излучения, а усилитель 15 этого канала работает на рабочей частоте генератора импульсного питания 12. Сигнал постоянного тока после усилителя-преобразователя 15 поступает на АЦП 16, где преобразуется в цифровой вид и направляется на вход блока обработки информации (БОИ). Собственное инфракрасное излучение биологического объекта поступает на вход приемной фокусирующей оптической системы 2 и направляется на ППИ 3, где преобразуется в импульсный поток излучения, затем в ПСХ 4 происходит подавление излучения в видимой области спектра для обеспечения защиты от фонового излучения. Размеры выделяемой области поверхности биологического объекта 1 определяются полевой диафрагмой, располагаемой в ППИ 3, и параметрами ПФОС 2. Импульсный поток излучения после ПСХ 4 поступает на первый приемник излучения 5, где преобразуется в напряжение электрического сигнала и поступает на функциональный преобразователь 6, коэффициент передачи которого изменяется в соответствии с сигналом, приходящим на его управляющий вход с выхода ПК 18. Второй преобразователь кода 18 является многотабличным преобразователем. В зависимости от типа поверхности биологического объекта 1, с помощью пульта управления 20 выбирается нужная таблица связи коэффициента отражения, величина которого представлена на выходе АЦП 16, и значением поправки, необходимой для компенсации погрешности измерений, возникающей вследствие изменения коэффициента излучения объекта 1. Сигнал с выхода ФПК 6 поступает на вход усилителя постоянного тока 7, где усиливается до необходимого уровня и преобразуется в сигнал постоянного тока, который в дальнейшем поступает на первый аналого-цифровой преобразователь 8 и далее на первый преобразователь кодов 17. Сигнал на выходе ПК 17 соответствует текущей измеренной температуре биологического объекта 1. Одновременно с ним на второй информационный вход системы регистрации 19 поступает сигнал, соответствующий текущему значению коэффициента отражения того же участка поверхности объекта 1. В соответствии с внутренним тактовым генератором СР 19 записывает в свою память значения температуры и коэффициента отражения, полученные в данный момент времени. Процесс регистрации показаний будет продолжаться в течение нажатия управляющей клавиши пульта управления 20 и может рассматриваться как система совокупных измерений, используемых для получения дополнительной информации при их последующей обработке. Интерфейсный модуль RS-232 22 служит для передачи накопленной информации на внешнюю систему сбора и хранения информации, например ПК. Для просмотра текущей серии измерений с управлением от пульта управления 20 служит панель индикации 21, на которую выводится измеренное значение температуры и коэффициента отражения, а также необходимая служебная информация.
Таким образом, предлагаемое техническое решение проводит измерение температуры биологических объектов с высокой пространственной и температурной разрешающей способностью в процессе диагностики их состояния с получением объективной дополнительной информации о состоянии контролируемого объекта в виде коэффициента отражения от его поверхности.
Формула изобретения
Устройство для бесконтактного измерения температуры биологических объектов, содержащее последовательно расположенную приемную оптическую систему, преобразователь потока излучения, преобразователь спектральной характеристики, приемник излучения, функциональный преобразователь с кодовым управлением, усилитель постоянного тока, аналого-цифровой преобразователь и блок обработки информации, отличающееся тем, что введены генератор импульсного питания, последовательно соединенный с лазерным излучателем и оптически сопряженный по двум разнесенным каналам с точкой визирования контролируемого объекта посредством светоделительного устройства и формирующей оптической системы, приемная оптическая система лазерного излучения с последовательно соединенными вторым приемником излучения, усилителем-преобразователем и вторым аналого-цифровым преобразователем, а блок обработки информации содержит два преобразователя кодов, входы которых подключены к соответствующим аналого-цифровым преобразователям, систему регистрации измерений, информационный вход которой соединен с выходом первого преобразователя кодов, а второй информационный вход с выходом второго аналого-цифрового преобразователя, информационные выходы системы регистрации подключены к панели индикации и интерфейсному модулю RS-232, и пульт управления, один сигнальный выход которого подключен к управляющим входам генератора импульсного питания и к управляющему входу системы регистрации, а второй сигнальный выход к управляющему входу второго преобразователя кодов.
РИСУНКИ
|
|