Патент на изобретение №2342379
|
||||||||||||||||||||||||||||||||||||||||||||||||||||||||||||||||
(54) СПОСОБ ПОЛУЧЕНИЯ 2,5-ДИФЕНИЛ-3,4-ФУЛЛЕРО[60]ТЕТРАГИДРОТИОФЕНА
(57) Реферат:
Настоящее изобретение относится к области органической химии, конкретно к способу получения 2,5-дифенил-3,4-фуллеро[60]тетрагидротиофена формулы I
который может найти применение в качестве комплексообразователя, сорбента, биологически активного соединения, а также при создании новых материалов с заданными электронными, магнитными и оптическими свойствами. Сущность способа заключается во взаимодействии фуллерена С60 с дибензилсульфидом в присутствии катализатора гафнацендихлорида Ср2HfCl2 в среде толуола при температуре 140-160°С в течение 4-8 часов. Выход целевого продукта составляет 42-64%.
Предлагаемое изобретение относится к органической химии, конкретно, к способу получения 2,5-дифенил-3,4-фуллеро[60]тетрагидротиофена(1):
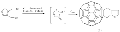
Функционально замещенные фуллерены могут найти применение в качестве комплексообразователей, сорбентов, биологически активных соединений, а также при создании новых материалов с заданными электронными, магнитными и оптическими свойствами. Известен способ ([1], F.Effenberger, G.Grube. Synthesis, 1998, 1372-1379) получения производного фуллерена с тиофеновым фрагментом формулы (2) взаимодействием С60 с 2,3-бис(бромметил)тиофеном в кипящем толуоле в присутствии дегалогенирующего реагента, состоящего из краун-эфира и KI. Известный способ не позволяет получать 2,5-дифенил-3,4-фуллеро[60]тетрагидротиофен (1). Известен способ ([2], H.Ishida, K.Itoh, M.Ohno. Tetrahrdron, 2001, 57, 1737-1747) получения фуллеротетрагидротиофена формулы (3) реакцией присоединения бис(триметилсилилметил)-сульфоксида к С60 в о-дихлорбензоле в качестве растворителя при температуре 110°С по схеме: Известный способ не позволяет получать 2,5-дифенил-3,4-фуллеро[60]тетрагидротиофен (1). Таким образом, в литературе отсутствуют сведения по селективному синтезу 2,5-дифенил-3,4-фуллеро[60]тетрагидротиофена (1). Предлагается новый способ получения 2,5-дифенил-3,4-фуллеро[60]тетрагидротиофена (1). Сущность способа заключается во взаимодействии фуллерена С60 с дибензилсульфидом формулы (PhCH2)2S в присутствии катализатора гафнацендихлорида (Cp2HfCl2), взятыми в мольном соотношении соответственно 0.01:(0.045-0.055):(0.0015-0.0025), предпочтительно 0.01:0.05:0.0020, при температуре 140-160°С в течение 4-8 ч в растворе толуола. Выход 2,5-дифенил-3,4-фуллеро[60]тетрагидротиофена (1) составляет (по данным ВЭЖХ) 42-64%. Реакция протекает по схеме: Дибензилсульфид берут с избытком по отношению к фуллерену С60 с целью повышения выхода целевого продукта (1). Снижение количества дибензилсульфида по отношению к С60 нецелесообразно, так как приводит к уменьшению выхода целевого продукта. 2,5-Дифенил-3,4-фуллеро[60]тетрагидротиофен (1) образуется только с участием фуллерена[60] и дибензилсульфида. Проведение реакции при более высокой температуре, например, 200°С приводит к образованию продуктов уплотнения. При меньшей температуре, например, 100°С снижается скорость реакции. Проведение указанной реакции в присутствии катализатора гафнацендихлорида Cp2HfCl2 больше 25 мол.% по отношению к С60 не приводит к существенному увеличению выхода целевого продукта (1). Использование катализатора гафнацендихлорида Cp2HfCl2 менее 15 мол.% по отношению к С60 снижает выход продукта (1), что связано, возможно, со снижением каталитически активных центров в реакционной массе. Изменение соотношения исходных реагентов в сторону значительного увеличения содержания дибензилсульфида по отношению к фуллерену[60] приводит к присоединению дополнительных молекул исходного сульфида к молекуле С60. Существенные отличия предлагаемого способа: 1. Предлагаемый способ базируется на использовании в качестве исходного реагента дибензилсульфида и катализатора Cp2HfCl2. В известном способе используется бис(триметилсилилметил)-сульфоксид. Предлагаемый способ, в отличие от известного, позволяет селективно получать 2,5-дифенил-3,4-фуллеро[60]тетрагидротиофен (1), синтез которого в литературе не описан. Способ поясняется следующими примерами. ПРИМЕР 1. В металлический автоклав объемом 17 мл в атмосфере аргона помещают 0.01 ммоля фуллерена С60, 10 мл «сухого» толуола, 0.05 ммоля дибензилсульфида и 0.002 ммоля катализатора Cp2HfCl2, перемешивают 6 часов при температуре 150°С, получают 2,5-дифенил-3,4-фуллеро[60]тетрагидротиофен общей формулы (1) с выходом 57% (по данным ВЭЖХ). Спектр ЯМР 13С 2,5-дифенил-3,4-фуллеро[60]тетрагидротиофена (1) (
Другие примеры, подтверждающие способ, приведены в табл.1.
В качестве растворителя использовали толуол, т.к. в нем высокая растворимость фуллерена С60.
Формула изобретения
Способ получения 2,5-дифенил-3,4-фуллеро[60]тетрагидротиофена (1)
путем взаимодействия фуллерена С60 с дибензилсульфидом формулы (PhCH2)2S в присутствии катализатора гафнацендихлорида, взятыми в мольном соотношении С60:дибензилсульфид:Cp2HfCl2=0,01:(0,045-0,055):(0,0015-0,0025), в среде толуола, при температуре 140-160°С в течение 4-8 ч.
|
||||||||||||||||||||||||||||||||||||||||||||||||||||||||||||||||






, м.д.): 65.36 (С2,5), 74.65 (С3,4), 146.41 (С6,12), 126.19 (С7,17), 128.67 (С8,10,14,16), 127.36 (С9,15), 127.53 (С11,13). Сигналы углеродных атомов фуллеренового фрагмента располагаются в области 137-158 м.д.
