|
|
(21), (22) Заявка: 2005119646/04, 21.11.2003
(24) Дата начала отсчета срока действия патента:
21.11.2003
(30) Конвенционный приоритет:
22.11.2002 US 60/428,600
(43) Дата публикации заявки: 20.01.2006
(46) Опубликовано: 27.12.2008
(56) Список документов, цитированных в отчете о поиске:
RU 1567122 A3, 23.05.1990. WO 01/32632 A1, 10.05.2001.
(85) Дата перевода заявки PCT на национальную фазу:
22.06.2005
(86) Заявка PCT:
US 03/37574 (21.11.2003)
(87) Публикация PCT:
WO 2004/047755 (10.06.2004)
Адрес для переписки:
129090, Москва, ул. Б.Спасская, 25, стр.3, ООО “Юридическая фирма Городисский и Партнеры”, пат.пов. Е.Е.Назиной
|
(72) Автор(ы):
ФОКС Брайан М. (US), ФУРУКАВА Нобору (JP), ХАО Сяолинь (US), ИЙО Кийосей (JP), ИНАБА Такаси (JP), ДЖЕКСОН Саймон М. (US), КАЙЗЕР Франк (US), ЛАБЕЛЬ Марк (US), ЛИ Кэсюэ (US), МАЦУИ Такуя (JP), МАКМИНН Дастин Л. (US), ОГАВА Нобуя (JP), РУБЕНШТЕЙН Стивен М. (US), САГАВА Соити (JP), СУГИМОТО Казуюки (JP), СУЗУКИ Масахиро (JP), ТАНАКА Масахиро (JP), Е Госэнь (US), ЙОСИДА Ацухито (JP), ЧЖАН Цзянь (US)
(73) Патентообладатель(и):
ДЖАПАН ТОБАККО ИНК. (JP)
|
(54) КОНДЕНСИРОВАННЫЕ БИЦИКЛИЧЕСКИЕ АЗОТСОДЕРЖАЩИЕ ГЕТЕРОЦИКЛЫ, ОБЛАДАЮЩИЕ DGAT ИНГИБИРУЮЩИМ ДЕЙСТВИЕМ
(57) Реферат:
Изобретение относится к новым конденсированным бициклическим азотсодержащим гетероциклам общей формулы (I), их фармацевтически приемлемым солям и стереоизомерам, обладающим DGAT ингибирующим действием. Соединения могут быть использованы для получения лекарственного средства для лечения или предотвращения заболеваний или состояний опосредованных действием DGAT, таких как ожирение, диабет, синдром X, резистентности к инсулину, гипергликемии, гиперинсулинемии, гиперхолестеринемии, гиперлипидемии, гипертриглицеридемии, болезни неалкогольной жировой инфильтрации печени, атеросклероза, артериосклероза, болезни коронарной артерии и инфаркта миокарда. В соединении формулы (I):

Х выбран из группы, состоящей из C(R1) и N; Y выбран из группы, состоящей из C(R1), C(R2)(R2), N и N(R2); Z выбран из группы, состоящей из O; W1 выбран из цикло(С3-С8)алкила, арила и 5- или 6-членного гетероарила, содержащего 1-2 гетероатома, выбранных из группы, состоящей из азота и серы, W2 выбран из цикло(С3-С8)алкила, (C5-С6)гетероциклоалкила, содержащего 1 или 2 гетероатома, выбранного из группы, состоящей из азота или кислорода, бензола и 5- или 6-членного гетероарила, содержащего 1 или 2 атома азота в качестве гетероатома, L1 является связью; L2 выбран из группы, состоящей из связи, 0, (C1-C4) алкилена и (С1-С4)оксиалкилена; m означает 0 или 1;
необязательно, когда m означает 1 и L2 означает связь, заместитель на W2 может быть объединен с заместителем на W1 с образованием 5- или 6-членного кольца, конденсированного с W1 и образующего спиросистему или конденсированного с W2, где указанное кольцо является насыщенным или ненасыщенным и имеет 0 или 1 атом О, в качестве членов кольца; R1 является H; R2 является H; R3 и R4 независимо выбраны из группы, состоящей из Н и (C1-C8) алкила; необязательно, R3 и R4 могут вместе образовывать 3-, 4-, 5- или 6-членное спирокольцо; R5 и R6 независимо являются Н; необязательно, когда Y включает группу R1 или R2, R5 или R6 может быть объединен с R1 или R2 с образованием 5- или 6-членного конденсированного кольца, содержащего атом азота, к которому R5 или R6 присоединен, и необязательно содержащего оксогруппу; R7 выбран из группы, состоящей из Н, (C1-C8) алкила, галоген (С1-С4)алкила, ORa и NRaRb; Ra выбран из группы, состоящей из (C1-C8) алкила; и Rb выбран из группы, состоящей из Н и (С1-С8)алкила; пунктирная линия указывает возможную связь. Изобретение также относится к фармацевтической композиции и применению соединений. 19 н. и 14 з.п. ф-лы, 10 табл.
Данная заявка заявляет приоритет предварительной заявки США порядковый № 60/428600, поданной 22 ноября 2002, содержание которой включено в данное описание в качестве ссылки.
Триглицериды являются главной формой сохранения энергии в эукариотах. Нарушения или неустойчивочть триглицеридного метаболизма влекут за собой патогенез или повышенный риск ожирения, синдрома резистентности к инсулину и диабета типа II, болезни неалкогольной жировой инфильтрации печени и коронарной болезни сердца (см. Lewis, et al., Endocrine Reviews (2002) 23:201 и Malloy and Kane, Adv. Intern. Med. (2001) 47:111). Дополнительно, гипертриглицеридемия является часто вредным последствием терапии рака (см. Bast, et al. Cancer Medicine, 5th Ed. (2000) B.C. Decker, Hamilton, Ontario, CA).
Ключевым ферментом в синтезе триглицеридов является ацил CoA:диацилглицерин ацилтрансфераза, или DGAT. DGAT является микросомальным ферментом, который широко экспрессируется в тканях млекопитающих и который катализирует соединение 1,2-диацилглицерина и жирного ацила CoA с образованием триглицеридов на эндоплазматической сети (обзор, сделанный Chen и Farese, Trends Cardiovasc. Med. (2000) 10:188 и Farese, et al., Curr. Opin. Lipidol. (2000) 11:229). Первоначально предполагалось, что DGAT однозначно регулирует катализ конечной стадии ацилирования диацилглицерина до триглицерида по двум главным путям синтеза триглицеридов, по пути фосфата глицерина и пути моноацилглицерина. Так как триглицериды считаются жизненно важными и так как их синтез, как предполагалось, происходит по единственному механизму, ингибирование синтеза триглицеридов через ингибирование активности DGAT широко не исследовалось.
Гены, кодирующие мышиную DGAT1 и родственные гомологи ARGP1 и ARGP2 человека, в настоящее время клонированы и охарактеризованы (Cases, et al., Proc. Natl. Acad. Sci. (1998) 95:13018; Oelkers, et al., J. Biol. Chem. (1998) 273:26765). Ген для мышиной DGAT1 используют для создания мыши с выбитой DGAT, чтобы лучше объяснить функцию гена DGAT. Неожиданно оказалось, что мыши, не способные экспрессировать функциональный фермент DGAT, (мыши Dgat-/-) жизнеспособны и даже способны синтезировать триглицериды, показывая, что в синтез триглицеридов вносят свой вклад многие каталитические механизмы (Smith, et al., Nature Genetics (2000) 25:87). Другие ферменты, которые катализируют синтез триглицеридов, например, DGAT2 и диацилглицеринтрансацилаза, также идентифицированы (Buhman, J. Biol. Chem., выше и Cases, et al., J. Biol. Chem. (2001) 276:38870).
Примечательно, что мыши Dgat-/- резистентны к вызываемому диетой ожирению и остаются тощими. Даже когда их кормят пищей с высоким содержанием жира (21% жира), мыши Dgat-/- сохраняют массы, сравнимые с мышами, которым обеспечивают правильное питание (4% жира) и которые имеют более низкие общие уровни содержания триглицеридов в организме. Резистентность к ожирению у мышей Dgat-/- является не следствием пониженного потребления калорий, а результатом повышенного расходования энергии и пониженной резистентности к инсулину и лептину (Smith, et al., Nature Genetics, выше; Chen и Farese, Trends Cardiovasc. Med., выше; и Chen, et al., J. Clin. Invest. (2002) 109:1049). Дополнительно, мыши Dgat-/- имеют пониженные степени усвоения триглицеридов (Buhman, et al., J. Biol. Chem. (2002) 277:25474). В дополнение к усовершенствованному триглицеридному метаболизму мыши Dgat-/- имеют также улучшенный глюкозный метаболизм с более низкими уровнями глюкозы и инсулина после глюкозной нагрузки по сравнению с мышами дикого типа (Chen и Farese, Trends Cardiovasc. Med., выше).
Обнаружение того факта, что многие ферменты вносят свой вклад в катализ синтеза триглицерида из диацилглицерина, является значительным, так как представляет благоприятную возможность модулировать один каталитический механизм указанной биохимической реакции, чтобы достичь терапевтических результатов у индивидуума с минимальными вредными побочными эффектами. Было найдено, что соединения, которые ингибируют превращение диацилглицерина в триглицерид, например, специфическим ингибированием активности гомолога DGAT1 человека, применимы для снижения концентраций в организме и абсорбции триглицеридов для терапевтического противодействия патогенным эффектам, вызываемым аномальным метаболизмом триглицеридов при ожирении, синдроме резистентности к инсулину и сахарном клиническом диабете типа II, застойной сердечной недостаточности и атеросклерозе и как последствия раковой терапии.
По причине постоянного увеличения распространенности ожирения, диабета типа II, болезни сердца и рака в обществе по всему миру существует настоятельная потребность в разработке новых терапевтических средств для эффективного лечения и профилактики указанных заболеваний. Поэтому существует заинтересованность в разработке соединений, которые могут сильно и специфически модулировать единственный каталитический механизм ферментативного превращения диацилглицерина в триглицерид. Конкретной перспективой являются соединения, которые специфически ингибируют каталитическую активность DGAT1 и его других гомологов у млекопитающих.
Данное изобретение относится к конденсированным бициклическим азотсодержащим гетероциклическим соединениям, которые применимы для лечения или профилактики состояний и расстройств, связанных с DGAT у животных, особенно у людей.
В основном, соединения по данному изобретению представлены формулой (I):

I
или их фармацевтически приемлемой солью, пролекарством или стереоизомером, где X означает C(R1) или N; Y означает C(R1), C(R2)(R2), N или N(R2), и Z означает O или S. L1 означает связь, (C1-C4)алкилен, (C2-C4)алкенилен, O или N(Ra)C(O), и W1 означает замещенную или незамещенную группу, выбранную из цикло(C3-C8)алкила, гетероцикло(C3-C8)алкила, арила и гетероарила. m означает 0 или 1, указывая на наличие (m=1) или отсутствие (m=0) дополнительной части молекулы, L2-W2. Для тех вариантов, где m означает 1, L2 означает связь, O, (C1-C4)алкилен, (C2-C4)алкенилен, (C1-C4)гетероалкилен или N(Ra)C(O), и W2 означает замещенную или незамещенную группу, выбранную из цикло(C3-C8)алкила, гетероцикло(C3-C8)алкила, арила и гетероарила.
Остальные заместители, R1-R7 и Ra и Rb имеют следующие значения: каждый R1 независимо выбран из H, (C1-C8)алкила, (C2-C8)алкенила, (C2-C8)алкинила, фтор(C1-C8)алкила, арила, арил(C1-C4)алкила, C(O)Ra, CO2Ra и C(O)NRaRb; каждый R2 независимо выбран из H, (C1-C8)алкила, (C2-C8)алкенила, (C2-C8)алкинила, фтор(C1-C8)алкила, C(O)Ra, CO2Ra, C(O)NRaRb, арила и арил(C1-C4)алкила; R3 и R4 независимо выбраны из H, (C1-C8)алкила, (C2-C8)алкенила, (C2-C8)алкинила, C(O)Ra, CO2Ra, C(O)NRaRb и (C1-C4)алкилен-ORa; R5 и R6 независимо выбраны из H, (C1-C8)алкила, (C2-C8)алкенила, (C2-C8)алкинила, C(O)Ra и CO2Ra; R7 выбран из H, (C1-C8)алкила, галоген(C1-C4)алкила, (C2-C8)алкенила, (C2-C8)алкинила, C(O)Ra, ORa и NRaRb, и каждый Ra и Rb независимо выбран из H, (C1-C8)алкила, (C2-C8)алкенила, (C2-C8)алкинила, фтор(C1-C8)алкила, арила и арил(C1-C4)алкила.
Пунктирная линия указывает возможную связь. В других возможных вариантах R3 и R4 могут быть объединены с образованием 3-, 4-, 5- или 6-членного спирокольца; R2, R3 или R4 могут быть объединены с W1 с образованием 5-, 6- или 7-членного конденсированного кольца, имеющего от 0 до 3 гетероатомов, выбранных из группы, состоящей из N, O и S; R5 и R6 могут быть быть объединены с атомом азота, к которому каждый присоединен, с образованием 5-, 6- или 7-членного кольца; когда X означает C(R1), R5 или R6 может быть объединен с R1 с образованием 5-, 6- или 7-членного конденсированного кольца, содержащего атом азота, к которому R5 или R6 присоединен; когда Х означает C(R1), R7 может быть объединен с R1 с образованием 5-, 6- или 7-членного конденсированного кольца; R2 или R1, когда присутствует как часть Y, может быть объединен с R5 с образованием 5- или 6-членного кольца с атомом азота, к которому R5 присоединен, необязательно несущим оксогруппу; и когда m означает 1 и L2 означает связь, заместитель на W2 может быть объединен с заместителем на W1 с образованием 5-, 6- или 7-членного кольца, конденсированного с W1 и образующего спиросистему или конденсированного с W2, где кольцо является насыщенным или ненасыщенным и имеет 0, 1 или 2 гетероатома, выбранных из N, O и S, в качестве членов кольца.
Среди указанных соединений формулы I соединение является иным, чем

где R8 означает H, NO2, Cl, метокси, метил или фенил.
Если не указано иначе, соединения, представленные указанной формулой, как подразумевается, включают все их фармацевтически приемлемые соли, пролекарства или стереоизомеры.
Данное изобретение также относится к фармацевтическим композициям, содержащим соединение по изобретению, фармацевтически приемлемый носитель или наполнитель.
Данное изобретение также относится к способам лечения или профилактики состояния или расстройства, выбранного из группы, состоящей из ожирения, диабета, нервной анорексии, булимии, худосочия, синдрома X, метаболического синдрома, резистентности к инсулину, гипергликемии, гиперурикемии, гиперинсулинемии, гиперхолестеринемии, гиперлипидемии, дислипидемии, смешанной дислипидемии, гипертриглицеридемии, болезни неалкогольной жировой инфильтрации печени, атеросклероза, артериосклероза, острой сердечной недостаточности, застойной сердечной недостаточности, болезни коронарной артерии, кардиомиопатии, инфаркта миокарда, стенокардии, гипертензии, гипотензии, удара, ишемии, ишемического реперфузионного повреждения, аневризмы, рестеноза, сосудистого стеноза, твердых опухолей, рака кожи, меланомы, лимфомы, рака молочной железы, рака легких, колоректального рака, рака желудка, рака пищевода, рака поджелудочной железы, рака простаты, рака почек, рака печени, рака мочевого пузыря, рака шейки матки, рака матки, рака яичек и рака яичника, содержащим введение субъекту при необходимости этого терапевтически эффективного количества соединения по изобретению. Для этого способа и способов, предложенных ниже, соединение по изобретению будет, в некоторых вариантах, вводиться в сочетании со вторым терапевтическим агентом.
Данное изобретение также относится к способам лечения или профилактики состояний и расстройств, связанных с DGAT, содержащим введение субъекту при необходимости этого терапевтически эффективного количества соединения по изобретению.
Данное изобретение дополнительно относится к способам лечения или профилактики состояний и расстройств, опосредуемых DGAT, содержащим введение субъекту при необходимости этого терапевтически эффективного количества соединения по изобретению.
Данное изобретение дополнительно относится к способам модулирования DGAT, содержащим контактирование клетки с соединением по изобретению.
ПОДРОБНОЕ ОПИСАНИЕ ИЗОБРЕТЕНИЯ
Аббревиатуры и определения
Термины “лечить”, “способ лечения” и “лечение” относятся к способу облегчения или устранения болезни и/или сопутствующих ей симптомов.
Термины “предотвращать”, “предотвращение” и “профилактика” относятся к способу предупреждения начала болезни и/или сопутствующих ей симптомов или исключения приобретения субъектом болезни. Используемые здесь, термины “предотвращать”, “предотвращение” и “профилактика” включают также задержку начала болезни и/или сопутствующих ей симптомов и уменьшение для субъекта риска приобретения болезни.
Термин “терапевтически эффективное количество” относится к такому количеству вводимого соединения, которое достаточно для предотвращения развития или для облегчения до некоторой степени одного или нескольких симптомов состояния или болезни, которые подвергают лечению.
Используемый здесь термин “диабет” относится к сахарному диабету типа I (ювенильный начальный диабет, инсулинзависимый сахарный диабет или IDDM) или сахарному диабету типа II (инсулиннезависимый сахарный диабет или NIDDM), предпочтительно к диабету II.
Используемый здесь термин “синдром X” относится к коллекции аномалий, включающей гиперинсулинемию, ожирение, повышенные уровни содержания триглицеридов, мочевой кислоты, фибриногена, частиц LDL малой плотности и ингибитора 1 активатора плазминогена (PAI-1) и пониженные уровни содержания холестерина HDL. Синдром X дополнительно охватывает метаболический синдром.
Используемый здесь термин “ожирение” относится к избыточному накоплению жира тела. Ожирение может иметь генетическую, относящуюся к окружающей среде (например, затрачиваемая энергия меньше, чем потребление) и регулятивную детерминанты. Ожирение включает экзогенное, гиперинсулинарное, гиперплазматическое, гипотиреоидное, гипоталамическое, симптоматическое, инфантильное, верхнетелесное, связанное с питанием, гипогонадальное, простое и центральное ожирение, гипофизарную тучность и гиперфагию. Метаболические расстройства, такие как гиперлипидемия и диабет, и сердечно-сосудистые расстройства, такие как гипертензия и болезнь коронарной артерии, обычно связаны с ожирением.
Термин “модулировать” относится к способности соединения увеличивать или уменьшать функцию или активность DGAT. Термин “модуляция”, используемый здесь в его различных формах, предназначен для охвата антагонизма, агонизма, частичного антагонизма и/или частичного агонизма активности, связанной с DGAT. Ингибиторами DGAT являются соединения, которые, например, заставляют частично или полностью блокировать стимуляцию, снижают, предотвращают, задерживают активацию, инактивируют, десенсибилизируют или down-регулируют сигнальную трансдукцию. Активаторами DGAT являются соединения, которые, например, заставляют, стимулируют, увеличивают, открывают, активируют, облегчают, улучшают активацию, сенсибилизируют или up-регулируют сигнальную трансдукцию.
Используемый здесь термин “композиция” включает продукт, содержащий конкретные ингредиенты в конкретных количествах, а также какой-либо продукт, который прямо или косвенно является результатом сочетания конкретных ингредиентов в конкретных количествах. Под “фармацевтически приемлемым” подразумевается, что носитель, разбавитель или наполнитель должны быть совместимыми с другими ингредиентами состава и невредными для их реципиента.
Определение “субъекта” здесь включает животных, таких как млекопитающие, включая, но без ограничения указанным, приматов (например, людей), коров, овец, коз, лошадей, собак, кошек, кроликов, крыс, мышей и тому подобное. В предпочтительных вариантах субъектом является человек.
Термин “DGAT” относится к ацил-CoA:диацилглицерин ацилтрансферазе или ее варианту, если точно не определено иначе. Варианты DGAT включают белки, по существу гомологичные нативной DGAT, т.е. белки, имеющие одну или несколько встречающихся в природе или не встречающихся в природе делеций, инсерций или замещений аминокислот (например, производные DGAT, гомологи и фрагменты). Аминокислотная последовательность варианта DGAT предпочтительно, по меньшей мере, приблизительно на 80% идентична нативной DGAT, более предпочтительно, по меньшей мере, приблизительно на 90% идентична и наиболее предпочтительно, по меньшей мере, приблизительно на 95% идентична.
Используемый здесь термин “связанное с DGAT состояние или расстройство” относится к состоянию или расстройству, связанному с несоответствующей, например, меньшей или большей, чем нормальная, активностью DGAT и, по меньшей мере, частично ответственному за модуляцию DGAT или поддающемуся ее влиянию (например, ингибитор или антагонист DGAT имеет результатом некоторое улучшение состояния, по меньшей мере, у некоторых пациентов). Несоответствующая функциональная активность DGAT может появляться как результат экспрессии DGAT в клетках, которые нормально не экспрессируют DGAT, пониженной экспрессии DGAT или повышенной экспрессии DGAT. Связанное с DGAT состояние или расстройство может включать опосредуемое DGAT состояние или расстройство.
Используемый здесь термин “опосредуемое DGAT состояние или расстройство” и тому подобное относится к состоянию или расстройству, характеризующемуся несоответствующей, например, меньшей или большей, чем нормальная, активностью DGAT. Опосредуемое DGAT состояние или расстройство может быть полностью или частично опосредуемым несоответствующей активностью DGAT. Однако опосредуемое DGAT состояние или расстройство является таким, при котором модуляция DGAT приводит к некоторому воздействию на основное состояние или болезнь (например, ингибитор или антагонист DGAT имеет результатом некоторое улучшение состояния, по меньшей мере, у некоторых пациентов).
Термин “алкил,” сам по себе или как часть другого заместителя, означает, если не установлено иначе, линейную или разветвленную цепь или циклический углеводородный радикал или их сочетание, он является полностью насыщенным, имеющим указанное число атомов углерода (например, C1-C8 означает от одного до восьми атомов углерода). Примеры алкильных групп включают метил, этил, н-пропил, изопропил, н-бутил, трет-бутил, изобутил, втор-бутил, циклогексил, (циклогексил)метил, циклопропилметил, гомологи и изомеры, например, н-пентила, н-гексила, н-гептила, н-октила и тому подобное.
Термин “алкенил”, сам по себе или как часть другого заместителя, означает линейную или разветвленную цепь, или циклический углеводородный радикал, или их сочетание, которые могут быть моно- или полиненасыщенными, имеющими указанное число атомов углерода (например, C2-C8 означает от двух до восьми атомов углерода) и одну или несколько двойных связей. Примеры алкенильных групп включают винил, 2-пропенил, кротил, 2-изопентенил, 2-(бутадиенил), 2,4-пентадиенил, 3-(1,4-пентадиенил) и их высшие гомологи и изомеры.
Термин “алкинил”, сам по себе или как часть другого заместителя, означает линейную или разветвленную цепь, или циклический углеводородный радикал, или их сочетание, которые могут быть моно- или полиненасыщенными, имеющими указанное число атомов углерода (например, C2-C8 означает от двух до восьми атомов углерода) и одну или несколько тройных связей. Примеры алкинильных групп включают этинил, 1- и 3-пропинил, 3-бутинил и высшие их гомологи и изомеры.
Термин “алкилен”, сам по себе или как часть другого заместителя, означает двухвалентный радикал, полученный из алкила, как, например, -CH2CH2CH2CH2-. Обычно группа алкила (или алкилена) будет иметь от 1 до 24 атомов углерода, причем группы, имеющие 10 или менее атомов углерода, предпочтительны в данном изобретении. “Низший алкил” или “низший алкилен” означает группу алкила или алкилена с более короткой цепью, обычно имеющей восемь или менее атомов углерода. Подобным образом, “алкенилен” и “алкинилен” относится к ненасыщенным версиям алкилена, имеющим, по меньшей мере, одну двойную связь или тройную связь, соответственно. Например, “алкенилен” означает включение -CH2CH=CHCH2-, тогда как “алкинилен” означает включение -CH2C CCH2-.
Термины “алкокси”, “алкиламино” и “алкилтио” (или тиоалкокси) используются в их обычном смысле и относятся к тем алкильным группам, которые присоединены к остальной части молекулы через атом кислорода, аминогруппу или атом серы, соответственно.
Термин “гетероалкил”, сам по себе или в сочетании с другим термином, означает, если не установлено иначе, стабильную линейную или разветвленную цепь, или циклический углеводородный радикал, или их сочетания, состоящие из точно определенного числа атомов углерода и от одного до трех гетероатомов, выбранных из группы, состоящей из O, N, Si и S, где атомы азота и серы необязательно могут быть окислены и гетероатом азота необязательно может быть кватернизован. Гетероатом(ы) O, N и S могут быть расположены при любом внутреннем положении гетероалкильной группы. Гетероатом Si может быть расположен при любом положении гетероалкильной группы, включая положение, при котором алкильная группа присоединена к остальной части молекулы. Примеры включают -CH2-CH2-O-CH3, -CH2-CH2-NH-CH3, -CH2-CH2-N(CH3)-CH3, -CH2-S-CH2-CH3, -CH2-CH2,-S(O)-CH3, -CH2-CH2-S(O)2-CH3, -CH=CH-O-CH3, -Si(CH3)3, -CH2-CH=Н-OCH3, и -CH=CH-N(CH3)-CH3. Вплоть до двух гетероатомов могут быть последовательными так, как, например, -CH2-NH-OCH3 и -CH2-O-Si(CH3)3.
Подобным образом, термин “гетероалкилен”, сам по себе или как часть другого заместителя, означает двухвалентный радикал, полученный из гетероалкила, как, например, -CH2-CH2-S-CH2CH2– и -CH2-S-CH2-CH2-NH-CH2-. В группах гетероалкилена гетероатомы могут занимать один или оба конца цепи (например, алкиленокси, алкилендиокси, алкиленамино, алкилендиамино и тому подобное). Еще дополнительно, для сшивающих групп алкилена и гетероалкилена никакой ориентации сшивающих групп не предполагается.
Термины “циклоалкил” и “гетероциклоалкил”, сами по себе или в сочетании с другими терминами, представляют, если не установлено иначе, циклические версии “алкила” и “гетероалкила”, соответственно. Соответственно, циклоалкильная группа имеет указанное число атомов углерода (например, C3-C8 означает от трех до восьми атомов углерода) и может также иметь одну или две двойные связи. Гетероциклоалкильная группа состоит из указанного числа атомов углерода и от одного до трех гетероатомов, выбранных из группы, состоящей из O, N, Si и S, и в ней атомы азота и серы необязательно могут быть окислены и гетероатом азота необязательно может быть кватернизован. Дополнительно для гетероциклоалкила, гетероатом может занимать положение, при котором гетероцикл присоединен к остальной части молекулы. Примеры циклоалкила включают циклопентил, циклогексил, 1-циклогексенил, 3-циклогексенил, циклогептил и тому подобное. Примеры гетероциклоалкила включают 1-(1,2,5,6-тетрагидропиридил), 1-пиперидинил, 2-пиперидинил, 3-пиперидинил, 4-морфолинил, 3-морфолинил, тетрагидрофуран-2-ил, тетрагидрофуран-3-ил, тетрагидротиен-2-ил, тетрагидротиен-3-ил, 1-пиперазинил, 2-пиперазинил и тому подобное.
Термин “галоген”, сам по себе или как часть другого заместителя, означает, если не установлено иначе, атом фтора, хлора, брома или йода. Дополнительно, термины, такие как “галогеналкил”, означают, что они включают алкил, замещенный атомами галогена, которые могут быть одинаковыми или разными, в пределах их числа от одного до (2m’+1), где m’ означает общее число атомов углерода в алкильной группе. Например, термин “галоген(C1-C4)алкил” означает, что он включает трифторметил, 2,2,2-трифторэтил, 4-хлорбутил, 3-бромпропил и тому подобное. Так, термин “галогеналкил” включает моногалогеналкил (алкил, замещенный одним атомом галогена) и полигалогеналкил (алкил, замещенный атомами галогена в пределах их числа от двух до (2m’+1) атомов галогена, где m’ означает общее число атомов углерода в алкильной группе). Термин “пергалогеналкил” означает, если не установлено иначе, алкил, замещенный (2m’+1) атомами галогена, где m’ означает общее число атомов углерода в алкильной группе. Например, термин “пергалоген(C1-C4)алкил” означает, что он включает трифторметил, пентахлорэтил, 1,1,1-трифтор-2-бром-2-хлорэтил и тому подобное. Термин “арил” означает, если не установлено иначе, полиненасыщенный, обычно ароматический, углеводородный заместитель, которым может быть единственное кольцо или несколько колец (вплоть до трех колец), которые конденсированы вместе или сшиты ковалентно. Неограничительные примеры арильных групп включают фенил, 1-нафтил, 2-нафтил, 4-бифенил и 1,2,3,4-тетрагидронафталин.
Термин “гетероарил” относится к арильным группам (или кольцам), которые содержат от одного до четырех гетероатомов, выбранных из N, О и S, где атомы азота и серы необязательно окислены и гетероатомы азота необязательно кватернизованы. Гетероарильная группа может быть присоединена к остальной части молекулы через гетероатом. Неограничительные примеры гетероарильных групп включают 1-пирролил, 2-пирролил, 3-пирролил, 3-пиразолил, 2-имидазолил, 4-имидазолил, пиразинил, 2-оксазолил, 4-оксазолил, 2-фенил-4-оксазолил, 5-оксазолил, 3-изоксазолил, 4-изоксазолил, 5-изоксазолил, 2-тиазолил, 4-тиазолил, 5-тиазолил, 2-фурил, 3-фурил, 2-тиенил, 3-тиенил, 2-пиридил, 3-пиридил, 4-пиридил, 2-пиримидил, 4-пиримидил, 5-бензотиазолил, пуринил, 2-бензимидазолил, 5-индолил, 1-изохинолил, 5-изохинолил, 2-хиноксалинил, 5-хиноксалинил, 3-хинолил и 6-хинолил. Для краткости термин “арил”, когда использован в сочетании с другими терминами (например, арилокси, арилтиокси, арилалкил) включает кольца и арила и гетероарила, которые определены выше. Так, подразумевается, что термин “арилалкил” включает те радикалы, в которых арильная группа присоединена к алкильнои группе (например, бензил, фенетил, пиридилметил и тому подобное), включая те алкильные группы, в которых атом углерода (например, метиленгруппа) замещен, например, атомом кислорода (например, феноксиметил, 2-пиридилоксиметил, 3-(1-нафтилокси)пропил и тому подобное). Каждый из указанных выше терминов (например, “алкил”, “гетероалкил”, “арил” и “гетероарил”), как подразумевается, включает и замещенные, и незамещенные формы указанного радикала. Предпочтительные заместители для каждого типа радикала представлены ниже.
Заместителями для радикалов алкила и гетероалкила (а также таких групп, упоминаемых как алкилен, алкенил, гетероалкилен, гетероалкенил, алкинил, циклоалкил, гетероциклоалкил, циклоалкенил и гетероциклоалкенил) могут быть разнообразные группы, выбранные из -OR’,=O, =NR’, =H-OR’, -NR’R”, -SR’, галоген, -SiR’R”R”’, -ОС(O)R’, -C(O)R’, -CO2R’, -CONR’R”, -OC(O)NR’R”, -NR”C(O)R’, -NR’-C(O)NR”R”’, -NR’-SO2NR”R”’, -NR”’CO2R’, -NH-C(NH2)=NH, -NR’С(NH2)=NH, -NH-C(NH2)=NR’, -S(O)R’, -SO2R’, -SO2NR’R”, -NR”SO2R”, -CN и -NO2, в пределах их числа от нуля до трех, причем эти группы, имеющие ноль, один или два заместителя, особенно предпочтительны. R’, R” и R”, каждый независимо, относятся к водороду, незамещенному (C1-C8)алкилу и гетероалкилу, незамещенному арилу, арилу, замещенному одним-тремя атомами галогена, незамещенному алкилу, алкокси или тиоалкоксигруппе или арил(C1-C4)алкильнои группе. Когда R’ и R” присоединены к одному и тому же атому азота, они могут быть объединены с атомом азота с образованием 5-, 6- или 7-членного кольца. Например, -NR’R”, как подразумевается, включает 1-пирролидинил и 4-морфолинил. Дополнительно, указанные заместители могут быть присоединены к алкильной группе (или к алкилену, циклоалкилу и тому подобному) посредством спейсера (разделительной группы) из одного-четырех атомов углерода, обычно представленной как группа метилена или разветвленного незамещенного алкилена (например, -СН2СН2– и -СН(СН3)CH2-), алкенилена или алкинилена. Обычно алкил или гетероалкильная группа будет иметь от нуля до трех заместителей, причем такие группы, имеющие два или менее заместителей, предпочтительны в данном изобретении. Более предпочтительно, алкил или гетероалкилрадикал будет незамещенным или монозамещенным. Наиболее предпочтительно, алкил- или гетероалкилрадикал будет незамещенным. Из обсуждения заместителей выше специалист должен понимать, термин “алкил” предназначается для включения групп, таких как тригалогеналкил (например, -CF3 и -CH2CF3).
Предпочтительные заместители для радикалов алкила и гетероалкила выбраны из -OR’, =O, -NR’R”, -SR’, галогена, -SiR’R”R”’, -ОС(OR’, -C(O)R’, -CO2R’, -CONR’R”, -OC(O)NR’R”, -NR”C(O)R’, -NR”CO2R’, -NR’-SO2NR”R”’, -S(O)R’, -SO2R’, -SO2NR’R”, -NR”SO2R’, -CN и -NO2, где R’ и R” имеют значения, указанные выше. Дополнительные предпочтительные заместители выбраны из -OR’, =O, -NR’R”, галогена, -OC(O)R’, -CO2R’, -CONR’R”, -OC(O)NR’R”, -NR”C(O)R’, -NR”CO2R’, -NR’-SONR”R”’, -SO2R’, -SO2NR’R”, -NR”SO2R, -CN и -NO2. Дополнительно, каждый из предпочтительных и дополнительно предпочтительных заместителей может быть присоединен к алкильной группе (или к алкилену, циклоалкилу и тому подобному) через спейсерную группу из одного-четырех атомов углерода, обычно представленную как группы метилена или разветвленного незамещенного алкилена.
Подобным образом, заместители для групп арила и гетероарила являются разнообразными и выбраны из галогена, -OR’, -OC(O)R’, -NR’R”, -SR’, -R’, -CN, -NO2, -CO2R’, -CONR’R”, -C(O)R’, -OC(O)NR’R”, -NR”C(O)R’, -NR”CO2R’, -NR’-C(O)NR”R”‘, -NR’-SO2NR”R”‘, -NH-C(NH2)=NH, -NR’C(NH2)=NH, -NH-C(NH2)=NR’, -S(O)R’, -SO2R’, -SO2NR’R”, -NR”SO2R’, -N3, -CH(Ph)2, перфтор(C1-C4)алкокси и перфтор(C1-C4)алкила, в пределах их числа от нуля до суммарного числа открытых валентностей на ароматической кольцевой системе; и где R’, R” и R”‘ независимо выбраны из водорода, (C1-C8)алкила и гетероалкила, незамещенного арила и гетероарила, (незамещенный арил)-(C1-C4)алкила и (незамещенный арил)окси-(C1-C4)алкила. Когда арильной группой является 1,2,3,4-тетрагидронафталин, он может быть замещен замещенной или незамещенной (C3-C7)спироциклоалкильной группой. (C3-C7)спироциклоалкильная группа может быть замещена таким же образом, как определено здесь для “циклоалкила”. Обычно арил или гетероарильная группа будет иметь от нуля до трех заместителей, причем эти группы, имеющие два или менее заместителей, предпочтительны в данном изобретении. В одном варианте изобретения группы арил или гетероарил будут незамещенными или монозамещенными. В другом варианте группы арил или гетероарил будут незамещенными. Когда они замещенные, указанные выше заместители могут быть присоединены к арилу или гетероарильной группе через спейсер из одного-четырех атомов углерода, обычно представленной как группы метилена или разветвленного незамещенного алкилена (например, -CH2CH2– и -CH(CH3)CH2-).
Предпочтительные заместители для групп арила и гетероарила выбраны из галогена, -OR’, -OC(O)R’, -NR’R”, -SR’, -R’, -CN, -NO2, -CO2R’, -CONR’R”, -C(O)R’, -OC(O)NR’R”, -NR”C(O)R’, -S(O)R’, -SO2R’, -SO2NR’R”, -NR”SO2R’, -N3, -CH(Ph)2, перфтор(C1-C4)алкокси и перфтор(C1-C4)алкила, где R’ и R” имеют значения, указанные выше. Дополнительные предпочтительные заместители для выбраны из галогена, -OR’, -OC(O)R’, -NR’R”, -R’, -CN, -NO2, -CO2R’, -CONR’R”, -NR”C(O)R’, -SO2R’, -SO2NR’R”, -NR”SO2R’, перфтор(C1-C4)алкокси и перфтор(C1-C4)алкила. Как указано выше, указанные заместители необязательно присоединены к арильной или гетероарильной части молекулы через разделительную группу из одной-четырех метиленовых групп.
Следует понимать, что заместитель -CO2H, используемый здесь, включает биоизостерические замещения, такие как
, , , , , , , , , , , , , , , , , 
и тому подобное. См., например. The Practice of Medicinal Chemistry; Wermuth, C.G., Ed.; Academic Press: New York, 1996; p.203.
Два заместителя на соседних атомах кольца арила или гетероарила необязательно могут быть замещены заместителем формулы
-Т-С(О)-(CH2)q-U-, где Т и U независимо означают -NH-, -О-, -CH2– или ординарную связь, и q означает целое число от 0 до 2. В качестве варианта, два заместителя на соседних атомах кольца арила или гетероарила необязательно могут быть замещены заместителем формулы -А-(СН2)r-В-, где А и В независимо означают -СН2-, -О-, -NH-, -S-, -S(O)-, -S(O)2-, -S(O)2NR’- или одинарную связь, и r означает целое число от 1 до 3. Одна из одинарных связей образованного таким образом нового кольца необязательно может быть замещена двойной связью. В качестве варианта, два заместителя на соседних атомах кольца арила или гетероарила необязательно могут быть замещены заместителем формулы -(CH2)s-X-(CH2)t-, где s и t независимо означают целые числа от 0 до 3, и Х означает -O-, -NR’-, -S-, -S(O)-, -S(O)2-, или -S(O)2NR’-. Заместитель R’ в -NR’- и -S(O)2NR’- выбран из водорода или незамещенного (C1-C6)алкила.
Используемый здесь термин “гетероатом” предназначается, чтобы включать кислород (O), азот (N), серу (S) и кремний (Si).
Термин “фармацевтически приемлемые соли” означает соли активных соединений, которые получают с относительно нетоксичными кислотами или основаниями в зависимости от конкретных заместителей, находящихся на соединениях, описанных здесь. Когда соединения по данному изобретению содержат относительно кислотные группы, аддитивные соли с основанием могут быть получены контактированием таких соединений в форме свободной кислоты с достаточным количеством желательного основания, либо неразбавленного, либо в подходящем инертном растворителе. Примеры фармацевтически приемлемых аддитивных солей с основанием включают соли натрия, калия, кальция, аммония, органической аминогруппы или магния или подобную соль. Когда соединения по данному изобретению содержат группы относительно основного характера, аддитивные соли с кислотой могут быть получены контактированием таких соединений в форме свободного основания с достаточным количеством желательной кислоты, либо неразбавленной, либо в подходящем инертном растворителе. Примеры фармацевтически приемлемых аддитивных солей с кислотой включают те, которые получены из неорганических кислот, таких как хлороводородная, бромоводородная, азотная, угольная, моногидрокарбоновая, фосфорная, моногидрофосфорная, дигидрофосфорная, серная, моногидросерная, йодоводородная или фосфористые кислоты и тому подобное, а также соли, полученные из относительно нетоксичных органических кислот, таких как уксусная, пропионовая, изомасляная, малеиновая, малоновая, бензойная, янтарная, субериновая, фумаровая, миндальная, фталевая, бензолсульфоновая, п-толуолсульфоновая, лимонная, винно-каменная, метансульфоновая и тому подобное. Также включены соли аминокислот, такие как аргинат и тому подобное, и соли органических кислот подобных глюкуроновой или галактуроновой кислотам и тому подобное (см., например, Berge, S.M., et al., “Pharmaceutical Salts”, Journal of Pharmaceutical Science, 1977, 66, 1-19). Некоторые конкретные соединения по данному изобретению содержат группы и основного характера, и кислотные, что позволяет превращать соединения в аддитивные соли либо с основанием, либо с кислотой.
Нейтральные формы соединений могут быть регенерированы контактированием соли с основанием или кислотой и изолированием родительского соединения обычным образом. Родительская форма соединения отличается от различных солевых форм по конкретным физическим свойствам, таким как растворимость в полярных растворителях, но в иных аспектах соли эквивалентны родительской форме соединения для целей данного изобретения.
В дополнение к солевым формам данное изобретение относится к соединениям, которые находятся в пролекарственной форме. Пролекарствами соединений, описанных здесь, являются такие соединения, которые легко подвергаются химическим изменениям под воздействием физиологических условий, давая соединения по данному изобретению. Дополнительно, пролекарства могут быть превращены в соединения по данному изобретению химическими или биохимическими методами в среде in и ex vivo. Например, пролекарства могут медленно превращаться в соединения по данному изобретению, когда их помещают в резервуар пластыря для чрескожного введения с подходящим ферментом или химическим реагентом.
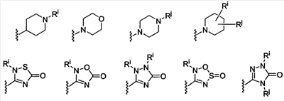
Следует понимать, что когда соединение по изобретению содержит один или несколько асимметричных атомов углерода (оптические центры) или двойных связей, данное изобретение включает отдельные стереоизомеры и геометрические изомеры, а также их смеси. Например, когда m=1 и W2 означает замещенный цикло(C3-C8)алкил (например, A.4 ниже), подразумевается, что 1,4-цис- и транс-изомеры и их рацематы находятся в сфере действия изобретения.

А.4
Некоторые соединения по данному изобретению могут существовать в несольватированных формах, а также в сольватированных формах, включая гидратированные формы. Обычно сольватированные формы эквивалентны несольватированным формам и, разумеется, должны быть включены в объем данного изобретения. Некоторые соединения по данному изобретению могут существовать в нескольких кристаллических или аморфных формах. Обычно все физические формы эквивалентны для применений, предполагаемых данным изобретением и, разумеется, должны находиться в объеме данного изобретения.
Соединения по данному изобретению могут также содержать неприродные относительные доли атомных изотопов одного или нескольких атомов, которые составляют такие соединения. Например, соединения могут быть мечены радиоактивными изотопами, такими как, например, тритий (3H), йод-125 (125I) или углерод-14 (14C). Все изотопные варианты соединений по данному изобретению, радиоактивные или нет, должны быть включены в объем данного изобретения.
Соединения
В одном аспекте, данное изобретение относится к соединениям формулы (I):

I
или их фармацевтически приемлемым солям, пролекарствам или стереоизомерам. В указанной формуле X означает C(R1) или N; Y означает C(R1), C(R2)(R2), N или N(R2), и Z означает O или S.
Обращаясь затем к заместителям на бициклическом гетероароматическом ядре, L1 означает связь, (C1-C4)алкилен, (C2-C4)алкенилен, O или N(Ra)C(O), и W1 означает замещенную или незамещенную группу, выбранную из цикло(C3-C8)алкила, гетероцикло(C3-C8)алкила, арила и гетероарила. m означает 0 или 1, указывая на наличие (m=1) или отсутствие (m=0) дополнительной части молекулы, L2-W2. Для тех вариантов, в которых m=1, L2 означает связь, O, (C1-C4)алкилен, (C2-C4)алкенилен, (C1-C4)гетероалкилен или N(Ra)C(O); и W2 означает замещенную или незамещенную группу, выбранную из цикло(C3-C8)алкила, гетероцикло(C3-C8)алкила, арила и гетероарила. Когда m=1 и L2 означает связь, заместитель на W2 может быть объединен с заместителем на W1 с образованием 5-, 6- или 7-членного кольца, конденсированного с W1 и образующего спиросистему или конденсированного с W2, где кольцо является насыщенным или ненасыщенным и имеет 0, 1 или 2 гетероатома, выбранных из N, O и S, в качестве членов кольца. Заместители для каждого из W1 и W2 могут быть выбраны из заместителей, указанных в определениях выше, а также из упомянутых заместителей для различных конкретных вариантов ниже.
Остальные заместители, R1-R7 и Ra и Rb имеют следующие значения: каждый R1 независимо выбран из H, (C1-C8)алкила, (C2-C8)алкенила, (C2-C8)алкинила, фтор(C1-C8)алкила, арила, арил(C1-C4)алкила, C(O)Ra, CO2Ra и C(O)NRaRb; каждый R2 независимо выбран из H, (C1-C8)алкила, (C2-C8)алкенила, (C2-C8)алкинила, фтор(C1-C8)алкила, C(O)Ra, CO2Ra, C(O)NRaRb, арила и арил(C1-C4)алкила; R3 и R4 независимо выбраны из H, (C1-C8)алкила, (C2-C8)алкенила, (C2-C8)алкинила, C(O)Ra, CO2Ra, C(O)NRaRb и (C1-C4)алкилен-ORa; R5 и R6 независимо выбраны из H, (C1-C8)алкила, (C2-C8)алкенила, (C2-C8)алкинила, C(O)Ra и CO2Ra; R7 выбран из H, (C1-C8)алкила, галоген(C1-C4)алкила, (C2-C8)алкенила, (C2-C8)алкинила, C(O)Ra, ORa и NRaRb; и каждый Ra и Rb независимо выбран из H, (C1-C8)алкила, (C2-C8)алкенила, (C2-C8)алкинила, фтор(C1-C8)алкила, арила и арил(C1-C4)алкила.
Пунктирная линия указывает возможную связь. В других возможных вариантах, R3 и R4 могут быть объединены с образованием 3-, 4-, 5- или 6-членного спирокольца; R2, R3 или R4 может быть объединен с W1 с образованием 5-, 6- или 7-членного конденсированного кольца, имеющего от 0 до 3 гетероатомов, выбранных из группы, состоящей из N, O и S; R5 и R6 могут быть объединены с атомом азота, к которому каждый присоединен, с образованием 5-, 6- или 7-членного кольца; R2 или R1, когда присутствует как часть Y, может быть объединен с R5 с образованием 5- или 6-членного кольца с атомом азота, к которому R5 присоединен, необязательно несущим оксогруппу; когда Х означает C(R1), R5 или R6 может быть объединен с R1 с образованием 5-, 6- или 7-членного конденсированного кольца, содержащего атом азота, к которому R5 или R6 присоединен; и когда Х означает C(R1), R7 может быть объединен с R1 с образованием 5-, 6- или 7-членного конденсированного кольца.
В предпочтительных вариантах R1 и R2, каждый независимо, означают H или (C1-C8)алкил; R3 и R4, каждый независимо, означают H или (C1-C4)алкил; R5 и R6, каждый, означают H, (C1-C4)алкил или объединены с атомом азота, к которому каждый присоединен, с образованием 5- или 6-членного кольца (например, кольца пирролидина или пиперидина); и R7 означает H, (C1-C8)алкил или галоген(C1-C4)алкил.
Среди указанных соединений формулы (I), соединение является иным, чем

где R8 означает H, NO2, Cl, метокси, метил или фенил.
В формуле (I) выше, некоторые группы вариантов предпочтительны.
В одной группе предпочтительных вариантов X означает N. Еще более предпочтительно, X означает N и Z означает O. В этой группе вариантов, L1 означает предпочтительно связь и W1 означает замещенную или незамещенную группу, выбранную из бензола, пиридина, тиофена, оксазола, тиазола, бензоксазола, бензтиазола, бензофурана, бензотиофена, (C4-C7)циклоалкана, (C5-C7)циклоалкена, 1,2,3,4-тетрагидронафталина и индана. Еще более предпочтительно, W1 означает замещенную или незамещенную группу, выбранную из бензола, пиридина, тиофена, (C4-C7)циклоалкана, 1,2,3,4-тетрагидронафталина и индана. Для тех вариантов, в которых W1 означает замещенный бензол, заместители (Rc ниже), иные чем L2-W2, предпочтительно выбраны из галогена (включая F, Cl, Br и I), Rc1, ORc1, N(Rc1)2, SRc1, NO2, CN, (C1-C8)галогеналкила и (C1-C8)галогеналкокси, где каждая группа Rc1, независимо, означает H, (C1-C8)алкил, (C2-C8)алкенил или (C2-C8)алкинил, и необязательно, две группы Rc1, присоединенные к общему атому азота, объединены с образованием пяти- или шестичленного кольца. Дополнительно, замещенный бензол предпочтительно будет иметь от одного до четырех заместителей, более предпочтительно один-два заместителя и наиболее предпочтительно один заместитель. Заместители для каждого из W1 и W2 могут быть выбраны из заместителей, указанных в определениях выше, а также из заместителей, упоминаемых для различных конкретных вариантов ниже.
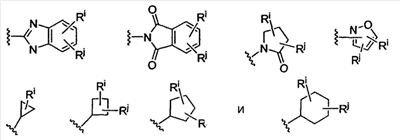
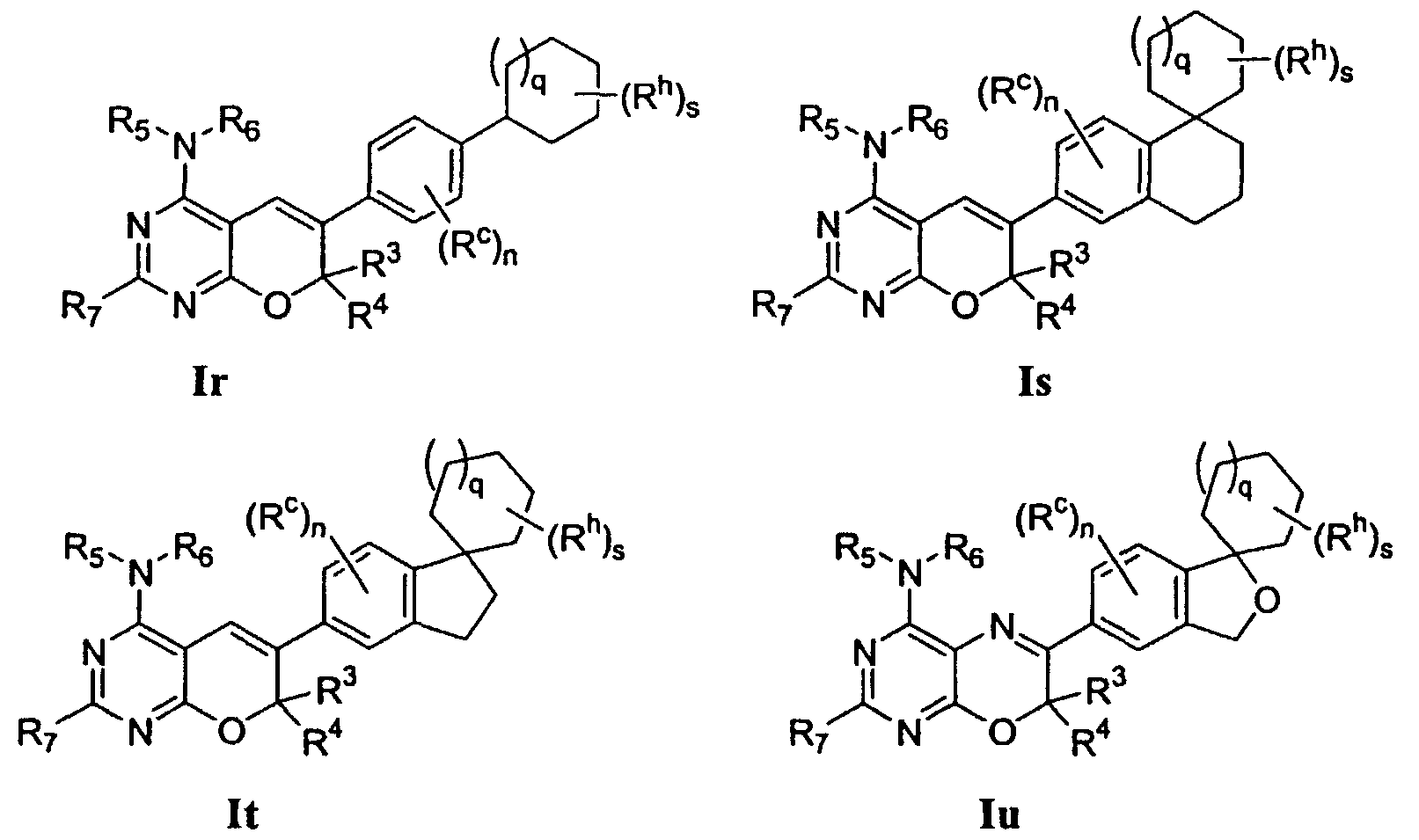
В одной группе специфических вариантов нижний индекс m=0 и L1 означает связь. Еще более предпочтительно, W1 выбран из замещенного или незамещенного бензола, пиридина, тиофена, оксазола, тиазола, бензоксазола, бензтиазола, бензофурана, бензотиофена, (C4-C7)циклоалкана, (C5-C7)циклоалкена, 1,2,3,4-тетрагидронафталина и индана. Еще более предпочтительно W1 означает замещенную или незамещенную группу, выбранную из бензола, пиридина, тиофена, (C4-C7)циклоалкана, 1,2,3,4-тетрагидронафталина и индана. Еще дополнительно предпочтительными являются варианты, представленные формулами Ia, Ib, Ic, Id, Ie, If и Ig ниже:


где n означает целое число от 0 до 4 и каждый Rc означает заместитель, независимо выбранный из галогена (включая F, Cl, Br и I), Rc1, ORc1, N(Rc1)2, SRc1, NO2, CN, (C1-C8)галогеналкила и (C1-C8)галогеналкокси, где каждая группа Rc1 независимо означает H, (C1-C8)алкил, (C2-C8)алкенил или (C2-C8)алкинил и, когда Rc означает N(Rc1)2, две группы Rc1 могут быть объединены с образованием пяти- или шестичленного кольца. Необязательно, для If и Ig, две группы Rc1 могут быть объединены с образованием 3-, 4-, 5-, 6- или 7-членного необязательно замещенного спироциклического кольца. Остальные заместители имеют значения, указанные выше в отношении общей формулы I.
В родственной группе специфических вариантов X означает N, Z означает O, L1 предпочтительно означает связь, W1 означает замещенную или незамещенную группу, выбранную из бензола, пиридина, тиофена, оксазола, тиазола, бензоксазола, бензтиазола, бензофурана, бензотиофена, (C4-C7)циклоалкана, (C5-C7)циклоалкена, 1,2,3,4-тетрагидронафталина и индана, и m=1. В этой группе вариантов L2 предпочтительно означает связь, O, или (C1-C4)гетероалкилен (например, -OCH2-, -OCH2CH2-, -NHCH2-) и W2 означает замещенную или незамещенную группу, выбранную из бензола, пиридина и (C4-C7)циклоалкана.
В одной группе особенно предпочтительных вариантов соединение выбрано из группы:

где n означает целое число от 0 до 4 и каждый Rc означает заместитель, независимо выбранный из галогена (включая F, Cl, Br и I), Rc1, ORc1, N(Rc1)2, SRc1, NO2, CN, (C1-C8)галогеналкила и (C1-C8)галогеналкокси, где каждая группа Rc1 независимо означает H, (C1-C8)алкил, (C2-C8)алкенил или (C2-C8)алкинил, и, необязательно, две группы Rc1, присоединенные к общему атому азота, объединены с образованием пяти- или шестичленного кольца. Дополнительно, p означает целое число от 0 до 4, более предпочтительно 0, 1 или 2, и каждый Rd означает заместитель, независимо выбранный из галогена (включая F, Cl, Br и I), Rd1, ORd1, N(Rd1)2, -(CH2)t-S(O)uRe, NO2, CN, (C1-C8)галогеналкила, (C1-C8)галогеналкокси, арил(C1-C4)алкила, гетероарил(C1-C4)алкила, -CH(Rf)-CO2Re, -C(Rf)2-CO2Re, -C(O)CO2Re, -(CH2)t-CO2Re, -(CH2)t-C(O)Re, -(CH2)t-C(O)NReRf, -(CH2)t-NHSO2Re, -(CH2)t-SO2NReRf, -(CH2)t-NReRf, -(CH2)t-ORe, -(CH2)t-NHSO2NHCO2Re, -(CH2)t-NHSO2NReRf, -(CH2)t-CONHSO2Re, -(CH2)t-W3, -(CH2)t-NHCO2Re, -(CH2)t-NRfCORe, -(CH2)t-NHCONReRf и -(CH2)t-NHCO-(CH2)t-OCORe, где t в каждом случае означает целое число от 0 до 8, u означает целое число от 0 до 2, Rd1 выбран из H, (C1-C8)алкила, (C2-C8)алкенила, (C2-C8)алкинила и (C3-C8)циклоалкила, где алифатическая часть необязательно замещена OH, CO2H, NH2, CONH2, фенилом, галогеном, галоген(C1-C4)алкилом и CO2Rg, и, необязательно, две группы Rd1, присоединенные к общему атому азота, объединены с образованием пяти- или шестичленного кольца; и где каждый Re и Rf независимо означает H или (C1-C8)алкил, или когда они присоединены к общему атому азота, они объединены с образованием 5- или 6-членного кольца, или необязательно выбраны из

и где какая-либо алкильная часть в Re и Rf необязательно замещена заместителем, выбранным из OH, COOH, NH2, CONH2, фенила, диалкиламино и COORg, где Rg означает (C1-C4)алкил; и W3 выбран из



где каждый Ri и каждый Rj независимо выбран из H, OH, COOH, галогена, галоген(C1-C4)алкила, гидрокси(C1-C4)алкила, (C1-C6)алкила, (C1-C6)алкокси, (C1-C6)алкокси(C1-C4)алкила и COO(C1-C4)алкила, где алифатические части являются незамещенными или необязательно замещенными галогеном.
В некоторых вариантах заместители Rd выбраны из галогена (включая F, Cl, Br и I), Rd1, ORd1, N(Rd1)2, SRd1, NO2, CN, (C1-C8)галогеналкила, (C1-C8)галогеналкокси, арил(C1-C4)алкила, гетероарил(C1-C4)алкила, (C1-C8)алкилен-CO2Re, C(O)Re, CO2Re, -CH2-CO2Re, -CH(Rf)-CO2Re, -C(Rf)2-CO2Re, -CH2CH2CO2Re, -C(O)NReRf, -CH2C(O)NReRf, -CH2CH2CONReRf, -NHSO2Re, -CH2NHSO2Re, -CH2CH2NHSO2Re, -CH2SO2NReRf, -CH2CH2SO2NReRf, -CH2OH, -CH2NReRf, CH2CH2OH, -CH2C(CH3)2OH, -CH2-W3, -CH2CH2-W3 и -C(O)CO2Re, где каждый Rd1, Re, Rf и W3 имеют значения, указанные выше в отношении формул Ih, Ii, Ij и Ik, и остальные заместители имеют значения, указанные выше в отношении общей формулы I.
Еще в других предпочтительных вариантах соединение имеет формулу, выбранную из

где каждый из R2, R3, R4, R5, R6, R7 и Rc, а также n имеют значения, указанные выше в отношении формул Ia-Ik. q означает целое число от 0 до 3, более предпочтительно, 0 или 1. s означает целое число от 0 до 4, более предпочтительно 0, 1 или 2, и каждый Rh означает заместитель, независимо выбранный из оксо, галогена (включая F, Cl, Br и I), Rh1, ORh1, N(Rh1)2, -(CH2)t-S(O)uRe, NO2, CN, (C1-C8)галогеналкила, (C1-C8)галогеналкокси, арил(C1-C4)алкила, гетероарил(C1-C4)алкила, -CH(Rf)-CO2Re, -C(Rf)2-CO2Re, -C(O)CO2Re, =CH-CONReRf, =CH-CO2Re, -(CH2)t-CO2Re, -(CH2)t-C(O)Re, -(CH2)t-C(O)NReRf, -(CH2)t-NHSO2Re, -(CH2)t-SO2NReRf, -(CH2)t-NReRf, -(CH2)t-ORe, -(CH2)t-NHSO2NHCO2Re, -(CH2)t-NHSO2NReRf, -(CH2)t-CONHSO2Re, -(CH2)t-W3, -(CH2)t-NHCO2Re, -(CH2)t-NRfCORe, -(CH2)t-NHCONReRf и -(CH2)t-NHCO-(CH2)t-OCORe, где t в каждом случае означает целое число от 0 до 8, u означает целое число от 0 до 2, Rh1 выбран из H, (C1-C8)алкила, (C2-C8)алкенила, (C2-C8)алкинила и (C3-C8)циклоалкила, где алифатическая часть необязательно замещена OH, CO2H, NH2, CONH2, фенилом, галогеном, галоген(C1-C4)алкилом и CO2Rg, и, необязательно две группы Rh1, присоединенные к общему атому азота, объединены с образованием пяти- или шестичленного кольца, или группы Rh и Rh1 могут быть объединены с образованием 3-, 4-, 5- или 6-членного спиро- или конденсированного кольца, имеющего от нуля до двух гетероатомов, выбранных из N, O и S; и где каждый Re и Rf независимо означает H или (C1-C8)алкил или, будучи присоединенными к общему атому азота, они объединены с образованием 5- или 6-членного кольца, или, необязательно, выбраны из

и где какая-либо алкильная часть в Re и Rf необязательно замещена заместителем, выбранным из OH, COOH, NH2, CONH2, фенила, диалкиламино и COORg, где Rg означает (C1-C4)алкил; и W3 выбран из
   
где каждый Ri и каждый Rj независимо выбран из H, OH, COOH, галогена, галоген(C1-C4)алкила, гидрокси(C1-C4)алкила, (C1-C6)алкила, (C1-C6)алкокси, (C1-C6)алкокси(C1-C4)алкила и COO(C1-C4)алкила, где алифатические части являются незамещенными или необязательно замещенными галогеном.
В некоторых вариантах заместители Rh выбраны из оксо, галогена (включая F, Cl, Br и I), Rh1, ORh1, N(Rh1)2, SRh1, NO2, CN, (C1-C8)галогеналкила, (C1-C8)галогеналкокси, арил(C1-C4)алкила, гетероарил(C1-C4)алкила, (C1-C8)алкилен-CO2Re, C(O)Re, CO2Re, =CH-CONReRf, =CH-CO2Re, -CH2-CO2Re, -CH(Rf)-CO2Re, -C(Rf)2-CO2Re, -CH2CH2CO2Re, -C(O)NReRf, -CH2C(O)NReRf, -CH2CH2CONReRf, -NHSO2Re, -CH2NHSO2Re, -CH2CH2NHSO2Re, -CH2SO2NReRf, -CH2CH2SO2NReRf, -CH2OH, -CH2NReRf, CH2CH2OH, -CH2C(CH3)2OH, -CH2-W3, -CH2CH2-W3 и -C(O)CO2Re, где Rh1, Re, Rf и W3 имеют значения, указанные выше в отношении формул Il, Im, In, Io, Ip и Iq, и остальные заместители имеют значения, указанные выше в отношении общей формулы I.
В некоторых вариантах каждой из формул от Ia до Iq, R2 (когда присутствует) означает H или (C1-C8)алкил; R3 и R4, каждый независимо, означают H, (C1-C4)алкил или объединены с образованием 3-, 4-, 5- или 6-членного спироциклического кольца; R5 и R6, каждый, означают H, (C1-C4)алкил или объединены с атомом азота, к которому каждый присоединен с образованием 5- или 6-членного кольца (например, кольца пирролидина или пиперидина); и R7 означает H, (C1-C8)алкил или галоген(C1-C4)алкил. Еще дополнительно предпочтительны те варианты, в которых нижний индекс n=0, q=1 и s=1. В особенно предпочтительной группе вариантов соединение имеет формулу Il, Im или In, и Rh означает заместитель, имеющий формулу C(O)Re, CO2Re, =CH-CO2Re, -CH2-CO2Re, -CH2NHCORe, -CH(Rf)-CO2Re, -C(Rf)2-CO2Re, -CH2CH2CO2Re, -C(O)NReRf, =CH-CONReRf, -CH2C(O)NReRf, -CH2CH2C(O)NReRf, -CH2CH2NHCO2Re, -CH2NHCO2Re, -NHSO2Re, -CH2NHSO2Re, -CH2CH2NHSO2Re, -CH2SO2NReRf, -CH2CH2SO2NReRf, -CH2OH, -CH2NReRf, -CH2CH2OH, -CH2C(CH3)2OH, -CH2-W3, -CH2CH2-W3, -C(O)CO2Re или -CH2-C(CF3)2-OH. В дополнительной группе предпочтительных вариантов соединения имеют формулу Il, в которой R3 и R4 независимо означают H или незамещенный (C1-C4)алкил; R5 и R6 независимо означают H или незамещенный (C1-C4)алкил; R7 выбран из H, незамещенного (C1-C4)алкила или галоген(C1-C4)алкила; n означает 0, 1 или 2, и Rc выбран из фтора, хлора, брома, циано, метила, трифторметила и нитро; Rh выбран из CO2Re, =CH-CO2Re, -CH2-CO2Re, -CH2NHCORe, -CH(Rf)-CO2Re, -C(Rf)2-CO2Re, -CH2CH2CO2Re, -C(O)NReRf, =CH-CONReRf, -CH2C(O)NReRf, -CH2CH2C(O)NReRf, -CH2CH2NHCO2Re, -CH2NHCO2Re, -CH2NReRf, -CH2-W3 и -CH2CH2-W3; где каждый Re и Rf означает H или (C1-C4)алкил, необязательно замещенный заместителем, выбранным из OH, COOH, NH2, CONH2, фенила, диалкиламино и COORg, где Rg означает (C1-C4)алкил; и где W3 выбран из

где Ri и Rj, каждый, независимо выбраны из H и (C1-C4)алкила.
В еще одной группе предпочтительных вариантов соединения представлены формулами от Ir до Iy.
 
где каждый из R3, R4, R5, R6, R7 и Rc, а также n имеют значения, указанные выше в отношении формул Ia-Ik. q означает целое число от 0 до 3, более предпочтительно 0 или 1. s означает целое число от 0 до 4, более предпочтительно 0, 1 или 2, и каждый Rh означает заместитель, независимо выбранный из групп, указанных выше для формул Il, Im, In, Io, Ip и Iq. Предпочтительными группами для Rh являются те, которые указаны выше как предпочтительные группы для формул Il, Im, In, Io, Ip и Iq.
В предпочтительных вариантах R3 и R4, каждый независимо, означают H, (C1-C4)алкил или объединены с образованием 3-, 4-, 5- или 6-членного спироциклического кольца; R5 и R6, каждый, означают H, (C1-C4)алкил или объединены с атомом азота, к которому каждый присоединен, с образованием 5- или 6-членного кольца (например, кольца пирролидина или пиперидина); и R7 означает H, (C1-C8)алкил или галоген(C1-C4)алкил. Еще дополнительно предпочтительными являются те варианты, в которых n=0, q=1 и s=1. В особенно предпочтительной группе вариантов Rh означает заместитель, имеющий формулу C(O)Re, CO2Re, =CH-CO2Re, -CH2-CO2Re, -CH(Rf)-CO2Re, -C(Rf)2-CO2Re, -CH2CH2CO2Re, -C(O)NReRf, =CH-CONReRf, -CH2C(O)NReRf, -CH2CH2C(O)NReRf, -CH2CH2NHCO2Re, -CH2NHCO2Re, -NHSO2Re, -CH2NHSO2Re, -CH2CH2NHSO2Re, -CH2SO2NReRf, -CH2CH2SO2NReRf, -CH2OH, -CH2NReRf, -CH2CH2OH, -CH2C(CH3)2OH, -CH2-W3, -CH2CH2-W3, -C(O)CO2Re или -CH2-C(CF3)2-OH, где каждый Re, Rf и W3 имеют значения, указанные выше.
В особенно предпочтительной группе вариантов соединения имеют формулу Iw.4, где заместители имеют значения, указанные выше в отношении общей формулы I, и предпочтительно выбраны из предпочтительных групп, указанных в отношении формул от Ir до Iy.

Более предпочтительно, соединения формулы Iw.4 являются такими, в которых R3 и R4 независимо означают H или незамещенный (C1-C4)алкил; R5 и R6 независимо означают H или незамещенный (C1-C4)алкил; R7 выбран из H, незамещенного (C1-C4)алкила или галоген(C1-C4)алкила; n означает 0, 1 или 2, и Rc выбран из фтора, хлора, брома, циано, метила, трифторметила и нитро; Rh выбран из CO2Re, =CH-CO2Re, -CH2-CO2Re, -CH2NHCORe, -CH(Rf)-CO2Re, -C(Rf)2-CO2Re, -CH2CH2CO2Re, -C(O)NReRf, =CH-CONReRf, -CH2C(O)NReRf, -CH2CH2C(O)NReRf, -CH2CH2NHCO2Re, -CH2NHCO2Re, -CH2NReRf, -CH2-W3 и -CH2CH2-W3; где каждый Re и Rf означает H или (C1-C4)алкил, необязательно замещенный заместитель, выбранный из OH, COOH, NH2, CONH2, фенила, диалкиламино и COORg, где Rg означает (C1-C4)алкил; и где W3 выбран из

где Ri и Rj, каждый независимо, выбраны из H и незамещенного (C1-C4)алкила.
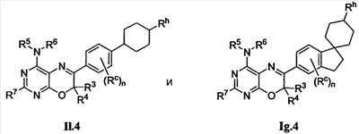
В другой особенно предпочтительной группе вариантов соединения представлены формулами Il.4 и Ig.4:

где каждый из заместителей имеет значения и предпочтительные группы, которые указаны выше для формул от Ir до Iy.
Более предпочтительными соединениями по данному изобретению являются те, которые указаны в примерах ниже и дополнительно приведены в таблицах 1-10.
В одной особенно предпочтительной группе вариантов соединения выбраны из
   
Получение соединений
Соединения по данному изобретению могут быть получены, исходя из коммерчески доступных исходных материалов и при использовании обычных технологий синтеза, известных специалистам в этой области. Ниже в общих чертах представлены схемы реакций, подходящие для получения таких соединений. Дополнительные примеры находятся в прилагаемых конкретных примерах.
Схема 1

Как показано на схеме 1, соединения по данному изобретению, где X означает N, Y означает N и Z означает O, могут быть получены из подходяще замещенного пиримидина (ii) и замещенного кетона (i), где LG означает уходящую группу, такую как атом галогена, толуолсульфонат, метансульфонат или трифторметансульфонат. Конденсация i и ii в органическом растворителе или смеси растворителей (включая водные смеси) в присутствии или в отсутствие кислоты (например, HCl) или основания (например, NaHCO3) дает, после окончательной обработки, соединение формулы iii. Восстановление iii восстановителем, таким как, например, боргидрид натрия, боргидрид лития, триацетоксиборгидрид натрия, дает еще другие соединения по данному изобретению, иллюстрируемые как iv на схеме 2.
Схема 2

Схемы 3a-3i поясняют несколько способов получения промежуточных соединений общей структуры i. На схеме 3a производное бензола, такое как 4-фенилциклогексанон (v), функционализируют, чтобы ввести желательный заместитель на кольцо циклогексана. В показанном примере реакцию Хорнера-Эммонса или подобную реакцию Виттига используют, чтобы ввести группу , -ненасыщенного сложного эфира, получая соединение vi (например, реакция с подходящим фосфонатом в присутствии основания, такого как гидрид натрия в растворителе, таком как DMF или ТГФ). Каталитическое гидрирование соединения vi с использованием, например, палладиевого или платинового катализатора в относительно полярном растворителе, таком как ТГФ, метанол или водная смесь, содержащая спирт или ТГФ в качестве сорастворителя, например, используют, чтобы восстановить двойную связь, получая соединение vii. Реакцию ацилирования Фриделя-Крафта используют затем, чтобы присоединить галогенацетильную группу к кольцу фенила соединения vii, образуя функционализированный ацетофенон (ix). Предпочтительно, уходящей группой в этой последовательности является Cl или Br. Подходящие кислоты Льюиса для ацилирования включают, например, AlCl3, AlBr3, BCl3, TiCl4 и тому подобное; подходящие растворители хорошо известны и включают CS2, нитробензол, дихлорметан и подобные растворители, которые нереакционноспособны в отношении используемых реагентов и кислот Льюиса. Специалисты должны принимать во внимание, что известны также другие способы синтеза для получения таких промежуточных соединений, такие как, например, ацилирование металлированных ароматических соединений, таких как ариллитий или арил-реагент Гриньяра, например, ацилирующим агентом, таким как N-метил-N-метоксиамид (обычно называемый как амид Weinreb) производного хлоруксусной кислоты (см., например, Nahm and Weinreb (1981) Tetrahedron Lett. 22:3815-3818) или подходящий сложный ацилэфир. Такие способы обеспечивают подход к другим изомерам указанных функционализированных производных ацетофенона.
Схема 3a
 
В качестве варианта, соединение vii может быть алкилировано обработкой основанием, таким как диизопропиламид лития или гексаметилдисилазид лития в подходящем растворителе, таком как ТГФ, с последующей реакцией с алкилирующим агентом, таким как алкилгалогенид, алкил-метансульфонат, алкил-трифторметансульфонат или алкил-толуолсульфонат, до получения промежуточного соединения x (Схема 3b). Если желательно, последовательность может быть повторена, чтобы получить промежуточные соединения общей формулы xi. Ацилирование соединения xi может быть осуществлено, как описано выше, чтобы получить соединение xii.
Схема 3b

Подобные подходы могут быть использованы для получения других функционализированных производных ацетофенона (см. схему 3c). Например, 4-фенилциклогексанон (v) может быть превращен в альдегид в две стадии, при использовании реакции Виттига с метоксиметилтрифенилфосфораном в подходящем растворителе, таком как ТГФ, DME или диоксан, чтобы получить соединение xiv, например, с последующим мягким кислотным гидролизом. Указанный альдегид может быть преобразован в , -ненасыщенный сложный эфир по реакции Виттига с (карбометокси)метилентрифенилфосфораном в подходящем растворителе. Если желательно, двойная связь может быть восстановлена посредством каталитического гидрирования с использованием палладия-на-углероде, например, чтобы получить соединение xv. Подходящие растворители для таких реакций гидрирования включают этанол или этилацетат. Ацилирование соединения xv для получения функционализированного производного ацетофенона (xvi) может быть осуществлено, как описано выше для ацилирования соединения vii.
Схема 3c

Схема 3d поясняет синтез других функционализированных производных ацетофенона общей формулы i, подходящих для синтеза соединений по данному изобретению.
Схема 3d
 
На схеме 3d фенильную группу вводят с помощью, например, фенил-реагента Гриньяра или фениллития, чтобы получить соединение xiii. Функциональная группа карбоновой кислоты может быть этерифицирована в стандартных условиях, чтобы получить соединение xix и дегидратация может быть осуществлена с использованием кислотного катализатора, такого как уксусная кислота, хлороводородная кислота или трифторуксусная кислота, в подходящем растворителе, таком как хлороформ или толуол, чтобы получить соединение xx. Восстановление двойной связи циклогексена может быть осуществлено в условиях каталитического гидрирования обычно с использованием палладия в качестве катализатора, чтобы получить соединение xxi. Это восстановление дает смесь изомеров (получают и цис- и транс-дизамещенные циклогексаны); если желательно, они могут быть разделены или уравновешены с помощью основания, такого как алкоксид или DBU в метаноле или толуоле, чтобы получить, главным образом, более термодинамически стабильный транс-дизамещенный изомер. Ацилирование соединения xxi для получения функционализированного ацетофенона xxii осуществляют, как описано выше.
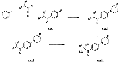
Соединения по данному изобретению, которые содержат гетероциклическое кольцо для W2, могут быть синтезированы путем подобной последовательности реакций при условии, что гетероциклическое кольцо является стойким в условиях реакции ацилирования. Например, соединение, где W2 означает ацилированный пиперидин, может быть синтезировано таким путем с использованием функционализированного производного ацетофенона, такого как полученное последовательностью реакций, показанной на схеме 3e. В этой последовательности, 4-гидрокси-4-фенилпиперидин (xxiii) алкилируют, сульфонилируют или ацилируют на атоме азота с использованием реагентов и условий, известных специалистам (например, ацилирование диэтилоксалатом или этилоксалилхлоридом в присутствии мягкого основания, такого как триэтиламин или пиридин), чтобы получить соединение xxiv. N-функционализированное (например, N-ацилированное) соединение затем дегидратируют и восстанавливают каталитически, как описано выше на схеме 3d, чтобы получить амид оксалата 4-фенилпиперидина (xxv). Это соединение затем ацилируют, как описано выше, чтобы получить соответствующие функционализированные производные ацетофенона (xxvi).
Схема 3e
 
Подобным образом, фенилпиперазин xxvii может быть алкилирован, сульфонилирован или ацилирован на атоме азота, чтобы получить N-функционализированное соединение xxviii, которое, в свою очередь, может быть ацилировано, как описано ранее, чтобы получить функционализированное производное ацетофенона xxix.
Схема 3f

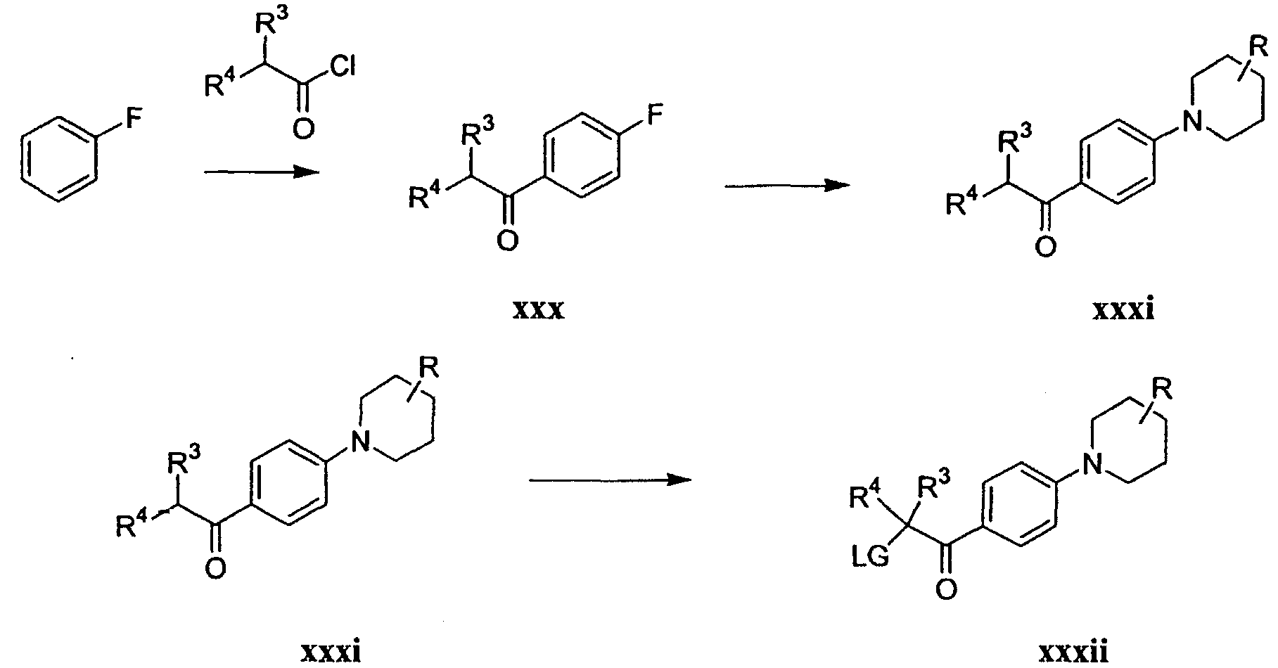
Другие соединения по данному изобретению, имеющие гетероцикл как W2, могут быть получены присоединением гетероциклической группы на ацетофенон, затем галогенированием ацетофенона на -атоме углерода, чтобы получить соединение общей формулы i, как показано на схеме 3g. В этой последовательности, соединение 4-фторацетофенона (xxiv) синтезируют ацилированием фторбензола в типичных условиях Фриделя-Крафта, как описано выше. Затем 4-фторгруппу подвергают реакциям ароматического нуклеофильного замещения; в схеме его замещают группой замещенного пиперидина путем взаимодействия с нуклеофильным пиперидином в полярном апротонном растворителе, таком как ДМСО или DMF. Функционализирование на атоме углерода, несущем R3 и R4, для получения соединения xxvi может быть осуществлено с использованием, например, брома (Br2) или хлора (Cl2) в полярном растворителе, таком как DME или этилацетат, в присутствии кислотного катализатора, такого как уксусная кислота или бромоводородная кислота.
Схема 3g

Конкретные функционализированные производные ацетофенона, подходящие для получения соединений по данному изобретению, где L1 означает связь, могут быть получены из замещенного ацетофенона, особенно, когда R3 и R4 являются идентичными группами, как показано на схеме 3h. Например, ацетофенон, замещенный -L2-W2 (xxxiii), может быть алкилирован алкилирующим агентом, таким как метилиодид, этилбромид или другим подобным алкилирующим агентом в присутствии основания, такого как диизопропиламид лития, гексаметилдисилазид лития или гидрид натрия, и с использованием растворителя, такого как DMF, DME, ТГФ или толуол. Это дает ацетофенон, где R3 и R4 являются теми же самыми. Этот ацетофенон затем может быть галогенирован, как описано выше на схеме 3g, чтобы получить функционализированный ацетофенон общей формулы i, который будет подвергаться конденсации с замещенными пиримидинами, как показано на схеме 1, до получения соединений по данному изобретению.
Схема 3h

Препарат соединений по изобретению, которые содержат гетероциклическое кольцо для W1, может быть синтезирован с использованием подобных процедур, которые намечены в общих чертах на схеме 3g. Например, замещенный или незамещенный гетероцикл xxxvi, такой как фуран, тиофен, пиррол, оксазол, тиазол, имидазол или тиадиазол, может быть металлирован литием, например, с использованием бутиллития или диизопропиламида лития в подходящем растворителе, таком как ТГФ, DME или диоксан. Металлированные разновидности могут быть подвергнуты реакции, например, с амидом, таким как диметиламид или N-метил-N-метоксиамид для получения ацилированного гетероцикла xxxvii, который, в свою очередь, может быть галогенирован, как описано выше, чтобы получить функционализированное производное ацетофенона общей формулы xxxviii. В подобной последовательности замещенный или незамещенный бензофуран, бензотиофен, бензопиррол, бензоксазол, бензотиазол, бензимидазол или бензотиадиазол (xxxix) может быть металлирован литием и ацилирован, чтобы получить соединение xl, которое, в свою очередь, может быть галогенировано, как описано ранее. Специалист должен принимать во внимание, что другие гетероциклы также могут быть использованы в таких преобразованиях.
Схема 3i

Как показано на схеме 4, соединения общей формулы iv, имеющие замещенное кольцо фенила как W1 и замещенное кольцо циклогексана как L2-W2 (например, xlii), могут быть получены из указанных замещенных производных ацетофенона подобных ix.
Схема 4

Соединения, такие как xlii, могут быть использованы для получения других соединений по данному изобретению, например, гидролизом этилового сложного эфира, чтобы получить соединение карбоновой кислоты xliii (схема 5). Гидролиз сложного эфира может быть осуществлен в большинстве растворителей, которые растворяют соединение xlii и, по меньшей мере, частично смешиваются с водой, путем обработки раствора соединения xlii водным основанием, таким как гидроксид натрия или гидроксид калия, например. Карбоновая кислота, в свою очередь, может быть превращена в другие группы, такие как амид, способами, хорошо известными обычному специалисту. Например, карбоновая кислота может быть активирована конденсацией с разными реагентами сопряжения, включая гидроксибензотриазол (HOBt) и N-гидроксисукцинимид (HOSu), например, с использванием дициклогексилкарбодиимида (DCC) или подобного карбодиимидного реагента или широкого разнообразия реагентов, таких как те, которые разработаны для формирования пептидных связей. Условия для таких реакций хорошо известны специалистам. Активированное промежуточное соединение, сложный эфир HOBt или HOSu, например, может быть затем конденсировано с широким разнообразием нуклеофилов, таких как, например, амины, спирты и тиолы. Схема 5 показывает превращение соединения формулы xlii в амид (xliv) по указанной последовательности с использованием аммиака в качестве нуклеофила.
Схема 5
 
Дегидратация амида xliv до нитрила (xlv) может быть осуществлена разнообразными способами. См. схему 5 выше. Пентоксид фосфора является наиболее распространенным реагентом дегидратирования для указанной реакции, но и многие другие известны специалистам. Нитрил, в свою очередь, может быть превращен в другие группы, такие как тетразол (xlvi), способами, хорошо известными обычному специалисту. Например, взаимодействие нитрила с азидом, таким как азид натрия, азид лития или азотистоводородная кислота, в растворителе, таком как DMF или вода, будет выполнять такое преобразование.
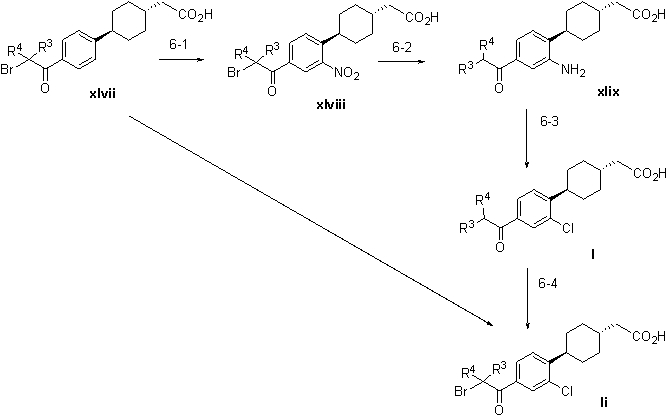
Схемы 6a и 6b поясняют один подход к получению соединений формулы I, в которой W1 означает группу фенилена, имеющую дополнительные заместители иные, чем компонент L2-W2. Как видно на схеме 6a, промежуточные бромацетофеноны xlvii могут быть нитрированы в стандартных условиях (азотная кислота, серная кислота в растворителях, таких как хлороформ, метиленхлорид, уксусная кислота, или без разбавления), чтобы получить xlviii. Восстановление нитрогруппы осуществляют дебромированием, чтобы получить xlix, используя каталитическое гидрирование или SnCl2 (обычно в спиртовых растворителях). Замещение хлоридом аминогруппы осуществляют с использованием хлорида меди в присутствии подходящего нитрита (например, трет-бутилнитрита, нитрита натрия) и растворителя, чтобы получить промежуточные соединения, такие как l. Бром может быть повторно введен, обеспечивая соединение li, с использованием стандартных условий бромирования (например, HBr/HOAc, Br2/N-бромсукцинимид или CuBr2). В качестве варианта, соединение xlvii может быть непосредственно хлорировано, чтобы получить соединение li, с использованием стандартных реагентов (например, сульфурилхлорид, Cl2 или N-хлорсукцинимид) и условий, известных специалисту.
Схема 6a

Схема 6b поясняет совершенствование промежуточных соединений, таких как xlix до других замещенных соединений. Например, соединения формулы lii (где X10 означает F) могут быть получены из соединения xlix с использованием реагентов фторирования, таких как тетрафторборат нитрозония, DAST, HF или CsF (обычно в растворителях, таких как толуол, бензол, метиленхлорид или дихлорэтан). Последующее бромирование соединения lii для получения соединения liii может быть осуществлено согласно известным способам. Превращение или соединения li, или liii в целевые соединения формулы liv осуществляют через конденсацию с подходяще замещенным пиримидином (см. пример 1).
Схема 6b

Как показано на схеме 7, соединения по данному изобретению, где X означает N, Y означает CH, Z означает O и W1 означает замещенный или незамещенный арил или гетероарил, могут быть получены из подходяще замещенного пиримидина lv (где A означает галоген, например, Br, I или трифлат или другой подходящий заместитель, известный специалистам) и замещенного или незамещенного производного арила или гетероарила lvi (где M означает B(OR2), Sn(R3) или другой подходящий металл, известный специалистам), например, путем катализируемой палладием реакции перекрестного сочетания. Специалисты должны также принимать во внимание, что А и М могут быть взаимозаменяемыми.
Схема 7

Схема 8 поясняет способ получения промежуточного соединения общей структуры lv. Конденсация пиримидина lviii с соединением lvii в подходящем растворителе, таком как уксусная кислота, дает соединение lix. Превращение гидроксигруппы в уходящую группу, например, хлорид или бромид, например, с оксихлоридом фосфора или оксибромидом фосфора, соответственно, сопровождают вытеснением уходящей группы подходяще замещенным амином, чтобы получить соединение lv.
Схема 8

Составы
В другом аспекте данное изобретение относится к фармацевтическим составам для модулирования активности DGAT у людей и животных, составы обычно будут содержать соединение формулы I и фармацевтически приемлемый носитель или разбавитель.
Фармацевтические составы для введения соединений по данному изобретению обычно могут быть представлены в унифицированной дозированной форме и могут быть приготовлены какими-либо способами, хорошо известными в фармации. Все способы предусматривают стадию объединения активного ингредиента с носителем, который образован одним или несколькими вспомогательными ингредиентами. Как правило, фармацевтические составы готовят однородным и тесным объединением активного ингредиента с жидким носителем или тонкоизмельченным твердым носителем или с обоими и затем, если необходимо, приданием продукту желательной формы. В фармацевтический состав активное целевое соединение вводят в количестве, достаточном, чтобы получить желательное воздействие на течение или состояние болезней.
Фармацевтические составы, содержащие активный ингредиент, могут быть в форме, подходящей для перорального применения, например, в виде таблеток, пилюль, пастилок, водных или масляных суспензий, диспергируемых порошков или гранул, эмульсий, твердых или мягких капсул или сиропов или эликсиров. Составы, предназначенные для перорального применения, могут быть приготовлены согласно какому-либо способу, известному в технике для производства фармацевтических составов. Такие составы могут содержать один или несколько агентов, выбранных из подслащивателей, ароматизирующих агентов, окрашивающих агентов и консервантов, для того, чтобы обеспечить фармацевтически первоклассные и приемлемые по вкусу препараты. Таблетки содержат активный ингредиент в смеси с другими нетоксичными фармацевтически приемлемыми наполнителями, которые являются подходящими для изготовления таблеток. Такими наполнителями могут быть, например, инертные разбавители, такие как карбонат кальция, карбонат натрия, лактоза, фосфат кальция или фосфат натрия; гранулирующие и дезинтегрирующие агенты, например, зерновой крахмал или альгиновая кислота; связующие агенты, например, крахмал, желатин или камедь акации, и смазывающие агенты, например, стеарат магния, стеариновая кислота или тальк. Таблетки могут быть непокрытыми, или они могут быть покрыты по известным технологиям, чтобы задержать дезинтеграцию и абсорбцию в пищеварительном тракте и тем самым обеспечить продолжительное действие в течение более длительного периода. Например, может быть использован материал для временной задержки, такой как глицерилмоностеарат или глицерилдистеарат. Они могут быть также покрыты по технологиям, описанным в патентах США № 4256108, 4166452 и 4256874, чтобы получить осмотические терапевтические таблетки для регулируемого высвобождения.
Составы для перорального применения могут быть также представлены в виде твердых желатиновых капсул, в которых активный ингредиент смешан с инертным твердым разбавителем, например, с карбонатом кальция, фосфатом кальция или каолином, или в виде мягких желатиновых капсул, в которых активный ингредиент смешан с водной или маслянистой средой, например, с арахисовым маслом, жидким парафином или оливковым маслом.
Водные суспензии содержат активные материалы в смеси с наполнителями, подходящими для приготовления водных суспензий. Такими наполнителями являются суспендирующие агенты, например, натриевая соль карбоксиметилцеллюлозы, метилцеллюлоза, гидроксипропилметилцеллюлоза, альгинат натрия, поливинилпирролидон, трагакантовая камедь и камедь акации; диспергирующими или смачивающими агентами могут быть встречающийся в природе фосфатид, например, лецитин, или продукты конденсации алкиленоксида с жирными кислотами, например, стеарат полиоксиэтилена, или продукты конценсации этиленоксида с длинноцепочечными алифатическими спиртами, например, гептадекаэтиленоксицетанол, или продукты конценсации этиленоксида с неполными сложными эфирами, полученными из жирных кислот и гексита, такие как моноолеат полиоксиэтиленсорбита, или продукты конценсации этиленоксида с неполными сложными эфирами, полученными из жирных кислот и ангидридов гексита, например, моноолеат полиэтилен-сорбитана. Водные суспензии могут также содержать один или несколько консервантов, например, этил или н-пропил, п-гидроксибензоат, один или несколько окрашивающих агентов, один или несколько ароматизирующих агентов и один или несколько подслащивающих агентов, таких как сахароза или сахарин.
Маслянистые суспензии могут быть приготовлены суспендированием активного ингредиента в растительном масле, например, в арахисовом масле, оливковом масле, кунжутном масле или кокосовом масле, или в минеральном масле, таком как жидкий парафин. Маслянистые суспензии могут содержать загуститель, например, пчелиный воск, твердый парафин или ацетиловый спирт. Подслащивающие агенты, такие как те, которые указаны выше, и ароматизирующие агенты могут быть добавлены, чтобы обеспечить приемлемый по вкусу пероральный препарат. Указанные составы могут быть предохранены от порчи добавлением антиоксиданта, такого как аскорбиновая кислота.
Диспергируемые порошки и гранулы, подходящие для приготовления водной суспензии добавлением воды, предоставляют активный ингредиент в смеси с диспергирующим или смачивающим агентом, суспендирующим агентом и одним или несколькими консервантами. Примерами подходящих диспергирующих или смачивающих агентов и суспендирующих агентов являются те, которые уже упоминались выше. Дополнительные наполнители, например, подслащивающие, ароматизирующие и окрашивающие агенты, также могут быть представлены.
Фармацевтические составы по данному изобретению могут быть также в виде эмульсий типа масло-в-воде. Масляной фазой может быть растительное масло, например, оливковое масло или арахисовое масло, или минеральное масло, например, жидкий парафин, или их смеси. Подходящими эмульгирующими агентами могут быть встречающиеся в природе камеди, например, камедь акации или трагакантовая камедь, встречающиеся в природе фосфатиды, например, соевые, лецитин, и сложные эфиры или неполные сложные эфиры, полученные из жирных кислот и ангидридов гексита, например, моноолеат сорбитана, и продукты конденсации указанных неполных сложных эфиров с этиленоксидом, например, моноолеат полиоксиэтилен-сорбитана. Эмульсии могут также содержать подслащивающие и ароматизирующие агенты.
Сиропы и эликсиры могут быть приготовлены с подслащивающими агентами, например, с глицерином, пропиленгликолем, сорбитом или сахарозой. Такие составы могут также содержать деэмульгатор, консервант и ароматизирующие и окрашивающие агенты.
Фармацевтические составы могут быть в виде стерильной водной или маслянистой суспензии для инъекций. Такая суспензия может быть приготовлена согласно известной технологии с использованием таких подходящих диспергирующих или смачивающих агентов и суспендирующих агентов, которые были упомянуты выше. Стерильным препаратом для инъекций может также быть стерильный раствор или суспензия для инъекций в нетоксичном парентерально приемлемом разбавителе или растворителе, например, как раствор в 1,3-бутандиоле. Из приемлемых носителей и растворителей могут быть использованы вода, раствор Рингера и изотонический раствор хлорида натрия. В дополнение, стерильные нелетучие масла обычно используют в качестве растворителя или суспендирующей среды. Для этой цели может быть использовано какое-либо мягкое нелетучее масло, содержащее синтетические моно- или диглицериды. Кроме того, жирные кислоты, такие как олеиновая кислота, находят применение в приготовлении составов для инъекций.
Соединения по данному изобретению могут быть также введены в виде суппозиториев для ректального введения лекарства. Эти составы могут быть приготовлены смешиванием лекарства с подходящим нераздражающим наполнителем, который является твердым при обычных температурах, но жидким при ректальной температуре, и поэтому будет плавиться в прямой кишке с высвобождением лекарства. Такими материалами являются какао-масло и полиэтиленгликоли.
Для местного применения используют пластыри, кремы, мази, желе, растворы или суспензии и т.д., содержащие соединения по данному изобретению. Как используемое здесь, местное применение подразумевает также включение применения промывания и полоскания для ротовой полости.
Фармацевтический состав и способ по данному изобретению могут дополнительно содержать другие терапевтически активные соединения, как отмечено здесь, которые обычно применяют для лечения указанных выше патологических состояний.
Способы применения
В еще одном аспекте данное изобретение относится к способам применения соединения или состава по изобретению для лечения или профилактики болезни или состояния, связанного с DGAT. Болезни и состояния, связанные с липидным метаболизмом и клеточной пролиферацией, и их осложнения могут быть подвергнуты лечению предлагаемыми соединениями и составами. В одной группе вариантов, болезни и состояния, включая хронические болезни, людей или других представителей, которые могут быть подвергнуты лечению ингибиторами функции DGAT, включают, но без ограничения указанным, метаболические расстройства, такие как ожирение, диабет, нервная анорексия, булимия, худосочие, синдром X, резистентность к инсулину, гипогликемия, гипергликемия, гиперурикемия, гиперинсулинемия, гиперхолестеринемия, гиперлипидемия, дислипидемия, смешанная дислипидемия, гипертриглицеридемия и болезнь неалкогольной жировой инфильтрации печени; сердечно-сосудистые болезни, такие как атеросклероз, артериосклероз, острая сердечная недостаточность, застойная сердечная недостаточность, болезнь коронарной артерии, кардиомиопатия, инфаркт миокарда, стенокардия, гипертензия, гипотензия, удар, ишемия, ишемическое реперфузионное повреждение, аневризма, рестеноз и сосудистый стеноз; патологические новообразования, такие как твердые опухоли, рак кожи, меланома, лимфома и разновидности эндотелиального рака, например, рак молочной железы, рак легких, колоректальный рак, рак желудка, другие разновидности рака пищеварительного тракта (например, рак пищевода и рак поджелудочной железы), рак простаты, рак почек, рак печени, рак мочевого пузыря, рак шейки матки, рак матки, рак яичек и рак яичника, и другие болезни и состояния, которые являются чувствительными к модуляции функции DGAT или поддающимися ее влиянию.
Способы по данному изобретению обычно предусматривают введение субъекту при необходимости терапевтического лечения эффективного количества соединения формулы (I). Доза, частота и распределение во времени такого введения будут зависеть в значительной мере от выбранного терапевтического агента, характера состояния, которое требует лечения, состояния субъекта, включая возраст, массу и наличие других состояний или расстройств, вводимого состава и решения лечащего врача. Предпочтительно, составы и соединения по изобретению и их фармацевтически приемлемые соли вводят пероральным, парентеральным или местным путем. Обычно соединения вводят в дозах в пределах от около 2 мг вплоть до около 2000 мг в сутки, хотя изменения обязательно будут в зависимости, как отмечалось выше, от целевой болезни, пациента и пути введения. Предпочтительные дозы вводят перорально в пределах от около 0,05 мг/кг до около 20 мг/кг, более предпочтительно в пределах от около 0,05 мг/кг до около 2 мг/кг, наиболее предпочтительно в пределах от около 0,05 мг/кг до около 0,2 мг/кг массы тела в сутки. Доза, используемая для местного введения, конечно, будет зависеть от размера участка, требующего лечения.
Комбинированная терапия с дополнительными активными агентами
Данное изобретение дополнительно относится к способам применения соединения или состава по изобретению в сочетании с одним или несколькими дополнительными активными агентами в зависимости от желательной целевой терапии (см. например, Turner, N. et al. Prog. Drug Res. (1998) 51: 33-94; Haffner, S. Diabetes Care (1998) 21: 160-178; and DeFronzo, R. et al. (eds.), Diabetes Reviews (1997) Vol. 5 No. 4). Некоторые исследования посвящены изучению пользы методов комбинированной терапии агентами для перорального введения (см. например, Mahler, R., J. Clin. Endocrinol. Metab. (1999) 84: 1165-71; United Kingdom Prospective Diabetes Study Group: UKPDS 28, Diabetes Care (1998) 21: 87-92; Bardin, C. W. (ed.), Current Therapy in Endocrinology and Metabolism, 6th Edition (Mosby – Year Book, Inc., St. Louis, MO 1997); Chiasson, J. et al., Ann. Intern. Med. (1994) 121: 928-935; Coniff, R. et al., Clin. Ther. (1997) 19: 16-26; Coniff, R. et al., Am. J. Med. (1995) 98: 443-451; и Iwamoto, Y. et al., Diabet. Med. (1996) 13 365-370; Kwiterovich, P. Am. J. Cardiol. (1998) 82 (12A): 3U-17U).
В частности, вышеупомянутые исследования показывают, что корректирование диабета и гиперлипидемии может быть дополнительно улучшено во многих случаях добавлением второго агента к терапевтическому режиму. Комбинированная терапия предусматривает введение единственного фармацевтического дозированного состава, который содержит соединение, имеющее общую структурную формулу I, и один или несколько дополнительных активных агентов, а также введение соединения формулы I и каждого активного агента в его собственном отдельном фармацевтическом дозированном составе. Например, соединение формулы I и ингибитор редуктазы HMG-CoA могут быть введены человеку вместе в едином дозированном составе для перорального введения, таком как таблетка или капсула, или каждый агент может быть введен в отдельных дозированных составах для перорального введения. Когда используют отдельные дозированные составы, соединение формулы I и один или несколько дополнительных активных агентов могут быть введены по существу в одно и то же время (т.е. одновременно) или отдельно в чередующиеся моменты времени (т.е. последовательно). Подразумевается, что комбинированная терапия содержит все указанные режимы.
Пример комбинированной терапии, которая модулирует (предотвращает начало симптомов или осложнений, связанных с) атеросклероз, предусматривает введение соединения формулы I в сочетании с одним или несколькими из следующих активных агентов: антигиперлипидемический агент; агент, повышающий уровень содержания в плазме HDL; антигиперхолестеринемический агент, такой как ингибитор биосинтеза холестерина, например, ингибитор гидроксиметилглутарил(HMG)CoA редуктазы (относящийся также к статинам, таким как ловастатин, симвастатин, правастатин, флувастатин и аторвастатин), ингибитор синтазы HMG-CoA, ингибитор сквален-эпоксидазы или ингибитор сквален-синтетазы (известный также как ингибитор сквален-синтазы); ингибитор ацил-кофермент A холестерин ацилтрансферазы (ACAT), такой как мелинамид; пробукол; никотиновая кислота и ее соли и ниацинамид; ингибитор абсорбции холестерина, такой как -ситостерин; анионообменная смола, связывающая желчную кислоту, такая как холестирамин, колестипол или диалкиламиноалкил-производные поперечно сшитого декстрана; индуктор рецептора LDL (липопротеина низкой плотности); фибраты, такие как клофибрат, безафибрат, фенофибрат и гемфиброзил; витамин B6 (известный также как пиридоксин) и его фармацевтически приемлемые соли, такие как соль HCl; витамин B12 (известный также как цианокобаламин); витамин B3 (известный также как никотиновая кислота и ниацинамид, выше); антиоксидантные витамины, такие как витамин C и E и бета-каротин; бета-блокатор; антагонист ангиотензина II; ингибитор ангиотензин-превращающего фермента и ингибитор агрегации тромбоцитов, такой как антагонисты рецептора фибриногена (например, антагонисты гликопротеинового рецептора фибриногена IIb/IIIa) и аспирин. Как отмечалось выше, соединения формулы I могут быть введены в сочетании с более чем одним дополнительным активным агентом, например, сочетание соединения формулы I с ингибитором редуктазы HMG-CoA (например, с ловастатином, симвастатином и правастатином) и аспирином, или соединения формулы I с ингибитором редуктазы HMG-CoA и -блокатором.
Другой пример комбинированной терапии может быть рассмотрен для лечения ожирения или относящихся к ожирению расстройств, где соединения формулы I могут быть эффективно использованы в сочетании, например, с фенилпропаноламином, фентермином, диэтилпропионом, мазиндолом; фенфлурамином, дексфенфлурамином, фентирамином, агентами-агонистами 3-адренорецептора; сибутрамином, желудочно-кишечными ингибиторами липазы (такими как орлистат) и лептинами. Другие агенты, используемые при лечении ожирения или относящихся к ожирению расстройств, могут быть использованы в сочетании с соединениями формулы I, включая, например, нейропептид Y, энтеростатин, холецитокинин, бомбезин, амилин, рецепторы гистамина H3, рецепторы допамина D2, гормон, стимулирующий меланоциты, фактор высвобождения кортикотрофина, галанин и гамма-аминомасляная кислота (GABA).
Другой пример комбинированной терапии может быть рассмотрен для модулирования диабета (или лечения диабета и относящихся к нему симптомов, осложнений и расстройств), где соединения формулы I могут быть эффективно использованы в сочетании, например, с сульфонилмочевинами (такими как хлорпропамид, толбутамид, ацетогексамид, толазамид, глибурид, гликлазид, глиназа, глимепирид и глипизид), бигуанидами (такими как метформин), тиазолидиндионами (такими как циглитазон, пиоглитазон, троглитазон и розиглитазон); дигидроэпиандростероном (называемым также как DHEA или его конъюгированный сложный эфир сульфат, DHEA-SO4); антиглюкокортикостероидами; ингибиторами TNF ; ингибиторами -глюкозидазы (такими как акарбоза, миглитол и воглибоза), прамлинтидом (синтетическим аналогом амилина гормона человека), другими агентами, стимулирующими секрецию инсулина (такими как репаглинид, глихидон и натеглинид), инсулином, а также с активными агентами, обсуждавшимися выше для лечения атеросклероза.
Еще другой пример комбинированной терапии может быть рассмотрен для модулирования гиперлипидемии (лечения гиперлипидемии и относящихся к ней осложнений), где соединения формулы I могут быть эффективно использованы в сочетании, например, со статинами (такими как флувастатин, ловастатин, правастатин или симвастатин), смолами, связывающими желчную кислоту (такими как колестипол или холестирамин), никотиновой кислотой, пробуколом, бетакаротином, витамином E или витамином C.
В соответствии с данным изобретением терапевтически эффективное количество соединения формулы I может быть использовано для приготовления фармацевтического состава, применимого для лечения диабета, лечения гиперлипидемии, лечения гиперурикемии, лечения ожирения, снижения уровней триглицеридов, снижения уровней холестерина, повышения уровня содержания в плазме липопротеина высокой плотности и для лечения, предупреждения или снижения риска развития атеросклероза.
Дополнительный пример комбинированной терапии может быть рассмотрен для модулирования дерматологических состояний, где соединения формулы I могут быть эффективно использованы в сочетании, например, со средствами для лечения угрей (например, изотретиноином, доксициклином, тетрациклином, салицилатом) и средствами для лечения себоррейного дерматита (противогрибковыми агентами, такими как климбазол, кетоконазол). Более того, соединения формулы I могут быть эффективно использованы для улучшения чрескожной доставки лекарств, применяемых местно в форме пластыря, лосьона, желе, крема и т.п.
Еще один пример комбинированной терапии может быть рассмотрен для лечения болезни неалкогольной жировой инфильтрации печени (NAFLD), где соединения формулы I могут быть эффективно использованы в сочетании с гепатозащитными агентами, такими как урсодезоксихолевая кислота и бетаин.
Дополнительно, эффективное количество соединения формулы I и терапевтически эффективное количество одного или нескольких активных агентов, выбранных из группы, состоящей из таких агентов, как антигиперлипидемический агент; агент, повышающий уровень содержания в плазме HDL; антигиперхолестеринемический агент, такой как ингибитор биосинтеза холестерина, например, ингибитор редуктазы HMG-CoA, ингибитор синтазы HMG-CoA, ингибитор сквален-эпоксидазы или ингибитор сквален-синтетазы (известный также как ингибитор сквален-синтазы); ингибитор ацил-кофермент A холестерин-ацилтрансферазы; пробукол; никотиновая кислота и ее соли; ниацинамид; ингибитор абсорбции холестерина; анионообменная смола, связывающая желчную кислоту; индуктор рецептора липопротеина низкой плотности; клофибрат, фенофибрат и гемфиброзил; витамин B6 и его фармацевтически приемлемые соли; витамин B12; антиоксидантный витамин; -блокатор; антагонист ангиотензина II; ингибитор ангиотензин-превращающего фермента; ингибитор агрегации тромбоцитов; антагонист рецептора фибриногена; аспирин; фентирамины; агонисты 3 адренергического рецептора; сульфонилмочевины, бигуаниды, ингибиторы -глюкозидазы, другие агенты, стимулирующие секрецию инсулина; инсулин и гепатозащитный агент, могут быть использованы вместе для приготовления фармацевтического состава, применимого для указанных выше методов лечения.
ПРИМЕРЫ
Спектр 1H-ЯМР записывали на ЯМР спектрометре Varian Gemini 400 МГц, Jeol Alpha 300 МГц, Bruker DPX 300 МГц, Varian Mercury 400 МГц или Bruker Avance 500 МГц. Показательные пики сведены в таблицу, и они обычно включают число протонов, множественность (s, синглет; d, дублет; t, триплет; q, квартет; m, мультиплет; ушир.с, уширенный синглет) и константу (константы) связывания в герцах. ИК-спектр записывали на спектрометре Perkin Elmer 1600 FT-IR или Perkin Elmer Spectrum One FT-IR. Результаты масс-спектрометрии представлены как отношение массы к заряду, сопровождаемое относительной совокупностью каждого иона (в скобках). Исходные материалы в примерах синтеза ниже или доступны из коммерческих источников, таких как Aldrich Chemical Co., Milwaukee, Wisconsin, USA, или посредством процедур, описанных в литературе. Аббревиатуры, использованные в примерах ниже, имеют их общепринятые в химической литературе значения. Например, ТГФ (тетрагидрофуран), Et2O (простой диэтиловый эфир), MeOH (метанол), LDA (диизопропиламид лития), MeCN (ацетонитрил), DMAP (4-диметиламинопиридин), WSC (1-этил-3-(3′-диметиламинопропил)карбодиимид), HOBt (1-гидроксибензотриазол), DBU (1,8-диазабицикло[5.4.0]ундец-7-ен), DME (1,2-диметоксиэтан), DMF (N,N-диметилформамид), ДМСО (диметилсульфоксид), AcOH (уксусная кислота) и AcOEt (этилацетат). Другие обычные аббревиатуры используются здесь: например, метильная группа часто дается как непомеченная концевая “связь”, согласно принятой практике.
Пример 1
Этот пример поясняет получение соединения, обозначенного Пример 1.

К суспензии 4,5-диамино-6-гидроксипиримидина (1,0 г, 7,93 ммоль) и 4-бромфенацилбромида (2,2 г, 7,93 ммоль) в EtOH (20 мл) добавляют NaHCO3 (666 мг, 7,93 ммоль) и смесь перемешивают в течение 1,5 ч при 80°C. После охлаждения реакционную смесь концентрируют и остаток разбавляют CHCl3 (40 мл). После отфильтровывания нерастворимого материала фильтрат концентрируют. Остаток растирают с толуолом, получая желательное соединение Примера 1 (840 мг) в виде бледно-желтого кристалла, т. пл.: >200°C. ИК (см-1): 3291, 3145, 1634, 1586, MS (ESI+): 305, 307 (100), 1H ЯМР (ДМСО-d6, 400 МГц): 5,44 (с, 2H), 7,10 (ушир.с, 2H), 7,69 (д, 2H, J=8,6 Гц), 7,93 (с, 1H), 8,03 (д, 2H, J=8,6 Гц).
Примеры 1-2 до 1-37:
Соединения, показанные в таблице 1, получают таким же образом как в примере 1.
Пример 2
Этот пример поясняет получение соединения, обозначенного Пример 2.
a)

При 0°C к раствору триэтилфосфоноацетата (2,6 мл, 12,91 ммоль) в DMF (5,5 мл) добавляют порциями гидрид натрия (60% в масле, 517 мг, 12,91 ммоль) и реакционную смесь перемешивают при комнатной температуре в течение 30 мин. Добавляют раствор 4-фенилциклогексанона в DMF (2,0 мл). После перемешивания в течение 0,5 ч смесь выливают в 5% водный раствор KHSO4 (10 мл) и экстрагируют простым диэтиловым эфиром (10 мл). Органический слой промывают последовательно водой (5 мл) и насыщенным раствором соли (5 мл), сушат над MgSO4 и концентрируют. Остаток очищают колоночной хроматографией (гексан/AcOEt=7/1), получая соединение 2 (2,0 г) в виде бесцветного масла.
b)

К перемешиваемому раствору соединения 2 (500 мг, 2,05 ммоль) в EtOH (5 мл) добавляют 10% Pd/C (50 мг). Смесь перемешивают при комнатной температуре в течение 1 ч при атмосферном давлении водорода. Катализатор удаляют фильтрованием и фильтрат концентрируют в вакууме, получая сырое соединение 3 (491 мг) в виде бесцветного масла, которое используют для следующей реакции без дополнительной очистки.
c)

При 0°C к раствору соединения 3 (271 мг, 1,10 ммоль) в CH2Cl2 (1,4 мл) добавляют порциями безводный AlCl3 (440 мг, 3,30 ммоль) и затем добавляют по каплям 2-бромизобутирилбромид (0,14 мл, 1,10 ммоль). После перемешивания в течение 1 ч при 0°C смесь выливают в воду со льдом и экстрагируют CHCl3 (5 мл). Объединенный органический слой промывают последовательно насыщенным NaHCO3 (5 мл) и насыщенным раствором соли (5 мл), сушат над MgSO4 и концентрируют. Остаток очищают колоночной хроматографией (гексан/AcOEt=7/1), получая соединение 4 (402 мг) в виде бесцветного масла.
d)

4,5-Диамино-6-гидроксипиримидин (63,1 мг, 0,50 ммоль) смешивают с 1н. водного раствора HCl (0,50 мл, 0,50 ммоль), водой (2 мл) и EtOH (2 мл) и соединением 4 (395 мг, 1,00 ммоль) в EtOH (2 мл). Реакционную смесь кипятят с обратным холодильником (105°C) в течение 12 ч. Реакционную смесь концентрируют до половины объема. Остаток доводят до pH 9-10 2н. водным раствором NaOH. Полученную смесь экстрагируют AcOEt (5 мл). Водный слой доводят до pH 3-4 10% водной лимонной кислотой, экстрагируют AcOEt (5 мл). Органический слой промывают водой (5 мл) и насыщенным раствором соли (5 мл), сушат над MgSO4. Выпаривание растворителя дает сырое соединение Примера 2 (54 мг, смесь цис- и транс-изомеров). Первый органический слой промывают водой (5 мл) и насыщенным раствором соли (5 мл), сушат над MgSO4. Выпаривание растворителя дает сырое соединение 5 (126 г, смесь цис- и транс-изомеров), которое используют для следующей реакции без дополнительной очистки. К раствору сырого соединения 5 в EtOH (1,2 мл), ТГФ (1,8 мл) и воде (1,2 мл) добавляют 2н. водный раствор NaOH (0,45 мл) после перемешивания при 40°C в течение 4 ч. Реакционную смесь концентрируют до половины объема и добавляют к воде (2 мл) и промывают AcOEt (2 мл). Водный слой доводят до pH 3-4 10% водной лимонной кислотой и экстрагируют AcOEt (5 мл). Органический слой промывают водой (5 мл) и насыщенным раствором соли (5 мл), сушат над MgSO4. Выпаривание растворителя дает белое твердое вещество (113 мг). Белое твердое вещество (113 мг) и сырое соединение Примера 2 (54 мг) объединяют и подвергают перекристаллизации из EtOH, получая соединение Примера 2 (92 мг, транс-изомер) в виде белого кристалла, т. пл.: >270°C. ИК (см-1): 3320, 2929, 1702, 1601, MS (ESI+): 395 (100). 1Н ЯМР (ДМСО-d6, 300 МГц): 1,10-1,16 (м, 2H), 1,45-1,84 (м, 13H), 2,15 (д, 2H, J=6,0 Гц), 2,54 (м, 1H), 6,97 (ушир.с, 2H), 7,30 (д, 2H, J=8,4 Гц), 7,64 (д, 2H, J=8,4 Гц), 7,94 (с, 1H), 11,95 (ушир.с, 1H),
Пример 2-2:

К раствору соединения Примера 2 (80 мг, 0,20 ммоль) в DMF (2,4 мл) добавляют HOBt-H2О (34,2 мг, 0,22 ммоль), EDC-HCl (42,8 мг, 0,22 ммоль) и 28% водный раствор аммиака (0,04 мл, 0,81 ммоль). Реакционную смесь перемешивают при комнатной температуре в течение 70 ч. Смесь выливают в насыщенный водный раствор NaHCO3 и экстрагируют AcOEt (3 мл). Органический слой промывают последовательно водой (3 мл × 2), насыщенным NaHCO3 (3 мл) и насыщенным раствором соли (3 мл), сушат над MgSO4. Выпаривание растворителя дает белое твердое вещество (69,5 мг). Твердое вещество суспендируют с EtOH, получая соединение Примера 2-2 (48,2 мг) в виде белого кристалла, т. пл.: 224-226°C. ИК (см-1): 3348, 2923, 1672, 1604. MS (ESI+): 394 (100). 1Н ЯМР (ДМСО-d6, 400 МГц): 1,03-1,22 (м, 8H), 1,4-1,49 (м, 2H), 1,70-1,82 (м, 5H), 2,14 (д, 2H, J=6,9 Гц), 2,54 (м, 1H), 4,11 (ушир.с, 1H), 5,27 (ушир.с, 1H), 6,23 (ушир.с, 2H), 7,25 (д, 2H, J=8,0 Гц), 7,36 (д, 2H, J=8,0 Гц), 7,61 (с, 1H), 11,75 (ушир.с, 1H).
Пример 2-3:

При 0°C к раствору соединения Примера 2 (120 мг, 0,30 ммоль) в ТГФ (3,6 мл) и MeOH (3,6 мл) добавляют порциями NaBH4 (194 мг, 4,86 ммоль) и реакционную смесь перемешивают при 0°C в течение 20 ч. 2н. водный раствор NaOH (0,46 мл, 0,91 ммоль) добавляют и перемешивают в течение 30 мин при 60°C. Реакционную смесь концентрируют до половины объема. Остаток добавляют к воде (3 мл) и промывают AcOEt (3 мл). Водный слой доводят до pH 3-4 10% водным раствором лимонной кислоты, экстрагируют AcOEt (5 мл). Органический слой промывают водой (5 мл) и насыщенным раствором соли (5 мл), сушат над MgSO4. Выпаривание растворителя дает белое твердое вещество (150 мг). Твердое вещество подвергают перекристаллизации из EtOH, получая соединение Примера 2-3 (97 мг) в виде белого кристалла, т.пл.: 274-279°C (разлагается). ИК (см-1): 3414, 2927, 1650, 1595. MS (ESI+): 397 (100). 1Н ЯМР (ДМСО-d6, 300 МГц): 1,02-1,17 (м, 2H), 1,40-1,53 (м, 2H), 1,61 (с, 6H), 1,66-1,87 (м, 5H), 1,98 (д, 2H, J=7,1 Гц), 2,53 (м, 1H), 6,67 (ушир.с, 1H), 6,89 (ушир.с, 2H), 7,21 (ушир.с, 1H), 7,30 (д, 2H, J=8,1 Гц), 7,63 (д, 2H, J=8,1 Гц), 7,94 (с, 1H).
Пример 2-4:
a)

К перемешиваемой суспензии хлорида метоксиметилтрифенилфосфония (3,14 г, 9,2 ммоль) в ТГФ (8 мл) добавляют трет-бутоксид калия (516 мг, 4,6 ммоль) в атмосфере Ar. Спустя 1 ч к раствору добавляют 4-фенилциклогексанон (1) (400 мг, 2,3 ммоль). Смесь перемешивают в течение 1 ч при комнатной температуре, нагревают в течение ночи при 70°C. После охлаждения реакционную смесь выливают в насыщенный NaHCO3 (40 мл) и экстрагируют простым эфиром (50 мл). Органический экстракт промывают водой (40 мл) и насыщенным раствором соли (40 мл) и сушат над Na2SO4 и растворитель удаляют, получая сырое соединение 7 (2,19 г), которое используют на следующей стадии без дополнительной очистки.
b)

Сырое соединение 7 (2,19 г) смешивают с 80% водным раствором AcOH (25 мл) и нагревают при 70°C в течение 3,5 ч с перемешиванием. Реакционную смесь концентрируют при пониженном давлении. Остаток очищают колоночной хроматографией (гексан/AcOEt=20/1), получая соединение 8 (395 мг) в виде бесцветного масла.
c)

К перемешиваемому раствору соединения 8 (383 мг, 2,03 ммоль) в толуоле (20 мл) добавляют DBU (365 мкл, 2,44 ммоль) и смесь нагревают при 80°C в течение 5 ч в атмосфере Ar. Затем к реакционной смеси добавляют метил(трифенилфосфоранилиден) ацетат (1,2 г, 3,05 ммоль) и смесь перемешивают в течение ночи при 100°C. После охлаждения реакционную смесь промывают 5% KHSO4 (10 мл), насыщенным NaHCO3 (10 мл) и насыщенным раствором соли (10 мл) и органический слой сушат над Na2SO4 и концентрируют. Остаток очищают колоночной хроматографией (гексан/AcOEt=20/1), получая соединение 9 (474 мг) в виде бесцветного масла.
d)

Суспензию 10% палладия-на-угле (50 мг) в растворе соединения 9 (474 мг, 1,94 ммоль) в EtOH (15 мл) гидрируют при атмосферном давлении водорода в течение ночи при комнатной температуре. Реакционную смесь фильтруют и фильтрат концентрируют, получая соединение 10 (436 мг) в виде бесцветного масла, которое является достаточно чистым для использования для следующей стадии без дополнительной очистки.
e)

Аналогично примеру 2, исходя из соединения 10 в количестве 436 мг (1,94 ммоль), получают соединение Примера 2-4 (231 мг) в виде бесцветного кристалла, т. пл.: >250°C. ИК (см-1): 3310, 2922, 1702, 1611. MS (ESI+): 409 (100). 1Н ЯМР (ДМСО-d6, 400 МГц): 1,04-1,09 (м, 2H), 1,43 (м, 1H), 1,43-1,50 (м, 4H), 1,60 (с, 6H), 1,83 (ушир.д, 4H, J=11,4 Гц), 2,25 (т, 2H, J=7,7 Гц), 2,50 (м, 1H), 6,88 (ушир.с, 2H), 7,29 (д, 2H, J=8,3 Гц), 7,63 (д, 2H, J=8,3 Гц), 7,94 (с, 1H), 11,84 (ушир.с, 1H).
Пример 2-5:

Аналогично Примеру 2-2, исходя из соединения Примера 2-4 в количестве 50 мг (0,12 ммоль), получают соединение Примера 2-5 (41 мг) в виде бесцветного кристалла, т. пл.: 244-246°C. ИК (см-1): 3357, 2920, 1696, 1602. MS (ESI+): 408 (100). 1Н ЯМР (ДМСО-d6, 400 МГц): 1,04-1,08 (м, 2H), 1,29 (м, 1H), 1,40-1,49 (м, 4H), 1,60 (с, 6H), 1,83 (ушир.д, 4H, J=10,2 Гц), 2,09 (т, 2H, J=7,4 Гц), 2,50 (м, 1H), 6,60 (ушир.с, 1H), 6,88 (ушир.с, 2H), 7,20 (ушир.с, 1H), 7,29 (д, 2H, J=8,3 Гц), 7,63 (д, 2H, J=8,3 Гц), 7,94 (с, 1H).
Пример 2-6:

Аналогично Примеру 2-3, исходя из соединения Примера 2-4 в количестве 38 мг (0,09 ммоль), получают соединение Примера 2-6 (19 мг) в виде бесцветного кристалла, т. пл.: >250°C. ИК (см-1): 3348, 2922, 1638, 1595. MS (ESI+): 411 (100). 1Н ЯМР (ДМСО-d6, 400 МГц): 1,04-1,09 (м, 2H), 1,08 (с, 3H), 1,22 (с, 3H), 1,32 (м, 1H), 1,43-1,48 (м, 4H), 1,83 (ушир.д, 4H, J=10,7 Гц), 2,24 (т, 2H, J=7,7 Гц), 2,50 (м, 1H), 4,11 (с, 1H), 5,26 (с, 1H), 6,22 (ушир.с, 2H), 7,23 (д, 2H, J=8,1 Гц), 7,35 (д, 2H, J=8,1 Гц), 7,62 (с, 1H), 11,73 (ушир.с, 1H).
Пример 2-7:
a)

Соединение 11 (3 мл, 18,82 ммоль) и 30 мл этанола и раствор NaOH перемешивают вместе при комнатной температуре в течение 3 ч. Растворители затем удаляют в вакууме и добавляют 12 мл 2M раствора HCl. Водный слой экстрагируют 25 мл AcOEt и экстракт промывают насыщенным раствором соли, сушат над MgSO4 и концентрируют в вакууме, получая сырое соединение 12, которое используют для следующей реакции без дополнительной очистки.
b)

К перемешиваемому раствору сырого соединения 12 (1,594 г, приблизительно, 11,21 ммоль) в 15 мл ТГФ добавляют 1,0 M PhMgBr (24,7 мл, 24,7 ммоль) при 0°C и перемешивают в течение 30 мин. После добавления 10 мл воды смесь подкисляют 1M раствором HCl. Водный слой экстрагируют 30 мл AcOEt и экстракт промывают насыщенным раствором соли, сушат над MgSO4 и концентрируют в вакууме, получая сырое соединение 13, которое используют для следующей реакции без дополнительной очистки.
c)

К перемешиваемой суспензии сырого соединения 13 и K2CO3 (2,01 г, 14,5 ммоль) в 10 мл DMF добавляют MeI (0,98 мл, 15,7 ммоль) и перемешивают в течение 3 ч. После добавления 15 мл воды водный слой экстрагируют 25 мл AcOEt и экстракт промывают водой и насыщенным раствором соли, сушат над MgSO4 и концентрируют в вакууме, получая сырое соединение 14, которое используют для следующей реакции без дополнительной очистки.
d)

Сырое соединение 14, 15 мл CHCl3, трифторуксусную кислоту (3,02 мл, 39,4 ммоль) и триэтилсилан (3,02 мл, 22,5 ммоль) перемешивают вместе при 65°C в течение 5,5 ч. После добавления 25 мл воды органический слой отделяют, промывают насыщенным раствором соли, сушат над MgSO4 и концентрируют в вакууме. Остаток очищают колоночной хроматографией на силикагеле (гексан/AcOEt=10/1), получая соединение 15 (1,5 г) в виде бледно-желтого масла.
e)

К перемешиваемому раствору соединения 15 (1,5 г, 6,94 ммоль) в 15 мл MeOH добавляют 10% Pd/C (240 мг). Смесь перемешивают при комнатной температуре в течение 5 ч при атмосферном давлении водорода. Катализатор удаляют фильтрованием и фильтрат концентрируют в вакууме, получая сырое соединение 16, которое используют для следующей реакции без дополнительной очистки.
f)

Сырое соединение 16 и 10 мл MeOH и 28% MeONa (1,5 мл, 7,3 ммоль, раствор в метаноле) перемешивают вместе при 70°C в течение 7,5 ч. После добавления 30 мл воды водный слой экстрагируют 40 мл AcOEt и экстракт промывают водой и насыщенным раствором соли, сушат над MgSO4 и концентрируют в вакууме, получая сырое соединение 17 в виде смеси диастереоизомеров (отношение 4:1), которую используют для следующей реакции без дополнительной очистки.
g)

Аналогично Примерам 2-c) и 2-d), исходя из соединения 17 в количестве 69 мг (0,55 ммоль), получают соединение Примера 2-7 (54 мг) в виде бесцветного кристалла, т. пл.: >250°C. ИК (см-1): 3328, 2931, 1704, 1615. MS (ESI+): 381 (100). 1Н ЯМР (ДМСО-d6, 400 МГц): 1,40-1,58 (м, 4H), 1,61 (с, 6H), 1,82-1,92 (м, 2H), 1,97-2,08 (м, 2H), 2,24-2,36 (м, 1H), 2,52-2,61 (м, 1H), 6,91 (ушир.с, 2H), 7,31 (д, 2H, J=8,6 Гц), 7,65 (д, 2H, J=8,6 Гц), 7,95 (с, 1H), 11,92 (ушир.с, 1H).
Примеры 2-8 до 2-268:
Соединения, показанные в таблице 2, получают таким же образом как в примерах 2 до 2-7.
Пример 3
a)

К перемешиваемому раствору 4-гидрокси-4-фенилпиперидина (18) (1,00 г, 5,64 ммоль) и Et3N (0,94 мл, 6,77 ммоль) в 10 мл CHCl3 добавляют этил-оксалилхлорид (0,63 мл, 5,64 ммоль) при 0°C и перемешивают в течение 1 ч. После добавления 10 мл воды органический слой отделяют, сушат над MgSO4 и концентрируют в вакууме, получая сырое соединение 19, которое используют для следующей реакции без дополнительной очистки.
b)

Сырое соединение 19, 10 мл CHCl3, трифторуксусную кислоту (1,52 мл, 19,7 ммоль) и триэтилсилан (1,52 мл, 11,3 ммоль) перемешивают вместе при 65°C в течение 1,5 ч. После добавления 15 мл воды органический слой отделяют, промывают насыщенным раствором соли, сушат над MgSO4 и концентрируют в вакууме. Остаток очищают колоночной хроматографией на силикагеле (гексан/AcOEt=9/1), получая соединение 20 (1,38 г) в виде бледно-желтого масла.
c)

К перемешиваемому раствору соединения 20 (1,38 г, 5,32 ммоль) в 8 мл MeOH добавляют 10% Pd/C (200 мг). Смесь перемешивают при комнатной температуре в течение 5 ч при атмосферном давлении водорода. Катализатор удаляют фильтрованием и фильтрат концентрируют в вакууме, получая сырое соединение 21, которое используют для следующей реакции без дополнительной очистки.
d)

Аналогично примерам 2-c) и 2-d), исходя из соединения 21 в количестве 58 мг (0,46 ммоль), получают соединение Примера 3 (20 мг) в виде бесцветного кристалла, т. пл.: 188,8-190,9°C, ИК (см-1): 1618, 1460, 1440. MS (ESI+): 410 (100). 1Н ЯМР (ДМСО-d6, 400 МГц): 1,46-1,67 (м, 2H), 1,6 (с, 6H), 1,81-1,94 (м, 2H), 2,72-2,98 (м, 2H), 3,21-3,34 (м, 1H), 3,63-3,71 (м, 1H), 4,34-4,46 (м, 1H), 6,98 (ушир.с, 2H), 7,33 (д, 2H, J=8,4 Гц), 7,67 (д, 2H, J=8,4 Гц), 7,95 (с, 1H).
Пример 3-2 до 3-3:
Соединения, показанные в таблице 3, получают таким же образом как в примере 3.
Пример 4
a)

Фторбензол (1,78 мл, 18,96 ммоль), хлорид алюминия (2,53 г, 18,96 ммоль) и изобутирилхлорид (1,0 мл, 9,48 ммоль) смешивают в атмосфере Ar и смесь перемешивают при комнатной температуре в течение 1 ч. Реакционную смесь выливают в воду со льдом с перемешиванием и экстрагируют простым эфиром (50 мл). Органический экстракт промывают насыщенным NaHCO3 (30 мл) и насыщенным раствором соли (30 мл) и сушат над Na2SO4 и растворитель удаляют, получая соединение 23 (1,47 г) в виде бесцветного масла, которое является достаточно чистым для использования для следующей стадии без дополнительной очистки.
b)

К раствору соединения 23 (50 мг, 0,30 ммоль) в ДМСО (0,5 мл) добавляют пиперидин (119 мкл, 1,2 ммоль) и смесь нагревают при 140°C в течение 5 ч в атмосфере Ar. После охлаждения реакционную смесь разбавляют простым эфиром (10 мл) и промывают 5% KHSO4 (10 мл), водой (10 мл) и насыщенным раствором соли (10 мл). Органический слой сушат над Na2SO4 и растворитель удаляют, получая соединение 24 (65 мг) в виде бесцветного масла, которое является достаточно чистым для использования для следующей стадии без дополнительной очистки.
c)

К раствору соединения 24 (64 мг, 0,28 ммоль) в DME (1 мл) добавляют 25% HBr-AcOH (100 мкл, 0,31 ммоль) и Br2 (15,7 мкл, 0,31 ммоль) последовательно и смесь перемешивают при комнатной температуре в течение 30 мин. К реакционной смеси добавляют 4,5-диамино-6-гидроксипиримидин (17,5 мг, 0,14 ммоль), 1н. HCl (140 мкл, 0,14 ммоль), EtOH (1 мл) и воду (1 мл) и смесь кипятят с обратным холодильником в течение ночи. После охлаждения EtOH удаляют при пониженном давлении и остаток разбавляют AcOEt (10 мл) и промывают 1н. NaOH (10 мл) и насыщенным раствором соли (10 мл). Органический слой сушат над Na2SO4 и концентрируют. Остаток очищают тонкослойной хроматографией, используя в качестве элюента CHCl3-MeOH (9:1), получая соединение Примера 4 (40 мг) в виде бледно-желтого кристалла, т. пл.: 191-193°C. ИК (см-1): 3318, 2933, 1606, 158. MS (ESI+): 338 (100). 1Н ЯМР (ДМСО-d6, 400 МГц): 1,58-1,62 (м, 6H), 1,62 (с, 6H), 3,26 (ушир.с, 4H), 6,79 (ушир.с, 2H), 7,29 (д, 2H, J=9,0 Гц), 7,63 (д, 2H, J=9,0 Гц), 7,91 (с, 1H).
Пример 4-2 до 4-7:
Соединения, показанные в таблице 4, получают таким же образом как в примере 4.
Пример 5
a)

3-Хлорацетофенон (0,5 мл, 3,85 ммоль), порошкообразный KOH (2,16 г, 38,5 ммоль), 18-краун-6 (102 мг, 0,385 ммоль), метилиодид (1,92 мл, 30,8 ммоль) и 12 мл толуола перемешивают вместе при комнатной температуре в течение 3 суток. После добавления 30 мл воды водный слой экстрагируют 20 мл AcOEt и экстракт промывают насыщенным раствором соли, сушат над MgSO4 и концентрируют в вакууме, получая сырое соединение 27, которое используют для следующей реакции без дополнительной очистки.
b)

Аналогично Примеру 4, исходя из соединения 27 в количестве 60 мг (0,47 ммоль), получают соединение Примера 5 (40 мг) в виде бесцветного кристалла, т. пл.: 117,2-133,4°C. ИК (см-1): 1639, 1583, 1468. MS (ESI+): 289 (100). 1Н ЯМР (ДМСО-d6, 400 МГц): 1,60 (с, 6H), 7,01 (ушир.с, 2H), 7,48 (т, 1H, J=5,9 Гц), 7,55 (ддд, 1H, J=5,9, 1,3, 0,8 Гц), 7,67 (ддд, 1H, J=5,9, 1,3, 0,8 Гц), 7,76 (т, 1H, J=1,3 Гц), 7,97 (с, 1H).
Пример 5-2 до 5-3:
Соединения, показанные в таблице 5, получают таким же образом как в примере 5.
Пример 6
a)

К перемешиваемому раствору соединения 22 (20,0 г, 54,5 ммоль) в 160 мл CHCl3 добавляют по каплям 96% серную кислоту (12,1 мл, 218 ммоль) и 60% азотную кислоту (4,56 мл, 59,9 ммоль) при 0°C и перемешивают при той же температуре в течение 30 мин. Реакционную смесь затем выливают в измельченный лед (150 г). Органический слой промывают водой (50 мл) и насыщенным раствором соли (50 мл), сушат над MgSO4 и концентрируют в вакууме. Остаток очищают кристаллизацией из смеси AcOEt/гептан (1/2, 120 мл), получая соединение 28 (18,4 г) в виде бледно-желтого кристалла.

К перемешиваемой суспензии Zn (15,9 г, 218 ммоль) в 150 мл уксусной кислоты соединение 28 (15,0 г, 36,4 ммоль) добавляют порциями при 0°С и перемешивают при комнатной температуре в течение 1 ч, затем перемешивают при 60°С в течение следующих 30 мин. Смесь охлаждают до температуры окружающей среды, фильтруют и фильтрат концентрируют в вакууме. К остатку добавляют AcOEt (150 мл), промывают водой (50 мл) и насыщенным раствором соли (50 мл), сушат над MgSO4 и концентрируют в вакууме. Остаток очищают кристаллизацией из EtOH/H2O (3/1, 50 мл), получая соединение 29 (9,36 г) в виде белого кристалла.

К перемешиваемой суспензии хлорида меди(II) (6,30 г, 44,5 ммоль) в 135 мл ацетона добавляют трет-бутилнитрит (5,88 мл, 44,5 ммоль) при 0°С, затем добавляют порциями соединение 29 (9,00 г, 29,7 ммоль) и перемешивают при той же температуре в течение 2 ч.
Затем смесь перемешивают при комнатной температуре в течение 1 ч. После добавления 2н. HCl смесь экстрагируют AcOEt (100 мл). Экстракт промывают последовательно 1н. HCl (50 мл), водой (50 мл) и насыщенным раствором соли (50 мл), сушат над MgSO4 и концентрируют в вакууме. Остаток очищают колоночной хроматографией на силикагеле (CHCl3/AcOEt=10/l4/1), получая соединение 30 (7,40 г) в виде бледно-желтого кристалла.

К перемешиваемому раствору соединения 30 (100 мг, 0,31 ммоль) в 1 мл DME добавляют 25% раствор HBr-АсОН (89 мл, 0,372 ммоль) и бром (19 мл, 0,37 ммоль) при 0°С и перемешивают в течение 7 ч при комнатной температуре. После добавления воды смесь экстрагируют AcOEt, органический слой промывают водой и насыщенным раствором соли, сушат над MgSO4. Выпаривание растворителя дает сырое соединение 31 (112 мг) в виде бледно-желтого твердого вещества, которое используют для следующей реакции без дополнительной очистки.
К раствору соединения 31 (461 мг, 1,07 ммоль) в EtOH (4 мл) добавляют дигидрохлорид 4,5-диамино-6-гидрокси-2-метилпиримидина (457 мг, 2,14 ммоль) и воду (1,3 мл) и кипятят с обратным холодильником в течение 12 ч. После охлаждения в реакционную смесь добавляют 4н. NaOH (2,5 мл, 10,0 ммоль) и кипятят с обратным холодильником в течение 1 ч. После охлаждения реакционную смесь доводят до рН 4 с помощью 4н. HCl и перемешивают в течение 1 ч. Осажденное твердое вещество собирают фильтрованием, промывают водой и сушат в вакууме, получая соединение Примера 6 (354 мг) в виде оранжевого твердого вещества.

В качестве альтернативного приготовления соединения 31: К перемешиваемому раствору соединения 22 (100 мг, 0,272 ммоль) в сульфурилхлориде (0,219 мл, 2,72 ммоль) добавляют хлорид алюминия (127 мг, 0,953 ммоль) и каталитическое количество S2Cl2 при 0°С и перемешивают в течение 2 ч. Реакционную смесь затем выливают в воду со льдом (30 г) и экстрагируют AcOEt (30 мл). Органический слой промывают водой (20 мл), насыщенным раствором соли (20 мл), сушат над MgSO4. Выпаривание растворителя дает следующей реакции выше без дополнительной очистки.
Пример 6-9:
a)

К суспензии соединения 29 (1,0 г, 3,29 ммоль) в 15 мл толуола добавляют тетрафторборат нитрозония (462 мг, 3,95 ммоль) в атмосфере аргона при 0°C. После перемешивания в течение 30 мин при 0°C смесь нагревают до 120°C и перемешивают в течение 1 ч. После охлаждения раствор разбавляют AcOEt и органический слой промывают водой, сушат над Na2SO4 и концентрируют в вакууме. Остаток очищают колоночной хроматографией на силикагеле (AcOEt/CHCl3/гексан=1/1/1), получая соединение 32 (381 мг) в виде бледно-желтого кристалла.
b)

К перемешиваемому раствору соединения 32 (381 мг, 1,24 ммоль) в 4 мл DME добавляют 25% раствор HBr-AcOH (356 мл, 1,49 ммоль) и бром (76 мл, 1,49 ммоль) при 0°C и перемешивают в течение 5 мин при 0°C и в течение 30 мин при комнатной температуре. После добавления воды смесь экстрагируют AcOEt, органический слой промывают насыщенным раствором соли, сушат над Na2SO4. Выпаривание растворителя дает сырое соединение 33 (454 мг) в виде бледно-желтого твердого вещества, которое используют для следующей реакции без дополнительной очистки.
c)

К раствору соединения 33 (454 мг, 1,18 ммоль) в EtOH (6 мл) добавляют дигидрохлорид 4,5-диамино-6-гидрокси-2-метилпиримидина (502 мг, 2,36 ммоль) и воду (2 мл) и кипятят с обратным холодильником в течение 12 ч. После охлаждения к реакционной смеси добавляют 2н. NaOH (5,9 мл, 11,8 ммоль) и кипятят с обратным холодильником в течение 3 ч. После охлаждения реакционную смесь доводят до pH 4 2н. HCl и перемешивают в течение 1 ч. Осажденное твердое вещество собирают фильтрованием, промывают водой и сушат в вакууме, получая соединение Примера 6-9 (477 мг) в виде бледно-желтого твердого вещества.
Пример 6-2 до 6-25:
Соединения, показанные в таблице 6, получают таким же образом как в примерах 6 и 6-9.
Пример 7
a)

К перемешиваемой смеси AlCl3 (6,41 г, 48,1 ммоль) в 30 мл СН2Cl2 добавляют этил-оксалилхлорид (1,58 мл, 14,2 ммоль) и соединение 34 (3,0 г, 14,2 ммоль) при 0°С и перемешивают при 0°С до комнатной температуры в течение 2 ч. Затем реакционную смесь выливают в лед, 10 мл AcOEt добавляют к смеси и концентрированную HCl добавляют до тех пор, пока суспендированный раствор не станет прозрачным. Органический слой отделяют и концентрируют в вакууме. Остаток очищают колоночной хроматографией на силикагеле (гексан/AcOEt=3/11/1), получая соединение 35 (3,36 г) в виде белого твердого вещества.

Смесь соединения 35 (3,36 г, 10,5 ммоль) и КОН (2,0 г, 35,8 ммоль) и N2H4·H2O (1,38 мл, 28,5 ммоль) в три(этиленглииколе) (30 мл) перемешивают при 175°С в течение 1 ч. После охлаждения до комнатной температуры добавляют 2н. HCl (30 мл, 60 ммоль) и воду (40 мл) и осажденное твердое вещество собирают фильтрованием, получая соединение 36 (2,58 г) в виде бледно-желтого твердого вещества.

К перемешиваемой смеси соединения 36 (2,57 г, 9,3 ммоль) в 30 мл МеОН добавляют SOCl2 (1,7 мл, 23,3 ммоль) при 0°С и перемешивают при комнатной температуре в течение 4 ч. Реакционную смесь концентрируют в вакууме, затем остаток очищают колоночной хроматографией на силикагеле (гексан/AcOEt=5/13/1), получая соединение 37 (2,13 г) в виде белого твердого вещества.
d)

Смесь соединения 37 (2,13 г, 7,0 ммоль) и диэтилацеталя N,N-диметилформамида (6,8 мл, 39,7 ммоль) перемешивают 130°C в течение 3 суток. Затем добавляют толуол (20 мл) и реакционную смесь концентрируют в вакууме, получая сырое соединение 38, которое затем используют для следующей реакции без дополнительной очистки.
e)

Смесь соединения 38 (сырая, 7,0 ммоль) и 4,6-дигидрокси-2-метилпиримидина (883 мг, 7,0 ммоль) в AcOH (20 мл) перемешивают при 110°C в течение 4 ч. Затем реакционную смесь концентрируют в вакууме, добавляют EtOH (10 мл) и воду (8 мл) и осажденное твердое вещество собирают фильтрованием, получая соединение 39 (1,12 г) в виде коричневого твердого вещества.
f)

Смесь соединения 39 (200 мг, 0,49 ммоль) и POCl3 (1 мл) перемешивают при 90°C в течение 3 ч. Затем реакционную смесь выливают в лед и продукт экстрагируют AcOEt (3 мл) и органический слой промывают последовательно водой (2 мл) и насыщенным раствором соли (2 мл). Органический слой сушат над MgSO4 и концентрируют в вакууме. Остаток очищают колоночной хроматографией на силикагеле (гексан/AcOEt=2/1), получая соединение 40 (174 мг) в виде оранжевого твердого вещества.
g)

Смесь соединения 40 (124 мг, 0,30 ммоль) и 4н. NaOH (0,41 мл, 1,65 ммоль) в MeOH (5 мл) перемешивают при комнатной температуре в течение 19 ч и затем перемешивают при 60°C в течение 2,5 ч. После охлаждения до комнатной температуры добавляют 2н. HCl (2 мл, 4 ммоль) и воду (10 мл) и осажденное твердое вещество собирают фильтрованием, получая соединение 41 (100 мг) в виде бледно-желтого твердого вещества.
h)

К перемешиваемому раствору 0,93 M MeMgBr в ТГФ (1,2 мл, 1,12 ммоль) добавляют суспендированный раствор соединения 41 (100 мг, 0,23 ммоль) в ТГФ (1,5 мл) и перемешивают при комнатной температуре в течение 3 ч. После добавления воды (1 мл) и 2н. HCl (2 мл) продукт экстрагируют AcOEt (3 мл) и органический слой промывают затем насыщенным раствором соли (2 мл). Органический слой сушат над MgSO4 и концентрируют в вакууме, получая сырое соединение 42, которое затем используют для следующей реакции без дополнительной очистки.
i)

Смесь соединения 42 (сырое, 0,23 ммоль) и AcOH (2 мл) перемешивают при 100°C в течение 40 мин. После охлаждения до комнатной температуры к реакционной смеси добавляют воду (3 мл) и продукт экстрагируют AcOEt (3 мл), затем органический слой промывают последовательно водой (2 мл) и насыщенным раствором соли (2 мл). Органический слой сушат над MgSO4 и концентрируют в вакууме. Остаток очищают колоночной хроматографией на силикагеле (CHCl3/MeOH=40/120/1), получая соединение 43 (54 мг) в виде оранжевого твердого вещества.

К перемешиваемой суспензии соединения 43 (52 мг, 0,12 ммоль) и К2СОз (50 мг, 0,37 ммоль) в DMF (1,5 мл) добавляют Ме1 (0,023 мл, 0,37 ммоль) и смесь перемешивают при комнатной температуре в течение 3 ч. После добавления воды (3 мл) продукт экстрагируют AcOEt (3 мл) и органический слой промывают последовательно водой (2 мл) и насыщенным раствором соли (2 мл). Органический слой сушат над MgSO4 и концентрируют в вакууме. Остаток очищают колоночной хроматографией на силикагеле (гексан/AcOEt=4/1), получая соединение 44 (46 мг) в виде белого твердого вещества.

К перемешиваемому раствору соединения 44 (134 мг, 0,30 ммоль) в толуоле (4 мл) добавляют бензофенонимин (0,255 мл, 1,52 ммоль) и Pd(OAc)2 (14 мг, 0,061 ммоль) и (S)-(-)-BINAP (57 мг, 0,091 ммоль) и СзСОз (198 мг, 0,61 ммоль) и смесь перемешивают при 110°С в течение 23 ч. После добавления воды (3 мл) продукт экстрагируют AcOEt (3 мл) и органический слой промывают затем насыщенным раствором соли (2 мл). Органический слой сушат над MgSO4 и концентрируют в вакууме. Остаток очищают колоночной хроматографией на силикагеле (гексан/AcOEt=4/12/1), получая соединение 45 (88 мг) в виде желтого твердого вещества.

К перемешиваемому раствору соединения 45 (85 мг, 0,145 ммоль) в ТГФ (2 мл) добавляют концентрированную HCl (0,050 мл) и смесь перемешивают при комнатной температуре в течение 1 ч. После добавления 4н. NaOH (0,14 мл) продукт экстрагируют AcOEt (5 мл) и органический слой промывают последовательно водой (4 мл) и насыщенным раствором соли (4 мл). Органический слой концентрируют в вакууме, полученный таким образом остаток очищают колоночной хроматографией на силикагеле (CHCl3/МеОН=50/1), получая соединение 46 (57 мг) в виде желтого твердого вещества.

К перемешиваемой смеси соединения 46 (55 мг, 0,13 ммоль) в смешанном растворителе (2 мл ТГФ и 3 мл МеОН) добавляют 1н. NaOH (0,43 мл, 0,43 ммоль) и смесь перемешивают при 80°С в течение 4 ч. Затем реакционную смесь концентрируют в вакууме, 2н. HCl (0,25 мл, 0,5 ммоль) и EtOH (1 мл) добавляют к смеси и осажденное твердое вещество собирают фильтрованием, получая соединение Примера 7 (38 мг) в виде бледно-желтого твердого вещества.
Пример 7-4:

Соединение 49. Смесь соединений 47 (10,0 г, 89,2 ммоль) и 48 (14,5 г, 89,2 ммоль) в AcOH (100 мл) нагревают при 100°C в течение 24 ч. Растворитель удаляют в вакууме и полученный коричневый остаток очищают флэш-хроматографией (силикагель 4% MeOH/CH2Cl2), получая соединение 49 в виде желтого твердого вещества (12,04 г). 1Н ЯМР (ДМСО-d6) 8,02 (с, 1H), 6,71 (с, 1H), 1,53 (с, 6H). Масс-спектр (ESI+) m/e=257 и 259 (M+1).
Соединение 50. Раствор соединения 49 (2,13 г, 8,29 ммоль) в POCl3 (10 мл) нагревают при 100°C в течение 1 ч, охлаждают до комнатной температуры и выливают на лед. Полученный раствор экстрагируют EtOAc (3 × 75 мл). Органические слои объединяют, промывают насыщенным раствором соли, сушат (MgSO4), фильтруют и концентрируют в вакууме, получая соединение 50 в виде желтого масла (2,28 г). 1Н ЯМР (ДМСО-d6) 8,49 (с, 1H), 7,00 (с, 1H), 1,64 (с, 6H). Масс-спектр (ESI+) m/e=275, 277 и 279 (M+1).
Соединение 51. Диизопропилэтиламин (1,9 мл, 10,9 ммоль) добавляют к раствору соединения 50 (2,0 г, 7,26 ммоль) и 4-метоксибензиламина (2,83 мл, 21,8 ммоль) в ТГФ (20 мл). Реакционную смесь нагревают при кипячении с обратным холодильником в течение 16 ч, охлаждают до комнатной температуры, разбавляют водой (20 мл) и экстрагируют EtOAc (3 × 75 мл). Органические слои объединяют, промывают насыщенным раствором соли, сушат (MgSO4), фильтруют и концентрируют в вакууме, получая желтое твердое вещество. Очистка флэш-хроматографией (силикагель, 50% EtOAc/гексан) дает соединение 51 в виде не совсем белого твердого вещества (2,14 г). 1Н ЯМР (ДМСО-d6) 8,05 (с, 1H), 7,79 (м, 1H), 7,21 (д, J=8,7 Гц, 2H), 7,08 (с, 1H), 6,87 (д, J=8,7 Гц, 2H), 4,50 (д, J=5,7 Гц, 2H), 3,71 (с, 3H), 1,50 (с, 6H). Масс-спектр (ESI+) m/e=376 и 378 (M+1).
Соединение 52. Раствор соединения 51 (620 мг, 1,65 ммоль) в TFA (20 мл) нагревают при 50°C в течение 7 ч. Растворитель удаляют в вакууме и полученное масло растворяют в EtOAc (30 мл), промывают насыщенным водным NaHCO3 (2 × 50 мл), насыщенным раствором соли, сушат (MgSO4), фильтруют и концентрируют в вакууме, получая желтое твердое вещество. Твердое вещество подвергают обработке ультразвуком в Et2O (5 мл) и собирают вакуумным фильтрованием, получая соединение 52 в виде не совсем белого твердого вещества (388 мг). 1Н ЯМР (ДМСО-d6) 7,97 (с, 1H), 7,10 (с, 1H), 7,00 (с, 2H), 1,52 (с, 6H). Масс-спектр (ESI+) m/e=256 и 258 (M+1).
Соединение 54. 60% суспензию NaH (211 мг, 5,23 ммоль) в минеральном масле добавляют к раствору соединения 53 (1,0 г, 5,26 ммоль) в безводном ТГФ (25 мл) при 0°C в атмосфере азота. В отдельной колбе триметилфосфоноацетат (1,02 мл, 6,31 ммоль) добавляют к суспензии NaH (315 мг, 7,88 ммоль) в безводном ТГФ (25 мл) при 0°C в атмосфере азота. Через 15 мин две смеси нагревают до комнатной температуры и перемешивают в течение 30 мин. Раствор, содержащий кетон, добавляют к раствору фосфоната через канюлю. Реакционную смесь перемешивают при комнатной температуре в течение 5 ч, гасят водой (50 мл) и экстрагируют EtOAc (3 × 50 мл). Органические слои объединяют, промывают насыщенным раствором соли, сушат (MgSO4), фильтруют и концентрируют в вакууме, получая соединение 54 в виде белого твердого вещества (1,25 г). 1Н ЯМР (ДМСО-d6) 9,12 (с, 1H), 7,01 (д, J=8,4 Гц, 2H), 6,66 (д, J=8,4 Гц, 2H), 5,70 (с, 1H), 3,82 (м, 1H), 3,62 (с, 3H), 2,70 (м, 1H), 2,33 (м, 2H), 2,01 (м, 1H), 1,92 (м, 2H), 1,47 (м, 2H). Масс-спектр (ESI+) m/e=247 (M+1).
Соединение 55. Смесь соединения 54 (5,18 г, 21,0 ммоль) и 10% Pd/C (500 мг) в EtOAc (150 мл) перемешивают при комнатной температуре в атмосфере водорода в течение 20 ч. Реакционную смесь фильтруют через целит и концентрируют в вакууме, получая желтое твердое вещество. Перекристаллизация из EtOAc (6 мл) дает соединение 55 в виде бесцветных призм с транс/цис-отношением 20:1 (2,96 г). 1Н ЯМР (ДМСО-d6) 9,08 (с, 1H), 6,99 (д, J=8,5 Гц, 2H), 6,65 (д, J=8,5 Гц, 2H), 3,60 (с, 3H), 2,33 (дт, J=3,0 и 12,1 Гц, 1H), 2,23 (д, J=6,9 Гц, 2H), 1,75 (м, 5H), 1,38 (м, 2H), 1,11 (м, 2H). Масс-спектр (ESI+) m/e=249 (M+1).
Соединение 56. Триэтиламин (421 мкл, 3,02 ммоль) добавляют по каплям к раствору соединения 55 (500 мг, 2,02 ммоль) и трифторметансульфонового ангидрида (424 мкл, 2,52 ммоль) в безводном CH2Cl2 (20 мл) при 0°C в атмосфере азота. Реакционную смесь нагревают до комнатной температуры и перемешивают в течение 4,5 ч, выливают в воду (30 мл) и слои отделяют. Органические слои объединяют, промывают насыщенным водным NaHCO3, насыщенным раствором соли, сушат (MgSO4), фильтруют и концентрируют в вакууме, получая соединение 56 в виде не совсем белого твердого вещества (765 мг). 1Н ЯМР (ДМСО-d6) 7,42 (д, J=8,7 Гц, 2H), 7,38 (д, J=8,7 Гц, 2H), 3,60 (с, 3H), 2,57 (м, 1H), 2,25 (д, J=6,6 Гц, 2H), 1,79 (м, 5H), 1,47 (м, 2H), 1,14 (м, 2H). Масс-спектр (ESI+) m/e=381 (M+1).
Соединение 57. В 50-мл круглодонную колбу загружают соединение 56 (1,35 г, 3,55 ммоль), KOAc (1,05 г, 10,6 ммоль), бис(пинаколато)дибор (991 мг, 3,90 ммоль), PdCl2(dppf) (87 мг, 0,107 ммоль) и dppf (59 мг, 0,107 ммоль). Колбу затем заполняют азотом и вакуумируют три раза. Безводный диоксан (25 мл) добавляют и реакционную смесь нагревают при 80°C в течение 17 ч. Реакционную смесь охлаждают до комнатной температуры, разбавляют EtOAc (50 мл), промывают насыщенным раствором соли, сушат (MgSO4), фильтруют и концентрируют в вакууме, получая коричневое масло. Очистка флэш-хроматографией (силикагель, 15% EtOAc/гексан) дает соединение 57 в виде белого твердого вещества (914 мг). 1Н ЯМР (ДМСО-d6) 7,59 (д, J=7,8 Гц, 2H), 7,24 (д, J=7,9 Гц, 2H), 3,60 (с, 3H), 2,45 (м, 1H), 2,25 (д, J=6,8 Гц, 2H), 1,78 (м, 5H), 1,46 (м, 2H), 1,28 (с, 12H), 1,14 (м, 2H). Масс-спектр (ESI+) m/e=359 (M+1).
Соединение 58. Смесь соединения 52 (1,12 г, 4,38 ммоль), 57 (2,0 г, 6,57 ммоль), PdCl2(dppf) (107 мг, 0,132 ммоль) и 2 M водного Na2CO3 (11 мл) в DMF (30 мл) нагревают при 80°C в атмосфере азота в течение 24 ч. Раствор разбавляют водой (75 мл) и полученный осадок собирают вакуумным фильтрованием, получая не совсем белое твердое вещество. Очистка флэш-хроматографией (силикагель, 5% MeOH/CH2Cl2) дает соединение 58 в виде белого твердого вещества (1,09 г). 1Н ЯМР (ДМСО-d6) 7,95 (с, 1H), 7,29 (д, J=8,0 Гц, 2H), 7,24 (д, J=8,1 Гц, 2H), 6,86 (с, 2H), 6,57 (с, 1H), 3,61 (с, 3H), 2,47 (м, 1H), 2,25 (д, J=6,7 Гц, 2H), 1,79 (м, 5H), 1,51 (с, 6H), 1,44 (м, 2H), 1,16 (м, 2H). Масс-спектр (ESI+) m/e=408,5 (M+1).
Пример 7-4. Раствор соединения 58 (130 мг, 0,319 ммоль) в MeOH (12 мл) и 10% водного LiOH (4 мл) нагревают при 100°C в течение 4 ч. MeOH удаляют в вакууме и полученный водный раствор подкисляют 1н. HCl до pH 4. Полученный осадок собирают вакуумным фильтрованием, получая соединение Примера 7-4 в виде не совсем белого твердого вещества (111 мг). 1Н ЯМР (ДМСО-d6) 8,09 (с, 1H), 7,33 (ушир.с, 2H), 7,30 (д, J=8,1 Гц, 2H), 7,26 (д, J=8,1 Гц, 2H), 6,61 (с, 1H), 2,47 (м, 1H), 2,15 (д, J=6,9 Гц, 2H), 1,82 (м, 4H), 1,74 (м, 1H), 1,55 (с, 6H), 1,51 (м, 2H), 1,13 (м, 2H). Масс-спектр (ESI+) m/e=394 (M+1).
Пример 7-5:

Соединение 60. В 100 мл круглодонную колбу загружают соединение 59 (2,54 г, 7,58 ммоль), бис(пинаколато)дибор (2,41 г, 9,47 ммоль), KOAc (2,23 г, 22,7 ммоль), PdCl2(dppf) (186 мг, 0,227 ммоль) и dppf (126 мг, 0,227 ммоль). Колбу затем заполняют азотом и вакуумируют три раза. Безводный диоксан (70 мл) добавляют и реакционную смесь нагревают при 80°C в течение 17 ч. Реакционную смесь разбавляют EtOAc (75 мл) и промывают водой, насыщенным раствором соли, сушат (MgSO4), фильтруют и концентрируют в вакууме, получая коричневое масло. Очистка флэш-хроматографией (силикагель, 5% EtOAc/гексан) дает соединение 60 в виде белого твердого вещества (2,02 г). 1Н ЯМР (ДМСО-d6) 7,52 (с, 1H), 7,47 (д, J=7,6 Гц, 1H), 7,18 (д, J=7,5 Гц, 1H), 5,74 (с, 1H), 3,71 (м, 1H), 3,62 (с, 3H), 2,89 (т, J=7,4 Гц, 2H), 2,41 (м, 1H), 2,32 (м, 1H), 2,13 (м, 3H), 1,66 (м, 4H), 1,28 (с, 12H). Масс-спектр (ESI+) m/e=383 (M+1).
Соединение 61. Смесь соединения 60 (2,02 г, 5,28 ммоль) и 10% Pd/C (562 мг) в MeOH (50 мл) перемешивают при комнатной температуре в атмосфере водорода в течение 21 ч. Реакционную смесь фильтруют через целит и концентрируют в вакууме, получая бесцветное масло. Кристаллизация из MeOH с последующей перекристаллизацией из CH2Cl2 с диффузией MeOH дает соединение 61 в виде белых игольчатых кристаллов с отношением транс/цис 20:1 (600 мг). 1Н ЯМР (ДМСО-d6) 7,70 (с, 1H), 7,68 (д, J=7,7 Гц, 1H), 7,18 (д, J=7,5 Гц, 1H), 3,71 (с, 3H), 2,90 (т, J=7,3 Гц, 2H), 2,29 (д, J=7,0 Гц, 2H), 1,99 (т, J=7,4 Гц, 2H), 1,90 (м, 1H), 1,76 (м, 2H), 1,68 (м, 2H), 1,60 (м, 2H), 1,35 (с, 12H), 1,25 (м, 2H). Масс-спектр (ESI+) m/e=385 (M+1).
Соединение 62. Смесь соединения 52 (100 мг, 0,391 ммоль), соединения 61 (150 мг, 0,391 ммоль), Pd(PPh3)4 (23 мг, 0,020 ммоль) и 2 M водного Na2CO3 (1 мл) в DMF (10 мл) нагревают при 80°C в течение 3,5 ч. Реакционную смесь разбавляют EtOAc (75 мл), промывают водой (3 × 50 мл), насыщенным раствором соли, сушат (MgSO4), фильтруют и концентрируют в вакууме, получая желтое твердое вещество. Очистка флэш-хроматографией (силикагель, 5% MeOH/CH2Cl2) дает соединение 62 в виде белого твердого вещества (103 мг). 1Н ЯМР (ДМСО-d6) 7,95 (с, 1H), 7,18 (м, 3H), 6,84 (с, 2H), 6,56 (с, 1H), 3,61 (с, 3H), 2,85 (т, J=7,3 Гц, 2H), 2,28 (д, J=7,0 Гц, 2H), 1,95 (т, J=7,3 Гц, 2H), 1,79 (м, 1H), 1,65 (м, 5H), 1,51 (с, 6H), 1,49 (м, 1H), 1,23 (м, 2H). Масс-спектр (ESI+) m/e=434 (M+1).
Пример 7-5. Раствор соединения 62 (103 мг, 0,238 ммоль) в MeOH (9 мл) и 10% водном LiOH (3 мл) нагревают при 100°C в течение 2 ч. MeOH удаляют в вакууме и полученный водный слой подкисляют 1н. HCl до pH 1. Полученный осадок собирают вакуумным фильтрованием, получая соединение Примера 7-5 в виде не совсем белого твердого вещества (73 мг). 1Н ЯМР (ДМСО-d6) 8,14 (с, 1H), 7,50 (ушир.с, 2H), 7,20 (м, 3H), 6,61 (с, 1H), 2,86 (т, J=7,2 Гц, 2H), 2,17 (д, J=6,8 Гц, 2H), 1,96 (т, J=7,3 Гц, 2H), 1,71 (м, 1H), 1,67 (м, 2H), 1,63 (м, 3H), 1,56 (с, 6H), 1,50 (м, 2H), 1,22 (м, 2H). Масс-спектр (ESI+) m/e=420 (M+1).
Соединения, показанные в таблице 7, получают таким же образом как в Примеры 7, 7-4 и 7-5.
Пример 8
 
Стадии (A), (B) и (C). В высушенную в пламени 1-л 3-горлую круглодонную колбу, снабженную магнитной мешалкой, оросительным конденсатором и капельной воронкой, помещают магниевые стружки (1,1 экв., 8,8 г) и простой диэтиловый эфир (60 мл) в атмосфере азота. Раствор в простом диэтиловом эфире 1-бром-3-фенилпропана (322,4 ммоль, 65,5 г) добавляют через капельную воронку с такой скоростью, чтобы поддерживать спокойное кипячение с обратным холодильником во время добавления около 1 ч 10 мин. В начале добавления вводят несколько частиц йода, чтобы инициировать реакцию. После завершения добавления бромида реакционную смесь нагревают при кипячении с обратным холодильником в течение 1 ч, позволяют остыть до комнатной температуры и дополнительно охлаждают на бане со льдом. Раствор моноэтиленкеталя 1,4-циклогександиона (1 экв., 51,91 г) в ТГФ (100 мл) медленно добавляют к охлаждаемой льдом смеси через капельную воронку с перемешиванием в течение 1 ч 30 мин. Смесь непрерывно перемешивают в течение 30 мин на бане со льдом и в течение ночи при температуре окружающей среды. Реакционную смесь предварительно охлаждают на бане со льдом и добавляют смесь льда и 4н. водной HCl. Смесь перемешивают, пока не растворится весь магний, слои разделяют и водный слой экстрагируют простым диэтиловым эфиром (2×). Объединенные органические вещества промывают насыщенным раствором соли до нейтрального, сушат над безводным сульфатом натрия и концентрируют в вакууме. Остаток забирают на следующую стадию, на которой его подвергают гидролизу в кипящей с обратным холодильником смеси с MeOH (400 мл) и 3н. водной H2SO4 (100 мл) в течение 6 ч. Реакционную смесь охлаждают, концентрируют в вакууме, разбавляют водой со льдом и экстрагируют EtOAc (2×). Объединенные органические вещества промывают насыщенным раствором соли (2×), сушат над безводным сульфатом натрия и концентрируют в вакууме. Колоночная хроматография (EtOAc/гексаны, 35/65) остатка дает желательный гидроксикетон 64 (30 г). 1Н ЯМР (CDCl3) 1,45 (ушир.с, 1H), 1,59-1,63 (м, 2H), 1,73-1,83 (м, 4H), 1,93-1,97 (м, 2H), 2,20-2,28 (м, 2H), 2,65-2,76 (м, 4H), 7,19-7,24 (м, 3H), 7,28-7,33 (м, 2H). Масс-спектр (CI+) m/e=215,1 (M+1).
Стадия (D). В высушенную пламенем одногорлую круглодонную колбу на бане со льдом помещают NaH (60% дисперсия в минеральном масле) (1 экв., 0,66 г) и затем загружают ТГФ (20 мл) в атмосфере азота. К этому по каплям добавляют триметилфосфоноацетат (1 экв., 2,89 г/2,75 мл) с помощью шприца. Когда выделение водорода завершится, раствор гидроксикетона 64 (15,5 ммоль, 3,33 г) в ТГФ (40 мл) медленно вводят через капельную воронку. Реакционную смесь перемешивают при температуре окружающей среды в течение ночи. Реакцию гасят насыщенным водным NH4Cl, затем водой и экстрагируют EtOAc (2×). Объединенные органические вещества промывают насыщенным раствором соли (2×), сушат над безводным сульфатом натрия и концентрируют в вакууме. Колоночная хроматография остатка (EtOAc/гексаны, 30/70) дает желательный гидроксиакрилат (3,5 г). 1Н ЯМР (CDCl3) 1,16 (с, 1H), 1,29 (т, J=7,1 Гц, 3H), 1,51-1,61 (м, 4H), 1,70-1,80 (м, 4H), 2,10-2,14 (м, 1H), 2,43-2,59 (м, 2H), 2,65 (т, J=7,5 Гц, 2H), 3,46-3,50 (м, 1H), 4,16 (кв, J=7,1 Гц, 2H), 5,65 (с, 1H), 7,19-7,22 (м, 3H), 7,28-7,32 (м, 2H).
Стадия (E). Полученный гидроксиакрилат (15,5 ммоль) гидрируют над палладием (10% на угле) (10 мол.%) в EtOAc (60 мл), используя газообразный водород при атмосферном давлении в течение 10 ч. Pd/C отфильтровывают слоем целита и фильтрат концентрируют в вакууме. Полученный продукт содержит смесь двух конформеров (соотношение 3:1) желательного третичного гидроксильного сложного эфира 65, которые разделяют колоночной хроматографией (EtOAc/гексаны, 20/80) и характеризуют следующими спектральными данными. На практике смесь конформеров дополнительно получают без разделения. 1Н ЯМР (главный конформер, CDCl3) 1,06 (с, 1H), 1,27 (т, J=7,1 Гц, 3H), 1,33-1,42 (м, 4H), 1,46-1,51 (м, 2H), 1,55-1,66 (м, 4H), 1,68-1,76 (м, 3H), 2,23 (д, J=7,0 Гц, 2H), 2,63 (т, J=7,6 Гц, 2H), 4,14 (кв, J=7,1 Гц, 2H), 7,18-7,23 (м, 3H), 7,28-7,32 (м, 2H). Масс-спектр (CI+) m/e=287,1 (М+1); 1Н ЯМР (малый конформер, CDCl3) 1,07-1,15 (м, 2H), 1,22 (с, 1H), 1,27 (т, J=7,1 Гц, 3H), 1,39-1,44 (м, 2H), 1,54-1,58 (м, 2H), 1,67-1,75 (м, 6H), 1,88 (м, 1H), 2,22 (д, J=7,1 Гц, 2H), 2,65 (т, J=7,6 Гц, 2H), 4,14 (кв, J=7,1 Гц, 2H), 7,18-7,22 (м, 3H), 7,29-7,32 (м, 2H). Масс-спектр (CI+) m/e=287,1 (М+1).
Стадии (F), (G) и (H). В высушенную пламенем 50-мл одногорлую круглодонную колбу на бане со смесью льда и соли помещают AlCl3 (2,5 экв., 1,43 г) с последующим добавлением по каплям 2-бромизобутирилбромида (2 экв., 2,01 г/1,08 мл) в атмосфере азота. Смесь перемешивают в течение около 5 мин и вводят CH2Cl2 (8 мл). Еще через 5 мин добавляют по каплям раствор в CH2Cl2 (20 мл) смеси конформеров третичного гидроксильного сложного эфира 65 (4,3 ммоль, 1,23 г). Реакционную смесь непрерывно перемешивают на бане со льдом и солью в течение 1 ч. Смесь льда и 2н. водной HCl добавляют и смесь перемешивают, пока все не растворится, и экстрагируют CH2Cl2 (2×). Объединенные органические вещества промывают насыщенным раствором соли (3×), сушат над безводным сульфатом натрия и концентрируют в вакууме. Остаток содержит, главным образом, два ацилированных региоизомера в отношении от около 4 до 1, которые подвергают циклизации с гемисульфатом 4,5-диамино-6-гидроксипиримидина (0,5 экв., 0,63 г) в присутствии 2н. водной HCl (2,2 экв., 4 мл) в смеси 3:1 EtOH-H2O (40 мл). Смесь кипятят с обратным холодильником около 12 ч. Смесь охлаждают, разбавляют насыщенным водным NH4Cl и экстрагируют EtOAc (2×). Объединенные органические вещества промывают насыщенным водным NH4Cl (2×), сушат над безводным сульфатом натрия и концентрируют в вакууме. Продукт подвергают гидролизу LiOH·H2O (5 экв., 0,73 г) в смеси 3:1 MeOH-H2O (20 мл). Путем такой же переработки, которую используют на предшествующей стадии циклизации, получают смесь двух главных региоизомеров (67). Главный изомер (1,2 г) получают перекристаллизацией (EtOAc/CH2Cl2/MeOH). Желательный изомер (Пример 8) (200 мг) получают препаративной ВЭЖХ маточной жидкости. 1Н ЯМР (CDCl3) (единственный конформер, транс-) 1,35-1,43 (м, 2H), 1,69-1,88 (м, 16 H), 1,96 (м, 1H), 2,36 (д, J=7,0 Гц, 2H), 2,83 (т, J=6,0 Гц, 2H), 7,34 (д, J=1,6 Гц, 1H), 7,42 (дд, J=8,4, 1,6 Гц, 1H), 7,49 (д, J=8,4 Гц, 1H), 8,16 (с, 1H). Масс-спектр (CI+) m/e=435,2 (М+1).
Пример 8-2:

Соединение 69. Триметилфосфоноацетат (10,36 мл, 64,0 ммоль) добавляют к суспензии NaH в безводном ТГФ (500 мл) при 0°C в атмосфере азота. Спустя 30 мин при 0°C раствор моно-этиленкеталя 1,4-циклогександиона (10,0 г, 64,0 ммоль) в безводном ТГФ (50 мл) добавляют через канюлю. Реакционную смесь нагревают до температуры окружающей среды и перемешивают в течение 12 ч. Реакцию гасят водой и ТГФ удаляют в вакууме. Водный слой экстрагируют EtOAc и органические слои объединяют, промывают насыщенным раствором соли, сушат (MgSO4), фильтруют и концентрируют в вакууме, получая соединение 68 в виде бесцветного масла. 10% Pd/C добавляют к раствору соединения 68 в 95% EtOH (200 мл). Реакционную смесь перемешивают в атмосфере водорода в течение 20 ч, фильтруют через целит и концентрируют в вакууме, получая бесцветное масло. Моногидрат п-толуолсульфоновой кислоты (1,21 г, 6,40 ммоль) добавляют к раствору масла в ацетоне (200 мл) и воде (50 мл) и реакционную смесь нагревают при кипячении с обратным холодильником в течение 24 ч. Ацетон удаляют в вакууме и водный раствор экстрагируют EtOAc. Органические слои объединяют, промывают насыщенным раствором соли, сушат (MgSO4), фильтруют и концентрируют в вакууме, получая соединение 69 в виде бесцветной жидкости (5,86 г). 1Н ЯМР (CDCl3) 1,46 (м, 2H), 2,08 (м, 2H), 2,25-2,33 (м, 3H), 2,37 (м, 4H), 3,68 (с, 3H). Масс-спектр (ESI+) m/e=171,1 (M+H).
Соединение 70. Хлорид изопропилмагния (25,5 мл, 51,0 ммоль) добавляют с помощью шприца к раствору 4-бром-3-метилбензонитрила (5,0 г, 25,5 ммоль) в безводном Et2O (50 мл) при 0°C в атмосфере азота. Реакционную смесь нагревают при кипячении с обратным холодильником в течение 12 ч. Реакционную смесь охлаждают до 0°C и гасят 6 н. HCl. После перемешивания при температуре окружающей среды в течение 12 ч слои разделяют и водный раствор экстрагируют EtOAc. Органические экстракты объединяют, промывают насыщенным раствором соли, сушат (MgSO4), фильтруют и концентрируют в вакууме, получая коричневое масло. Флэш-хроматография (силикагель, 2% EtOAC/гексаны) дает соединение 70 в виде бесцветного масла (3,69 г). 1Н ЯМР (ДМСО-d6) 1,08 (д, J=6,8 Гц, 6H), 2,41 (с, 3H), 3,62 (м, 1H), 7,68 (д, J=8,4 Гц, 1H), 7,73 (д, J=8,3 Гц, 1H), 7,92 (с, 1H). Масс-спектр (ESI+) m/e=241,1 и 243,1 (M+H).
Соединение 71. Моногидрат п-толуолсульфоновой кислоты (360 мг, 1,89 ммоль) добавляют к раствору соединения 70 (4,57 г, 18,9 ммоль) и этиленгликоля (8,45 мл, 0,152 моль) в бензоле (50 мл). Реакционную смесь нагревают при кипячении с обратным холодильником в течение 20 ч, одновременно удаляя воду с помощью ловушки Дина-Старка. Раствор промывают насыщенным водным NaHCO3, насыщенным раствором соли, сушат (MgSO4), фильтруют и концентрируют в вакууме, получая бесцветное масло. Флэш-хроматография (силикагель, 2% EtOAc/гексаны) дает соединение 71 в виде бесцветного масла (4,86 г). 1Н ЯМР (ДМСО-d6) 0,79 (д, J=6,8 Гц, 6H), 2,03 (м, 1H), 2,34 (с, 3H), 3,63 (м, 2H), 3,92 (м, 2H), 7,07 (дд, J=2,2 и 8,2 Гц, 1H), 7,30 (д, J=2,1 Гц, 1H), 7,52 (д, J=8,2 Гц, 1H). Масс-спектр (ESI+) m/e=285,0 и 287,1 (M+H).
Соединение 72. н-BuLi (5,4 мл, 13,5 ммоль) добавляют к раствору соединения 71 (3,50 г, 12,3 ммоль) в безводном ТГФ (20 мл) при -78°C. Раствор перемешивают при -78°C в течение 30 мин и добавляют к раствору соединения 69 (2,30 г, 13,5 ммоль) в безводном ТГФ (20 мл) при -78°C. Реакционную смесь нагревают до температуры окружающей среды и перемешивают в течение 12 ч. Реакцию гасят насыщенным водным NH4Cl и слои разделяют. Водный слой экстрагируют EtOAc и органические экстракты объединяют, промывают насыщенным раствором соли, сушат (MgSO4), фильтруют и концентрируют в вакууме, получая желтое масло. Флэш-хроматография (силикагель, 15% EtOAc/гексаны) дает соединение 72 в виде бесцветного масла как смесь цис- и транс-изомеров (2,24 г). 1Н ЯМР (CDCl3) 0,88 (д, J=6,8 Гц, 6H), 0,88 (д, J=6,8 Гц, 6H), 1,60-2,40 (м, 24H), 2,60 (с, 3H), 2,62 (с, 3H), 3,66 (с, 3H), 3,68 (с, 3H), 3,75 (м, 4H), 3,98 (м, 4H), 7,15-7,26 (м, 4H), 7,33 (м, 2H). Масс-спектр (ESI+) m/e=359,2 ([M-H2O]+H).
Соединение 73. Раствор NBS (260 мг, 1,46 ммоль) и соединения 72 (500 мг, 1,33 ммоль) в бензоле (100 мл) нагревают при кипячении с обратным холодильником в течение 24 ч. Реакционную смесь охлаждают до температуры окружающей среды, промывают водой, насыщенным раствором соли, сушат (MgSO4), фильтруют и концентрируют в вакууме, получая коричневое масло. Флэш-хроматография (силикагель, 10% EtOAc/гексаны) дает соединение 73 в виде желтого масла как смесь цис- и транс-изомеров (187 мг). 1Н ЯМР (ДМСО-d6) 0,88 (д, J=6,8 Гц, 6H), 0,89 (д, J=6,8 Гц, 6H), 1,54-2,10 (м, 20H) 2,28 (д, J=7,0 Гц, 2H), 2,43 (д, J=7,3 Гц, 2H), 3,68 (с, 3H), 3,70 (с, 3H), 3,76 (м, 4H), 3,97 (м, 4H), 5,02 (с, 2H), 5,03 (с, 2H), 7,00 (д, J=7,8 Гц, 1H), 7,22 (м, 3H), 7,28 (м, 2H). Масс-спектр (ESI+) m/e=375,1 (M+H).
Соединение 74. Раствор соединения 73 (450 мг, 1,20 ммоль) и моногидрата п-толуолсульфоновой кислоты (23,0 мг, 0,120 ммоль) в ацетоне (25 мл) и воде (5 мл) нагревают при кипячении с обратным холодильником в течение 24 ч. Ацетон удаляют в вакууме и водный раствор экстрагируют EtOAc. Органические слои объединяют, промывают насыщенным раствором соли, сушат (MgSO4), фильтруют и концентрируют в вакууме, получая желтое масло как смесь цис- и транс-изомеров (366 мг). 1Н ЯМР (ДМСО-d6) 1,09 (д, J=6,8 Гц, 6H), 1,09 (д, J=6,8 Гц, 6H), 1,40-1,83 (м, 18H) 2,25 (д, J=7,0 Гц, 2H), 2,53 (д, J=7,4 Гц, 2H), 3,59 (с, 3H), 3,60 (с, 3H), 3,63 (м, 2H), 4,98 (с, 4H), 7,38 (д, J=7,9 Гц, 1H), 7,60 (д, J=7,9 Гц, 1H), 7,87 (м, 4H). Масс-спектр (ESI+) m/e=331,2 (M+H).
Смесь соединения 74 (400 мг, 1,21 ммоль) и CuBr2 (811 мг, 3,63 ммоль) в CHCl3 (25 мл) и EtOAc (25 мл) нагревают при кипячении с обратным холодильником в течение 5 ч. Растворитель удаляют в вакууме и остаток распределяют между EtOAc и водой. Слои разделяют и водный раствор экстрагируют EtOAc. Органические слои объединяют, промывают насыщенным раствором соли, сушат (MgSO4), фильтруют и концентрируют в вакууме, получая соединение 75 в виде желтого масла. Гемисульфат 4,5-диамино-6-гидроксипиримидина (170 мг, 0,486 ммоль) и 2н. HCl (535 мкл, 1,07 ммоль) добавляют к раствору соединения 75 (398 мг, 0,972 ммоль) в EtOH (18 мл) и воде (6 мл). Реакционную смесь нагревают при кипячении с обратным холодильником в течение 23 ч и гасят насыщенным водным NH4Cl. Раствор экстрагируют EtOAc и органические слои объединяют, промывают насыщенным раствором соли, сушат (MgSO4), фильтруют и концентрируют в вакууме, получая соединение 76 в виде оранжевой пены (360 мг). Моногидрат гидроксида лития (173 мг, 4,12 ммоль) добавляют к раствору соединения 76 (360 мг, 0,825 ммоль) в MeOH (18 мл) и воде (6 мл). Реакционную смесь нагревают при кипячении с обратным холодильником в течение 18 ч и гасят NH4Cl. Раствор подкисляют HCl и экстрагируют EtOAc. Органические слои объединяют, промывают насыщенным раствором соли, сушат (MgSO4), фильтруют и концентрируют в вакууме, получая соединение Примера 8-2 в виде желтого твердого вещества (146 мг) как смесь цис- и транс-изомеров, которые разделяют ВЭЖХ с обращенной фазой. 1Н ЯМР (главный изомер, ДМСО-d6) 1,50 (м, 5H), 1,61 (с, 6H), 1,82 (м, 4H), 2,40 (д, J=7,3 Гц, 2H), 4,97 (с, 2H), 7,53 (д, J=7,9 Гц, 1H), 7,60 (д, J=8,0 Гц, 1H), 7,62 (с, 1H), 7,99 (с, 1 H). Масс-спектр (CI+) m/e=423,2 (М+1). 1Н ЯМР (малый изомер, ДМСО-d6) 1,40 (м, 2H), 1,60 (с, 6H), 1,64 (м, 4H), 1,75 (м, 3H), 2,15 (д, J=6,9 Гц, 2H), 4,97 (с, 2H), 7,30 (д, J=8,5 Гц, 1H), 7,61 (м, 2H), 7,98 (с, 1H). Масс-спектр (CI+) m/e=423,2 (M+1).
Пример 8-3:
  
Соединение 78. К перемешиваемой суспензии трет-бутоксида калия (16,2 г, 142 ммоль) в 1,4-диоксане (300 мл) добавляют хлорид (метоксиметил)трифенилфосфония (48,5 г, 142 ммоль) при комнатной температуре в атмосфере N2. После перемешивания в течение 2 ч 5-броминданон (77,13 г, 61,6 ммоль) в диоксане (170 мл) добавляют к раствору при комнатной температуре в атмосфере N2. Смесь перемешивают в течение 2 ч при комнатной температуре, выливают в воду (500 мл) и экстрагируют EtOAc (500 мл). Органический слой отделяют, промывают насыщенным раствором соли, сушат над Na2SO4 и концентрируют в вакууме. К остатку добавляют гексан:EtOAc (2:1 (500 мл)). Смесь перемешивают при комнатной температуре фильтруют и осадок промывают 2× гексан:EtOAc (2:1 (500 мл)). Фильтрат концентрируют в вакууме и остаток перегоняют (700 мм торр при 145-150°C), получая соединение 78 в виде светло-желтого твердого вещества, цис- и транс-смеси (14,5 г). 1Н ЯМР (CDCl3) 2,70-2,80 (м, 2H, главный и малый изомеры), 2,94-3,00 (м, 2H, главный и малый изомеры), 3,75 (с, 3H, главный и малый изомеры), 6,20 (т, J=1,8 Гц, 1H, только малый изомер), 6,65 (т, J=2,6 Гц, 1H, только главный изомер), 7,12 (д, J=8,2 Гц, 1H, только главный изомер), 7,22-7,34 (м, 2H, главный и малый изомеры), 7,68 (д, J=8,2 Гц, 1H, только малый изомер).
Соединение 79. К перемешиваемому раствору соединения 78 (14,5 г, 60,8 ммоль) в толуоле (60 мл) добавляют метилвинилкетон (6,0 мл, 68 ммоль) и моногидрат п-толуолсульфоновой кислоты (1,2 г, 6,3 ммоль) при комнатной температуре. Смесь нагревают при 100°C в течение 18 ч в атмосфере N2, позволяют остыть до комнатной температуры и выливают в насыщенный водный раствор NaHCO3 (200 мл). Органический слой отделяют и промывают насыщенным раствором соли. Водный слой экстрагируют EtOAc и органический слой отделяют и промывают насыщенным раствором соли. Органический слой сушат над Na2SO4 и концентрируют в вакууме. Остаток подвергают перекристаллизации из EtOH:H2O (2:1 (168мл)), фильтруют и сушат в вакууме при 60°C, получая соединение 79 в виде бледно-желтого твердого вещества (9,90 г). 1Н ЯМР (CDCl3) 2,09-2,24 (м, 3H), 2,29-2,32 (м, 1H), 2,54 (дд, J=7,2, 6,3 Гц, 2H), 2,99-3,12 (м, 2H), 6,10 (д, J=10,1 Гц, 1H), 6,76 (д, J=10,1 Гц, 1H), 6,99 (д, J=8,1 Гц, 1H), 7,35 (д, J=8,1 Гц, 1H), 7,44 (с, 1H).
Соединение 80. К перемешиваемому раствору соединения 79 (153,4 г, 0,55 M) в уксусной кислоте (3,7 л) добавляют 10% Pd/C (30 г). Смесь перемешивают в атмосфере водорода в течение 4 ч и фильтруют через силикагель (промывая уксусной кислотой, а затем DCM). Фильтрат концентрируют в вакууме, получая соединение 80 в виде белого твердого вещества (150,51 г). 1Н ЯМР (CDCl3) 1,90-1,97 (м, 2H), 2,02-2,12 (м, 2H), 2,26 (т, J=7,3 Гц, 2H), 2,43-2,61 (м, 4H), 3,01 (т, J=7,3 Гц, 2H), 7,04 (д, J=8,1 Гц, 1H), 7,32-7,35 (м, 1H), 7,40 (с, 1H).
Соединение 59. К перемешиваемому раствору триметилфосфоноацетата (116,45 г, 640 ммоль) в безводном ТГФ (2,2 л) в атмосфере N2 при 0°C добавляют порциями в течение 7 мин гидрид натрия (25,6 г 60% дисперсии в минеральном масле, 640 ммоль). Смесь перемешивают при 0oC в течение 30 мин и позволяют нагреться до комнатной температуры в течение 30 мин. Раствор соединения 80 (149 г, 533 ммоль,) в безводном ТГФ (375 мл) добавляют в течение 10 мин. Смесь перемешивают при комнатной температуре в течение 90 мин и добавляют насыщенный водный NH4Cl (500 мл). Смесь перемешивают в течение 5 мин и концентрируют в вакууме, чтобы удалить ТГФ. Водную фазу промывают простым диэтиловым эфиром (1 л и 500 мл). Объединенные органические фракции промывают насыщенным раствором соли, сушат (MgSO4) и концентрируют в вакууме. Растирание полученного маслянистого остатка дает белое твердое вещество, которое собирают фильтрованием и промывают гексаном, получая соединение 59 (62,0 г). Маточную жидкость концентрируют в вакууме и остаток подвергают перекристаллизации из смеси EtOAc/гексан при 0oC, получая дополнительно соединение 59 (38,3 г). Дополнительные три повтора указанного способа перекристаллизации дают дополнительно соединение 59 (40,5 г). 1Н ЯМР (CDCl3) 1,68-1,78 (м, 4H), 2,11-2,21 (м, 3H), 2,31-2,46 (м, 2H), 2,95 (т, J=7,4 Гц, 2H), 3,73 (с, 3H), 3,82-3,87 (м, 2H), 5,73 (с, 1H), 6,99 (д, J=8,0 Гц, 2H), 7,29-7,32 (м, 1H), 7,37 (с, 1H).
Соединение 82a. В 5-л 3-горлую круглодонную колбу, содержащую соединение 59 (140 г, 418 ммоль), добавляют Et3N (280 мл, 2,03 моль), бензиловый спирт (420 мл, 4,06 ммоль) и толуол (1,4 л). Полученный раствор продувают CO в течение 5 мин перед добавлением Pd(PPh3)4 (9,34 г, 8 ммоль). Реакционную смесь нагревают до 90oC в течение 8 ч с продуванием CO. Смесь перемешивают на бане со льдом в течение 30 мин и фильтруют и осадок промывают EtOAc. Фильтрат промывают водой, насыщенным раствором соли и сушат над сульфатом натрия. Растворители и избыток бензилового спирт удаляют в вакууме. Остаток растворяют в DCM (50 мл) и гексане (50 мл) и фильтруют через воронку, заполненную силикагелем (500 г). Набивку промывают смесью гексан/EtOAc (градиентное элюирование: 9/1 до 1/1). Концентрирование в вакууме дает соединение 81 в виде желтого масла (160 г). Соединение 81 растворяют в EtOH (12 л) и добавляют Pd на углероде (10%, 20 г). Смесь перемешивают в атмосфере водорода в течение 2 суток, фильтруют через набивку из целита и концентрируют в вакууме, получая белое твердое вещество (120 г). К сырому продукту добавляют EtOAc (200 мл) и смесь нагревают до кипячения с обратным холодильником в течение 1 мин и фильтруют. Фильтрат повторно нагревают до кипячения с обратным холодильником и медленно добавляют гексан. Полученную смесь охлаждают медленно до комнатной температуры, получая белое кристаллическое твердое вещество, которое собирают фильтрованием (44 г транс-изомера 82a). Маточную жидкость концентрируют, и перекристаллизация из смеси EtOAc:гексан дает дополнительные 16 г соединения 82a. 1Н ЯМР (CDCl3) 1,23-1,27 (м, 2H), 1,59-1,90 (м, 7H), 2,03 (т, J=7,4 Гц, 2H), 2,28 (д, J=7,0 Гц, 2H), 2,93 (т, J=7,4 Гц, 2H), 3,70 (с, 3H), 7,21 (д, J=7,9 Гц, 1H), 7,93 (с, 1H), 7,95 (д, J=7,9 Гц, 1H). Масс-спектр (ESI+) m/e=303 (M+1).
Соединение 83. DMF (200 мкл) добавляют к раствору соединения 82a (57,23 г, 0,189 моль) и оксалилхлорида (19,8 мл, 0,227 моль) в CH2Cl2 (500 мл) при 0°C в атмосфере азота. Реакционную смесь перемешивают при 0°C в течение 15 мин и при комнатной температуре в течение 3 ч. Растворитель удаляют в вакууме, получая хлорангидрид кислоты в виде не совсем белого твердого вещества (60,3 г). В трехгорлую 2-литровую круглодонную колбу загружают CuCN (4,19 г, 46,8 ммоль) и безводный ТГФ (500 мл) и охлаждают до -25°C. К этой перемешиваемой суспензии добавляют 2 M раствор хлорида изопропилмагния (46,8 мл, 93,5 ммоль в ТГФ) по каплям, поддерживая внутреннюю температуру между -25 и -22°C. К этому раствору добавляют раствор хлорангидрида кислоты (получение описано выше) (10 г, 31,2 ммоль) в безводном ТГФ (50 мл) по каплям, поддерживая внутреннюю температуру между -20 и -17°C. Реакционную смесь перемешивают при -15°C в течение 1 ч и гасят 10% NH4OH в насыщенном водном NH4Cl (300 мл). Этот раствор нагревают до комнатной температуры и слои отделяют. Органический слой промывают 10% NH4OH в насыщенном водном NH4Cl (2 × 300 мл), насыщенным раствором соли (1 × 300 мл), сушат (MgSO4), фильтруют и концентрируют в вакууме, получая соединение 83 в виде не совсем белого твердого вещества (10,08 г). 1Н ЯМР (CDCl3) 7,83 (м, 2H), 7,22 (д, J=8,4 Гц, 1H), 3,72 (с, 3H), 3,54-3,58 (м, 1H), 2,94 (т, J=7,4 Гц, 2H), 2,30 (д, J=7,0 Гц, 2H), 2,04 (т, J=7,4 Гц, 2H), 1,92 (м, 1H), 1,78 (м, 2H), 1,69-1,64 (м, 4H), 1,28 (м, 2H), 1,23 (д, J=6,8 Гц, 6H). Масс-спектр (ESI+) m/e=329 (M+1).
Соединение 84. Раствор соединения 83 (5 г, 15,2 ммоль) в EtOAc (100 мл) и хлороформе (100 мл) обрабатывают CuBr2 (10 г, 44,8 ммоль) и смесь нагревают при кипячении с обратным холодильником в течение 8 ч перед охлаждением до комнатной температуры. Реакционную смесь фильтруют и промывают EtOAc. Фильтрат промывают водой, насыщенным раствором соли и сушат над сульфатом натрия. Растворители удаляют в вакууме и добавляют гексан (20 мл). Белое твердое вещество 84 получают при перемешивании и собирают фильтрованием (5 г). Дополнительное соединение 84 (0,76 г) получают кристаллизацией из маточной жидкости при 0oC. 1Н ЯМР (CDCl3) 1,25-1,28 (м, 2H), 1,61-1,92 (м, 7H), 2,03-2,06 (м, 8H), 2,29 (д, J=7,0 Гц, 2H), 2,94 (т, J=7,4 Гц, 2H), 3,72 (с, 3H), 7,19 (д, J=8,0 Гц, 1H), 7,99 (с, 1H), 8,05 (д, J=8,0 Гц, 1H). Масс-спектр (ESI+) m/e=407 и 409 (M+1).
Соединение 86. К соединению 84 (0,5 г, 1,23 ммоль) и 4,5-диамино-6-гидрокси-2-трифторметилпиримидину (соединение 85, J.A. Barone et al., J. Med. Chem., 1969, 6, 39; P.D. Landauer et al., J. Chem. Soc. 1953, 3721) (0,26 г, 1,34 ммоль) добавляют метанол (13 мл), 2н. HCl (2 мл) и воду (5 мл). Смесь нагревают при кипячении с обратным холодильником в течение 24 ч, охлаждают и концентрируют в вакууме. К остатку добавляют воду (10 мл) и полученный осадок собирают фильтрованием, промывают пентаном и сушат в вакууме, получая соединение 86 (375 мг) в виде белого твердого вещества. 1Н ЯМР (ДМСО-d6) 1,18-1,27 (м, 2H), 1,48-1,86 (м, 13H), 1,98 (т, J=7,3 Гц, 2H), 2,28 (д, J=7,2 Гц, 2H), 2,89 (т, J=7,1 Гц, 2H), 3,61 (с, 3H), 7,28 (д, J=8,0 Гц, 1H), 7,53 (д, J=8,0 Гц, 1H), 7,58 (с, 1H).
Пример 8-3. К перемешиваемому раствору соединения 86 (100 мг, 0,199 ммоль) в DMF (1 мл) добавляют безводный иодид лития (670 мг, 5 ммоль). Смесь нагревают при 125-130oC в течение 24 ч и выливают в воду (20 мл). Полученный осадок собирают фильтрованием и промывают водой. Осадок подвергают перекристаллизации из этанола, получая соединение Примера 8-3 (70 мг) в виде белого твердого вещества. 1Н ЯМР (ДМСО-d6) 1,17-1,26 (м, 2H), 1,48-1,82 (м, 16H), 1,98 (т, J=7,4 Гц, 2H), 2,18 (д, J=6,8 Гц, 2H), 2,90 (т, J=7,2 Гц, 2H), 7,28 (д, J=8,1 Гц, 1H), 7,37 (ушир.с, 1H), 7,53 (д, J=8,1 Гц, 1H), 7,58 (с, 1H), 7,80 (ушир.с, 1H), 12,05 (ушир.с, 1H).
Пример 8-4:
 

Соединение 89. В сухую одногорлую круглодонную колбу на 500 мл загружают инден 87 (8,91 г, 76,65 ммоль) и ТГФ (60 мл). Раствор перемешивают и охлаждают на бане со льдом. В колбу добавляют литий бис(триметилсилил)амид (153,3 мл, 1,0 M в ТГФ, 153,3 ммоль) через шприц в течение периода 30 мин. Полученную смесь перемешивают при 0°C в течение 30 мин и переносят канюлей к перемешиваемому раствору дибромкеталя 88 (20,0 г, 66,23 ммоль) в ТГФ при 0°C в течение 30 мин. После добавления реакционную смесь перемешивают в течение 2 ч при 0°С и 30 мин при комнатной температуре. Растворитель выпаривают в вакууме и остаток очищают хроматографией на силикагеле (гексан/EtOAc 25/1 до 15/1; градиентное элюирование), получая соединение 89 (15,0 г) в виде светло-желтых кристаллов. 1Н ЯМР (CDCl3) 1,43 (д, J=13,5 Гц, 2H), 1,88-1,99 (м, 4H), 2,20 (д, J=4,0, 13,0 Гц, 2H), 4,06 (с, 4H), 6,78 (д, J=6,0 Гц, 1H), 6,85 (д, J=6,0 Гц, 1H), 7,20-7,27 (м, 2H), 7,34 (д, J=7,5 Гц, 1H), 7,42 (д, J=7,5 Гц, 1H). Масс-спектр (ESI+) m/e=243 (M++1).
Соединение 90. К раствору соединения 89 (15,0 г, 62 ммоль) в MeOH (350 мл) добавляют 3 M H2SO4 (60 мл). Реакционную смесь нагревают при кипячении с обратным холодильником в течение 7 ч в атмосфере азота. Смесь охлаждают до комнатной температуры и MeOH удаляют в вакууме. Смесь разбавляют водой со льдом и экстрагируют EtOAc (100 мл × 3), промывают водой (25 мл × 2) и насыщенным раствором соли (20 мл) и сушат над MgSO4. Концентрирование в вакууме дает сырой продукт, который очищают колоночной хроматографией на силикагеле (гексан/EtOAc 20/1), получая соединение 90 (10,0 г) в виде белого твердого вещества. 1Н ЯМР (CDCl3) 1,76 (м, 2H), 2,34 (м, 2H), 2,68 (м, 4H), 6,90 (д, J=6,0 Гц, 1H), 6,95 (д, J=6,0 Гц, 1H), 7,25-7,51 (м, 4H). Масс-спектр (ESI+) m/e=199 (M+1).
Соединение 91. Суспензию NaH (60% дисперсия в минеральном масле) (2,45 г, 61,25 ммоль) в ТГФ (200 мл) в предварительно высушенной колбе на 500 мл охлаждают до 0°C в атмосфере азота. В колбу добавляют раствор триэтил 2-фосфонопропионата (14,60 г, 61,25 ммоль) в ТГФ (10 мл) по каплям при 0°C в течение 15 мин. Смесь перемешивают при 0°C в течение 15 мин и раствор соединения 90 (7,8 г, 39,20 ммоль) в ТГФ (50 мл) добавляют через капельную воронку по каплям в течение 25 мин. После добавления смесь перемешивают при комнатной температуре в течение ночи. Реакцию гасят водным насыщенным раствором NH4Cl и экстрагируют EtOAc, промывают водой и насыщенным раствором соли и сушат над MgSO4. Выпаривание растворителя дает сырой продукт, который очищают колоночной хроматографией на силикагеле (гексан/EtOAc 20/1), получая соединение 91 (10,0 г) в виде белого твердого вещества. 1Н ЯМР (CDCl3) 1,35 (т, J=7,1 Гц, 3H), 1,50-1,60 (м, 2H), 1,98 (с, 3H), 1,95-2,05 (м, 2H), 2,25-2,48 (м, 2H), 2,75-2,90 (м, 1H), 3,10-3,25 (м, 1H), 4,25 (кв, J=7,1 Гц, 2H), 6,81 (д, J=5,7 Гц, 1H), 6,93 (д, J=5,7 Гц, 1H), 7,20-7,36 (м, 4H).
Соединение 92. Соединение 91 (5,6 г, 19,72 ммоль) растворяют в EtOAc (60 мл) и гидрируют над палладием (10% на угле), используя газообразный водород при атмосферном давлении, в течение 24 ч. Смесь фильтруют через целит и фильтрат концентрируют в вакууме, получая продукт 92 (5,4 г) в виде бесцветного масла, которое используют непосредственно в следующей реакции без дополнительной очистки. 1Н ЯМР (CDCl3) 1,18 (д, J=7,0 Гц, 3H), 1,30 (т, J=7,1 Гц, 3H), 1,61-1,85 (м, 9H), 1,98 (т, J=7,5 Гц, 2H), 2,31 (м, 1H), 2,89 (т, J=7,4 Гц, 2H), 4,14-4,19 (м, 2H), 7,05-7,20 (м, 4H).
Соединение 93. Соединение 92 (2,63 г, 9,21 ммоль) растворяют в MeOH/ТГФ/H2O (40 мл, 5/2/1). К вышеуказанному раствору добавляют моногидрат гидроксида лития (1,93 г, 46,0 ммоль) и смесь перемешивают при 50°C в течение ночи. MeOH удаляют в вакууме и реакционную смесь подкисляют 2н. HCl. Смесь экстрагируют EtOAc (25 мл × 3), промывают водой, насыщенным раствором соли и сушат над MgSO4. Выпаривание растворителя дает сырой продукт, который очищают колоночной хроматографией на силикагеле (гексан/EtOAc 8/1), получая соединение 93 (2,38 г) в виде белого твердого вещества 1Н ЯМР (CDCl3) 1,24 (д, J=7,02 Гц, 3H), 1,61-1,85 (м, 10H), 1,95-2,0 (м, 2H), 2,3-2,4 (м, 1H), 2,88-2,92 (м, 2H), 7,05-7,20 (м, 4H). Масс-спектр (ESI+) m/e=258 (M).
Соединения 94a и 94b. К соединению 93 (2,2 г, 8,53 ммоль) в CH2Cl2 при 0°C в атмосфере азота добавляют (COCl)2 (0,82 мл, 9,38 ммоль) и каплю DMF. Реакционную смесь перемешивают при 0°C в течение 1 ч. К этому раствору полученного хлорангидрида кислоты добавляют раствор (S)-(-)-4-бензил-2-оксазолидиона (1,66 г, 9,37 ммоль), DMAP (1,09 г, 8,92 ммоль) и триэтиламина (1,88 мл, 13,49 ммоль) в CH2Cl2 по каплям при 0°C в атмосфере азота. После добавления смесь перемешивают при комнатной температуре в течение 2 ч. Реакцию гасят добавлением насыщенного водного NH4Cl, экстрагируют EtOAc (25 мл × 3), промывают водой (10 мл × 2), насыщенным раствором соли и сушат над MgSO4. Концентрирование в вакууме дает сырой продукт, который очищают колоночной хроматографией на силикагеле (гексан/EtOAc 19/1 до 10/1), получая соединение 94a (926 мг) и 94b (1,27 г). NB: стереохимическое распределение соединений 94a и 94b является случайным. Соединение 94a: 1Н ЯМР (CDCl3) 1,26 (д, J=6,9 Гц, 3H), 1,61-1,80 (м, 2H), 1,80-1,95 (м, 7H), 1,99 (т, J=7,3 Гц, 2H), 2,80 (дд, J=9,6, J=13,3 Гц, 1H), 2,91 (т, J=7,4 Гц, 2H), 3,33 (дд, J=3,2, 13,3 Гц, 1H), 3,71-3,75 (м, 1H), 4,15-4,23 (м, 2H), 4,70-4,78 (м, 1H), 7,05-7,37 (m, 9H). Масс-спектр (ESI+) m/e=418 (M+1). [ ]26=+54,85 (c=0,60, CH2Cl2). Соединение 94b: 1 Н ЯМР (CDCl3) 1,21 (д, J=6,9 Гц, 3H), 1,25-1,95 (м, 9H), 2,01 (т, J=7,4 Гц, 2H), 2,75 (м, 1H), 2,90 (т, J=7,3 Гц, 2H), 3,32-3,41 (м, 1H), 3,73-3,78 (м, 1H), 4,12-4,22 (м, 2H), 4,73-4,77 (м, 1H), 7,05-7,39 (м, 9H). Масс-спектр (ESI+) m/e=418 (M+1). [ ]26=+10,12 (c=0,60, CH2Cl2)
Соединение 95a. К перемешиваемому раствору соединения 94a (900 мг, 2,16 ммоль) в ТГФ (30 мл) и H2O (10 мл) добавляют H2O2 (30%, 1,8 мл, 17,7 ммоль) и моногидрат гидроксида лития (360 мг, 8,55 ммоль) при 0°C. Реакционной смеси позволяют нагреться до комнатной температуры в течение ночи и гасят насыщенным водным раствором Na2SO3 и подкисляют 10% HCl. Смесь экстрагируют EtOAc (15 мл × 3), промывают водой (5 мл × 2), насыщенным раствором соли и сушат над MgSO4. Концентрирование в вакууме дает сырой продукт, который очищают колоночной хроматографией на силикагеле (гексан/EtOAc 8/1), получая соединение 95a (500 мг) в виде белого твердого вещества. 1Н ЯМР (CDCl3) 1,24 (д, J=7,0 Гц, 3H), 1,61-1,85 (м, 10H), 1,95-2,0 (м, 2H), 2,30-2,40 (м, 1H), 2,88-2,92 (м, 2H), 7,05-7,20 (м, 4H). Масс-спектр (ESI+) m/e=258 (M).
Соединение 95b. Соединение 95b (ent-95a) получают из соединения 94b подобно тому, как описано для превращения соединения 94a в 95a выше.
Пример 8-4. К суспензии безводного AlCl3 (484 мг, 3,63 ммоль) в CH2Cl2 (5 мл) добавляют 2-бромизобутирилбромид (0,21 мл, 1,70 ммоль) по каплям при 0°C в атмосфере азота. Затем смесь перемешивают в течение 5 мин, раствор соединения 95a (376 мг, 1,46 ммоль) в CH2Cl2 (20 мл) добавляют по каплям. После перемешивания при 0°C в течение 1 ч смесь выливают в воду со льдом и экстрагируют CH2Cl2 (15 мл × 3). Объединенный органический слой промывают последовательно водой, насыщенным NaHCO3 и насыщенным раствором соли, сушат над MgSO4 и концентрируют в вакууме. К остатку добавляют 2-метил-4,5-диамино-6-гидроксипиримидин (PD Landauer et al., J. Chem. Soc. 1953, 3721) (250 мг, 1,54 ммоль), 1н. HCl (5 мл, 5 ммоль), воду (5 мл) и EtOH (25 мл). Реакционную смесь нагревают при кипячении с обратным холодильником в течение ночи. Реакционную смесь охлаждают до комнатной температуры и EtOH удаляют выпариванием. Остаток разбавляют насыщенным водным раствором NH4Cl и экстрагируют EtOAc (15 мл × 3). Объединенный органический слой промывают последовательно водой и насыщенным раствором соли, сушат над MgSO4 и концентрируют в вакууме. К остатку добавляют MeOH/ТГФ/H2O (15 мл, 1/1/1) и моногидрат гидроксида лития (200 мг, 4,77 ммоль) и смесь перемешивают при 45°C в течение 40 ч. MeOH удаляют в вакууме и остаток подкисляют 2н. HCl. Эту смесь экстрагируют EtOAc (15 мл × 3), промывают водой, насыщенным раствором соли и сушат над MgSO4. Концентрирование в вакууме дает сырой продукт, который очищают ВЭЖХ (обращенная фаза), получая соединение Примера 8-4 (65,6 мг) в виде белого твердого вещества. 1Н ЯМР (ДМСО-d6) 1,07 (д, J=7,0 Гц, 3H), 1,15-1,35 (м, 1H), 1,50-1,81 (м, 6H), 1,63 (с, 6H), 1,96 (т, J=7,5 Гц, 2H), 2,21 (м, 1H), 2,34 (с, 3H), 2,45-2,55 (м, 2H), 2,88 (т, J=7,5 Гц, 2H), 7,25 (м, 1H), 7,51-7,54 (м, 4H), 12,0 (ушир.с, 1H). Масс-спектр (ESI+) m/e=449 (M+1).
Пример 8-5. Соединение Примера 8-5 (ent-Пример 8-4) получают подобно получению соединения Примера 8-4 из 95a выше.
Пример 8-6:

Это соединение получают таким же образом, как в примере 8. 1Н ЯМР (ДМСО-d6) 1,14-1,23 (м, 2H), 1,47-1,80 (м, 15H), 1,96 (т, J=7,3 Гц, 2H), 2,15 (д, J=7,0 Гц, 2H), 2,32 (с, 3H), 2,87 (т, J=7,3 Гц, 2H), 7,10 (с, ушир., 2H), 7,24 (д, J=7,8 Гц, 1H), 7,43-7,50 (м, 2H).
Пример 8-7:

Это соединение получают таким же образом как в примере 8. 1Н ЯМР (ДМСО-d6) 1,39-1,45 (м, 2H), 1,47-1,55 (м, 2H), 1,60-1,75 (м, 10H), 1,94 (т, J=7,2 Гц, 2H), 2,03 (м, 1H), 2,38 (д, J=7,3 Гц, 2H), 2,87 (т, J=7,3 Гц, 2H), 7,35 (с, ушир., 1H), 7,44 (д, J=8,0 Гц, 1H), 7,52 (д, J=8,0 Гц, 1H), 7,57 (с, 1H), 7,77 (с, ушир., 1H).
Пример 9
 
Соединение 97. Соединение 96 получают из 4-фенилциклогексанона и триэтилфосфонопропионата подобно тому, как описано для превращения соединения 1 в 2 (Пример 2). Соединение 97 получают из 96 подобно тому, как описано для превращения 2 в 3 (Пример 2).
Соединение 98. К перемешиваемому раствору соединения 97 (2,86 г, 11 ммоль) в метаноле (83 мл) добавляют гидроксид лития (2,62 г, 110 ммоль) в воде (28 мл). Смесь нагревают при кипячении с обратным холодильником в течение 2 ч и позволяют остыть до комнатной температуры и метанол удаляют в вакууме. Водный раствор промывают простым диэтиловым эфиром, подкисляют 1н. HCl до pH 1 и экстрагируют простым диэтиловым эфиром (3×). Объединенные органические вещества сушат (MgSO4), фильтруют и концентрируют в вакууме, получая соединение 98 (2,31 г) в виде белого твердого вещества. 1Н ЯМР (CDCl3) 1,23 (д, J=7,2 Гц, 3H), 1,29-1,33 (м, 2H), 1,42-1,59 (м, 2H), 1,69-1,80 (м, 2H), 1,85-2,00 (м, 3H), 2,30-2,39 (м, 1H), 2,45-2,60 (м, 1H), 7,21-7,34 (м, 5H).
Соединения 99a и 99b. К перемешиваемому раствору соединения 98 (13,5 г, 58,1 ммоль) в DCM (225 мл) добавляют 3 капли DMF. Смесь охлаждают до 0oC и оксалилхлорид (5,58 мл, 63,91 ммоль) добавляют по каплям. Смесь перемешивают при комнатной температуре в течение 2 ч и добавляют по каплям в отдельный сосуд, содержащащий (S)-4-бензил-2-оксазолидинон (10,81 г, 61 ммоль), DMAP (7,1 г, 58,1 ммоль), Et3N (20,24 мл, 145,3 ммоль) и DCM (100 мл) при 0oC. Смеси позволяют нагреться до комнатной температуры и перемешивают при комнатной температуре в течение 12 ч. Добавляют воду (300 мл). Органический слой отделяют и промывают 1н. HCl (200 мл), насыщенным водным бикарбонатом натрия (200 мл) и насыщенным раствором соли и сушат (MgSO4), фильтруют и концентрируют в вакууме. Остаток очищают флэш-хроматографией (силикагель 5-40% EtOAc в гексане, градиентное элюирование), получая соединение 99a (11,48 г) в виде белых кристаллов и соединение 99b (10,75 г) в виде белой пены. NB: стереохимическое распределение соединений 99a и 99b является случайным. Соединение 99a: 1Н ЯМР (CDCl3) 1,17-1,34 (м, 5H), 1,45-2,01 (м, 7H), 2,49 (тт, J=12,3 Гц, J=3,5 Гц, 1H), 2,81 (дд, J=9,6 Гц, J=13,2 Гц, 1H), 3,33 (дд, J=3,2 Гц, J=13,4 Гц, 1H), 3,74 (квин, J=7,0 Гц, 1H), 4,19-4,25 (м, 2H), 4,70-4,76 (м, 1H), 7,19-7,39 (м, 10H). Соединение 99b: 1Н ЯМР (CDCl3) 1,21 (д, J=6,9 Гц, 3H), 1,25-2,02 (м, 9H), 2,51 (тт, J=12,1 Гц, J=3,4 Гц, 1H), 2,74 (дд, J=10,0 Гц, J=13,2 Гц, 1H), 3,40 (дд, J=3,4 Гц, J=13,2 Гц, 1H), 3,78 (квин, J=6,8 Гц, 1H), 4,12-4,21 (м, 2H), 4,72-4,79 (м, 1H), 7,19-7,39 (м, 10H).
Соединение 100a. К перемешиваемому раствору соединения 99a (10,48 г, 26,8 ммоль) в ТГФ (400 мл) и воде (125 мл) при 0°C добавляют гидроксид лития (1,28 г, 53,6 ммоль) и 3% пероксид водорода (10,7 мл). Смесь перемешивают при 0°C в течение 75 мин и водный раствор сульфита натрия (14,75 г в 80 мл воды) добавляют с последующим добавлением 0,5 M водного бикарбоната натрия (270 мл). Водный слой промывают DCM и подкисляют 5 н. HCl до pH 1 и экстрагируют EtOAc. Слой этилацетата сушат (MgSO4), фильтруют и концентрируют в вакууме, получая соединение 100a (1 г) в виде белого твердого вещества.
Дополнительный материал может быть получен из слоя DCM. 1Н ЯМР (CDCl3) 1,22 (д, J=7,2 Гц, 3H), 1,23-1,33 (м, 2H), 1,50-1,56 (м, 2H), 1,58-1,65 (м, 1H), 1,87-2,01 (м, 4H), 2,38 (квин, J=6,8 Гц, 1H), 2,50 (тт, J=3,2 Гц, J=12,0 Гц, 1H), 7,18-7,33 (м, 5H).
Соединение 100b. Соединение 100b (ent-100a) получают из соединения 99b подобно получению соединения 100a из 99a выше.
Соединение 101a. Соединение 101a получают из 100a подобно тому, как описано для превращения соединения 3 в 4 (Пример 2). 1Н ЯМР (CDCl3) 1,23 (д, J=7,2 Гц, 3H), 1,29-1,33 (м, 2H), 1,42-1,59 (м, 2H), 1,69-1,80 (м, 2H), 1,85-2,00 (м, 3H), 2,30-2,39 (м, 1H), 2,45-2,60 (м, 1H), 7,21-7,34 (м, 5H).
Соединение 101b. Соединение 101b (ent-101a) получают из соединения 100b подобно получению соединения 101a из 100a выше.
Пример 9. Соединение Примера 9 получают из 101a и 4,5-диамино-6-гидрокси-2-метилпиримидина (P.D. Landauer et al., J. Chem. Soc., 1953, 3721.) подобно тому, как описано для превращения соединения 4 в соединение Примера 2. 1 Н ЯМР (CDCl3) 1,24 (д, J=6,8 Гц, 3H), 1,25-1,30 (м, 2H), 1,48-1,59 (м, 3H), 1,71 (с, 6H), 1,91-2,00 (м, 4H), 2,36-2,40 (м, 1H), 2,46 (с, 3H), 2,51-2,57 (м, 1H), 7,27 (д, J=8,4 Гц, 2H), 7,55 (д, J=8,4 Гц, 2H). Масс-спектр (ESI+) m/e=423,3 (M+1).
Пример 9-2. Соединение Примера 9-2 (ent-Пример 9) получают из соединения 101b подобно получению соединения Примера 9 из 101a выше.
Пример 9-3:

Это соединение получают таким же образом, как в примере 9. 1Н ЯМР (ДМСО-d6) 1,10-1,20 (м, 2H), 1,42-1,90 (м, 13H), 2,17 (д, J=6,8 Гц, 2H), 2,45-2,60 (м, 1H), 7,34 (д, J=8 Гц, 2H), 7,36 (ушир.с, 1H), 7,71 (д, J=8 Гц, 2H), 7,74 (ушир.с, 1H), 12,04 (ушир.с, 1H).
Соединения, представленные в таблице 10, получают сочетанием способов, приведенных выше.
| Таблица 1 |
| Новый пример № |
Мол.структура |
Т.пл. |
ЯМР ( ) |
Растворитель |
| 1 |
|
 |
>200 |
5,44(8, 2H), 7,10 (ушир.с, 2H), 7,69 (д, 2H, J=8,6 Гц), 7,93 (с, 1H), 8,03 (д, 2H, J=8,6 Гц) |
ДМСО-d6, 400 МГц |
| 1- |
2 |
 |
>220 |
5,46 (с, 2H), 7,08 (ушир.с, 2H), 7,35 (т, 2H, J=7,5 Гц), 7,94(с, 1H), 8,15-8,19 (м, 2H) |
ДМСО-d6, 400 МГц |
| 1- |
3 |
 |
>220 |
5,46 (с, 2H), 7,12 (ушир.с, 2H), 7,57 (д, 2H, J=6,0 Гц), 7,94 (с, 1H), 8,13 (д, 2H, J=9,0 Гц) |
ДМСО-d6, 400 МГц |
| 1- |
4 |
 |
217-219 |
2,39 (с, 3H), 5,43 (с, 2H), 7,03 (ушир.с, 2H), 7,32 (д, 2H, J=6,0 Гц), 7,93 (с, 1H), 7,99 (д, 2H, J=6,0 Гц) |
ДМСО-d6, 400 МГц |
| 1- |
5 |
 |
|
5,22 (с, 2H), 7,02 (ушир.с, 2H), 7,45 (т, 1Н, J=6,0 Гц), 7,53 (т, 1H, J=4,5 Гц), 7,64 (д, 1H, J=6,0 Гц), 7,76 (д, 1H, J=6,0 Гц), 7,99 (с, 1H) |
ДМСО-d6, 400 МГц |
| 1- |
6 |
 |
206 разл. |
1,14 (т, 6H, J=6,0 Гц), 3,44 (кв, 4H, J=5,0 Гц), 5,34 (с, 2H), 6,72 (д, 2H, J=6,0 Гц), 6,84 (ушир.с, 2H), 7,88 (с, 1H), 7,90 (д, 2H, J=9,0 Гц) |
ДМСО-d6, 400 МГц |
| 1- |
7 |
 |
>220 |
5,45 (с, 2H), 7,19 (ушир.с, 2H), 7,46 (т, 1Н, J=6,0 Гц), 7,72 (д, 1H, J=6,0 Гц), 7,95 (с, 1H), 8,01 (д, 1Н, J=6,0 Гц), 8,39 (с, 1H) |
ДМСО-d6, 400 МГц |
| 1- |
8 |
 |
>220 |
5,51 (с, 2H), 7,19 (ушир.с,2H), 7,86 (д, 2H, J=6,0 Гц), 7,96 (с, 1Н), 8,30 (д, 2H, J=6,0 Гц) |
ДМСО-d6, 400 МГц |
| 1- |
9 |
 |
176-178 |
1,23 (д, 6H, J=6,0 Гц), 2,93-3,00 (м, 1H), 5,42 (с, 2H), 7,01 (ушир.с, 2H), 7,36 (д, 2H, J=6,0 Гц), 7,92 (с, 1H), 7,99 (д, 2H, J=6,0 Гц) |
ДМСО-d6, 400 МГц |
| 1- |
10 |
 |
222-224 |
1,33 (д, 3H, J=6,0 Гц), 5,98 (кв, 1H, J=6,0 Гц), 7,14 (ушир.с, 2H), 7,69 (д, 2H, J=6,0 Гц), 7,95 (с, 1H), 8,09 (д, 2H, J=6,0 Гц) |
ДМСО-d6, 400 МГц |
| 1- |
11 |
 |
>250 |
5,49 (с, 2H), 7,08 (ушир.с, 2H), 7,39-7,43 (м, 1H), 7,49-7,52 (м, 2H), 7,76-7,81 (м, 4H), 7,93 (с, 1H), 8,18 (д, 2H, J=6,0 Гц) |
ДМСО-d6, 400 МГц |
| 1- |
12 |
 |
191-193 |
3,84 (с, 3H), 5,40 (с, 2H), 6,98 (ушир.с, 2H), 7,03 (д, 2H, J=6,0 Гц), 7,90 (с, 1H), 8,05 (д, 2H, J=6,0 Гц) |
ДМСО-d6, 400 МГц |
| 1- |
13 |
 |
>250 |
5,52 (с, 2H), 7,25 (ушир.с, 2H), 7,96 (с, 1H), 8,30 (д, 2H, J=6,0 Гц), 8,34 (д, 2H, J=6,0 Гц) |
ДМСО-d6, 400 МГц |
| 1- |
14 |
 |
>220 |
2,25 (с, 3H), 5,40 (с, 2H), 7,05 (ушир.с, 2H), 7,70 (д, 2H, J=9,0 Гц), 8,03 (д, 2H, J=9,0 Гц) |
ДМСО-d6, 300 МГц |
| 1- |
15 |
 |
75-77 |
5,05 (с, 2H), 5,58 (ушир.с, 2H), 6,06 (дд, 1H, J=1,1, 8,0 Гц), 6,32 (дд, 1H, J=1,1, 8,0 Гц), 6,85 (т, 1H, J=8,0 Гц), 7,69 (д, 2H, J=8,6 Гц), 8,04 (д, 2H, J=8,6 Гц) |
ДМСО-d6, 300 МГц |
| 1- |
16 |
 |
215 |
5,56 (с, 2H), 7,22 (ушир., 2H), 7,51-7,55 (м, 1H), 7,95-8,00 (м, 2H), 8,52-8,55 (м, 1H), 8,65-8,67 (м, 1H) |
ДМСО-d6, 300 МГц |
| 1- |
17 |
 |
>220 |
5,49 (с, 2H), 7,21 (ушир.с, 2H), 7,51-7,55 (м, 1H), 7,94 (с, 1H), 8,44-8,48 (м, 1H), 8,68-8,70 (м, 1H), 9,27 (с, 1H) |
ДМСО-d6, 300 МГц |
| 1- |
18 |
 |
>220 |
5,48 (с, 2H), 7,28 (ушир., 2H), 7,96 (с, 1H), 8,01 (д, 2H, J=6,0 Гц), 8,73 (д, 2H, J=6,0 Гц) |
ДМСО-d6, 300 МГц |
| 1- |
19 |
 |
191-193 |
1,21 (т, 3H, J=7,5 Гц), 2,68 (кв, 2H, J=7,0 Гц), 5,43 (с, 2H), 7,07 (ушир.с, 2H), 7,34 (д, 2H, J=9,0 Гц), 7,92 (с, 1H), 8,01 (д, 2H, J=9,0 Гц) |
ДМСО-d6, 300 МГц |
| 1- |
20 |
 |
189-192 |
0,90 (т, 3H, J=7,5 Гц), 1,56-1,68 (м, 2H), 2,60-2,65 (м, 2H), 5,43 (с, 2H), 7,07 (ушир.с, 2H), 7,32 (д, 2H, J=9,0 Гц), 7,92 (с, 1H), 8,01 (д, 2H, J=9,0 Гц) |
ДМСО-d6, 300 МГц |
| 1- |
21 |
 |
183-186 |
0,91 (т, 3H, J=7,5 Гц), 1,27-1,37 (м, 2H), 1,53-1,63 (м, 2H), 2,62-2,67 (м, 2H), 5,43 (с, 2H), 7,08 (ушир.с, 2H), 7,32 (д, 2H, J=9,0 Гц), 7,92 (с, 1H), 8,00 (д, 2H, J=9,0 Гц) |
ДМСО-d6, 400 МГц |
| 1- |
22 |
 |
142 |
1,14-1,45 (м, 5H), 1,61-1,85 (м, 5H), 2,23-2,30 (м, 1H), 4,89 (с, 2H), 6,74 (ушир.с, 2H), 7,87 (с, 1H) |
ДМСО-d6, 400 МГц |
| 1- |
23 |
 |
209-212 |
5,47 (с, 2H), 7,17 (ушир.с, 2H), 7,49 (д, 2H, J=6,0 Гц), 7,94 (с, 1Н), 8,22 (д, 2H, J=6,0 Гц) |
ДМСО-d6, 300 МГц |
| 1- |
24 |
 |
|
5,35 (с, 2H), 6,95 (ушир.с, 2H), 7,35 (д, 2H, J=6,0 Гц), 7,52 (д, 2H, J=3,0 Гц), 7,92 (с, 1H) |
ДМСО-d6, 300 МГц |
| 1- |
25 |
 |
219-221 |
1,23-1,51 (м, 5H), 1,69-1,85 (м, 5H), 2,55-2,63 (м, 1H), 5,43 (с, 2H), 7,06 (ушир.с, 2H), 7,92 (с, 1H), 8,00 (д, 2H, J=9,0 Гц) |
ДМСО-d6, 300 МГц |
| 1- |
26 |
 |
>220 |
5,25 (с, 2H), 6,24 (ушир.с, 2H), 6,55 (ушир.с, 2H), 7,63 (д, 2H, J=12,0 Гц), 7,92 (д, 2H, J=12,0 Гц) |
ДМСО-d6, 400 МГц |
| 1- |
27 |
 |
>220 |
5,45 (с, 2H), 7,29 (ушир.с, 2H), 7,77 (д, 1H, J=9,0 Гц), 7,94 (с, 1Н), 8,02 (д, 1H, J=9,0 Гц), 8,46 (с, 1H) |
ДМСО-d6, 300 МГц |
| 1- |
28 |
 |
218-220 |
5,22 (с, 2H), 7,17 (ушир.с, 2H), 7,57-7,60 (м, 1H), 7,75-7,79 (м, 2H), 7,99 (с, 1H) |
ДМСО-d6, 300 МГц |
| 1- |
29 |
 |
>220 |
5,35 (с, 2H), 7,18 (ушир.с, 2H), 7,65 (д, 2H, J=9,0 Гц), 7,92 (д, 2H, J=6,0 Гц), 10,67 (ушир.с, 1H) |
ДМСО-d6, 400 МГц |
| 1- |
30 |
 |
>220 |
3,04 (с, 6H), 5,27 (с, 2H), 6,73 (ушир.с, 2H), 7,63 (д, 2H, J=6,0 Гц), 7,94 (д, 2H, J=6,0 Гц) |
ДМСО-d6, 400 МГц |
| 1- |
31 |
 |
190-192 |
5,17 (с, 2H), 8,01 (с, 1Н) |
ДМСО-d6, 300 МГц |
| 1- |
32 |
 |
>200 |
4,07 (дд, 1H, J=7,6, 10,7 Гц), 4,33 (дд, 1H, J=1,6, 10,7 Гц), 4,48 (м, 1H), 5,19 (ушир.с, 1H), 6,27 (ушир.с, 2H), 7,40 (д, 2H, J=8,6 Гц), 7,58 (с, 1H), 7,60 (д, 2H, J=8,6 Гц), |
ДМСО-d6, 400 МГц |
| 1- |
33 |
 |
|
0,99 (д, 3H, J=6,0 Гц), 4,54 (ушир.с, 2H), 5,36 (ушир., 1H), 6,36 (ушир., 2H), 7,28 (д, 2H, J=6,0 Гц), 7,58 (д, 2H, J=9,0 Гц), 7,65 (с, 1H) |
ДМСО-d6, 300 МГц |
| 1- |
34 |
 |
232-233 |
2,16 (с, 3H), 4,03-4,08 (м, 1H), 4,29-4,32 (м, 1H), 4,42-4,45 (м, 1H), 4,99 (ушир.с, 1H), 6,19 (ушир.с, 2H), 7,40 (д, 2H, J=6,0 Гц), 7,59 (д, 2H, J=9,0 Гц) |
ДМСО-d6, 400 МГц |
| 1- |
35 |
 |
>220 |
4,56-4,73 (м, 2H), 5,46-5,49 (м, 1Н), 7,26 (д, 2H, J=9,0 Гц), 7,60 (д, 2H, J=9,0 Гц), 8,30 (с, 1H), 11,94 (ушир.с, 1H) |
ДМСО-d6, 300 МГц |
| 1- |
36 |
 |
198-200 |
4,09-4,15 (м, 1H), 4,34-4,38 (м, 1H), 4,54 (ушир.с, 1H), 5,23 (ушир.с, 1H), 6,35 (ушир.с, 2H), 7,45 (д, 1H, J=12,0 Гц), 7,63 (с, 1H), 7,69 (д, 1H, J=9,0 Гц), 7,74 (с, 1H) |
ДМСО-d6, 300 МГц |
| 1- |
37 |
 |
>220 |
4,02-4,09 (м, 1H), 4,34-4,38 (м, 1H), 4,80 (ушир.с, 1H), 5,28 (ушир.с, 1H), 6,35 (ушир.с, 2H), 7,51 (с, 2H), 7,64 (с, 1H), 7,70 (с, 1H) |
ДМСО-d6, 300 МГц |
| Таблица 2 |
| Новый пример № |
Мол.структура |
Т.пл. |
ЯМР ( ) |
Раство-ритель |
| 2 |
|
 |
>270 |
1,07-1,21 (м, 2H), 1,42-1,84 (м, 13H), 2,15 (д, 2H, J=6,0 Гц), 2,53-2,56 (м, 1H), 6,97 (ушир.с, 2H), 7,31 (д, 2H, J=9,0 Гц), 7,65 (д, 2H, J=9,0 Гц), 7,95 (с, 1H), 11,96 (ушир.с, 1H) |
ДМСО-d6, 300 МГц |
| 2- |
2 |
 |
224-226 |
1,02-1,17 (м, 2H), 1,4-1,53 (м, 2H), 1,61 (с, 6H), 1,66-1,87 (м, 5H), 1,98 (д, 2H, J=7,12 Гц), 2,53 (м, 1H), 6,67 (ушир., 1H), 6,89 (ушир., 2H), 7,21 (ушир., 1H), 7,3 (д, 2H,J=8,12 Гц), 7,63 (д, 2H, J=8,12 Гц), 7,94 (с, 1H) |
ДМСО-d6, 400 МГц |
| 2- |
3 |
 |
273-279 |
1,03-1,22 (м, 8H), 1,4-1,49 (м, 2H), 1,7-1,82 (м, 5H), 2,14 (д, 2H, J=6,93 Гц), 2,54 (м, 1H), 4,11 (ушир., 1H), 5,27 (ушир., 1H), 6,23 (ушир., 2H), 7,25 (д, 2H, J=8,07 Гц), 7,36 (д, 2H,J=8,04 Гц), 7,61 (с, 1H), 11,75 (ушир., 1H) |
ДМСО-d6, 300 МГц |
| 2- |
4 |
 |
>250 |
1,04-1,09 (м, 2H), 1,43 (м, 1H), 1,43-1,50 (м, 4H), 1,60 (с, 6H), 1,83 (ушир.д, 4H, J=11,4 Гц), 2,25 (т, 2H, д=7,7 Гц), 2,50 (м, 1H), 6,88 (ушир.с, 2H), 7,29 (д, 2H, J=8,3 Гц), 7,63 (д, 2H, J=8,3 Гц), 7,94 (с, 1H), 11,84 (ушир.с, 1H) |
ДМСО-d6, 400 МГц |
| 2- |
5 |
 |
244-246 |
1,04-1,08 (м, 2H), 1,29 (м, 1H), 1,40-1,49 (м, 4H), 1,60 (с, 6H), 1,83 (ушир.д, 4H, J=10,2 Гц), 2,09 (т, 2H, д=7,4 Гц), 2,50 (м, 1H), 6,60 (ушир.с, 1H), 6,88 (ушир.с, 2H), 7,20 (ушир.с, 1H), 7,29 (д, 2H, J=8,3 Гц), 7,63 (д, 2H, J=8,3 Гц), 7,94 (с, 1H) |
ДМСО-d6, 400 МГц |
| 2- |
6 |
 |
>250 |
1,04-1,09 (м, 2H), 1,08 (с, 3H), 1,22 (с, 3H), 1,32 (м, 1H), 1,43-1,48 (м, 4H), 1,83 (ушир.д, 4H, J=10,7 Гц), 2,24 (т, 2H, J=7,7 Гц), 2,50 (м, 1H), 4,11 (с, 1H), 5,26 (с, 1H), 6,22 (ушир.с, 2H), 7,23 (д, 2H, J=8,1 Гц), 7,35 (д, 2H, J=8,1 Гц), 7,62 (с, 1H), 11,73 (ушир.с, 1H) |
ДМСО-d6, 400 МГц |
| 2- |
7 |
 |
>250 |
1,42-1,55 (м, 4H), 1,60 (с, 6H), 1,81-1,91 (м, 2H), 1,95-2,06 (м, 2H), 2,23-2,33 (м, 1H), 2,52-2,60 (м, 1H), 6,90 (ушир., 2H), 7,30 (д, 2H, J=8,1 Гц), 7,64 (д, 2H, J=8,1 Гц), 7,95 (с, 1H) |
ДМСО-d6, 400 МГц |
| 2- |
8 |
 |
>220 |
1,07 (с, 3H), 1,23 (с,3H), 4,17 (ушир.с, 1H), 5,31 (ушир.с, 1H), 6,26 (ушир.с, 2H), 7,35-7,47 (м, 5H), 7,63 (с, 1H) |
ДМСО-d6, 300 МГц |
| 2- |
9 |
 |
189-190 |
1,60 (с, 6H), 6,93 (ушир.с, 2H), 7,44-7,50 (м, 3H), 7,69-7,71 (м, 2H), 7,96 (с, 1H) |
ДМСО-d6, 400 МГц |
| 2- |
10 |
 |
201-203 |
1,60 (с, 6H), 7,03 (ушир.с, 2H), 7,65 (д, 2H, J=9,0 Гц), 7,70 (д, 2H, J=9,0 Гц), 7,96 (с, 1H) |
ДМСО-d6, 300 МГц |
| 2- |
11 |
 |
>220 |
1,22 (с, 3H), 1,47 (с, 3H), 5,38 (с, 2H), 6,99 (д, 2H, J=6,0 Гц), 7,55 (д, 2H, J=6,0 Гц), 8,35 (с, 1H), 11,94 (ушир.с, 1H) |
ДМСО-d6, 400 МГц |
| 2- |
12 |
 |
>220 |
1,05 (с, 3H), 1,23 (с, 3H), 4,20 (ушир.с, 1H), 5,33 (ушир.с, 1H), 6,26 (ушир.с, 2H), 7,40 (д, 2H, J=9,0 Гц), 7,60 (д, 2H, J=6,0 Гц), 7,63 (с, 1H) |
ДМСО-d6, 300 МГц |
| 2- |
13 |
 |
184-186 |
1,79-1,86 (м, 2H), 2,01-2,08 (м, 1Н), 2,13-2,19 (м, 1H), 7,05 (ушир.с, 2H), 7,61 (д, 2H, J=6,0 Гц), 7,66 (д, 2H, J=6,0 Гц), 7,95 (с, 1H) |
ДМСО-d6, 400 МГц |
| 2- |
14 |
 |
226-233 |
1,29-1,76 (м, 4H), 4,37 (ушир.с, 1H), 5,51 (ушир.с, 1H), 6,23 (ушир.с, 2H), 7,27 (д, 2H, J=6,0 Гц), 7,55 (д, 2H, J=6,0 Гц), 7,63 (с, 1H) |
ДМСО-d6, 300 МГц |
| 2- |
15 |
 |
210-211 |
1,60 (с, 6H), 7,05 (ушир.с, 2H), 7,52 (д, 2H, J=9,0 Гц), 7,77 (д, 2H, J=9,0 Гц), 7,96 (с, 1H) |
ДМСО-d6, 300 МГц |
| 2- |
16 |
 |
161-162 |
1,60 (с, 6H), 2,36 (с, 3H), 6,97 (ушир.с, 2H), 7,27 (д, 2H, J=9,0 Гц), 7,63 (д, 2H, J=9,0 Гц), 7,95 (с, 1H) |
ДМСО-d6, 300 МГц |
| 2- |
17 |
 |
189-190 |
1,60 (с, 6H), 7,01 (ушир.с, 2H), 7,29 (дд, 2H, J=9,0, 9,0 Гц), 7,81 (дд, 2H, J=9,0, 9,0 Гц), 7,96 (с, 1H) |
ДМСО-d6, 300 МГц |
| 2- |
18 |
 |
186-187 |
1,21-1,47 (м, 5H), 1,60 (с, 6H), 1,70-1,82 (м, 5H), 2,54-2,58 (м, 1H), 6,89 (ушир.с,2H), 7,29 (д, 2H, J=6,0 Гц), 7,64 (д, 2H, J=9,0 Гц), 7,94 (с, 1H) |
ДМСО-d6, 400 МГц |
| 2- |
19 |
 |
>230 |
1,05 (с, 3H), 1,23 (с, 3H), 4,21 (ушир.с, 1H), 5,33 (ушир.с, 1H), 6,28 (ушир.с, 2H), 7,46 (с, 4H), 7,63 (с, 1H) |
ДМСО-d6, 300 МГц |
| 2- |
20 |
 |
>230 |
1,06 (с, 3H), 1,21 (с,3H), 2,31 (с, 3H), 4,12 (ушир.с, 1H), 5,26 (ушир.с, 1H), 6,27 (ушир.с, 2H), 7,20 (д, 2H, J=6,0 Гц), 7,34 (д, 2H, J=9,0 Гц), 7,62 (с, 1H) |
ДМСО-d6, 300 МГц |
| 2- |
21 |
 |
>230 |
1,06 (с, 3H), 1,23 (с, 3H), 4,20 (ушир.с, 1H), 5,28 (ушир.с, 1H), 6,22 (ушир.с, 2H), 7,22 (дд, 2H, J=6,0, 6,0 Гц), 7,48 (дд, 2H, J=6,0, 6,0 Гц), 7,63 (с, 1H) |
ДМСО-d6, 400 МГц |
| 2- |
22 |
 |
>230 |
1,08 (с, 3H), 1,22 (с, 3H), 1,26-1,46 (м, 5H), 1,69-1,83 (м, 5H), 2,47-2,54 (м, 1H), 4,11 (ушир.с, 1H), 5,28 (ушир.с, 1H), 6,25 (ушир.с, 2H), 7,25 (д, 2H, J=9,0 Гц), 7,37 (д, 2H, J=9,0 Гц), 7,61 (с, 1H) |
ДМСО-d6, 300 МГц |
| 2- |
23 |
 |
183-184 |
1,61 (с,6H), 3,82 (с, 3H), 6,87 (ушир.с, 2H), 6,99 (д, 2H, J=6,0 Гц), 7,71 (д, 2H, J=6,0 Гц), 7,94 (с, 1H) |
ДМСО-d6, 400 МГц |
| 2- |
24 |
 |
225-226 |
1,06 (с, 3Н), 1,21 (с, 3Н), 3,76 (с, 3H), 4,11 (ушир.с, 1H), 5,23 (ушир.с, 1H) 6,26 (ушир.с, 2H), 6,96 (д, 2H, J=9,0 Гц), 7,38 (д, 2H, J=9,0 Гц), 7,62 (с, 1H) |
ДМСО-d6, 300 МГц |
| 2- |
25 |
 |
245-246 |
1,60 (с, 6H), 6,82 (д,2H, J=9,0 Гц), 6,91 (ушир.с, 2H), 7,62 (д, 2H, J=6,0 Гц), 7,93 (с, 1H), 9,94 (с, 1H) |
ДМСО-d6, 300 МГц |
| 2- |
26 |
 |
226-227 |
1,19-1,46 (м, 5H), 1,58 (с, 6H), 1,69-1,82 (м, 5H), 2,25 (с, 3H), 2,52-2,58 (м, 1H), 6,86 (ушир.с, 2H), 7,29 (д, 2H, J=9,0 Гц), 7,63 (д, 2H, J=9,0 Гц) |
ДМСО-d6, 300 МГц |
| 2- |
27 |
 |
218-219 |
1,66 (с, 6H), 7,02 (ушир.с, 2H), 7,39-7,53 (м, 3H), 7,73-7,77 (м, 4H), 7,83-7,86 (м, 2H), 7,97 (с, 1H) |
ДМСО-d6, 300 МГц |
| 2- |
28 |
 |
>250 |
1,65 (с, 6H), 6,97 (ушир.с, 2H), 7,77 (д, 2H, J=3,0 Гц), 7,88 (с, 4H), 7,97 (с, 1H), 8,68 (д, 2H, J=3,0 Гц) |
ДМСО-d6, 300 МГц |
| 2- |
29 |
 |
231-232 |
1,66 (с, 6H), 7,02 (ушир.с, 2H), 7,51-7,55 (м, 1H), 7,83 (д, 2H, J=9,0 Гц), 7,88 (д, 2H, J=9,0 Гц), 7,98 (с, 1H), 8,14-8,18 (м, 1H), 8,61-8,63 (м, 1H), 8,97-8,98 (м, 1H) |
ДМСО-d6, 300 МГц |
| 2- |
30 |
 |
210-211 |
1,65 (с, 6H), 2,96 (с, 6H), 6,83 (д, 2H, J=9,0 Гц), 6,99 (ушир.с, 2H), 7,60 (д, 2H, J=6,0 Гц), 7,67 (д, 2H, J=6,0 Гц), 7,78 (д, 2H, J=9,0 Гц), 7,96 (с, 1H) |
ДМСО-d6, 300 МГц |
| 2- |
31 |
 |
>240 |
1,61 (с, 6Н), 1,89-2,13 (м, 4H), 2,26-2,34 (м, 2H), 2,55-2,62 (м, 2H), 3,09-3,17 (м, 1H), 6,97 (ушир.с, 2H), 7,39 (д, 2H, J=9,0 Гц), 7,68 (д, 2H, J=9,0 Гц), 7,95 (с, 1H) |
ДМСО-d6, 300 МГц |
| 2- |
32 |
 |
174-175 |
1,26-1,58 (м, 7H), 1,61 (с, 6H), 1,70-1,76 (м, 2H), 1,92-1,96 (м, 2H), 6,86 (ушир.с, 2H), 6,97 (д, 2H, J=8,0 Гц), 7,68 (д, 2H, J=8,0 Гц), 7,93 (с, 1H) |
ДМСО-d6, 400 МГц |
| 2- |
33 |
 |
185-186 |
0,91 (т, 3H, J=8,0 Гц), 1,57-1,66 (м, 2H), 1,60 (с, 6H), 2,61 (т, 2H, J=8,0 Гц), 6,89 (ушир., 2H), 7,27 (д, 2H, J=8,0 Гц), 7,63 (д, 2H, J=8,0 Гц), 7,95 (с, 1H) |
ДМСО-d6, 400 МГц |
| 2- |
34 |
 |
220-220 |
1,33 (с, 9H), 1,67 (с, 6H), 7,49 (д, 2H, J=8,0 Гц), 7,58 (ушир., 2H), 7,70 (д, 2H, J=8,0 Гц), 8,15 (с, 1H) |
ДМСО-d6, 400 МГц |
| 2- |
35 |
 |
135-136 |
1,21 (т, 3H, J=7,0 Гц), 1,60 (с, 6H), 2,66 (кв, 2H, J=7,0 Гц), 6,90 (ушир., 2H), 7,29 (д, 2H, J=8,0 Гц), 7,64 (д, 2H, J=8,0 Гц), 7,95 (с, 1H) |
ДМСО-d6, 400 МГц |
| 2- |
36 |
 |
175-179 |
1,23 (д, 6H, J=8,0 Гц), 1,61 (с, 6H), 2,91-2,98 (м, 1H), 6,89 (ушир., 2H), 7,32 (д, 2H, J=8,0 Гц), 7,64 (д, 2H, J=8,0 Гц), 7,95 (с, 1Н) |
ДМСО-d6, 400 МГц |
| 2- |
37 |
 |
157-160 |
0,91 (т, 3H, J=8,0 Гц), 1,27-1,36 (м, 2H), 1,54-1,61 (м, 2H), 1,60 (с, 6H), 2,63 (т, 2H, J=8,0 Гц), 6,90 (ушир., 2H), 7,27 (д, 2H, J=8,0 Гц), 7,63 (д, 2H, J=8,0 Гц), 7,95 (с, 1H) |
ДМСО-d6, 400 МГц |
| 2- |
38 |
 |
189-190 |
1,35 (т, 3H, J=6,0 Гц), 1,61 (с, 6H), 4,10 (кв, 2H, J=6,7 Гц), 6,87 (ушир.с, 2H), 6,97 (д, 2H, J=8,0 Гц), 7,70 (д, 2H, J=12,0 Гц), 7,93 (с, 1H) |
ДМСО-d6, 400 МГц |
| 2- |
39 |
 |
207-208 |
1,21 (т, 3H,J=7,5 Гц), 1,49-1,69 (м, 8H), 1,93-2,08 (м, 3H), 2,33-2,45 (м, 2H), 2,84-2,94 (м, 1H), 3,85-3,90 (м, 1H), 4,09 (кв, 2H, J=7,0 Гц), 5,72 (с, 1H), 6,97 (ушир.с, 2H), 7,33 (д, 2H, J=9,0 Гц), 7,65 (д, 2H, J=6,0 Гц), 7,95 (с, 1H) |
ДМСО-d6, 300 МГц |
| 2- |
40 |
 |
>250 |
1,46-1,63 (м, 8H), 1,97-2,04 (м, 3H), 2,32-2,38 (м, 2H), 2,84-2,94 (м, 1H), 3,85-3,90 (м, 1H), 5,64 (с, 1H), 6,90 (ушир.с, 2H), 7,32 (д, 2H, J=8,0 Гц), 7,64 (д, 2H, J=8,0 Гц), 7,94 (с, 1H), 11,80 (ушир.с, 1H) |
ДМСО-d6, 400 МГц |
| 2- |
41 |
 |
201-209 |
0,93 (д, 3H, J=6,5 Гц), 1,03-1,13 (м, 2H), 1,39-1,57 (м, 3H), 1,62 (с, 6H), 1,76-1,87 (м, 4H), 2,49-2,58 (м, 1H), 6,91 (ушир., 2H), 7,31 (д, 2H, J=8,4 Гц), 7,76 (д, 2H, J=8,4 Гц), 7,98 (с, 1H) |
ДМСО-d6, 400 МГц |
| 2- |
42 |
 |
226-227 |
1,60 (с, 6H), 1,64-1,74 (м, 2H), 1,89-2,16 (м, 6H), 2,75-2,81 (м, 1H), 6,90 (ушир.с, 2H), 7,33 (д, 2H, J=8,0 Гц), 7,66 (д, 2H, J=8,0 Гц), 7,95 (с, 1H) |
ДМСО-d6, 400 МГц |
| 2- |
43 |
 |
246-248 |
1,23-1,35 (м, 2H), 1,43-1,56 (м, 2H), 1,60 (с, 6H), 1,75-1,81 (м, 2H), 1,90-1,96 (м,2H), 2,46-2,54 (м, 1H), 4,60 (д, 1H, J=6,0 Гц), 6,97 (ушир.с, 2H), 7,30 (д, 2H, J=9,0 Гц), 7,64 (д, 2H, J=9,0 Гц), 7,95 (с, 1H) |
ДМСО-d6, 300 МГц |
| 2- |
44 |
 |
|
1,40-1,60 (м, 2H), 1,60 (с, 6H), 1,90-2,00 (м, 3H), 2,25-2,40 (м, 2H), 2,85 (с, 3H), 3,00 (с, 3H), 3,13 (м, 1H), 5,89 (с, 1H), 6,90 (ушир.с, 2H), 7,31 (д, 2H, J=8,3 Гц), 7,64 (д, 2H, J=8,3 Гц), 7,94 (с, 1H) |
ДМСО-d6, 400 МГц |
| 2- |
45 |
 |
142-144 |
1,40-1,60 (м, 2H), 1,60 (с, 6H), 1,90-2,00 (м, 3H), 2,25-2,40 (м, 2H), 2,80 (м, 1H), 4,13 (м, 1H), 4,30 (д, 2H, J=6,0 Гц), 5,89 (с, 1Н), 6,90 (ушир.с, 2H), 7,20-7,33 (м, 6H), 7,64 (д, 2H, J=8,3 Гц), 7,94 (с, 1H), 8,30 (ушир.т, 1H, J=6,0 Гц) |
ДМСО-d6, 400 МГц |
| 2- |
46 |
 |
|
1,45-1,57 (м,2H), 1,60 (с, 6H), 1,84-2,00 (м, 3H), 2,23-2,36 (м, 2H), 2,75-2,89 (м, 1H), 5,67 (с, 1H), 6,77 (ушир.с, 1H), 6,97 (ушир.с, 2H), 7,26 (ушир.с, 1H), 7,32 (д, 2H, J=9,0 Гц), 7,66 (д, 2H, J=9,0 Гц), 7,95 (с, 1H) |
ДМСО-d6, 300 МГц |
| 2- |
47 |
 |
229-230 |
1,03 (т, 3H, J=7,5 Гц), 1,45-1,58 (м, 3H), 1,60 (с, 6H), 1,81-2,32 (м, 5H), 2,73-2,89 (м, 1H), 3,05-3,14 (м, 2H), 5,65 (с, 1H), 6,97 (ушир.с, 2H), 7,32 (д, 2H, J=9,0 Гц), 7,65 (д, 2H, J=6,0 Гц), 7,80-7,84 (м, 1H), 7,95 (с, 1H) |
ДМСО-d6, 300 МГц |
| 2- |
48 |
 |
|
1,45-1,58 (м, 3H), 1,60 (с, 6H), 1,84-2,02 (м, 3H), 2,22-2,36 (м, 2H), 2,80-2,89 (м, 1H), 3,12-3,19 (м, 2H), 3,38-3,43 (м, 2H), 4,07-4,14 (м, 0,5H), 4,65-4,70 (м, 0,5H), 5,68 (с, 1H), 6,97 (ушир.с, 2H), 7,32 (д, 2H, J=9,0 Гц), 7,65 (д, 2H, J=9,0 Гц), 7,84 (т, 1H, J=6,0 Гц), 7,95 (с, 1H) |
ДМСО-d6, 300 МГц |
| 2- |
49 |
 |
|
0,88-1,09 (м, 2H), 1,27-1,59 (м, 3H), 1,68 (с, 6H), 1,78-1,88 (м, 4H), 2,33-2,47 (м, 1H), 2,63-2,73 (м, 2H), 2,77-2,88 (м, 2H), 3,08 (т, 2H, J=7,0 Гц), 4,68 (с, 2H), 6,99 (т, 1H, J=5,8 Гц), 7,11 (д, 2H, J=8,3 Гц), 7,26 (с, 2H), 7,43 (д, 2H, J=8,3 Гц) |
ДМСО-d6, 300 МГц |
| 2- |
50 |
 |
|
1,41-1,60 (м, 2H), 1,60 (с, 6H), 1,91-2,03 (м, 3H), 2,16-2,42 (м, 9H), 2,79-2,86 (м, 1H), 2,96-3,05 (м, 1H), 3,42-3,49 (м, 1H), 3,49 (ушир., 3H), 5,87 (с, 1H), 6,89 (ушир., 2H), 7,31 (д, 2H, J=8,6 Гц), 7,64 (д, 2H, J=8,6 Гц), 7,94 (с, 1Н) |
ДМСО-d6, 400 МГц |
| 2- |
51 |
 |
|
1,43-1,59 (м, 2H), 1,60 (с, 6H), 1,87-2,01 (м, 3H), 2,18 (с, 6H), 2,28-2,34 (м, 4H), 2,79-2,88 (м, 1H), 3,18 (кв, 2H, J=6,4 Гц), 4,05-4,10 (м, 1H), 5,67 (с, 1H), 6,89 (ушир., 2H), 7,31 (д, 2H, J=8,1 Гц), 7,64 (д, 2H, J=8,1 Гц), 7,69 (т, 1H, J=6,4 Гц), 7,94 (с, 1H) |
ДМСО-d6, 400 МГц |
| 2- |
52 |
 |
212-215 |
1,41 (с, 9H), 1,47-1,63 (м, 2H), 1,60 (с, 6H), 1,88-2,03 (м, 3H), 2,28-2,34 (м, 2H), 2,82-2,89 (м, 1H), 3,74 (д, 2H, J=6,1 Гц), 3,98-4,06 (м, 1H), 5,72 (с, 1H), 6,90 (ушир., 2H), 7,31 (д, 2H, J=8,1 Гц), 7,64 (д, 2H, J=8,1 Гц), 7,94 (с, 1H), 8,11 (т, 1H, J=6,1 Гц) |
ДМСО-d6, 400 МГц |
| 2- |
53 |
 |
>270 |
1,65 (с, 6H), 3,64 (с, 2H), 7,04 (ушир.с, 2H), 7,39 (д, 2H, J=9,0 Гц), 7,69 (д, 2H, J=9,0 Гц), 7,75 (д, 2H, J=9,0 Гц), 7,84 (д, 2H, J=9,0 Гц), 12,32 (ушир.с, 1H) |
ДМСО-d6, 300 МГц |
| 2- |
54 |
 |
267 (разл.) |
1,12 (с, 3H), 1,28 (с, 3H), 3,62 (с, 2H), 4,22 (ушир.с, 1H), 5,35 (ушир.с, 1H), 6,27 (ушир.с, 2H), 7,36 (д, 2H, J=9,0 Гц), 7,54 (д, 2H, J=9,0 Гц), 7,65 (д, 2H, J=9,0 Гц), 7,64 (с, 1Н), 7,70 (д, 2H, J=9,0 Гц) |
ДМСО-d6, 300 МГц |
| 2- |
55 |
 |
>250 |
1,49 (с, 6H), 1,60 (с, 6H), 6,98 (ушир.с, 2H), 7,40 (д, 2H, J=8,4 Гц), 7,68 (д, 2H, J=8,4 Гц), 7,95 (с, 1H), 12,4 (ушир.с, 1H) |
ДМСО-d6, 300 МГц |
| 2- |
56 |
 |
|
|
|
| 2- |
57 |
 |
|
|
|
| 2- |
58 |
 |
251-252 |
1,01-1,13 (м, 2H), 1,39-1,53 (м, 3H), 1,60 (с, 6H), 1,82-1,91 (м, 4H), 2,53-2,57 (м, 1H), 2,83 (т, 2H, J=6,0 Гц), 2,89 (с, 3H), 6,94 (ушир.с, 2H), 7,01 (т, 1H, J=6,0 Гц), 7,32 (д, 2H, J=9,0 Гц), 7,65 (д, 2H, J=9,0 Гц), 7,95 (с, 1H) |
ДМСО-d6, 400 МГц |
| 2- |
59 |
 |
>250 |
1,04-1,12 (м, 2H), 1,43-1,60 (м, 3H), 1,60 (с, 6H), 1,77-1,83 (м, 4H), 2,38 (д, 2H, J=6,9 Гц), 2,49 (м, 1H), 5,24 (с, 1H), 6,88 (ушир.с, 2H), 7,29 (д, 2H, J=8,3 Гц), 7,62 (д, 2H, J=8,3 Гц), 7,94 (с, 1H), 9,20 (ушир.с, 1H), 11,20 (ушир.с, 1H) |
ДМСО-d6, 400 МГц |
| 2- |
60 |
 |
173-175 |
Смесь кето- и энол-форм; 1,04-1,12 (м, 2H), 1,43-1,60 (м, 2H), 1,60 (с, 6H), 1,70 (м, 1H), 1,81-1,85 (м, 4H), 2,33 (д, 1H, J=6,9 Гц) и 2,37 (д, 1H, J=6,9 Гц), 2,50 (м, 1H), 3,85 (с, 1H) и 5,00 (с, 0,5H), 6,88 (ушир.с, 2H), 7,29 (д, 2H, J=8,3 Гц), 7,64 (д, 2H, J=8,3 Гц), 7,95 (с, 1H), 12,40 (ушир.с, 0,5H) |
ДМСО-d6, 400 МГц |
| 2- |
61 |
 |
159-162 |
0,97-1,13 (м, 2H), 1,35-1,52 (м, 3H), 1,60 (с, 6H), 1,76-1,87 (м, 4H), 2,46-2,59 (м, 1H), 2,91 (т, 2H, J=6,0 Гц), 5,02 (с, 2H), 6,94 (ушир., 2H), 7,23-7,40 (м, 8H), 7,64 (д, 2H, J=7,7 Гц), 7,95 (с, 1H) |
ДМСО-d6, 300 МГц |
| 2- |
62 |
 |
>230 |
1,25-1,40 (м, 2H), 1,45-1,55 (м, 2H), 1,60 (с, 6H), 1,83 (ушир.д, 2H, J=12,6 Гц), 2,11 (ушир.д, 2H, J=9,6 Гц), 2,55 (м, 1H), 3,35 (м, 1H), 4,05 (с, 2H), 6,88 (ушир.с, 2H), 7,29 (д, 2H, J=8,3 Гц), 7,63 (д, 2H,J=8,3 Гц), 7,94 (с, 1H), 12,30 (ушир.с, 1H) |
ДМСО-d6, 400 МГц |
| 2- |
63 |
 |
|
0,99-1,08 (м, 2H), 1,24-1,34 (м, 1H), 1,39-1,51 (м, 2H), 1,60 (с, 6H), 1,76-1,92 (м, 4H), 2,44 (д, 2H, J=6,6 Гц), 2,47-2,56 (м, 1H), 6,89 (ушир., 2H), 7,30 (д, 2H, J=8,2 Гц), 7,63 (д, 2H, J=8,2 Гц), 7,95 (с, 1H) |
ДМСО-d6, 400 МГц |
| 2- |
64 |
 |
>230 |
1,04-1,20 (м, 2H), 1,43-1,50 (м, 3H), 1,60 (с, 6H), 1,75-1,88 (м, 5H), 2,02 (м, 1H), 2,51 (м, 1H), 4,60 (м, 1H), 6,88 (ушир.с, 2H), 7,30 (д, 2H, J=8,3 Гц), 7,63 (д, 2H, J=8,3 Гц), 7,94 (с, 1H), 12,02 (ушир.с, 1H) |
ДМСО-d6, 400 МГц |
| 2- |
65 |
 |
243-244 |
1,05-1,14 (м, 2H), 1,33 (с, 6H), 1,38-1,51 (м, 2H), 1,60 (с, 6H), 1,76-1,85 (м, 5H), 2,00 (д, 2H, J=6,0 Гц), 2,54-2,55 (м, 1H), 6,94 (ушир.с, 2H), 7,31 (д, 2H, J=9,0 Гц), 7,64 (д, 2H, J=9,0 Гц), 7,95 (с, 1H), 7,98 (с, 1H) |
ДМСО-d6, 300 МГц |
| 2- |
66 |
 |
176-177 |
1,59 (с, 6H), 1,72-1,77 (м, 4H), 2,72-2,82 (м, 4H), 6,92 (ушир., 2H), 7,11 (д, 1H, J=7,7 Гц), 7,40 (д, 1H, J=7,7 Гц), 7,39 (с, 1H), 7,95 (с, 1H) |
ДМСО-d6, 300 МГц |
| 2- |
67 |
 |
>250 |
0,80-0,96 (м, 2H), 1,11 (с, 3Н), 1,41-1,65 (м, 4H), 1,62 (с, 6H), 1,65-1,79 (м, 1H), 1,96 (д, 2H, J=7,0 Гц), 2,31-2,41 (м, 2H), 6,95 (ушир., 2H), 7,44 (д, 2H, J=8,4 Гц), 7,70 (д, 2H, J=8,4 Гц), 7,95 (с, 1H), 11,86 (ушир.с, 1H) |
ДМСО-d6, 300 МГц |
| 2- |
68 |
 |
>250 |
1,53-1,90 (м, 5H), 1,59 (с, 6H), 2,40-2,52 (м, 2H), 2,66-2,82 (м, 3H), 6,93 (ушир., 2H), 7,13 (д, 1H, J=7,7 Гц), 7,44 (д, 1H, J=7,7 Гц), 7,50 (с, 1H), 7,95 (с, 1H), 12,15 (ушир.с, 1H) |
ДМСО-d6, 300 МГц |
| 2- |
69 |
 |
>250 |
1,06 (д, 3H, J=7,1 Гц), 1,11-1,28 (м, 2H), 1,43-1,52 (м, 2H), 1,55-1,65 (м, 1H), 1,61 (с, 6H), 1,71-1,91 (м, 4H), 2,15-2,23 (м, 1H), 2,49-2,56 (м, 1H), 6,92 (ушир., 2H), 7,31 (д,2H, J=8,1 Гц), 7,64 (д, 2H, J=8,1 Гц), 7,95 (с, 1H), 11,97 (ушир.с, 1H) |
ДМСО-d6, 400 МГц |
| 2- |
70 |
 |
212-214 |
1,04-1,20 (м, 2H), 1,43-1,50 (м, 2H), 1,60 (с, 6H), 1,61 (м, 1H), 1,75-1,88 (м, 4H), 2,51 (м, 1H), 3,11 (д, 2H, J=7,2 Гц), 3,95 (с, 2H), 6,88 (ушир.с, 2H), 7,29 (д, 2H, J=8,3 Гц), 7,64 (д, 2H, J=8,3 Гц), 7,94 (с, 1H), 10,68 (ушир.с, 1H) |
ДМСО-d6, 400 МГц |
| 2- |
71 |
 |
>250 |
1,59 (с, 6H), 3,10-3,21 (м, 4H), 3,26-3,34 (м, 1H), 6,94 (ушир., 2H), 7,28 (д, 1H, J=7,7 Гц), 7,48 (д, 1H, J=7,7 Гц), 7,55 (с, 1H), 12,29 (ушир.с, 1H) |
ДМСО-d6, 300 МГц |
| 2- |
72 |
 |
>250 |
1,59 (с, 6H), 2,42 (д, 2H, J=7,3 Гц), 2,57-2,80 (м, 3H), 3,04-3,15 (м, 2H), 6,92 (ушир., 2H), 7,26 (д, 1H, J=8,1 Гц), 7,46 (д, 1H, J=8,1 Гц), 7,53 (с, 1H), 7,95 (с, 1H), 12,06 (ушир.с, 1H) |
ДМСО-d6, 300 МГц |
| 2- |
73 |
 |
>250 |
1,03-1,13 (м, 2H), 1,08 (с, 3H), 1,22 (с, 3H), 1,32 (с, 6H), 1,36-1,48 (м, 2H), 1,67-1,86 (м, 5H), 1,99 (д, 2H, J=6,6 Гц), 2,42-2,50 (м, 1H), 4,11 (с, 1H), 5,25 (с, 1H), 6,20 (ушир.2H), 7,24 (д, 2H, J=8,1 Гц), 7,35 (д, 2H, J=8,1 Гц), 7,61 (с, 1H), 7,94 (с, 1H), 11,93 (ушир.с, 1H) |
ДМСО-d6, 400 МГц |
| 2- |
74 |
 |
>250 |
1,11-1,27 (м, 2H), 1,36-1,54 (м, 2H), 1,60 (с, 6H), 1,68-1,87 (м, 5H), 2,50-2,61 (м, 1H), 2,83 (д, 2H, J=7,0 Гц), 6,93 (ушир., 2H), 7,30 (д, 2H, J=8,4 Гц), 7,64 (д, 2H, J=8,4 Гц), 7,95 (с, 1H) |
ДМСО-d6, 300 МГц |
| 2- |
75 |
 |
244-245 |
1,03 (с, 3H), 1,26 (с, 3H), 1,33-1,43 (м, 4H), 1,46 (с, 3H), 1,68-1,80 (м, 6H), 2,52-2,55 (м, 1H), 5,16 (с, 1H), 6,23 (ушир.с, 2H), 7,23 (д, 2H, J=9,0 Гц), 7,53 (д, 2H, J=9,0 Гц), 7,61 (с, 1H) |
ДМСО-d6, 300 МГц |
| 2- |
76 |
 |
>250 |
1,11-1,27 (м, 2H), 1,36-1,51 (м, 2H), 1,68-1,87 (м, 5H), 2,41-2,52 (м, 1H), 2,83 (д, 2H, J=6,6 Гц), 4,11 (с, 1H), 5,25 (с, 1H), 6,20 (ушир., 2H), 7,23 (д, 2H, J=8,1 Гц), 7,35 (д, 2H, J=8,1 Гц), 7,61 (с, 1H), 15,98 (ушир.с, 1H) |
ДМСО-d6, 400 МГц |
| 2- |
77 |
 |
137-139 |
1,04-1,34 (м, 4H), 1,43-1,50 (м, 2H), 1,60 (с, 6H), 1,63-1,88 (м, 7H), 2,23 (д, 2H, J=7,2 Гц), 2,51 (м, 1H), 3,00 (м, 1H), 3,15 (м, 1H), 3,68-3,75 (м, 2H), 3,94 (м, 1H), 4,65 (ушир.с, 1H), 6,88 (ушир.с, 2H), 7,30 (д, 2H, J=8,3 Гц), 7,63 (д, 2H, J=8,3 Гц), 7,94 (с, 1H) |
ДМСО-d6, 400 МГц |
| 2- |
78 |
 |
185-187 |
1,04-1,20 (м, 2H), 1,12 (с,6H), 1,31 (д, 2H, J=5,4 Гц), 1,43-1,50 (м, 3H), 1,60 (с, 6H), 1,75-1,95 (м, 4H), 2,51 (м, 1H), 4,01 (с, 1H), 6,88 (ушир.с, 2H), 7,29 (д, 2H, J=8,3 Гц), 7,63 (д, 2H, J=8,3 Гц), 7,94 (с, 1H) |
ДМСО-d6, 400 МГц |
| 2- |
79 |
 |
207-208 |
1,00-1,14 (м, 2H), 1,34-1,51 (м, 5H), 1,80-1,91 (м, 4H), 2,53-2,57 (м, 1H), 3,43-3,49 (м, 2H), 4,27 (ушир.с, 1H), 6,92 (ушир.с,2H), 7,30 (д, 2H, J=9,0 Гц), 7,64 (д, 2H, J=9,0 Гц), 7,95 (с, 1H) |
ДМСО-d6, 300 МГц |
| 2- |
80 |
 |
271-272 |
0,98-1,24 (м, 2H), 1,33-1,64 (м, 10H), 1,76-1,98 (м, 5H), 2,52-2,58 (м, 1H), 3,98-4,03 (м, 1H), 6,04 (ушир.с, 1H), 6,91 (ушир.с, 2H), 7,31 (д, 2H, J=8,0 Гц), 7,64 (д, 2H, J=8,0 Гц), 7,95 (с, 1H) |
ДМСО-d6, 400 МГц |
| 2- |
81 |
 |
|
1,00-1,11 (м, 5H), 1,22 (с, 3H), 1,33-1,49 (м, 5H), 1,75-1,85 (м, 4H), 2,41-2,49 (м, 1H), 3,43-3,49 (м, 2H), 4,11 (ушир.с, 1H), 4,28-4,33 (м, 1H), 5,26 (ушир.с, 1H), 6,22 (ушир.с, 2H), 7,24 (д, 2H, J=9,0 Гц), 7,36 (д, 2H, J=9,0 Гц), 7,62 (с, 1H) |
ДМСО-d6, 300 МГц |
| 2- |
82 |
 |
209-210 |
1,06-1,17 (м, 2H), 1,32-1,52 (м, 6H), 1,58-1,90 (м, 11H), 1,61 (с, 6H), 2,54-2,63 (м, 1H), 2,77-2,89 (м, 2H), 2,99-3,10 (м, 2H), 7,03 (ушир.с, 2H), 7,31 (д, 2H, J=9,0 Гц), 7,65 (д, 2H, J=9,0 Гц), 7,98 (с, 1H) |
ДМСО-d6, 300 МГц |
| 2- |
83 |
 |
142-143 |
1,04-1,16 (м, 2H), 1,37-1,54 (м, 6H), 1,60 (ушир.с, 6H), 1,79-2,02 (м, 9H), 2,54-2,60 (м, 1H), 2,91-3,03 (м, 2H), 3,07-3,22 (м, 2H), 7,03 (ушир.с, 2H), 7,31 (д, 2H, J=9,0 Гц), 7,66 (д, 2H, J=9,0 Гц), 7,98 (ушир.с, 1H) |
ДМСО-d6, 300 МГц |
| 2- |
84 |
 |
217-218 |
1,02-1,14 (м, 2H), 1,33-1,49 (м, 10H), 1,60 (с, 6H), 1,69-1,86 (м, 9H), 2,54-2,58 (м, 1H), 2,71-2,81 (м, 2H), 3,42-3,52 (м, 1H), 4,56 (ушир.с, 1H), 6,92 (ушир.с, 2H), 7,30 (д, 2H, J=9,0 Гц), 7,64 (д, 2H, J=9,0 Гц), 7,95 (с, 1H) |
ДМСО-d6, 300 МГц |
| 2- |
85 |
 |
115-116 |
1,04-1,18 (м, 2H), 1,34-1,51 (м, 6H), 1,58-1,66 (м, 2H), 1,60 (с, 6H), 1,80-1,96 (м, 7H), 2,38-2,49 (м, 2H), 2,51-2,60 (м, 1H), 2,68-2,80 (м, 2H), 4,80 (ушир.с, 1H), 6,92 (ушир.с, 2H), 7,18-7,34 (м, 5H), 7,49 (д, 2H, J=9,0 Гц), 7,65 (д, 2H, J=9,0 Гц), 7,95 (с, 1H) |
ДМСО-d6, 300 МГц |
| 2- |
86 |
 |
190-191 |
1,01-1,23 (м, 4H), 1,30-1,57 (м, 7H), 1,60 (с, 6H), 1,74-1,86 (м, 7H), 2,25-2,31 (м, 2H), 2,53-2,57 (м, 1H), 2,80-2,86 (м, 2H), 3,30 (с, 2H), 6,91 (ушир.с, 2H), 7,14-7,30 (м, 7H), 7,64 (д, 2H, J=9,0 Гц), 7,95 (с, 1H) |
ДМСО-d6, 300 МГц |
| 2- |
87 |
 |
221-222 |
1,02-1,14 (м, 4H), 1,31-1,64 (м, 9H), 1,60 (с, 6H), 1,78-1,87 (м, 7H), 2,27-2,37 (м, 2H), 2,54-2,57 (м, 1H), 2,80-2,90 (м, 2H), 3,40-3,46 (м, 2H), 4,29 (т, 1H, J=4,5 Гц), 6,92 (ушир.с, 2H), 7,30 (д, 2H, J=9,0 Гц), 7,64 (д, 2H, J=9,0 Гц), 7,95 (с, 1H) |
ДМСО-d6, 300 МГц |
| 2- |
88 |
 |
175-176 |
1,05-1,13 (м, 2H), 1,34-1,50 (м, 6H), 1,60 (с, 6H), 1,79-1,85 (м, 5H), 2,31-2,45 (м, 8H), 2,53-2,57 (м, 1H), 3,46 (с,2H), 6,92 (ушир.с, 2H), 7,24-7,35 (м, 7H), 7,64 (д, 2H, J=9,0 Гц), 7,95 (с, 1H) |
ДМСО-d6, 300 МГц |
| 2- |
89 |
 |
|
1,47-1,67 (м, 6H), 1,70 (с, 6H), 1,74-1,86 (м, 3H), 1,88-2,07 (м, 4H), 2,17-2,27 (м, 1H), 2,44-2,61 (м, 3H), 2,64-2,74 (м, 1H), 5,40 (ушир., 2H), 7,34 (ушир., 2H), 7,55 (ушир., 2H), 8,14 (с, 1H) |
ДМСО-d6, 400 МГц |
| 2- |
90 |
 |
|
1,34-1,65 (м, 10H), 1,61 (с, 6H), 1,81-1,99 (м, 5H), 2,14-2,27 (м, 1H), 2,31-2,45 (м, 3H), 2,68-2,83 (м, 1H), 6,90 (ушир.2H), 7,31 (ушир., 2H), 7,65 (ушир., 2H), 7,95 (с, 1H) |
ДМСО-d6, 400 МГц |
| 2- |
91 |
 |
|
1,04-1,13 (м, 2H), 1,38-1,58 (м, 3H), 1,60 (с, 6H), 1,75-1,95 (м, 3H), 2,51 (м, 1H), 3,01 (ушир.т, 2H, J=6,4 Гц), 3,80 (д, 2H, J=5,6 Гц), 5,41 (ушир.т, 1H, J=5,6 Гц), 6,90 (ушир.с, 2H), 7,28 (д, 2H, J=8,3 Гц), 7,62 (д, 2H, J=8,3 Гц), 7,69 (ушир.т, 1Н, J=6,4 Гц), 7,93 (с, 1H) |
ДМСО-d6, 400 МГц |
| 2- |
92 |
 |
113-115 |
1,04-1,17 (м, 2H), 1,43-1,50 (м, 2H), 1,60 (с, 6H), 1,80-1,84 (м, 5H), 2,19 (с, 3H), 2,23-2,31 (м, 6H), 2,51 (м, 1H), 3,43-3,48 (м, 4H), 6,91 (ушир.с, 2H), 7,30 (д, 2H, J=8,3 Гц), 7,63 (д, 2H, J=8,3 Гц), 7,95 (с, 1H) |
ДМСО-d6, 300 МГц |
| 2- |
93 |
 |
146-147 |
1,03-1,20 (м, 2H), 1,37-1,88 (м, 19H), 2,22 (д, 2H, J=6,0 Гц), 2,53-2,58 (м, 1H), 3,39-3,46 (м, 4H), 6,92 (ушир.с, 2H), 7,31 (д,2H, J=9,0 Гц), 7,64 (д, 2H, J=9,0 Гц), 7,95 (с, 1H) |
ДМСО-d6, 300 МГц |
| 2- |
94 |
 |
232-233 |
1,06-1,19 (м, 2H), 1,41-1,63 (м, 8H), 1,71-1,91 (м, 9H), 2,16 (д, 2H, J=6,0 Гц), 2,51-2,59 (м, 1H), 3,28-3,31 (м, 2H), 3,41 (т, 2H, J=6,0 Гц), 6,92 (ушир.с, 2H), 7,31 (д, 2H, J=9,0 Гц), 7,64 (д, 2H, J=9,0 Гц), 7,95 (с, 1H) |
ДМСО-d6, 300 МГц |
| 2- |
95 |
 |
199-200 |
1,08-1,21 (м, 2H), 1,41-1,56 (м, 2H), 1,60 (с, 6H), 1,74-1,87 (м, 4H), 2,25 (д, 2H, J=9,0 Гц), 3,41-3,59 (м, 10H), 6,93 (ушир.с, 2H), 7,31 (д, 2H, J=9,0 Гц), 7,64 (д, 2H, J=9,0 Гц), 7,95 (с, 1H) |
ДМСО-d6, 300 МГц |
| 2- |
96 |
 |
112-113 |
0,89-1,18 (м, 4H), 1,32-1,55 (м, 4H), 1,60 (с, 6H), 1,67-1,83 (м, 7H), 2,22 (д, 2H, J=6,0 Гц), 2,52-2,57 (м, 1H), 2,92-3,02 (м, 2H), 3,41-3,47 (м, 2H), 3,84-3,92 (м, 2H), 4,33-4,42 (м, 2H), 6,93 (ушир.с, 2H), 7,31 (д, 2H, J=9,0 Гц), 7,64 (д, 2H, J=9,0 Гц), 7,95 (с, 1H) |
ДМСО-d6, 300 МГц |
| 2- |
97 |
 |
225-226 |
1,06-1,18 (м, 2H), 1,41-1,53 (м, 2H), 1,60 (с, 6H), 1,74-1,83 (м, 5H), 2,23 (д, 2H, J=6,0 Гц), 2,33-2,42 (м, 6H), 2,53-2,58 (м, 1H), 3,43-3,54 (м, 6H), 4,41 (т, 1H, J=6,0 Гц), 6,93 (ушир.с, 2H), 7,31 (д, 2H, J=9,0 Гц), 7,64 (д, 2H, J=9,0 Гц), 7,95 (с, 1H) |
ДМСО-d6, 300 МГц |
| 2- |
98 |
 |
131-133 |
1,04-1,13 (м, 2H), 1,16 (с, 6H), 1,38-1,58 (м, 2H), 1,59 (с, 6H), 1,65-1,85 (м, 5H), 1,97 (д, 2H, J=6,8 Гц), 2,51 (м, 1H), 3,36 (д, 2H, J=5,9 Гц), 4,89 (т, 1H, J=5,9 Гц), 6,92 (ушир.с, 2H), 7,24 (с, 1H), 7,27 (д, 2H, J=8,3 Гц), 7,61 (д, 2H, J=8,3 Гц), 7,92 (с, 1H) |
ДМСО-d6, 400 МГц |
| 2- |
99 |
 |
113-115 |
Смесь 2 конформеров; 1,04-1,13 (м, 2H), 1,38-1,58 (м, 2H), 1,60 (с, 6H), 1,65-1,85 (м, 5H), 2,20-2,28 (м, 2H), 2,51 (м, 1H), 2,82 и 3,01 (с, 3H), 3,30-3,51 (м, 4H), 4,60 и 4,77 (ушир.т, 1H, J=5,6 Гц), 6,92 (ушир.с, 2H), 7,29 (д, 2H, J=8,3 Гц), 7,62 (д, 2H, J=8,3 Гц), 7,93 (с, 1H) |
ДМСО-d6, 400 МГц |
| 2- |
100 |
 |
184-185 |
1,03-1,21 (м, 2H), 1,39-1,55 (м, 2H), 1,62 (с, 6H), 1,71-1,95 (м, 8H), 2,13-2,36 (м, 2H), 2,43-2,59 (м, 1H), 3,22-3,52 (м, 4H), 3,85-4,02 (м, 1H), 4,67-4,92 (м, 1H), 6,91 (ушир.2H), 7,31 (д, 2H, J=8,4 Гц), 7,64 (д, 2H, J=8,4 Гц), 7,95 (с, 1H) |
ДМСО-d6, 300 МГц |
| 2- |
101 |
 |
237-239 |
1,02-1,20 (м, 2H), 1,37-1,57 (м, 2H), 1,60 (с, 6H), 1,69-1,95 (м, 7H), 2,09-2,20 (м, 2H), 2,44-2,59 (м, 1H), 3,33-3,54 (м, 2H), 4,20-4,38 (м, 2H), 4,80-5,00 (м, 1H), 6,92 (ушир., 2H), 7,31 (д, 2H, J=8,4 Гц), 7,64 (д, 2H, J=8,4 Гц), 7,95 (с, 1H) |
ДМСО-d6, 300 МГц |
| 2- |
102 |
 |
214-215 |
0,84 (т, 3H, J=7,3 Гц), 1,02-1,19 (м, 2H), 1,34-1,53 (м, 4H), 1,60 (с, 6H), 1,69-1,86 (м, 5H), 1,99 (д, 2H, J=6,6 Гц), 2,48-2,57 (м, 1H), 3,00 (кв, 2H, J=6,6 Гц), 6,93 (ушир., 2H), 7,30 (д, 2H, J=8,4 Гц), 7,64 (д, 2H, J=8,4 Гц), 7,74 (т, 1H, J=6,6 Гц), 7,95 (с, 1H) |
ДМСО-d6, 300 МГц |
| 2- |
103 |
 |
231-232 |
1,02-1,22 (м, 2H), 1,39-1,57 (м, 2H), 1,60 (с, 6H), 1,69-1,97 (м, 5H), 2,08-2,21 (м, 2H), 2,47-2,59 (м, 1H), 3,29-3,56 (м, 4H), 4,15-4,41 (м, 2H), 4,81-5,00 (м, 1H), 6,89 (ушир., 2H), 7,31 (д, 2H, J=8,4 Гц), 7,64 (д, 2H, J=8,4 Гц), 7,95 (с, 1H) |
ДМСО-d6, 300 МГц |
| 2- |
104 |
 |
186-188 |
1,00-1,55 (м, 7H), 1,60 (с, 6H), 1,78-1,94 (м, 4H), 2,46-2,61 (м, 1H), 2,85 (с, 3H), 4,05 (с, 1,4H), 4,08 (с, 0,6H), 6,92 (ушир., 2H), 7,30 (д, 2H, J=8,1 Гц), 7,64 (д, 2H, J=8,1 Гц), 7,95 (с, 1H) |
ДМСО-d6, 300 МГц |
| 2- |
105 |
 |
>250 |
1,52-1,92 (м, 8H), 1,61 (с, 6H), 2,49-2,65 (м, 1H), 2,76 (с, 1,8H), 2,79 (с, 1,2H), 4,06 (с, 0,6H), 4,16 (с, 0,4H), 4,25-4,47 (м, 1H), 6,93 (ушир., 2H), 7,33 (ушир.д, 2H, J=8,2 Гц), 7,65 (д, 2H, J=8,2 Гц), 7,95 (с, 1H) |
ДМСО-d6, 300 МГц |
| 2- |
106 |
 |
250-252 |
1,03-1,22 (м, 2H), 1,39-1,58 (м, 2H), 1,60 (с, 6H), 1,69-1,92 (м, 5H), 2,12 (д, 2H, J=6,6 Гц), 2,45-2,58 (м, 1H), 3,16-3,41 (м, 3H), 3,55-3,60 (м, 1H), 3,94-4,09 (м, 2H), 4,84 (ушир., 1H), 4,92 (ушир., 1H), 6,93 (ушир.,2H), 7,31 (д, 2H, J=8,1 Гц), 7,64 (д, 2H, J=8,1 Гц), 7,95 (с, 1H) |
ДМСО-d6, 400 МГц |
| 2- |
107 |
 |
>250 |
1,07-1,18 (м, 2H), 1,41-1,53 (м, 2H), 1,59 (с, 6H), 1,71-1,86 (м, 5H), 2,15 (д, 2H, J=4,0 Гц), 2,24 (с, 3H), 2,51-2,57 (м, 1H), 6,84 (ушир.с, 2H), 7,28 (д, 2H, J=8,0 Гц), 7,61 (д, 2H, J=8,0 Гц), 12,04 (ушир.с, 1H) |
ДМСО-d6, 400 МГц |
| 2- |
108 |
 |
202-203 |
1,06-1,16 (м, 2H), 1,36-1,48 (м, 2H), 1,59-1,84 (м, 5H), 1,59 (с, 6H), 2,51-2,56 (м, 1H), 3,86 (д, 2H, J=8,0 Гц), 6,89-7,15 (м, 1H), 6,91 (ушир.с,2H), 7,27 (д, 2H, J=8,0 Гц), 7,62 (д, 2H, J=8,0 Гц), 7,93 (с, 1H) |
ДМСО-d6, 400 МГц |
| 2- |
109 |
 |
>230 |
1,15-1,35 (м, 2H), 1,37-1,58 (м, 3H), 1,60 (с, 6H), 1,80-1,95 (м, 5H), 2,51 (м, 1H), 2,75 (д, 2H, J=9,3 Гц), 6,91 (ушир.с, 2H), 7,03-7,22 (м, 2H), 7,30 (д, 2H, J=8,3 Гц), 7,39-7,57 (м, 2H), 7,63 (д, 2H,J=8,3 Гц), 7,95 (с, 1H), 12,19 (ушир.с, 1H) |
ДМСО-d6, 400 МГц |
| 2- |
110 |
 |
155-156 |
1,01-1,18 (м, 2H), 1,38-1,59 (м, 2H), 1,60 (с, 6H), 1,72-1,86 (м, 5H), 2,34 (д, 2H, J=6,0 Гц), 2,54-2,58 (м, 1H), 4,05 (д, 2H, J=6,0 Гц), 5,04 (т, 1H, J=6,0 Гц), 6,91 (ушир.с, 2H), 7,31 (д, 2H, J=9,0 Гц), 7,64 (д, 2H, J=9,0 Гц), 7,95 (с, 1H) |
ДМСО-d6, 300 МГц |
| 2- |
111 |
 |
>250 |
1,04-1,21 (м, 2H), 1,38-1,58 (м, 2H), 1,66 (с, 6H), 1,70-1,89 (м, 5H), 2,29 (д, 2H, J=6,4 Гц), 2,45-2,58 (м, 1H), 2,96-3,13 (м, 4H), 3,60-3,77 (м, 4H), 7,32 (д, 2H, J=8,3 Гц), 7,65 (ушир., 2H), 7,68 (д, 2H, J=8,3 Гц), 8,16 (с, 1H), 9,32 (ушир., 2H) |
ДМСО-d6, 300 МГц |
| 2- |
112 |
 |
>250 |
1,31-1,58 (м, 4H), 1,60 (с, 6H), 1,82-1,91 (м, 2H), 2,06-2,16 (м, 2H), 2,53-2,65 (м, 1H), 2,77-2,88 (м, 1H), 3,30 (с, 2H), 6,93 (ушир.с, 2H), 7,31 (д, 2H, J=6,0 Гц), 7,64 (д, 2H, J=6,0 Гц), 7,94 (с, 1H), 12,40 (ушир.с, 1H) |
ДМСО-d6, 300 МГц |
| 2- |
113 |
 |
172-173 |
1,04-1,13 (м, 2H), 1,34-1,46 (м, 2H), 1,59 (с, 6H), 1,78-1,84 (м, 5H), 2,23 (с, 3H), 2,36 (д, 2H, J=8,0 Гц), 2,51-2,58 (м, 1H), 6,58 (с, 1H), 6,92 (ушир.с, 2H), 7,28 (д, 2H, J=8,0 Гц), 7,62 (д, 2H, J=8,0 Гц), 7,93 (с, 1H) |
ДМСО-d6, 400 МГц |
| 2- |
114 |
 |
250 |
1,04-1,22 (м, 2H), 1,16 (д, 6H, J=6,1 Гц), 1,38-1,68 (м, 4H), 1,60 (с, 6H), 1,80-1,97 (м, 5H), 2,49-2,62 (м, 1H), 2,63-2,70 (м, 1H), 6,93 (ушир., 2H), 7,31 (д, 2H, J=8,4 Гц), 7,65 (д, 2H, J=8,4 Гц), 7,95 (с, 1H) |
ДМСО-d6, 300 МГц |
| 2- |
115 |
 |
127-135 |
0,99-1,23 (м, 6H), 1,17 (т, 3H, J=7,1 Гц), 1,36-1,52 (м, 2H), 1,60 (с, 6H), 1,72-1,94 (м, 8H), 2,45-2,59 (м, 1H), 2,79-2,94 (м, 2H), 3,81-3,89 (м, 2H), 4,02 (кв, 2H, J=7,1 Гц), 6,93 (ушир., 2H), 7,30 (д, 2H, J=8,4 Гц), 7,64 (д, 2H, J=8,4 Гц), 7,95 (с, 1H) |
ДМСО-d6, 300 МГц |
| 2- |
116 |
 |
>250 |
0,93-1,22 (м, 6H), 1,32-1,52 (м, 4H), 1,60 (с, 6H), 1,74-1,95 (м, 7H), 2,20-2,34 (м, 1H), 2,41 (д, 2H, J=6,4 Гц), 2,47-2,58 (м, 1H), 3,27-3,39 (м, 1H), 4,44 (д, 1H, J=4,5 Гц), 6,95 (ушир., 2H), 7,29 (д, 2H, J=8,3 Гц), 7,63 (д, 2H, J=8,3 Гц), 7,95 (с, 1H) |
ДМСО-d6, 300 МГц |
| 2- |
117 |
 |
>250 |
1,07-1,18 (м, 2H), 1,43-1,53 (м, 2H), 1,55 (с, 6H), 1,70-1,85 (м, 5H), 2,15 (д, 2H, J=8,0 Гц), 2,51-2,55 (м, 1H), 6,21 (ушир.с, 2H), 6,31 (д, 1H, J=8,0 Гц), 7,29 (д, 2H, J=8,0 Гц), 7,49 (д, 1H, J=8,0 Гц), 7,60 (д, 2H, J=8,0 Гц), 11,94 (ушир.с, 1H) |
ДМСО-d6, 400 МГц |
| 2- |
118 |
 |
215-216 |
1,08-1,23 (м, 2H), 1,38-1,50 (м, 2H), 1,59 (с, 6H), 1,68-1,83 (м, 5H), 2,52-2,55 (м, 1H), 2,58 (д, 2H, J=4,0 Гц), 2,62 (с, 3H), 6,95 (ушир.с, 2H), 7,06 (с, 1H), 7,28 (д, 2H, J=8,0 Гц), 7,62 (д, 2H, J=8,0 Гц), 7,93 (с, 1H) |
ДМСО-d6, 400 МГц |
| 2- |
119 |
 |
>250 |
1,08-1,18 (м, 2H), 1,26 (с, 9H), 1,35-1,49 (м, 2H), 1,60 (с, 6H), 1,75-1,85 (м, 5H), 2,38 (д, 2H, J=4,0 Гц), 2,52-2,58 (м, 1H), 6,55 (ушир.с, 1H), 6,94 (ушир.с, 2H), 7,29 (д, 2H, J=12,0 Гц), 7,62 (д, 2H, J=8,0 Гц), 7,93 (с, 1H) |
ДМСО-d6, 400 МГц |
| 2- |
120 |
 |
226-227 |
0,68-1,19 (м, 7H), 1,36-1,54 (м, 2H), 1,59 (с, 6H), 1,74-1,88 (м, 5H), 2,33 (д, 2H, J=4,0 Гц), 2,53-2,56 (м, 1H), 6,50 (с, 1H), 6,94 (ушир.с, 2H), 7,28 (д, 2H, J=8,0 Гц), 7,62 (д, 2H, J=8,0 Гц), 7,93 (с, 1H) |
ДМСО-d6, 400 МГц |
| 2- |
121 |
 |
|
1,14-1,34 (м, 2H), 1,37-1,58 (м, 3H), 1,60 (с, 6H), 1,80-1,95 (м, 5H), 2,51 (м, 1H), 2,71 (д, 2H, J=9,3 Гц), 3,77 (с, 3H), 6,74 (дд, 1H, J=2,2, 8,4 Гц), 6,91 (ушир.с, 2H), 6,99 (д, 1H, J=2,2 Гц), 7,30 (д, 2H, J=8,3 Гц), 7,35 (д, 1H, J=8,4 Гц), 7,64 (д, 2H, J=8,3 Гц), 7,95 (с, 1H), 12,05 (ушир.с, 1H), |
ДМСО-d6, 300 МГц |
| 2- |
122 |
 |
>230 |
1,15-1,33 (м, 2H), 1,37-1,58 (м, 3H), 1,60 (с, 6H), 1,80-1,95 (м, 5H), 2,51 (м, 1H), 2,75 (д, 2H, J=9,3 Гц), 6,92 (ушир.с, 2H), 7,14 (д, 1H, J=8,4 Гц), 7,30 (д, 2H, J=8,3 Гц), 7,39-7,55 (м, 2H), 7,63 (д, 2H, J=8,3 Гц), 7,95 (с, 1H), 12,37 (ушир.с, 1H) |
ДМСО-d6, 300 МГц |
| 2- |
123 |
 |
230-231 |
1,09-1,19 (м, 2H), 1,41 2H), 1,59 (с, 6H), 1,76-1,88 (м, 5H), 2,53-2,58 (м, 1H), 3,18 (д, 2H, J=12,0 Гц), 6,71 (ушир.с, 1H), 6,93 (ушир.с, 2H), 7,27-7,42 (м, 5H), 7,62 (д, 2H, J=8,0 Гц), 7,88 (д, 2H, J=8,0 Гц), 7,93 (с, 1H) |
ДМСО-d6, 400 МГц |
| 2- |
124 |
 |
>230 |
1,14-1,33 (м, 2H), 1,37-1,58 (м, 3H), 1,60 (с, 6H), 1,70-2,03 (м, 5H), 2,51 (м, 1H), 2,73 (д, 2H, J=7,0 Гц), 6,72-7,13 (м, 3H), 7,17-7,35 (м, 3H), 7,44 (ушир.с, 1H), 7,62 (д, 2H, J=8,3 Гц), 7,93 (с, 1H), 12,30 (ушир.с, 1H) |
ДМСО-d6, 400 МГц |
| 2- |
125 |
 |
|
0,97-1,11 (м, 2H), 1,34-1,54 (м, 12H), 1,60 (с, 6H), 1,78-1,95 (м, 4H), 2,53-2,58 (м, 1H), 2,76-2,83 (м, 2H), 6,94 (ушир.с, 2H), 7,30 (д, 2H, J=9,0 Гц), 7,57 (ушир.с, 1Н), 7,65 (д, 2H, J=9,0 Гц), 7,95 (с, 1H), 10,76 (ушир.с, 1H) |
ДМСО-d6, 300 МГц |
| 2- |
126 |
 |
234-235 |
0,93-1,50 (м, 4H), 1,60 (с, 6H), 1,72-1,91 (м, 5H), 2,16 (д, 2H, J=6,0 Гц), 2,57-2,68 (м, 1H), 6,95 (ушир.с, 2H), 7,29 (д, 2H, J=6,0 Гц), 7,64 (д, 2H, J=6,0 Гц), 7,95 (с, 1H), 11,94 (ушир.с, 1H) |
ДМСО-d6, 300 МГц |
| 2- |
127 |
 |
228-230 |
1,03-1,17 (м, 2H), 1,39-1,51 (м, 2H), 1,58-1,67 (м,7H), 1,82-1,95 (м, 4H), 2,09 (с, 3H), 2,51-2,59 (м, 1H), 3,06-3,10 (м, 2H), 6,11 (ушир.с, 1H), 6,94 (ушир.с, 2H), 7,31 (д, 2H,J=9,0 Гц), 7,45-7,49 (м, 1H), 7,65 (д, 2H, J=9,0 Гц), 7,95 (с, 1H) |
ДМСО-d6, 300 МГц |
| 2- |
128 |
 |
253-254 |
0,98-1,13 (м, 2H), 1,35-1,51 (м, 3H), 1,60 (с, 6H), 1,77-1,88 (м, 7H), 2,52-2,58 (м, 1H), 2,91-2,95 (м, 2H), 6,93 (ушир.с, 2H), 7,30 (д, 2H, J=6,0 Гц), 7,63 (д, 2H, J=6,0 Гц), 7,82 (т, 1H, J=6,0 Гц), 7,95 (с, 1H) |
ДМСО-d6, 300 МГц |
| 2- |
129 |
 |
206-207 |
0,93-1,08 (м, 2H), 1,32-1,47 (м, 3H), 1,60 (с, 6H), 1,76-1,85 (м, 4H), 2,39 (с, 3H), 2,51-2,54 (м, 1Н), 2,57-2,62 (м, 2H), 6,93 (ушир.с, 2H), 7,29 (д, 2H, J=9,0 Гц), 7,41 (д, 2H, J=9,0 Гц), 7,54 (т, 1H, J=6,0 Гц), 7,64 (д, 2H, J=9,0 Гц), 7,69 (д, 2H, J=9,0 Гц), 7,95 (с, 1H) |
ДМСО-d6, 300 МГц |
| 2- |
130 |
 |
226-227 |
0,96-1,11 (м, 2H), 1,37-1,55 (м, 3H), 1,60 (с, 6H), 1,79-1,96 (м, 4H), 2,53-2,57 (м, 1H), 2,74-2,79 (м, 2H), 6,43 (с, 2H), 6,50 (т, 1H, J=6,0 Гц), 6,93 (ушир.с, 2H), 7,31 (д, 2H, J=9,0 Гц), 7,65 (д, 2H, J=9,0 Гц), 7,95 (с, 1H) |
ДМСО-d6, 300 МГц |
| 2- |
131 |
 |
230-231 |
0,99-1,13 (м, 2H), 1,35-2,01 (м, 18H), 2,51-2,58 (м, 1H), 2,77-2,86 (м, 2H), 2,96-3,01 (м, 2H), 3,49-3,53 (м, 1H), 6,93 (ушир.с, 2H), 7,30 (д, 2H, J=9,0 Гц), 7,64 (д, 2H, J=9,0 Гц), 7,91-7,97 (м, 2H) |
ДМСО-d6, 300 МГц |
| 2- |
132 |
 |
217-218 |
0,98-1,14 (м, 2H), 1,37-1,98 (м, 16H), 2,53-2,58 (м, 1H), 2,72-2,85 (м, 2H), 2,96-3,00 (м, 2H), 3,71 (т, 1H, J=7,5 Гц), 4,16 (ушир.с, 1H), 4,65 (ушир.с, 1H), 6,93 (ушир.с, 2H), 7,30 (д, 2H, J=9,0 Гц), 7,64 (д, 2H, J=9,0 Гц), 7,94-7,98 (м, 2H) |
ДМСО-d6, 300 МГц |
| 2- |
133 |
 |
>230 |
1,61 (с, 6H), 1,60-1,75 (м, 8H), 2,18 (м, 1H), 2,37 (д, 2H, J=7,2 Гц), 2,60 (м, 1H), 6,94 (ушир.с, 2H), 7,34 (д, 2H, J=8,3 Гц), 7,64 (д, 2H, J=8,3 Гц), 7,95 (с, 1H) |
ДМСО-d6, 300 МГц |
| 2- |
134 |
 |
225-226 |
1,07-1,18 (м, 2H), 1,42-1,53 (м, 2H), 1,58 (с, 6H), 1,77-1,85 (м, 5H), 1,91 (с, 3H), 2,20 (д, 2H, J=4,0 Гц), 2,24 (с, 3H), 2,54-2,57 (м, 1H), 3,22 (с, 3H), 6,81 (ушир.с, 2H), 7,28 (д, 2H, J=8,0 Гц), 7,61 (д, 2H, J=12,0 Гц), 11,66 и 11,93 (ушир.с, 1H) |
ДМСО-d6, 400 МГц |
| 2- |
135 |
 |
229-230 |
1,01-1,13 (м, 2H), 1,17 (с, 6H), 1,41-1,51 (м, 2H), 1,58 (с, 6H), 1,68-1,84 (м, 5H), 1,98 (д, 2H, J=8,0 Гц), 2,24 (с, 3H), 2,52-2,56 (м, 1H), 3,38 (д, 2H, J=4,0 Гц), 4,90 (т, 1H, J=4,0 Гц), 6,80 (ушир.с, 2H), 7,26 (ушир.с, 1H), 7,28 (д, 2H, J=8,0 Гц), 7,60 (д, 2H, J=8,0 Гц) |
ДМСО-d6, 400 МГц |
| 2- |
136 |
 |
210-211 |
1,07-1,19 (м, 2H), 1,42-1,52 (м, 2H), 1,58 (с, 6H), 1,76-1,86 (м, 5H), 2,12 (д, 2H,J=8,0 Гц), 2,24 (с, 3H), 2,51-2,55 (м, 1H), 3,15-3,26 (м, 2H), 3,35-3,39 (м, 1Н), 3,54-3,58 (м, 1H), 3,95-4,06 (м, 2H), 4,87 (д, 1H, J=4,0 Гц), 4,95 (д, 1H, J=4,0 Гц), 6,80 (ушир.с, 2H), 7,28 (д, 2H, J=8,0 Гц), 7,60 (д, 2H, J=8,0 Гц) |
ДМСО-d6, 400 МГц |
| 2- |
137 |
 |
>250 |
1,13-1,24 (м, 2H), 1,38-1,50 (м, 2H), 1,57 (с, 6H), 1,73-1,83 (м, 5H), 2,24 (с, 3H), 2,82 (д, 2H, J=8,0 Гц), 3,35-3,39 (м, 1H), 6,81 (ушир.с, 2H), 7,27 (д, 2H, J=8,0 Гц), 7,60 (д, 2H, J=8,0 Гц) |
ДМСО-d6, 400 МГц |
| 2- |
138 |
 |
235-238 |
0,96-1,13 (м, 2H), 1,35-1,55 (м, 3H), 1,58 (с, 6H), 1,75-1,89 (м, 4H), 2,24 (с, 3H), 2,47-2,61 (м, 1H), 3,01 (т, 2H, J=6,0 Гц), 3,80 (д, 2H, J=6,0 Гц), 5,42 (т, 1H, J=6,0 Гц), 6,82 (ушир., 2H), 7,29 (д, 2H, J=8,3 Гц), 7,61 (д, 2H, J=8,3 Гц), 7,69 (т, 1H, J=6,0 Гц) |
ДМСО-d6, 300 МГц |
| 2- |
139 |
 |
249-250 |
1,03 (с, 6H), 1,06-1,08 (м, 2H), 1,36-1,48 (м, 3H), 1,58 (с, 6H), 1,81 (м, 4H), 2,25 (с, 3H), 2,66 (м, 2H), 3,37 (д, 2H, J=5,3 Гц), 4,86 (т, 1H, J=5,3 Гц), 6,80 (ушир.с, 2H), 7,29 (д, 2H, J=8,3 Гц), 7,44 (т, 1H, J=5,6 Гц), 7,62 (д, 2H, J=8,3 Гц) |
ДМСО-d6, 300 МГц |
| 2- |
140 |
 |
223-224 |
0,98-1,10 (м, 2H), 1,37-1,48 (м, 3H), 1,58 (с, 6H), 1,82 (м, 4H), 2,25 (с, 3H), 2,25 (т, 2H, J=6,5 Гц), 2,95 (м, 2H), 3,61 (дт, 1H, J=6,5 Гц, 5,3 Гц), 4,53 (т, 1H, J=5,3 Гц), 6,80 (ушир.с, 2H), 7,29 (д, 2H, J=8,3 Гц), 7,61 (д, 2H, J=8,3 Гц), 7,78 (т, 1H, J=5,3 Гц) |
ДМСО-d6, 300 МГц |
| 2- |
141 |
 |
221-223 |
0,97-1,15 (м, 2H), 1,24 (с, 6H), 1,25-1,53 (м, 5H), 1,58 (с, 6H), 1,76-1,93 (м, 4H), 2,25 (с, 3H), 2,45-2,62 (м, 1H), 3,12 (кв, J=6,4 Гц, 2H), 5,28 (с, 1H), 6,83 (ушир.с, 2H), 7,28 (д, J=8,3 Гц, 2H), 7,53-7,61 (м, 1H), 7,61 (д, J=8,3 Гц, 2H) |
ДМСО-d6, 300 МГц |
| 2- |
142 |
 |
142-144 |
0,99-1,19 (м, 2H), 1,34-1,58 (м, 3H), 1,60 (с, 6H), 1,67-1,89 (м, 5H), 2,08 (д, 2H, J=6,9 Гц), 2,24 (с, 3H), 2,51 (м, 1H), 3,63 (д, 2H, J=5,5 Гц), 6,81 (ушир.с, 2H), 6,96 (ушир.с, 1H), 7,24 (ушир.с, 1H), 7,30 (д, 2H, J=8,3 Гц), 7,62 (д, 2H, J=8,3 Гц), 7,95 (т, 1H, J=5,5 Гц) |
ДМСО-d6, 300 МГц |
| 2- |
143 |
 |
196-198 |
Смесь 2 конформеров; 1,02-1,22 (м, 2H), 1,34-1,58 (м, 3H), 1,58 (с, 6H), 1,72-1,92 (м, 5H), 2,13 и 2,27 (д, 2H, д=6,9 Гц), 2,24 (с, 3H), 2,51 (м, 1H), 2,81 и 3,03 (с, 3H), 3,98 и 4,09 (с, 2H), 6,82 (ушир.с, 2H), 7,28 (д, 2H, J=8,3 Гц), 7,62 (д, 2H, J=8,3 Гц), 11,70 (ушир.с, 1H) |
ДМСО-d6, 300 МГц |
| 2- |
144 |
 |
>230 |
Смесь 2 конформеров; 0,99-1,20 (м, 2H), 1,34-1,58 (м, 3H), 1,58 (с, 6H), 1,73-1,92 (м, 5H), 2,12 и 2,26 (д, 2H, J=6,9 Гц), 2,24 (с, 3H), 2,51 (м, 1H), 2,79 и 3,98 (с, 3H), 3,85 и 3,92 (с, 2H), 6,82 (ушир.с, 2H), 6,96 и 7,14 (ушир.с, 1H), 7,29 (д, 2H, J=8,3 Гц), 7,27 и 7,43 (ушир.с, 1H), 7,61 (д, 2H, J=8,3 Гц) |
ДМСО-d6, 400 МГц |
| 2- |
145 |
 |
>250 |
0,55 (с, 3H), 1,21 (с, 3H), 1,55 (с, 6H), 1,95-2,02 (м, 1H), 2,14-2,36 (м, 4H), 2,24 (с, 3H), 3,14-3,20 (м, 1H), 6,83 (ушир.с, 2H), 7,16 (д, 2H, J=8,0 Гц), 7,62 (д, 2H, J=8,0 Гц) |
ДМСО-d6, 400 МГц |
| 2- |
146 |
 |
>250 |
1,58 (с, 6H), 1,74-1,82 (м, 2H), 2,24 (с, 3H), 2,37 (д, 2H, J=8,0 Гц), 2,44-2,60 (м, 4H), 3,36-3,43 (м, 1H), 6,80 (ушир.с, 2H), 7,27 (д, 2H, J=8,0 Гц), 7,61 (д, 2H, J=8,0 Гц), 11,98 (ушир.с, 1H) |
ДМСО-d6, 400 МГц |
| 2- |
147 |
 |
>230 |
1,05-1,20 (м, 2H), 1,38-1,52 (м, 2H), 1,58 (с, 6H), 1,73-1,87 (м, 5H), 2,24 (с, 3H), 2,29 (д, 2H, J=6,9 Гц), 2,51 (м, 1H), 6,81 (ушир.с, 2H), 7,28 (д, 2H, J=8,3 Гц), 7,61 (д, 2H,J=8,3 Гц), 11,07 (с, 1H), 11,10 (ушир.с, 1H) |
ДМСО-d6, 400 МГц |
| 2- |
148 |
 |
>250 |
1,13-1,24 (м, 2H), 1,43-1,55 (м, 2H), 1,58 (с, 6H), 1,82-1,85 (м, 4H), 2,24 (с, 3H), 2,38-2,41 (м, 2H), 2,50-2,58 (м, 1H), 6,82 (ушир., 7,30 (д, 2H, J=9,0 Гц), 7,62 (д, 2H, J=9,0 Гц), 11,96 (ушир.с, 1H), 15,85 (ушир., 1H) |
ДМСО-d6, 300 МГц |
| 2- |
149 |
 |
237-238 |
1,58 (с, 6H), 1,60-1,71 (м, 4H), 2,04-2,23 (м, 3H), 2,23 (с, 3H), 2,24 (с, 3H), 2,40-2,46 (м, 2H), 3,35-3,41 (м, 1H), 6,81 (ушир.с, 2H), 7,25 (д, 2H, J=8,0 Гц), 7,61 (д, 2H, J=8,0 Гц), 11,99 (ушир.с, 1H) |
ДМСО-d6, 400 МГц |
| 2- |
150 |
 |
228-229 |
0,99-1,10 (м, 2H), 1,25 (с, 6H), 1,37-1,48 (м, 2H), 1,58 (с, 6H), 1,76-1,85 (м, 5H), 2,24 (с, 3H), 2,53-2,57 (м, 1H), 2,96-2,99 (м, 2H), 5,32 (с, 1H), 6,81 (ушир.с, 2H), 7,28 (д, 2H, J=8,0 Гц), 7,58 (ушир.с, 1H), 7,60 (д, 2H,J=8,0 Гц) |
ДМСО-d6, 400 МГц |
| 2- |
151 |
 |
>250 |
1,11-1,23 (м, 2H), 1,42-1,52 (м, 2H), 1,57 (с, 6H), 1,77-1,86 (м, 5H), 2,25 (с, 3H), 2,44 (д, 2H, J=8,0 Гц), 2,53-2,62 (м, 1H), 6,81 (ушир.с, 2H), 7,28 (д, 2H, J=8,0 Гц), 7,61 (д, 2H, J=8,0 Гц), 12,70 (ушир.с, 1H) |
ДМСО-d6, 400 МГц |
| 2- |
152 |
 |
225-226 |
1,11-1,23 (м, 2H), 1,41-1,49 (м, 2H), 1,57 (с, 6H), 1,76-1,84 (м, 5H), 2,24 (с, 3H), 2,44 (д, 2H, J=8,0 Гц), 2,53-2,61 (м, 1H), 6,82 (ушир.с, 2H), 7,28 (д, 2H, J=8,0 Гц), 7,61 (д, 2H, J=8,0 Гц), 12,69 (ушир.с, 1H) |
ДМСО-d6, 400 МГц |
| 2- |
153 |
 |
|
1,11-1,24 (м, 2H), 1,40-1,51 (м, 2H), 1,58 (с, 6H), 1,77-1,87 (м, 5H), 2,24 (с, 3H), 2,46 (д, 2H, J=8,0 Гц), 2,52-2,58 (м, 1H), 6,81 (ушир.с, 2H), 7,28 (д, 2H, J=8,0 Гц), 7,61 (д, 2H, J=8,0 Гц), 11,41 (ушир.с, 1H) |
ДМСО-d6, 400 МГц |
| 2- |
154 |
 |
229-233 |
1,00-1,11 (м, 2H), 1,37-1,58 (м, 3H), 1,65 (с, 6H), 1,76-1,87 (м, 4H), 2,49-2,57 (м, 1H), 2,99-3,04 (м, 2H), 3,81 (д, 2H, J=6,0 Гц), 5,42 (т, 1H, J=6,0 Гц), 7,32 (д, 2H, J=6,0 Гц), 7,69 (д, 2H, J=6,0 Гц) |
ДМСО-d6, 300 МГц |
| 2- |
155 |
 |
|
1,01-1,22 (м, 2H), 1,34-1,52 (м, 2H), 1,57 (с, 6H), 1,68-1,89 (м, 4H), 2,24 (с, 3H), 2,37 (д, 2H, J=6,9 Гц), 2,50 (м, 1H), 5,23 (с, 1H), 6,81 (ушир.с, 2H), 7,27 (д, 2H, J=8,3 Гц), 7,60 (д, 2H, J=8,3 Гц), 9,25 (ушир.с, 1H), 11,20 (ушир.с, 1H) |
ДМСО-d6, 400 МГц |
| 2- |
156 |
 |
>250 |
1,09-1,23 (м, 2H), 1,15 (т, 3H, J=8,0 Гц), 1,43-1,52 (м, 2H), 1,57 (с, 6H), 1,71-1,90 (м, 5H), 2,24 (с, 3H), 2,44 (д, 2H, J=8,0 Гц), 2,53-2,58 (м, 1H), 3,58 (кв, 2H, J=8,0 Гц), 6,80 (ушир.с, 2H), 7,28 (д, 2H, J=8,0 Гц), 7,60 (д, 2H, J=8,0 Гц), 11,34 (с, 1H) |
ДМСО-d6, 400 МГц |
| 2- |
157 |
 |
|
1,11-1,24 (м, 2H), 1,44-1,54 (м, 2H), 1,58 (с, 6H), 1,68-1,87 (м, 5H), 2,24 (с, 3H), 2,53-2,57 (м, 1H), 3,51 (д, 2H, J=8,0 Гц), 6,80 (ушир.с, 2H), 7,29 (д, 2H, J=8,0 Гц), 7,61 (д, 2H, J=8,0 Гц), 12,28 (ушир.с, 1H) |
ДМСО-d6, 400 МГц |
| 2- |
158 |
 |
240-241 |
1,03-1,14 (м, 2H), 1,41-1,53 (м, 2H), 1,58-1,71 (м, 1H), 1,58 (с, 6H), 1,77-1,86 (м, 4H), 2,25 (с, 3H), 2,50-2,58 (м, 1H), 3,04 (д, 2H, J=9,0 Гц), 3,56 (т, 2H, J=7,5 Гц), 4,27 (т, 2H, J=7,5 Гц), 6,80 (ушир., 1H), 7,29 (д, 2H, J=6,0 Гц), 7,63 (д, 2H, J=9,0 Гц) |
ДМСО-d6, 300 МГц |
| 2- |
159 |
 |
148 (разл.) |
1,01-1,13 (м, 2H), 1,39-1,51 (м, 2H), 1,58-1,69 (м, 1H), 1,58 (с, 6H), 1,76-1,86 (м, 4H), 2,25 (с, 3H), 2,50-2,57 (м, 1H), 3,11 (д, 2H, J=6,0 Гц), 3,95 (с, 2H), 6,81 (ушир., 1H), 7,29 (д, 2H, J=9,0 Гц), 7,62 (д, 2H, J=6,0 Гц) |
ДМСО-d6, 300 МГц |
| 2- |
160 |
 |
185-186 |
1,00-1,13 (м, 2H), 1,30-1,51 (м, 6H), 1,58 (с, 6H), 1,79-1,87 (м, 4H), 2,24 (с, 3H), 2,50-2,58 (м, 1H), 0,00-0,00 (м, 2H), 3,17 (кв, 2H, J=7,0 Гц), 3,78 (д, 2H, J=6,0 Гц), 5,40 (т, 1H, J=6,0 Гц), 6,80 (ушир., 2H), 7,29 (д, 2H, J=9,0 Гц), 7,62 (д, 2H, J=9,0 Гц), 7,66 (т, 1H, J=6,0 Гц) |
ДМСО-d6, 300 МГц |
| 2- |
161 |
 |
219-221 |
0,95-1,12 (м, 2H), 1,35-1,52 (м, 3H), 1,58 (с, 6H), 1,73-1,91 (м, 4H), 2,24 (с, 3H), 2,47-2,57 (м, 1H), 2,86 (т, 2H,J=6,2 Гц), 5,33 (ушир., 2H), 5,98 (т, 1H, J=5,7 Гц), 6,80 (ушир., 2H), 7,29 (д, 2H, J=8,3 Гц), 7,61 (д, 2H, J=8,3 Гц) |
ДМСО-d6, 300 МГц |
| 2- |
162 |
 |
216-250 |
0,95-1,11 (м, 2H), 1,36-1,53 (м, 3H), 1,58 (с, 6H), 1,76-1,90 (м, 4H), 2,24 (с, 3H), 2,45-2,56 (м, 1H), 2,91 (д, 2H, J=6,8 Гц), 3,56 (т, 2H, J=8,5 Гц), 4,13 (т, 2H, J=8,5 Гц), 6,79 (ушир., 2H), 7,29 (д, 2H, J=8,3 Гц), 7,61 (д, 2H, J=8,3 Гц) |
ДМСО-d6, 300 МГц |
| 2- |
163 |
 |
219-221 |
0,82 (с, 3H), 0,83 (с, 3H), 0,98-1,14 (м, 2H), 1,35-1,54 (м, 3H), 1,58 (с, 6H), 1,76-1,88 (м, 4H), 2,24 (с, 3H), 2,44-2,56 (м, 1H), 2,94-3,1O (м, 2H), 3,16-3,34 (м, 2H), 3,73 (д, 1H, J=5,7 Гц), 4,48 (т, 1H, J=5,7 Гц), 5,31 (д, 1H, J=5,7 Гц), 6,79 (ушир., 2H), 7,29 (д, 2H,,J=8,3 Гц), 7,61 (д, 2H, J=8,3 Гц), 7,68 (т, 1H, J=5,8 Гц) |
ДМСО-d6, 300 МГц |
| 2- |
164 |
 |
222-225 |
0,96-1,14 (м, 2H), 1,35-1,61 (м, 4H), 1,58 (с, 6H), 1,75-1,89 (м, 5H), 2,24 (с, 3H), 2,46-2,59 (м, 1H), 2,99 (т, 2H, J=6,6 Гц), 3,45-3,54 (м, 2H), 3,95 (дт, 1H, J=5,7, 3,8 Гц), 4,42 (т, 1H, J=5,7 Гц), 5,39 (д, 1H, J=5,7 Гц), 6,81 (ушир., 2H), 7,29 (д, 2H, J=8,3 Гц), 7,61 (д, 2H, J=8,3 Гц), 7,68 (т, 1H, J=6,2 Гц) |
ДМСО-d6, 300 МГц |
| 2- |
165 |
 |
>250 |
Смесь 2 конформеров;1,02-1,15 (м, 2H), 1,37-1,48 (м, 2H), 1,57 (с, 6H), 1,78-1,85 (м, 5H), 2,24 (с, 3H), 2,27 (д, 2H, J=4,0 Гц), 2,52-2,55 (м, 1H), 3,30 и 3,56 (с, 3H), 5,12 (ушир.с, 1H), 6,81 (ушир.с, 2H), 7,27 (д, 2H, J=8,0 Гц), 7,60 (д, 2H, J=8,0 Гц), 10,64 (ушир.с, 1H) |
ДМСО-d6, 400 МГц |
| 2- |
166 |
 |
225-233 |
0,98-1,13 (м, 2H), 1,35-1,51 (м, 2H), 1,58 (с, 6H), 1,63-1,87 (м, 6H), 2,21-2,32 (м, 1H), 2,24 (с, 3H), 2,45-2,60 (м, 1H), 3,06 (д, 2H, J=7,1 Гц), 3,17-3,35 (м, 2H), 4,04-4,16 (м, 1H), 5,45 (ушир., 1H), 6,82 (ушир., 2H), 7,29 (д, 2H, J=8,3 Гц), 7,62 (д, 2H, J=8,3 Гц) |
ДМСО-d6, 300 МГц |
| 2- |
167 |
 |
|
0,90 (с, 3H), 0,99-1,14 (м, 2H), 1,08 (с, 3H), 1,30-1,51 (м, 2H), 1,58 (с, 6H), 1,62-1,90 (м, 5H), 2,24 (с, 3H), 2,45-2,59 (м, 1H), 2,95-3,12 (м, 4H), 3,74 (д, 1H, J=5,7 Гц), 5,41 (д, 1H, J=5,7 Гц), 6,79 (ушир., 2H), 7,28 (д, 2H, J=8,3 Гц), 7,61 (д, 2H, J=8,3 Гц) |
ДМСО-d6, 300 МГц |
| 2- |
168 |
 |
|
1,13-1,31 (м, 2H), 1,38-1,58 (м, 2H), 1,58 (с, 6H), 1,74-1,92 (м, 5H), 2,25 (с, 3H), 2,50 (м, 1H), 2,58 (д, 2H, д=6,9 Гц), 3,72 (с, 3H), 6,80 (ушир.с, 2H), 7,29 (д, 2H, J=8,3 Гц), 7,62 (д, 2H, J=8,3 Гц) |
ДМСО-d6, 300 МГц |
| 2- |
169 |
 |
>230 |
1,10-1,25 (м, 2H), 1,38-1,53 (м, 2H), 1,57 (с, 6H), 1,69-1,87 (м, 5H), 2,24 (с, 3H), 2,50 (м, 1H), 2,54 (д, 2H, д=6,9 Гц), 3,58 (с, 3H), 6,80 (ушир.с, 2H), 7,27 (д, 2H, J=8,3 Гц), 7,60 (д, 2H, J=8,3 Гц), 10,66 (ушир.с, 1H) |
ДМСО-d6, 400 МГц |
| 2- |
170 |
 |
228-229 |
1,05-1,15 (м, 2H), 1,38-1,48 (м, 2H), 1,58 (с, 6H), 1,66-2,01 (м, 7H), 2,24 (с, 3H), 2,51-2,55 (м, 1H), 3,08-3,30 (м, 6H), 3,85-3,90 (м, 2H), 4,97 (д, 1H, J=4,0 Гц), 6,80 (ушир.с, 2H), 7,27 (д, 2H, J=8,0 Гц), 7,61 (д, 2H, J=12,0 Гц) |
ДМСО-d6, 400 МГц |
| 2- |
171 |
 |
|
1,09-1,28 (м, 2H), 1,38-1,80 (м, 3H), 1,69 (с, 6H), 1,84-2,04 (м, 4H), 2,44 (с, 3H), 2,48-2,60 (м, 1H), 3,09 (д, 2H, J=6,0 Гц), 3,38-3,53 (м, 4H), 4,59 (с, 1H), 5,50 (ушир., 2H), 7,24 (д, 2H, J=8,3 Гц), 7,54 (д, 2H, J=8,3 Гц) |
CDCl3, 300 МГц |
| 2- |
172 |
 |
>250 |
1,04-1,09 (м, 2H), 1,43 (м, 1H), 1,43-1,50 (м, 4H), 1,60 (с, 6H), 1,80-1,90 (м, 4H), 5,24 (с, 1H), 6,88 (ушир.с, 2H), 7,29 (д, 2H, J=8,3 Гц), 7,62 (д, 2H, J=8,3 Гц), 7,94 (с,1H), 9,20 (ушир.с, 1H), 11,20 (ушир.с, 1H) |
ДМСО-d6, 400 МГц |
| 2- |
173 |
 |
218-219 |
1,02-1,13 (м, 2H), 1,40-1,49 (м, 5H), 1,60 (с, 6H), 1,81-1,85 (м, 4H), 2,53-2,57 (м, 1H), 2,89 (с, 3H), 2,96-3,02 (м, 2H), 6,88-6,97 (м, 3H), 7,31 (д, 2H, J=9,0 Гц), 7,65 (д, 2H, J=9,0 Гц), 7,95 (с, 1H) |
ДМСО-d6, 300 МГц |
| 2- |
174 |
 |
238-239 |
0,99-1,14 (м, 2H), 1,31-1,52 (м, 5H), 1,60 (с, 6H), 1,79 (с, 3H), 1,80-1,86 (м, 4H), 2,53-2,59 (м, 1H), 3,05-3,12 (м, 2H), 6,93 (ушир.с, 2H), 7,30 (д, 2H, J=9,0 Гц), 7,65 (д, 2H, J=9,0 Гц), 7,77 (т, 1H, J=4,5 Гц), 7,95 (с, 1H) |
ДМСО-d6, 300 МГц |
| 2- |
175 |
 |
230-231 |
0,91-1,06 (м, 2H), 1,27-1,45 (м, 5H), 1,60 (с, 6H), 1,67-1,82 (м, 4H), 2,39 (с, 3H), 2,44-2,49 (м, 1H), 2,74-2,80 (м, 2H), 6,93 (ушир.с, 2H), 7,28 (д, 2H, J=9,0 Гц), 7,41 (д, 2H, J=9,0 Гц), 7,45 (т, 1H, J=7,5 Гц), 7,64 (д, 2H, J=9,0 Гц), 7,69 (д, 2H, J=9,0 Гц), 7,95 (с, 1H) |
ДМСО-d6, 300 МГц |
| 2- |
176 |
 |
196-198 |
0,98-1,14 (м, 2H), 1,29-1,65 (м, 11H), 1,76-1,93 (м, 4H), 2,51-2,58 (м, 1H), 3,14-3,21 (м, 2H), 3,79 (д, 2H, J=6,0 Гц), 5,39 (т, 1H, J=6,0 Гц), 6,92 (ушир.с, 2H), 7,30 (д, 2H, J=9,0 Гц), 7,62-7,67 (м, 3H), 7,95 (с, 1H) |
ДМСО-d6, 300 МГц |
| 2- |
177 |
 |
198-200 |
0,84 (т, 3H, J=7,4 Гц), 0,97-1,12 (м, 2H), 1,18-1,53 (м, 7H), 1,60 (с, 6H), 1,76-1,88 (м, 4H), 2,10 (т, 2H, J=7,7 Гц), 2,45-2,57 (м, 1H), 2,99 (кв, 2H, J=6,5 Гц), 6,94 (ушир., 2H), 7,29 (д, 2H, J=8,3 Гц), 7,64 (д, 2H, J=8,3 Гц), 7,75 (т, 1H, J=6,5 Гц), 7,95 (с, 1H) |
ДМСО-d6, 300 МГц |
| 2- |
178 |
 |
143-160 |
1,03-1,17 (м, 2H), 1,25-1,56 (м, 5H), 1,64 (с, 6H), 2,30 (т, 1,2H, J=7,7 Гц), 2,39 (т, 0,8H, J=7,7 Гц), 2,51-2,62 (м, 1H), 3,17-3,54 (м, 5H), 3,89-4,00 (м, 1H), 4,77 (ушир., 0,6H), 4,95 (ушир., 0,4H), 6,99 (ушир., 2H), 7,33 (д, 2H, J=8,3 Гц), 7,67 (д, 2H, J=8,3 Гц), 7,98 (с, 1H) |
ДМСО-d6, 300 МГц |
| 2- |
179 |
 |
168-170 |
0,98-1,16 (м, 2H), 1,25-1,55 (м, 5H), 1,60 (с, 6H), 1,75-1,94 (м, 4H), 2,24-2,44 (м, 2H), 2,48-2,60 (м, 1H), 2,81 (с, 1,5H), 3,00 (с, 1,5H), 3,25-3,41 (м, 2H), 3,43-3,55 (м, 2H), 4,60 (ушир., 0,5H), 4,78 (ушир., 0,5H), 6,92 (ушир., 2H), 7,30 (д, 2H, J=8,4 Гц), 7,64 (д, 2H, J=8,4 Гц), 7,95 (с, 1H) |
ДМСО-d6, 300 МГц |
| 2- |
180 |
 |
200-202 |
0,98-1,55 (м, 9H), 1,60 (с,6H), 1,61-1,94 (м, 6H), 2,33 (т, 2H, J=7,8 Гц), 2,48-2,59 (м, 1H), 2,90-3,04 (м, 1H), 3,07-3,20 (м, 1H), 3,60-3,75 (м, 2H), 3,85-4,03 (м, 1H), 4,71 (ушир., 1H), 6,92 (ушир., 2H), 7,30 (д, 2H, J=8,4 Гц), 7,64 (д, 2H, J=8,4 Гц), 7,95 (с, 1H) |
ДМСО-d6, 300 МГц |
| 2- |
181 |
 |
83-207 |
1,02-1,14 (м, 2H), 1,24-1,51 (м, 5H), 1,60 (с, 6H), 1,77-1,91 (м, 4H), 2,16-2,37 (м, 8H), 2,46-2,54 (м, 1H), 3,38-3,50 (м, 4H), 6,93 (ушир., 2H), 7,29 (д, 2H, J=8,3 Гц), 7,64 (д, 2H, J=8,3 Гц), 7,95 (с, 1H) |
ДМСО-d6, 300 МГц |
| 2- |
182 |
 |
167-169 |
0,99-1,13 (м, 2H), 1,27-1,50 (м, 6H), 1,55-1,69 (м, 9H), 1,76-2,00 (м, 5H), 2,51-2,57 (м, 1H), 2,80-2,87 (м, 2H), 3,09-3,16 (м, 2H), 3,49-3,53 (м, 1H), 6,94 (ушир.с, 2H), 7,29 (д, 2H, J=6,0 Гц), 7,63 (д, 2H, J=6,0 Гц), 7,88-7,92 (м, 1H), 7,95 (с, 1H) |
ДМСО-d6, 300 МГц |
| 2- |
183 |
 |
201-203 |
0,98-1,13 (м,2H), 1,24-1,70 (м, 13H), 1,77-1,98 (м, 5H), 2,51-2,58 (м, 1H), 2,71-2,87 (м, 2H), 3,07-3,16 (м, 2H), 3,70 (т, 1H, J=7,5 Гц), 4,17 (ушир.с, 1H), 4,67 (д, 1H, J=3,0 Гц), 6,92 (ушир.с, 2H), 7,30 (д, 2H, J=9,0 Гц), 7,64 (д, 2H, J=9,0 Гц), 7,92 (т, 1H, J=4,5 Гц), 7,95 (с, 1H) |
ДМСО-d6, 300 МГц |
| 2- |
184 |
 |
>250 |
1,03-1,17 (м, 2H), 1,37-1,54 (м, 5H), 1,60 (с, 6H), 1,78-1,90 (м, 4H), 2,08 (с, 3H), 2,53-2,59 (м, 1H), 3,19-3,25 (м, 2H), 6,12 (ушир.с, 1H), 6,94 (ушир.с, 2H), 7,30 (д, 2H, J=9,0 Гц), 7,34-7,39 (м, 1H), 7,64 (д, 2H, J=9,0 Гц), 7,95 (с, 1H) |
ДМСО-d6, 300 МГц |
| 2- |
185 |
 |
193-194 |
1,02-1,14 (м, 2H), 1,27-1,51 (м, 6H), 1,60 (с, 6H), 1,80-1,89 (м, 4H), 2,20 (с, 3H), 2,44-2,46 (м, 2H), 2,52-2,56 (м, 1H), 6,53 (с, 1H), 6,96 (ушир.с, 2H), 7,29 (д, 2H, J=12,0 Гц), 7,62 (д, 2H, J=8,0 Гц), 7,93 (с, 1H) |
ДМСО-d6, 400 МГц |
| 2- |
186 |
 |
200-201 |
0,98-1,13 (м, 2H), 1,25-1,51 (м, 5H), 1,60 (с, 6H), 1,77-1,90 (м, 4H), 2,31 (т, 2H, J=7,7 Гц), 2,50-2,57 (м, 1H), 2,81 (с, 3H), 2,97 (с, 3H), 6,93 (ушир., 2H), 7,30 (д, 2H, J=8,1 Гц), 7,64 (д, 2H, J=8,1 Гц), 7,95 (с, 1H) |
ДМСО-d6, 300 МГц |
| 2- |
187 |
 |
206-208 |
0,96-1,11 (м,2H), 1,04 (д, 6H, J=6,6 Гц), 1,20-1,51 (м, 5H), 1,60 (с, 6H), 1,76-1,92 (м, 4H), 2,07 (т, 2H, J=7,3 Гц), 2,45-2,58 (м, 1H), 3,83 (дт, 1H, J=20,9, 6,6 Гц), 6,93 (ушир., 2H), 7,30 (д, 2H, J=8,0 Гц), 7,63 (т, 1H, J=7,3 Гц), 7,64 (д, 2H, J=8,0 Гц), 7,95 (с, 1H) |
ДМСО-d6, 300 МГц |
| 2- |
188 |
 |
173-175 |
0,99 (т, 1,5H, J=7,1 Гц), 1,01-1,15 (м, 2H), 1,10 (т, 1,5H, J=7,1 Гц), 1,22-1,54 (м, 5H), 1,60 (с, 6H), 1,76-1,87 (м, 4H), 2,29 (т, 1H, J=7,7 Гц), 2,32 (т, 1H, J=7,7 Гц), 2,46-2,58 (м, 1H), 2,78 (с, 1,5H), 2,94 (с, 1,5H), 3,26-3,37 (м, 2H), 6,92 (ушир., 2H), 7,30 (д, 2H, J=8,4 Гц), 7,64 (д, 2H, J=8,4 Гц), 7,95 (с, 1H) |
ДМСО-d6, 300 МГц |
| 2- |
189 |
 |
192-194 |
0,96-1,13 (м,2H), 1,00 (т, 3H, J=7,0 Гц), 1,11 (т, 3H, J=7,0 Гц), 1,25-1,52 (м,5H), 1,60 (с, 6H), 1,75-1,92 (м,4H), 2,30 (т, 2H, J=7,7 Гц), 2,49-2,59 (м, 1H), 3,22-3,34 (м, 4H), 6,94 (ушир., 2H), 7,30 (д, 2H, J=8,4 Гц), 7,64 (д, 2H, J=8,4 Гц), 7,95 (с, 1H) |
ДМСО-d6, 300 МГц |
| 2- |
190 |
 |
210-212 |
0,80 (т, 1,5H, J=7,3 Гц), 0,84 (т, 1,5H, J=7,3 Гц), 0,98-1,15 (м, 2H), 1,22-1,57 (м, 8H), 1,60 (с, 6H), 1,74-1,91 (м, 4H), 2,28-2,37 (м, 2H), 2,47-2,59 (м, 1H), 2,79 (с, 1,5H), 2,95 (с, 1,5H), 3,24 (кв, 2H, J=7,3 Гц), 6,93 (ушир., 2H), 7,30 (д, 2H, J=8,4 Гц), 7,64 (д, 2H, J=8,4 Гц), 7,95 (с, 1H) |
ДМСО-d6, 300 МГц |
| 2- |
191 |
 |
>250 |
1,00-1,11 (м, 2H), 1,25-1,35 (м, 1H), 1,43-1,50 (м, 4H), 1,58 (с, 6H), 1,78-1,86 (м, 4H), 2,22-2,28 (м, 2H), 2,24 (с, 3H), 6,82 (ушир.с, 2H), 7,29 (д, 2H, J=9,0 Гц), 7,62 (д, 2H, J=9,0 Гц), 11,99 (ушир.с, 1H) |
ДМСО-d6, 300 МГц |
| 2- |
192 |
 |
>250 |
0,99-1,12 (м, 2H), 1,22-1,33 (м, 1H), 1,42-1,52 (м, 4H), 1,58 (с, 6H), 1,80-1,84 (м, 4H), 2,24 (с, 3H), 2,32 (т, 2H, J=7,5 Гц), 3,23 (с, 3H), 6,81 (ушир.с, 2H), 7,29 (д, 2H, J=9,0 Гц), 7,62 (д, 2H, J=9,0 Гц), 11,66 (ушир.с, 1H) |
ДМСО-d6, 300 МГц |
| 2- |
193 |
 |
>240 |
0,95-1,12 (м, 2H), 1,17 (с, 6H), 1,21-1,30 (м, 1H), 1,36-1,49 (м, 4H), 1,58 (с, 6H), 1,77-1,87 (м, 4H), 2,09 (т, 2H, J=7,5 Гц), 2,24 (с, 3H), 2,47-2,58 (м, 1H), 3,37 (д, 2H, J=6,0 Гц), 4,88 (т, 1H, J=6,0 Гц), 6,80 (ушир., 2H), 7,24 (ушир.с, 1H), 7,29 (д,2H,J=9,0 Гц), 7,62 (д, 2H, J=9,0 Гц) |
ДМСО-d6, 300 МГц |
| 2- |
194 |
 |
230-231 |
0,99-1,12 (м, 2H), 1,25-1,36 (м, 1H), 1,37-1,52 (м, 4H), 1,58 (с, 6H), 1,79-1,87 (м, 4H), 2,22 (т, 2H, J=7,5 Гц), 2,24 (с, 3H), 2,49-2,57 (м, 1H), 3,17 (дд, 1H, J=12,0, 6,0 Гц), 3,25 (дд, 1H, J=12,0, 6,0 Гц), 3,36 (дд, 1H, J=12,0, 6,0 Гц), 3,57 (дд, 1H, J=12,0,6,0 Гц), 3,94-4,01 (м, 1H), 4,01-4,08 (м, 1H), 4,86 (д, 1H, J=6,0 Гц), 4,93 (д, 1H, J=6,0 Гц), 6,81 (ушир., 1H), 7,29 (д, 2H, J=9,0 Гц), 7,62 (д, 2H, J=9,0 Гц) |
ДМСО-d6, 300 МГц |
| 2- |
195 |
 |
250 (разл.) |
1,06-1,13 (м, H), 1,43-154 (м, 5H), 1,58 (с, 6H), 1,84 (м, 4H), 2,24 (с, 3H), 2,55 (д, 2H, J=7,5 Гц), 6,83 (ушир.с, 2H), 7,29 (д, 2H, J=8,3 Гц), 7,62 (д, 2H, J=8,3 Гц) |
ДМСО-d6, 400 МГц |
| 2- |
196 |
 |
211 (разл.) |
1,06-1,13 (м, 2H), 1,44-154 (м, 5H), 1,58 (с, 6H), 1,84 (м, 4H), 2,24 (с, 3H), 2,55 (д, 2H, J=7,5 Гц), 6,82 (ушир.с, 2H), 7,29 (д, 2H, J=8,3 Гц), 7,62 (д, 2H, J=8,3 Гц) |
ДМСО-d6, 300 МГц |
| 2- |
197 |
 |
250 (разл.) |
1,04-1,15 (м, 2H), 1,36-1,49 (м, 5H), 1,58 (с, 6H), 1,86 (м, 4H), 2,24 (м, 2H), 2,54 (м, 1H), 2,66 (м, 2H), 3,69 (с, 3H), 6,82 (ушир.с, 2H), 7,29 (д, 2H, J=8,3 Гц), 7,62 (д, 2H, J=8,3 Гц) |
ДМСО-d6, 300 МГц |
| 2- |
198 |
 |
>250 |
1,04-1,11 (м, 2H), 1,39-1,52 (м, 5Н), 1,58 (с, 6H), 1,86 (м, 4H), 2,24 (с, 3Н), 2,64 (м, 2H), 3,57 (с, 3H), 4,86 (т, 1H, J=5,3 Гц), 6,83 (ушир.с, 2H), 7,29 (д, 2H, J=8,3 Гц), 7,44 (т, 1H, J=5,6 Гц), 7,62 (д, 2H, J=8,3 Гц) |
ДМСО-d6, 300 МГц |
| 2- |
199 |
 |
198-200 |
1,10-1,15 (м, 2H), 1,43-1,50 (м, 3H), 1,69 (с, 6H), 1,78 (м, 2H), 1,94 (м, 4H), 2,47 (с, 3H), 2,67 (м, 1H), 2,90 (м, 2H), 5,74 (ушир.с, 2H), 7,25 (д, 2H, J=8,3 Гц), 7,54 (д, 2H, J=8,3 Гц) |
CDCl3, 300 МГц |
| 2- |
200 |
 |
>250 |
1,04-1,19 (м, 3H), 1,37-1,52 (м, 2H), 1,58 (с, 6H), 1,62-1,69 (м, 2H), 1,79-1,91 (м, 4H), 2,24 (с, 3H), 2,47-2,58 (м, 1H), 2,93 (т, 2H,J=7,5 Гц), 6,81 (ушир.с, 2H), 7,29 (д, 2H, J=9,0 Гц), 7,62 (д, 2H, J=9,0 Гц) |
ДМСО-d6, 300 МГц |
| 2- |
201 |
 |
>250 |
1,03-1,15 (м, 2H), 1,27-1,41 (м, 1H), 1,39-1,53 (м,4H), 1,58 (с, 6H), 1,81-1,87 (м,4H), 2,24 (с, 3H), 2,46-2,53 (м, 2H), 2,57 (ушир., 1H), 6,81 (ушир., 1H), 7,29 (д, 2H, J=9,0 Гц), 7,62 (д, 2H, J=9,0 Гц), 11,96 (ушир.с, 1H), 15,78 (ушир., 1H) |
ДМСО-d6, 300 МГц |
| 2- |
202 |
 |
>225 |
1,02-1,18 (м, 2H), 1,11 (с,6H), 1,34-1,53 (м, 5H), 1,58 (с, 6H), 1,69-1,85 (м, 4H), 2,24 (с, 3H), 2,43-2,53 (м, 1H), 6,81 (ушир., 2H), 7,28 (д, 2H, J=8,3 Гц), 7,61 (д, 2H, J=8,3 Гц), 12,03 (ушир.с, 1H) |
ДМСО-d6, 300 МГц |
| 2- |
203 |
 |
235-237 |
1,35-1,55 (м, 4H), 1,60 (с, 6H), 1,77-1,79 (м, 4H), 2,15-2,25 (м, 1H), 2,48-2,61 (м, 1H), 3,11 (кв, 2H, J=6,0 Гц), 3,39 (кв, 2H, J=6,0 Гц), 4,64 (т, 1H, J=6,0 Гц), 6,97 (ушир., 2H), 7,31 (д, 2H, J=8,4 Гц), 7,65 (д, 2H, J=8,4 Гц), 7,74 (т, 1H, J=6,0 Гц), 7,95 (с, 1H) |
ДМСО-d6, 300 МГц |
| 2- |
204 |
 |
>250 |
1,43-1,54 (м, 4H), 1,60 (с, 6H), 1,81-1,95 (м, 4H), 2,10-2,24 (м, 1Н), 2,49-2,63 (м, 1H), 6,70 (ушир.с, 1H), 6,95 (ушир., 2H), 7,23 (ушир.с, 1H), 7,31 (д, 2H, J=8,4 Гц), 7,65 (д, 2H, J=8,4 Гц), 7,95 (с, 1H) |
ДМСО-d6, 300 МГц |
| 2- |
205 |
 |
>250 |
1,41-1,59 (м, 4H), 1,61 (с, 6H), 1,81-1,91 (м, 4H), 2,21-2,31 (м, 1H), 2,54-2,60 (м, 1H), 3,74 (д, 2H, J=5,6 Гц), 6,97 (ушир., 2H), 7,31 (д, 2H, J=8,1 Гц), 7,65 (д, 2H, J=8,1 Гц), 7,96 (с, 1H), 8,04 (т, 1H, J=5,6 Гц) |
ДМСО-d6, 400 МГц |
| 2- |
206 |
 |
>250 |
1,08 (с, 3H), 1,22 (с, 3H), 1,41-1,54 (м, 4H), 1,80-1,88 (м, 2H), 1,96-2,04 (м, 2H), 2,22-2,30 (м, 1H), 2,47-2,55 (м, 1H), 4,11 (с, 1H), 5,27 (с, 1H), 6,23 (с, 2H), 7,25 (д, 2H, J=8,1 Гц), 7,36 (д, 2H, J=8,1 Гц), 7,62 (с, 1H) |
ДМСО-d6, 400 МГц |
| 2- |
207 |
 |
>250 |
1,45-1,65 (м, 7H), 1,60 (с, 6H), 1,80-1,95 (м, 6H), 2,50-2,78 (м, 3H), 3,05-3,26 (м, 1H), 3,86-4,30 (м, 2H), 6,90 (ушир.с, 2H), 7,30 (д, 2H, J=9,0 Гц), 7,64 (д, 2H, J=9,0 Гц), 7,95 (с, 1H), 12,05 (ушир.с, 1H) |
ДМСО-d6, 300 МГц |
| 2- |
208 |
 |
193-194 |
1,45-1,65 (м,4H), 1,60 (с, 6H), 1,80-1,95 (м, 7H), 2,08-2,19 (м, 2H), 2,53-2,63 (м, 1H), 3,55-3,63 (м, 2H), 4,21-4,25 (м, 1H), 6,95 (ушир.с, 2H), 7,32 (д, 2H, J=9,0 Гц), 7,66 (д, 2H, J=9,0 Гц), 7,95 (с, 1H) |
ДМСО-d6, 300 МГц |
| 2- |
209 |
 |
>250 |
1,23-1,36 (м, 2H), 1,48-1,57 (м, 2H), 1,60 (с, 6H), 1,79 (с, 3H), 1,83-1,92 (м, 4H), 2,53-2,58 (м, 1H), 3,55-3,66 (м, 1H), 6,94 (ушир.с, 2H), 7,33 (д, 2H, J=9,0 Гц), 7,65 (д, 2H, J=9,0 Гц), 7,76 (д, 1H, J=6,0 Гц), 7,95 (с, 1H) |
ДМСО-d6, 300 МГц |
| 2- |
210 |
 |
>250 |
1,24-1,48 (м, 4H), 1,58 (с, 6H), 1,69-1,76 (м, 4H), 2,39 (с, 3H), 2,41-2,46 (м, 1H), 2,98-3,08 (м, 1H), 6,93 (ушир.с, 2H), 7,27 (д, 2H, J=9,0 Гц), 7,40 (д, 2H, J=9,0 Гц), 7,61 (д, 2H, J=9,0 Гц), 7,65 (д, 1H, J=6,0 Гц), 7,73 (д, 2H, J=9,0 Гц), 7,94 (с, 1H) |
ДМСО-d6, 300 МГц |
| 2- |
211 |
 |
>250 |
Смесь 2 конформеров; 1,25 и 1,27 (с, 3H), 1,42-1,57 (м, 4H), 1,61 (с, 6H), 1,79-1,91 (м, 4H), 2,21-2,30 (м, 1H), 2,52-2,63 (м, 1H), 4,14-4,25 (м, 1H), 6,96 (ушир.с, 2H), 7,32 (д, 2H, J=9,0 Гц), 7,65 (д, 2H, J=6,0 Гц), 7,96 (с, 1H), 8,04 (д, 1H, J=6,0 Гц) |
ДМСО-d6, 300 МГц |
| 2- |
212 |
 |
>250 |
1,33 (с, 6H), 1,42-1,54 (м, 4H), 1,60 (с, 6H), 1,81-1,88 (м, 4H), 2,17-2,25 (м, 1H), 2,53-2,59 (м, 1H), 6,97 (ушир.с, 2H), 7,31 (д, 2H, J=9,0 Гц), 7,65 (д, 2H, J=9,0 Гц), 7,90 (ушир.с,1H), 7,96 (с, 1H) |
ДМСО-d6, 300 МГц |
| 2- |
213 |
 |
>250 |
1,45-1,57 (м, 4H), 1,61 (с, 6H), 1,84-1,91 (м, 4H), 2,30-2,37 (м, 1H), 2,53-2,60 (м, 1H), 3,60-3,70 (м, 2H), 4,25-4,31 (м, 1H), 4,91 (ушир.с, 1H), 6,97 (ушир.с, 2H), 7,32 (д, 2H, J=9,0 Гц), 7,66 (д, 2H, J=9,0 Гц), 7,85 (д, 1H, J=9,0 Гц), 7,96 (с, 1H) |
ДМСО-d6, 300 МГц |
| 2- |
214 |
 |
>250 |
Смесь 2 конформеров; 1,49-1,63 (м, 4H), 1,61 (с, 6H), 1,80-1,89 (м, 4H), 2,81 и 3,09 (с, 3H), 3,98 и 4,20 (с, 2H), 6,93 (ушир.с, 2H), 7,31 и 7,33 (д, 2H, J=9,0 Гц), 7,65 и 7,66 (д, 2H, J=9,0 Гц), 7,95 (с, 1H) |
ДМСО-d6, 300 МГц |
| 2- |
215 |
 |
>250 |
1,34-1,44 (м, 2H), 1,51-1,58 (м, 2H), 1,60 (с, 6H), 1,78-1,87 (м, 2H), 1,97-2,06 (м, 2H), 2,51-2,56 (м, 1H), 2,93 (с, 3H), 3,19-3,23 (м, 1H), 6,90 (ушир.с, 2H), 7,03 (д, 1H, J=6,0 Гц), 7,31 (д, 2H, J=6,0 Гц), 7,64 (д, 2H, J=6,0 Гц), 7,95 (с, 1H) |
ДМСО-d6, 400 МГц |
| 2- |
216 |
 |
|
1,01-1,10 (м, 2H), 1,40-1,49 (м, 3H), 1,60 (с, 6H), 1,83-1,87 (м, 4H), 2,52-2,55 (м, 1H), 3,22-3,28 (м, 2H), 6,90 (ушир.с, 2H), 7,30 (д, 2H, J=8,0 Гц), 7,63 (д, 2H, J=8,0 Гц), 7,94 (с, 1H) |
ДМСО-d6, 400 МГц |
| 2- |
217 |
 |
225-227 |
1,09-1,20 (м, 2H), 1,36-1,46 (м, 2H), 1,58 (с, 6H), 1,76-1,81 (м, 5H), 2,52-2,56 (м, 1H), 3,48 (д, 2H, J=8,0 Гц), 6,89 (ушир.с, 2H), 7,27 (д, 2H, J=12,0 Гц), 7,61 (д, 2H, J=12,0 Гц), 7,82-7,88 (м, 4H), 7,92 (с, 1H) |
ДМСО-d6, 400 МГц |
| 2- |
218 |
 |
212 |
1,32-1,54 (м, 4H), 1,60 (с, 6H), 1,81-1,85 (м, 2H), 2,05-2,10 (м, 2H), 2,53-2,56 (м, 1H), 3,09-3,18 (м, 1H), 6,46 (с, 2H), 6,54 (д, 1H, J=9,0 Гц), 6,94 (ушир.с, 2H), 7,31 (д, 2H, J=6,0 Гц), 7,64 (д, 2H, J=6,0 Гц), 7,95 (с, 1H) |
ДМСО-d6, 300 МГц |
| 2- |
219 |
 |
243-248 |
1,08 (с, 3H), 1,22 (с, 3H), 1,44-1,62 (м, 4H), 1,69-1,90 (м, 4H), 2,45-2,58 (м, 1H), 2,63-2,77 (м, 1H), 2,81 (с, 1,2H), 3,08 (с, 1,8H), 4,11 (с, 0,6H), 4,18 (с, 0,4H), 5,26 (с, 1H), 6,20 (ушир., 2H), 7,26 (д, 2H,J=8,1 Гц), 7,37 (д, 2H, J=8,1 Гц), 7,61 (с, 1H), 12,48 (ушир.с, 1H) |
ДМСО-d6, 400 МГц |
| 2- |
220 |
 |
>250 |
1,16-1,29 (м, 2H), 1,43-1,56 (м, 2H), 1,61 (с, 6H), 1,80-2,11 (м, 5H), 2,53-2,59 (м, 1H), 2,94 (д, 2H, J=6,0 Гц), 6,79 (с, 2H), 6,93 (ушир.с,2H), 7,31 (д, 2H, J=9,0 Гц), 7,66 (д, 2H, J=9,0 Гц), 7,95 (с, 1H) |
ДМСО-d6, 300 МГц |
| 2- |
221 |
 |
>250 |
1,08 (с, 3H), 1,16-1,27 (м, 5H), 1,43-1,52 (м, 2H), 1,80-2,08 (м, 5H), 2,46-2,49 (м, 1H), 2,93 (д, 2H, J=8,0 Гц), 4,11 (ушир.с, 1H), 5,25 (ушир.с, 1H), 6,20 (ушир.с, 2H), 6,76 (с, 2H), 7,24 (д, 2H, J=8,0 Гц), 7,36 (д, 2H, J=8,0 Гц), 7,61 (с, 1H) |
ДМСО-d6, 400 МГц |
| 2- |
222 |
 |
>250 |
1,07 (с, 3H), 1,22 (с, 3H), 1,24-1,53 (м, 4H), 1,75-2,11 (м, 4H), 2,41-2,48 (м, 1H), 3,05-3,17 (м, 1H), 4,11 (ушир.с, 1H), 5,26 (ушир.с, 1H), 6,21 (ушир.с, 2H), 6,45 (ушир.с, 2H), 6,52 (д, 1H, J=12,0 Гц), 7,24 (д, 2H, J=8,0 Гц), 7,35 (д, 2H, J=8,0 Гц), 7,60 (с, 1H) |
ДМСО-d6, 300 МГц |
| 2- |
223 |
 |
|
1,00-1,11 (м, 5H), 1,22 (с, 3H), 1,37-1,48 (м, 3H), 1,77-1,85 (м, 4H), 2,43-2,48 (м, 1H), 3,24-3,27 (м, 2H), 4,11 (ушир.с, 1H), 4,30-4,32 (м, 1H), 5,26 (ушир.с, 1H), 6,20 (ушир.с, 2H), 7,24 (д, 2H, J=8,0 Гц), 7,36 (д, 2H, J=8,0 Гц), 7,61 (с, 1H) |
ДМСО-d6, 400 МГц |
| 2- |
224 |
 |
169-171 |
0,94-1,06 (м, 2H), 1,36-1,60 (м, 16H), 1,76-1,93 (м, 4H), 2,03-2,13 (м, 2H), 2,25-2,35 (м, 3H), 2,52-2,56 (м, 1H), 6,91 (ушир.с, 2H), 7,30 (д, 2H, J=12,0 Гц), 7,64 (д, 2H, J=12,0 Гц), 7,94 (с, 1H) |
ДМСО-d6, 400 МГц |
| 2- |
225 |
 |
|
0,92-1,08 (м, 2H), 1,29-2,15 (м, 21H), 2,53-2,58 (м, 1H), 2,64-2,73 (м, 2H), 3,38-3,48 (м, 1H), 4,47-4,51 (м, 1H), 6,91 (ушир.с, 2H), 7,30 (д, 2H, J=9,0 Гц), 7,64 (д, 2H, J=9,0 Гц), 7,95 (с, 1H) |
ДМСО-d6, 300 МГц |
| 2- |
226 |
 |
|
0,97-1,11 (м, 2H), 1,40-1,68 (м, 11H), 1,79-2,01 (м, 7H), 2,18-2,31 (м, 2H), 2,39-2,47 (м, 2H), 2,62-2,74 (м, 2H), 4,75 (ушир.с, 1H), 6,92 (ушир.с, 2H), 7,18-7,36 (м, 5H), 7,49 (д, 2H, J=9,0 Гц), 7,65 (д, 2H J=9,0 Гц), 7,95 (с, 1H) |
ДМСО-d6, 300 МГц |
| 2- |
227 |
 |
198-200 |
0,91-1,69 (м, 21H), 1,77-1,94 (м, 4H), 2,05-2,16 (м, 1H), 2,53-2,61 (м, 1H), 2,74-2,89 (м, 2H), 3,40-3,46 (м, 2H), 4,30 (ушир.с, 1H), 6,91 (ушир.с,2H), 7,30 (д, 2H, J=9,0 Гц), 7,65 (д, 2H, J=9,0 Гц), 7,95 (с, 1H) |
ДМСО-d6, 300 МГц |
| 2- |
228 |
 |
119-120 |
0,91-1,65 (м, 19H), 1,75-1,90 (м, 6H), 2,11 (ушир.с, 1H), 2,55-2,58 (м, 1Н), 2,72-2,91 (м, 2H), 6,91 (ушир.с, 2H), 7,15-7,33 (м, 7H), 7,64 (д, 2H, J=9,0 Гц), 7,95 (с, 1H) |
ДМСО-d6, 300 МГц |
| 2- |
229 |
 |
160-162 |
0,97-1,11 (м, 2H), 1,39-1,97 (м, 19H), 2,27-2,63 (м, 3H), 3,24 (ушир.с, 2H), 6,91 (ушир.с, 2H), 7,30 (д, 2H, J=6,0 Гц), 7,64 (д, 2H, J=6,0 Гц), 7,95 (с, 1H) |
ДМСО-d6, 300 МГц |
| 2- |
230 |
 |
|
0,91-1,10 (м, 2H), 1,37-1,63 (м, 11H), 1,78-1,92 (м, 5H), 2,06-2,42 (м, 10H), 2,52-2,59 (м, 1H), 6,91 (ушир.с, 2H), 7,30 (д, 2H, J=9,0 Гц), 7,64 (д, 2H, J=9,0 Гц), 7,95 (с, 1H) |
ДМСО-d6, 300 МГц |
| 2- |
231 |
 |
|
0,95-1,07 (м, 2H), 1,37-1,65 (м, 11H), 1,78-1,91 (м, 4H), 2,15-2,23 (м, 2H), 2,32-2,47 (м, 6H), 3,45-3,51 (м, 2H), 6,91 (ушир.с, 2H), 7,25-7,35 (м, 7H), 7,64 (д, 2H, J=9,0 Гц), 7,95 (с, 1H) |
ДМСО-d6, 300 МГц |
| 2- |
232 |
 |
171-172 |
0,98-1,08 (м, 2H), 1,39 (с, 9H), 1,41-1,51 (м,2H), 1,60 (с, 6H), 1,80-1,91 (м, 5H), 2,13 (ушир.с, 2H), 2,26-2,32 (м, 4H), 2,48-2,53 (м, 4H), 2,52-2,57 (м, 1H), 6,90 (ушир.с, 2H), 7,28 (д, 2H, J=8,0 Гц), 7,62 (д, 2H, J=8,0 Гц), 7,93 (с, 1H) |
ДМСО-d6, 400 МГц |
| 2- |
233 |
 |
224-229 |
1,06 (д, 3H, J=6,0 Гц), 1,09-1,31 (м, 3H), 1,36-1,52 (м, 2H), 1,61 (с, 6H), 1,71-1,82 (м, 1H), 1,90-1,93 (м, 2H), 2,01-2,47 (м, 1Н), 3,37-3,46 (м, 1H), 6,93 (ушир., 2H), 7,30 (д, 2H, J=8,4 Гц), 7,64 (д, 2H, J=8,4 Гц), 7,95 (с, 1Н) |
ДМСО-d6, 400 МГц |
| 2- |
234 |
 |
226-230 |
1,37-1,67 (м, 4H), 1,61 (с, 6H), 1,78-1,92 (м, 4H), 2,46-2,60 (м, 1H), 3,62-3,78 (м, 1H), 3,79 (с, 2H), 6,93 (ушир., 2H), 7,33 (д, 2H, J=8,4 Гц), 7,48 (д, 1H, J=8,4 Гц), 7,65 (д, 2H, J=8,4 Гц), 7,95 (с, 1H) |
ДМСО-d6, 300 МГц |
| 2- |
235 |
 |
201-202 |
1,46-1,66 (м,4H), 1,61 (с, 6H), 1,71-1,93 (м, 8H), 2,43-2,63 (м, 2H), 3,26-3,35 (м, 2H), 3,43-3,54 (м, 2H), 6,93 (ушир., 2H), 7,31 (д, 2H, J=8,4 Гц), 7,65 (д, 2H, J=8,4 Гц), 7,95 (с, 1H) |
ДМСО-d6, 300 МГц |
| 2- |
236 |
 |
220-224 |
1,33-1,89 (м, 14H), 1,61 (с, 6H), 2,51 (с, 2H), 3,36 (с, 4H), 6,92 (ушир., 2H), 7,31 (д, 2H, J=8,1 Гц), 7,65 (д, 2H, J=8,1 Гц), 7,95 (с, 1H) |
ДМСО-d6, 300 МГц |
| 2- |
237 |
 |
250-252 |
1,16-1,39 (м, 2H), 1,46-1,92 (м, 8H), 1,61 (с, 6H), 2,51-2,81 (м, 2H), 2,87-3,05 (м, 1H), 3,12-3,25 (м, 1H), 3,62-3,99 (м, 4H), 4,64-4,78 (м, 1H), 6,93 (ушир., 2H), 7,31 (д, 2H, J=8,4 Гц), 7,65 (д, 2H, J=8,4 Гц), 7,95 (с, 1H) |
ДМСО-d6, 300 МГц |
| 2- |
238 |
 |
190-191 |
1,48-1,65 (м, 4H), 1,61 (с, 6H), 1,72-1,92 (м, 4H), 2,20 (с, 3H), 2,22-2,38 (м, 4H), 2,51-2,75 (м, 2H), 3,41-3,55 (м, 4H), 6,93 (ушир., 2H), 7,31 (д,2H,J=8,4 Гц), 7,65 (д, 2H, J=8,4 Гц), 7,95 (с, 1H) |
ДМСО-d6, 300 МГц |
| 2- |
239 |
 |
233-235 |
1,47-1,67 (м, 4H), 1,57 (с, 6H), 1,70-1,92 (м, 4H), 2,47-2,77 (м, 2H), 3,37-3,65 (м, 8H), 6,92 (ушир., 2H), 7,31 (д, 2H, J=8,4 Гц), 7,65 (д, 2H, J=8,4 Гц), 7,95 (с, 1H) |
ДМСО-d6, 300 МГц |
| 2- |
240 |
 |
233-235 |
0,95-1,09 (м, 2H), 1,37-1,65 (м, 3H), 1,60 (с, 6H), 1,77-1,96 (м, 4H), 2,19 (ушир.д, 2H, J=7,0 Гц), 2,39 2,49 (м, 4H), 2,50-2,61 (м, 1H), 3,07-3,14 (м, 4H), 6,91 (ушир., 2H), 7,30 (д, 2H, J=8,4 Гц), 7,64 (д, 2H, J=8,4 Гц), 7,95 (с, 1H) |
ДМСО-d6, 300 МГц |
| 2- |
241 |
 |
120-126 |
0,96-1,10 (м, 2H), 0,99 (д, 6H, J=6,6 Гц), 1,41-1,65 (м,3H), 1,60 (с,6H), 1,81-1,93 (м,4H), 2,15 (ушир.д, 2H, J=7,0 Гц), 2,27-2,38 (м, 4H), 2,49-2,59 (м, 1H), 2,80-2,89 (м, 1H), 3,40-3,51 (м, 4H), 6,92 (ушир., 2H), 7,30 (д, 2H, J=8,4 Гц), 7,64 (д, 2H, J=8,4 Гц), 7,95 (с, 1H) |
ДМСО-d6, 300 МГц |
| 2- |
242 |
 |
171-172 |
0,98-1,08 (м, 2H), 1,39 (с, 9H), 1,41-1,51 (м, 2H), 1,60 (с, 6H), 1,80-1,91 (м, 5H), 2,13 (ушир.с, 2H), 2,26-2,32 (м, 4H), 2,48-2,53 (м, 4H), 2,52-2,57 (м, 1H), 6,90 (ушир.с, 2H), 7,28 (д, 2H, J=8,0 Гц), 7,62 (д, 2H, J=8,0 Гц), 7,93 (с, 1H) |
ДМСО-d6, 400 МГц |
| 2- |
243 |
 |
208-210 |
Смесь 2 конформеров; 1,02-1,13 (м, 2H), 1,38-1,58 (м, 2H), 1,59 (с, 6H), 1,61-1,91 (м, 5H), 2,51 (м, 1H), 2,85 и 2,87 (с, 3H), 3,06 и 3,20 (д, 2H, J=6,8 Гц), 4,06 и 4,07 (ушир.с, 2H), 4,30 и 4,35 (ушир.с, 1H), 6,91 (ушир.с, 2H), 7,27 (д, 2H,J=8,3 Гц), 7,61 (д, 2H, J=8,3 Гц), 7,92 (с, 1H) |
ДМСО-d6, 400 МГц |
| 2- |
244 |
 |
208-209 |
0,94-1,05 (м, 2H), 1,41-1,50 (м, 2H), 1,60 (с, 6H), 1,79-1,90 (м, 5H), 2,08 (д, 2H, J=8,0 Гц), 2,23-2,29 (м, 4H), 2,69-2,71 (м, 4H), 6,92 (ушир.с, 2H), 7,28 (д, 2H, J=8,0 Гц), 7,62 (д, 2H, J=8,0 Гц), 7,93 (с, 1H) |
ДМСО-d6, 400 МГц |
| 2- |
245 |
 |
180-182 |
0,82 (т, 3H, J=7,4 Гц), 1,04-1,13 (м, 2H), 1,37-1,58 (м, 5H), 1,60 (с, 6H), 1,80-1,95 (м,4H), 2,01-2,18 (м, 2H), 2,19-2,39 (м, 4H), 2,51 (м, 1H), 2,95 (кв, 2H, J=7,4 Гц), 3,20-3,28 (м, 4H), 6,40 (ушир.с, 1H), 6,91 (ушир.с, 2H), 7,28 (д, 2H, J=8,3 Гц), 7,62 (д, 2H,J=8,3 Гц), 7,93 (с, 1H) |
ДМСО-d6, 400 МГц |
| 2- |
246 |
 |
158-160 |
1,04-1,13 (м, 2H), 1,37-1,58 (м, 3H), 1,59 (с, 6H), 1,80-1,95 (м, 4H), 2,01-2,18 (м, 2H), 2,19-2,39 (м, 4H), 2,51 (м, 1H), 3,20-3,28 (м, 4H), 5,89 (ушир.с, 2H), 6,91 (ушир.с, 2H), 7,27 (д, 2H, J=8,3 Гц), 7,61 (д, 2H,J=8,3 Гц), 7,92 (с, 1H) |
ДМСО-d6, 400 МГц |
| 2- |
247 |
 |
205-206 |
0,98-1,07 (м, 2H), 1,43-1,51 (м, 2H), 1,60 (с, 6H), 1,80-1,92 (м, 5H), 2,14 (д, 2H, J=8,0 Гц), 2,28-2,36 (м, 4H), 2,52-2,58 (м, 1H), 3,43-3,48 (м, 4H), 4,07 (д, 2H, J=6,0 Гц), 4,33 (т, 1H, J=6,0 Гц), 6,93 (ушир.с, 2H), 7,28 (д, 2H, J=8,0 Гц), 7,63 (д, 2H, J=8,0 Гц), 7,93 (с, 1H) |
ДМСО-d6, 400 МГц |
| 2- |
248 |
 |
207-208 |
1,00-1,04 (м, 2H), 1,30 (с, 6H), 1,40-1,52 (м, 2H), 1,60 (с, 6H), 1,79-1,93 (м, 5H), 2,13 (д, 2H, J=8,0 Гц), 2,30-2,35 (м, 4H), 2,53-2,58 (м, 1H), 3,79-3,97 (м, 4H), 6,92 (ушир.с, 2H), 7,28 (д, 2H, J=8,0 Гц), 7,63 (д, 2H, J=12,0 Гц), 7,93 (с, 1H) |
ДМСО-d6, 400 МГц |
| 2- |
249 |
 |
202-203 |
0,97-1,06 (м, 2H), 1,43-1,52 (м, 2H), 1,60 (с, 6H), 1,81-1,92 (м, 5H), 1,98 (с, 3H), 2,14 (д, 2H, J=8,0 Гц), 2,26-2,36 (м, 4H), 2,52-2,56 (м, 1H), 3,38-3,45 (м, 4H), 6,93 (ушир.с, 2H), 7,28 (д, 2H, J=8,0 Гц), 7,63 (д, 2H, J=12,0 Гц), 7,93 (с, 1H) |
ДМСО-d6, 400 МГц |
| 2- |
250 |
 |
220-240 |
1,43-1,69 (м, 4H), 1,61 (с, 6H), 1,73-1,92 (м, 4H), 2,36-2,64 (м, 2H), 3,13-3,41 (м, 3H), 3,65 (дд, 1H, J=5,9, 9,9 Гц), 3,96-4,11 (м, 2H), 4,85 (ушир., 1H), 4,92 (ушир., 1H), 6,93 (ушир., 2H), 7,32 (д, 2H, J=8,4 Гц), 7,65 (д, 2H, J=8,4 Гц), 7,95 (с, 1H) |
ДМСО-d6, 300 МГц |
| 2- |
251 |
 |
159-164 |
,09 (м, 2H), 1,39-1,72 (м, 8H), 1,60 (с, 6H), 1,77-1,93 (м, 6H), 1,97-2,16 (м, 2H), 2,45-2,61 (м, 1Н), 2,76-2,89 (м, 1H), 6,67 (ушир., 1H), 6,91 (ушир.,2H), 7,17 (ушир., 1H), 7,30 (д, 2H, J=8,1 Гц), 7,64 (д, 2H, J=8,1 Гц), 7,95 (с, 1H) |
ДМСО-d6, 300 МГц |
| 2- |
252 |
 |
209-211 |
1,04 (т, 3H, J=7,4 Гц), 1,20-1,29 (м, 2H), 1,46-1,58 (м, 2H), 1,60 (с, 6H), 1,80-1,95 (м,4H), 2,01-2,07 (м, 2H), 2,51 (м, 1H), 2,92-3,01 (м, 4H), 6,90 (ушир.с, 1H), 7,96 (ушир.т, 1H, J=5,6 Гц), 7,29 (д, 2H, J=8,3 Гц), 7,63 (д, 2H, J=8,3 Гц), 7,94 (с, 1H) |
ДМСО-d6, 400 МГц |
| 2- |
253 |
 |
248 (разл.) |
1,03-1,17 (м, 2H), 1,38-1,64 (м, 8H), 1,78-1,96 (м, 4H), 2,55 (д, 2H, J=9,0 Гц), 3,22 (с, 2H), 3,30 (с, 2H), 6,92 (ушир.с, 2H), 7,30 (д, 2H, J=6,0 Гц), 7,64 (д, 2H, J=6,0 Гц), 7,95 (с, 1H), 12,40 (ушир.с, 1H) |
ДМСО-d6, 300 МГц |
| 2- |
254 |
 |
213-214 |
1,39-1,52 (м,4H), 1,60 (с, 6H), 1,85-1,93 (м, 4H), 2,52-2,68 (м, 2H), 4,18 (ушир.с, 2H), 4,97 (ушир.с, 1H), 6,93 (ушир.с, 2H), 7,29 (д, 2H, J=8,0 Гц), 7,63 (д, 2H, J=8,0 Гц), 7,93 (с, 1H) |
ДМСО-d6, 400 МГц |
| 2- |
255 |
 |
>250 |
1,44-1,53 (м, 4H), 1,58 (с, 6H), 1,82-1,89 (м, 2H), 1,98-2,03 (м, 2H), 2,24 (с, 3H), 2,26 (ушир.с, 1H), 6,84 (ушир.с, 2H), 7,30 (д, 2H, J=9,0 Гц), 7,63 (д, 2H, J=9,0 Гц), 12,05 (ушир.с, 1H) |
ДМСО-d6, 300 МГц |
| 2- |
256 |
 |
172-175 |
1,42-1,55 (м, 4H), 1,58 (с, 6H), 1,84-1,97 (м, 4H), 2,24 (с, 3H), 2,26-2,28 (м, 1H), 2,73 (ушир.с, 1H), 3,23 (ушир.с, 3H), 7,30 (д, 2H, J=6,0 Гц), 7,63 (д, 2H, J=9,0 Гц), 11,67 (ушир.с, 1H) |
ДМСО-d6, 300 МГц |
| 2- |
257 |
 |
220-225 |
1,18 (с, 6H), 1,36-1,56 (м, 4H), 1,58 (с, 6H), 1,79-1,87 (м, 4H), 2,15-2,22 (м, 1H), 2,24 (с, 3H), 2,55-2,59 (м, 1H), 3,37 (д, 2H, J=6,0 Гц), 4,90 (т, 1H, J=6,0 Гц), 6,82 (ушир., 2H), 7,18 (ушир.с, 1H), 7,29 (д, 2H, J=9,0 Гц), 7,63 (д, 2H, J=9,0 Гц) |
ДМСО-d6, 300 МГц |
| 2- |
258 |
 |
>250 |
1,44-1,61 (м, 4H), 1,58 (с, 6H), 1,75-1,88 (м,4H), 2,25 (с,3H), 2,41-2,51 (м, 2H), 2,54-2,62 (м, 1H), 3,18 (дд, 1H, J=12,0, 6,0 Гц), 3,37 (дд, 1H, J=12,0, 6,0 Гц), 3,65 (дд, 1H, J=9,0, 6,0 Гц), 3,96-4,02 (м, 1H), 4,02-4,10 (м, 1H), 4,87 (д, 1H, J=6,0 Гц), 4,95 (д, 1H, J=6,0 Гц), 6,83 (ушир., 1H), 7,31 (д, 2H, J=9,0 Гц), 7,63 (д, 2H, J=9,0 Гц) |
ДМСО-d6, 300 МГц |
| 2- |
259 |
 |
271-277 |
1,05-1,20 (м, 2H), 1,36-1,62 (м, 3H), 1,58 (с, 6H), 1,77-1,98 (м, 4H), 2,24 (с, 3H), 2,47-2,59 (м, 1H), 2,54 (д, J=6,0 Гц, 2H), 3,31 (с, 2H), 6,81 (ушир с, 2H), 7,29 (д, J=9,0 Гц, 2H), 7,62 (д, J=9,0 Гц, 2H), 12,48 (с, 1H) |
ДМСО-d6, 300 МГц |
| 2- |
260 |
 |
235-239 |
1,01-1,21 (м, 2H), 1,32-1,54 (м, 3H), 1,41 (с, 6H), 1,58 (с, 6H), 1,77-1,97 (м, 4H), 2,24 (с, 3H), 2,43-2,61 (м, 3H), 6,83 (ушир.с, 2H), 7,28 (д, J=8,2 Гц, 2H), 7,61 (д, J=8,2 Гц, 2H), 12,49 (ушир.с, 1H) |
ДМСО-d6, 300 МГц |
| 2- |
261 |
 |
225-227 |
1,17-1,38 (м, 2H), 1,44-1,66 (м, 2H), 1,58 (с, 6H), 1,77-1,88 (м, 2H), 1,96-2,16 (м, 3H), 2,25 (с, 3H), 2,45-2,62 (м, 1H), 3,27 (д, J=6,0 Гц, 2H), 4,26 (с, 2H), 6,81 (ушир.с, 2H), 7,30 (д,J=8,2 Гц, 2H), 7,62 (д, J=8,2 Гц, 2H), 13,36 (ушир.с, 1H) |
ДМСО-d6, 300 МГц |
| 2- |
262 |
 |
>166 |
1,18-1,37 (м, 2H), 1,46-1,64 (м, 2H), 1,58 (с, 6H), 1,79-1,94 (м, 4H), 1,98-2,09 (м, 1H), 2,24 (с, 3H), 2,44-2,61 (м, 1H), 2,64-2,74 (м, 1H), 2,81-2,89 (м, 1H), 3,66 (д, J=14,1 Гц, 1H), 3,92 (д, J=14,1 Гц, 1H), 6,80 (ушир с, 2H), 7,29 (д, J=8,4 Гц, 2H), 7,61 (д, J=8,4 Гц, 2H), 13,06 (с, 1H) |
ДМСО-d6, 400 МГц |
| 2- |
263 |
 |
>250 |
1,59 (с, 6H), 1,61-1,75 (м, 4H), 1,89-1,99 (м, 2H), 2,10-2,21 (м, 2H), 2,25 (с, 3H), 2,67 (ушир., 1H), 3,09 (ушир., 1H), 6,83 (ушир., 2H), 7,35 (д, 2H, J=6,0 Гц), 7,65 (д, 2H, J=6,0 Гц), 16,07 (ушир.с, 1H) |
ДМСО-d6, 300 МГц |
| 2- |
264 |
 |
>250 |
1,44-1,69 (м, 4H), 1,59 (с, 6H), 1,89-1,94 (м, 2H), 2,00-2,04 (м, 2H), 2,25 (с, 3H), 2,55-2,66 (м, 2H), 3,16-3,18 (м, 2H), 6,83 (ушир., 1Н), 7,33 (д, 2H, J=9,0 Гц), 7,64 (д, 2H, J=9,0 Гц), 11,99 (ушир., 1H) |
ДМСО-d6, 300 МГц |
| 2- |
265 |
 |
|
|
|
| 2- |
266 |
 |
|
|
|
| 2- |
267 |
 |
|
|
|
| 2- |
268 |
 |
|
|
|
| Таблица 3 |
| Новый пример № |
Мол.структура |
Т.пл. |
ЯМР ( ) |
Растворитель |
| 3 |
|
 |
188-190 |
1,46-1,65 (м, 2H), 1,60 (с, 6H), 1,81-1,94 (м, 2H), 2,73-2,96 (м, 2H), 3,22-3,34 (м, 1H), 3,63-3,70 (м, 1H), 4,33-4,44 (м, 1H), 7,00 (ушир., 2H), 7,33 (д, 2H, J=8,4 Гц), 7,67 (д, 2H, J=8,4 Гц), 7,95 (с, 1H) |
ДМСО-d6, 300 МГц |
| 3- |
2 |
 |
|
1,63 (с, 6H), 1,76-2,02 (м, 4H), 2,83-3,11 (м, 3H), 3,32-3,47 (м, 2H), 7,24 (ушир., 2H), 7,32 (д, 2H, J=8,1 Гц), 7,73 (д, 2H, J=8,1 Гц), 8,04 (с, 1H), 8,69 (ушир., 1H) |
ДМСО-d6, 300 МГц |
| 3- |
3 |
 |
232-237 |
1,39-1,54 (м, 2H), 1,60 (с, 6H), 1,73-1,84 (м, 2H), 2,04 (с, 3H), 2,54-2,64 (м, 1H), 2,77-2,90 (м, 1H), 3,07-3,20 (м, 1H), 3,87-3,98 (м, 1H), 4,49-4,60 (м, 1H), 6,95 (ушир., 2H), 7,33 (д, 2H, J=8,4 Гц), 7,66 (д, 2H, J=8,4 Гц), 7,96 (с, 1H) |
ДМСО-d6, 300 МГц |
| Таблица 4 |
| Новый пример № |
Мол.структура |
Т.пл. |
ЯМР ( ) |
Растворитель |
| 4 |
|
 |
191-193 |
1,58-1,62 (м, 6H), 1,62 (с, 6H), 3,26 (ушир.с, 4H), 6,79 (ушир.с, 2H), 7,29 (д, 2H, J=9,0 Гц), 7,63 (д, 2H, J=9,0 Гц),7,91 (с, 1H) |
ДМСО-d6, 400 МГц |
| 4- |
2 |
 |
|
1,21-1,30 (м,2H), 1,62 (с, 6H), 1,61-1,80 (м, 3H), 2,54 (д, 2H, J=7,0 Гц), 2,73 (ушир.т, 2H, J=12,8 Гц), 3,83 (ушир.д, 2H, J=12,8 Гц), 6,79 (ушир.с, 2H), 6,91 (д, 2H, J=9,0 Гц), 7,17-7,31 (м, 5H), 7,62 (д, 2H,J=9,0 Гц), 7,91 (с, 1H) |
ДМСО-d6, 400 МГц |
| 4- |
3 |
 |
176-177 |
1,19 (т, 3H,J=6,0 Гц), 1,57-1,69 (м, 8H), 1,85-1,92 (м, 2H), 2,54-2,61 (м, 1H),2,86-2,95 (м, 2H), 3,76-3,83 (м, 2H), 4,09 (кв, 2H, J=7,0 Гц), 6,87 (ушир.с, 2H), 6,96 (д, 2H, J=9,0 Гц), 7,65 (д, 2H, J=6,0 Гц), 7,92 (с, 1H) |
ДМСО-d6, 300 МГц |
| 4- |
4 |
 |
>240 |
1,57-1,66 (м, 8H), 1,87-1,92 (м, 2H), 2,45-2,47 (м, 1H), 2,87-2,93 (м, 2H), 3,76-3,80 (м, 2H), 6,82 (ушир.с, 2H), 6,94 (д, 2H, J=8,0 Гц), 7,64 (д, 2H, J=8,0 Гц), 7,91 (с, 1H) |
ДМСО-d6, 400 МГц |
| 4- |
5 |
 |
174-175 |
1,21 (т, 3H, J=6,0 Гц), 1,62 (с, 6H), 3,25-3,27 (м, 2H), 3,50-3,53 (м, 2H), 4,08 (кв, 2H, J=6,7 Гц), 6,83 (ушир.с, 2H), 6,97 (д, 2H, J=12,0 Гц), 7,66 (д, 2H, J=8,0 Гц), 7,92 (с, 1H) |
ДМСО-d6, 400 МГц |
| 4- |
6 |
 |
191-196 |
1,63 (с, 6H), 1,96-1,99 (м, 4H), 3,25-3,31 (м, 4H),6,55 (д, 2H, J=8,6 Гц), 6,77 (ушир., 2H), 7,65 (д, 2H, J=8,6 Гц), 7,90 (с, 1H) |
ДМСО-d6, 400 МГц |
| 4- |
7 |
 |
214-219 |
1,62 (с, 6H), 3,22 (т, 4H, J=4,8 Гц), 3,75 (т, 4H, J=4,8 Гц), 6,83 (ушир., 2H), 6,96 (д, 2H, J=8,4 Гц), 7,67 (д, 2H, J=8,4 Гц), 7,92 (с, 1H) |
ДМСО-d6, 400 МГц |
| Таблица 5 |
| Новый пример № |
Мол.структура |
Т.пл. |
ЯМР ( ) |
Растворитель |
| 5 |
|
 |
117-133 |
1,60 (с, 6H), 7,01 (ушир., 2Н), 7,48 (т, 1H,J=8,1 Гц), 7,55 (ддд, 1H, J=1,0, 2,0, 1,0 Гц), 7,67 (дт, 1H, J=8,1, 1,0 Гц), 7,76 (т, 1H, J=2,0 Гц), 7,97 (с, 1H) |
ДМСО-d6, 400 МГц |
| 5- |
2 |
 |
130-131 |
1,58 (с, 6H), 5,20 (с, 2H), 6,93 (ушир., 2H), 7,15 (д, 1H, J=8,3 Гц), 7,25-7,49 (м, 8H), 7,97 (с, 1H) |
ДМСО-d6, 400 МГц |
| 5- |
3 |
 |
151-152 |
1,02-1,33 (м, 5H), 1,60 (с, 6H), 1,65-1,88 (м, 6H),3,85 (д, 2H, J=6,2 Гц), 6,94 (ушир., 2H), 7,05 (дд, 1H, J=2,5, 8,0 Гц), 7,17 (д, 1H, J=2,5 Гц), 7,23 (д, 1H, J=8,0 Гц), 7,35 (т, 1H, J=8,0 Гц), 7,97 (с, 1H) |
ДМСО-d6, 400 МГц |
| Таблица 6 |
| Новый пример № |
Мол.структура |
Т.пл. |
ЯМР ( ) |
Растворитель |
| 6 |
|
 |
>230 |
1,09-1,22 (м, 2H), 1,41-1,56 (м, 2H), 1,58 (с, 6H), 1,70-1,91 (м, 5H), 2,16 (д, 2H, д=6,7 Гц), 2,24 (с, 3H), 2,92 (м, 1H), 6,91 (ушир.с, 2H), 7,42 (д, 1H, J=8,1 Гц), 7,63 (дд, 1H, J=8,1, 1,8 Гц), 7,72 (д, 1Н, J=1,8 Гц), 12,10 (ушир.с, 1H) |
ДМСО-d6, 400 МГц |
| 6- |
2 |
 |
229-232 |
0,98-1,16 (м, 2H), 1,34-1,64 (м, 3H), 1,58 (с, 6H), 1,76-1,89 (м, 4H), 2,24 (с, 3H), 2,83-2,98 (м, 1H), 3,02 (т, J=6,0 Гц, 1H), 3,81 (с, 2H), 5,42 (ушир.с, 1H), 6,91 (ушир.с, 2H), 7,41 (д, J=8,3 Гц, 1H), 7,63 (д, J=8,3 Гц, 1H), 7,65-7,72 (м, 1H), 7,73 (с, 1H) |
ДМСО-d6, 300 МГц |
| 6- |
3 |
 |
280 (разл.) |
1,15-1,42 (м, 5H), 1,56 (с, 6H), 1,80 (м, 4H), 2,23 (с, 3H), 2,13 (д, 2H, J=6,8 Гц), 4,97 (ушир.с, 2H), 6,75 (ушир.с, 2H), 6,82 (дд, 1H, J=8,3 Гц, 1,9 Гц), 6,93 (д, 1H, J=1,9 Гц), 7,01 (д, 1H, J=8,3 Гц) |
ДМСО-d6, 300 МГц |
| 6- |
4 |
 |
177 (разл.) |
1,01-1,09 (м, 2H), 1,45-1 56 (м, 3H), 1,59 (с, 6H), 1,70-1,83 (м, 6H),2,13-2,19 (м, 4H),2,25 (с, 3H), 2,41-2,46 (м, 2H), 3,63-3,69 (м, 2H), 6,87 (ушир.с, 2H), 7,42 (д, 1H, J=8,3 Гц), 7,51 (д, 1H, J=1,9 Гц), 7,62 (дд, 1H, J=8,3, 1,9 Гц) |
ДМСО-d6, 300 МГц |
| 6- |
5 |
 |
>300 |
1,15-1,25 (м, 2H), 1,37-1,57 (м, 2H), 1,58 (с, 6H), 1,65-1,94 (м, 5H), 2,24 (с, 3H), 2,31 (д, J=6,8 Гц, 2H), 2,85-3,01 (м, 1H), 6,90 (с, 2H), 7,41 (д, J=8,3 Гц, 1H), 7,63 (дд, J=1,9, 8,3 Гц, 1H), 7,73 (д, J=1,9 Гц, 1H), 11,07 (с, 1H), 11,17 (с, 1H) |
ДМСО-d6, 300 МГц |
| 6- |
6 |
 |
>282 |
1,13-1,32 (м, 2H), 1,39-1,57 (м, 2H), 1,58 (с, 6H), 1,70-1,96 (м, 5H), 2,25 (с, 3H), 2,45 (д, J=6,8 Гц, 2H), 2,87-3,01 (м, 1H), 6,91 (с, 2H), 7,42 (д, J=8,3 Гц, 1H), 7,64 (дд, J=1,9, 8,3 Гц, 1H), 7,74 (д, J=1,9 Гц, 1H), 12,17 (с, 1H) |
ДМСО-d6, 300 МГц |
| 6- |
7 |
 |
>280 |
1,02-1,20 (м, 2H), 1,33-1,53 (м, 2H), 1,56 (с, 6H), 1,65-1,89 (м, 5H), 2,14 (д, J=6,8 Гц, 2H), 2,24 (с, 3H), 2,75- 2,89 (м, 1H), 6,77 (ушир. с, 1H), 7,07 (д, J=7,9 Гц, 1H), 7,08 (с, 1H), 7,15 (д, J=7,9 Гц, 1H), 9,45 (с, 1H), 11,99 (с, 1H) |
ДМСО-d6, 300 МГц |
| 6- |
8 |
 |
224-225 |
1,02-1,21 (м, 2H), 1,31-1,60 (м, 2H), 1,35 (т, J=6,9 Гц, 3H), 1,58 (с, 6H), 1,66-1,89 (м, 5H), 2,15 (д, J=6,6 Гц, 2H), 2,25 (с, 3H), 2,78-2,93 (м, 1H), 4,10 (кв, J=6,9 Гц, 2H), 6,83 (ушир.с, 2H), 7,17-7,29 (м, 3H), 11,98 (с, 1H) |
ДМСО-d6, 300 МГц |
| 6- |
9 |
 |
>269 |
1,07-1,23 (м, 2H), 1,44-1,63 (м, 2H), 1,59 (с, 6H), 1,71-1,90 (м, 5H), 2,16 (д, J=6,8 Гц, 2H), 2,24 (с, 3H), 2,70-2,88 (м, 1H), 6,88 (ушир.с, 2H), 7,34-7,42 (м, 1H), 7,46- 7,55 (м, 2H), 12,02 (с, 1H) |
ДМСО-d6, 300 МГц |
| 6- |
10 |
 |
212-214 |
1,01-1,14 (м, 2H), 1,42-1,57 (м, 3H), 1,59 (с, 6H), 1,81 (м, 4H), 2,24 (с, 3H), 2,80 (м, 1H), 3,02 (м, 2H), 3,81 (д, 2H, J=6,0 Гц), 5,1 (т, 1H, J=6,0 Гц), 6,88 (ушир.с, 2H), 7,34-7,40 (м, 1H), 7,48-7,54 (м, 2H), 7,67-7,71 (м, 1H) |
ДМСО-d6, 300 МГц |
| 6- |
11 |
 |
>282 |
1,10-1,31 (м, 2H), 1,42-1,64 (м, 2H), 1,59 (с, 6H), 1,67-1,89 (м, 5H), 2,24 (с, 3H), 2,44 (д, J=6,8 Гц, 2H), 2,75-2,88 (м, 1H), 6,89 (ушир с, 1H), 7,33-7,42 (м, 1H), 7,47-7,56 (м, 2H), 12,16 (с, 1H) |
ДМСО-d6, 300 МГц |
| 6- |
12 |
 |
171-173 |
1,03-1,19 (м, 2H), 1,34-1,51 (м, 2H), 1,58 (с, 6H), 1,72-1,85 (м, 4H), 2,24 (с, 3H), 2,39 (д, 2H, д=6,7 Гц), 2,92 (м, 1H), 5,23 (с, 1H), 6,90 (ушир.с, 2H), 7,40 (д, 1H, J=8,1 Гц), 7,62 (д, 1H, J=8,1 Гц), 7,72 (с, 1H),9,20 (ушир.с, 1H), 11,20 (ушир.с, 1H) |
ДМСО-d6, 400 МГц |
| 6- |
13 |
 |
>250 |
1,09 (т, 3H, J=7,4 Гц), 1,03-1,16 (м, 2H), 1,34-1,54 (м, 2H), 1,58 (с, 6H), 1,76-1,89 (м, 4H), 2,25 (с, 3H), 2,83-3,08 (м, 5H), 5,70 (т, 1H, J=5,6 Гц), 5,85 (т, 1H, J=5,9 Гц), 6,90 (ушир.с, 2H), 7,43 (д, 1Н, J=8,1 Гц), 7,64 (д, 1H, J=8,1 Гц), 7,73 (с, 1H) |
ДМСО-d6, 300 МГц |
| 6- |
14 |
 |
205-209 |
0,88 (д, 6H, J=6,0 Гц), 1,01-1,13 (м, 2H), 1,37-1,52 (м, 3H), 1,58 (с, 6H), 1,77-1,87 (м, 5H), 2,25 (с, 3H), 2,89 (т, 2H, J=6,0 Гц), 2,89-2,95 (м, 1Н), 3,73 (д, 2H, J=6,0 Гц), 6,90 (ушир., 2H), 7,13 (ушир., 1Н), 7,42 (д, 1H, J=9,0 Гц), 7,63 (дд, 1H, J=9,0, 3,0 Гц), 7,73 (д, 1H, J=3,0 Гц) |
ДМСО-d6, 300 МГц |
| 6- |
15 |
 |
225-228 |
1,00-1,11 (м, 2H), 1,36-1,51 (м, 3H), 1,58 (с, 6H), 1,78-1,86 (м, 4H), 2,24 (с, 3H), 2,92-2,96 (м, 2H), 3,24-3,27 (м, 4H), 3,52-3,55 (м, 4H), 6,53 (т, 1H, J=6,0 Гц), 6,90 (ушир., 1H), 7,42 (д, 1H, J=9,0 Гц), 7,63 (дд, 1H, J=9,0, 3,0 Гц), 7,73 (д, 1H, J=3,0 Гц) |
ДМСО-d6, 300 МГц |
| 6- |
16 |
 |
>250 |
0,98-1,10 (м, 2H), 1,36-1,52 (м, 3H), 1,58 (с, 6H), 1,81-1,85 (м, 4H), 2,25 (с, 3H), 2,78 (с, 6H), 2,89-2,94 (м, 3H), 6,25 (т, 1H, J=6,0 Гц), 6,89 (ушир., 2H), 7,42 (д, 1H, J=9,0 Гц), 7,63 (дд, 1H, J=9,0, 3,0 Гц), 7,73 (д, 1H, J=3,0 Гц) |
ДМСО-d6, 300 МГц |
| 6- |
17 |
 |
>250 |
1,07-1,19 (м, 2H), 1,45-1,54 (м, 2H), 1,59 (с, 6H), 1,64-1,74 (м, 1H), 1,80-1,87 (м, 4H), 2,25 (с, 3H), 2,91-3,00 (м, 1H), 3,05 (д, 2H, J=6,0 Гц), 3,56 (т, 2H, J=9,0 Гц), 4,27 (т, 2H, J=9,0 Гц), 6,90 (ушир., 2H), 7,42 (д, 1H, J=9,0 Гц), 7,64 (дд, 1H, J=9,0, 3,0 Гц), 7,74 (д, 1H,J=3,0 Гц) |
ДМСО-d6, 300 МГц |
| 6- |
18 |
 |
>250 |
0,99-1,16 (м, 2H), 1,25 (с, 6H), 1,35-1,53 (м, 3H), 1,58 (с, 6H), 1,77-1,86 (м, 4H), 2,24 (с, 3H), 2,86-2,96 (м, 1H), 2,99 (т, 2H, J=6,0 Гц), 5,32 (с, 1H), 6,89 (ушир., 2H), 7,42 (д, 1H, J=8,3 Гц), 7,57-7,65 (м, 2H), 7,73 (д, 1H, J=1,9 Гц) |
ДМСО-d6, 300 МГц |
| 6- |
19 |
 |
225-226 |
1,05-1,19 (м, 2H), 1,37-1,51 (м, 2H), 1,58 (с, 6H), 1,60-1,66 (м, 1H), 1,71-1,87 (м, 5H), 1,95-2,02 (м, 1H), 2,24 (с, 3H), 2,89-2,96 (м, 1H), 3,09-3,15 (м, 1H), 3,20-3,31 (м, 4H), 3,85-3,91 (м, 2H), 4,97 (д, 1H, J=4,0 Гц), 6,90 (ушир.с, 2H), 7,40 (д, 1Н, J=8,0 Гц), 7,62 (д, 1H, J=8,0 Гц), 7,72 (с, 1H) |
ДМСО-d6, 400 МГц |
| 6- |
20 |
 |
247-248 |
1,07-1,21 (м, 2H), 1,44-1,55 (м, 2H), 1,65 (с, 6H), 1,70-1,90 (м, 5H), 2,16 (д, 2H, J=8,0 Гц), 2,89-2,98 (м, 1H), 7,45 (д, 1H, J=8,0 Гц), 7,49 и 7,83 (ушир.с, 2H), 7,69 (дд, 1H, J=8,0, 4,0 Гц), 7,80 (д, 1H, J=4,0 Гц), 12,04 (ушир.с, 1H) |
ДМСО-d6, 400 МГц |
| 6- |
21 |
 |
>250 |
1,06-1,19 (м, 2H), 1,41-1,55 (м, 2H), 1,66 (с, 6H), 1,68-1,75 (м, 1H), 1,77-1,89 (м, 4H), 2,91-3,01 (м, 1H), 3,05 (д, 2H, J=6,0 Гц), 3,56 (дд, 2H, J=9,0, 9,0 Гц), 4,27 (дд, 2H, J=9,0, 6,0 Гц), 7,44 (д, 1H, J=6,0 Гц), 7,71 (дд, 1H, J=6,0, 3,0 ГЦ), 7,82 (д, 1H, J=3,0 Гц) |
ДМСО-d6, 300 МГц |
| 6- |
22 |
 |
147 (разл.) |
1,01-1,14 (м, 2H), 1,38-1,53 (м, 3H), 1,65 (с, 6H), 1,78-1 88 (м, 4H), 2,88 (т, 1H, J=6,0 Гц), 2,88-2,98 (м, 2H), 5,34 (ушир.с, 2H), 6,00 (т, 1H, J=4,5 Гц), 7,45 (д, 1H, J=6,0 Гц), 7,70 (дд, 1H, J=9,0, 3,0 Гц), 7,81 (д, 1H, J=3,0 Гц) |
ДМСО-d6, 300 МГц |
| 6- |
23 |
 |
160-166 |
0,99-1,13 (м, 2H), 1,36-1,51 (м, 3H), 1,58 (с, 6H), 1,76-1,90 (м, 4H), 2,25 (с, 3H), 2,86-3,01 (м, 1H), 2,88 (т, 2H, J=5,8 Гц), 5,34 (с, 2H), 5,99 (т, 1H, J=5,8 Гц), 6,89 (ушир., 2H), 7,42 (д, 1H, J=8,3 Гц), 7,63 (дд, 1H, J=1,9, 8,3 Гц), 7,73 (д, 1H, J=1,9 Гц) |
ДМСО-d6, 300 МГц |
| 6- |
24 |
 |
213-216 |
0,99-1,18 (м, 2H), 1,33-1,62 (м, 3H), 1,65 (с, 6H), 1,77-1,89 (м, 4H), 2,87-2,98 (м, 1H), 3,03 (т, 2H, J=6,0 Гц), 3,81 (д, 2H, J=6,0 Гц), 5,42 (т, 1H, J=6,0 Гц), 7,44 (д, 1H, J=8,3 Гц), 7,52 (ушир., 1H), 7,66-7,73 (м, 1H), 7,69 (д, 1H, J=8,3 Гц), 7,78 (ушир., 1H), 7,81 (с, 1H) |
ДМСО-d6, 300 МГц |
| 6- |
25 |
 |
236-237 |
1,16-1,26 (м, 2H), 1,43-1,53 (м, 2H), 1,65 (с, 6H), 1,73-1,87 (м, 5H), 2,44 (д, 2H, J=8,0 Гц), 2,92-2,99 (м, 1H), 7,43 (д, 1H, J=8,0 Гц), 7,69 (дд, 1H, J=8,0, 4,0 Гц), 7,81 (д, 1H, J=4,0 Гц) |
ДМСО-d6, 400 МГц |
| Таблица 7 |
| Новый пример № |
Мол.структура |
Т.пл. |
ЯМР ( ) |
Растворитель |
| 7 |
|
 |
>225 |
1,04-1,19 (м, 2H), 1,39-1,55 (м, 2Н), 1,49 (с, 6H), 1,65-1,89 (м, 5H), 2,14 (д, 2H, J=7,2 Гц), 2,21 (с, 3H), 2,42-2,52 (м, 1H), 6,55 (с, 1H), 6,78 (ушир., 2H), 7,23 (д, 2H, J=8,3 Гц), 7,27 (д, 2H, J=8,3 Гц), 12,01 (с, 1H) |
ДМСО-d6, 300 МГц |
| 7- |
2 |
 |
|
1,05-1,22 (м, 2H), 1,13 (с, 3H), 1,21 (с, 3H), 1,36-1,52 (м, 2H), 1,65-1,86 (м, 5H), 2,14 (д, 2H, J=6,8 Гц), 2,20 (с, 3H), 2,38-2,70 (м, 3H), 2,98-3,04 (м, 1H), 6,45 (ушир., 2H), 7,18 (д, 2H, J=8,3 Гц), 7,22 (д, 2H, J=8,3 Гц), 11,99 (ушир.с, 1H) |
ДМСО-d6, 300 МГц |
| 7- |
3 |
 |
>250 |
1,50 (с, 6H), 2,32 (с, 3H), 6,56 (с, 1H), 6,88 (ушир., 2H), 7,20 (д, 2H, J=8,4 Гц), 7,26 (д, 2H, J=8,4 Гц), 7,95 (с, 1H) |
ДМСО-d6, 300 МГц |
| 7- |
4 |
 |
|
8,09 (с, 1H), 7,33 (ушир.с, 2H), 7,30 (д, J=8,1 Гц, 2H), 7,26 (д, J=8,1 Гц, 2H), 6,61 (с, 1H), 2,47 (м, 1H), 2,15 (д, J=6,9 Гц, 2H), 1,82 (м, 4H), 1,74 (м, 1H), 1,55 (с, 6H), 1,51 (м, 2H), 1,13 (м, 2H) |
ДМСО-d6, 400 МГц |
| 7- |
5 |
 |
|
8,14 (с, 1H), 7,50 (ушир.с, 2H), 7,20 (м, 3H),6,61 (с, 1H), 2,86 (т, J=7,2 Гц, 2H), 2,17 (д, J=6,8 Гц, 2H), 1,96 (т, J=7,3 Гц, 2H), 1,71 (м, 1H), 1,67 (м, 2H), 1,63 (м, 3H), 1,56 (с, 6H), 1,50 (м, 2H), 1,22 (м, 2H) |
ДМСО-d6, 400 МГц |
| Таблица 9 |
| Новый пример № |
Мол.структура |
Т.пл. |
ЯМР ( ) |
Растворитель |
| 9 |
|
 |
|
1,24 (д, J=6,8 Гц, 3H), 1,25-1,30 (м, 2H), 1,48-1,59 (м, 3H), 1,71 (с, 6H), 1,91-2,00 (м,4H), 2,36-2,40 (м, 1H), 2,46 (с, 3H), 2,51-2,57 (м, 1H), 7,27 (д, J=8,4 Гц, 2H), 7,55 (д, J=8,4 Гц, 2H) |
CDCl3 |
| 9- |
2 |
 |
|
|
|
| 9- |
3 |
 |
|
1,10-1,20 (м, 2H), 1,42-1,90 (м, 13H), 2,17 (д, J=6,8 Гц, 2H), 2,45-2,60 (м, 1H), 7,34 (д, J=8 Гц, 2H), 7,36 (ушир.с, 1H), 7,71 (д, J=8 Гц, 2H), 7,74 (ушир.с, 1H), 12,04 (ушир.с, 1H) |
ДМСО-d6 |
| Таблица 10 |
| Новый пример № |
Мол.структура |
Т.пл. |
ЯМР ( ) |
Растворитель |
| 10 |
|
 |
|
0,85 (т, J=7,1 Гц, 3H), 1,05-2,02 (м, 19H), 6,97 (ушир.с, 2H), 7,30 (д, J=7,8 Гц, 2H), 7,66 (д, J= 7,8 Гц, 2H), 7,95 (с, 1H), 12,05 (с, 1H) |
ДМСО-d6, 400 МГц |
| 10- |
2 |
 |
|
1,78-1,85 (м, 9H), 1,96-2,07 (м, 1H), 2,35-2,48 (м, 4H), 2,86-2,93 (м, 2H), 3,03-4,02 (м, 1H), 3,82 (ушир.д, J=12 Гц, 1H), 5,81 (с, 1H), 7,19 (д, J=8,0 Гц, 1H), 7,36-7,40 (м, 2H), 8,17 (с, 1H) |
ДМСО-d6, 400 МГц |
| 10- |
3 |
 |
|
1,06 (с, 6H), 1,14-1,22 (м, 2H), 1,40-1,46 (м, 2H), 1,61-1,75 (м, 10H), 1,82-1,85 (м, 2H), 7,3 (ушир.с, 2H), 7,31 (д, J=7,7 Гц, 2H), 7,64 (д, J=7,7 Гц, 2H), 7,99 (с, 1H) |
ДМСО-d6, 400 МГц |
| 10- |
4 |
 |
|
0,87-0,93 (м, 1H), 0,97 (т, J=4,9 Гц, 1H), 1,02-1,10 (м, 1H), 1,20-1,31 (м, 1H), 1,48 (дд, J=5,4 Гц, J=2,1 Гц, 1H), 1,57-1,85 (м, 10H), 1,91-1,98 (м, 1H), 2,63-2,72 (м, 1H), 7,29 (д, J=8,3 Гц, 2H), 7,69 (д, J=8,3 Гц, 2H), 8,05 (с, 1H) |
ДМСО-d6, 400 МГц |
| 10- |
5 |
 |
|
0,75 (м, 2H), 0,99 (м, 2H), 1,38-1,62 (м, 12H), 1,68-1,87 (м, 4H), 6,97 (ушир.с, 2H), 7,29 (д, J=8,2 Гц, 2H), 7,63 (д, J=8,2 Гц, 2H), 7,94 (с, 1H), 12,00 (с, 1H) |
ДМСО-d6, 400 МГц |
| 10- |
6 |
 |
|
1,25-1,55 (м, 4H), 1,59 (с, 6H), 1,62-1,72 (м, 3H), 1,80-1,87 (м, 2H), 2,43-2,55 (м, 1H), 3,82 (ушир.с, 1H), 5,05 (ушир.с, 1H), 6,98 (ушир.с, 2H), 7,31 (д, J=8,2 Гц, 2H), 7,64 (д, J=8,2 Гц, 2H), 7,94 (с, 1H), 12,03 (ушир.с, 1H) |
ДМСО-d6, 400 МГц |
| 10- |
7 |
 |
|
1,5-1,85 (м, 6H), 1,80 (с, 6H), 2,06 (м, 2H), 2,22 (м, 2H), 2,72-2,90 (м, 2H), 5,67 (с, 1H), 7,20-7,5 (м, 2H), 7,51 (д, J=6,2 Гц, 2H), 7,84 (д, J=6,2 Гц, 2H), 8,18 (с, 1H) |
ДМСО-d6, 400 МГц |
| 10- |
8 |
 |
|
1,5-1,85 (м, 6H), 1,78 (с, 6H), 2,0-2,1 (м, 2H), 2,2-2,3 (м, 2H), 2,75-2,95 (м, 2H), 5,94 (с, 1H), 7,10-7,2 (м, 1H), 7,50 (д, J=5,5 Гц, 2H), 7,83 (д, J=5,5 Гц, 2H), 8,12 (с, 1H) |
ДМСО-d6, 400 МГц |
| 10- |
9 |
 |
|
1,50-1,85 (м, 6H), 1,77 (с, 6H), 2,0-2,1 (м, 2H), 2,2-2,3 (м, 2H), 2,65-2,85 (м, 2H), 5,30 (с, 1H), 7,10-7,20 (м, 1H), 7,49 (д, J=6,1 Гц, 2H), 7,81 (д, J=6,1 Гц, 2H), 8,11 (с, 1Н) |
ДМСО-d6, 400 МГц |
| 10- |
10 |
 |
|
1,05-1,20 (м, 2H), 1,35-2,07 (м, 15H), 2,15 (д, J=6,9 Гц, 2H, только главный изомер), 2,28 (д, J=7,4 Гц, 2H, только малый изомер), 2,77-2,80 (м, 2H), 5,97 (ушир.с, 2H), 7,03 (д, J=7,9 Гц, 1H), 7,25-7,30 (м, 2H), 7,97 (с, 1H) |
CDCl3, 400 МГц |
| 10- |
11 |
 |
|
1,05-1,17 (м, 8H), 1,35-1,71 (м, 17H), 2,02 (д, J=6,9 Гц, 2H), 6,37 (ушир.с, 2H), 7,13-7,21 (м, 2H), 7,31 (с, 1H), 7,88 (с, 1H) |
CDCl3, 400 МГц |
| 10- |
12 |
 |
|
0,72-0,76 (м, 2H), 0,99-1,03 (м, 2H), 1,40-1,82 (м, 19H), 2,75 (т, J=6,0 Гц), 7,15 (ушир.с, 2H), 7,36 (с, 1H), 7,46 (с, 2H), 7,99 (с, 1H) |
ДМСО-d6, 400 МГц |
| 10- |
13 |
 |
|
1,23 (с, 6H), 1,21-1,45 (м, 4H), 1,55-1,85 (м, 7H), 1,81 (с, 6H), 2,06 (м, 2H), 2,96 (м, 2H), 7,25 (м, 1H), 7,51-7,54 (м, 3Н), 12,0 (ушир.с, 1H) |
ДМСО-d6, 400 МГц |
| 10- |
14 |
 |
|
1,06 (с, 6H), 1,15-1,26 (м, 2H), 1,42-1,51 (м, 2H), 1,60-1,66 (м, 7H), 1,68-1,73 (м, 2H), 1,82-1,89 (м, 2H), 2,34 (с, 3H), 2,50-2,53 (м, 1H), 7,31 (д, J=6,0 Гц, 2H), 7,55 (ушир.с, 2H), 7,66 (д, J=6,0 Гц, 2H) |
ДМСО-d6, 400 МГц |
| 10- |
15 |
 |
|
1,06 (д, J=5,6 Гц, 3H), 1,13-1,24 (м, 2H), 1,42-1,53 (м, 2H), 1,54-1,60 (м, 7H), 1,71-1,92 (м, 4H), 2,19 (квин, J=5,6 Гц, 1H), 2,51-2,58 (м, 1H), 7,32 (д, J=6,6 Гц, 2H), 7,69 (д, J=6,6 Гц, 2H), 12,06 (ушир.с, 1H) |
ДМСО-d6, 400 МГц |
| 10- |
16 |
 |
|
1,23 (с, 6H), 1,20-1,50 (м, 3H), 1,55-1,85 (м, 7H), 1,80 (с, 6H), 2,06 (м, 2H), 2,65 (с, 3H), 2,96 (м, 2H), 6,50 (ушир.с, 1H), 7,25 (м, 1H), 7,51-7,54 (м, 2H), 10,75 (ушир.с, 1H) |
CDCl3, 400 МГц |
| 10- |
17 |
 |
|
1,24 (д, J=7,0 Гц, 3H), 1,20-1,50 (м, 3H), 1,55-1,85 (м, 7H), 1,75 (с, 6H), 2,05 (м, 2H), 2,48 (м, 1H), 2,96 (м, 2H), 5,76 (ушир.с, 1H), 7,15-7,25 (м, 3H), 7,45-7,50 (м, 1H) |
CDCl3, 400 МГц |
| 10- |
18 |
 |
|
1,12-1,22 (м, 5H), 1,46-1,54 (м, 2H), 1,60 (с, 6H), 1,75-1,88 (м, 5H), 2,16 (д, J=7,2 Гц, 2H), 2,45-2,53 (м, 1H), 3,42-3,48 (м, 2H) 7,40 (ушир.с, 2H), 7,31 (д, J=8,4 Гц, 2H), 7,63 (д, J=8,4 Гц, 2H), 12,05 (ушир.с, 1H) |
ДМСО-d6, 400 МГц |
| 10- |
19 |
 |
|
0,84-0,89 (м, 2H), 1,27-1,33 (м, 2H), 1,44-1,53 (м, 5H), 1,76 (с, 6H), 1,84-1,90 (м, 2H), 1,94-2,01 (м, 2H), 2,55-2,62 (м, 1H), 5,75 (ушир.с, 2H), 7,29 (д, J=8,4 Гц, 2H), 7,58 (д, J=8,4 Гц, 2H) |
CDCl3, 400 МГц |
| 10- |
20 |
 |
|
1,23 (с, 6H), 1,25-1,55 (м, 5H), 1,76 (с, 6H), 1,83-1,89 (м, 2H), 1,98-2,04 (м, 2H), 2,52-2,60 (м, 1H), 5,70 (ушир.с, 2H), 7,29 (д, J=8,0 Гц, 2H), 7,58 (д, J=8,0 Гц, 2H) |
CDCl3, 400 МГц |
| 10- |
21 |
 |
|
0,83-0,88 (м, 2H), 1,27-1,31 (м, 2H), 1,47-1,60 (м, 5H), 1,72 (с, 6H), 1,85-1,91 (м, 2H), 1,93-2,00 (м, 2H), 2,44 (с, 3H), 2,55-2,62 (м, 1H), 6,13 (ушир.с, 2H), 7,29 (д, J=8,0 Гц, 2H), 7,56 (д, J=8,0 Гц, 2H) |
CDCl3, 400 МГц |
| 10- |
22 |
 |
|
1,11-1,22 (м, 2H), 1,43-1,51 (м, 13H), 2,16 (д, J=5,3 Гц, 2H), 2,34 (с, 3H), 2,35 (с, 3H), 2,62-2,74 (м, 1H), 7,29 (д, J=6,5 Гц, 1H), 7,46-7,52 (м, 4H) |
ДМСО-d6, 400 МГц |
| 10- |
23 |
 |
|
1,08-1,21 (м, 11H), 1,42-1,53 (м, 2H), 1,69-87 (м, 5H), 2,15 (д, J=7,2 Гц, 2H), 2,42-2,52 (м, 3H), 4,07 (с, 1H), 5,10 (с, 1H), 6,14 (с, 2H), 7,26 (д, J=8,2 Гц, 2H), 7,37 (д, J=8,2 Гц, 2H), 12,05 (ушир.с, 1H) |
ДМСО-d6, 400 МГц |
| 10- |
24 |
 |
|
0,88 (м, 2H), 1,3 (м, 2H), 1,50-1,99 (м, 10H), 1,79 (с, 6H), 2,1 (м, 2H), 2,65 (с, 3H), 2,96 (м, 2H), 6,5 (ушир.с, 1H), 7,15-7,25 (м, 1H), 7,45-7,50 (м, 2H), 10,5 (ушир.с, 1H) |
CDCl3, 400 МГц |
| 10- |
25 |
 |
|
0,76 (м, 2H), 1,02 (м, 2H), 1,45-1,83 (м, 10Н), 1,7 (с, 6H), 2,0 (м, 2H), 2,95 (м, 2H), 3,33 (м, 1H), 7,15-7,25 (м, 1H), 7,45-7,50 (м, 2H), 12,0 (ушир.с, 1H) |
CDCl3, 400 МГц |
| 10- |
26 |
 |
|
1,0 (м, 2H), 1,23 (с, 6H), 1,20-1,50 (м, 3H), 1,55-1,85 (м, 6H), 1,76 (с, 6H), 2,06 (м, 2H), 2,95 (м, 2H), 5,91 (ушир.с, 1H), 7,15-7,25 (м, 2H), 7,45-7,50 (м, 1H) |
CDCl3, 400 МГц |
| 10- |
27 |
 |
|
0,86 (т, J=7,2 Гц, 3H), 1,05-1,12 (м, 2H), 1,33-1,60 (м, 10H), 1,70-2,04 (м, 6H), 2,25 (с, 3H), 2,45-2,52 (м, 1H), 6,80 (ушир.с, 2H), 7,29 (д, J=8,4 Гц, 2H), 7,62 (д, J=8,4 Гц, 2H) |
ДМСО-d6, 400 МГц |
| 10- |
28 |
 |
|
0,99 (т, J=7,2 Гц, 3H), 1,25-1,25 (м, 18H), 2,50-2,60 (м, 1H), 5,76 (ушир.с, 2H), 7,29 (д, J=8,4 Гц, 2H), 7,58 (д, J=8,4 Гц, 2H) |
CDCl3, 400 МГц |
| 10- |
29 |
 |
|
0,90-1,05 (м, 1H), 1,10-1,28 (м, 2H), 1,40-1,50 (м, 2H), 1,57 (с, 6H), 1,60-1,70 (м, 2H), 1,80-1,90 (м, 2H), 1,90 (с, 2H), 2,24 (с, 3H), 2,35-2,50 (м, 1H), 6,81 (ушир.с, 2H), 7,21 (д, J=8,2 Гц, 2H), 7,60 (д, J=8,2 Гц, 2H), 11,9 (ушир.с, 1H) |
ДМСО-d6, 400 МГц |
| 10- |
30 |
 |
|
1,05 (д, J=6,9 Гц, 3H), 1,10-1,26 (м, 2H), 1,41-1,51 (м, 2H), 1,52-2,01 (м, 7H), 1,71-1,87 (м, 4H), 2,15-2,22 (м, 1H), 2,39 (с, 3H), 2,44-2,50 (м, 1H), 6,65 (с, 1H), 7,30 (Abq, J=8,0 Гц, 2H), 8,0 (ушир.с, 2H) |
ДМСО-d6, 400 МГц |
| 10- |
31 |
 |
|
1,05 (д, J=6,9 Гц, 3H), 1,10-1,25 (м, 2H), 1,41-1,62 (м, 9H), 1,71-1,88 (м, 4H), 2,14-2,21 (м, 1H), 2,42-2,50 (м, 1H), 6,58 (с, 1H), 7,03 (ушир.с, 2H), 7,27 (Abq, J=7,9 Гц, 2H), 12,0 (ушир.с, 1H) |
ДМСО-d6, 400 МГц |
Пример 10
Этот пример описывает анализы, которые могут быть использованы для идентификации соединений, имеющих активность DGAT.
Многочисленные системы анализа in vitro могут быть использованы для определения модуляции активности DGAT. Примеры таких систем анализа используют системы сверхэкспрессии на основе клеток насекомых, тканевые микросомные препараты и клеточные культуры. В системах анализа сверхэкспрессии на основе клеток насекомых и тканевого микросомного препарата система сама по себе обеспечивает источник фермента для измерений активности. Такие измерения обычно проводят, используя меченный радиоактивным изотопом субстрат, где меченный радиоактивным изотопом продукт, который получают, затем разделяют тонкослойной хроматографией (TLC) (см., например, Cases, et al., Proc. Natl. Acad. Sci. (1998) 95:13018 и Cases, et al., J. Biol. Chem. (2001) 276:38870).
Для сравнения, системы анализа на основе клеточной культуры измеряют внутриклеточный синтез триглицерида путем инкубирования живых клеток с меченной радиоактивным изотопом жирной кислотой. Меченную радиоактивным изотопом жирную кислоту используют в биосинтезе триглицеридов. Триглицериды затем могут быть экстрагированы из клеток органическим растворителем и разделены тонкослойной хроматографией, чтобы определить степень включения радиоактивной метки как меры активности фермента (см., например, Cases, et al., J. Biol. Chem. (2001) 276:38870).
Анализы на основе клеток
В предпочтительном клеточном анализе клетки опухоли CaCO2 толстой кишки человека, гепатомы человека HepG2 или мышиные адипоциты 3T3-L1 (недифференцированные или дифференцированные, как описано ниже) культивируют до слияния в 24-луночных планшетах. Среду заменяют средой без сыворотки и клетки инкубируют в течение дополнительных 24-48 ч. Затем среду заменяют средой без сыворотки, но содержащей 400 мкМ олеиновой кислоты (комплексованной с BSA, 2:1 моль:моль) и соединение в различных дозах в конечном объеме 200 мкл на лунку. Клетки инкубируют в течение 30 мин перед добавлением 0,1 мкКи 14C олеиновой кислоты непосредственно к клеткам и инкубирование продолжают в течение 10-30 мин в зависимости от типа клеток. Клетки промывают два раза 1 мл PBS и сушат на воздухе при 37oC в течение 10 мин. Клеточные липиды экстрагируют 0,5 мл смеси гексан:изопропиловый спирт (3:2 об./об.) в течение 5 мин дважды. Липидные экстракты выпаривают до сухости и используют для TLC, используя в качестве растворителя смесь гексан:простой этиловый эфир:уксусная кислота (80:20:1 об./об.). Радиоактивные полосы визуализируют и количественно определяют путем открытия доступа к рентгеновской пленке или экрану, формирующему люминесцентное изображение.
Дифференцировку клеток 3T3-L1 в адипоциты индуцируют путем инкубирования слившихся клеток в среде, содержащей 10% сыворотки, инсулин (10 мкг/мл), дексаметазон (1 мкМ), изобутилметил-ксантин (IBMX, 0,5 мМ) и три-иодтиронин (T3, 10 нМ). Через 2 дня клетки поддерживают в среде, содержащей сыворотку, инсулин, T3 и BRL49653 (1 мкМ), в течение 4-10 дней.
Биохимический анализ
Предпочтительный анализ, который может быть использован для идентификации ингибиторов DGAT, содержит высокоэффективный скрининговый сцинтилляционный анализ схожести (SPA). В таком анализе DGAT1 человека клонируют из библиотеки cDNA печени человека. PCR используют для присоединения сайта рестрикции и флаг-эпитопа при самое большее 5′ конце и сайта рестрикции при 3′ конце последовательности. Впоследствии может быть создан бакуловирус с флагтагом (FT) DGAT1 человека с использованием бакуловирусной экспрессионной системы Bac-to-Bac Baculovirus Expression System® (Invitrogen). Клетки насекомого (например, sf9, sf21 или High Five) заражают в течение 24-72 ч и собирают центрифугированием. Осажденные клетки повторно суспендируют в буфере для гомогенизации и подвергают лизису с помощью гомогенизатора, такого как Microfluidizer. Все клеточные мембраны собирают ультрацентрифугированием при 45000 оборотов в мин в течение 1 ч.
Небольшую аликвотную пробу (0,2 мкг/лунка) мембран инкубируют с 10 мкМ соединения или хлорида ртути (в качестве положительного контроля ингибирования) в присутствии субстрата фермента, диолеоил-глицерина (200 мкМ) в 384-луночных планшетах, конечный объем 50 мкл на лунку. Реакцию начинают добавлением радиоактивного субстрата, 14C ацил-кофермента A (25 мкМ, такого как деканоил-CoA, пальмитоил-CoA, олеоил-CoA) и инкубируют при комнатной температуре в течение 2 ч. Реакцию прекращают добавлением гранул SPA с агглютинином зародышей пшеницы (WGA) (0,2 мг) в хлориде ртути. Клеточным мембранам позволяют связываться с шариками в течение ночи. Сигнал может быть измерен с помощью, например, хемилюминесцентного ридера планшетов Chemiluminescence Image Plate Reader (CLIPR) или устройства TopCount.
Обнаружено, что соединения по данному изобретению, оцененные указанным выше анализом, имеют DGAT-ингибирующую активность. См. таблицу 11 ниже.
Таблица 11
| Пример |
hDGAT1 IC50* |
| 1 |
+ |
| 1-2 |
+ |
| 1-3 |
+ |
| 1-4 |
+ |
| 1-5 |
+ |
| 1-6 |
+ |
| 1-7 |
+ |
| 1-8 |
+ |
| 1-9 |
+ |
| 1-10 |
+ |
| 1-11 |
+ |
| 1-12 |
+ |
| 1-13 |
+ |
| 1-14 |
+ |
| 1-15 |
+ |
| 1-16 |
+ |
| 1-17 |
+ |
| 1-18 |
+ |
| 1-19 |
+ |
| 1-20 |
+ |
| 1-21 |
+ |
| 1-22 |
+ |
| 1-23 |
+ |
| 1-24 |
+ |
| 1-25 |
+ |
| 1-26 |
+ |
| 1-27 |
+ |
| 1-28 |
+ |
| 1-29 |
+ |
| 1-30 |
+ |
| 1-31 |
+ |
| 1-32 |
+ |
| 1-33 |
+ |
| 1-34 |
+ |
| 1-35 |
+ |
| 1-36 |
+ |
| 1-37 |
+ |
| 2 |
+++ |
| 2-2 |
++ |
| 2-3 |
++ |
| 2-4 |
+++ |
| 2-5 |
++ |
| 2-6 |
++ |
| 2-7 |
++ |
| 2-8 |
+ |
| 2-9 |
+ |
| 2-10 |
+ |
| 2-11 |
+ |
| 2-12 |
+ |
| 2-13 |
+ |
| 2-14 |
+ |
| 2-15 |
+ |
| 2-16 |
+ |
| 2-17 |
+ |
| 2-18 |
++ |
| 2-19 |
+ |
| 2-20 |
+ |
| 2-21 |
+ |
| 2-22 |
+ |
| 2-23 |
+ |
| 2-24 |
+ |
| 2-25 |
+ |
| 2-26 |
++ |
| 2-27 |
+ |
| 2-28 |
+ |
| 2-29 |
+ |
| 2-30 |
+ |
| 2-31 |
+ |
| 2-32 |
+ |
| 2-33 |
++ |
| 2-34 |
++ |
| 2-35 |
+ |
| 2-36 |
++ |
| 2-37 |
+ |
| 2-38 |
+ |
| 2-39 |
+ |
| 2-40 |
+++ |
| 2-41 |
+ |
| 2-42 |
++ |
| 2-43 |
++ |
| 2-44 |
++ |
| 2-45 |
++ |
| 2-46 |
++ |
| 2-47 |
++ |
| 2-48 |
++ |
| 2-49 |
++ |
| 2-50 |
++ |
| 2-51 |
++ |
| 2-52 |
++ |
| 2-53 |
++ |
| 2-54 |
++ |
| 2-55 |
++ |
| 2-58 |
++ |
| 2-59 |
++ |
| 2-60 |
++ |
| 2-61 |
++ |
| 2-62 |
++ |
| 2-63 |
++ |
| 2-64 |
++ |
| 2-65 |
+++ |
| 2-66 |
+ |
| 2-67 |
++ |
| 2-68 |
+ |
| 2-69 |
+++ |
| 2-70 |
++ |
| 2-71 |
+ |
| 2-72 |
++ |
| 2-73 |
++ |
| 2-74 |
+++ |
| 2-75 |
+ |
| 2-76 |
++ |
| 2-77 |
++ |
| 2-78 |
++ |
| 2-79 |
++ |
| 2-80 |
++ |
| 2-81 |
+ |
| 2-82 |
+ |
| 2-83 |
+ |
| 2-84 |
+ |
| 2-85 |
+ |
| 2-86 |
+ |
| 2-87 |
+ |
| 2-88 |
+ |
| 2-89 |
+ |
| 2-90 |
+ |
| 2-91 |
++ |
| 2-92 |
++ |
| 2-93 |
++ |
| 2-94 |
++ |
| 2-95 |
++ |
| 2-96 |
++ |
| 2-97 |
++ |
| 2-98 |
++ |
| 2-99 |
++ |
| 2-100 |
++ |
| 2-101 |
++ |
| 2-102 |
++ |
| 2-103 |
++ |
| 2-104 |
++ |
| 2-105 |
++ |
| 2-106 |
++ |
| 2-107 |
+++ |
| 2-108 |
++ |
| 2-109 |
++ |
| 2-110 |
++ |
| 2-111 |
++ |
| 2-112 |
++ |
| 2-113 |
++ |
| 2-114 |
++ |
| 2-115 |
+ |
| 2-116 |
++ |
| 2-117 |
++ |
| 2-118 |
++ |
| 2-119 |
++ |
| 2-120 |
++ |
| 2-121 |
++ |
| 2-122 |
++ |
| 2-123 |
++ |
| 2-124 |
++ |
| 2-125 |
+++ |
| 2-126 |
++ |
| 2-127 |
++ |
| 2-128 |
++ |
| 2-129 |
++ |
| 2-130 |
++ |
| 2-131 |
++ |
| 2-132 |
++ |
| 2-133 |
++ |
| 2-134 |
+++ |
| 2-135 |
++ |
| 2-136 |
++ |
| 2-137 |
+++ |
| 2-138 |
++ |
| 2-139 |
++ |
| 2-140 |
++ |
| 2-141 |
++ |
| 2-142 |
++ |
| 2-143 |
+++ |
| 2-144 |
++ |
| 2-145 |
++ |
| 2-146 |
++ |
| 2-147 |
++ |
| 2-148 |
+++ |
| 2-149 |
++ |
| 2-150 |
++ |
| 2-151 |
+++ |
| 2-152 |
++ |
| 2-153 |
+++ |
| 2-154 |
++ |
| 2-155 |
++ |
| 2-156 |
++ |
| 2-157 |
+++ |
| 2-158 |
++ |
| 2-159 |
++ |
| 2-160 |
++ |
| 2-161 |
++ |
| 2-162 |
++ |
| 2-163 |
++ |
| 2-164 |
++ |
| 2-165 |
++ |
| 2-166 |
++ |
| 2-167 |
++ |
| 2-168 |
++ |
| 2-169 |
++ |
| 2-170 |
++ |
| 2-171 |
+ |
| 2-172 |
++ |
| 2-173 |
++ |
| 2-174 |
++ |
| 2-175 |
++ |
| 2-176 |
++ |
| 2-177 |
++ |
| 2-178 |
++ |
| 2-179 |
++ |
| 2-180 |
++ |
| 2-181 |
++ |
| 2-182 |
++ |
| 2-183 |
++ |
| 2-184 |
++ |
| 2-185 |
++ |
| 2-186 |
++ |
| 2-187 |
+++ |
| 2-188 |
++ |
| 2-189 |
++ |
| 2-190 |
++ |
| 2-191 |
+++ |
| 2-192 |
+++ |
| 2-193 |
++ |
| 2-194 |
++ |
| 2-195 |
++ |
| 2-196 |
++ |
| 2-197 |
++ |
| 2-198 |
++ |
| 2-200 |
+++ |
| 2-201 |
+++ |
| 2-202 |
++ |
| 2-203 |
++ |
| 2-204 |
++ |
| 2-205 |
++ |
| 2-206 |
++ |
| 2-207 |
++ |
| 2-208 |
++ |
| 2-209 |
++ |
| 2-210 |
++ |
| 2-211 |
++ |
| 2-212 |
+++ |
| 2-213 |
++ |
| 2-214 |
+++ |
| 2-215 |
++ |
| 2-216 |
++ |
| 2-217 |
++ |
| 2-218 |
++ |
| 2-219 |
++ |
| 2-220 |
++ |
| 2-221 |
+ |
| 2-222 |
+ |
| 2-223 |
+ |
| 2-224 |
+ |
| 2-225 |
+ |
| 2-226 |
+ |
| 2-227 |
+ |
| 2-228 |
+ |
| 2-229 |
+ |
| 2-230 |
++ |
| 2-232 |
++ |
| 2-233 |
+ |
| 2-234 |
++ |
| 2-235 |
++ |
| 2-236 |
++ |
| 2-237 |
++ |
| 2-238 |
+ |
| 2-239 |
+ |
| 2-240 |
++ |
| 2-241 |
++ |
| 2-242 |
+ |
| 2-243 |
++ |
| 2-244 |
++ |
| 2-245 |
++ |
| 2-246 |
++ |
| 2-247 |
++ |
| 2-248 |
++ |
| 2-249 |
++ |
| 2-250 |
++ |
| 2-251 |
++ |
| 2-252 |
++ |
| 2-253 |
+++ |
| 2-254 |
++ |
| 2-255 |
++ |
| 2-256 |
++ |
| 2-257 |
++ |
| 2-258 |
++ |
| 2-259 |
++ |
| 2-260 |
++ |
| 2-261 |
++ |
| 2-262 |
++ |
| 2-263 |
+++ |
| 2-264 |
++ |
| 3 |
++ |
| 3-2 |
+ |
| 3-3 |
+ |
| 4 |
+ |
| 4-2 |
+ |
| 4-3 |
+ |
| 4-4 |
++ |
| 4-5 |
+ |
| 4-6 |
+ |
| 4-7 |
+ |
| 5 |
+ |
| 5-2 |
+ |
| 5-3 |
+ |
| 6 |
+++ |
| 6-2 |
++ |
| 6-3 |
++ |
| 6-4 |
+ |
| 6-8 |
++ |
| 6-9 |
+++ |
| 6-10 |
++ |
| 6-11 |
++ |
| 6-12 |
+++ |
| 6-13 |
+++ |
| 6-14 |
++ |
| 6-15 |
++ |
| 6-16 |
+ |
| 6-17 |
+ |
| 6-18 |
++ |
| 6-19 |
++ |
| 6-20 |
+++ |
| 6-21 |
++ |
| 6-22 |
++ |
| 6-23 |
++ |
| 6-24 |
++ |
| 6-25 |
++ |
| 7 |
++ |
| 7-2 |
++ |
| 7-3 |
+ |
| 7-4 |
++ |
| 7-5 |
++ |
| 8 |
+++ |
| 8-2 |
++ |
| 8-3 |
++ |
| 8-4 |
++ |
| 8-5 |
++ |
| 8-6 |
++ |
| 8-7 |
+++ |
| 9 |
++ |
| 9-2 |
++ |
| 9-3 |
+++ |
| 10 |
+++ |
| 10-2 |
++ |
| 10-3 |
+++ |
| 10-4 |
++ |
| 10-5 |
++ |
| 10-6 |
++ |
| 10-7 |
++ |
| 10-8 |
++ |
| 10-9 |
++ |
| 10-10 |
+++ |
| 10-11 |
++ |
| 10-12 |
++ |
| 10-13 |
+++ |
| 10-14 |
++ |
| 10-15 |
+++ |
| 10-16 |
++ |
| 10-17 |
+++ |
| 10-18 |
++ |
| 10-19 |
++ |
| 10-20 |
++ |
| 10-21 |
++ |
| 10-22 |
++ |
| 10-23 |
++ |
| 10-24 |
++ |
| 10-25 |
++ |
| 10-26 |
++ |
| 10-27 |
++ |
| 10-28 |
+++ |
| 10-29 |
++ |
| 10-30 |
++ |
| 10-31 |
++ |
*Знак: “+” означает: величина IC50 > 0,1 M;
“++” означает: 0,1 M величина IC50 0,01 M;
“+++” означает: величина IC50 < 0,01 M.
Все публикации и патентные заявки, цитированные в данном описании, приобщены к сему ссылкой, как если бы было конкретно и отдельно указано, что каждая отдельная публикация или патентная заявка приобщены ссылкой. Хотя вышеупомянутое изобретение описано в некоторых деталях путем иллюстрации и примера в целях ясности понимания, обычным специалистам должно быть очевидно в свете указаний данного изобретения, что конкретные изменения и модификации могут быть сделаны не выходя за пределы сущности или объема прилагаемой формулы изобретения.
ПРИЛОЖЕНИЕ
Пример фармацевтической композиции (таблетка)
| (a) Соединение настоящего изобретения (пример 5) |
10 г |
| (b) Лактоза |
50 г |
| (c) Кукурузный крахмал |
15 г |
| (d) Натрий карбоксиметилцеллюлоза |
44 г |
| (e) Стеарат магния |
1 г |
Указанные количества ингредиентов(а), (b), (с) и 30 г (d) смешивают до однородной массы с водой, далее сушат в вакууме и гранулируют. Полученные гранулы смешивают с 14 г (d) и 1 г (е) и прессуют в таблетки в таблетировочной машине, с получением 1000 таблеток, каждая из которых содержит 10 мг активного ингредиента (а).
Формула изобретения
1. Соединение формулы (I)

или его фармацевтически приемлемая соль, или стереоизомер,
где Х выбран из группы, состоящей из C(R1) и N;
Y выбран из группы, состоящей из C(R1), C(R2(R2), N и N(R2);
Z выбран из группы, состоящей из О;
W1 выбран из цикло(С3-С8)алкила, арила и 5- или 6-членного гетероарила, содержащего 1-2 гетероатома, выбранных из группы, состоящей из азота и серы,
причем арил и гетероарил необязательно, замещены заместителями, выбранными из галогена, -OR’, -NR’R”, R, -NO2, -CO2R’, перфтор (С1-С4)алкокси и перфтор(С1-С4)алкила, причем указанные заместители могут быть присоединены к арилу или гетероарилу посредством спейсера, представляющего собой С1-С4алкилен;
где R’ и R” независимо выбраны из водорода и (C1-C8)алкила, R выбран из водорода, (C1-С3)алкила и незамещенного арила, и когда арильной группой является 1,2,3,4-тетрагидронафталин или индан, он необязательно замещен (С3-С7)спироциклоалкильной группой, причем (С3-С7)спироциклоалкильная группа необязательно замещена -CO2R’ группой, и указанный заместитель может быть присоединен к (С3-С7)спироциклоалкильной группе посредством спейсера, выбранного из С1-С4алкилена, где R’ выбран из водорода, (С1-С3)алкила;
W2 выбран из цикло(С3-С8)алкила, (С5-С6)гетероциклоалкила, содержащего 1 или 2 гетероатома, выбранного из группы, состоящей из азота или кислорода, бензола и 5- или 6-членного гетероарила, содержащего 1 или 2 атома азота в качестве гетероатома, причем цикло(С3-С8)алкильная группа и С5-С6гетероциклоалкильная группа необязательно замещены заместителями, выбранным из -OR’,=O, -NR’R”, галогена, -C(O)R’, -CO2R’, -CONR’R”, -NR”C(O)R’, -NR’-(CO)NR”R”’, -NR”CO2R’, -NR’-SO2NR”R”’, -SO2NR’R” и -NR”SO2R’, причем указанные заместители могут присоединяться к цикло(С3-С8)алкилу или С5-С6гетероциклоалкилу через спейсер, выбранный из С1-С4алкилена и =СН-,
где R’, R” и R”’, каждый независимо, выбран из водорода, незамещенного (С1-С8)алкила и 5- или 6-членного гетероалкила, включающего атомы азота, и арил(С1-С4)алкильной группы, или когда R’ и R” присоединены к одному и тому же атому азота, они могут быть объединены с атомом азота с образованием 5-, 6- или 7-членного кольца, причем бензол и гетероарил могут быть замещены заместителями, выбранными из -CO2R’ и -NR’R”, указанные заместители могут быть присоединены к арильной или гетероарильной группе посредством спейсера, выбранного из (С1-С4)алкилена, причем R’ и R” независимо могут быть выбраны из водорода и (C1-C8) алкила;
L1 является связью;
L2 выбран из группы, состоящей из связи, О, (C1-C4)алкилена и (С1-С4)оксиалкилена;
m означает 0 или 1;
необязательно, когда m означает 1 и L2 означает связь, заместитель на W2 может быть объединен с заместителем на W1 с образованием 5- или 6-членного кольца, конденсированного с W1 и образующего спиросистему или конденсированного с W2, где указанное кольцо является насыщенным или ненасыщенным и имеет 0 или 1 атом О, в качестве членов кольца;
R1 является Н;
R2 является Н;
R3 и R4 независимо выбраны из группы, состоящей из Н и (C1-C8)алкила;
необязательно, R3 и R4 могут вместе образовывать 3-, 4-, 5- или 6-членное спирокольцо;
R5 и R6 независимо являются Н;
необязательно, когда Y включает группу R1 или R2, R5 или R6 может быть объединен с R1 или R2 с образованием 5- или 6-членного конденсированного кольца, содержащего атом азота, к которому R5 или R6 присоединен, и необязательно содержащего оксогруппу;
R7 выбран из группы, состоящей из Н, (C1-C8)алкила, галоген (С1-С4)алкила, ORa и NRaRb;
Ra выбран из группы, состоящей из (C1-C8) алкила; и
Rb выбран из группы, состоящей из Н и (C1-C8)алкила;
пунктирная линия указывает возможную связь.
2. Соединение по п.1, где Х означает N.
3. Соединение по п.2, где W1 выбран из группы, состоящей из бензола, пиридина, тиофена, тиазола, бензтиазола, бензотиофена, 1,2,3,4-тетрагидронафталина и индана, причем каждый необязательно имеет заместители как определено для W1 в п.1.
4. Соединение по п.3, где W1 выбран из группы, состоящей из бензола, пиридина, тиофена, 1,2,3,4-тетрагидронафталина и индана, причем каждый необязательно имеет заместители как определено для W1 в п.1.
5. Соединение по п.4, где m означает 1.
6. Соединение по п.4, где m означает 1 и L2 означает связь.
7. Соединение по п.6, где W2 выбран из группы, состоящей из бензола, пиридина, (С4-С7)циклоалкана, пирролидина, пиперидина, пиперазина и морфолина, причем каждый необязательно имеет заместители как определено для W2 в п.1.
8. Соединение, имеющее формулу, выбранную из группы, состоящей из Ia, Ib, Ic, Id, Ie, If и Ig
, , , , , , и 
или его фармацевтически приемлемая соль, или стереоизомер, где R3 и R4 независимо выбраны из группы, состоящей из Н и (C1-C8) алкила;
необязательно R3 и R4 могут вместе образовывать 3-, 4-, 5- или 6-членное спирокольцо;
R5 и R6 независимо являются Н;
R7 выбран из группы, состоящей из Н, (С1-С8)алкила, галоген(С1-С4)алкила;
n является целым числом 0-4; и
Rc является заместителем, выбранным из Rc1, ORc1, N(Rc1)2, NO2, галогена, (С1-С8)галогеналкила и (С1-С8)галогеналкокси, где каждая группа Rc1, независимо, означает Н, (С1-С8)алкил, и когда Rc является N(Rc1)2 группой, две группы Rc1 могут быть объединены с образованием пяти- или шестичленного кольца, и необязательно, для If и Ig, две группы Rc1 могут быть объединены с образованием 3-, 4-, 5-, 6- или 7-членного кольца, необязательно замещенного спироциклическим кольцом.
9. Соединение, имеющее формулу, выбранную из группы, состоящей из In, Ii, Ij и Ik
, , , и 
или его фармацевтически приемлемая соль, или стереоизомер,
где R3 и R4 независимо выбраны из группы, состоящей из Н и (C1-C8)алкила;
R5 и R6 независимо являются Н;
R7 представляет собой Н;
n=0;
и р – целое число 0-1, и
Rd является заместителем, независимо выбранным из Rd1, N(Rd1)2, -(CH2)t-CO2Re, где R6 представляет собой водород;
где t в каждом случае означает целое число от 0 до 8,
u означает целое число от 0 до 2,
каждый Rd1 выбран из Н, (С1-С8)алкила.
10. Соединение по п.9, где Rd выбран из Rd1, N(Rd1)2, -CH2-CO2Re, Rd1 и Re имеют значения, указанные в п.9 в отношении формул In, Ii, Ij и Ik.
11. Соединение, имеющее формулу, выбранную из группы, состоящей из Il, Im, In, Io, Ip и Iq
, , , , и 
или его фармацевтически приемлемая соль, или стереоизомер,
где R2 является водородом;
R3 и R4 независимо являются Н и (C1-C8)алкила;
R5 и R6 независимо являются Н;
R7 выбран из группы, состоящей из Н, (С1-С8)алкила и галоген(С1-С4)алкила;
n является целым числом 0-1;
q является целым числом 0-1;
s является целым числом 0-2;
и каждый Rc является заместителем, независимо выбранным из галогена, Rc1, ORc1, N(Rc1)2,
где каждая группа Rc1 независимо означает Н, (С1-С8)алкил, и когда Rc представляет собой N(Rc1)2, две группы Rc1 могут быть объединены с образованием пяти- или шестичленного кольца,
каждый Rh означает заместитель, независимо выбранный из оксо, галогена, Rh1, ORh1, N(Rh1)2, -(СН2)t”S(O)uRe, (C1-C8)галогеналкила, (С1-С8)галогеналкокси, арил(С1-С4)алкила, -СН(Rf)-CO2Re, -С(Rf)2-CO2Re, -C(O)CO2Re, =СН-CONReRf, =CH-CO2Re, -(CH2)t-CO2Re, -(CH2)t-C(O)Re, -(СН2)t-C(O)NReRf, -(CH2)t-NHSO2Re, -(CH2)t-SO2NReRf, -(СН2)t-NReRf, -(CH2)t-ORe, -(CH2)t-NHSO2NHCO2Re, -(CH2)tNHSO2NReRf, -(CH2)t-CONHSO2Re, -(CH2)t-W3, -(CH2)t-NHCO2Re, -(CH2)t-NRfCORe, -(CH2)tNHCONReRf и -(CH2)t-NHCO-(CH2)t-OCORe,
где t в каждом случае означает целое число от 0 до 8,
u означает целое число от 0 до 2,
каждый Rh1 выбран из Н, (С1-С8)алкила, (С3-С8)циклоалкила, где алифатическая часть необязательно замещена ОН, CO2Н, NH2, CONH2, фенилом, галогеном, галоген (C1-C4) алкилом и CO2Rg, и необязательно две группы Rh1, присоединенные к общему атому азота, объединены с образованием пяти- или шестичленного кольца, или группы Rh и Rh1 могут быть объединены с образованием 3-, 4-, 5- или 6-членного спиро- или конденсированного кольца; и
где каждый Re и Rf независимо означает Н или (C1-C8)алкил или, будучи присоединенными к общему атому азота, они объединены с образованием 5- или 6-членного кольца, или выбраны из
, и 
и где какая-либо алкильная часть в Re и Rf необязательно замещена заместителем, выбранным из ОН, СООН, NH2, CONH2, фенила, диалкиламино и COORg, где Rg означает (C1-C4)алкил; и
W3 выбран из
 и 
где каждый Ri и каждый Rj независимо выбран из Н, ОН, СООН, галогена, галоген(C1-C4)алкила, гидрокси(C1-C4)алкила, (C1-С6)алкила, (C1-С6)алкокси, (C1-С6)алкокси(С1-С4)алкила и COO(C1-C4)алкила, где алифатические части являются незамещенными или необязательно замещенными галогеном.
12. Соединение по п.11, где Rh выбраны из оксо, галогена, Rh1, ORh1, N(Rh1)2, (C1-C8)галогеналкила, (C1-C8)галогеналкокси, арил(С1-С4)алкила, (C1-C8)алкилен-CO2Re, C(O)Re, CO2Re, =СН-CONReRf, =CH-CO2Re, -CH2-CO2Re, -СН(Rf)-CO2Re, -С(Rf)2-CO2Re, -CH2CH2CO2Re, -С(O)NReRf, -СН2С(O)NReRf, -СН2СН2CONReRf, -NHSO2Re, -CH2NHSO2Re, -CH2CH2NHSO2Re, -СН2SO2NReRf, -CH2CH2SO2NReRf, -CH2OH-, -CH2NReRf, СН2СН2OH, -CH2-W3, -CH2CH2-W3 и -С(O)CO2Re, где любая алкильная часть Re и Rf необязательно замещена заместителем, выбранным из ОН, СООН, NH2, CONH2, фенила, диалкиламино и COOR6, где Rg означает (C1-C4)алкил;
где Rh1, Re, Rf и W3 имеют значения, указанные в п.11 в отношении формул Il, Im, In, Io, Ip и Iq.
13. Соединение, имеющее формулу, выбранную из группы, состоящей из Ir, Is, It, Iu, Iv, Iw, Ix и Iy

или его фармацевтически приемлемая соль, или стереоизомер,
где R3 и R4 независимо выбраны из группы, состоящей из Н и (C1-C8)алкила;
R5 и R6 независимо являются Н;
R7 выбран из группы, состоящей из Н, (C1-C8)алкила, галоген (C1-C4)алкила;
n является целым числом 0; и
q является целым числом 0-1;
s является цельм числом 0-2;
каждый Rh означает заместитель, независимо выбранный из оксо, галогена, Rh1, -CH(Rf)-CO2Re, -С(Rf)2-CO2Re и -(СН2)t-CO2R6,
где t в каждом случае означает целое число от 0 до 8,
каждый Rh1 выбран из Н, (C1-C8)алкила и (С3-С6)циклоалкила, где алифатическая часть необязательно замещена ОН или CO2Н, и
где каждый Re и Rf независимо означает Н или (С1-С8)алкил.
14. Соединение по п.13, где Rh означает заместитель, имеющий формулу С(O)2Re, -CH2-CO2Re, -CH(Rf)-CO2Re, -C(Rf)2-CO2Re, -CH2CH2CO2Re, где каждый Re и Rf имеют значения, указанные в п.13 в отношении формул Ir, Is, It, lu, Iv, Iw, Ix и ly.
15. Соединение, выбранное из группы, состоящей из
и 
или его фармацевтически приемлемая соль, или стереоизомер.
16. Соединение по п.1, выбранное из группы, состоящей из

и 
или его фармацевтически приемлемая соль, или стереоизомер.
17. Соединение, выбранное из группы, состоящей из


и 
или его фармацевтически приемлемая соль, или стереоизомер.
18. Соединение, выбранное из группы, состоящей из

или его фармацевтически приемлемая соль, или стереоизомер.
19. Соединение, представленное формулой

или его фармацевтически приемлемая соль, или стереоизомер.
20. Соединение, представленное формулой

или его фармацевтически приемлемая соль, или стереоизомер.
21. Соединение, представленное формулой

или его фармацевтически приемлемая соль, или стереоизомер.
22. Соединение, представленное формулой

или его фармацевтически приемлемая соль, или стереоизомер.
23. Соединение, представленное формулой

или его фармацевтически приемлемая соль, или стереоизомер.
24. Соединение, представленное формулой

или его фармацевтически приемлемая соль, или стереоизомер.
25. Соединение, представленное формулой

или его фармацевтически приемлемая соль, или стереоизомер.
26. Соединение, представленное формулой

или его фармацевтически приемлемая соль, или стереоизомер.
27. Соединение, представленное формулой

28. Фармацевтическая композиция, обладающая DGAT ингибирующим действием, содержащая фармацевтически приемлемый наполнитель и соединение по любому из пп.1-27.
29. Применение соединения по любому из пп.1-27 для получения лекарственного средства для лечения или предотвращения заболеваний или состояний, опосредованных действием DGAT.
30. Применение по п.29, где заболевание или состояние выбрано из группы, состоящей из ожирения, диабета, синдрома X, резистентности к инсулину, гипергликемии, гиперинсулинемии, гиперхолестеринемии, гиперлипидемии, гипертриглицеридемии, болезни неалкогольной жировой инфильтрации печени, атеросклероза, артериосклероза, болезни коронарной артерии и инфаркта миокарда.
31. Применение по п.29, где указанное соединение может быть использовано для получения лекарственного средства, предназначенного для перорального введения.
32. Применение по п.29, где указанные заболевания или состояние выбраны из группы, состоящей из диабета, ожирения и синдрома X.
33. Применение по п.29, где указанные заболевания или состояние являются ожирением.
|
|