Патент на изобретение №2343154
|
||||||||||||||||||||||||||
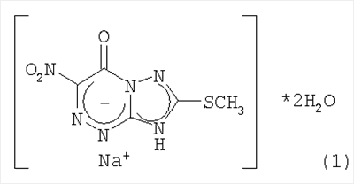
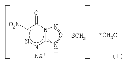
(54) СПОСОБ ПОЛУЧЕНИЯ НАТРИЕВОЙ СОЛИ 2-МЕТИЛТИО-6-НИТРО-1,2,4-ТРИАЗОЛО[5,1-c]-1,2,4-ТРИАЗИН-7-ОНА, ДИГИДРАТА
(57) Реферат:
Описывается способ получения натриевой соли 2-метилтио-6-нитро-1,2,4-триазоло[5,1-c]-1,2,4-триазин-7-она, дигидрата формулы (1) путем взаимодействия соли 3-метилтио-1,2,4-триазол-5-ил-диазония с диэтилнитромалонатом в присутствии основания при 0-25°С в водно-спиртовой среде. Данный способ позволяет получить новое соединение, обладающее противовирусным действием, которое может найти применение в медицине. 1 табл.
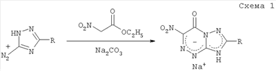
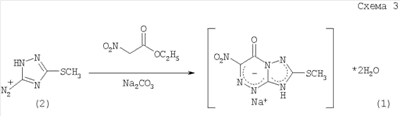
1. Область техники, к которой относится изобретение Изобретение относится к области биологически активных соединений и касается способа получения натриевой соли 2-метилтио-6-нитро-1,2,4-триазоло[5,1-с]-1,2,4-триазин-7-она, дигидрата, обладающего противовирусным действием, предназначенного для лечения и профилактики инфекционных заболеваний животных и человека. Изобретение может быть использовано в химико-фармацевтической промышленности, лечебных учреждениях, научно-исследовательских лабораториях, а также в животноводстве и птицеводстве. 2. Уровень техники Описан единственный способ получения натриевых солей 2-R-6-нитро-1,2,4-триазоло[5,1-с]-1,2,4-триазин-7-онов взаимодействием солей 3-R-1,2,4-триазол-5-ил-диазония с этилнитроацетатом в присутствии карбоната натрия при 0-25°С (Синтез нитропроизводных азоло[5,1-с][1,2,4]триазина. В.Л.Русинов, А.Ю.Петров, И.Я.Постовский. / Химия гетероциклических соединений. – 1980. №9. С.1283-1285; Синтез и противовирусная активность 6-нитро-7-оксо-4,7-дигидроазоло[5,1-с][1,2,4]триазинов. В.Л.Русинов, Е.Н.Уломский, О.Н.Чупахин, М.М.Зубаиров, А.Б.Капустин, Н.И.Митин и др. / Химико-фармацевтический журнал. – 1990. №9. С.41-44). Выход натриевых солей составляет 53-80% (схема 1). Недостатком способа являются недостаточно высокий в некоторых случаях выход целевых продуктов, а также труднодоступность ключевого реагента – этилнитроацетата, получаемого по одному из нескольких синтетических способов. Одним из способов синтеза этилнитроацетата является нитрование ацетоуксусного эфира ацетилнитратом с выходом 27-47% (Journal of the Chemical Society, 1958, p.2276-82, Bulletin de la Societe Chimique de France, 31, 847-854; 1904). Недостатками метода являются низкий выход продукта, взрывоопасность ацетилнитрата. По другому способу этилнитроацетат получают этерификацией дикалиевой соли нитроуксусной кислоты (Org. Synth., V 55, p.77, Деп. №131 хп-Д81. – Л. 1981, Helvetica Chimica Acta, 2002, v.85, №12, p.4468-4484). К существенным недостаткам метода относятся не только небезопасность и нестабильность ключевого интермедиата – нитроуксусной кислоты, но и низкая температура реакции (-10°С). Эфиры нитроуксусной кислоты образуются также при обработке алкилиод- и алкил-бромацетатов нитритом серебра или анионообменными смолами (Amberlyst А 26) в форме нитритов (Organic Letters, 4(6), 965-968; 2002). Необходимость использования нитрата серебра или ионообменных смол является существенным недостатком метода, исключает масштабное применение этого метода в промышленности. Наиболее простым и надежным является многостадийный синтез этилнитроацетата нитрозированием этилацетоацетата и последующим окислением этил 2-гидроксимино-3-оксобутаноата (Органические реакции, сб.7, перевод под ред. Ю.А.Арбузова, Н.К.Кочеткова, А.Ф.Платэ, М.: Издательство иностранной литературы, 1956, 552 с., Синтезы органических соединений, сб.1 под ред. А.Н.Несмеянова, П.А.Боброва. М-Л.: Издательство Академии наук СССР, 1950, 166 с.) с суммарным выходом 38-46%. Недостатком метода является использование агрессивных окислителей, большое количество стоков и взрывоопасность стадии перегонки этилнитроацетата. В качестве СН-кислотной компоненты – азосоставляющей в реакции с солью 3-метилтио-1,2,4-триазол-5-ил-диазония для получения 2-метилтио-6-нитро-1,2,4-триазоло[5,1-с]-1,2,4-триазин-7-она, дигидрата, обладающего противовирусным действием, возможно использование диэтилнитромалоната, но такие реакции с солями азолилдиазония с применением диэтилнитромалоната в литературе не описаны. Достоинством диэтилнитромалоната в сравнении с этилнитроацетатом является простота его получения нитрованием азотной кислотой (The Chemistry of Nitroacetic Acid and its Esters. 11. The Synthesis of Ethyl a-Nitro-p-(3-indole)-propionate from Gramine and Ethyl Nitromalonate. D.I.Weisblat, D.A.Lyttle. / J.Am.Chem.Soc. 1949, v.71, №9, p.3079) и высокий выход (92%). 3. Сущность изобретения Сущность изобретения составляет способ получения натриевой соли 2-метилтио-6-нитро-1,2,4-триазоло[5,1-с]-1,2,4-триазин-7-она, дигидрата. Заявляемый способ получения состоит во взаимодействии соли 3-метилтио-1,2,4-триазол-5-ил-диазония с диэтилнитромалонатом в присутствии карбоната или гидроксида натрия при 0-25°С в водно-спиртовой среде. Синтез натриевой соли 2-метилтио-6-нитро-1,2,4-триазоло[5,1-с]-1,2,4-триазин-7-она дигидрата формулы (1) в литературе не описан. Для сравнения предлагаемого способа с известным способом получения 6-нитро-1,2,4-триазоло[5,1-с]-1,2,4-триазин-7-она была воспроизведена описанная методика (Синтез нитропроизводных азоло[5,1-с][1,2,4]триазина. В.Л.Русинов, А.Ю.Петров, И.Я.Постовский / Химия гетероциклических соединений. – 1980. №9. С.1283-1285) для соли 3-метилтио-1,2,4-триазол-5-ил-диазония с этилнитроацетатом в 2М растворе карбоната натрия (схема 3). Результаты синтеза натриевой соли 2-метилтио-6-нитро-1,2,4-триазоло[5,1-с]-1,2,4-триазин-7-она дигидрата по заявляемому способу и по описанному способу приведены в таблице 1 (раздел 4). Преимущество предлагаемого способа состоит в более высоком выходе целевого продукта – натриевой соли 2-метилтио-6-нитро-1,2,4-триазоло[5,1-с]-1,2,4-триазин-7-она дигидрата, а также в использовании более доступного и подходящего для промышленного применения диэтилнитромалоната. 4. Сведения, подтверждающие возможность осуществления изобретения Синтез натриевой соли 2-метилтио-6-нитро-1,2,4-триазоло[5,1-с]-1,2,4-триазин-7-она дигидрата (1) Описанный способ Соль 3-метилтио-1,2,4-триазолил-5-диазония (3), полученную из 13 г (0,1 моль) 5-амино-3-метилтио-1,2,4-триазола действием 0,1 моль нитрита натрия в присутствии 0,25 экв. кислоты, прибавляют к охлажденной до 0÷5°С смеси, полученной прибавлением 11 мл (0,1 моль) этилнитроацетата к 150 мл 2М растворе карбоната натрия или гидроксида натрия. Через час выдержки при комнатной температуре выпавший осадок отфильтровывают, последовательно кристаллизуют из 20%-ной уксусной кислоты, воды и сушат на воздухе. Выход: 12,02 г (42%). Заявляемый способ Соль 3-метилтио-1,2,4-триазолил-5-диазония (3), полученную из 13 г (0,1 моль) 5-амино-3-метилтио-1,2,4-триазола действием 0,1 моль нитрита натрия в присутствии 0,25 экв. кислоты, прибавляют к охлажденной до 0÷5°С смеси, полученной прибавлением спиртового раствора 17,5 мл (20,5 г, 0,1 моль) диэтилнитромалоната к раствору карбоната натрия или гидроксида натрия (соотношение спирт – 200 мл 2М раствора Na2СО3 или 200 мл 2М раствора NaOH или 400 мл 1 М раствора NaOH, см. в таблице 1). После выдержки реакционной массы (время выдержки см. таблицу 1) и при комнатной температуре выпавший осадок отфильтровывают, последовательно кристаллизуют из 20%-ной уксусной кислоты, воды и сушат на воздухе. Выход: 47-86% (см. таблицу 1). Конкретные параметры способа и выход целевого продукта приведены в таблице 1.
Формула изобретения
Способ получения натриевой соли 2-метилтио-6-нитро-1,2,4-триазоло[5,1-с]-1,2,4-триазин-7-она, дигидрата формулы (1) заключающийся в том, что соль 3-метилтио-1,2,4-триазолил-5-диазония подвергают взаимодействию с диэтилнитромалонатом в присутствии карбоната или гидроксида натрия при 0-25°С в водно-спиртовой среде.
PC4A – Регистрация договора об уступке патента СССР или патента Российской Федерации на изобретение
Прежний патентообладатель:
(73) Патентообладатель:
Договор № РД0056683 зарегистрирован 10.11.2009
Извещение опубликовано: 20.12.2009 БИ: 35/2009
|
||||||||||||||||||||||||||






