|
|
(21), (22) Заявка: 2007122212/04, 13.06.2007
(24) Дата начала отсчета срока действия патента:
13.06.2007
(46) Опубликовано: 20.12.2008
(56) Список документов, цитированных в отчете о поиске:
RU 2075501 C1, 20.03.1997. RU 93034312 A, 10.12.1996. RU 2064003 C1, 20.07.1996. JP 11-131078 A, 18.05.1999. WO 2004000723 A1, 11.04.2005.
Адрес для переписки:
603005, г.Нижний Новгород, ул. Октябрьская, 25, ГОУ ДПО “Нижегородский научно-информационный центр”, директору И.А. Коршунову
|
(72) Автор(ы):
Мартьянов Алексей Руфович (RU), Мартьянов Михаил Алексеевич (RU), Романов Алексей Дмитриевич (RU)
(73) Патентообладатель(и):
Общество с ограниченной ответственностью “Углеводород” (RU)
|
(54) СПОСОБ ПОЛУЧЕНИЯ СИНТЕЗ-ГАЗА
(57) Реферат:
Изобретение относится к способу получения синтез-газа, включающему термическое разложение древесного сырья, характеризующемуся тем, что термическое разложение древесного сырья осуществляют в жидком теплоносителе в течение 0,5-10 секунд при температуре 1620-1800°С. Применение данного способа позволяет снизить содержание азота и диоксида углерода в синтез-газе, а также увеличить степень конверсии при сокращении времени процесса. 1 з.п. ф-лы, 1 ил.
Изобретение относится к способам получения синтез-газа и может быть использовано в нефтехимии для получения синтетических моторных топлив.
В настоящее время запасы нефти в хорошо освоенных районах нефтедобычи сокращаются. Перебазирование же нефтедобывающей промышленности в другие необжитые районы неизбежно ведет к значительному росту материальных затрат на добычу нефти из земли и на транспортировку ее к местам переработки, что приводит к повышению стоимости нефтепродуктов.
В связи с этим ведутся поиски альтернативного вида получения топлива. В промышленном масштабе производят жидкое топливо из угля путем каталитической переработки синтез-газа, получаемого газификацией угля.
Недостатком известного способа является наличие в получаемом синтез-газе азота и повышенное содержание диоксида углерода, которое может достигать нескольких процентов.
Известен способ получения синтез-газа для производства метанола [SU 1766947, C10J 3/00, 1992.10.07], включающий конверсию древесины в присутствии катализатора. Древесину пропитывают азотнокислым никелем, сушат и газифицируют водяным паром. Получаемый синтез газ при этом имеет следующий состав 52,4% Н2, 21,4% СО, 4,4% СН4 и 21,8% CO2.
Недостатком известного способа является наличие в получаемом синтез-газе повышенного содержания диоксида углерода.
Наиболее близким к предлагаемому способу является способ термического разложения углеродсодержащего необработанного материала для получения восстановительного газа (RU 2075501, C10J 3/00, C10B 53/02, 1997.03.20), выбранный в качестве прототипа, включающий подачу необработанного материала в камеру и термическое разложение его путем нагрева при давлении до 150 бар и температуре 500-1600°С с подачей кислорода или газа, содержащего кислород в количестве, которое ниже стехиометрически необходимого для полного сгорания необработанного материала, отличающийся тем, что термическое разложение осуществляют при воздействии звуком низкой частоты.
Недостатком известного способа является наличие в получаемом синтез-газе азота и диоксида углерода, содержание которого может достигать нескольких процентов. Применение звука низкой частоты значительно усложняет установку у целом, к тому же инфразвук оказывает вредное воздействие на человека и необходимо предусмотреть меры по защите персонала.
Задача, решаемая заявляемым изобретением, – совершенствование способа получения синтез-газа.
Технический результат от использования предлагаемого изобретения заключается в снижении содержания азота и диоксида углерода в синтез-газе, увеличении степени конверсии при сокращении времени процесса.
Указанный технический результат достигается тем, что в способе получения синтез-газа, включающем термическое разложение древесного сырья, термическое разложение осуществляют в жидком теплоносителе не менее 0,5 сек при температуре 1620-1800°С.
В качестве древесного сырья преимущественно используют отходы сельского хозяйства или лесообрабатывающей промышленности.
Также возможна подача измельченной древесины вместе с углеводородным газом, например природным газом (метаном), либо рециклируемым синтез-газом.
Способ осуществляют следующим образом.
Подачу исходного сырья, например измельченной древесины, осуществляют в режиме барботажа в нижнюю часть сосуда, содержащего жидкий теплоноситель, например, расплав неорганических солей или металла либо сплава, например, меди, железа, алюминия или никеля. Время контакта сырья с расплавом ограничивают временем всплытия измельченного исходного сырья и образующегося в ходе процесса газа и выбирают в зависимости от размеров частиц и высоты столба жидкого теплоносителя, но не менее 0,5 сек. Было показано, что за это время сырье успевает прогреться до температуры расплава и после изотермической выдержки полностью прореагировать. Температуру расплава поддерживают в диапазоне 1620-1800°С при помощи внешнего источника энергии, например индуктора промышленной или повышенной частоты. Образующийся синтез-газ выводят из зоны над поверхностью расплава и охлаждают. Сажу и шлаки удаляют с поверхности расплава механически, например, при помощи шнекового механизма.
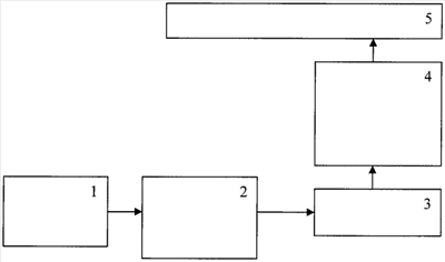
Способ может быть осуществлен с помощью установки термического разложения древесного сырья, изображенной на чертеже.
Установка содержит устройство измельчения исходного сырья 1, соединенное с устройством для подачи сырья 2 в реактор 3, представляющий собой камеру термического разложения, снабженную устройством для поддержания заданной температуры жидкого теплоносителя (не показано). Над реактором 3 установлена камера охлаждения и рекуперации тепла 4, соединенная с устройством вывода 5.
Установка работает следующим образом.
В реактор 3 загружают теплоноситель в твердом состоянии, который расплавляется после включения реактора 3 в режим нагрева. После достижения теплоносителем температуры 1620-1800°С в реактор 3 через устройство для подачи сырья 2 подают предварительно измельченную в устройстве измельчения исходного сырья 1 древесину. В реакторе 3 в течение не менее 0,5 сек происходит термическое разложение древесины с образованием синтез-газа, который поднимается на поверхность расплава и поступает в камеру охлаждения и рекуперации тепла 4. Выбор температуры термического разложения древесины в рамках указанного диапазона позволяет уменьшить время реакции до 0,5-10 сек. В камере охлаждения и рекуперации тепла 4 синтез-газ охлаждается до температуры 30-300°С и далее поступает в устройство вывода 5.
Состав получаемого синтез-газа при этом соответствует исходному содержанию водорода и углерода в древесине, содержание азота в получаемом газе незначительно и соответствует общему содержанию азота в исходном сырье.
Экспериментально было показано, что при выходе за указанные температурные пределы образующийся синтез-газ содержит повышенное содержание примесей в газовой фазе, таких как азот, диоксид углерода, метан, ацетилен и его гомологи. Теоретически было найдено подтверждение этого факта. Указанный диапазон температур соответствует минимальному количеству газовых примесей в составе гетерогенного равновесия, рассчитанного с помощью минимизации функции Гиббса для компонентов: водород, оксид углерода, диоксид углерода, азот, метан, ацетилен, этилен, этан, метилацетилен, аллен, пропилен, пропан, диацетилен, винилацетилен, бензол, твердый углерод (аморфная модификация – сажа).
В качестве устройства для измельчения может использоваться, например, дробилка, шнековый механизм.
В качестве устройства для подачи сырья – компрессор, эжектор.
В качестве реактора – установку индукционного нагрева.
В качестве камеры охлаждения и рекуперации тепла – теплообменник из керамического либо металлического материала.
В качестве устройства вывода – эжектирующее устройство.
Таким образом, по сравнению с прототипом заявленный способ получения синтез-газа позволяет получать сырье для получения жидких моторных топлив с пониженным содержанием азота, диоксида углерода за счет того, что термическую обработку сырья проводят при температурах 1620-1800°С без подачи воздуха.
Также получаемый предлагаемым способом синтез-газ имеет более высокую степень конверсии за счет проведения реакции при повышенной 1620-1800°С температуре, при этом также сокращается время, необходимое на проведение реакции.
Формула изобретения
1. Способ получения синтез-газа, включающий термическое разложение древесного сырья, отличающийся тем, что термическое разложение древесного сырья осуществляют в жидком теплоносителе в течение 0,5-10 с при температуре 1620-1800°С.
2. Способ получения синтез-газа по п.1, отличающийся тем, что в качестве древесного сырья используют отходы сельского хозяйства или лесообрабатывающей промышленности.
РИСУНКИ
|
|