|
(21), (22) Заявка: 2007101100/02, 09.01.2007
(24) Дата начала отсчета срока действия патента:
09.01.2007
(43) Дата публикации заявки: 20.07.2008
(46) Опубликовано: 20.12.2008
(56) Список документов, цитированных в отчете о поиске:
WO 89/01841 А, 09.03.1989. WO 86/06502 А, 06.11.1986. RU 2092585 C1, 10.10.1997. US 4475027 A, 02.10.1984.
Адрес для переписки:
443086, г.Самара, Московское ш., 34, СГАУ, патентный отдел
|
(72) Автор(ы):
Сойфер Виктор Александрович (RU), Казанский Николай Львович (RU), Абульханов Станислав Рафаелевич (RU), Досколович Леонид Леонидович (RU), Харитонов Сергей Иванович (RU)
(73) Патентообладатель(и):
Институт систем обработки изображений Российской академии наук (ИСОИ РАН) (RU)
|
(54) УСТРОЙСТВО ДЛЯ ТЕРМОЗАКАЛКИ РЕЖУЩЕЙ КРОМКИ РЕЗЦА
(57) Реферат:
Устройство относится к области машиностроения. Устройство содержит источник лазерного излучения и фазовый элемент, размещенный под углом на его оптической оси. Фазовый элемент выполнен в виде отражающей пластины. Для нахождения задней кромки резца строго в фокусе пластины она имеет возможность вращения и перемещения в двух взаимно перпендикулярных плоскостях. Микрорельеф поверхности пластины имеет высоту, определяемую в соответствии с математической зависимостью и позволяющую равномерно распределить освещенность на заданной поверхности. Достигается повышение качества термообработки режущих кромок инструмента. 2 ил.
Устройство относится к области машиностроения и может быть использовано при лазерной термообработке режущих кромок режущего инструмента.
Известен закалочный агрегат, содержащий электропечь и размещенный под ней бак, соединенный с электропечью вертикальным герметичным разгрузочным лотком. При этом агрегат снабжен насосной установкой с заборным и выпускным патрубками и вихреобразующей насадкой, при этом патрубки размещены в баке, а вихреобразующая насадка установлена на выпускном патрубке соосно с ним, при этом ось патрубка и насадки пересекает ось разгрузочного лотка (а.с. №1527293 СССР, БИ №45 за 1989 г.).
Недостатком известного агрегата является нагрев закалочной жидкости при эксплуатации агрегата длительное время, а это приводит к снижению качества термообработки. Кроме того, нагрев термообрабатываемой детали происходит не мгновенно, а это снижает производительность термообработки.
Известен индуктор для термообработки зубьев пил, содержащий токоведущие шины и закалочную секцию. При этом индуктор снабжен регулятором силы тока, токоведущие шины выполнены с поперечными и продольными пазами, делящими шины на две полосы с различной шириной, при этом регулятор силы тока выполнен в виде шунта, перекрывающего поперечную прорезь с большей шириной (а.с. №1482964 СССР, БИ №20 за 1989 г.).
Недостатком известного индуктора является повышенная энергоемкость за счет двух стадий технологии обработки. Кроме этого имеет место снижение твердости материала в зонах, прилегающих к зубьям пилы за счет термического отпуска, что не всегда желательно. Кроме того, двухстадийная термообработка зубьев пилы весьма повышает трудоемкость процесса.
Наиболее близким во своей технической сущности к предлагаемому изобретению является устройство для лазерной обработки объекта (WO 89/01841 от 09.03.1989), содержащее источник лазерного излучения, на оптической оси которого размещена оптическая система доставки лазерного излучения к объекту. При этом оптическая система содержит хотя бы один фазовый элемент компьютерной оптики, обладающий определенным микрорельефом.
Недостатком известного устройства является отсутствие возможности термообрабатывать локальные поверхности. Фокусировка лазерной энергии в кривые, лежащие в плоскости, приводит к необходимости перемещать фокус в пространстве для термообработки поверхности, что обеспечивает неравномерное термоупрочнение и снижает производительность процесса.
В основу изобретения поставлена задача повышения производительности и качества термообработки режущих кромок инструмента за счет улучшения равномерности распределения светового потока по обрабатываемой поверхности.
Поставленная задача достигается тем, что в устройстве для термозакалки режущей кромки резца, содержащем источник лазерного излучения и размещенный под углом на его оптической оси фазовый элемент, отличающийся тем, что фазовый элемент выполнен в виде пластины, имеющей возможность вращения и перемещения в двух взаимно перпендикулярных плоскостях, с микрорельефом отражающей поверхности, высота которого определяется зависимостью:
где h – высота микрорельефа;
(u, ‘) – декартовы координаты в плоскости зонной пластинки;
– угол наклона освещающего пучка к плоскости зонной пластинки;
– длина волны лазерного излучения;
m – натуральное число, определяющее высоту рельефа;
Е0 – освещенность плоскости зонной пластинки;
E – освещенность на поверхности двухгранного угла;
– угол между нормалью к поверхности двухгранного угла и его плоскостью симметрии;
2 – угол раскрыва двухгранного угла;
f0 – расстояние от центра зонной пластинки до центра двухгранного угла.
На фиг.1 изображена схема устройства с отражательным фазовым элементом, на фиг.2 – схема расчета фазового элемента.
Устройство для термозакалки кромки резца состоит из лазера 1, оптической системы доставки лазерного излучения, содержащей фазовый элемент, на резец 3, а также из ручных приводов перемещения резца 3 – 4, 5 и 6.
При этом лазер соориентирован в пространстве так, чтобы его излучение падало на фазовый элемент под определенным углом, значение которого определяется конкретными характеристиками фазового элемента. Резец 3 соориентирован в пространстве так, чтобы отраженное от фазового элемента лазерное излучение падало перпендикулярно на его задние грани (см. фиг.1). Для этого фазовый элемент имеет возможность перемещаться в пространстве в двух взаимно перпендикудярных плоскостях с помощью ручных приводов 4 и 5, а также может поворачиваться относительно некоторой оси с помощью ручного привода 6. В качестве ручных приводов могут быть использованы винтовые или шариковинтовые пары. Лазер 1 и привода 4, 5 и 6 зафиксированы в пространстве, например на станине лабораторного стола (на фиг.1 не показан). При этом фазовый элемент имеет на своей рабочей поверхности микрорельеф, определяемый формулой:

– угол между нормалью к плоскости зонной пластины 2 и падающим лазерным лучом; u’, ‘ – координаты в плоскости зонной пластины 2; – длина волны лазерного излучения; m – натуральное число, определяющее высоту микрорельефа; операция modm [x] соответствует дробной части частного – x/m ; [u’, ‘cos( )) – функция эйконала.
Устройство работает следующим образом. Включают лазер 1 (фиг.1) После чего лазерное излучение падает на поверхность фазового элемента, откуда оно фокусируется на поверхность задних граней резца 3 в виде двухгранного угла, величина которого определяется геометрией заточки режущих кромок резца 3. На участках, принадлежащих задним граням резца 3, куда фокусируется лазерное излучение, происходит интенсивный нагрев поверхности. Поскольку фазовый элемент обеспечивает равномерное распределение энергии на обрабатываемой поверхности, то энергия лазерного излучения практически вся поступает на нагрев участков задних граней, находящихся в фокусе фазового элемента, что существенно повышает качество процесса термозакалки. Для того чтобы задние грани резца 3 находились строго в фокусе зонной пластинки 2, последнюю предварительно ориентируют в пространстве с помощью ручных приводов 4, 5 и 6 необходимым образом. После термозакалки задних граней резца 3 лазер 1 отключают, устанавливают в ручные привода 4, 5 и 6 новый резец 3, и процесс термозакалки повторяют.
Фокусированное излучение лазера 1 с помощью фазового элемента в виде двухгранного угла происходит следующим образом. Пучок излучения лазера 1 с распределением освещенности E0 падает на фазовый элемент с микрорельефом. В случае отражательного фазового элемента за счет отражения от поверхности микрорельефа создается асферический волновой фронт, обеспечивающий формирование светового поля с равномерным распределением освещенности на поверхности требуемого двухгранного угла.
В качестве примера рассмотрим расчет зонной пластинки 2.
Поверхность отражающей зонной пластинки 2 освещается пучком когерентного света лазера 1. В процессе преобразования волнового фронта освещающего пучка за счет отражения от поверхности зонной пластинки 2 с микрорельефом h(u’, ‘), где u’, ‘- декартовы координаты в плоскости зонной пластинки 2 (см. фиг.2), необходимо сформировать волновой фронт, обеспечивающий фокусировку на поверхность двухгранного угла с равномерным распределением освещенности. Пусть в плоскости с координатами (u, ), расположенной между поверхностью зонной пластинки 2 и освещаемым двухгранным углом по ходу оптических лучей и перпендикулярной плоскости симметрии двухгранного угла, поле характеризуется функцией эйконала (u, ). Для нахождения выражения функции эйконала (u, ) преобразованной волны рассмотрим отображение, осуществляемое лучами, выходящими из плоскости (u, ), расположенной между поверхностью зонной пластины 2 и двухгранным углом по ходу отраженных оптических лучей и перпендикулярной плоскости симметрии двухгранного угла, и лучами, падающими на двухгранный угол.
Это отображение имеет вид:

где х,у,z – координаты точек двухгранного угла;
u, – координаты в плоскости (u, ), описанной ранее;
2 – угол раскрытия двухгранного угла.
Декартова система координат на этой плоскости введена таким образом, что ось х параллельна оси u, ось у параллельна оси . Из геометрии задачи видно, что x(u, ) и y(u, ) четные функции. Если Е0 освещенность на плоскости (u, ), то освещенность в точке, лежащей на поверхности двухгранного угла имеет вид:

– угол между нормалью к поверхности двухгранного угла и осью z,
хu,уu,х ,у – частные производные от функций x(u, ), y(u, ) no переменным u, .
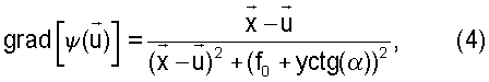
Из уравнения эйконала несложно получить уравнения наклонов:

где f0 – расстояние между плоскостью (u, ) и ребром двухгранного угла.
Если предположить, что расстояние f0>>х,у, то эта система уравнений примет вид:

где x=(x,y), u=(u, )
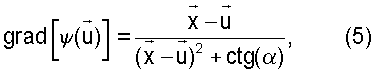
Из уравнения (5) можно найти функцию по формуле

Если только выполняется условие интегрируемости

Рассмотрим случай, когда 
т.е. ширина освещающего пучка совпадает с шириной двухгранного угла. В этом случае условие (7) автоматически выполняется и система уравнений (4) для нахождения функции (u, ) принимает вид:


или

Зонная пластина 2 работает следующим образом. Введем на поверхности зонной пластины 2 координаты u’, ‘ так, чтобы ось u’ была параллельна u, а ось ‘ составляла угол с осью . Луч, отражаясь от точки с координатами (u’, ), расположенной на зонной пластине 2, попадает в точку, расположенную на плоскости (u, ) с координатами
u=u’

При этом фаза луча равна 
и, следовательно, высота рельефа зонной пластины 2 описывается выражением

где m – натуральное число, определяющее высоту рельефа.
В результате отражения от поверхности оптического элемента с микрорельефом h(u, ) первоначальный волновой фронт преобразуется в фронт, обеспечивающий равномерное освещение двухгранного угла. Это в свою очередь обеспечивает качественную термозакалку задних граней резца 3.
Возьмем конкретные значения, перспективные для использования при расчете отражающей поверхности: =45°; =0,5 мкм; Е0=1, E=0,5; f0=100 мм. При этом формула (13) примет вид (высота обратного микрорельефа, расположенного вниз относительно направления оси координат, в микронах):

Здесь величина m (целое положительное число) выбирается из технологических возможностей изготовления микрорельефа. Если технология позволяет обеспечить изменения фазы с помощью изготовления микрорельефа от 0 (нуля) до 2 , то используется m=1; в противном случае, набег фазы будет проходить в диапазоне от 0 до 2 m, где m>1 (m=2, 3,…).
Функция является функцией аргумента х, т.е. любой величины, стоящей в скобках и обозначенной в данном случае, как х. Таким образом, функция математически означает остаток и равняется остатку от деления аргумента х на величину, указанную в подстрочнике, т.е. на произведение m· . Ранее (выше) аргументом является (стоит в скобках) сложное выражение от величины ‘, но смысл выражения остается тем же – это остаток от деления величины, стоящей в скобках, на величину m· . Например, в формуле (14) m· =0,5, а 
В качестве лазера 1 заявляемого устройства может быть использован, например, лазер «Квант-16». Фазовый элемент выполнен при помощи фотолитографической технологии. Т.к. необходимая острота режущих кромок резца 3 обеспечивается при его заточке по передней режущей грани, то закалка инструмента осуществляется по его задним граням, что позволяет сохранить упрочненные поверхности при последующих переточках.
При предварительной обмазке задних граней резца 3 специальными флюсами возможно термолегирование инструмента, помимо его термозакалки.
Режимы тремозакалки могут регулироваться при вариации мощности используемого лазера 1, частоты следования его импульсов (если лазер 1 – импульсный), а также продолжительностью процесса термообработки.
Заявляемое устройство для термозакалки режущей кромки резцов позволяет сократить продолжительность процесса упрочнения в сравнении с закалкой на установке «Квант-16» в 2,5-3,0 раза. При этом стойкость резцов из быстрорежущей стали Р6М5 после их термозакалки на заявленном устройстве на 18% выше, чем у резцов, термообработанных на установке «Квант-16». Кроме того, в случае использования заявляемого устройства имеют место более равномерные параметры закаленного поверхностного слоя.
Формула изобретения
Устройство для термозакалки режущей кромки резца, содержащее источник лазерного излучения и размещенный под углом на его оптической оси фазовый элемент, выполненный в виде отражательной зонной пластины, отличающееся тем, что фазовый элемент имеет возможность вращения и перемещения в двух взаимно перпендикулярных плоскостях и выполнен с микрорельефом отражающей поверхности, высота которого определяется зависимостью
где h – высота микрорельефа;
(u’, v’) – декартовы координаты в плоскости зонной пластины;
– угол наклона освещающего пучка к плоскости зонной пластины;
– длина волны лазерного излучения;
m – натуральное число;
Е0 – освещенность плоскости зонной пластины;
Е – освещенность на поверхности двугранного угла;
– угол между нормалью к поверхности двухгранного угла и его плоскостью симметрии;
2 – угол раскрытия двухгранного угла;
f0 – расстояние от центра зонной пластины до центра двухгранного угла.
РИСУНКИ
|