Патент на изобретение №2342834
|
||||||||||||||||||||||||||||||||||||||||||||||||||||||||||||||||||||||||||||||||||||||||||||||||||||||||||||||||||||||||||||||
(54) КОМБИНАЦИИ АРИЛОКСИФЕНОКСИПРОПИОНАТОВ И СРЕДСТВ ЗАЩИТЫ КУЛЬТУР И ИХ ПРИМЕНЕНИЕ ДЛЯ ПОВЫШЕНИЯ ПОДАВЛЕНИЯ СОРНОЙ РАСТИТЕЛЬНОСТИ
(57) Реферат:
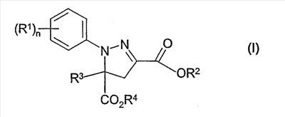
Описывается применение соединения формулы (I) или его соли (соединение (В), R1 n означает n радикалов R1, где R1 представляет собой галоген; n равно от 1 до 3; R2 и R3 представляют собой водород, (C1-С6)алкил; R4 представляет собой водород или (С1-С12)алкил, для повышения действия подавления сорной растительности одного или нескольких арилоксифеноксипропионатных гербицидов (А), выбранных из феноксапроп-П-этила, клодинафоп-пропаргила и диклофоп-метила или их сельскохозяйственно приемлемых солей, где весовое соотношение указанных компонентов (А): (В) составляет от 1:10 до 100:1. Описывается также гербицидная композиция, содержащая компоненты (А) и (В), которая может применяться для повышения контроля сорной растительности. 2 н. и 6 з.п. ф-лы, 3 табл.
Данное описание относится к технической области средств защиты культур от действия гербицидов, в частности к комбинациям арилоксифеноксипропионатных гербицидов и специфических средств защиты культур, которые особенно подходят для селективного подавления сорной растительности в сельскохозяйственных культурах полезных растений. Гербициды класса арилоксифеноксипропионатов представляют собой соединения, которые, как известно, подходят для различных гербицидных целей. Они включают, например, такие гербициды, как клодинафоп-пропаргил, цигалофоп-бутил, диклофоп, диклофоп-метил, феноксапроп-П-этил, флуазифоп, флуазифоп-бутил, флуазифоп-П-бутил, галоксифоп, галоксифоп-этоил, галоксифоп-П-метил, пропаквизафоп, квизалофоп, квизалофоп-этил, квизалофоп-П, квизалофоп-П-этил и квизалофоп-П-тефурил, которые описаны, например, в Pesticide Manual 12th edition (British Crop Protection Council), 2000; а также в ЕР 0083556, патенте США № 4713109, патенте США № 4894085, патенте США № 4897481, ЕР 302203, Заявке на патент Германии № 2136828, Заявке на патент Германии № 2223894, ЕР 0635996, Заявке на патент Великобритании № 1599121, ЕР 52798, патенте США № 4545807 и Заявке на патент Великобритании 2042539. Соединения класса арилоксифеноксипропионатов, обладающие гербицидной активностью, обычно используются для борьбы с сорной травой после ее появления в зерновых культурах, таких как рис, пшеница и ячмень, или в различных широколиственных культурах и могут применяться в относительно низких дозах. Однако данные соединения не всегда полностью совместимы с некоторыми важными культурными растениями и в некоторых случаях повреждают их при нанесении в гербицидных дозах, необходимых для подавления роста сорной растительности, что делает гербицид неприемлемым для борьбы с широким спектром сорной растительности в некоторых культурах. Снижение гербицидного повреждения культур без неприемлемого снижения гербицидной активности может осуществляться при применении защитных средств культур, иногда называемых также «антидотами» или «антагонистами». Известно, что соединения класса арилоксифеноксипропионатов, обладающих гербицидной активностью, могут быть полезны в сочетании с защитным средством, как описано, например, в ЕР 0635996 (патент США № 5700758), где впервые показано, что фитотоксическое действие гербицидов, в том числе арилоксифеноксипропионатов, может устраняться применением производных сложных эфиров 4,5-пиразолин-3-карбоновых кислот и, в частности, описана комбинация феноксапроп-П-этила и мефенпир-диэтила. В настоящее время авторами данного изобретения было неожиданно обнаружено, что применение конкретных средств защиты сельскохозяйственных культур приводит помимо известного эффекта защиты культур к повышению уровня подавления арилоксифеноксипропионатными гербицидами некоторых важных видов сорной растительности (в частности, например, Alopecurus myosuroides). Такой эффект также был установлен для комбинации фенокасапроп-П-этила и мефенпир-диэтила, которая не является новой, поскольку является коммерчески используемой. Однако до настоящего времени указанный эффект для данной комбинации известен не был. Таким образом, данное изобретение относится к применению соединения формулы (I) или его соли (соединения (В)) где (R1)n означает n радикалов R1, где R1 являются одинаковыми или отличаются друг от друга и каждый представляет собой галоген или (С1-С4)галогеналкил, n представляет собой целое число от 1 до 3, R2 представляет собой водород, (С1-С6)алкил, (С1-С4)алкокси(С1-С4)алкил, (С3-С6)циклоалкил, три(С1-С4)алкилсилил или три(С1-С4)алкилсилилметил, R3 представляет собой водород, (С1-С6)алкил, (С1-С6)галогеналкил, (С2-С6)алкенил, (С2-С6)алкинил или (С3-С6)циклоалкил, R4 представляет собой водород или (С1-С12)алкил, для повышения действия подавления сорной растительности одного или нескольких арилоксифеноксипропионатных гербицидов (А) или их сельскохозяйственно приемлемых солей. Термин «арилоксипропионатные гербициды» обычно используется для описания гербицидов из класса ингибиторов синтеза жирных кислот, в частности ингибиторов фермента ацетилСоА-карбоксилазы [(АСС)-азы] в растениях, которые также характеризуются наличием структуры феноксипропионата, замещенного в фенильном цикле феноксигруппой или функциональностью, аналогичной арилокси- или гетероарилоксигруппам. Альтернативным термином является «(гетеро)арилоксифеноксипропионатный гербицид», который включает сложные эфиры и соли основных кислот. Предпочтительными соединениями являются кислоты, их соли и сложные эфиры, такие как (С1-С6)алкиловые эфиры, замещенные (С1-С8)алкиловые эфиры, (С2-С8)алкениловые эфиры или (С2-С8)алкиниловые эфиры, в частности (С1-С4)алкиловые эфиры, (С1-С4)алкиловые эфиры, которые являются замещенными одним или несколькими радикалами, выбранными из группы, состоящей из галогена и (С1-С4)алкокси-, или (С2-С4)алкениловых эфиров или (С2-С4)алкиниловых эфиров. Предпочтительно для применения в данном изобретении арилоксифеноксипропионатный гербицид (А) выбран из группы, включающей (А1) клодинафор-пропаргил (проп-2-инил-(R)-2-[4-(5-хлор-3-фторпиридин-2-илокси)фенокси]пропионат) или его соль, (А2) цигалофоп-бутил (бутил-(R)-2-[4-(4-циано-2-фторфенокси)фенокси]пропионат), (А3) диклофоп ((RS)-2-[4-(2,4-дихлорфенокси)фенокси]пропионовая кислота) или его соль, (А4) диклофоп-метил (метил-(RS)-2-[4-(2,4-дихлорфенокси)фенокси]пропионат), (А5) феноксапроп-П-этил (этил-(R)-2-[4-(6-хлор-1,3-бензоксазол-2-илокси)фенокси]пропионат), (А6) феноксапроп-П ((R)-2-[4-(6-хлор-1,3-бензоксазол-2-илокси)фенокси]пропионовая кислота) или его соль, (А7) феноксапроп-этил (этил-(RS)-2-[4-(6-хлор-1,3-бензоксазол-2-илокси)фенокси]пропионат), (А8) феноксапроп ((RS)-2-[4-(6-хлор-1,3-бензоксазол-2-илокси)фенокси]пропионовая кислота) или его соль, (А9) флуазифоп ((RS)-2-[4-(5-трифторметил-2-пиридилокси)фенокси]пропионовая кислота) или его соль, (А10) флуазифоп-бутил (бутил-(RS)-2-[4-(5-трифторметил-2-пиридилокси)фенокси]пропионат), (А11) флуазифор-П-бутил (бутил-(R)-2-[4-(5-трифторметил-2-пиридилокси)фенокси]пропионат), (А12) галоксифоп ((RS)-2-[4-(3-хлор-5-трифторметил-2-пиридилокси)фенокси]пропионовая кислота) или его соль, (А13) галоксифоп-П ((R)-2-[4-(3-хлор-5-трифторметил-2-пиридилокси)фенокси]пропионовая кислота) или его соль, (А14) галоксифор-этоил (этоксиэтил-(RS)-2-[4-(3-хлор-5-трифторметил-2-пиридилокси)фенокси]пропионат), (А15) галоксифоп-П-метил (метил-(R)-2-[4-(3-хлор-5-трифторметил-2-пиридилокси)фенокси]пропиноат), (А16) пропаквизафоп (2-изопропилиденаминооксиэтил-(R)-2-[4-(6-хлорхиноксалин-2-илокси)фенокси]пропионат) или его соль, (А17) квизалофоп ((RS)-2-[4-(6-хлорхиноксалин-2-илокси)фенокси]пропионовая кислота) или его соль, (А18) квизалофоп-этил (этил-(RS)-2-[4-(6-хлорхиноксалин-2-илокси)фенокси]пропионат), (А19) квизалофоп-П ((R)-2-[4-(6-хлорхиноксалин-2-илокси)фенокси]пропионовая кислота) или его соль, (А20) квизалофоп-П-этил (этил-(R)-2-[4-(6-хлорхиноксалин-2-илокси)фенокси]пропионат) и (А21) квизалофоп-П-тефурил ((±)-тетрагидрофурфурил-(R)-2-[4-(6-хлорхиноксалин-2-илокси)фенокси]пропионат). Предпочтительными арилоксифеноксипропионатными гербицидами являются (А1), (А2), (А4), (А5), (А10), (А11), (А14), (А15), (А16), (А18), (А20) и (А21). Наиболее предпочтительным арилоксифеноксипропионатным гербицидом является (А5). Предпочтительные значениями переменных в формуле (I) для применения соединения (В) в данном изобретении являются следующие значения. Предпочтительно (R1)n означает n радикалов R1, где R1 являются одинаковыми или отличаются друг от друга и каждый представляет собой F, Cl, Br или CF3. Предпочтительно n равно 2 или 3. Предпочтительно R2 представляет собой водород или (С1-С4)-алкил. Предпочтительно R3 представляет собой водород, (С1-С4)-алкил, (С2-С4)-алкенил или (С2-С4)-алкинил. Предпочтительно R4 представляет собой водород или (С2-С8)-алкил. Более предпочтительно (R1)n выбран из группы, включающей 2,4-Cl2, 2,4-Br2, 2-CF3-4-Cl и 2-Cl-4-CF3. Более предпочтительно R2 представляет собой водород или (С1-С4)-алкил. Более предпочтительно R3 представляет собой водород или (С1-С4)-алкил. Более предпочтительно R4 представляет собой водород или (С1-С4)-алкил. Предпочтительным классом соединений (В) являются соединения формулы (I), где (R1)n означает n радикалов R1, где R1 являются одинаковыми или отличаются друг от друга и каждый представляет собой F, Cl, Br или CF3, n равно 2 ли 3, R2 представляет собой водород или (С1-С4)-алкил, R3 представляет собой водород, (С1-С4)-алкил, (С2-С4)-алкенил или (С2-С4)-алкинил и R4 представляет собой водород или (С1-С8)-алкил. Более предпочтительным классом соединений (В) являются соединения формулы (I), где (R1)n выбран из группы, включающей 2,4-Cl2, 2,4-Br2, 2-CF3-4-Cl и 2-Cl-4-CF3, R2 представляет собой водород, (С1-С4)-алкил, R3 представляет собой водород или (С1-С4)-алкил и R4 представляет собой водород или (С1-С4)-алкил. Конкретные предпочтительные соединения (В) формулы (I) представлены в таблице 1.
Наиболее предпочтительно (В) представляет собой этил-1-(2,4-дихлорфенил)-5-(этоксикарбонил)-5-метил-2-пиразолин-3-карбоксилат (В1) («мефенпир-диэтил», см. “The Pesticide Manual”, 12th edition 2000, pp. 594-595), как описано в WO 91/07874. Способы получения мефенпир-диэтила и других соединений формулы (I) также представлены в указанной публикации. Предпочтительным является применение согласно изобретению комбинации, выбранной из (В1)+(А1), (В1)+(А2), (В1)+(А4), (В1)+(А5), (В1)+(А10), (В1)+(А11), (В1)+(А14), (В1)+(А15), (В1)+(А16), (В1)+(А18), (В1)+(А20), (В1)+(А21) и (В1)+(А5)+(А4). Особенно предпочтительным является применение (В1)+(А5). Соединения (А) и (В), которые используются в способе данного изобретения, включают все стереоизомеры и их смеси, а также их соли. Активность гербицидного соединения, содержащегося в комбинации, в отношении сорной растительности неожиданно превосходит активность одного гербицида (А), то есть имеет место синергизм. Более высокая эффективность позволяет уничтожать те виды растительности, которые до сих пор не подвергались уничтожению (дизъюнкции), увеличивать интервал времени между применениями и/или снижать необходимое количество применений и в результате предоставлять пользователю выбирать системы борьбы с сорной растительностью, которые являются более выгодными с экономической и экологической точки зрения. Таким образом, другой целью данного изобретения является предоставление способа повышения подавления сорняков одним или несколькими арилоксифеноксипропионатными гербицидами (А) или их агрономически приемлемыми солями, который включает применение синергического гербицидно-эффективного количества одного или нескольких соединений формулы (I) или их солей (соединения (В)) в сочетании с одним или несколькими гербицидами (А). Еще одной целью данного изобретения является предоставление способа, в котором соединения (А) и (В) применяются одновременно или раздельно (вместе или последовательно), на растения, части растений, семена растений или область произрастания растений или предназначенную для выращивания растений. Гербицид (А) и соединения (В) обычно применяются одновременно или с небольшим интервалом. Гербицидные комбинации (А)+(В) также снижают или устраняют фитотоксические эффекты, которые имеют место, когда на полезные растения наносятся только соединения (А), обладающие гербицидной активностью. Арилоксифеноксипропионатные гербициды хорошо известны, и их получение описано, например, в указанных выше публикациях или может осуществляться, например, со способами, аналогичными описанным в указанных публикациях. Получение и общие условия применения предпочтительных соединений и, в частности, конкретных примеров соединений, описаны в приведенных выше ссылках, и данные описания также являются частью данного изобретения. Некоторые арилоксифеноксипропионатные гербициды (А) могут образовывать соли добавлением подходящей неорганической или органической кислоты, такой как, например, HCl, HBr, H2SO4 или HNO3, а также оксалиновой кислоты или сульфоновых кислот, к основной группе, обычно атому N пиридинового цикла. Подходяще заместители, которые присутствуют в депротонированной форме, такие как карбоновые кислоты, могут образовывать соли замещением водорода подходящих заместителей, обычно карбоновых кислот, сельскохозяйственно приемлемым катионом. Такими солями являются, например, соли металлов, в частности соли щелочных металлов или щелочно-земельных металлов, в частности натриевые соли и калиевые соли или аммониевые соли, соли органических аминов или четвертичные аммониевые соли. Соединения формулы (I) могут образовывать соли добавлением подходящей неорганической или органической кислоты, такой как, например, HCl, HBr, H2SO4 или HNO3, или моно- или бифункциональной карбоновой кислоты или сульфоновой кислоты, к основной группе, такой как, например, «амино» или «алкиламино» функциональная группа пиразольного цикла. Подходящие заместители, которые присутствуют в депротонированной форме, такие как, например, карбоновые кислоты, могут образовывать внутренние соли с группами, которые сами способны протонироваться, такими как аминогруппы. Аналогично и, в данном случае чаще, соли могут образовываться замещением водорода в подходящих заместителях, таких как карбоновые кислоты, сельскохозяйственно приемлемым катионом. Такие соли представляют собой, например, соли металлов, в частности соли щелочных металлов или соли щелочно-земельных металлов, в частности натриевые соли и калиевые соли, а также аммониевые соли, соли с органическими аминами или четвертичные аммониевые соли. В формуле (I) радикалы алкил, алкокси, галогеналкил и соответствующие ненасыщенные радикалы могут в каждом случае представлять собой радикалы с прямой или разветвленной углеродной цепью. За исключением особо оговоренных случаев, низшие углеродные цепи, например, содержащие от 1 до 6 атомов или, в случае ненасыщенных групп от 2 до 6 атомов углерода, являются предпочтительными для данных радикалов. Алкильные радикалы, а также алкилы в составе сложных радикалов, таких как алкокси, галогеналкил и т.п., представляют собой, например, метил, этил, н- или изопропил, н-, изо-, трет- или 2-бутил, пентилы, гексилы, такие как н-гексил, изогексил и 1,3-диметилбутил, гептилы, такие как н-гептил, 1-метилгексил и 1,4-диметилпентил; алкенильные и алкинильные радикалы означают возможные ненасыщенные радикалы, соответствующие алкильным радикалам; алкенил представляет собой, например, аллил, 1-метилпроп-2-ен-1-ил, 2-метилпроп-2-ен-1-ил, бут-2-ен-1-ил, бут-2-ен-1-ил, 1-метилбут-3-ен-1-ил и 1-метилбут-2-ен-1-ил; алкинил, представляет собой, например, пропаргил, бут-2-ин-1-ил, бут-3-ин-1-ил, 1-метилбут-3-ин-1-ил. Циклоалкил представляет собой насыщенную карбоциклическую систему, содержащую предпочтительно 3-8 атомов углерода, например циклопропил, циклобутил, циклопентил или циклогексил. Галоген представляет собой, например, фтор, хлор, бром или йод. Галогеналкил представляет собой алкил, частично или полностью замещенный галогеном, предпочтительно фтором, хлором и/или бромом, особенно, фтором или хлором, например, моногалогеналкил, пергалогеналкил, CF3, CHF2, CH2F, CF3CF2, CH2FCHCl, CCl3, CHCl2, CH2CH2Cl. Соединения (А) или их соли и обеспечивающие синергизм соединения (В) или их соли могут использоваться в способе данного изобретения, например, сами по себе или в виде препаратов (композиций), включающих другие вещества, обладающие пестицидной активностью, такие как, например, инсектициды, акарициды, нематоциды, гербициды, фунгициды, антидоты, удобрения и/или регуляторы роста, например, в форме конечного препарата или в форме емкостных смесей. Предпочтительными дополнительными активными соединениями являются гербициды. Другой целью данного изобретения является предоставление гербицидной комбинации, например, в форме препаратов для применения в качестве гербицидных композиций, включающей: (А) один или несколько арилоксифеноксипропионатных гербицидов (А) или их сельскохозяйственно приемлемых солей, (В) одно или несколько соединений формулы (I) или их сельскохозяйственно приемлемых солей, за исключением комбинации, включающей феноксапроп-П-этил (А5) и мефенпир-диэтил (В1) в качестве активных ингредиентов. Описанные выше комбинации являются новыми и могут использоваться в качестве гербицидных композиций, включающих такие комбинации и необязательно другие активные ингредиенты и/или вспомогательные добавки. Гербицидные композиции, включающие комбинации феноксапроп-П-этила и мефенпир-диэтила описаны, например, в “The Pesticide Manual” 12th edition (British Crop Protection Council), 2000, page 3930394. Предпочтительно гербицид (А), который присутствует в гербицидой комбинации, выбран из группы включающей клодинафоп-пропаргил, цигалофоп-бутил, диклофоп, диклофоп-метил, феноксапроп-П-этил, феноксапроп-П, феноксапроп-этил, феноксапроп, флуазифоп, флуазифоп-бутил, флуазифоп-П-бутил, галоксифоп, галоксифоп-этоил, галогксифоп-П-метил, пропаквизалофоп, квизалофоп, квизалофоп-этил, квизалофоп-П, квизалофоп-П-этил и квилазлофоп-П-тефурил или сельскохозяйственно приемлемые соли указанных выше кислотных соединений. Более предпочтительно гербицид (А), который присутствует в гербицидной комбинации, выбран из группы, включающей (А1), (А2), (А4), (А5), (А10), (А11), (А14), (А15), (А16), (А18), (А20) и (А21). Подходящие активные соединения (С), которые могут быть объединены с соединениями (А) и (В) согласно данному изобретению в смесевых препаратах или емкостной смеси, представляют собой, например, известные активные соединения, предпочтительно гербициды, как описано, например, в публикации “The Pesticide Manual”, 12th edition, The British Crop Protection Council 2000 или “The Compendium of Pesticide Common Names” (доступна в Internet) и публикациях, указанных в них. Например, в качестве известных гербицидов или регуляторов роста растений, которые могут объединяться с соединениями формулы (А) и (В), можно указать следующие активные соединения [соединения приведены в соответствии с тривиальными названиями – в большинстве случаев в английской транскрипции – согласно Международной Организации по стандартизации (ISO) или в соответствии с химическим названием и, если это возможно, кодом]: ацетохлор; ацифлуорфен (-натрий); аклонифен; АКН 7088, т.е. [[[1-[5-[2-хлор-4-(трифторметил)фенокси]-2-нитрофенил]-2-метоксиэтилиден]амино]окси]уксусная кислота и ее метиловый эфир; алахлор; аллоксидим(-натрий); аметрин; амикарбазон, амидохлор, амидосульфурон; амитрол; AMS, т.е. сульфамат аммония; анилофос; асулам; атразин; азафенидин; азимсульфурон (DPX-A8947); азипротрин; барбан; BAS 516 H, т.е. 5-фтор-2-фенил-4Н-3,1-бензоксазин-4-он; бефлубутамид; беназолин(-этил); бенфлуралин; бенфуресат; бенсульфурон(-метил); бенсулид; бентазон(-натрий); бензобициклон; бензофенап; бензофлуор; бензоилпроп(-этил); бензтиазурон; биалафос (биланафос); бифенокс; биспирибак(-натрий); бромацил; бромобутид; бромофеноксим; бромоксинил; бромурон; буминафос; бусоксинон; бутахлор; бутафенацил; бутамифос; бутенахлор; бутидазол; бутралин; бутроксидим; бутилат; кафенстрол (СН-900); карбетамид; карфентразон(-этил); калоксидим, CDAA, т.е. 2-хлор-N,N-ди-2-пропенилацетамид; CDEC, т.е. 2-хлораллилдиэтилдитиокарбамат; хлометоксифен; хлорамбен; хлоразифоп-бутил; хлорбромурон; хлорбуфам; хлорфенак; хлорфлуренол-метил; хлоридазон; хлоримурон(-этил); хломитрофен; хлоротолурон; хлороксурон; хлорпрофам; хлорсульфурон; хлортал-диметил; хлортиамид; хлортолурон, цинидон(-метил или -этил), цинметилин; циносульфурон; клетодим; клефоксидим, клодинафоп и его сложные эфиры (например, клодинафоп-пропаргил); кломазон; кломепроп; клопроксидим; клопиралид; клопирасульфурон(-метил); клорансулам(-метил); кумилурон (JC 940); цианазин; циклоат; циклосульфамурон (АС 104); циклоксидим; циклурон; цигалофоп и его сложные эфиры (например, бутиловый эфир, DEH-112); циперкват; ципразин; ципразол; даимурон; 2,4-D; 2,4-DB; далапон; дазомет, десмедифам; десметрин; ди-аллат; дикамба; дихлобенил; дихлорпроп(-П); диклофоп и его сложные эфиры, такие как диклофоп-метил; диклосулам, диэтатил(-этил); дифеноксурон; дифензокват; дифлуфеникан; дифлуфензопир; димефурон; димепиперат; диметахлор; диметаметрин; диметенамид (SAN-582H); диметенамид(-П); диметазон, диметипин; димексифлам, диметрасульфурон, динитрамин; диносеб; динотерб; дифенамид; дипропетрин; дикват; дитиопир, диурон; DNOC; эглиназин-этил; EL 77, т.е. 5-циано-1-(1,1-диметилэтил)-N-метил-1Н-пиразол-4-карбоксамид; эндотал; эпопродан, ЕРТС; эспрокарб; эталфлуралин; этаметсульфурон-метил; этидимурон; этиозин; этофумесат; этоксифен и его сложные эфиры (например, этиловый эфир, НС-252), этоксисульфурон, этобензанид (HW 52); F5231, т.е. N-[2-хлор-4-фтор-5-[4-(3-фторпропил)-4,5-дигидро-5-оксо-1Н-тетразол-1-ил]фенил]этансульфонамид; фенопроп; феноксан, феноксапроп и феноксапрор-П и их сложные эфиры, например, феноксапроп-П-этил и феноксапроп-этил; феноксидим; фентразамид; фенурон; флампроп(-метил, -изопропил или изопропил-L); флазасульфурон; флорасулам; флуазифоп и флуазифоп-П и их сложные эфиры, например, флуазифоп-бутил и флуазифоп-П-бутил; флуазолат, флукарбазон(-натрия); флухлоралин; флуфенацет (FOE 5043), флуфенпир, флуметсулам; флуметурон; флумиклорак(-пентил); флумиоксазин (S-482); флумипропин; флуометурон; фторхлоридон, фтордифен; фторгликофен(-этил); флупоксам (KNW-739); флупропацил (UBIC-4243); флупроанат, флупирсульфурон(-метил или -натрий); флуренол(-бутил); флуридон; флурохлоридон; флуроксипир(-мептил); флурпримидол, флуртамон; флутиацет(-метил); флутиамид (флуфенацет); фомесафен; форамсульфурон; фосамин; фурилазол (MON 13900), фурилоксифен; флюфосинат(-аммоний); глифосат(-изопропиламмоний); галосафен; галосульфурон(-метил) и его сложные эфиры (например, метиловый эфир, NC-319); галоксифоп и его сложные эфиры; галоксифоп-П (=R-галоксифоп) и его сложные эфиры; НС-252 (дифенилэфир), гексазинон; имазаметабенз(-метил); имазаметапир; имазамокс; имазапик, имазапир; имазаквин и его соли, такие как аммониевые соли; имазетаметапир; имазетапир, имазосульфурон; инданофан; йодсульфурон-(метил)-(натрий), йоксинил; изокарбамид; изопропалин; изопротурон; изоурон; изоксабен; изоксахлортол; изоксафлутол; изоксапирифоп; карбутилат; лактофен; ленацил; линурон; МСРА; МСРВ; мекопроп; мефенацет; мефлуидид; мезосульфурон(-метил); мезотрион; метам, метамифоп, метамитрон; метазахлор; метабензтиазурон; метазол; метоксифенон; метилдимрон; метобензурон, метобромурон; (S-)метолахлор; метосулам (XRD 511); метоксурон; метрибузин; метсульфурон-метил; МК-616; молинат; моналид; монокарбамид дигидросульфат; монолинурон; монурон; МТ 128, т.е. 6-хлор-N-(3-хлор-2-пропенил)-5-метил-N-фенил-3-пиридазинамин; МТ 5950, т.е. N-[3-хлор-4-(1-метилэтил)фенил]-2-метилпентамид; напроанилид; напропамид; напталам; NC 310, т.е. 4-(2,4-дихлорбензоил)-1-метил-5-бензилоксипиразол; небурон; никосульфурон; нипираклофен; нитралин; нитрофен; нитрофлуорфен; норфлуразон; орбенкарб; оризалин; оксадиаргил (RP-020630); оксадиазон; оксасульфурон; оксазикломефон; оксифлуорфен; паракват, пебулат; пеларгоновая кислота; пендиметалин; пеноксулам, пентанохлор, пентоксазон; перфлуидон; петоксамид, фенисофам; фенмедифам; пиклорам; пиколинафен; пиперофос; пирибутикарб; пирифеноп-бутил; претилахлор; примисульфурон(-метил); прокарбазон(-натрий); проциазин; продиамин; профлуазол, профлуралин; проглиназин(-этил); прометон; прометрин; пропахлор; пропанил; пропаквизафоп; пропазин; профам; прописохлор; пропоксикарбазон(-натрий), пропизамид; просульфалин; просульфокарб; просульфурон (CGA-152005); принахлор; пираклонил, пирафлуфен(-этил); пиразолинат; пиразон; пиразосульфурон(-этил); пиразоксифен; пирибензоксим; пирибутикарб; пиридафол; пиридат; пирифталид, пиримидобак(-метил); пиритиобак(-натрий) (KIH-2031); пироксофоп и его сложные эфиры (например, пропаргиловый эфир); квинклорак; квинмерак; квинокламин, квинофоп и его сложные эфиры, квизалофоп и квизалофоп-П и их сложные эфиры, например, квизалофоп-этил; квизалофоп-П-тефурил и -этил; ренридурон; римсульфурон (DPX-E 9636); S 275, т.е. 2-[4-хлор-2-фтор-5-(2-пропинилокси)фенил]-4,5,6,7-тетрагидро-2Н-индазол; секбуметон; сетоксидим; сидурон; симазин; симетрин; SN 106279, т.е. 2-[[7-[2-хлор-4-(трифторметил)фенокси]-2-нафталинил]окси]пропановая кислота и ее метиловый эфир; сулкотрион; сульфентразон (FMC-97285, F-6285); сульфазурон; сульфометурон(-метил); сульфосат (ICI-A0224); сульфосульфурон; ТСА; тебутам (GCP-5544); тебутиурон; тепралоксидим; тербацил; тербукарб; тербухлор; тербуметон; тербутилазин; тербутрин; TFH 450, т.е. N,N-диэтил-3-[(2-этил-6-метилфенил)сульфонил]-1Н-1,2,4-триазол-1-карбоксамид; тенилхлор (NSK-850); тиафлуамид; тиазафлурон; тиазопир (Mon-13200); тидиазимин (SN-24085); тифенсульфурон(-метил); тиобенкарб; тиокарбазил; тралкоксидим; три-аллат; триасульфурон; триазифлам; триазофенамид; трибенурон(-метил); 2,3,6-трихлорбензойная кислота (2,3,6-ТВА), триклопир; тридифан; триэтазин; трифлоксисульфурон(-натрий), трифлуралин; трифлусульфурон и его сложные эфиры (например, метиловый эфир, DPX-66037); триметурон; тритосульфурон; тситодеф; вемолат; WL 110547, т.е. 5-фенокси-1-[3-(трифторметил)фенил]-1Н-тетразол; UBH-509; D-489; LS 82-556; KPP-300; NC-324; NC-330; KH-218; DPX-N8189; SC-0774; DOWCO-535; DK-8910; V-53482; PP-600; MBH-001; KIH-9201; ET-751; KIH-6127; KIH-2023 и KIH5996. В отдельных случаях можно преимущественно объединять одно из соединений (А) со множеством соединений (В). Доза применения гербицидов (А) может изменяться в широких пределах, причем оптимальное количество зависит от рассматриваемого гербицида, спектра сорной растительности и культурных растений. Обычно доза применения (А) находится в интервале от 1 до 2 кг, предпочтительно от 5 г до 1,5 кг, более предпочтительно от 10 г до 150 г, наиболее предпочтительно от 15 до 75 г активного соединения (а.и.) на гектар. Более точно, изобретение относится к способу повышения подавления сорной растительности одним или несколькими арилоксифеноксипропионатными гербицидами (А) или их селькохозяйственно приемлемыми солями, который включает применение обеспечивающего гербицидный синергизм эффективного количества одного или нескольких соединений формулы (I) или их соли (соединения (В)) в комбинации с одним или несколькими гербицидными соединениями (А), где комбинация соединений (А) и (В) определена выше. Более предпочтительным является описанный выше способ, где соединения (А) и (В) наносятся одновременно или раздельно на растения, части растений, семена растений или область, где растения растут или будут произрастать. Гербицидно активные соединения и соединения (В) могут применяться вместе (в виде конечного препарата или способом емкостного смешения) или последовательно в любом порядке. Массовое соотношение гербицид (А) : соединение (В) может изменяться в широких пределах и находится, например, в интервале от 1:10 до 100:1, предпочтительно от 1:2 до 20:1, в частности от 1:1 до 15:1, наиболее предпочтительно от 2:6 до 5:1. Количества гербицидно активного соединения и соединения (В), которые являются оптимальными, в каждом случае зависят от рассматриваемых активного соединения (А) и соединения (В) и типа культурных растений и сорняков, подлежащих обработке, и в каждом случае они могут определяться подходящими предварительными экспериментами. В зависимости от свойств соединения (В) могут использоваться для предварительной обработки семян культур (обработка семян) или посадочного материала или вводиться в посадочную борозду перед посадкой. При предварительной обработке посадочного материала можно, например, опрыскивать корни или весь саженец раствором соединений (В) или опускать их в такой раствор. Применение одного или нескольких гербицидов может затем проводиться довсходовым или послевсходовым способом. Альтернативно можно применять соединения (В) вместе с гербицидами до или после всходов растений. Довсходовая обработка включает как обработку площади выращивания перед посадкой и обработку площади выращивания, где культуры посажены, но еще не взошли. Методика последовательного применения, когда сначала проводится обработка соединением (В) и предпочтительно сразу же обработка гербицидом, также возможна. В отдельных случаях она может осуществляться нанесением соединения (В) после применения гербицида. Обычно предпочтительно одновременное применение соединения (В) и гербицида в форме емкостных смесей или конечных препаратов. Доза применения соединения (В) также может изменяться в широких пределах, однако неожиданным отличительным признаком данного изобретения является то, что для получения весьма полезного повышения уровня подавления сорной растительности необходимо лишь очень небольшое количество соединения (В) по сравнению с применением одного (А) и одного (В) (т.е. синергический эффект). Используемое количество соединения (В) изменяется в зависимости от ряда параметров, таких как конкретное применяемое соединение (В), культура, подлежащая защите, количество и доза применяемого гербицида и особенно тип почвы и климатические условия. Кроме того, подбор конкретного соединения (В) для применения в способе данного изобретения, способ применения и определение дозы, которая является нефитотоксичной, может легко осуществляться в соответствии с обычной практикой данной области. Доза применения соединения (В) может изменяться в широких пределах и обычно находится в интервале от 1 до 500 г, предпочтительно от 2 до 250 г, более предпочтительно от 5 до 100 г, наиболее предпочтительно от 5 до 20 г соединения (В) (а.и.) на гектар. Гербицидные комбинации (А) + (В) согласно данному изобретению, например, при введении в один препарат или в виде емкостной смеси обладают прекрасной гербицидной активностью в отношении широкого спектра экономически важной однодольной и двудольной сорной растительности. Комбинации также эффективно воздействуют на многолетние сорные растения, которые дают побеги из корневища, корневые побеги или другие многолетние органы и которые трудно поддаются контролю. Гербицидное действие комбинаций являются преимущественным по сравнению с действием гербицидов (А) при отдельном их применении в сравнимых дозах гербицида (А). Примеры видов сорной растительности, которые могут контролироваться гербицидными комбинациями (А) + (В), включают однодольные виды сорной растительности: однолетние виды Agrostis, Alopecurus, Apera, Avena, Brachicaria, Bromus, Dactyloctenium, Digitaria, Echinochloa, Eleocharis, Eleusine, Festuca, Fimbristylis, Ischaemum, Lolium, Monochloria, Panicum, Paspalum, Phalaris, Phleum, Poa, Sagittaria, Scripus, Setaria, Sphenoclea, Sphenoclea и Cyperus, многолетние виды Agropyron, Cynodon, Imperata и Sorghum, а также многолетние растения видов Cyperus и особенно Alopecurus myosuroides. Если комбинации согласно данному изобретению применяются на поверхности почвы перед прорастанием, тогда прорастание сорной растительности либо предотвращается полностью, либо сорная растительность растет до тех пор, пока не достигает поверхности почвы, но затем их рост останавливается и, в конечном счете, по истечении трех-четырех недель нежелательная растительность полностью погибает. Если комбинации наносятся после всходов на зеленые части растений, рост также быстро останавливается в течение очень короткого время после обработки и сорная растительность остается на той стадии развития, при которой проведена обработка, или она погибает полностью по истечении некоторого времени, так что в данном случае конкуренция сорной растительности, которая вредит культурным растениям, устраняется на очень ранней стадии развития и на длительный срок. Активные комбинации соединений (А) + (В) подходят для контроля сорной растительности в ряде культур, например в экономически важных культурах, таких как злаковые культуры: пшеница, ячмень, рис, маис и сорго, или двудольные культуры: соевые бобы, подсолнечник и сахарный тростник (включая ® Liberty link кукурузу и ® Round-up Ready кукурузу или сою). Особый интерес представляет применение в злаковых культурах, таких как пшеница (включая пшеницу твердую) и ячмень, особенно пшеницу. Способ применения данного изобретения может также использоваться для борьбы с сорной растительностью в известных культурах или в растениях, генетически модифицированных методами генной инженерии. Трансгенные растения обычно обладают особенно преимущественными свойствами, например стойкостью к некоторым пестицидам, прежде всего некоторым гербицидам, стойкостью к болезням растений или возбудителям болезней растений, таким как некоторые насекомые или микроорганизмы, например грибы, бактерии или вирусы. Другие особые свойства относятся, например, к количеству, качеству, стабильности при хранении, составу и специфическим ингредиентам собранного урожая. Например, известны трансгенные растения с повышенным содержанием крахмала или модифицированным количеством крахмала или с различным составом жирных кислот в собранном урожае. Способ применения данного изобретения может также использоваться в экономически важных трансгенных культурах полезных и декоративных растений, например зерновых, таких как пшеница, ячмень, рожь, овес, просо, рис, маниок и маис, или в культурах сахарной свеклы, хлопчатника, сои, масличного рапса, картофеля, томатов, гороха и других овощей. Активные комбинации соединений согласно данному изобретению могут представлять собой смешанные препараты двух компонентов возможно с другими активными соединениями, добавками и/или традиционными добавками в препараты, которые применяются обычным образом после разбавления водой и могут приготавливаться в виде так называемых емкостных смесей смешением отдельно полученных препаратов и частично разделенных компонентов с водой. Соединения (А) и (В) и их комбинации могут вводиться в препараты различными способами в зависимости от преобладающих биологических и/или химико-физических параметров. Примерами подходящих вариантов препаратов являются смачивающие порошки (СП), эмульсионные концентраты (ЭК), водные растворы (ВР), эмульсии (ВЭ), такие как эмульсии типа «масло в воде» и типа «вода в масле», растворы или эмульсии для опрыскивания, масляные или водные дисперсии, суспоэмульсии, дусты (ПД), композиции для обработки семян, гранулы для разбрасывания и внесения в почву или вододиспергируемые гранулы (ВДГ), УМО препараты, микрокапсулы и воски. Отдельные типы препаратов в принципе известны и описаны, например, в публикациях Winnacker-Küchler, “Chemische Technologie” [Chemical Technology], Volume 7, C. Hauser Verlag Munich, 4th edition 1986; van Valkenburg, “Pesticides Formulations”, Marcel Dekker, N.Y., 1973; K. Martens, “Spray Drying Handbook”, 3rd Ed. 1979, G. Goodwin Ltd. London. Обязательные добавки в препараты, такие как инертные вещества, поверхностно-активные вещества, растворители и т.п., также известны и описаны, например, в следующих публикациях: Watkins, “Handbook of Insecticide Dust Diluents and Carriers”, 2nd Ed., Darland Books; Caldwell N.J., H.V. Olphen, “Introduction to Clay Colloid Chemistry”, 2nd Ed., J. Wiley & Sons, N.Y.; C. Marsden, “Solvents Guide”; 2nd Ed., Interscience, N.Y. 1950; McCutcheon’s “Detergents and Emulsifiers Annual”, MC Publ. Corp., Ridgewood N.J.; Sisley and Wood, “Encyclopedia of Surface Active Agents”, Chem. Publ. Co. Inc., N.Y. 1964; Schonfeldt, “Grenzflachenaktive Äthylenoxidaddukte” [Surface-active ethylene oxide adducts], Wiss. Verlagsgesellschoft, Stuttgart 1976; Winnacker-Kuchler, “Chemische Technologie” [Chemical Technology], Volume 7, C. Hauser Verlag Munich, 4th Edition 1986. На основе этих препаратов можно также получать комбинации с другими веществами, обладающими пестицидной активностью такими как гербициды, фунгициды или инсектициды, а также со средствами защиты культур, удобрениями и/или регуляторами роста, например, в форме готовой смеси или форме препаратов для смешения в емкости. Смачивающиеся порошки представляют собой препараты, которые способны однородно диспергироваться в воде и которые содержат, помимо активного соединения, а также разбавителя или инертного вещества, поверхностно-активные вещества ионогенного или неионогенного типа (смачивающие агенты, дисперсанты), например полиэтоксилированные алкилфенолы, полиэтоксилированные жирные спирты, полиэтоксилированные жирные амины, алкансульфонаты, алкилбензолсульфонаты, лигнинсульфонат натрия, 2,2′-динафтилметан-6,6′-дисульфонат натрия, дибутилнафталинсульфонал натрия или олеоилметилтауринат натрия. Эмульсионные концентраты получают растворением активного соединения в органическом растворителе, например в бутаноле, циклогексаноне, диметилформамиде, ксилоле или относительно высококипящих ароматических соединениях или углероводородах с добавлением одного или нескольких поверхностно-активных веществ ионогенного или неионогенного типа (эмульгаторы). Примерами эмульгаторов, которые могут использоваться, являются алкиларилсульфонаты кальция, такие как додецилбензолсульфонат Ca, или неионогенные эмульгаторы, такие как сложные полигликолевые эфиры жирных кислот, простые алкиларилполигликолевые эфиры, простые полигликоливые эфиры жирных спиртов, продукты реакции концентрации пропиленоксидов и этиленоксидов, простые алкилполиэфиры, сложные сорбитанэфиры жирных кислот, сложные полиоксиэтиленсорбитанэфиры жирных кислот или сложные полиоксиэтиленсорбитанэфиры. Дусты получают измельчением активного соединение с тонкоизмельченными твердыми веществами, например тальком, натуральными глинами, такими как каолин, бентонит и полифиллит, или диатомовой землей. Гранулы могут быть получены либо напылением активного соединения на адсорбент, гранулированный инертный материал или нанесением концентратов активного соединения на поверхность носителей, таких как песок, каолиниты или гранулированный инертный материал, с помощью адгезивных связующих веществ, например поливинилового спирта, полиакрилата натрия или минеральных масел. Подходящие активные соединения также могут гранулироваться традиционным способом получения гранулированных удобрений, если желательно, в виде смеси с удобрениями. Вододиспергируемые гранулы обычно получают такими способами, как распылительная сушка, грануляция в псевдоожиженном слое, дисковая грануляция, смешение с использованием высокоскоростных смесителей и экструзия без твердого инертного материала. Агрохимические препараты обычно содержат от 0,1 до 99 мас.%, в частности от 2 до 95 мас.% активных соединений типов (А) и/или (В), причем в зависимости от типа препаратов традиционно используются следующие концентрации. В смачивающихся порошках концентрация активного соединения составляет, например, от примерно 10 до 95 мас.%, остаток до 100 мас.% составляют обычные составные компоненты препарата. В эмульсионных концентратах содержание активного соединения может составлять, например, от 5 до 80 мас.%. Препараты в форме дустов обычно содержат от 5 до 20 мас.% активного соединения, в то время как растворы для опрыскивания содержат от примерно 0,2 до 25 мас.% активного соединения. В случае гранул, таких как диспергируемые гранулы, содержание активного соединения отчасти зависит от того, является ли активное соединение жидким или твердым, и от того, какие вспомогательные вещества и наполнители используются для гранулирования. В вододиспергируемых гранулах содержание обычно находится в интервале от 10 до 90 мас.%. Кроме того, указанные препараты активного соединения могут включать адгезивы, смачивающие агенты, дисперсанты, эмульгаторы, консерванты, антифризы, растворители, наполнители, красители, носители, пеногасители, ингибиторы испарения, регуляторы рН и вязкости, загустители и/или удобрения, которые традиционно используются в каждом случае. Для применения препараты, которые поставляются в коммерчески доступной форме, при необходимости разбавляются обычным способом, например, с использованием воды в случае смачивающихся порошков, эмульсионных концентратов, дисперсий и вододиспергируемых гранул. Препараты в форме дустов, гранул для почвенного применения, гранул для распределения и растворов для опрыскивания обычно перед применением не разбавляются никакими другими инертными растворителями. Гербицидные комбинации соединений могут наноситься на растения, части растений, семена растений или область их произрастания (пахотная почва), предпочтительно на зеленые растения или части растений, и при необходимости дополнительно на вспаханную почву. Возможным применением является совместное применение активных соединений в форме емкостных смесей, при которой концентрированные препараты отдельных активных веществ в форме их оптимальных препаратов смешиваются с водой в емкости, и полученная смесь наносится опрыскиванием. Объединенный гербицидный препарат комбинации активных соединения (А) и (В) согласно данному изобретению обладает тем преимуществом, что он может применяться более просто, поскольку количества компонентов уже подобраны в точном соотношении. Кроме того, добавки в препарат могут подбираться наилучшим образом, в то время как смешение различных препаратов в емкости может приводить к получению нежелательных сочетаний добавок. Общие примеры препаратов a) Дуст получают смешением 10 частей (мас.) смеси активное соединение/активное соединение и 90 частей (мас.) талька в качестве инертного вещества и измельчением смеси в молотковой дробилке. b) Смачивающийся порошок, который может легко диспергироваться в воде, получают смешением 25 частей (мас.) смеси активное соединение/активное соединение, 64 частей (мас.) каолинсодержащего кварца в качестве инертного вещества, 10 частей (мас.) лигносульфоната калия и 1 части (мас.) олеилметилтаурината натрия в качестве смачивающего агента и дисперсанта и измельчением в мельнице со скрепленными дисками. с) Дисперсионный концентрат, который может легко диспегироваться в воде, получают смешением 20 частей (мас.) смеси активное соединение/активное соединение с 6 частями (мас.) простого алкилфенолполигликолевого эфира (®X 207), 3 частей (мас.) простого изо-тридекарбополигликолевого эфира (8ЕО) и 71 частей (мас.) парафинового минерального масла (с температурой кипения в интервале приблизительно от 255 до 277°С) и измельчением смеси в шаровой мельнице до тонины помола ниже 5 микрон. d) Эмульсионный концентрат получают из 15 частей (мас.) смеси активное соединение/активное соединение, 75 частей (мас.) циклогексанона в качестве растворителя и 10 частей (мас.) этоксилированного нонилфенола в качестве эмульгатора. е) Вододиспергируемые гранулы получают смешением 75 частей (мас.) смеси активное соединение/активное соединение, 10 частей (мас.) лигносульфоната кальция, 5 частей (мас.) лаурилсульфата, 3 частей (мас.) поливинилового спирта и 7 частей (мас.) каолина, измельчением смеси в мельнице со скрепленными дисками и грануляцией порошка в псевдоожиженном слое посредством распыления на воду, используемую в качестве грануляционной жидкости. f) Вододиспергируемые гранулы получают также гомогенизацией и предварительным смешением в коллоидной мельнице 25 частей (мас.) смеси активное соединение/активное соединение, 5 частей (мас.) 2,2′-динафтилметан-6,6′-дисульфоната натрия, 2 частей (мас.) олеилметилтаурината, 1 части (мас.) поливинилового спирта, 17 частей (мас.) карбоната кальция и 50 частей воды, последовательным измельчением смеси в бисерной мельнице и атомизацией и сушкой полученной суспензии в скруббере с разбрызгивающим устройством с использованием форсунки для одного вещества. Приведенные далее примеры дополнительно иллюстрируют данное изобретение, однако не являются ограничением области данного изобретения. Примеры биологических испытаний Пример 1: послевсходовое действие на сорную растительность и селективность в отношении озимой пшеницы (полевые испытания) Озимую пшеницу выращивают на открытом воздухе на делянках в полевых условиях и сюда же высевают семена типичных нежелательных растений. Обработку смесью феноксапроп-П-этила (37,3 г а.и./га) и мефенпир-диэтила (10 г а.и./га) с использованием стандартных препаратов активных ингредиентов с нормой расхода 300 л воды на гектар проводят после всходов нежелательной растительности на стадии развития озимой пшеницы от 3 до 5 листьев. Действие композиции оценивают через 112 дней после обработки визуальным сравнением с необработанным контролем. Результаты, представленные в таблице 2, показывают улучшенный контроль в отношении Alopecurus myosuroides c повышением защиты озимой пшеницы.
Аббревиатуры, используемые в таблице 2: г а.и./га = граммов активного ингредиента (соединения) на гектар; TRZAW = Triticum aestivum (озимая пшеница); ALOMY = Alopecurus myosuroides; (А5) = феноксапроп-П-этил; (В1)=мефенпир-диэтил. Числа в двух правых колонках показывают подавление сорной растительности или повреждение культуры в процентах соответственно. Примеры 2 и 3: послевсходовое подавление нежелательной растительности и селективность в отношении яровой пшеницы (полевые испытания) Яровую пшеницу выращивают на открытом воздухе на делянках в полевых условиях и сюда же высевают семена типичных нежелательных растений. Обработку смесью (гетеро)арилоксифеноксипропионатного гербицида и мефенпир-диэтила с использованием стандартных препаратов активных ингредиентов при норме расхода 300 л воды на гектар проводят после всходов нежелательной растительности на стадии развития яровой пшеницы от 3 до 5 листьев. Действие композиции оценивают через 4 недели после обработки визуальным сравнением с необработанным контролем. Результаты, представленные в таблице 3, показывают улучшенный контроль в отношении Alopecurus myosuroides с повышением защиты озимой пшеницы.
Аббревиатуры, используемые в таблице 3: г а.и./га = граммов активного ингредиента (соединения) на гектар; TRZAS = Triticum aestivum (яровая пшеница); SETLU = Setaria lutescens; (A1) = Клодинафоп-пропаргил; (A3) = Диклофоп-метил; (B1) = Мефенпир-диэтил.
Формула изобретения
1. Применение соединения формулы (I) или его соли (соединения (В)) где (R1)n означает n радикалов R1, где R1 являются одинаковыми или различными и каждый представляет собой галоген; n представляет собой целое число от 1 до 3; R2 представляет собой водород, (С1-С6)алкил; R3 представляет собой водород, (С1-С6)алкил; R4 представляет собой водород или (С1-С12)алкил, для повышения действия подавления сорной растительности одного или нескольких арилоксифеноксипропионатных гербицидов (А), выбранных из феноксапроп-П-этила, клодинафоп-пропаргила и диклофоп-метила или их сельскохозяйственно приемлемых солей, где весовое соотношение указанных компонентов (А): (В) составляет от 1:10 до 100:1. 2. Применение по п.1, отличающееся тем, что соединение (А) представляет собой феноксапроп-П-этил. 3. Применение по п.1, отличающееся тем, что соединение (А) представляет собой клодинафоп-пропаргил. 4. Применение по п.1, где соединение (А) представляет собой диклофоп-метил. 5. Применение по п.1, отличающееся тем, что (R1)n означает n радикалов R1, где R1 каждый представляет собой Cl и n равно 2; R2 представляет собой водород или (С1-С4)алкил; R3 представляет собой водород, (С1-С4)алкил и R4 представляет собой водород или (С1-С8)алкил. 6. Применение по п.1, отличающееся тем, что соединение (В) представляет собой этил-1-(2,4-дихлорфенил)-5-(этоксикарбонил)-5-метил-2-пиразолин-3-карбоксилат. 7. Применение по пп.1-6, отличающееся тем, что сорная растительность подавляется в сельскохозяйственных культурах полезных растений. 8. Гербицидная комбинация для повышения действия подавления сорной растительности одного или нескольких арилоксифеноксипропионатных гербицидов (А), выбранных из группы, состоящей из феноксапроп-П-этила, клодинафоп-пропаргила и диклофоп-метила, включающая в дополнение к гербициду (А) одно или несколько соединений формулы (I) или его (их) сельскохозяйственно приемлемую соль (соединение B), где соединения (А) и (В) имеют значения, определенные в любом из пп.1-6.
|
||||||||||||||||||||||||||||||||||||||||||||||||||||||||||||||||||||||||||||||||||||||||||||||||||||||||||||||||||||||||||||||



