|
|
(21), (22) Заявка: 2007142057/06, 15.11.2007
(24) Дата начала отсчета срока действия патента:
15.11.2007
(46) Опубликовано: 10.01.2009
(56) Список документов, цитированных в отчете о поиске:
RU 2272974 С1, 27.03.2006. RU 2300062 C2, 27.05.2007. RU 2198361 C2, 10.02.2003. SU 861899 A1, 17.09.1981. SU 1322043 A, 07.07.1987. SU 80905 A, 08.08.1961.
Адрес для переписки:
115304, Москва, ул. Луганская, 11, ДОАО “Оргэнергогаз”
|
(72) Автор(ы):
Дубинский Виктор Григорьевич (RU), Антипов Борис Николаевич (RU), Егоров Иван Федорович (RU), Пономарев Владимир Михайлович (RU), Усенко Михаил Илларионович (RU), Кудрявцев Дмитрий Алексеевич (RU)
(73) Патентообладатель(и):
Дочернее Открытое Акционерное Общество (ДОАО) “Оргэнергогаз” (RU)
|
(54) СПОСОБ ОСУШКИ ПОЛОСТИ ПОДВОДНОГО УЧАСТКА МАГИСТРАЛЬНОГО ГАЗОПРОВОДА ПОСЛЕ ГИДРАВЛИЧЕСКИХ ИСПЫТАНИЙ
(57) Реферат:
Изобретение относится к транспорту газа по магистральному газопроводу и может быть использовано при строительстве подводных участков магистральных газопроводов после гидравлических испытаний для осушки. Способ отличается тем, что в процессе осушки измеряют параметры осушки и параметры, характеризующие режим работы откачных вакуумных агрегатов, сравнивают их с заданными допусками и устанавливают баланс между количеством испарившейся влаги и влаги, откачиваемой из полости подводного участка, а при отклонении параметров осушки от заданных допусков регулируют производительность откачных вакуумных агрегатов и доосушку полости подводного участка магистрального газопровода одновременно с вакуумированием осуществляют продувкой азотом вплоть до заданной (проектной) величины влажности. Изобретение должно обеспечить достижение заданной скорости испарения воды в условиях вакуума и эвакуацию паров воды из полости подводного участка магистрального газопровода. 3 н.п. ф-лы, 3 ил.
Изобретение относится к транспорту газа по магистральному газопроводу и может быть использовано при строительстве подводных участков магистральных газопроводов. Подводные участки магистральных газопроводов прокладывают по дну водоемов: морей, рек, озер, а также подводные газопроводы-шлейфы соединяют морские газовые месторождения с терминалами, расположенными на побережье. Подводные участки магистрального газопровода могут иметь протяженность, сопоставимую с протяженностью подземного магистрального газопровода. Например, подводный участок магистрального газопровода «Россия – Турция» проложен по дну Черного моря и имеет протяженность 400 км. Процесс сооружения подводных участков магистрального газопровода включает в себя обязательные предпусковые испытания на прочность и герметичность, которые проводят путем заполнения их водой с подъемом давления до заданной величины, выдержки под этим давлением и последующим опорожнением до атмосферного давления. В отличие от подземного магистрального газопровода, линейные участки которого ограничены запорной арматурой и имеют протяженность до 30 км, особенности технологического процесса осушки подводного участка большой протяженности заключаются в следующем:
– гидравлические испытания и осушку полости подводного участка осуществляют по всей его протяженности;
– производительность установок, используемых для осушки, зависит не только от пропускной способности подводного участка, но и в значительной степени от его аккумулирующей способности;
– после гидравлических испытаний и удаления воды в подводном участке содержится влажная среда с температурой точки росы не выше 6°С, и для достижения заданной проектной глубины осушки (например, до температуры точки росы минус 60°С) требуется применять специальные технологии, позволяющие осуществлять фазовые переходы значительных объемов влаги и ее эвакуацию из полости подводного участка. Технология осушки подводного участка газопровода должна удовлетворять следующим условиям:
– минимальная температура точки росы в полости подводного участка должна быть не выше минус 60°С, что соответствует относительной влажности среды в полости газопровода после осушки не выше 0,0457%, при этом проектную температуру точки росы после осушки линейных подземных участков устанавливают равной минус 20°С;
– остаточная концентрация воздуха в смеси с природным газом, подаваемым в полость подводного участка после осушки, должна быть не выше нижнего предела взрываемости (<5%).
Известен способ осушки полости оборудования [1], основанный на первоначальном вакуумировании и последующей продувке полости, находящейся под вакуумом, наружным атмосферным воздухом, который вводят непосредственно из окружающего пространства, дросселируют и осушают, причем наружный атмосферный воздух дросселируют при вводе в полость, а осушают непосредственно в полости, находящейся под вакуумом, путем его расширения. При этом воздух вводят в количестве, обеспечивающем стационарный режим вакуумной продувки и в течение времени вплоть до достижения остаточной влажности в осушаемой полости заданной величины.
Недостаток такого способа осушки заключается в том, что данный способ не обеспечивает осушку полости подводного участка магистрального газопровода до температуры точки росы ниже минус 20°С, так как при продувке атмосферным воздухом полости подводного участка магистрального газопровода, находящегося под вакуумом, глубина осушки ограничена влагосодержанием атмосферного воздуха, поступающего в осушаемую систему.
Наиболее близким решением по технической сущности и достигнутому результату является способ осушки полости газопровода [2], основанный на заполнении средой осушаемого газопровода, находящегося под давлением, равным атмосферному, подъеме давления в осушаемом газопроводе до заданной величины, продувке, сбросе давления до вакуума с последующей осушкой полости газопровода, находящегося под вакуумом, при подъеме давления и продувке в качестве среды используют атмосферный воздух, а при осушке в осушаемом газопроводе формируют газовую среду в виде смеси атмосферного воздуха и предварительно подготовленного до заданной влажности инертного газа, полученного из атмосферного воздуха путем его разделения на азот и кислород в полимерных половолоконных мембранах. Кислород удаляют, а полученный инертный газ на основе азота перекачивающим средством нагнетают в осушаемый газопровод. После выхода из осушаемого газопровода смеси инертного газа атмосферного воздуха и воды газовую среду отделяют от жидкости, жидкость удаляют, осушенный инертный газ вновь смешивают с атмосферным воздухом и после разделения на азот и кислород полученной газовой смеси, удаления кислорода и воды инертный газ на основе азота рециркуляционным дожимным перекачивающим средством возвращают в осушаемый газопровод. Недостаток данного способа осушки заключается в том, что способ не обеспечивает осушку полости подводного участка магистрального газопровода до температуры точки росы ниже минус 20°С в течение установленного проектом времени, так как не позволяет осуществить регулирование режимов осушки с учетом аккумулирующей способности подводного участка, а также в процессе осушки не обеспечивает баланс между объемом испаряющейся влаги, объемом откачиваемой влаги и объемами замещения азотом влажного воздуха, содержащегося в полости подводного участка магистрального газопровода. Кроме того, экономическая целесообразность применения вышеуказанного способа осушки ограничена объектами осушки. Например, указанный способ эффективен для объектов, в технологических обвязках которых проектами предусмотрены рециркуляционные трубопроводы, например промысловые установки комплексной подготовки газа, компрессорные станции магистрального газопровода, так как способ осушки полости магистрального газопровода предусматривает рециркуляцию осушающей среды с выхода на вход осушаемого газопровода, и данный способ экономически не эффективен для подводных участков магистрального газопровода, так как для осуществления рециркуляции осушающей среды по такому способу осушки потребовалось бы построить временный трубопровод протяженностью, равной расстоянию между отсечными кранами подводного участка магистрального газопровода. Целью изобретения является повышение эффективности и снижение времени осушки полости подводных участков магистрального газопровода после гидравлических испытаний.
Поставленная цель достигается тем, что в предлагаемом способе осушки, основанном на заполнении средой осушаемого подводного участка магистрального газопровода, находящегося под давлением, равным атмосферному, подъеме давления до заданной величины, сбросе давления до вакуума, продувке азотом с последующей осушкой полости подводного участка магистрального газопровода, согласно изобретению с целью достижения заданной скорости испарения воды в условиях вакуума и эвакуации паров воды из полости подводного участка при продувке первоначально в полость подводного участка нагнетают предварительно осушенный атмосферный воздух, через заданные равные интервалы времени определяют скорость изменения влажности воздуха и осушку полости подводного участка магистрального газопровода осуществляют вакуумированием с постоянной скоростью изменения влажности вплоть до момента ее снижения, а последующую доосушку полости подводного участка магистрального газопровода до заданных значений влажности одновременно с вакуумированием ведут азотом, полученным в полимерных половолоконных мембранах из атмосферного воздуха путем его разделения на азот, кислород и удаления кислорода и воды. Предварительно, до начала осушки полости подводного участка магистрального газопровода, рассчитывают характеристики работы откачных вакуумных агрегатов и подводного участка в виде совмещенного графика в координатах «производительность – давление», определяют производительность откачных вакуумных агрегатов, соответствующую пропускной и аккумулирующей способности подводного участка магистрального газопровода при его вакуумировании от давления, равного атмосферному, до давления заданной величины, а максимальную производительность откачных вакуумных агрегатов при насыщении откачиваемой среды парами воды и продолжительность откачки влаги из полости подводного участка определяют по формулам:
 
где: qmax – максимальная производительность откачных вакуумных агрегатов(м3/час); YA – показатель аккумулирующей способности подводного участка; R – внутренний радиус труб (м); L – протяженность подводного участка газопровода (м); – коэффициент динамической вязкости среды, откачиваемой из полости подводного участка газопровода (кг час/м2); – скорость изменения давления за время 1 при вакуумировании подводного участка (мбар/час); 1 – продолжительность откачки влаги при вакуумировании с максимальной производительностью откачных вакуумных агрегатов (час); РН – давление в полости подводного участка в начале вакуумирования (мбар); hК – разность геодезических высотных отметок профиля трассы в конце подводного участка газопровода (между подводной и береговой частью газопровода) (м); hн – разность геодезических высотных отметок профиля трассы в начале подводного участка газопровода (между береговой и подводной частью газопровода) (м); T – абсолютная температура в полости подводного участка газопровода (К); Vвл – объем влаги в полости подводного участка газопровода (кг); Vтр – геометрический объем полости подводного участка газопровода (м3); Iк – расстояние между геодезическими высотными отметками профиля трассы в конце подводного участка газопровода (м); Iн – расстояние между геодезическими высотными отметками профиля трассы в начале подводного участка газопровода (м); H1 – упругость паров воды в начале осушки (мм рт.ст.); Н3 – упругость паров воды в полости подводного участка, соответствующая заданному значению влажности среды (мм рт.ст.); – скорость изменения давления в полости подводного участка за время d при изменении упругости паров воды от H1 до Н3 (мбар/час); N – кратность обмена среды в объеме подводного участка газопровода (отношение суммарного количества влаги, которое следует удалить для достижения заданной величины влажности, к количеству влаги, откачиваемой из одного объема подводного участка газопровода). При продувке воздухом согласно изобретению определяют начальные параметры, характеризующие термодинамическое состояние среды, содержащейся в полости подводного участка магистрального газопровода перед началом осушки, измеряют давление, температуру, температуру точки росы воздуха, содержащегося в полости подводного участка магистрального газопровода, температуру и давление наружного воздуха, температуру и давление предварительно осушенного воздуха, нагнетаемого в полость подводного участка, по результатам измерений указанных параметров определяют количество влаги, оставшейся в полости подводного участка после гидравлических испытаний и удаления воды перед продувкой воздухом, а количество удаляемой в процессе осушки влаги для достижения заданных проектных значений влажности рассчитывают по формуле:

где: Vвл – объем удаляемой в процессе осушки влаги(кг); А – коэффициент, зависящий от диаметра подводного участка магистрального газопровода, толщины пленки жидкости на внутренней поверхности труб и силы поверхностного натяжения (г/км мм рт.ст.); Tтр – абсолютная температура в подводном участке магистрального газопровода (K); L – протяженность подводного участка магистрального газопровода (м); H1 – упругость паров воды перед началом осушки, соответствующая начальной температуре точки росы в полости подводного участка(мм рт.ст.); Н3 – упругость паров воды, соответствующая заданной проектной температуре точки росы (мм рт.ст.); – плотность паров воды (кг/м3); Vтр – геометрический объем полости подводного участка магистрального газопровода (м3); d(Pтр,Tтр) – начальное влагосодержание среды при измеренных давлении (Ртр) и температуре (Ттр) в полости подводного участка (г/м3); d(Рнг,Тнг) – влагосодержание воздуха при измеренных на нагнетании компрессоров давлении (Рнг) и температуре (Тнг) (г/м3); Р0 – давление, приведенное к нормальным условиям (МПа); Ртр – начальное давление в трубопроводе (МПа). В процессе вакуумирования полости подводного участка газопровода через заданные и равные интервалы времени измеряют производительность откачных вакуумных агрегатов и давление в начале и конце подводного участка, определяют скорость изменения давления откачиваемой из полости подводного участка среды в течение каждого из интервалов времени между соседними измерениями, указанные параметры сравнивают с заданными допусками и осушку полости подводного участка магистрального газопровода осуществляют с постоянной скоростью снижения давления, а при отклонении скорости осушки от заданного предельного значения в полость подводного участка, находящегося под вакуумом, подают азот, при продувке полости подводного участка азотом устанавливают режим максимального насыщения азота парами воды, содержащимися в полости осушаемого подводного участка, причем при превышении скорости насыщения азота парами воды заданной предельной величины регулируют производительность откачных вакуумных агрегатов изменением частоты вращения вала привода и отключением одного или нескольких агрегатов, а величину снижения производительности откачных вакуумных агрегатов и продолжительность заполнения и продувки азотом вплоть до достижения заданной влажности в полости подводного участка магистрального газопровода определяют по формулам:


где: q – изменение производительности откачных вакуумных агрегатов (м3/час): qmax – максимальная производительность откачных вакуумных агрегатов (м3/час); – скорость изменения пропускной способности подводного участка в течении интервала времени между соседними измерениями (м3/час2); ti – продолжительность осушки между измерениями (час); i – номер измерения: 2 – продолжительность заполнения и продувки азотом подводного участка (час); Vтр – геометрический объем полости подводного участка (м3); qN2 – производительность блока получения азота (м3/час); Dтр – диаметр подводного участка (м); Dпр – диаметр продувочного трубопровода (м): Н2 – упругость паров воды в полости подводного участка в момент начала заполнения азотом (мм рт.ст.): Н3 – заданное (проектное) значение упругости паров воды (мм рт.ст.); F – кратность обмена азота в объеме подводного участка для достижения заданной влажности. Особенности осушки подводных участков магистральных газопроводов большой протяженности заключаются в том, что первоначально вакуумирование полости осуществляют в условиях нестационарного режима течения откачиваемой среды, при котором давление и скорость течения среды меняются по длине участка газопровода. При этом объем воздуха в подводном участке превышает объемы влаги, испаряющейся с его внутренней поверхности. Принятая в изобретении физическая модель осушки основана на том, что в процессе вакуумирования частицы жидкости из объема переходят на внутреннюю поверхность, испаряются и с объемом воздуха откачиваются из полости трубопровода, а условиям баланса соответствует оптимальный режим осушки, при котором объем испарившейся при вакуумировании жидкости равен объему воздуха, откачиваемого из полости газопровода за равные промежутки времени. Для определения основных параметров технологического процесса осушки полости газопровода приняли следующие физические модели:
– зависимость термодинамического потенциала системы «жидкость – пар» от изменения упругости паров воды в газопроводе как в условиях равновесия (состояния системы перед началом осушки), так и при нарушении равновесия в процессе осушки, то есть в условиях изменения объемов жидкости и соответственно увеличения давления насыщенного пара по отношению к давлению воздуха, содержащегося в полости подводного участка газопровода;
– зависимость времени откачки влажного воздуха от изменения упругости паров воды и газодинамических параметров (производительности откачных вакуумных агрегатов, давления и температуры среды в полости подводного участка, диаметра газопровода). Для определения объема влаги, содержащейся в полости подводного участка магистрального газопровода, уравнение для полного термодинамического потенциала состояния системы «жидкость – пар» представили в виде:

где: N1 – количество частиц влаги в паровой фазе (моль); N2 – количество частиц в жидкой фазе (моль); 1 – термодинамический потенциал паровой фазы при температуре Т и давлении Р в полости подводного участка (Дж); 2 – термодинамический потенциал жидкой фазы (Дж); 4 R2 – энергия жидкости, содержащейся в виде пленки на внутренней поверхности труб подводного участка после удаления воды (Дж); – сила поверхностного натяжения; R – внутренний радиус труб подводного участка (м). Для условия равновесия выражение 6 представили в виде:

Выразив количество частиц в жидкой фазе N2 через объем молекул воды V2 и учитывая соотношения d 1=V1dH и d 2=V2dH после дифференцирования выражения 7 получили уравнение для определения скорости испарения воды в зависимости от изменения упругости паров воды H в подводном участке магистрального газопровода в виде:

Проинтегрировав уравнение 8, получили выражение для определения количества влаги, содержащейся в полости подводного участка магистрального газопровода перед началом осушки в виде формулы:

где: А – коэффициент, зависящий от диаметра труб подводного участка, толщины пленки жидкости на внутренней поверхности труб и силы поверхностного натяжения (г/км мм рт.ст.); Ттр – абсолютная температура в подводном участке газопровода (К); L – протяженность подводного участка газопровода (м); H1 – упругость паров воды перед началом осушки (мм рт.ст.); Н3 – упругость паров воды, соответствующая заданной (проектной) температуре точки росы (мм рт.ст.); – плотность паров воды (кг/м3). Формулу для определения суммарного количества среды, которую необходимо удалить из полости подводного участка магистрального газопровода для достижения заданных проектных значений влажности, представили в виде:
  
где: Vтр – геометрический объем полости подводного участка (м3);
d(Pтр,Tтр) – начальное влагосодержание воздуха при измеренных давлении (Ртр) и температуре (Ттр) в полости подводного участка (г/м3); d(Рнг,Тнг) – влагосодержание в воздухе при измеренных на нагнетании компрессоров давлении (Рнг) и температуре (Тнг) (г/м3); Р0 – давление, приведенное к нормальным условиям(МПа); Ртр – начальное давление в трубопроводе (МПа). Специфика технологического процесса вакуумирования подводных участков большой протяженности заключается в том, что производительность откачных вакуумных агрегатов зависит от пропускной и аккумулирующей способности осушаемого участка. Поэтому для определения времени осушки и максимальной производительности откачных вакуумных агрегатов зависимость производительности от давления q=f(p) разбили на три зоны. На фиг.1 показан график изменения производительности блока откачных вакуумных агрегатов от давления, измеренного в конце подводного участка, а на фиг.2 – то же, в начале участка.
– зона АВ характеризует нестационарный режим течения, при котором давление в каждом сечении вакуумируемой системы меняется по длине подводного участка и во времени. На практике выход на стационарный режим работы откачных вакуумных агрегатов осуществляют в течение 1 часа;
– зона ВС характеризует квазистационарный режим течения при постоянной максимальной производительности откачных вакуумных агрегатов. Исходное выражение для определения максимальной производительности откачных вакуумных агрегатов для квазистационарной модели течения среды в подводном участке при его вакуумировании в соответствии с законом Пуазейля и с учетом профиля трассы представили в виде:

где: qmax – максимальная суммарная производительность откачных вакуумных агрегатов (м3/час); YA – показатель аккумулирующей способности подводного участка; R – внутренний радиус труб (м): Pср – среднее давление в участке газопровода при вакуумировании (мбар); Р – разность давлений в начале и конце участка газопровода (мбар); L – протяженность участка газопровода (м); – коэффициент динамической вязкости среды, откачиваемой из полости участка газопровода (кгч/м2); hк – разность геодезических высотных отметок профиля трассы в конце подводного участка газопровода (между подводной и береговой частью газопровода) (м): hн – разность геодезических высотных отметок профиля трассы в начале подводного участка газопровода (между береговой и подводной частью газопровода) (м): T – абсолютная температура в полости подводного участка газопровода (К); Vвл – объем влаги в полости подводного участка газопровода (кг); Iк – расстояние между геодезическими высотными отметками профиля трассы в конце подводного участка газопровода (м); Iн – расстояние между геодезическими высотными отметками профиля трассы в начале подводного участка газопровода (м); H1 – упругость паров воды в начале осушки (мм рт.ст.); Н3 – упругость паров воды в полости подводного участка, соответствующая заданному значению влажности среды (мм рт.ст.); – скорость изменения давления в полости подводного участка за время d при изменении упругости паров воды от H1 до Н3 (мбар/час). Экспериментально определили, что в процессе вакуумирования давление в каждом сечении подводного участка изменяется во времени по экспоненциальному закону:

где: P( i) – давление в конце вакуумирования, равное заданной (проектной) величине (мбар); РН – давление в начале вакуумирования (мбар); i – продолжительность вакуумирования от давления Р0 до давления Р( i) (мбар); – скорость изменения давления в полости подводного участка за время  (мбар). С учетом зависимости (12) формулу для определения среднего давления в начале подводного участка получили в виде и для определения среднего давления в конце участка – в виде а среднее давление по всей протяженности подводного участка при его вакуумировании от начального давления до конечного давления (Рср) и разность давлений в начале и конце подводного участка (АР) представили в виде формул:


где: – отношение среднего давления в конце подводного участка к среднему давлению в начале подводного участка. С учетом формул (13) и (14) произведение P×Pср, входящее в формулу (11), представили в виде:

При осушке подводных участков магистральных газопроводов проектные величины температуры точки росы устанавливают в диапазоне от минус 20°С до минус 60°С, что соответствует давлениям 1 мбар и 0,002 мбар. В указанном диапазоне конечных давлений при начальном давлении, равном 1000 мбар, величину (1-К2) не учитывают ввиду ее малости. Показатель аккумулирующей способности подводного участка определили по формуле [3]:

где: YA – показатель аккумулирующей способности подводного участка; q1 – производительность в начале подводного участка (м3/час); q2 – производительность в конце подводного участка (м3/час); Р(0, ) – давление в начале участка в момент времени (мбар); P(I, ) – давление в конце участка в момент времени (мбар); Р(0,0) – начальное давление в начале участка (мбар); P(I,0) – начальное давление в конце участка (мбар). Окончательно выражение (11) для определения максимальной производительности откачных вакуумных агрегатов представили в виде:

где: qmax – максимальная производительность откачных вакуумных агрегатов (м3/час); YA – показатель аккумулирующей способности подводного участка; R – внутренний радиус труб (м); L – протяженность подводного участка газопровода (м); – коэффициент динамической вязкости среды, откачиваемой из полости подводного участка газопровода (кгчас/м2); – скорость изменения давления за время 1, при вакуумировании подводного участка (мбар/час); РН – давление в полости подводного участка в начале вакуумирования (мбар); hк – разность геодезических высотных отметок профиля трассы в конце подводного участка газопровода (между подводной и береговой частью газопровода) (м); hн – разность геодезических высотных отметок профиля трассы в начале подводного участка газопровода (между береговой и подводной частью газопровода) (м); Т – абсолютная температура в полости подводного участка газопровода (К); 1 – продолжительность откачки влаги при вакуумировании с максимальной производительностью откачных вакуумных агрегатов (час); Vвл – объем влаги в полости подводного участка газопровода (кг); Iк – расстояние между геодезическими высотными отметками профиля трассы в конце подводного участка газопровода (м); Iн – расстояние между геодезическими высотными отметками профиля трассы в начале подводного участка газопровода (м); H1 – упругость паров воды в начале осушки (мм рт.ст.); Н3 – упругость паров воды в полости подводного участка, соответствующая заданному значению влажности среды (мм рт.ст.); – скорость изменения давления в полости подводного участка за время d при изменении упругости паров воды от H1 до Н3 (мбар/час). Продолжительность вакуумирования 1 при постоянной производительности q=qmax определили интегрированием выражения и представили в виде формулы:

где: dV – объем откачиваемой из полости подводного участка магистрального газопровода среды за время d при изменении давления на величину dp(м3); Vтр – геометрический объем подводного участка (м3); N – кратность обмена среды в объеме подводного участка (отношение суммарного количества влаги, которое следует удалить для достижения заданной величины влажности к количеству влаги, откачиваемой из одного объема подводного участка); q – производительность откачных вакуумных агрегатов (м3/час); H1 – упругость паров воды в начале осушки (мм рт.ст.); Н3 – упругость паров воды в полости подводного участка, соответствующая заданному значению влажности среды (мм рт.ст.).
– зона CD характеризует режим, при котором откачиваемые объемы превышают объем испаряющейся при вакуумировании влаги. В процессе осушки производительность откачных вакуумных агрегатов превышает пропускную способность подводного участка. Регулирование производительности осуществляют изменением частоты вращения и отключением одного или нескольких откачных вакуумных агрегатов. Экспериментальным путем определили, что при вакуумировании полости газопровода в диапазоне давлений от 0,2 мбар до 0,01 мбар пропускная способность подводного участка в зависимости от давления и аккумулирующей способности изменяется по закону, близкому к экспоненциальному, функциональную зависимость которого представили формулой:

где: Q( ) – пропускная способность подводного участка магистрального газопровода (м3/час); q=qmax-q1 – разница между максимальной производительностью откачных вакуумных агрегатов (qmax) и производительностью q 1 в момент времени 1(м3/час2); – скорость изменения пропускной способности подводного участка за время  = 1– 0 (м3/час). С учетом зависимости (19) снижение пропускной способности подводного участка за время  представили в виде:

После интегрирования (20) получили формулу для определения величины снижения производительности откачных вакуумных агрегатов в зависимости от изменения пропускной и аккумулирующей способности подводного участка магистрального газопровода:

где: q – изменение суммарной производительности откачных вакуумных агрегатов (м3/час); qmax – максимальная суммарная производительность откачных вакуумных агрегатов (м3/час); – скорость изменения пропускной способности подводного участка в течение интервала времени между соседними измерениями (м3/час2); i – продолжительность осушки между соседними измерениями (час); i – номер измерения. С целью повышения эффективности и сокращения времени осушки одновременно с регулированием производительности откачных вакуумных агрегатов в полость подводного участка подают азот, полученный из атмосферного воздуха путем его разделения на азот и кислород в полимерных половолоконных мембранах. Температуру точки росы азота, подаваемого в полость подводного участка, регулируют таким образом, чтобы после расширения потока азота в вакууме величина температуры точки росы была бы равной заданному проектному значению. Например, при отношении объема азота на выходе из полимерных половолоконных мембран к объему воздуха, входящему в мембраны, равном 0,5, температура точки росы азота составит минус 50°С, а при отношении, равном 0,42, – минус 60°С. Причем азотирование полости подводного участка осуществляют от начала участка, а откачку среды производят вакуумированием полости от конца участка. Первоначально весь объем подводного участка, находящийся под вакуумом, заполняют азотом. Дальнейшую доосушку осуществляют продувкой азотом и вакуумированием полости подводного участка вплоть до заданной (проектной) величины влажности. Из газовой динамики известно, что если давление наружного воздуха меньше критического, то скорость истечения азота через продувочный трубопровод равна критической и в выходном сечении устанавливается критическое давление. Таким образом, для этапа осушки подводного участка продувкой азотом приняли модель критического истечения. Зависимость временной координаты от давления в полости подводного участка магистрального газопровода представили в виде формулы [4]:

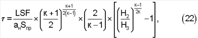
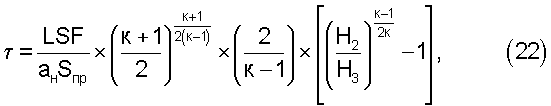
где: – продолжительность доосушки продувкой азотом(час); L – протяженность подводного участка (м); S – площадь сечения труб подводного участка (м2); Sпр – площадь сечения труб продувочного трубопровода (м2); ан=(KRTтр)0,5 – начальная скорость звука (м/сек); К – коэффициент адиабаты азота; R – универсальная газовая постоянная азота (Дж/кгК); Ттр – абсолютная температура в полости подводного участка (К); F – кратность обмена среды в объеме подводного участка при замещении воздуха азотом; H2 – упругость паров воды в полости подводного участка в начале заполнения азотом (мм рт.ст.); Н3 – упругость паров воды, соответствующая заданной (проектной) температуре точки росы (мм рт.ст.). Граничные условия для продувки азотом представили в виде формулы:

С учетом граничных условий (23) формулу для определения продолжительности осушки подводного участка магистрального газопровода в процессе заполнения азотом и продувки азотом от величины упругости паров H2 до заданной (проектной) величины Н3 представили в виде:

где: Vтр – геометрический объем подводного участка (м3); Dтр – диаметр труб подводного участка (м): Dпр – диаметр труб продувочного трубопровода (м): qN2 – производительность блока получения азота (м3/час). Подставив в выражение 24 значения постоянных величин, продолжительность заполнения и продувки азотом полости подводного участка магистрального газопровода представили в виде формулы:

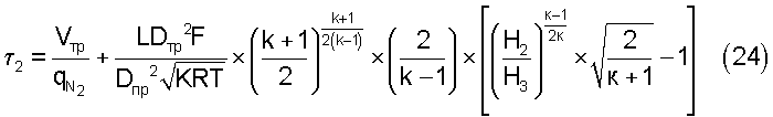
где: 2 – продолжительность заполнения и продувки азотом подводного участка (час); qN2 – производительность блока получения азота (м3/час); D – диаметр подводного участка (м); Dтр – диаметр продувного трубопровода (м); L – длина подводного участка (м); F – кратность обмена азота в объеме подводного участка для достижения заданной влажности; T – температура в трубопроводе (К); H2 – упругость паров воды в полости подводного участка (мм рт.ст.); H3 – упругость паров воды, соответствующая заданной (проектной) температуре точки росы (мм рт.ст.). Формулу для определения суммарного времени осушки вакуумированием, заполнением азотом и продувкой азотом вплоть до заданной (проектной) влажности в полости подводного участка магистрального газопровода представили в виде:

где:  – суммарное время осушки подводного участка (час); 2 – продолжительность заполнения и продувки азотом (час): N – кратность обмена среды в объеме подводного участка; Vтр – геометрический объем подводного участка (м3); qmax – максимальная производительность откачных вакуумных агрегатов (м3/час); P1 – давление в трубопроводе в начале вакуумирования (мбар); P2 – давление в трубопроводе в конце вакуумирования (мбар). На фиг.3 показана схема предлагаемого способа осушки подводного участка магистрального газопровода, где: 1 – магистральный газопровод; 2 – подводный участок магистрального газопровода; 3 – заглушка: 4 – камера продувки; 5 – камера вакуумирования; 6 – блок компрессоров; 7 – блок получения азота; 8 – блок осушки воздуха; 9 – блок откачных вакуумных агрегатов; 10, 11, 12, 15, 16, 17 – кран; 13, 14 – продувочный трубопровод; 18 – датчик температуры наружного воздуха; 19 – датчик давления на входе блока компрессоров; 20 – датчик температуры на выходе блока компрессоров; 21 – датчик давления на выходе блока компрессоров; 22 – анализатор концентрации кислорода на выходе блока получения азота; 23 – гигрометр (измеритель температуры точки росы азота): 24 – гигрометр (измеритель температуры точки росы среды в полости газопровода); 25 – вакуумметр; 26 – гигрометр; 27 – анализатор концентрации кислорода в полости подводного участка магистрального газопровода; 28 – датчик температуры в полости подводного участка; 29 – расходомер, 30 – датчик давления. Предлагаемый способ показан на примере осушки подводного участка магистрального газопровода, проложенного по дну моря между береговыми компрессорными станциями. Подводный участок 2 протяженностью 400 км магистрального газопровода 1 смонтирован из труб внутренним диаметром Dвн=600 мм. Разность геодезических высотных отметок в начале и конце подводного участка и расстояние между высотными отметками береговой и подводной части газопровода приняли в соответствии с проектом строительства магистрального газопровода hн=300 м, Iн=80 м, hк=500 м, Iк=100 м. Величину температуры точки росы, приведенную к нормальным условиям, в полости подводного участка магистрального газопровода согласно проекта приняли равной минус 60°С в начале участка и минус 40°С в его конце. Для гидравлических испытаний и удаления остатков воды, оставшейся в полости подводного участка в виде пленки на внутренней поверхности труб, подводный участок 2 отделили от магистрального газопровода 1 заглушками 3. К началу подводного участка 2 пристыковали камеру продувки 4 и продувочный трубопровод 13 диаметром 150 мм, а к концу подводного участка присоединили камеру вакуумирования 5 и продувочный трубопровод 14 диаметром 300 мм. Предлагаемый способ осушки полости подводного участка 2 газопровода 1 осуществили после гидравлических испытаний и слива основного количества воды. После завершения гидравлических испытаний и удаления основного количества воды к подводному участку 2 дополнительно присоединили блок компрессоров 6, блок осушки воздуха 8, блок получения азота 7, блок откачных вакуумных агрегатов 9. Для осуществления контроля параметров в процессе осушки на входе в блок компрессоров 6 установили датчик температуры 18 и датчик давления 19, на выходе из блока компрессоров 6 установили датчик температуры 20 и датчик давления 21, на выходе из блока получения азота 7 смонтировали анализатор концентрации кислорода 22 и гигрометр 23, на входе продувочного трубопровода 13 смонтировали гигрометр 24. В подводной части участка 2 установили датчик температуры 28, на входе блока откачных вакуумных агрегатов 9 установили расходомер 29 и вакуумметр 25, а на входе продувочного трубопровода 14 смонтировали гигрометр 26 и анализатор концентрации кислорода 27. Первоначально закрыли кран 10 на входе блока получения азота 7, кран 11 на выходе блока 7, закрыли кран 13 продувочного трубопровода и кран 15 на входе блока откачных вакуумных агрегатов 9. Открыли кран 12, краны 16 и 17, полость подводного участка заполнили воздухом, предварительно осушенным в блоке 8 до температуры точки росы минус 20°С, и открытием крана продувочного трубопровода 14 и затвора камеры вакуумирования 5 сообщили полость подводного участка 2 с атмосферой, образовали канал продувки подводного участка 2 воздухом, предварительно осушенным в блоке осушки 8. Воздух нагнетали в полость подводного участка 2 компрессором 6. Для оценки начальных параметров, характеризующих термодинамическое состояние среды, содержащейся в полости подводного участка 2, в момент выхода воздуха из продувочного трубопровода 14 измерили давление 30, температуру 28, температуру точки росы 26 и параметры работы компрессора 6: давление 20, температуру нагнетания 21 и давление 18, температуру наружного воздуха 19. Определили величины указанных параметров: давление в полости подводного участка Ртр=0,165 МПа, температура Ттр=6°С, температура точки росы ТТР=4°С, давление нагнетания компрессора Рнг=1,2 МПа, температура нагнетания Тнг=30°С, температура наружного воздуха t0=10°С, давление наружного воздуха Рнв=0,1033 МПа. Определили значения показателей, входящих в формулу 3: А=0,052·10-3; Ттр=tтр+273=6+273=279 К; L=400000 м; H1=6,1 мм рт.ст.; Н3=0,012 мм рт.ст.; Vтр=113040 м3; d(Pтр,tтр)=7,84 г/м3; d(Рнг,tнг)=25,44 г/м3 и по формуле 3 рассчитали количество воды, которое следует удалить из полости подводного участка 2 в процессе осушки:

Продувку полости подводного участка 2 завершили после выхода предварительно осушенного в блоке 8 потока воздуха из продувочного трубопровода 14 в конце подводного участка 2 и после сброса давления до атмосферного в полости подводного участка 2. Отключили компрессор 6, закрыли кран 12, кран на продувочном трубопроводе 14 и после закрытия затвора камеры вакуумирования 5 изолировали подводный участок 2 от окружающего наружного пространства, тем самым создали условия для его вакуумирования.
Для расчета максимальной производительности откачных вакуумных агрегатов определили параметры, входящие в формулу 1: R=0,3 м;
Р0=1000 мбар; =1,75·10-6 кг·сек/м2=0,0063 кг·час/м2; hн=300 м; Iн=80 м; hк=500 м; Iк=100; 
По графику (фиг.1) определили диапазон давлений в конце подводного участка при вакуумировании с постоянной скоростью откачки паров воды в точке А равной 990 мбар, в точке В равной 52 мбар и в точке С – 0,16 мбар. По графику (фиг.2) определили соответствующие давления в начале участка: в точке А – 1000 мбар, в точке В – 60 мбар, в точке С – 0,2 мбар. По формуле 16 определили показатель аккумулирующей способности подводного участка при вакуумировании с максимальной скоростью откачки среды из полости участка: По формуле 1 определили максимальную производительность откачных вакуумных агрегатов, соответствующую пропускной и аккумулирующей способности подводного участка 2 магистрального газопровода 1, обеспечивающую насыщение воздуха парами воды и его эвакуацию из полости осушаемого участка 2 при максимальной скорости

Кратность обмена среды N в объеме подводного участка определили по формуле  
Расчетное время вакуумирования с постоянной скоростью откачки паров воды, характеризующей баланс между объемом испарившейся влаги и объемом откачиваемой влаги определили по формуле (2):

Среднюю расчетную величину скорости снижения давления при вакуумировании полости подводного участка с постоянной скоростью откачки определили равной: 
Число смен объема воздуха F при его замещении азотом в полости подводного участка для достижения заданной величины влажности определили из соотношения: 
где: dн – начальное влагосодержание воздуха перед подачей азота в полость подводного участка; dпр – проектное влагосодержание; dN2 – влагосодержание азота, подаваемого в полость подводного участка. Расчетное время заполнения азотом и продувки азотом при снижении давления от 0,16 мбар (0,15 мм рт.ст.) до заданной (проектной величины) 0,002 мбар (0,012 мм рт.ст.) определили по формуле (25):

Суммарное расчетное время вакуумирования, заполнения азотом и продувки азотом подводного участка определили по формуле 26 равным 587,4 часа. Для вакуумирования подводного участка 2 магистрального газопровода 1 применили двухступенчатые откачные вакуумные агрегаты, производительностью 4000 нм3/час каждый, включающие на первой ступени форвакуумные насосы и насосы Рутса на второй ступени.
К полости осушаемого участка 2 магистрального газопровода 1 подключили три агрегата, которые параллельно объединили трубопроводами в блок откачных вакуумных агрегатов 9 суммарной производительностью 12000 нм3/час. Первоначально, после пуска блока 9, форвакуумные насосы обеспечивали откачку воздуха из полости участка 2 со скоростью 9000 нм3/час от давления 990 мбар, при достижении давления 52 мбар включили насосы Рутса и последующую откачку влаги осуществляли со скоростью 12000 нм3/час при двухступенчатой работе блока откачных вакуумных агрегатов 9. Для измерения вакуумметрического давления в начале и конце подводного участка применили технический преобразователь вакуумметрического давления, модель TTR 96S «Thermovac» (Германия), погрешность 15% от измеренного значения в диапазоне давлений 0,01-1000 мбар. С учетом погрешности прибора приняли диапазон расчетных скоростей изменения давления при вакуумировании подводного участка 2 равным: ср=0,089±0,013=0,076-0,102мбар/час.
В качестве допуска установили параметр, характеризующий баланс между объемами испарившейся при вакуумировании воды и объемами паров воды, откачиваемых из полости осушаемого участка магистрального газопровода 2. Задали величину отношения скорости откачки, соответствующую производительности откачных вакуумных агрегатов 9, к скорости изменения давления при вакуумировании, соответствующей скорости испарения влаги в полости подводного участка. Расчетные минимальное и максимальное значения величины отношения производительности откачных вакуумных агрегатов к величине изменения давления при вакуумировании полости осушаемого участка 2 магистрального газопровода 1 определили равными 

Для регулирования технологических режимов осушки полости подводного участка 2, обеспечивающих баланс между объемами испарившейся воды и объемами откачки паров воды, установили следующие граничные условия:
– для условий стационарного режима осушки (зона ВС на фиг.1, 2) задали допустимый диапазон изменения фактических измеренных параметров: скорости осушки и отношения приращения объема откачиваемой среды к приращению давления в полости подводного участка Указанные соотношения характеризуют баланс между испарившейся и откачиваемой влагой. Откачку паров влаги осуществили тремя откачными вакуумными агрегатами с суммарной производительностью 12000 нм3/час. Для осуществления вакуумирования, открытием крана 15 на входе блока откачных вакуумных агрегатов 9 образовали канал вакуумирования полости подводного участка 2 магистрального газопровода 1. Осуществили откачку влажного воздуха из полости подводного участка 2 в окружающее наружное пространство. В процессе вакуумирования через интервалы времени, равные 10 часов, измеряли давление 25 на входе блока откачных вакуумных агрегатов 9 и по характеристике частотного преобразователя скорости вращения вала привода каждого откачного вакуумного агрегата определяли его производительность. На завершающем этапе осушки от давления 0,16 мбар до проектного давления 0,002 мбар (зона CD на фиг. 1,2) скорость откачки паров воды превышает скорость испарения воды с внутренней поверхности труб подводного участка.
Для указанного режима осушки определили соответствующие соотношения между фактическими измеренными параметрами и заданным допуском: 
где: – отношение фактической скорости осушки к расчетной (заданному допуску); – отношение приращения объема откачиваемой среды к изменению давления в полости подводного участка. В процессе осушки измеряли производительность 29 и давление 25 на выходе откачных вакуумных агрегатов 9. По мере снижения скорости испарения воды регулировали производительность откачных вакуумных агрегатов 9 до величины, равной пропускной способности осушаемого участка 2. Для регулирования производительности использовали частотный преобразователь типа «Combivert F-4» производства фирмы «Leybold». Фактическую производительность откачных вакуумных агрегатов 9 определили по характеристике частотного преобразователя в координатах «скорость откачки (нм3/час) – частота (Гц)», а величину снижения производительности рассчитали по формуле 4. Расчетную величину снижения производительности определили равной 4310 м3/час. При давлении на выходе блока откачных вакуумных агрегатов 9, равном 0,16 мбар, снижение производительности достигло предельной величины (dv/dp>1), а суммарную производительность откачных вакуумных агрегатов зафиксировали равной 7590 м3/час. Отключили один откачной вакуумный агрегат в блоке 9. Фактическая продолжительность вакуумирования от начального давления, равного 1000 мбар, до давления 0,16 мбар составила 348 часов. Одновременно с вакуумированием дальнейшую доосушку полости подводного участка 2 магистрального газопровода 1 осуществили продувкой полости осушаемого участка азотом. Открыли кран 10 на выходе блока компрессоров 6 и кран 11 на выходе блока получения азота 7, производительностью 800 нм3/час. Включили компрессоры, заполнили азотом полость подводного участка 2, при этом поддерживали давление в начале подводного участка 4,8 мбар, а в конце подводного участка 1,0 мбар. Дальнейшую продувку азотом осуществили одновременно с вакуумированием вплоть до достижения в полости подводного участка заданной (проектной) величины температуры точки росы минус 60°С. Фактическое время заполнения и продувки азотом зафиксировали равным 262,2 часа, а суммарная продолжительность осушки подводного участка магистрального газопровода от начальной температуры точки росы, равной 4°С, до заданной (проектной) величины минус 60°С составила 610,2 часа.
Величина погрешности расчета суммарного времени осушки подводного участка магистрального газопровода по предлагаемому способу осушки составила 
Таким образом, способ осушки подводных участков магистральных газопроводов позволяет достичь заявленной цели, повышает эффективность осушки, уменьшает время осушки, позволяет осуществлять контроль и управление процессом осушки для обеспечения баланса между количеством испаряемой и удаляемой влаги вплоть до заданных (проектных) величин влажности среды в полости подводного участка магистрального газопровода.
Источники информации
1. Патент RU 2198361.
2. Патент RU 2272974.
3. Основы газовой динамики. М.: Гостоптехиздат, 1961, с.176-180 (авт. Чарный).
4. Информационно-вычислительные системы в диспетчерском управлении газопроводами. М.: Недра, 1978, с.179 (авт. Панкратов, Дубинский, Сиперштейн).
Формула изобретения
1. Способ осушки полости подводного участка магистрального газопровода, заключающийся в заполнении полости подводного участка предварительно осушенным атмосферным воздухом и сообщении полости с атмосферой, продувке полости подводного участка предварительно осушенным воздухом, определении через заданные равные интервалы времени скорости изменения влажности воздуха, завершении продувки предварительно осушенным воздухом после выхода потока воздуха в конце подводного участка и сбросе давления до атмосферного в полости подводного участка, изолировании полости подводного участка от окружающего наружного пространства для подготовки к вакуумированию, вакуумирование полости подводного участка с постоянной скоростью изменения влажности откачкой влажного воздуха из полости подводного участка, последующей доосушке полости подводного участка магистрального газопровода до заданных значений влажности одновременно с вакуумированием путем продувки полости подводного участка азотом, полученным в полимерных половолоконных мембранах из атмосферного воздуха путем его разделения на азот, кислород, и удалении кислорода и воды.
2. Способ по п.1, отличающийся тем, что предварительно до начала осушки полости подводного участка магистрального газопровода рассчитывают характеристики работы откачных вакуумных агрегатов и подводного участка в виде совмещенного графика в координатах «производительность – давление», определяют производительность откачных вакуумных агрегатов, соответствующую пропускной и аккумулирующей способности подводного участка магистрального газопровода при его вакуумировании от давления, равного атмосферному, до давления заданной величины, а максимальную производительность откачных вакуумных агрегатов при насыщении откачиваемой среды парами воды и продолжительность откачки влаги из полости подводного участка определяют по формулам:


где qmax – максимальная производительность откачных вакуумных агрегатов, м3/ч;
A – показатель аккумулирующей способности подводного участка;
R – внутренний радиус труб, м;
L – протяженность подводного участка газопровода, м;
– коэффициент динамической вязкости среды, откачиваемой из полости подводного участка газопровода, кгч/м2;
– скорость изменения давления за время 1, при вакуумировании подводного участка, мбар/ч;
Рн – давление в полости подводного участка в начале вакуумирования, мбар;
hк – разность геодезических высотных отметок профиля трассы в конце подводного участка газопровода (между подводной и береговой частью газопровода, м;
hн – разность геодезических высотных отметок профиля трассы в начале подводного участка газопровода (между береговой и подводной частью газопровода, м;
Т – абсолютная температура в полости подводного участка газопровода, К;
1 – продолжительность откачки влаги при вакуумировании с максимальной производительностью откачных вакуумных агрегатов, ч;
Vвл – объем влаги в полости подводного участка газопровода, кг;
Vтр – геометрический объем полости подводного участка газопровода, м3;
lк – расстояние между геодезическими высотными отметками профиля трассы в конце подводного участка газопровода, м;
lн – расстояние между геодезическими высотными отметками профиля трассы в начале подводного участка газопровода, м;
H1 – упругость паров воды в начале осушки, мм рт.ст.;
Н3 – упругость паров воды в полости подводного участка, соответствующая заданному значению влажности среды, мм рт.ст.;
– скорость изменения давления в полости подводного участка за время d при изменении упругости паров воды от Н1 до Н2, мбар/ч;
N – кратность обмена среды в объеме подводного участка газопровода (отношение суммарного количества влаги, которое следует удалить для достижения заданной величины влажности к количеству влаги, откачиваемой из одного объема подводного участка газопровода).
3. Способ по п.1, отличающийся тем, что при продувке воздухом определяют начальные параметры, характеризующие термодинамическое состояние среды, содержащейся в полости подводного участка магистрального газопровода перед началом осушки, измеряют давление, температуру, температуру точки росы воздуха, содержащегося в полости подводного участка магистрального газопровода, температуру и давление наружного воздуха, температуру и давление предварительно осушенного воздуха, нагнетаемого в полость подводного участка, по результатам измерений указанных параметров определяют количество влаги, оставшейся в полости подводного участка после гидравлических испытаний и удаления воды перед продувкой воздухом, а количество удаляемой в процессе осушки влаги для достижения заданных проектных значений влажности рассчитывают по формуле:

где Vвл – объем удаляемой в процессе осушки влаги, кг;
А – коэффициент, зависящий от диаметра труб подводного участка, толщины пленки жидкости на внутренней поверхности труб, силы поверхностного натяжения, г/км мм рт.ст.;
Ттр – абсолютная температура в подводном участке, К;
L – протяженность подводного участка, м;
H1 – упругость паров воды перед началом осушки, соответствующая начальной температуре точки росы воздуха в полости подводного участка, мм рт.ст.;
Н3 – упругость паров воды, соответствующая заданной (проектной) температуре точки росы, мм рт.ст.;
Vтр – геометрический объем полости подводного участка, м3;
d(Ртр,Tтр) – начальное влагосодержание воздуха при измеренных давлении (Ртр) и температуре (Ттр) в полости подводного участка, г/м3;
d(Рнг,Тнг) – влагосодержание воздуха при измеренных на нагнетании компрессоров давлении (Рнг) и температуре (Тнг), г/м3;
Р0 – давление, приведенное к нормальным условиям, МПа.
4. Способ по п.1, отличающийся тем, что в процессе вакуумирования полости подводного участка газопровода через заданные и равные интервалы времени измеряют производительность откачных вакуумных агрегатов и давление в начале и конце подводного участка, определяют скорость изменения давления откачиваемой из полости подводного участка среды в течение каждого из интервалов времени между соседними измерениями, указанные параметры сравнивают с заданными допусками и осушку полости подводного участка магистрального газопровода осуществляют с постоянной скоростью снижения давления, а при отклонении скорости осушки от заданного предельного значения, в полость подводного участка, находящегося под вакуумом, подают азот, при продувке полости подводного участка азотом устанавливают режим максимального насыщения азота парами воды, содержащимися в полости осушаемого подводного участка, причем при превышении скорости насыщения азота парами воды заданной предельной величины, регулируют производительность откачных вакуумных агрегатов изменением частоты вращения вала привода и отключением одного или нескольких агрегатов, а величину снижения производительности откачных вакуумных агрегатов и продолжительность заполнения и продувки азотом вплоть до достижения заданной влажности в полости подводного участка магистрального газопровода определяют по формулам:


где q – изменение суммарной производительности откачных вакуумных агрегатов, м3/ч;
qmax – максимальная суммарная производительность откачных вакуумных агрегатов, м3/ч;
– скорость изменения пропускной способности подводного участка в течение интервала времени между соседними измерениями, м3/ч2;
1 – продолжительность осушки между измерениями, ч;
i – номер измерения;
qN2 – производительность блока получения азота, м3/ч;
Dпр – внутренний диаметр продувочного трубопровода, м;
F – кратность обмена азота в объеме подводного участка для достижения заданной влажности;
Н2 – упругость паров воды в полости подводного участка в начале заполнения азотом, мм рт.ст.;
Н3 – упругость паров воды, соответствующая заданной (проектной) температуре точки росы, мм рт.ст.
РИСУНКИ
|
|